中国教育经费年鉴2015全国各地区高等职业院校:中国2014年教育经费支出明细统计(高等学校)
- 格式:xlsx
- 大小:14.83 KB
- 文档页数:4
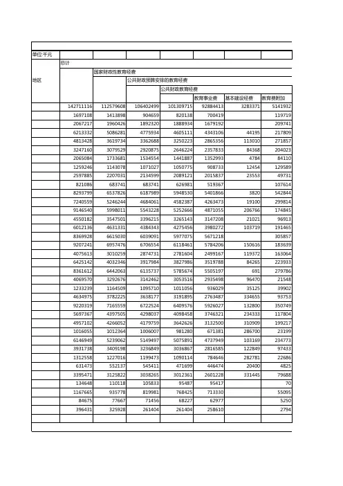
单位:千元教育事业费基本建设经费教育费附加合计879948467515843370021375651888985515134018837558153803北京1522962137515313164531149943109563354310天津13028481179144114167411155051013508101997河北216785916429431610841153122813799031200150125山西20277851789767167055415564131532769663817006内蒙古146211613111551210416991499938694990042906辽宁3120402283573827719172371913189741716800457696吉林13707151291215118840311116797547558000348924黑龙江10602088206117851276986146631311326122223上海26266641960112194043317751881574388200800江苏10598665908661482639837505797632653642221175038浙江23152001921900178651316511391398946252193安徽3721336322868129268162723091202781472746622531福建3973827369928533453653155665241083495332649499江西1612091131068413070931255347100170322328930354山东7781992703897864139526317300529899583627934679河南39516693478047307734927048702333142105607266120湖北32133182558536247821223135031836363106365370776湖南11697668374608167407712546922012000059053广东976938381583787522098718120357458891011581334156广西40305313436153322865830996842819631109494170559海南105046796292495522289087581090879967重庆10408867765447415266539175921014531916497四川3385003273914022435702174398197379050448150160贵州235143721930272150410209719420017454259852851云南30270232381086236093120949891749533196940148516西藏55764355368651424249702341982377200陕西82880568377965682062051561780616001110甘肃2720764235387021958321973716173623976245161232青海10030778300937941907071725875832330296287宁夏5680454995684703423865763184713000038105新疆26623592224161213569221116861601089282495228102大连30598029068829068026582123442931392宁波68994655282550225545836941544042930厦门84101479785079590072676847491369552182303总计国家财政性教育经费公共财政预算安排的教育经费公共财政教育经费科研经费地区青岛26128024104519469517260915791914690深圳47102338788838240735973723771710800111219483247848732492886296102105914545616651156766335002616921327592016144796133189231892299311414110718640741662621891746470105512491653665400004432752949213901254676724102812418978651335333644165245107407581877945466113961286272400013537413538839855632620372530166512216015889518970134015828954024851517463330373150096653587256451545624913724793995533051052337316470877605237305007472045485206951549550003408966305334662213108012897419578517661515306643466965696587609350179562246576917249416850084341070532163955821248265941183441721939443944336305269582221161555881091663542424508701734915297861069837662922680203681240066149251829600251912485984388550570254034586913219501250中国2014年教育经费收入情况统计(中等专业学校)其他地方教育附加政府性基金预算安排的教育经费企业办学中的企业拨款从土地出让收益中计提的教育资金220864635025836110872267154816摘编自《中国教育经费统计年鉴2015》118352220649104378193315018532101493880212027140060414008001427490152688548389391458408517885309161000200880046313761901231072611800377695680163111452296211520009677238825250574719238269321170926909237873720059202544140240872247030592052371811625131127936798911424258401293101786158794297民办学校中举办者投入捐赠收入校)校办产业和社会服务收入用于教育的经费其他属于国家财政性教育经费919258560532083318801123982734642367889841838953200943023434330778941179516701895710212704781215225142525561978633168156631533202237920534116219326888310931236765354163114238268985832086817776473791214536413351316150700421918184459770605249303208987503045708693526191648352919682220711585774532733031291894432860481992114600912585658239243062684378292379831272616599149515213481918111290786906751459328939687927118211561353811035878726241928639477222031859746478279475632719892316498204594450422946685252678298262478176590109866245728119246496336822478288511464416867646322000事业收入其他教育经费学费16632120053603 130201002570115。
2015年全国教育经费总投入为36129.19亿元国家教育部据中经未来产业研究院数据库显示:2015年,全国教育经费总投入为36129.19亿元,比上年的32806.46亿元增长10.13%。
其中,国家财政性教育经费(主要包括公共财政预算安排的教育经费,政府性基金预算安排的教育经费,企业办学中的企业拨款,校办产业和社会服务收入用于教育的经费等)为29221.45亿元,比上年的26420.58亿元增长10.60%。
1.全国公共财政教育支出(包括教育事业费,基建经费和教育费附加)为25861.87亿元,比上年增长14.55%,同口径*增长9.41%。
其中,中央财政教育支出4245.58亿元,比上年增长3.51%。
2.各级教育生均公共财政预算教育事业费支出增长情况。
2015年全国普通小学、普通初中、普通高中、中等职业学校、普通高等学校生均公共财政预算教育事业费支出情况是:(1)全国普通小学为8838.44元,比上年的7681.02元增长15.07%。
其中,农村为8576.75元,比上年的7403.91元增长15.84%。
普通小学增长最快的是西藏自治区(43.81%)。
(2)全国普通初中为12105.08元,比上年的10359.33元增长16.85%。
其中:农村为11348.79元,比上年的9711.82元增长16.86%。
普通初中增长最快的是西藏自治区(43.37%)。
(3)全国普通高中为10820.96元,比上年的9024.96元增长19.90%。
增长最快的是湖北省(47.23%)。
(4)全国中等职业学校为10961.07元,比上年的9128.83元增长20.07%。
增长最快的是湖北省(54.00%)。
(5)全国普通高等学校为18143.57元,比上年的16102.72元增长12.67%。
增长最快的是宁夏回族自治区(54.79%)。
3.各级教育生均公共财政预算公用经费支出增长情况。
2015年全国普通小学、普通初中、普通高中、中等职业学校、普通高等学校生均公共财政预算公用经费支出情况是:(1)全国普通小学为2434.26元,比上年的2241.83元增长8.58%。
2014年全国教育经费总投入32806亿元店铺高考网为大家提供2014年全国教育经费总投入32806亿元,更多高考资讯请关注我们网站的更新!2014年全国教育经费总投入32806亿元据教育部网站消息,教育部、国家统计局、财政部联合下发《关于2014年全国教育经费执行情况统计公告》,《公告》显示,2014年,全国教育经费总投入为32806.46亿元,比上年的30364.72亿元增长8.04%。
其中,国家财政性教育经费(主要包括公共财政预算安排的教育经费,政府性基金预算安排的教育经费,企业办学中的企业拨款,校办产业和社会服务收入用于教育的经费等)为26420.58亿元,比上年的24488.22亿元增长7.89%。
《公告》显示,2014年全国普通小学、普通初中、普通高中、中等职业学校、普通高等学校生均公共财政预算教育事业费支出情况是:——全国普通小学为2241.83元,比上年的2068.47元增长8.38%。
其中:农村为2102.09元,比上年的1973.53元增长6.51%。
普通小学增长最快的是西藏自治区(93.35%)。
——全国普通初中为3120.81元,比上年的2983.75元增长4.59%。
其中:农村为2915.31元,比上年的2968.37元下降1.79%。
普通初中增长最快的是西藏自治区(32.84%)。
——全国普通高中为2699.59元,比上年的2742.01元下降1.55%。
增长最快的是天津市(87.16%)。
——全国中等职业学校为3680.83元,比上年的3578.25元增长2.87%。
增长最快的是西藏自治区(178.86%)。
——全国普通高等学校为7637.97元,比上年的7899.07元下降3.31%。
增长最快的是福建省(35.35%)。
《公告》指出,2014年,全国公共财政教育支出占公共财政支出151785.56亿元的比例为14.87%,比上年的15.27%降低了0.4个百分点。