中国中部百强县(市)名单
- 格式:xls
- 大小:41.00 KB
- 文档页数:3
中国百强县市区地图出炉作者:杜弘禹来源:《记者观察》2019年第11期在日渐繁华、光芒四射的大城市之后隐藏着数以千计的中小城市,它们多以县、区的状态存在。
那么作为经济社会发展的更细微的组成单元,这些县市区究竟孰强孰弱?2019年10月8日,中小城市发展战略研究院发布《2019年中国中小城市高质量发展指数研究成果》,并在其中同时公布《2019年度全国综合实力百强县市》和《2019年度全国综合实力百强区》两份榜单,一共200座中小城市榜上有名。
具体来看,百强县市之中,前四强均来自江苏,其中昆山市更是连续15年位列第一名;百强区之中,冠亚军则都被广东佛山一市占据,分别为该市的顺德区和南海区。
综合分析可见:这些实力强劲的县市区更多集中在经济发达的东部地区,占据百强县市64席、百强区75席,并且份额较去年还略增加;江苏成为当之无愧的冠军,该省共24县市和21区上榜;浙江分别为15个和18个;山东为13个和12个;较为特别的是广东,分别为1个和15个,呈现出“县弱区强”的特征。
截至2018年底,中国有建制市672个,其中直辖市4个,地级城市293个,县级建制市375个。
按照“城区常住人口100万以下的城市为中小城市”等标准,这份研究成果分别从狭义和广义的角度界定出符合条件的2111个和2809个中小城市。
这具体包括地级建制市、非建制市的地级行政区划的中心城镇(地区、自治州、盟)、县级建制市、非建制市的县级行政区划的中心城镇(县、旗、林区、特区)、相对独立发展的市辖区(含乡镇的市辖区),并从中测评得出综合实力百强县市和百强区的名单。
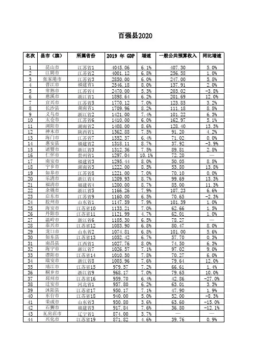
上述榜单显示,县市的前十强分别为:江苏昆山市、江苏江阴市、江苏张家港市、江苏常熟市、湖南长沙县、浙江慈溪市、江苏太仓市、福建晋江市、江苏宜兴市、辽宁海城市。
这其中,昆山市已连续15年蝉联第一。
昆山经济实力强劲、产业发达,2018年地区生产总值高达3832.06亿元,规上工业增加值1719.52亿元,并拥有千亿级的IT产业集群以及12个百亿级产业集群,全市产值超亿元企业更高达912家。
第十一届中国中部百强县(市)名单
全国县域经济百强县主要集中在东部沿海地区,而中西部地区具有资源优势和区位优势的强县迅速崛起,继续改变百强县格局。
第十一届中部百强县在中部六省中分布是:山西省16个、安徽省13个、江西省12个、河南省36个、湖北省13个、湖南省14个。
与上届比较,中国经济网记者发现河南省中部百强县的数量优势在减弱。
而中部百强县(市)前10名分别是:湖南长沙县、【河南巩义市、新郑市、新密市、禹州市、登封市】、湖南浏阳市、山西孝义市、湖南宁乡县、江西南昌县、安徽肥西县、河南永城市、江西丰城市、湖南醴陵市。
其中河南巩义市、新郑市、新密市、禹州市、登封市地理位置相连的五个县级市作为“区域经济强县统筹发展组团”并列中部第二位。
其中新进中部百强县(市)有3个,即山西汾阳市、安徽怀宁县、江西上栗县。
第十一届中国中部百强县(市)名单。
2016中国百强县首次出炉!县域经济100强,都谁上榜了?县域经济作为我国国民经济中相对独立的基本单元,在整个国民经济中占据着基础性地位。
近日,工信部所属的赛迪公司对全国将近3000个县(市)(不包括市辖区)进行综合评估,发布了“县域经济100强”,这是衡量各地县域发展的重要参考。
为此,招商引资内参选取此次100强榜单,并对各省区百强县数量进行了统计排名和解读,供大家参考。
【招商引资内参正文】2016中国县域经济100强排名县(市)所属省市区排名县(市)所属省市区1昆山市江苏省51章丘市山东省2江阴市江苏省52滕州市山东省3张家港市江苏省53招远市山东省4常熟市江苏省54象山县浙江省5石狮市福建省55昌吉市新疆自治区6太仓市江苏省56垦利县山东省7义乌市浙江省57长兴县浙江省8晋江市福建省58新郑市河南省9慈溪市浙江省59海安县江苏省10宜兴市江苏省60宁乡县湖南省11龙口市山东省61德清县浙江省12余姚市浙江省62南安市福建省13海宁市浙江省63莱西市山东省14长沙县湖南省64蓬莱市山东省15准格尔旗内蒙古自治区65平度市山东省16诸暨市浙江省66长乐市福建省17荣成市山东省67邹城市山东省18丹阳市江苏省68诸城市山东省19桐乡市浙江省69四会市广东省20广饶县山东省70奉化市浙江省21胶州市山东省71宁海县浙江省22即墨市山东省72如皋市江苏省23伊金霍洛旗内蒙古自治区73海城市辽宁省24南昌县江西省74东阳市浙江省25平湖市浙江省75惠安县福建省26扬中市江苏省76肥城市山东省27温岭市浙江省77临安市浙江省28嘉善县浙江省78郫县四川省29迁安市河北省79府谷县陕西省30海门市江苏省80石河子市新疆自治区31神木县陕西省81泰兴市江苏省32玉环市浙江省82巩义市河南省33海盐县浙江省83新泰市山东省34瓦房店市辽宁省84锡林浩特市内蒙古自治区35乐清市浙江省85东台市江苏省36靖江市江苏省86荥阳市河南省37溧阳市江苏省87宜都市湖北省38浏阳市湖南省88义马市河南省39三河市河北省89嵊州市浙江省40瑞安市浙江省90青州市山东省41永康市浙江省91如东县江苏省42福清市福建省92桐庐县浙江省43寿光市山东省93安吉县浙江省44乌审旗内蒙古自治区94新昌县浙江省45阿拉善左旗内蒙古自治区95新密市河南省46桓台县山东省96龙海市福建省47邹平县山东省97蓟县天津市48莱州市山东省98岱山县浙江省49格尔木市青海省99乳山市山东省50启东市江苏省100安宁市云南省。
第十一届全国县域经济基本竞争力十强和百强县(市) 名单第十一届全国县域经济基本竞争力百强县(市)在全国省区市的分布情况为:河北省3个、山西省1个、内蒙古自治区2个、辽宁省10个、吉林省1个、黑龙江省1个、江苏省29个、浙江省24个、安徽省1个、福建省8个、江西省2个、山东省26个、河南省6个、湖南省4个、广东省2个、四川省2个、陕西省2个、新疆维吾尔自治区1个。
名次县(市)名称1 江苏江阴市1 江苏昆山市1 江苏张家港市1 江苏常熟市2 江苏吴江市3 浙江慈溪市4 江苏太仓市5 江苏宜兴市6 浙江绍兴县7 福建晋江市8 浙江义乌市9 广东增城市10 浙江余姚市11 山东龙口市12 内蒙古准格尔旗13 辽宁瓦房店市14 山东文登市15 山东邹平县16 江苏丹阳市17 辽宁海城市18 湖南长沙县19 浙江诸暨市20 四川双流县21 山东荣城市22 山东胶南市22 山东即墨市22 山东胶州市23 山东新泰市24 河北迁安市25 山东邹城市26 浙江乐清市27 浙江温岭市28 浙江富阳市29 内蒙古尹全霍洛旗30 江苏海门市31 浙江瑞安市32 山东滕州市33 山东寿光市34 江苏靖江市35 山东诸城市36 陕西神木县37 福建福清市38 山东章丘市39 山东莱州市39 山东招远市39 山东平度市39 山东莱西市40 江苏溧阳市41 浙江上虞市42 浙江海宁市42 浙江桐乡市42 浙江平湖市42 浙江长兴县42 浙江嘉善县42 浙江德清县43 江苏启东市44 辽宁庄河市45 山东肥城市46 辽宁普兰店市47 福建南安市48 辽宁大石桥市49 福建石狮市50 江苏如皋市名次县(市)名称51 河北武安市52 山东省充州市53 江苏江都市53 江苏铜山县54 福建惠安县55 新疆库尔勒市56 江苏东台市56 江苏泰兴市56 江苏海安县56 江苏如东56 江苏兴化市56 江苏大丰市56 江苏姜堰市57 浙江永康市58 浙江玉环时59 山东广饶县60 山东乳山市61 浙江宁海61 浙江象山县61 浙江奉化市62 江苏金坛市63 河南巩义市63 河南新郑市63 河南禹州市63 河南登封市64 湖南浏阳市65 福建龙海市66 山西孝义市67 江苏邳州市68 湖南宁乡县69 陕西府谷县70 浙江东阳市71 吉林延吉市72 福建长乐市73 山东青州市74 山东高密市75 辽宁东港市76 辽宁开原市77 江苏沛县78 山东蓬莱市79 浙江临海市80 浙江临安市81 河北三河市82 江西南昌县83 山东恒台县84 江苏仪征市85 黑龙江肇86 江苏新沂市87 辽宁凤城市88 广东博罗县89 江苏句容市90 安徽肥西县91 山东茌平县92 河南永城市93 辽宁大洼县94 四川郫县95 江苏建湖县96 辽宁调兵山市97 江西丰城98 湖南醴陵市99 江苏高淳县100 福建闽侯县2011年10月10日,一个名为“中郡县域经济研究所”的机构在各大媒体公布第十一届“全国县域经济基本竞争力百强县(市)”“中国中部百强县(市)”“中国西部百强县(市)”等评比榜单,其中竟出现17个国家级贫困县,引发公众的关注和质疑。
全国百强县排名2018年,全国2018年百强县名单(完整版)全国百强县排名2018年,全国2018年百强县名单(完整版)日前,第十一届中国中小城市科学发展评价体系研究成果暨《中国中小城市绿皮书2016》发布。
从排名上看,新兴中东部城市成最大赢家。
河南有新郑、禹州、荥阳、义马4个县市上榜,比往年多增一个席位。
黄帝故里新郑仍居全国百强县市河南榜首(资料图)中国搜索郑州11月26日讯日前,第十一届中国中小城市科学发展评价体系研究成果暨《中国中小城市绿皮书2016》发布。
绿皮书同时发布度中国中小城市综合实力百强县(区、镇)名单,其中,东部地区占据了55席,中部、西部和东北部分别占20、16和9席。
江苏省昆山市位列中国中小城市综合实力百强县市第一名,湖南省长沙县、辽宁省海城市继续稳居中部地区第一名和东北部地区第一名,西部地区第一名则是四川的双流县。
立足贯彻落实“四个全面”战略布局和践行创新、协调、绿色、开放、共享五大发展理念,中小城市科学发展指数是从经济发展、社会进步、环境友好和政府效率四个维度对县级市、县和空间相对独立、含乡镇的市辖区以及发展基础较好、具备“建市”条件的镇进行评价。
中国中小城市科学发展评价体系不断完善的过程,也正是中小城市科学发展水平不断提升的过程。
据悉,课题组自2005年起连续开展中国中小城市科学发展评价体系研究,始终牢牢抓住科学发展的本质和中央政策导向,紧密关注中小城市发展实践,每年都坚持通过评审会的方式对评价体系进行优化调整,并定期通过《中国中小城市发展报告——中国中小城市绿皮书》发布阶段性研究成果。
十一年来,中小城市科学发展评价体系课题研究一直是在公开、公平、公正、公益的原则下推进的,客观、公正的研究成果得到了各界认可,公信力带来了影响力。
越来越多的中小城市积极参与科学发展指数测评,明确自身优势,理清发展思路,引导科学发展,得到了主流媒体的广泛关注,通过政策导向、舆论宣传等方式切实地推动了中小城市科学发展的进程。
中国(第四届)中部县域经济基本竞争力百强县(市)
佚名
【期刊名称】《决策与信息》
【年(卷),期】2005(000)004
【摘要】全国县域经济基本竞争力评价中心在经济日报以及有关专家学者的支持下,以公开资料为基础,通过资料的对比、核实、甄别,评选出中国中部十一个省市区县域经济基本竞争力100强,名单如下:
【总页数】1页(P69)
【正文语种】中文
【中图分类】F
【相关文献】
1.第六届中国西部县域经济基本竞争力百强县(市) [J],
2.第四届中国西部县域经济基本竞争力百强县(市) [J],
3.第四届中国西部县域经济基本竞争力百强县(市) [J], 无
4.第四届中国县域经济基本竞争力百强县(市) [J], 无
5.第四届中国县域经济基本竞争力百强县(市) [J],
因版权原因,仅展示原文概要,查看原文内容请购买。
2023中国县域经济百强名单2023中国县域经济百强名单2023赛迪百强县从发展规模看,进入“GDP千亿俱乐部”的县域达到54个,苏浙两省保持领先,闽湘皖蒙省(区)内差异较大,鲁鄂川三省发展潜力较大。
另外,相比于2021年,2022年“千亿县”增加了10个。
2023赛迪百强县设置评价“双门槛”,即GDP≥600亿元(人民币,下同),一般公共预算收入≥20亿元,从经济实力、增长潜力、富裕程度、绿色水平4个一级指标,以及8个二级指标、27个三级指标进行综合评价。
这项研究显示,2022年54个“千亿县”完成GDP8.6万亿元,占全国经济总量的7.1%。
“千亿县”财力雄厚,2022年“千亿县”一般公共预算收入均值达到108.0亿元。
gdp同比率怎么算呢?增长增长率根据统计采用的基期不同,分为同比增长率、环比增长率以及定基增长率,计算公式如下:1、同比增长率=(本期统计周期数据-去年同期统计周期数据)÷去年同期统计周期数据×100%;2、环比增长率=(本期统计周期数据-上期统计周期数据)÷上期统计周期数据×100%;3、定基增长率=(本期统计周期数据-基期统计周期数据)÷基期统计周期数据×100%。
同比指的是本期统计数据与去年同期统计数据相比较;环比指的是本期统计数据与上期统计数据相比较;定基比是在观察的若干个时期的数据时,将每个时期的数据均与同一个基期数据进行对比。
gdp包括哪些具体内容?gdp包含的内容是职工薪酬、固定资产折旧、生产税净额、各部门营业利润。
GDP是国家生产总值,反映了一定时期内全部常住单位生产活动的最终结果。
国内生产总值有价值、收入和产品三种表现形式。
生产法是从生产的角度衡量常住单位在会计期间创造新价值的一种方法,即从国民经济各部门在会计期间生产的总产品价值中扣除生产过程中投进的中间产品价值。
以上就是gdp包括哪些内容的相关内容。
全国县域经济百强县(市)
4-1 全国县域经济百强县(市)分布
在第四届中国县域经济基本竞争力百强县(市)中,北京1个,河北省3个,山西省1个,辽宁省5个,上海市1个,江苏省21个,浙江省27个,福建省8个,山东省21个,河南省2个,湖北省1个,湖南省1个,广东省6个,四川省1个,新疆维吾尔自治区1个。
百强县(市)主要分布在东部地区,东部地区有93个,中部地区5个,西部地区2个。
4-2 全国县域经济百强县(市)平均规模
中国县域经济基本竞争力百强县(市)的平均规模是:人口84.8万人,GDP164.7亿元,地方财政收入7.6亿元;百强县(市)分别是全国县域平均规模的1.86倍、5.14倍、6.29倍, 见图表-12。
图表-12 百强县平均规模与全国平均规模对比
全国县域经济平均规模
2-1 全国县域经济平均规模:县域人口平均45.53万人,县域经济GDP平均
32.04亿元,地方财政收入平均1.21亿元。
2-2 全国各省市区县域经济平均规模比较。
县域人口规模、GDP规模、地方财政收入规模分别见图表-6 、图表-7 、图表-8 。
图表-6全国各省市区县域人口平均规模比较图
图表-7 全国各省市区县域经济GDP平均规模
图表-8 全国各省市区县域地方财政收入平均规模比较图。
2023百强县名单出炉2023百强县名单出炉根据赛迪顾问的评价体系,2023百强县设置了评价“双门槛”,即GDP≥600亿元,一般公共预算收入≥20亿元,并从经济实力、增长潜力、富裕程度、绿色水平4个一级指标,以及8个二级指标、27个三级指标进行综合评价。
据《研究》显示,2023百强县中,GDP超过千亿元的达到了54个,合计8.6万亿元,占全国经济总量的7.1%。
相比于2022年,新增“千亿县”10个,分别是伊金霍洛旗、瓦房店市、东台市、高邮市、仙桃市、沛县、闽侯县、邹城市、仪征市和寿光市。
其中,伊金霍洛旗是内蒙古自治区唯一的“千亿县”,也是西部地区新增的唯一“千亿县”。
从地域分布来看,百强县主要集中在东部地区,占65席,中部地区占20席,西部地区占14席,东北地区仅占1席。
与2022年相比,不同区域进入百强的县域数量有所波动,东部地区上榜县域数量保持不变,中部地区减少2个县域,西部地区增加4个县域,东北地区减少2个县域。
从省份分布来看,江苏省、浙江省、山东省三省表现突出,分别占23席、16席和13席。
百强县前10名中江苏省独占6席,并包揽前4位。
其中,居首的依然是昆山市,该市2022年全年完成地区生产总值5006.7亿元,按不变价格计算同比增长1.8%,成为全国首个GDP突破5000亿元的县级市。
福建晋江市、浙江慈溪市、山东龙口市和湖南长沙县也都进入了前十。
百强县是怎么评比的经济实力。
百强县排名主要是按照经济实力,GDP来排名,毕竟是GDP越大,经济实力就越强,同时会考虑一定因素的基础设施配套的实力。
经济指标,评比中更侧重于人民生活水平、发展资源、产业发展、投资贸易、基础设施、社会保障等反映当前和可发展的指标。
中国百强县崛起之路近年来,中国百强县的发展速度越来越迅猛。
这与中国经济的快速发展密不可分。
同时,一些地方政府也采取了积极的政策措施,推动当地经济、科技、教育等领域发展。
比如,江苏省常州市新北区强调“创新引领、产业兴旺、环境优美、有机融合”的精神,成功打造了以装备制造、生物医药、软件开发等新兴产业为主导的现代化发展模式。
第十届全国县域经济百强县市排行榜排序县域单位名称竞争力动态排序县域单位名称竞争力动态国1 江苏江阴市相对稳定国1 江苏昆山市相对稳定国1 江苏张家港市相对稳定国1 江苏常熟市相对稳定国2 江苏吴江市相对稳定国3 浙江慈溪市相对稳定国4 江苏太仓市相对稳定国5 浙江绍兴县相对稳定国6 江苏宜兴市相对稳定国7 福建晋江市相对稳定国8 浙江义乌市相对稳定国9 广东增城市相对稳定国10 浙江余姚市相对稳定国11 山东龙口市相对稳定国12 山东荣成市相对稳定国13 浙江诸暨市相对稳定国14 山东文登市相对稳定国15 浙江乐清市相对稳定国16 江苏丹阳市相对稳定国17 山东即墨市相对稳定国17 山东胶州市相对稳定国17 山东胶南市相对稳定国18 辽宁瓦房店市相对稳定国19 辽宁海城市上升国20 内蒙古准格尔旗上升国21 浙江温岭市相对稳定国22 山东邹平县相对稳定国23 山东新泰市相对稳定国24 河北迁安市相对稳定国25 湖南长沙县上升国26 山东邹城市相对稳定国27 四川双流县相对稳定国28 福建福清市相对稳定国29 福建惠安县相对稳定国30 浙江富阳市相对稳定国31 江苏海门市相对稳定国32 浙江瑞安市相对稳定国33 山东滕州市相对稳定国34 山东寿光市相对稳定国35 山东诸城市相对稳定国36 江苏靖江市上升国37 内蒙古伊金霍洛旗上升国39 河南巩义市相对稳定国40 江苏溧阳市相对稳定国41 山东章丘市相对稳定国42 山东莱州市相对稳定国42 山东招远市相对稳定国42 山东平度市相对稳定国42 山东莱西市相对稳定国43 浙江上虞市相对稳定国44 陕西神木县上升国45 浙江海宁市相对稳定国45 浙江桐乡市相对稳定国45 浙江平湖市相对稳定国45 浙江长兴县相对稳定国45 浙江嘉善县相对稳定国45 浙江德清县相对稳定国46 江苏泰兴市相对稳定国47 山东肥城市相对稳定国48 福建南安市相对稳定国49 福建石狮市相对稳定国50 辽宁庄河市上升国51 河北武安市相对稳定国52 山东兖州市相对稳定国53 江苏启东市相对稳定国54 江苏江都市相对稳定国55 山东乳山市相对稳定国56 上海崇明县相对稳定国57 浙江玉环县相对稳定国58 辽宁普兰店市相对稳定国59 河北遵化市相对稳定国60 浙江永康市相对稳定国61 辽宁大石桥市上升国62 江苏金坛市相对稳定国63 浙江宁海县相对稳定国63 浙江象山县相对稳定国63 浙江奉化市相对稳定国64 河南偃师市相对稳定国64 河南新郑市相对稳定国64 河南荥阳市相对稳定国64 河南新密市相对稳定国64 河南禹州市相对稳定国64 河南登封市相对稳定国65 湖南浏阳市上升国66 江苏铜山县上升国67 江苏东台市相对稳定国67 江苏海安县相对稳定国67 江苏如东县相对稳定国67 江苏兴化市相对稳定国67 江苏姜堰市相对稳定国67 江苏大丰市相对稳定国68 山东广饶县相对稳定国69 福建龙海市相对稳定国70 山西孝义市相对稳定国71 山东蓬莱市相对稳定国72 福建长乐市相对稳定国73 湖南宁乡县相对稳定国74 浙江东阳市相对稳定国75 浙江临海市相对稳定国76 山东青州市相对稳定国77 山东高密市相对稳定国78 山东桓台县相对稳定国79 河北三河市相对稳定国80 江苏邳州市相对稳定国81 浙江临安市相对稳定国82 吉林延吉市上升国83 辽宁东港市上升国84 江苏沛县上升国85 辽宁开原市上升国86 江西南昌县相对稳定国87 黑龙江肇东市相对稳定国88 江苏仪征市相对稳定国89 广东博罗县相对稳定国90 江苏句容市相对稳定国91 陕西府谷县上升国92 湖南望城县相对稳定国93 河南永城市相对稳定国94 安徽肥西县上升国95 陕西靖边县相对稳定国96 浙江嵊州市相对稳定国97 山东博兴县相对稳定国98 山东茌平县上升国99 江西丰城市相对稳定国100 江苏建湖县上升。
2021中国百强县名单发布(附排名)2021赛迪百强县权威发布!《2021中国县域经济百强研究》重点内容⼀览 我国县域经济发展环境⾯临深刻复杂变化。
当今世界正经历百年未有之⼤变局,新⼀轮科技⾰命和产业变⾰深⼊发展,国际⼒量对⽐深刻调整,新冠肺炎疫情影响⼴泛深远,经济全球化遭遇逆流。
我国已转向⾼质量发展阶段,⾼质量发展成为“⼗四五”时期的主旋律。
在深刻复杂变化的环境下,如何⽴⾜新发展阶段,贯彻新发展理念,构建新发展格局,推进经济⾼质量发展,已成为县域亟需破解的难题。
百强县作为县域经济的排头兵,是县域经济⾼质量发展的“领航员”、县域社会治理⽔平提升的“探路者”、县域营商环境优化的“试验⽥”、区域协同发展的“加速器”。
赛迪顾问县域经济研究中⼼深耕县域研究领域⼗余年,对县域产业发展具备较强的顶层设计和资源链接能⼒。
中⼼⾃2016年起连续发布中国县域经济百强研究成果,⼒求借⼒县域经济百强标杆,引导中国县域经济⾼质量发展。
2021年8⽉4⽇,由赛迪顾问县域经济研究中⼼编制的《2021中国县域经济百强研究》正式发布。
研究分综合篇、百强县篇、案例篇,其中,综合篇从经济体量、产业结构、财政实⼒等多维度对中国县域经济进⾏全⽅位透视;百强县篇聚焦新时代百强县⾼质量发展新担当、新作为、新举措、新动⼒、新机制,全⾯解码2021赛迪百强县新特征、新趋势特征、新⽅略;案例篇从转型升级、创新驱动等维度分析典型县域发展经验,以期为其他县域经济发展提供借鉴。
2021年赛迪百强县 数据来源:赛迪顾问,2021.08 ⼀、多维透视县域经济新发展 2016-2019年,我国县域经济发展呈现六⼤变化:从区域格局看,我国县域经济分布失衡问题持续存在,东部地区县域恒强,在经济体量、财政实⼒、质量效益等维度领先其他区域县域;中西部地区县域逐步崛起;东北地区县域整体实⼒较弱。
从户籍⼈⼝看,县域户籍⼈⼝数量逐年减少,但仍占我国户籍⼈⼝总数六成之多。
中国百强县排名2023引言随着中国经济的快速发展,各个地方的县级行政区也在不断壮大和发展。
百强县排名是对中国各县级行政区进行综合评定的一种方式,通过评估各县的经济实力、基础设施建设、教育事业、环境保护等方面的情况,为地方政府提供发展方向和指导,也为投资者提供参考。
本文将对中国百强县排名的情况进行详细分析,包括排名的标准、排名结果的解读,以及排名前十的县级行政区的详细介绍和分析。
排名标准中国百强县排名主要基于各县的经济指标、社会发展指标和环境保护指标来进行评估。
具体的评估标准包括:1.经济实力:包括地区生产总值、税收收入等经济数据的排名。
2.基础设施建设:包括交通、通信、能源等基础设施建设水平的排名。
3.教育事业:包括教育经费投入、师资力量等教育事业水平的排名。
4.环境保护:包括水质、空气质量等环境指标的排名。
根据以上标准对各县进行评估后,将得出一个综合排名,用于比较各县的发展情况。
排名结果解读根据最新的统计数据,中国百强县排名2023的结果如下:1.xx县:作为中国经济发展的重要节点,xx县在经济实力和基础设施建设方面表现异常出色。
该县的地区生产总值排名全国前十,并且在交通和通信设施的发展方面也居于领先地位。
2.xx县:在教育事业方面,xx县一直是中国的典范。
该县的教育经费投入占地方财政收入的比例较高,并且拥有一流的师资队伍和优质的教育资源。
3.xx县:该县在环境保护方面取得了显著的进展,水质和空气质量都达到了国家一级标准。
该县通过严格的环境管理措施,实现了经济和环境的良性循环。
排名前十县级行政区的详细介绍和分析1. xx县•位置:位于xx省,地理位置优越,交通便利。
•经济实力:地区生产总值位列全国前十,是当地经济的支柱产业。
•基础设施建设:拥有现代化的交通和通信设施,便于人员和货物的流动。
•教育事业:投入大量的教育经费,学校师资力量雄厚,并且教育质量一直位于全省前列。
•环境保护:该县注重环境保护和生态建设,水质和空气质量优良。
排名城市1 江苏昆山市2 江苏张家港市3 江苏江阴市4 广东佛山顺德区5 江苏常熟市6 江苏无锡惠山区7 江苏太仓市8 江苏南通崇川区9 江苏吴江市10 浙江绍兴县11 江苏无锡锡山区12 浙江慈溪市13 山东荣成市14 浙江余姚市15 浙江义乌市16 山东邹平县17 福建厦门思明区18 福建晋江市19 广东佛山南海区20 广东佛山三水区21 浙江杭州萧山区22 江苏常州武进区23 浙江嘉善县24 浙江诸暨市25 浙江杭州余杭区26 浙江德清县27 福建石狮市28 浙江乐清市29 浙江玉环县30 浙江温岭市31 山东文登市32 广东佛山高明区33 山东龙口市34 湖北武汉武昌区35 山东乳山市36 浙江奉化市37 江苏金坛市38 山东胶州市39 浙江富阳市40 山东章丘市41 山东胶南市42 江苏丹阳市43 山东莱西市44 广东增城市45 江苏海安县46 浙江桐乡市47 四川双流县48 江苏海门市49 河南巩义市50 河南义马市51 江西南昌县52 江苏江都市53 江西贵溪市54 江苏靖江市55 山东招远市56 河北迁安市57 内蒙古东胜区58 湖南长沙县59 山东莱州市60 江西广丰县61 山东平度市62 山东淄博博山区63 福建南安市64 河北遵化市65 江苏启东市66 山东新泰市67 江西萍乡安源区68 内蒙古准格尔旗69 山西河津市70 内蒙古托克托县71 江苏溧阳市72 山东肥城市73 河南新郑市74 浙江苍南县75 江苏如皋市76 浙江临海市77 黑龙江绥芬河市78 吉林前郭县79 辽宁瓦房店市80 黑龙江安达市81 吉林梅河口市82 河北迁西县83 陕西神木县84 辽宁大石桥市85 黑龙江肇东市86 河南禹州市87 山西泽州县88 河北唐山丰润区89 四川郫县90 浙江永嘉县91 山东滕州市92 辽宁庄河市93 江苏仪征市94 山西高平市95 浙江平阳县96 江苏高邮市97 河南沁阳市98 辽宁长海县99 新疆库尔勒市100 河北定州市综合实力100强中,东部占71%,中西部和东北占29%。
2011全国百强县排名完整名单发表于2011 年08 月24 日由xiongpai2011全国县域经济科学发展交流年会于20日在江苏省江阴市召开。
在这次会议上揭晓鳓2011全国县域经济百强县(市)名单。
2011全国百强县具体分布是:河北省3个、山西省1个、内蒙古自治区2个、辽宁省10个、吉林省1个、黑龙江省1个、江苏省29个、浙江省24个、安徽省1个、福建省8个、江西省2个、山东省26个、河南省6个、湖南省4个、广东省2个、四川省2个、陕西省2个、新疆维吾尔自治区1个。
在这次发布的名单中。
其中内蒙古准格尔旗、伊金霍洛旗等区域曾经是国家级贫困县,此次的结果一出,引起社会很大的争议。
2011全国百强县完整名单如下:(有很多是并列的,总数其实不止100个)1,江苏江阴市1,江苏昆山市1,江苏张家港市1,江苏常熟市2,江苏吴江市3,浙江慈溪市4,江苏太仓市5,江苏宜兴市6,浙江绍兴县7,福建晋江市8,浙江义乌市9,广东增城市10,浙江余姚市11,山东龙口市12,内蒙古准格尔旗13,辽宁瓦房店市14,山东文登市15,山东邹平县16,江苏丹阳市17,辽宁海城市18,湖南长沙县19,浙江诸暨市20,四川双流县21,山东荣城市22,山东胶南市22,山东即墨市22,山东胶州市23,山东新泰市24,河北迁安市25,山东邹城市26,浙江乐清市27,浙江温岭市28,浙江富阳市29,内蒙古尹全霍洛旗30,江苏海门市31,浙江瑞安市32,山东滕州市33,山东寿光市34,江苏靖江市35,山东诸城市36,陕西神木县37,福建福清市38,山东章丘市39,山东莱州市39山东招远市39,山东平度市39,山东莱西市40,江苏溧阳市41,浙江上虞市42,浙江海宁市42,浙江桐乡市42,浙江平湖市42,浙江长兴县42,浙江嘉善县42,浙江德清县43,江苏启东市44,辽宁庄河市45,山东肥城市46,辽宁普兰店市47,福建南安市48,辽宁大石桥市49,福建石狮市50,江苏如皋市51,河北武安市52,山东省充州市53,江苏江都市53,江苏铜山县54,福建惠安县55,新疆库尔勒市56,江苏东台市56,江苏泰兴市56,江苏海安县56,江苏如东县56,江苏兴化市56,江苏大丰市56,江苏姜堰市57,浙江永康市58,浙江玉环时59,山东广饶县60,山东乳山市61,浙江宁海县61,浙江象山县61,浙江奉化市62,江苏金坛市63,河南巩义市63,河南新郑市63,河南禹州市63,河南登封市64,湖南浏阳市65,福建龙海市66,山西孝义市67,江苏坯州市68,湖南宁乡县69,陕西府谷县70,浙江东阳市71,吉林延吉市72,福建长乐市73,山东青州市74,山东高密市75,辽宁东港市76,辽宁开原市77,江苏沛县78,山东蓬莱市79,浙江临海市80,浙江临安市81,河北三河市82,江西南昌县83,山东恒台县84,江苏仪征市85,黑龙江肇东市86,江苏新沂市87,辽宁凤城市88,广东博罗县89,江苏句容市90,安徽肥西县91,山东茬平县92,河南永城市93,辽宁大洼县94,四川郫县95,江苏建湖县96,辽宁调兵山市97,江西丰城市98,湖南醴陵市99,江苏高淳县100,福建闽侯县。