高中物理竞赛热学公式整合
- 格式:doc
- 大小:345.50 KB
- 文档页数:5
高中物理竞赛热学公式整合第一章 热力学平衡态和气体物态方程1> pV TR ν= ——理想气体物态方程8.314R =11••J mol kg -- 2> 222213x y z v v v v ===——分子的速度分布 3> 213p nmv = 23k p nE = ——理想气体的压强公式 4> 32k E kT = ——分子运动的能量公式 231.3810AR k N -==⨯1•J K - 5> p nkT = ——阿伏伽德罗定律6> 12i p p p p =++⋅⋅⋅+ ——道尔顿分压定律第二章 气体分子的统计分布律 1> 23/2224()2mv kT dN m v e dv N kTππ-= ——麦克斯韦速率分布律2> P v =——最概然速率v =——平均速率r v == ——方均根速率3> /0P E kT n n e -= ——玻尔兹曼分布律 /0mgz kTn n e -= ——气体分子在重力场中按高度的分布律 4> 0Mgz RT z p p e-= ——等温气压公式 0ln z p RT z Mg p =5> 1(2)2E t r s kT =++ ——分子的平均总能量(能量按自由度均分定理) 6> 1(2)2m U t r s RT M =++ ——理想气体的内能 1(2)2m U t r s R T M ∆=++∆ 7> ,1(2)2V m C t r s R =++ ——理想气体的摩尔定容热容 第三章 略第四章 热力学第一定律1> A pdV δ= ——元功的表达(系统对外界所做的)2> 21V V A pdV =⎰ ——系统对外界所做的功 3> 21U U Q A '-=+ 或 21U U Q A -=- ——热力学第一定律(积分形式) dU Q A δδ'=+ 或 dU Q A δδ=- ——热力学第一定律(微分形式) 4> ()U U T = ——焦耳定律5> 0limT Q Q C T dTδ∆→∆==∆ ——热容 ()V V U C T∂=∂ ——定容热容 ()()[]p p p Q U pV C dT Tδ∂+==∂ ——定压热容 6> ,()V V m V C u C T ν∂==∂ ——气体摩尔定容热容 ,()()p m p m p C u pV C T ν∂+==∂ ——气体摩尔定压热容 Uu ν=7> ——理想气体的摩尔热容8> 8> ,,p m V m C C R =+ ——迈耶公式9>——1mol 理想气体准静态过程的公式 10> 1211Q Q A Q Q η-== ——(正)循环的效率 2212Q Q A Q Q ε=='- ——制冷系数 第五章 略第六章 固体和液体的性质 1> 00/1V V V T V T β∆∆==∆∆ 00[1()]t V V t t β=+- 1()p V V Tβ∂=∂ ——体胀系数2> 00/1L L L T L T α∆∆==∆∆ 00[1()]t L L t t α=+- 1()p L L Tα∂=∂ ——线胀系数 3> 1Tβ= ——理想气体体胀系数 4> 1()T T V V pκ∂=-∂ ——等温压缩系数 1()S S V V p κ∂=-∂ ——绝热压缩系数 5> 1T pκ= 1S p κγ= ——理想气体的等温压缩系数与绝热压缩系数 6> ,326p m C R =≈11••J mol K -- ——杜隆-珀蒂定律 7> T Q S xκτ∆=-∆ ——热传导定律 8> 00[1()]t R R t t γ=+- 001()t dR R dT γ= ——电阻温度系数9> F L α∆=∆ ——表面张力A S α∆=∆ ——表面张力做功 10> 2p R α∆=(凸球面) 2p Rα∆=-(凹球面) ——球形液面内外的压强差 p 内-p 外= 4Rα ——球形薄膜内外的压强差 11> 22cos h gR grααθρρ== ——毛细管液柱高度公式 第七章 相变 1> ,83K K m K RT p V = ——临界系数 2> 21()dp l dT T v v =- ——克拉珀龙方程 3> 0VS V p p S Ap -= ——道尔顿蒸发定律 4> V w p a R T= ——绝对湿度 22 4.6210()w R R M H O ==⨯ 11••J kg K -- ——水蒸气常数5> V S VSp a r a p == ——相对湿度 6> VS V d p p =- ——空气饱和差7> 62.2610L =⨯ 1•J kg - ——水的汽化热53.3410λ=⨯ 1•J kg - ——水的熔解热。
全国中学生物理竞赛公式全国中学生物理竞赛力学公式一、运动学1.椭圆的曲率半径2.牵连加速度3.等距螺旋线运动的加速度二、牛顿运动定律三、动量1.密舍尔斯基方程〔变质量物体的动力学方程〕()dv dm m F u v dt dt=+-〔其中v 为主体的速度,u 为即将成为主体的一局部的物体的速度〕 四、能量1.重力势能GMm W r=-〔一定有负号,而在电势能中,如果为同种电荷之间的相互作用的电势能,如此应该为正号,但在万有引力的势能中不存在这个问题,一定是负号!!!!〕2.柯尼希定理21''2k k c k kc E E M v E E =+=+〔E k ’为其在质心系中的动能〕 3.约化质量4.资用能〔即可以用于碰撞产生其他能量的动能〔质心的动能不能损失〔由动量守恒决定〕〕〕资用能常用于阈能的计算2212121122kr m m E u u m m μ==+〔u 为两个物体的相对速度〕 5.完全弹性碰撞与恢复系数(1)公式(2)恢复系数来表示完全弹性碰撞112211222112m v m v m u m u u u v v +=+-=-〔用这个方程解比用机械能守恒简单得多〕五、角动量 dL M I dtβ==〔I 为转动惯量〕 3.转动惯量4.常见物体的转动惯量(1)匀质球体225I mr = (2)匀质圆盘〔圆柱〕212I mr =(3)匀质细棒绕端点213I mr =(4)匀质细棒绕中点2112I mr = (5)匀质球壳223I mr =(6)薄板关于中心垂直轴221()12I m a b =+ 5.平行轴定理 2D C I I md =+〔I c 为相对质心且与需要求的轴平行的轴〕6.垂直轴定理(1)推论:一个平面分布的质点组,取z 轴垂直于此平面,x ,y 轴取在平面内,如此三根轴的转动惯量之间有关系 z x y I I I =+〔由此可以推出长方形薄板关于中心垂直轴的转动惯量221()12I m a b =+> 7.天体运动的能量 2GMm E a=-〔a 为椭圆轨道的半长轴,当然,抛物线轨道的能量为0,双曲线轨道的能量大于0〕 8.开普勒第三定律:2234T a GMπ= 六、静力学1.利用矢量的叉乘来解决空间受力平衡问题例如x 方向上的力矩:x y z z y M F r F r F r =⨯=-选一点为轴的话,可以直接列三个力矩平衡的方程来解决问题七、振动与波动1.简谐振动的判定方法2.简谐振动中的量的关系3.驻波min 2x λ=〔x 为相邻的波节或波腹间的距离,即驻波的图形中一个最小重复单位的长度〕4.多普勒效应(1)宏观物体的多普勒效应①观察者运动,波源不动②观察者不动,波源运动③观察者与波源都运动(2)光的多普勒效应注:多普勒效应中的速度的正负单独判断后带入公式中,其实只用记住观察者的运动影响在分子上,而波源运动的影响在分母下.5.有效势能与其应用22()()2eff L V r U r mr=+〔()U r 为传统意义的势能,如引力势能、静电势能、弹性势能,222L mr 是惯性离心力的势能〕振动的角频率满足:ω=〔物体在0r 附近振动,但应该满足''0eff V >,否如此轨道不稳定〕任意物体在0x 附近做简谐振动的条件为:00'()0,''()0U x U x =>其中求简谐振动的角频率的方法为:ω="()k U x =〕 全国中学生物理竞赛电学公式一、静电场:1.高斯定理:4επ∑⎰∑==⋅q q k S d E 封闭面 2.安培环路定理:0=⋅⎰l d E3.均匀带电球壳外表的电场强度:22R kQE =〔在计算相互作用的时候应该用这个公式〕4.无限长直导线产生的电场强度:r k E η2=5.无限大带电平板产生的场强:022εσσπ==k E 6.电偶极矩产生的场强 ①沿着两点连线方向:33rp k r ql kE == ②垂直方向:3322r p k r ql k E ==其中p 为电偶极矩=ql 7.实心球内部电势:322123RQ r k R Q k -=ϕ 8.实心球内部场强:3Qr E kR = 9.同心球形电容器:介电常数指内外球壳之间充满的其中εε)(1221R R k R R C -=即电解质会使电场强度变小但让电容变大10.静电场的能量:2022228E 22121E k C Q QU CU W επω=====电场能量密度为11.电场的极化:kdSC r kQU r Q kQ F E E r r r r r πεεεεε4)1(2210===≥=平行板电容器的电容:点电荷的电势:库仑定律: 对于平行板电容器有:000,Q Q CU S σ==〔不论是否有介质,用这个公式计算出的是自由电荷的密度,而极化电荷密度在平行板电容器中总是满足:01'r rεσσε-=,如果有多个介质在板中串联或并联,将它们分开为许多个电容,然后将电荷密度进展叠加就可以得到最终的自由电荷的密度与极化电荷的密度.〕12.电像法:无限大的接地平板的电像法略接地的球体:q hr q h r h -==','2可以看做将距离和电荷量都乘上一个比例系数hr 只不过电荷的性质相反! 二、稳恒电流 1. 法拉第电解定律:为化合价)为摩尔质量,为电化当量)n M FnMq m k kq m (:)2((:)1(==2. 电阻定律:)1()1(00t R R t ααρρ+=+=即〔t 为摄氏温度〕 3. △-Y 变换:312312233133123121223231231231121YR R R R R R R R R R R R R R R R R R ++=++=++=−→−∆即△-Y 为下求和,Y-△为上求和电容的△-Y 变换与电阻的恰好相反,△-Y 为上求和,Y-△为下求和4. 电流密度的定义:n j SI ∆∆= 5. 欧姆定律的另一表达形式:)1(,ρσ==E σj 6. 焦耳定律的微分形式:ρσ222j j V R I V P p ==== 7. 微观电流neSujS I neuj === 8. 电阻率对电子产生的加速度:9. 晶体三极管的电流分布:三、磁场与电磁感应1. 洛伦兹力B v q F ⨯=2. 毕奥-萨伐尔定律:20cos 4r L I B ϕπμ∆∑= 3. 无限长直流导线产生的磁场:r I r I k B πμ20== 4. 无限长密绕螺线管内部磁场:为单位长度的匝数)n nI B (0μ=5. 安培环路定理:⎰∑=⋅)0内(L I l d B μ〔可用此轻易推出无限长直导线的磁场〕6. 高斯定理:0S (=∆⋅∑)封闭面S B7. 复阻抗:)(1i j Cj X Lj X RX C L R 学中的为单位复数,相当与数ωω===8. 安培力产生的力偶矩:((M m B m m NISn n =⨯=为磁矩)且:为线圈的法向量且方向满足电流的右手螺旋定则)当然力偶矩的大小与所旋转轴无关,甚至所选转轴可以不在线圈平面内,只要满足转轴与力偶矩的方向平行即可〔即与力的方向垂直〕即BISN M =9. 磁矩产生的磁感应强度:032mB x μπ=10. 自感:I L t ε∆=-∆自感磁场能量:212L W LI = 11. 变压器中阻抗变换:2112'()(n R R n n =为原线圈的匝数) 全国中学生物理竞赛 光学 公式一、几何光学1.平面镜反射:2.平面折射〔视深公式〕''n n n n u v R-+=〔圆心在像方半径取正,圆心在物方半径取负〕 以上所有:0,00,0u u v v ><><实物,,虚物实像,,虚像二、波动光学注意关注牛顿环干预的原理,尤其是注意是在球面上反射的光线〔没有半波损失〕与在最低的平面处反射的光线〔有半波损失〕进展干预,而不是在最上面的平面反射的光线进展干预!而且牛顿环作为一种特殊的等厚干预,光在空气层中的路径要计算两次!所以可以得到牛顿环的公式如下: ,3,2,1,0()21(=+=k R k r k λ……〕〔指的是第k 级明纹的位置,中央为暗纹〕22cos 2i h n =∆〔注意等倾干预的半波损失有两种情况〕 〔2i 指的是第一次进入2n 介质的折射角〕6.等厚干预〔略〕''ff xx =〔其中x 与'x 为以焦距计算的物距和像距〕对于物方与像方折射率一样的透镜有牛顿公式的符号规如此为:以物方焦点的远离光心的距离为牛顿物距〔即当经典物距小于焦距的物体的牛顿物距小于零〕;以像方焦点的远离光心的距离为牛顿像距.x d D针对于玻璃球而言A 为齐明点,R n n AO 12=〔即从任何位置看A 点的像在同一位置〕1.22d λθ=〔即艾里斑〕全国中学生物理竞赛 近代物理学 公式一、洛伦兹变换与其推论:2222121222011''1cv c v t t t t t cv l l -∆=--=-=∆-=τ钟慢效应:尺缩效应:〔这两个公式最好不要用,最好用最根底的洛伦兹变换来进展推导,否如此容易在确定不变量的时候出现问题〕小心推导钟慢效应与尺缩效应的时候不要弄反了一定要分析到底在哪一个参考系中x 或者t 是不变的速度变换:〔这个可以由洛伦兹变换求导推出〕<系的速度系相对为S S v '> 正向:222222211'11'1'cvu c v u u c vu c v u u c vu vu u x z z x y y x x x --=--=--= 逆向:2222222'11''11''1'c v u c v u u cv u c v u u cv u v u u x z z xy y xx x +-=+-=++= 时间与空间距离变换:二、相对论力学:动量:0p mv m v γ===能量:2220=E mc m c γ== 动能满足:202c m mc E k -=又有:224202c p c m E +=全国中学生物理竞赛 热学 公式一、理想气体1.理想气体状态方程2.平均平动动能与温度的关系3.能均分定理二、固体液体气体和热传导方式4.热传导定律5.辐射6.膨胀7.外表X 力8.液体形成的球形空泡〔两面都是空气〕由于外表X 力产生的附加压强为:三、特殊准静态过程<1>状态方程〔泊松方程〕 完整的应为:)(,111Const T P Const PT Const TVConstPV ====---γγγγγγ <2>做功 2122111d ()1V V W p V p V p V γ==--⎰〔整个方程实际的意义就是:V W nC T =∆,本来是很简单的,所以对于绝热过程来说,一般不要乱用泊松方程,否如此会误入歧途,因为泊松方程好似与热力学第一定律加上理想气体状态方程完全等效〕 W Q U +=∆〔Q 指系统吸收的热量,W 指外界对系统做的功〕开尔文表述:不可能从单一热源吸收热量,使之完全变为有用功而不产生其他影响.〔第二类永动机是不可能造成的〕 克劳修斯表述:不可能把热量从低温物体传到高温物体而不引起其他变化.全国中学生物理竞赛原子物理 公式1.波尔相关理论:o11212120.53A 53pm13.6n n r E eVn m r r ZMZ M E E n m ===-==〔m 为电子的质量,M 为相当于电子的粒子的质量,比如μ-子〕12212(th M M E Q M M M +=为运动粒子质量,为静止粒子的质量)〔最好用资用能来进展推导,这个比拟保险,公式容易记错〕1.p x h ∆∆≥2.E t h ∆∆≥ 〔另有说法为,44hhp x E t ππ∆∆>∆∆>〕 5.光电效应光子携带能量:E h ν= 光电子的动能:k E h W ν=-逸出功 反向截止电压:k h W E V e eν-==逸出功[附]三角函数公式。
物理高中热学公式1. 热力学第一定律:ΔU = Q + W,其中ΔU为内能变化,Q为系统与外界交换的热量,W为系统所做的功。
2. 热力学第二定律:ΔS = Q/T,其中ΔS为系统熵的变化,Q为热量,T为温度。
3. 热容:C = Q/ΔT,其中C为热容,Q为系统吸收或释放的热量,ΔT为温度变化量。
4. 比热容:c = C/m,其中m为物体的质量。
5. 热传导定律:Q = kAΔT/x,其中Q为热量,k为热导率,A为面积,ΔT为温度差,x为导热距离。
6. 热辐射定律:P = σA(T^4 – T0^4),其中P为单位时间内辐射的能量,σ为斯蒂芬—玻尔兹曼常数,A为发射体参考面积,T为发射体温度,T0为参考温度。
7. 热力学循环效率:η = (W净 / Q热) × 100%,其中W净为系统净工作量,Q热为系统吸收的热量。
8. 热力学效率公式:η = (T1 – T2) / T1,其中T1为热源温度,T2为冷源温度。
9. 热平衡方程:m1c1ΔT1 = m2c2ΔT2,其中m为物体的质量,c为比热容,ΔT为温差。
10. 热力学势公式:G = H – TS,其中G为吉布斯自由能,H为焓,T为温度,S为熵。
11. 熵变公式:ΔS = Qrev / T,其中ΔS为系统的熵变,Qrev为可逆过程吸放热量,T为温度。
12. 等温过程:Q = W,即等温过程中外界对系统所做的功等于系统吸收的热量。
13. 等体过程:W = 0,即等体过程中系统不做功,热量全部转化为内能。
14. 等压过程:W = PΔV,即等压过程中外界对系统所做的功等于压力乘以体积的变化量。
15. 等焓过程:Q = ΔH,即等焓过程中外界与系统的热交换量等于系统焓的变化量。
热力学第二定律 热传递方式一、热力学第二定律表述1:热量只能自发的从高温物体转移至低温物体。
如果想让热量由低温物体转移到高温物体,一定会引起其他变化(需要做功)。
热传递的方向性表述2:不可能从单一热源取热,把它全部变为功而不产生其他任何影响机械能、内能转化的方向性(能量耗散)表述3:有序到无序,熵增加第一类永动机:不需要动力的机器,它可以源源不断的对外界做功违反能量守恒定律第二类永动机:从单一热库吸收热量,全部用于做功。
违反热力学第二定律:机械能与内能的转化具有方向性,机械能可以转化内能,但内能却不能全部转化为机械能而不引起其它变化。
二、卡诺循环当高温热源和低温热源的温度确定之后,所有热机中,按照卡诺循环运行的热机效率是最高的。
(证明略)卡诺循环由两个等温过程和两个绝热过程组成。
从高温热源等温吸热Q 1,对外做功,并向低温热源散热Q 2。
两个绝热过程中,没有热传递,做功等于内能变化,为相反数。
2i W nR T =∆ 两个等温过程中,热量交换加上做功等于0,因此,在高温热源吸热:21111ln V Q W nRT V =-= 在低温热源放热:42223lnV Q W nRT V =-= 利用绝热过程的状态方程:2233PV PV γγ=,即 112132V nRT V nRT γγ--= 4411PV PV γγ=,即 114211V nRT V nRT γγ--= 有上述公式可得卡诺热机的效率,即最大效率:121211Q Q T T Q T η--== 如果将上述过程反过来,叫做逆卡诺循环,即在外界做功W 的帮助下,从低温热源吸热Q 2,向高温热源散热Q 1。
例如空调、冰箱都有这种功能。
(但现实中的空调、冰箱不一定满足逆卡诺循环的条件)。
对于逆卡诺循环,常用制冷系数进行描述:221212Q T Q Q T T ω==--例1、有一卡诺致冷机,从温度为-10℃的冷藏室吸取热量,而向温度为20℃的物体放出热量。
高中物理竞赛辅导教程(新大纲版)一、力学部分1. 运动学- 基本概念:位移、速度、加速度。
位移是矢量,表示位置的变化;速度是描述物体运动快慢和方向的物理量,加速度则反映速度变化的快慢。
- 匀变速直线运动公式:v = v_0+at,x=v_0t+(1)/(2)at^2,v^2-v_{0}^2 = 2ax。
这些公式在解决直线运动问题时非常关键,要注意各物理量的正负取值。
- 相对运动:要理解相对速度的概念,例如v_{AB}=v_{A}-v_{B},在处理多个物体相对运动的问题时很有用。
- 曲线运动:重点掌握平抛运动和圆周运动。
平抛运动可分解为水平方向的匀速直线运动和竖直方向的自由落体运动;圆周运动中要理解向心加速度a =frac{v^2}{r}=ω^2r,向心力F = ma的来源和计算。
2. 牛顿运动定律- 牛顿第二定律F = ma是核心。
要学会对物体进行受力分析,正确画出受力图。
- 整体法和隔离法:在处理多个物体组成的系统时,整体法可以简化问题,求出系统的加速度;隔离法用于分析系统内单个物体的受力情况。
- 超重和失重:当物体具有向上的加速度时超重,具有向下的加速度时失重,加速度为g时完全失重。
3. 动量与能量- 动量定理I=Δ p,其中I是合外力的冲量,Δ p是动量的变化量。
- 动量守恒定律:对于一个系统,如果合外力为零,则系统的总动量守恒。
在碰撞、爆炸等问题中经常用到。
- 动能定理W=Δ E_{k},要明确功是能量转化的量度。
- 机械能守恒定律:在只有重力或弹力做功的系统内,机械能守恒。
要熟练掌握机械能守恒定律的表达式E_{k1}+E_{p1}=E_{k2}+E_{p2}。
二、电磁学部分1. 电场- 库仑定律F = kfrac{q_{1}q_{2}}{r^2},描述真空中两个静止点电荷之间的相互作用力。
- 电场强度E=(F)/(q),电场线可以形象地描述电场的分布情况。
- 电势、电势差:U_{AB}=φ_{A}-φ_{B},电场力做功与电势差的关系W = qU。
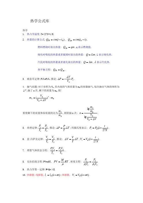
热学公式库热学1. 热力学温度:T=(273+t)K.2. 热量的计算公式:)(0t t cm Q 吸-=, )(0t t cm Q 放-=.燃料燃烧时放出热量: qm Q 放=,q 表示燃烧值.熔化时吸收的热量或者凝固时放出的热量: Lm Q =,L 表示熔化热. 汽化时吸收的热量或者液化放出的热量: m Q λ=,λ表示汽化热. 热平衡方程: 放吸Q Q =.3. 玻意耳定律:P 1V 1=P 2V 2.推论:12P V V P ∆-=∆. 4. 抽气问题:对于容积为V 0,其内部的气体质量为m 0的容器抽气,每次抽出气体的体积为 ΔV,抽了n 次,剩下的质量为m n ,则: 000)(m VV V m n n ⋅∆+= 要使剩下的质量和原质量的比为0m m n ,则需抽n 次: V V V m m n n∆+=000lg lg. 5. 查理定律:2211T P T P =,推论:T T P P ∆=∆;用摄氏度表示: )2731(0t P P t +=. 6. 盖·吕萨克定律: 2211T V T V =,推论: T T V V ∆=∆;)2731(0t V V t +=. 7. 理想气体状态方程:222111T V P T V P =. 8. 克拉伯珑方程:PV=nRT, RT M PV μ=.密度方程: 222111T P T P ρρ= 9. 热力学第一定律:W+Q=ΔE. 10. 热膨胀:线膨胀,)1(0t l l t α+=;体膨胀, )1(0t V V t α+=.对于均匀各向同性的固体β=3α,对于气体12731-=度β. 10.相对湿度: %100%1002121⨯=⨯=P P B ρρ. 11.毛细现象,液面升高的高度: g r h ρσ2=. 热学公式库.doc电学公式库.doc光学公式库.doc原子原子核公式库.doc所有公式库.doc常用的物理常数.doc常用数学公式库.doc。
高中物理公式大全总结及解释高中物理涉及的公式非常多,涵盖了力学、热学、光学、电磁学等多个领域。
以下是一些常见的高中物理公式及其简要解释:1. 动力学。
动能公式,\[E_k = \frac{1}{2}mv^2\],其中 \(E_k\) 为动能,\(m\) 为物体的质量,\(v\) 为物体的速度。
动量公式,\[p = mv\],其中 \(p\) 为动量,\(m\) 为物体的质量,\(v\) 为物体的速度。
2. 热学。
热力学第一定律,\[Q = mc\Delta T\],其中 \(Q\) 为热量,\(m\) 为物体的质量,\(c\) 为物体的比热容,\(\Delta T\) 为温度变化。
热力学第二定律,\[Q = mL\],其中 \(Q\) 为吸收或放出的潜热,\(m\) 为物质的质量,\(L\) 为物质的潜热。
3. 光学。
折射定律,\[\frac{n_1}{n_2} =\frac{\sin\theta_2}{\sin\theta_1}\],其中 \(n_1\) 和 \(n_2\) 分别为两种介质的折射率,\(\theta_1\) 和 \(\theta_2\) 分别为入射角和折射角。
透镜公式,\[\frac{1}{f} = \frac{1}{d_o} +\frac{1}{d_i}\],其中 \(f\) 为透镜焦距,\(d_o\) 为物体距透镜的距离,\(d_i\) 为像距。
4. 电磁学。
电流强度公式,\[I = \frac{Q}{t}\],其中 \(I\) 为电流强度,\(Q\) 为通过导体横截面的电荷量,\(t\) 为时间。
电压公式,\[U = IR\],其中 \(U\) 为电压,\(I\) 为电流强度,\(R\) 为电阻。
这些公式只是高中物理中的一部分,每个公式都有其特定的应用场景和解释。
希望这些简要的公式及解释能够帮助您更好地理解高中物理知识。
物理竞赛所有公式 Company number:【WTUT-WT88Y-W8BBGB-BWYTT-19998】第一章 质点运动学和牛顿运动定律平均速度 v =t△△r瞬时速度 v=lim△t →△t △r =dtdr1. 3速度v=dtds ==→→lim lim△t 0△t △t△r 平均加速度a =△t△v瞬时加速度(加速度)a=lim△t →△t △v =dtdv瞬时加速度a=dt dv =22dtrd匀速直线运动质点坐标x=x 0+vt 变速运动速度 v=v 0+at 变速运动质点坐标x=x 0+v 0t+21at 2速度随坐标变化公式:v 2-v 02=2a(x-x 0) 自由落体运动 竖直上抛运动抛体运动速度分量⎩⎨⎧-==gt a v v av v yx sin cos 00抛体运动距离分量⎪⎩⎪⎨⎧-•=•=20021sin cos gt t a v y t a v x射程 X=gav 2sin 20射高Y=gav 22sin 20飞行时间y=xtga —ggx2轨迹方程y=xtga —av gx 2202cos 2 向心加速度 a=Rv 2圆周运动加速度等于切向加速度与法向加速度矢量和a=a t +a n加速度数值 a=22n t a a +法向加速度和匀速圆周运动的向心加速度相同a n =Rv 2切向加速度只改变速度的大小a t =dtdvωΦR dtd R dt ds v ===角速度 dt φωd =角加速度 22dt dtd d φωα== 角加速度a 与线加速度a n 、a t 间的关系a n =222)(ωωR RR R v == a t =αωR dtd R dt dv == 牛顿第一定律:任何物体都保持静止或匀速直线运动状态,除非它受到作用力而被迫改变这种状态。
牛顿第二定律:物体受到外力作用时,所获得的加速度a 的大小与外力F 的大小成正比,与物体的质量m 成反比;加速度的方向与外力的方向相同。
物理热学公式物理这门学科呀,就像是一个充满奇妙秘密的大宝库,而热学公式就是打开这个宝库的一把把神奇钥匙。
咱先来说说比热容的公式Q = cmΔT 。
这里的 Q 代表吸收或放出的热量,c 是比热容,m 是质量,ΔT 是温度的变化量。
记得有一次,我在实验室里做实验,研究不同物质的比热容。
当时我选了水和铁两种材料,同样质量的它们,在吸收相同热量的情况下,温度变化却截然不同。
水的温度上升得慢悠悠的,而铁就像个急性子,温度蹭蹭地往上蹿。
我盯着温度计,心里直犯嘀咕:“这差别咋这么大呢!”后来一分析,原来是因为水的比热容大,要让它升温,得费好大的劲儿。
再看看热平衡方程 Q 吸 = Q 放。
这个公式在实际生活中可太有用啦!比如说,冬天的时候,家里开着暖气。
暖气片中热水放出的热量,就等于房间里空气吸收的热量,这样才能让房间逐渐暖和起来。
有一回,我去朋友家做客,一进门就感觉特别暖和,朋友还得意地跟我说:“我算好了暖气片的散热量和房间的大小,所以这温度刚刚好!”我当时就想,这热学公式还真是能派上大用场。
还有热传递公式Q = K·A·ΔT·t ,其中 K 是热传递系数,A 是传热面积,ΔT 是温差,t 是传热时间。
我曾经观察过家里的电水壶烧水,那壶底和加热装置接触的部分,传热面积大,温差也大,所以热量传递得特别快,不一会儿水就咕噜咕噜冒泡了。
这些热学公式呀,不仅仅是写在书本上的符号,它们真真切切地存在于我们的生活中。
就像我们夏天吃冰棍,冰棍融化得慢,是因为周围环境传递给它的热量相对较少;冬天我们穿上厚厚的棉衣,就是为了减少身体向外散失的热量,保持温暖。
在学习热学公式的过程中,可不能死记硬背。
要多结合实际,多去想想生活中的例子。
比如说,汽车发动机的散热,空调的制冷原理,甚至是做饭时锅里的热气腾腾,都和热学公式有着千丝万缕的联系。
当我们真正理解了这些公式,就能像掌握了神奇的魔法一样,解释生活中各种各样的热现象。
第一章 质点运动学和牛顿运动定律1.1平均速度 v =t△△r1.2 瞬时速度 v=lim 0△t →△t△r =dt dr1. 3速度v=dt ds ==→→lim lim△t 0△t △t △r1.6 平均加速度a =△t△v1.7瞬时加速度(加速度)a=lim△t →△t △v =dtdv1.8瞬时加速度a=dt dv =22dtrd1.11匀速直线运动质点坐标x=x 0+vt 1.12变速运动速度 v=v 0+at 1.13变速运动质点坐标x=x 0+v 0t+21at 2 1.14速度随坐标变化公式:v 2-v 02=2a(x-x 0) 1.15自由落体运动 1.16竖直上抛运动⎪⎩⎪⎨⎧===gyv at y gt v 22122 ⎪⎪⎩⎪⎪⎨⎧-=-=-=gyv v gt t v y gt v v 221202200 1.17 抛体运动速度分量⎩⎨⎧-==gt a v v av v yx sin cos 001.18 抛体运动距离分量⎪⎩⎪⎨⎧-•=•=20021sin cos gt t a v y t a v x1.19射程 X=gav 2sin 201.20射高Y=gav 22sin 201.21飞行时间y=xtga —g gx 21.22轨迹方程y=xtga —av gx 2202cos 2 1.23向心加速度 a=Rv 21.24圆周运动加速度等于切向加速度与法向加速度矢量和a=a t +a n1.25 加速度数值 a=22n t a a +1.26 法向加速度和匀速圆周运动的向心加速度相同a n =Rv 21.27切向加速度只改变速度的大小a t =dtdv1.28 ωΦR dtd R dt ds v ===1.29角速度 dtφωd =1.30角加速度 22dt dtd d φωα== 1.31角加速度a 与线加速度a n 、a t 间的关系a n =222)(ωωR RR R v == a t =αωR dtd R dt dv ==牛顿第一定律:任何物体都保持静止或匀速直线运动状态,除非它受到作用力而被迫改变这种状态。
物理化学 热力学第一定律功:δW =δW e +δW f(1)膨胀功 δW e =p 外dV 膨胀功为正,压缩功为负。
(2)非膨胀功δW f =xdy非膨胀功为广义力乘以广义位移。
如δW (机械功)=fdL ,δW (电功)=EdQ ,δW (表面功)=rdA 。
热 Q :体系吸热为正,放热为负。
热力学第一定律: △U =Q —W 焓 H =U +pV 理想气体的内能和焓只是温度的单值函数。
热容 C =δQ/dT(1)等压热容:C p =δQ p /dT = (∂H/∂T )p (2)等容热容:C v =δQ v /dT = (∂U/∂T )v 常温下单原子分子:C v ,m =C v ,m t =3R/2常温下双原子分子:C v ,m =C v ,m t +C v ,m r =5R/2 等压热容与等容热容之差:(1)任意体系 C p —C v =[p +(∂U/∂V )T ](∂V/∂T )p (2)理想气体 C p —C v =nR 理想气体绝热可逆过程方程:pV γ=常数 TV γ-1=常数 p 1-γT γ=常数 γ=C p / C v 理想气体绝热功:W =C v (T 1—T 2)=11-γ(p 1V 1—p 2V 2)理想气体多方可逆过程:W =1nR-δ(T 1—T 2)热机效率:η=212T T T - 冷冻系数:β=-Q 1/W可逆制冷机冷冻系数:β=121T T T -焦汤系数: μJ -T =HpT⎪⎪⎭⎫⎝⎛∂∂=-()p T C p H ∂∂ 实际气体的ΔH 和ΔU : ΔU =dT T U V ⎪⎭⎫⎝⎛∂∂+dV V U T ⎪⎭⎫ ⎝⎛∂∂ ΔH =dT T H P ⎪⎭⎫⎝⎛∂∂+dp pH T⎪⎪⎭⎫⎝⎛∂∂ 化学反应的等压热效应与等容热效应的关系:Q p =Q V +ΔnRT 当反应进度 ξ=1mol 时, Δr H m =Δr U m +∑BB γRT化学反应热效应与温度的关系:()()()dTB C T H T H 21T T m p B1m r 2m r ⎰∑∆∆,+=γ热力学第二定律Clausius 不等式:0TQS BAB A ≥∆∑→δ—熵函数的定义:dS =δQ R /T Boltzman 熵定理:S =kln Ω Helmbolz 自由能定义:F =U —TS Gibbs 自由能定义:G =H -TS 热力学基本公式:(1)组成恒定、不作非膨胀功的封闭体系的热力学基本方程:dU =TdS -pdV dH =TdS +Vdp dF =-SdT -pdV dG =-SdT +Vdp (2)Maxwell 关系: T V S ⎪⎭⎫⎝⎛∂∂=VT p ⎪⎭⎫⎝⎛∂∂ Tp S ⎪⎪⎭⎫ ⎝⎛∂∂=-p T V ⎪⎭⎫⎝⎛∂∂ (3)热容与T 、S 、p 、V 的关系:C V =T VT S ⎪⎭⎫⎝⎛∂∂ C p =T p T S ⎪⎭⎫⎝⎛∂∂ Gibbs 自由能与温度的关系:Gibbs -Helmholtz 公式 ()pT /G ⎥⎦⎤⎢⎣⎡∂∆∂T =-2TH ∆单组分体系的两相平衡: (1)Clapeyron 方程式:dTdp =mX m X V T H ∆∆ 式中x 代表vap ,fus ,sub 。
第一章 质点运动学和牛顿运动定律1.1平均速度 v =t △△r1.2 瞬时速度 v=lim△t →△t △r =dtdr1. 3速度v=dtds ==→→limlim△t 0△t △t△r 1.6 平均加速度a =△t△v1.7瞬时加速度(加速度)a=lim△t →△t △v =dtdv1.8瞬时加速度a=dt dv =22dtrd1.11匀速直线运动质点坐标x=x 0+vt 1.12变速运动速度 v=v 0+at1.13变速运动质点坐标x=x 0+v 0t+21at 21.14速度随坐标变化公式:v 2-v 02=2a(x-x 0) 1.15自由落体运动 1.16竖直上抛运动⎪⎩⎪⎨⎧===gy v at y gtv 22122 ⎪⎪⎩⎪⎪⎨⎧-=-=-=gyv v gt t v y gt v v 221202200 1.17 抛体运动速度分量⎩⎨⎧-==gt a v v av v yx sin cos 001.18 抛体运动距离分量⎪⎩⎪⎨⎧-•=•=20021sin cos gt t a v y t a v x1.19射程 X=g av 2sin 21.20射高Y=gav 22sin 201.21飞行时间y=xtga —ggx 21.22轨迹方程y=xtga —av gx 2202cos 2 1.23向心加速度 a=Rv 21.24圆周运动加速度等于切向加速度与法向加速度矢量和a=a t +a n1.25 加速度数值 a=22n t a a +1.26 法向加速度和匀速圆周运动的向心加速度相同a n =Rv 21.27切向加速度只改变速度的大小a t =dtdv1.28 ωΦR dtd R dt ds v ===1.29角速度 dtφωd =1.30角加速度 22dt dtd d φωα== 1.31角加速度a 与线加速度a n 、a t 间的关系a n =222)(ωωR RR R v == a t =αωR dtd R dt dv ==牛顿第一定律:任何物体都保持静止或匀速直线运动状态,除非它受到作用力而被迫改变这种状态。
高中物理竞赛热学公式整合
第一章 热力学平衡态和气体物态方程
1> pV TR ν= ——理想气体物态方程
8.314R =11••J mol kg -- 2> 222213
x y z v v v v === ——分子的速度分布 3> 213
p nmv =
23
k p n E = ——理想气体的压强公式 4> 32k E kT = ——分子运动的能量公式 231.3810A
R k N -==⨯1•J K - 5> p nkT = ——阿伏伽德罗定律
6> 12i p p p p =++⋅⋅⋅+ ——道尔顿分压定律
第二章 气体分子的统计分布律 1> 23/2224()2mv kT dN m v e dv N kT
ππ-= ——麦克斯韦速率分布律
2> P v = ——最概然速率
v =——平均速率
r v ==——方均根速率
3> /0
P E kT n n e -= ——玻尔兹曼分布律 /0m g z k T
n n e -= ——气体分子在重力场中按高度的分布律 4> 0Mgz RT z p p e
-= ——等温气压公式 0ln z p RT z Mg p =
5> 1(2)2
E t r s kT =
++ ——分子的平均总能量(能量按自由度均分定理) 6> 1(2)2
m U t r s RT M =++ ——理想气体的内能 1(2)2
m U t r s R T M ∆=++∆ 7> ,1(2)2V m C t r s R =++ ——理想气体的摩尔定容热容 第三章 略
第四章 热力学第一定律
1> A pdV δ= ——元功的表达(系统对外界所做的)
2> 2
1V V A pdV =⎰ ——系统对外界所做的功 3> 21U U Q A '-=+ 或 21U U Q A -=- ——热力学第一定律(积分形式) d U Q A
δδ'=+ 或 dU Q A δδ=- ——热力学第一定律(微分形式) 4> ()U U T = ——焦耳定律 5> 0lim
T Q Q C T dT
δ∆→∆==∆ ——热容 ()V V U C T
∂=∂ ——定容热容 ()()[]p p p Q U pV C dT T
δ∂+==∂ ——定压热容 6> ,()V V m V C u C T ν∂==∂ ——气体摩尔定容热容 ,()()p m p m p C u pV C T ν∂+=
=∂ ——气体摩尔定压热容 U
u ν
=
7>
——理想气体的摩尔热容
8> ,,p m V m C C R =+ ——迈耶公式
9>
——1mol 理想气体准静态过程的公式 10> 1211
Q Q A Q Q η-== ——(正)循环的效率 2212
Q Q A Q Q ε=='- ——制冷系数 第五章 略
第六章 固体和液体的性质 1> 00/1V V V T V T β∆∆==∆∆ 00[1()]t V V t t β=+- 1()p V V T
β∂=∂ ——体胀系数
2> 00/1L L L T L T α∆∆==∆∆ 00[1()]t L L t t α=+- 1()p L L T
α∂=∂ ——线胀系数 3> 1T
β= ——理想气体体胀系数 4> 1()T T V V p
κ∂=-∂ ——等温压缩系数 1()S S V V p κ∂=-
∂ ——绝热压缩系数 5> 1T p
κ= 1S p κγ= ——理想气体的等温压缩系数与绝热压缩系数 6> ,326p m C R =≈11••J mol K -- ——杜隆-珀蒂定律 7> T Q S x
κτ∆=-∆ ——热传导定律 8> 00[1()]t R R t t γ=+- 001()t dR R dT γ= ——电阻温度系数
9> F L α∆=∆ ——表面张力
A S α∆=∆ ——表面张力做功 10> 2p R α∆=(凸球面) 2p R
α∆=-(凹球面) ——球形液面内外的压强差 p 内-p 外= 4R
α ——球形薄膜内外的压强差 11> 22cos h gR gr
ααθρρ== ——毛细管液柱高度公式 第七章 相变 1> ,83
K K m K RT p V = ——临界系数 2> 21()
dp l dT T v v =- ——克拉珀龙方程 3> 0VS V p p S A
p -= ——道尔顿蒸发定律 4> V w p a R T
= ——绝对湿度 22 4.6210()w R R M H O =
=⨯ 11••J kg K -- ——水蒸气常数
5> V S VS
p a
r a p == ——相对湿度
6> VS V d p p =- ——空气饱和差
7> 62.2610L =⨯ 1•J kg - ——水的汽化热 53.3410λ=⨯ 1•J kg - ——水的熔解热。