数字电子技术课后题答案..
- 格式:doc
- 大小:430.50 KB
- 文档页数:21
第1单元能力训练检测题(共100分,120分钟)一、填空题:(每空0.5分,共20分)1、由二值变量所构成的因果关系称为逻辑关系。
能够反映和处理逻辑关系的数学工具称为逻辑代数。
2、在正逻辑的约定下,“1”表示高电平,“0”表示低电平。
3、数字电路中,输入信号和输出信号之间的关系是逻辑关系,所以数字电路也称为逻辑电路。
在逻辑关系中,最基本的关系是与逻辑、或逻辑和非逻辑。
4、用来表示各种计数制数码个数的数称为基数,同一数码在不同数位所代表的权不同。
十进制计数各位的基数是10,位权是10的幂。
5、8421 BCD码和2421码是有权码;余3码和格雷码是无权码。
6、进位计数制是表示数值大小的各种方法的统称。
一般都是按照进位方式来实现计数的,简称为数制。
任意进制数转换为十进制数时,均采用按位权展开求和的方法。
7、十进制整数转换成二进制时采用除2取余法;十进制小数转换成二进制时采用乘2取整法。
8、十进制数转换为八进制和十六进制时,应先转换成二进制,然后再根据转换的二进数,按照三个数码一组转换成八进制;按四个数码一组转换成十六进制。
9、逻辑代数的基本定律有交换律、结合律、分配律、反演律和非非律。
10、最简与或表达式是指在表达式中与项中的变量最少,且或项也最少。
13、卡诺图是将代表最小项的小方格按相邻原则排列而构成的方块图。
卡诺图的画图规则:任意两个几何位置相邻的最小项之间,只允许一位变量的取值不同。
14、在化简的过程中,约束项可以根据需要看作1或0。
二、判断正误题(每小题1分,共10分)1、奇偶校验码是最基本的检错码,用来使用PCM方法传送讯号时避免出错。
(对)2、异或函数与同或函数在逻辑上互为反函数。
(对)3、8421BCD码、2421BCD码和余3码都属于有权码。
(错)4、二进制计数中各位的基是2,不同数位的权是2的幂。
( 对 )3、每个最小项都是各变量相“与”构成的,即n 个变量的最小项含有n 个因子。
4、逻辑门电路是数字逻辑电路中的最基本单元。
(对)5、TTL和CMOS两种集成电路与非门,其闲置输入端都可以悬空处理。
(错)6、74LS系列产品是TTL集成电路的主流,应用最为广泛。
(对)7、74LS系列集成芯片属于TTL型,CC4000系列集成芯片属于CMOS型。
(对)8、三态门采用了图腾输出结构,不仅负载能力强,且速度快。
(错)9、OC门可以不仅能够实现“总线”结构,还可构成与或非逻辑。
(对)10、CMOS电路的带负载能力和抗干扰能力均比TTL电路强。
(错)三、选择题(每小题2分,共16分)1、具有“有1出0、全0出1”功能的逻辑门是(B)。
A、与非门B、或非门C、异或门D、同或门2、两个类型的集成逻辑门相比较,其中(B)型的抗干扰能力更强。
A、TTL集成逻辑门B、CMOS集成逻辑门3、CMOS电路的电源电压范围较大,约在(B)。
A、-5V~+5VB、3~18VC、5~15VD、+5V4、若将一个TTL异或门当做反相器使用,则异或门的A和B输入端应:(A)。
A、B输入端接高电平,A输入端做为反相器输入端B、B输入端接低电平,A输入端做为反相器输入端C、A、B两个输入端并联,做为反相器的输入端D、不能实现5、(C)的输出端可以直接并接在一起,实现“线与”逻辑功能。
A、TTL与非门B、三态门C、OC门6、(A)在计算机系统中得到了广泛的应用,其中一个重要用途是构成数据总线。
A、三态门B、TTL与非门C、OC门7、一个两输入端的门电路,当输入为1 0时,输出不是1的门电路为(C)。
A、与非门B、或门C、或非门D、异或门8、一个四输入的与非门,使其输出为0的输入变量取值组合有(B)。
A、15种B、1种C、3种D、7种四、简述题(每小题4分,共24分)1、数字电路中,正逻辑和负逻辑是如何规定的?答:数字电路中只有高、低电平两种取值。
用逻辑“1”表示高电平,用逻辑“0”表示低电平的方法称为正逻辑;如果用用逻辑“0”表示高电平,用逻辑“1”表示低电平,则称为负逻辑。
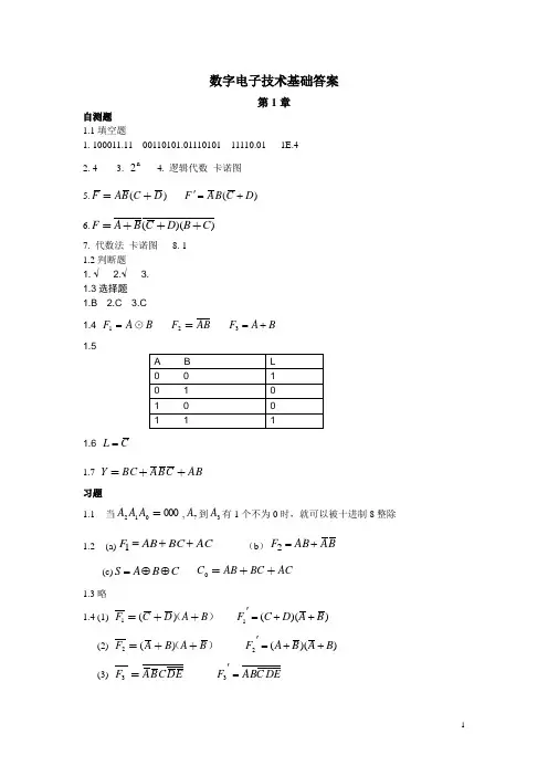
数字电子技术基础答案第1章自测题 1.1填空题1. 100011.11 00110101.01110101 11110.01 1E.42. 43. n 24. 逻辑代数 卡诺图5.)(D C B A F )(D C B A F +='6.))((C B D C B A F7. 代数法 卡诺图8. 1 1.2判断题1. √2.√3. × 1.3选择题 1.B 2.C 3.C1.4 A F =1⊙B AB F 2 B A F +=3 1.51.6 C L =1.7 AB C B A BC Y 习题1.1 当000012 A A A ,7A 到3A 有1个不为0时,就可以被十进制8整除 1.2 (a)AC BC AB F ++=1 (b )B A AB F +=2(c)C B A S ⊕⊕= AC BC AB C 0 1.3略1.4 (1) )(B A D C F )(1 ))((1B A D C F ++='(2) )(B A B A F )(2 ))((2B A B A F ++='(3) E D C B A F 3 DE C AB F ='3(4) )()(4D A B A C E A F )())()((4D A C AB E A F +++='1.5 C B A F ⊕⊕=1.6 (1) B A C B C A L (2) D B C B D C A L (3) AD L (4) E ABCD L (5) 0 L 1.7 C B A BC A C AB ABC C B A L ),,( 1.8(1) ABD D A C F 1 (2) BC AB AC F 2(3) C A B A B A F 3 (有多个答案) (4) C B D C AB C A CD F +++=4 (5) C B A ABD C B A D B A F 5 (6) 16 F 1.9 (1) AD D C B B A F 1 (2) B A AC F 2(3) D A D B C B F 3 (4) B C F 4 1.10 (1) C A B F 1 (2) B C F 2(3) D A B C F 3 (4) C B A D B D C F 4 1.11 C A B A D F1.12 (1) D B A D C A D C B F 1(多种答案) (2) C B BCD D C D B F 2 (3) C B C A D C F 3 (4) A B F 4 (5) BD D B F 5 (6) C B D A D C A F 6(多种答案) (7) C A D B F 7(多种答案) (8) BC D B F 8(多种答案) (9) B D C F 9 1.13 略第2章自测题 2.1 判断题1. √2. √3. ×4. √5. √6. √7. ×8. √9. × 10√ 2.2 选择题1.A B 2.C D 3.A 4.B 5.B 6.A B D 7.C 8.A C D 9.A C D 10.B 习题2.1解:ABC Y =12.2解:(a)mA 234.0503.012=-=-=C CES CC BS R U V I βBS mA 1.0537.06I I B <=-=∴三极管处于放大状态,)V (711.05012=⨯⨯-=-=C B CC O R I V u β。
第一章数制与编码1.1自测练习1.1.1、模拟量数字量1.1.2、(b)1.1.3、(c)1.1.4、(a)是数字量,(b)(c)(d)是模拟量1.2 自测练习1.2.1. 21.2.2.比特bit1.2.3.101.2.4.二进制1.2.5.十进制1.2.6.(a)1.2.7.(b)1.2.8.(c)1.2.9.(b)1.2.10.(b)1.2.11.(b)1.2.12.(a)1.2.13.(c)1.2.14.(c)1.2.15.(c)1.2.16.1.2.17.111.2.18.1.2.19.11011.2.20.8进制1.2.21.(a)1.2.22.0,1,2,3,4,5,6,71.2.23.十六进制1.2.24.0,1,2,3,4,5,6,7,8,9,A,B,C,D,E,F 1.2.25.(b)1.3自测练习1.3.1.1221.3.2.675.521.3.3..011.3.4.521.3.5.1BD.A81.3.6..11101.3.7.38551.3.8.28.3751.3.9..111.3.10.135.6251.3.11.570.11.3.12.120.51.3.13.2659.A1.4自测练习1.4.1.BCD Binary coded decimal 二—十进制码1.4.2.(a)1.4.3.(b)1.4.4.8421BCD码,4221BCD码,5421BCD1.4.5.(a)1.4.6. 1.10001.4.7.1.4.8.1.4.9.1.4.10.61.051.4.11..1.4.12.余3码1.4.13.XS31.4.14.XS31.4.15.1000.10111.4.16. 11.4.17.521.4.18.110101.4.19.1.4.20.(b)1.4.21.ASCII1.4.22.(a)1.4.23.ASCII American Standard Code for Information Interchange美国信息交换标准码EBCDIC Extended Binary Coded Decimal Interchange Code 扩展二-十进制交换吗1.4.24.1.4.25.ASCII1.4.26.(b)1.4.27.(b)1.4.28.1.4.29.-1131.4.30.+231.4.31.-231.4.32.-861.5 自测练习 1.5.1 略 1.5.2 1.5.31.5.4 补码形式 1.5.51.5.6 补码形式 1.5.7 补码形式 习题1.1 (a )(d )是数字量,(b )(c )是模拟量,用数字表时(e )是数字量,用模拟表时(e )是模拟量1.2 (a )7, (b )31, (c )127, (d )511, (e )40951.3 (a )22104108⨯+⨯+, (b )26108108⨯+⨯+,(c )321102105100⨯+⨯+⨯+(d )322104109105⨯+⨯+⨯+1.4 (a )212121⨯+⨯+, (b )4311212121⨯+⨯+⨯+, (c )64212+12+12+12+1⨯⨯⨯⨯(d )9843212+12+12+12+12⨯⨯⨯⨯⨯ 1.5 2201210327.15310210710110510--=⨯+⨯+⨯+⨯+⨯,3210-1-221011.0112+02+12+12+02+12=⨯⨯⨯⨯⨯⨯, 210-18437.448+38+78+48=⨯⨯⨯⨯, 10-1-2163A.1C 316+A 16+116+C 16=⨯⨯⨯⨯1.6 (a )11110, (b ),(c ), (d )1011 1.7 (a )00, (b )1.8 = 2610, 1011.0112 = 11.37510, 57.6438 = 71., 76.EB 16 = 118. 1.9 12 = 65118 = D4916,0. = 0.468 = 0.9816,. = 137.328 = 5F.6816 1.10 168 = 1410,1728 = 12210,61.538 = 49., 126.748 = 86.1.11 2A 16 = 4210 = = 528, B2F 16 = = 12 = 54578, D3.E 16 = 211.87510 = .11102 =323.78, 1C3.F916 = 451. = . = 703.7628 1.12 (a )E, (b )2E, (c )1B3, (d )349 1.13 (a )22, (b )110, (c )1053, (d )2063 1.14 (a )4094, (b )1386, (c )49282 1.15 (a )23, (b )440, (c )27771.16 = 2 = BCD , 67.31110 = . = .18421BCD , 1. = 1. = 0001.BCD , 0. = 0. =0000.BCD1.17 1310 = 1BCD = XS3 = 1011Gray , 6.2510 = 0110.1BCD = 1001. XS3 = 0101.01Gray ,0.12510 = 0000.18421BCD = 0011.0XS3 = 0.001 Gray 1.18 = 11101 Gray , = Gray1.19 = 18421BCD , 45610 = 08421BCD , 1748 =08421BCD , 2DA 16 = 08421BCD , 1BCD=,XS3 = 1BCD1BCD1.20 0.0000原= 0.0000反= 0.0000补,0.1001原= 0.1001反= 0.1001补,11001原= 10110反= 10111补1.21 原= 补,原= 补,原= 补,原= 补1.22 1310 = 补,11010 = 补,-2510 = 补,-90 = 补1.23 补= 11210,补= 3110,补= -3910,补= -56101.241.251.26 BEN SMITH1.271.28第二章逻辑门1.1 自测练习2.1.1. (b)2.1.2. 162.1.3. 32, 62.1.4. 与2.1.5. (b)2.1.6. 162.1.7. 32, 62.1.8. 或2.1.9. 非2.1.10. 12.2 自测练习2.2.1. F A B=⋅2.2.2. (b)2.2.3. 高2.2.4. 322.2.5. 16,52.2.6. 12.2.7. 串联2.2.8. (b)2.2.9. 不相同2.2.10. 高2.2.11. 相同2.2.12. (a)2.2.13. (c)2.2.14. 奇2.3 自测练习2.3.1. OC,上拉电阻2.3.2. 0,1,高阻2.3.3. (b)2.3.4. (c)2.3.5. F A B=⋅, 高阻2.3.6. 不能2.4 自测练习1.29 TTL,CMOS1.30 Transisitor Transistor Logic1.31 Complementary Metal Oxide Semicoductor1.32 高级肖特基TTL,低功耗和高级低功耗肖特基TTL1.33 高,强,小1.34 (c)1.35 (b)1.36 (c)1.37 大1.38 强1.39 (a)1.40 (a)1.41 (b)1.42 高级肖特基TTL1.43 (c)习题2.1 与,或,与2.2 与门,或门,与门2.3 (a)F=A+B, F=AB (b)F=A+B+C, F=ABC (c)F=A+B+C+D, F=ABCD 2.4 (a)0 (b)1 (c)0 (d)02.5 (a)0 (b)0 (c)1 (d)02.6 (a)1 (b)1 (c)1 (d)12.7 (a)4 (b)8 (c)16 (d)322.8 (a)3 (b)4 (c)5 (d)6A B C F0 0 0 00 0 1 10 1 0 10 1 1 01 0 0 12.9 (a )(b ) A B C D F 0 0 0 0 1 0 0 0 1 0 0 0 1 0 0 0 0 1 1 1 0 1 0 0 0 0 1 0 1 1 0 1 1 0 1 0 1 1 1 0 1 0 0 0 0 1 0 0 1 1 1 0 1 0 1 1 0 1 1 0 1 1 0 0 1 1 1 0 1 0 1 1 1 0 0 1 11112.10 Y AB AC =+2.11A B C Y 0 0 0 0 0 0 1 0 0 1 0 1 0 1 1 1 1 0 0 0 1 0 1 1 1 1 0 0 11111 0 1 0 1 1 0 0 11 1 12.122.13F1 = A(B+C), F2=A+BCA B C F1F20 0 0 0 00 0 1 0 00 1 0 0 00 1 1 0 11 0 1 1 11 0 0 0 11 1 0 1 11 1 1 1 12.142.15 (a)0 (b)1 (c)1 (d)02.16 (a)1 (b)0 (c)0 (d)12.17 (a)0 (b)02.182.19 Y AB BC DE F=⋅⋅⋅2.20 Y AB CD EF=⋅⋅2.21 102.22 402.23 当TTL反相器的输出为3V,输出是高电平,红灯亮。
第1章习题与参考答案【题1-1】将下列十进制数转换为二进制数、八进制数、十六进制数。
(1)25;(2)43;(3)56;(4)78解:(1)25=(11001)2=(31)8=(19)16(2)43=(101011)2=(53)8=(2B)16(3)56=(111000)2=(70)8=(38)16(4)(1001110)2、(116)8、(4E)16【题1-2】将下列二进制数转换为十进制数。
(1);(2);(3);(4)解:(1)=177(2)=170(3)=241(4)=136【题1-3】将下列十六进制数转换为十进制数。
(1)FF;(2)3FF;(3)AB;(4)13FF解:(1)(FF)16=255(2)(3FF)16=1023(3)(AB)16=171(4)(13FF)16=5119【题1-4】将下列十六进制数转换为二进制数。
(1)11;(2)9C;(3)B1;(4)AF解:(1)(11)16=(00010001)2(2)(9C)16=()2(3)(B1)16=(1011 0001)2(4)(AF)16=()2【题1-5】将下列二进制数转换为十进制数。
(1);(2);(3);(4)解:(1)()2=(2)()2=(3)()2=【题1-6】将下列十进制数转换为二进制数。
(1);(2);(3);(4)解:(1)=()2(2)=()2(3)=()2(4)=()2【题1-7】写出下列二进制数的反码与补码(最高位为符号位)。
(1)01101100;(2);(3);(4)解:(1)01101100是正数,所以其反码、补码与原码相同,为01101100(2)反码为,补码为(3)反码为,补码为(4)反码为,补码为【题1-8】将下列自然二进制码转换成格雷码。
000;001;010;011;100;101;110;111解:格雷码:000、001、011、010、110、111、101、100【题1-9】将下列十进制数转换成BCD码。
第一章 数字逻辑基础1-1. 将下列的二进制数转换成十进制数(1)、1011,(2)、10101,(3)、11111,(4)、1000011-2. 将下列的十进制数转换成二进制数(1)、8,(2)、27,(3)、31,(4)、1001-3. 完成下列的数制转换(1)、(255)10=( )2=( )16=( )8421BCD(2)、(11010)2=( )16=( )10=( )8421BCD(3)、(3FF )16=( )2=( )10=( )8421BCD(4)、(1000 0011 0111)8421BCD =()10=()2=()161-4. 完成下列二进制的算术运算(1)、1011+111,(2)、1000-11,(3)、1101×101,(4)、1100÷100 1-5. 设:AB Y 1=,B A Y 1+=,B A Y 1⊕=。
已知A 、B 的波形如图题1-5所示。
试画出Y 1、Y 2、Y 3对应A 、B 的波形。
图题1-51-6选择题1.以下代码中为无权码的为 。
A . 8421BCD 码B . 5421BCD 码C . 余三码D . 格雷码2.以下代码中为恒权码的为 。
A .8421BCD 码B . 5421BCD 码C . 余三码D . 格雷码3.一位十六进制数可以用 位二进制数来表示。
A . 1B . 2C . 4D . 164.十进制数25用8421BCD码表示为。
A.10 101B.0010 0101C.100101D.101015.在一个8位的存储单元中,能够存储的最大无符号整数是。
A.(256)10B.(127)10C.(FF)16D.(255)106.与十进制数(53.5)10等值的数或代码为。
A.(0101 0011.0101)8421BCDB.(35.8)16C.(110101.1)2D.(65.4)87.矩形脉冲信号的参数有。
A.周期B.占空比C.脉宽D.扫描期8.与八进制数(47.3)8等值的数为:A. (100111.011)2B.(27.6)16C.(27.3 )16D. (100111.11)29. 常用的BCD码有。
《数字电子技术(第二版)》课后习题参考答案课题一认识数字电路任务一认识数制与数制转换一、填空题1.1 232.1 273.1 2154.1 2315.B O D H二、计算题1.2.54,85,4273.0101,1100,1 1000,11 01114.17O,37O,66 O5.110B,010 111B,001 101 110B6.0FH,36H,0AE63H7.0001 0110B,0010 1010B,1111 1100 0000B任务二学习二进制数算术运算一、计算题(给出的二进制均是无符号数)1.(1)1 0000 (2)1 0000 10012.(1)10 1010 (2)1010 11113.(1)1 0100 (2)110 00004.(1)101 (2)11二、写出下列带符号位二进制数(原码)所表示的十进制数(1)+110 (2)-15 (3)-42 (4)+127 (5)+111(6)-63 (7)+0 (8)+32 767 (9)-32 768三、问答题1.(1)答:左移,移动3位,应作乘以8运算。
(2)答:左移,移动4位,应作乘以16运算。
(3)答:右移,移动7位,应作除以128运算。
(4)答:右移,移动3位,应作除以8运算。
2.答:4位二进制无符号数的最大值是15。
3.答:8位二进制无符号数、有符号数的最大值分别是255和+127。
4.答:16位二进制有符号数的最大值是+32 767。
任务三学习二进制代码一、填空题1.二进制数2.43.8,4,2,1二、判断题1.×2.× 3.√ 4.× 5.× 6.×三、计算题1.36,55,892.[0011 0010]8421,[0101 0010 0111]8421,[0001 0011 0110 1001]8421任务四认识基本逻辑关系并测试逻辑门一、填空题1.与或非2.13.04.1 05.Y=AB6.Y=A+B7.Y=A8.Y=AB9.Y=A+B10.Y=A B=AB+AB二、选择题1.D 2.A 3.B,C 4.A,D三、判断题1.× 2.× 3.× 4.√四、问答题1.答:Y1=ABCD2.答:Y2=A+B+C+D五绘图题1.2.3.4.任务五测试TTL集成门电路1.答:TTL集成门电路电源电压范围为4.75~5.25V之间,额定电压为5V。
第二章2.2 证明下列异或运算公式(1)A0A证明:左侧A0 A 0A得证(2)A1A证明:左侧 A 1 A 1A得证(3)A A0证明:左侧 A A A A得证(4)AA A证明:左侧 A A A AA得证(5)ABAB证明:右侧A B A BA B A BA B得证(6)(A B) C A (B C)证明:等式右侧 A (B C) A (BC BC)A(BC BC) A (BC BC)A(BC BC) A BC A BCA (B C)( B C)ABC A BCA (BB BC BC CC)ABC ABCABC ABC ABC ABC(A B AB)C (AB A B)C(A B)C (A B)C(将看成一个整体 (A B) ,用M来表示MC MCM C再替换 M ,则)(A B)C得证2.3 用逻辑代数法将下列逻辑函数式化简为最简与或表达式(1) L=AB(BC+A)解: L=AB(BC+A)=ABC+AB=AB(C+1)=AB(2)L=AB AB B解:L= AB AB B= AB (A1)B=AB B=AB B+A=A+B(3)L A ABC ABC BC BC解: L A ABC ABC BC BCA(1 BC ABC) C(B B)A C(4)L A B BD DCE AD解: L AB (A B)D DCEA B A BD DCEA B D DCEA B D (1CE)A B D(5)L( A B)AB A B AB解: L( A B)( A B)AB(A B)ABA B AB ABA B AB AB ABA (B B)B(A A )A B(6)L (A B C) (D E)(A B C DE )解: L(A B C) (D E)(A B C DE)(( A B C)(D E))(ABC DE )(A BC DE)(ABC DE )(0 DE( ABC ) ABCDE DE )DE2.4 已知函数L(A ,B,C)ABC ABC ABC 。
第一章 逻辑代数及逻辑函数的化简1.1、用布尔代数的基本公社和规则证明下列等式。
1、D B A DC D A BD B A +=+++证:左边=D B A DC D BD B A DC D A AD BD B A +=+++=++++=右边 2、C AB D A C AB D B A D AB +=++证:左边=C AB D A C AB B B D A +=++)(=右边 3、D B B DA C B D D BC +=++++))((证:左边=D B C B C DA B DA D BC B DA C B D BC +=++++=++++))((=右边 4、D B C B BC D A D C A ACD +=++++ 证:左边=B D B D A AD +=++=右边 5、))()((A C C B B A CA BC AB +++=++证:右边=AB BC AC A C B AC A C BC B AC AB ++=++=++++))(())((=左边 6、A C C B B A C B A ABC ++=+证:右边=C B A ABC A C BC C A B A A C C B B A A C C B B A +=+++=+++=))(())()(( 7、A C C B B A A C C B B A ++=++证:左边=A C C B B A C B B A A C A C C B B A ++=+++++=右边 8、)())()()((X W YZ Z Y Z Y X W Z Y +=++++证:左边=)())()((X W YZ Z Y X W Y Z YZ +=+++=右边 9、0))()()((=++++B A B A B A B A证:左边=0))((==++++A A B A B A A AB B A A =右边 10、A D D C C B B A D C CD C B BC B A AB +++=+++))()(( 证:左边=D C B A ABCD D C CD C B A ABC +=++))((右边=))()()((A D D C C B B A A D D C C B B A ++++==D C B A ABCD AD C A D C BC C A B A +=++++))((=左边11、=⊕⊕C B A A ⊙B ⊙C证:左边=C B A ABC C B A C B A C B A AB C B A B A +++=+++)()( ==+++)()(C B C B A C B BC A A ⊙B ⊙C =右边12、如果Y B X A BY AX B A +=+=⊕,证明0证:AB B A Y X X B Y A B A Y B X A BY AX +++++=++=+))((=X A Y B AB Y X X B Y A B A ++++++ =X A Y B X A Y B AB B A +=+++=右边1.2、求下列函数的反函数。
第1章习题与参考答案【题1-1】将以下十进制数转换为二进制数、八进制数、十六进制数。
〔1〕25;〔2〕43;〔3〕56;〔4〕78解:〔1〕25=〔11001〕2=〔31〕8=〔19〕16〔2〕43=〔101011〕2=〔53〕8=〔2B〕16〔3〕56=〔111000〕2=〔70〕8=〔38〕16〔4〕〔1001110〕2、〔116〕8、〔4E〕16【题1-2】将以下二进制数转换为十进制数。
〔1〕10110001;〔2〕10101010;〔3〕11110001;〔4〕10001000解:〔1〕10110001=177〔2〕10101010=170〔3〕11110001=241〔4〕10001000=136【题1-3】将以下十六进制数转换为十进制数。
〔1〕FF;〔2〕3FF;〔3〕AB;〔4〕13FF解:〔1〕〔FF〕16=255〔2〕〔3FF〕16=1023〔3〕〔AB〕16=171〔4〕〔13FF〕16=5119【题1-4】将以下十六进制数转换为二进制数。
〔1〕11;〔2〕9C;〔3〕B1;〔4〕AF解:〔1〕〔11〕16=〔00010001〕2〔2〕〔9C〕16=〔10011100〕2〔3〕〔B1〕16=〔1011 0001〕2〔4〕〔AF〕16=〔10101111〕2【题1-5】将以下二进制数转换为十进制数。
〔1〕1110.01;〔2〕1010.11;〔3〕1100.101;〔4〕1001.0101解:〔1〕〔1110.01〕2=14.25〔2〕〔1010.11〕2=10.75〔3〕〔1001.0101〕2=9.3125【题1-6】将以下十进制数转换为二进制数。
〔1〕20.7;〔2〕10.2;〔3〕5.8;〔4〕101.71解:〔1〕20.7=〔10100.1011〕2〔2〕10.2=〔1010.0011〕2〔3〕5.8=〔101.1100〕2〔4〕101.71=〔1100101.1011〕2【题1-7】写出以下二进制数的反码与补码〔最高位为符号位〕。
数字电子技术刘祝华课后答案1. 相同为“0”不同为“1”它的逻辑关系是 [单选题] *与运算或运算异或运算(正确答案)非运算2. 下列说法正确的是 [单选题] *主从JK触发器没有空翻现象(正确答案)JK之间有约束条件JK不能同时为有效触发信号3. 下列关于555定时器说法正确的是 [单选题] *555定时器在工作时清零端应接低电平555定时器在工作时清零端应接高电平(正确答案)555定时器没有清零端4. 一只四输入端或非门,使其输出为1的输入变量取值组合有( )种 [单选题] * 87415(正确答案)5. 下列不属于逻辑代数中的基本逻辑运算的是( )[单选题] *与运算或运算非运算异或运算(正确答案)6. 下列逻辑运算错误的是( )[单选题] *A+0=0(正确答案)A+1=1A+B=B+AA+(B+C)=(A+B)+C7. 下列不属于D触发器功能的是 [单选题] *置0置1翻转(正确答案)8. 十进制的32转换成二进制数其数码是 [单选题] * 10000000010000000001000000100000(正确答案)9. 函数F=AB+BC,使F=1的输入ABC组合为( ) [单选题] * ABC=000ABC=010ABC=101ABC=110(正确答案)10. T触发器的功能是( )。
[单选题] *保持、翻转(正确答案)置1、置0保持、置111. 基本Rs触发器不具备的功能是( ) [单选题] *置0置1翻转(正确答案)保持12. 单稳态触发器它有一个稳态和-一个暂稳态。
[判断题] *对(正确答案)错13. 多谐振荡器有两个稳态 [判断题] *对错(正确答案)14. 主从RS触发器在CP=1期间,R、S之间不存在约束 [判断题] *对错(正确答案)15. 所有的触发器都存在空翻现象 [判断题] *对错(正确答案)16. 逻辑变量的取值,1比0大。
[判断题] *对错(正确答案)17. 在时间和幅度上都连续变化的信号是数字信号,语音信号是数字信号。
第1章习题参考答案【题1-1】将下列十进制数转换为二进制数、八进制数、十六进制数。
(1)25;(2)43;(3)56;(4)78解:(1)25=(11001)2=(31)8=(19)16 (2)43=(101011)2=(53)8=(2B)16(3)56=(111000)2=(70)8=(38)16 (4)(1001110)2、(116)8、(4E)16【题1-2】将下列二进制数转换为十进制数。
(1)10110001;(2)10101010;(3)11110001;(4)10001000解:(1)10110001=177 (2)10101010=170(3)11110001=241 (4)10001000=136【题1-3】将下列十六进制数转换为十进制数。
(1)FF;(2)3FF;(3)AB;(4)13FF解:(1)(FF)16=255 (2)(3FF)16=1023(3)(AB)16=171 (4)(13FF)16=5119【题1-4】将下列十六进制数转换为二进制数。
(1)11;(2)9C;(3)B1;(4)AF解:(1)(11)16=(00010001)2(2)(9C)16=(10011100)2(3)(B1)16=(1011 0001)2(4)(AF)16=(10101111)2【题1-5】将下列二进制数转换为十进制数。
(1)1110.01;(2)1010.11;(3)1100.101;(4)1001.0101解:(1)(1110.01)2=14.25 (2)(1010.11)2=10.75(3)(1100. 101)2=12.625 (4)(1001.0101)2=9.3125【题1-6】将下列十进制数转换为二进制数。
(1)20.7;(2)10.2;(3)5.8;(4)101.71解:(1)20.7=(10100.1011)2(2)10.2=(1010.0011)2(3)5.8=(101.1100)2(4)101.71=(1100101.1011)2【题1-7】写出下列二进制数的反码与补码(最高位为符号位)。
课程数子电子技术一、名词解释(每题2分,共10分)1. 数控系统软件管理数控机床硬件和软件的软件2. 数控机床的特点自动化程度高,加工零件的适应强,灵活性好;可以减轻工人的体力劳动强度;加工精度高,加工的零件一致性好,质量稳定;生产效率较高;生产管理水平提高,便于产品研制;便于实现计算机辅助制造。
3. 数控加工程序用代码表示的加工程序4. 译码译码就是按照一定的对应规则将代码程序转化成计算机能够识别的另一种通用程序。
5. 插补插补是判断位置或选择进给增量的计算方法。
二、判断正误(每题1分,共10分)1、如果在数控车床上车削螺纹,该数控车床必须有主轴脉冲编码器,并处于工作状态。
( √)2、数控车床加工中,若刀具需移动一个准确的尺寸,则这个尺寸的正确性是依靠进给伺服系统来保证的。
( √ )3、加工端面或直径变化较大的工件时,若数控车床的主轴可伺服(即能无级变速),通常采用恒转速车削。
( × ) 4.数控机床伺服系统的作用是把来自数控装置的脉冲信号转换成机床移动部件的运动。
( × )5、数控机床适于单件、小批生产形状复杂的工件,不适合大批量加工。
( ×)6. 数控机床是在普通机床的基础上将普通电气装置更换成CNC控制装置。
( ⨯ )7. 插补运动的实际插补轨迹始终不可能与理想轨迹完全相同。
( √ )8. 数控机床由输入输出装置、数控装置、驱动装置和辅助装置组成。
( ⨯ )9. 适合于加工形状特别复杂(曲面叶轮)、精度要求较高的零件的数控机床是数控铣床(⨯)10、RS232主要作用是用于程序的自动输入。
(×)三、填空(每题2分,共10分)1.数控机床主要由( I/O装置、数控装置、驱动控制装置和机床电器逻辑控制)四个部分组成。
2.数控机床按运动方式分为(点位控制数控系统、直线控制数控系统、轮廓控制数控系统)等三类。
3.CNC装置的硬件结构可分为(单CPU)和(多CPU )两大类。
:第1单元能力训练检测题(共100分,120分钟)一、填空题:(每空分,共20分)1、由二值变量所构成的因果关系称为逻辑关系。
能够反映和处理逻辑关系的数学工具称为逻辑代数。
2、在正逻辑的约定下,“1”表示高电平,“0”表示低电平。
3、数字电路中,输入信号和输出信号之间的关系是逻辑关系,所以数字电路也称为逻辑电路。
在逻辑关系中,最基本的关系是与逻辑、或逻辑和非逻辑。
4、用来表示各种计数制数码个数的数称为基数,同一数码在不同数位所代表的权不同。
十进制计数各位的基数是10,位权是10的幂。
5、8421 BCD码和2421码是有权码;余3码和格雷码是无权码。
.6、进位计数制是表示数值大小的各种方法的统称。
一般都是按照进位方式来实现计数的,简称为数制。
任意进制数转换为十进制数时,均采用按位权展开求和的方法。
7、十进制整数转换成二进制时采用除2取余法;十进制小数转换成二进制时采用乘2取整法。
8、十进制数转换为八进制和十六进制时,应先转换成二进制,然后再根据转换的二进数,按照三个数码一组转换成八进制;按四个数码一组转换成十六进制。
9、逻辑代数的基本定律有交换律、结合律、分配律、反演律和非非律。
10、最简与或表达式是指在表达式中与项中的变量最少,且或项也最少。
13、卡诺图是将代表最小项的小方格按相邻原则排列而构成的方块图。
卡诺图的画图规则:任意两个几何位置相邻的最小项之间,只允许一位变量的取值不同。
!14、在化简的过程中,约束项可以根据需要看作1或0。
二、判断正误题(每小题1分,共10分)1、奇偶校验码是最基本的检错码,用来使用PCM方法传送讯号时避免出错。
(对)2、异或函数与同或函数在逻辑上互为反函数。
(对)3、8421BCD码、2421BCD码和余3码都属于有权码。
(错)4、二进制计数中各位的基是2,不同数位的权是2的幂。
(对)3、每个最小项都是各变量相“与”构成的,即n个变量的最小项含有n个因子。
(对)4、因为逻辑表达式A+B+AB=A+B 成立,所以AB=0成立。
( 错 )、5、逻辑函数F =A B +A B+B C+B C 已是最简与或表达式。
( 错 )6、利用约束项化简时,将全部约束项都画入卡诺图,可得到函数的最简形式。
( 错 )7、卡诺图中为1的方格均表示逻辑函数的一个最小项。
( 对 )8、在逻辑运算中,“与”逻辑的符号级别最高。
( 对 )9、标准与或式和最简与或式的概念相同。
( 对 ) 10、二极管和三极管在数字电路中可工作在截止区、饱和区和放大区。
( 错 ) 三、选择题(每小题2分,共20分)1、逻辑函数中的逻辑“与”和它对应的逻辑代数运算关系为( B )。
\A 、逻辑加B 、逻辑乘C 、逻辑非2.、十进制数100对应的二进制数为( C )。
A 、1011110B 、1100010C 、1100100D 、 3、和逻辑式AB 表示不同逻辑关系的逻辑式是( B )。
A 、B A + B 、B A •C 、B B A +•D 、A B A + 4、数字电路中机器识别和常用的数制是( A )。
A 、二进制B 、八进制C 、十进制D 、十六进制 5、以下表达式中符合逻辑运算法则的是( D )。
>A 、C ·C=C 2B 、1+1=10C 、0<1D 、A+1=1 6、A+BC=( C )。
A 、A+B B 、A+C C 、(A+B )(A+C )D 、B+C 7、在( D )输入情况下,“与非”运算的结果是逻辑0。
A 、全部输入是0B 、任一输入是0C 、仅一输入是0D 、全部输入是1 8、逻辑变量的取值1和0可以表示( ABCD )。
A 、开关的闭合、断开B 、电位的高、低C 、真与假D 、电流的有、无 9、求一个逻辑函数F 的对偶式,可将F 中的( ABD )。
*A .“·”换成“+”,“+”换成“·”B 、原变量换成反变量,反变量换成原变量C 、变量不变D 、常数中“0”换成“1”,“1”换成“0”10、在( BCD )输入情况下,“或非”运算的结果是逻辑0。
A 、全部输入是0 B 、全部输入是1 C 、任一输入为0,其他输入为1 D 、任一输入为1四、简述题(每小题4分,共16分) 1、逻辑代数与普通代数有何异同答:逻辑代数中仅含有0和1两个数码,普通代数含有的数码是0~9个,逻辑代数是逻辑运算,普通代数是加、减、乘、除运算。
【2、什么是最小项最小项具有什么性质答:一个具有n 个逻辑变量的与或表达式中,若每个变量以原变量或反变量形式仅出现一次,就可组成2n个“与”项,我们把这些“与”项称为n 个变量的最小项,分别记为m n 。
最小项具备下列性质:①对于任意一个最小项,只有一组变量取值使它的值为1,而变量取其余各组值时,该最小项均为0。
②任意两个不同的最小项之积恒为0。
③变量全部最小项这和恒等于1。
3、在我们所介绍代码范围内,哪些属于有权码哪些属于无权码答:8421BCD 码和2421BCD 码属于有权码,余3码和格雷码属于无权码。
4、试述卡诺图化简逻辑函数的原则和步骤。
…答:利用卡诺图化简逻辑函数式的步骤:①根据变量的数目,画出相应方格数的卡诺图; ②根据逻辑函数式,把所有为“1”的项画入卡诺图中;③用卡诺圈把相邻最小项进行合并,合并时就遵照卡诺圈最大化原则;④根据所圈的卡诺圈,消除圈内全部互非的变量,每一个圈作为一个“与”项,将各“与”项相或,即为化简后的最简与或表达式。
五、计算题(共34分)1、用代数法化简下列逻辑函数(12分)①B A C B A F ++=)( 》②BC B A C A F ++=③F 解:④D C C D C D C B A②)13,12,9,8,7,6,5,3,2,1()(m ABCD F ∑=③3、①(365)10=( 1 )2=(555 )8=(16D )16 ②()2=()10=( )8=()16 ③()10=(2= )8=( )164、完成下列数制与码制之间的转换(6分)①(47)10=(01111010 )余3码=( 01000111 )8421码 ②(3D )16=( 00101011)格雷码③()10=( )8421BCD =()2421BCD =()8第2单元 能力训练检测题 (共100分,120分钟)*一、填空题:(每空分,共23分)1、基本逻辑关系的电路称为逻辑门,其中最基本的有与门、或门和非门。
常用的复合逻辑门有与非门、或非门、与或非门、异或门和同或门。
2、TTL集成电路的子系列中,74S表示肖特基系列,74L表示低功耗系列、74LS 表示低功耗肖特基系列。
3、CMOS集成电路是由增强型PMOS 管和增强型NMOS管组成的互补对称MOS门电路,其中CC4000系列和高速系列是它的主要子系列。
4、功能为“有0出1、全1出0”的门电路是与非门;具有“有1出1,全0出0”功能的门电路是或门;实际中集成与非门应用的最为普遍。
5、普通的TTL与非门具有图腾结构,输出只有高电平“1”和低电平“0”两种状态;TTL三态与非门除了具有1态和0态,还有第三种状态高阻态,三态门可以实现总线结构。
6、集成电极开路的TTL与非门又称为OC门,其输出可以“线与。
7、TTL集成电路和CMOS集成电路相比较,TTL集成门的带负载能力较强,CMOS集成门的抗干扰能力较强。
·8、两个参数对称一致的一个NMOS管和一个PMOS管,并联可构成一个CMOS传输门。
两管源极相连构成传输门的(输入端)或输出端,两管漏极相连构成传输门的(输出端)或输入端,两管的栅极分别与两个互非的控制端相连。
9、具有图腾结构的TTL集成电路,同一芯片上的输出端,不允许并联使用;同一芯片上的CMOS集成电路,输出端可以并联使用,但不同芯片上的CMOS集成电路上的输出端是不允许并联使用的。
10、当外界干扰较小时,TTL 与非门闲置的输入端可以悬空处理;TTL 或非门不使用的闲置输入端应与地相接;CMOS门输入端口为“与”逻辑关系时,闲置的输入端应接高电平,具有“或”逻辑端口的CMOS门多余的输入端应接低电平;即CMOS门的闲置输入端不允许悬空。
二、判断正误题(每小题1分,共10分)1、所有的集成逻辑门,其输入端子均为两个或两个以上。
(错)2、根据逻辑功能可知,异或门的反是同或门。
(对)3、具有图腾结构的TTL与非门可以实现“线与”逻辑功能。
(错)4、逻辑门电路是数字逻辑电路中的最基本单元。
(对)&5、TTL和CMOS两种集成电路与非门,其闲置输入端都可以悬空处理。
(错)6、74LS系列产品是TTL集成电路的主流,应用最为广泛。
(对)7、74LS系列集成芯片属于TTL型,CC4000系列集成芯片属于CMOS型。
(对)8、三态门采用了图腾输出结构,不仅负载能力强,且速度快。
(错)9、OC门可以不仅能够实现“总线”结构,还可构成与或非逻辑。
(对)10、CMOS电路的带负载能力和抗干扰能力均比TTL电路强。
(错)三、选择题(每小题2分,共16分)1、具有“有1出0、全0出1”功能的逻辑门是(B)。
.A、与非门B、或非门C、异或门D、同或门2、两个类型的集成逻辑门相比较,其中(B)型的抗干扰能力更强。
A、TTL集成逻辑门B、CMOS集成逻辑门3、CMOS电路的电源电压范围较大,约在(B)。
A、-5V~+5VB、3~18VC、5~15VD、+5V4、若将一个TTL异或门当做反相器使用,则异或门的A和B输入端应:(A)。
A、B输入端接高电平,A输入端做为反相器输入端B、B输入端接低电平,A输入端做为反相器输入端;C、A、B两个输入端并联,做为反相器的输入端D、不能实现5、(C)的输出端可以直接并接在一起,实现“线与”逻辑功能。
A、TTL与非门B、三态门C、OC门6、(A)在计算机系统中得到了广泛的应用,其中一个重要用途是构成数据总线。
A、三态门B、TTL与非门C、OC门7、一个两输入端的门电路,当输入为1 0时,输出不是1的门电路为(C)。
A、与非门B、或门C、或非门D、异或门(8、一个四输入的与非门,使其输出为0的输入变量取值组合有(B)。
A、15种B、1种C、3种D、7种四、简述题(每小题4分,共24分)1、数字电路中,正逻辑和负逻辑是如何规定的答:数字电路中只有高、低电平两种取值。
用逻辑“1”表示高电平,用逻辑“0”表示低电平的方法称为正逻辑;如果用用逻辑“0”表示高电平,用逻辑“1”表示低电平,则称为负逻辑。
2、你能说出常用复合门电路的种类吗它们的功能如何答:常用的复合门有与非门、或非门、与或非门、异或门和同或门。
其中与非门的功能是“有0出1,全1出0”;或非门的功能是“有1出0,全0出1”;与或非门的功能是“只要1个与门输出为1,输出为0,两个与门全部输出为0时,输出为1”;异或门的功能是“相异出1,相同出0”;同或门的功能是“相同出1,相异出0”。