辽宁省重点高中协作校(沈阳二中、大连育明中学、辽师大附中、本溪高中等)2017届高三上学期期末考试英语
- 格式:doc
- 大小:29.95 KB
- 文档页数:10
2017-2018学年度下学期高三第二次模拟考试试题理科综合能力测试考试时间:150分钟满分:300分注意事项:1.答题前,考生务必将自己的姓名、准考证号填写在答题卡上。
2.每小题选出答案后,用铅笔把答题卡上对应题目的答案标号涂黑。
如需改动,用橡皮擦干净后,再选涂其他答案标号。
不能答在试卷上3·全部答案在答题卡上完成,答在本试题上无效4·可能用到的相对原子质量:H一1 C一12 O一16 Cu-64一、选择题:本题共13小题,每小题6分。
在每小题给出四个选项中,貝有一项是符合题目要求的。
1.某同学将适量的酵母菌、面粉和水混合,在适宜温度下发面,二定时间后面团体积膨胀,后来面团出现酒味。
下列相关叙述,正确的是A·在发面过程中,酵母菌数量增加,面团质变大B·为了使面团迅速膨胀,将面团隔绝空气,,效果更好C·在面团产生酒精前后,酵母菌细胞串都有丙酮酸生成D·可用溴麝香草酚蓝,在酸性的条件下鉴定面团产生的酒精.2.下图表示某植物体在常生理条件下导管细胞的形成过程。
下列相关叙述正确的是①上图表示细胞分化过程②上图表示细胞凋亡过程③上图表示细胞衰老过程④上图表示细胞坏死过程A. ①②B. ③④C. ①③D. ②④3·下列关于人体排尿活动调节的叙述,错误的是A·神经系统对排尿活动调节属于分级调节B·婴儿经常尿床,是因为大脑发育尚未完善C.排尿反射弧的感受器分布在膀胱壁组织中D·成年人不能控制排尿说明其大脑受到损伤4·每条染色体的两端都有一段特殊序列的DNA,称为端粒。
在一些细胞中染色体复制时,一种含有RNA的端粒酶催化端粒合成,部分过程如图所示。
下列相关叙述,正确的是A.图中核酸分子水解可生成4种碱基和4种核苷酸B·端粒酶的催化作用与逆转录酶具有一定的相似性C.染色体DNA的复制还需要RNA聚合酶、解旋酶等参与催化D.端粒DNA的合成具有边解旋边复制和半保留复制的特点5·小麦是含有3种不同的染色体组(A组、B组、D组)的异源六倍体,相同染色体组中的同源染色体可以联会,不同染色体组中不存在同源染色体。
2017-2018学年第Ⅰ卷选择题(共60分)下图是利用地理信息技术制作的某城市忠信城区月交通事故次数示意图。
读图回答第1题。
1. 该图的制作与应用借助于()A.遥感技术获取道路网信息,测定监测点分布B.全球定位系统确定事故的位置,预测交通流量C.地理信息系统查询事故频次,分析出警最优路径D.数字地球技术,实现道路与监测点的互换2.西部地区的工业部门中,受“西气东输”工程建设强有力拉动的是()A.纺织B.食品C.飞机制造D.钢铁读下表我国某地区地貌类型比例以及土地利用现状图。
据此回答3——4题。
3. 综合图表,该地区最有可能是()A.东北地区 B.西北地区C.西南地区 D.东南地区4.该地平原面积小,但耕地比重高的主要原因是( )①开垦历史悠久②地形平坦,便于开垦③人多地少,过度垦殖④土壤肥沃,便于农耕A.①② B.②③ C.①③ D.②④调节气候和维护生物多样性等重要生态功能,被称为“地球之肾”,天然水库和天然物种库。
据此回答5——6题。
5.湖泊是重要的湿地形式,除了补给河流、调蓄洪水之外还有重要的生态价值。
与下表所示情况发生原因无关的是()A.大规模围湖造田,使水面日益退缩 B.过度引水灌溉,导致湖泊补给不足C.水体富营养化,水华大量出现 D.人口增长,用地规模扩大6.乌鲁木齐市北郊的青格达湖周边有30平方公里的湿地,这里是数万只候鸟的迁徙栖息地。
2005年11月,这块湿地的周边村庄发生了禽流感。
这说明()A.新疆气候干旱,湿地不能充分发挥其生态作用B.湿地周围被大量开垦,增加了人、畜与候鸟的接触C.为了防控禽流感的爆发,人类应该填平湿地,阻止候鸟的降落、栖息和采食D.湿地面积与禽流感爆发的范围成正相关读我国城市数量分布图,回答7——8题。
7.关于我国城市分布的说法正确的是()①我国城市分布受地形影响形成东多西少的特点②我国城市分布受气候影响形成南多北少的特点③我国城市分布受交通的影响形成东多西少的特点④我国城市分布受经济的影响形成南多北少的特点A.①③B.①②C.③④D.②④8.我国最东部(东经130度以东)和最西部(东经90度以西)城市数少的主要原因是()A.最东部面积范围大 B.最东部冬天太冷C.最西部为少数民族聚居区 D.最西部自然条件差读“东部沿海地区图”,并回答9——10题。
2017年辽宁省本溪高中、大连育明高中、大连二十四中联考高考模拟数学文一、选择题:本大题共12个小题,每小题5分,共60分.在每小题给出的四个选项中,只有一项是符合题目要求的.1.已知集合A={-1,1},B={x|mx=1},且A ∪B=A ,则m 的值为( ) A.1 B.-1 C.1或-1 D.1或-1或0解析:∵A ∪B=A ∴B A ∴B=∅;B={-1};B={1} 当B=∅时,m=0 当B={-1}时,m=-1 当B={1}时,m=1故m 的值是0;1;-1. 答案:D2.定义运算a b c d=ad-bc ,若z=212i i,则复数z 对应的点在( ) A.第一象限 B.第二象限 C.第三象限 D.第四象限解析:利用已知定义结合虚数单位i 的运算性质求得z ,进一步得到z ,求得z 的坐标得答案.由已知可得,z=212i i=1×i 2-2i=-1-2i , ∴z =-1+2i ,则复数z 对应的点的坐标为(-1,2),在第二象限.答案:B.3.已知d 为常数,p :对于任意n ∈N*,a n+2-a n+1=d ;q :数列{a n }是公差为d 的等差数列,则¬p 是¬q 的( ) A.充分不必要条件 B.必要不充分条件C.充要条件D.既不充分也不必要条件解析:先根据命题的否定,得到¬p 和¬q ,再根据充分条件和必要的条件的定义判断即可. p :对于任意n ∈N*,a n+2-a n+1=d ;q :数列{a n }是公差为d 的等差数列, 则¬p :∃n ∈N*,a n+2-a n+1≠d ;¬q :数列{a n }不是公差为d 的等差数列, 由¬p ⇒¬q ,即a n+2-a n+1不是常数,则数列{a n }就不是等差数列,若数列{a n }不是公差为d 的等差数列,则不存在n ∈N*,使得a n+2-a n+1≠d , 即前者可以推出后者,前者是后者的充分条件, 即后者可以推不出前者,所以¬p 是¬q 的充分不必要条件. 答案:A.4.如图程序框图的算法思路源于我国古代数学名著《九章算术》中的“更相减损术”.执行该程序框图,若输入的a ,b 分别为8,12,则输出的a=( )A.4B.2C.0D.14解析:由循环结构的特点,先判断,再执行,分别计算出当前的a ,b 的值,即可得到结论. 由a=8,b=12,不满足a >b , 则b 变为12-8=4,由b <a ,则a 变为8-4=4, 由a=b=4, 则输出的a=4. 答案:A.5.已知抛物线C :y 2=8x 的焦点为F ,准线为l ,P 是l 上一点,Q 是直线PF 与C 的一个交点,若4FP FQ =uu r uu u r,则|QF|=( )A.3B.52C.72 D.32解析:如图所示:由抛物线C :y 2=8x ,可得焦点为F(2,0),准线l 方程为:x=-2, 准线l 与x 轴相交于点M ,|FM|=4.经过点Q 作QN ⊥l ,垂足为N 则|QN|=|QF|. ∵QN ∥MF , ∴34QN PQ MF PF ==, ∴|QN|=3=|QF|. 答案:A.6.已知函数f(x)=sinx+λcosx 的图象的一个对称中心是点(3π,0),则函数g(x)=λsinxcosx+sin 2x 的图象的一条对称轴是直线( )A.x=56πB.x=43πC.x=3πD.x=3π-解析:∵f(x)=sinx+λcosx 的图象的一个对称中心是点(3π,0),∴sin cos 0333122f πππλλ⎛⎫=+=+=⎪⎝⎭,解得λ=∴()21cos 2cos sin 2sin 22162x g x x x x x x π-⎛⎫=+=+=-+ ⎝⎪⎭,令262x k πππ+=+可得26k x ππ=+,k ∈Z , ∴函数的对称轴为26k x ππ=+,k ∈Z , 结合四个选项可知,当k=-1时x=3π-符合题意. 答案:D7.已知A ,B ,C 是平面上不共线的三点,O 是△ABC 的重心,动点P 满足1112322O P O A O B O C=++⎛⎫⎪⎝⎭uu u r uu r uu u r uuu r ,则P 一定为△ABC 的( ) A.AB 边中线的三等分点(非重心) B.AB 边的中点 C.AB 边中线的中点 D.重心解析:根据题意,画出图形,结合图形,利用向量加法的平行四边形法则以及共线的向量的加法法则,即可得出正确的结论. 如图所示:设AB 的中点是E ,∵O 是三角形ABC 的重心,∵()1111322322OP OA OB OC OE OC ⎛⎫ ⎪⎝⎭=++=+uu u r uu r uu u r uuu r uu u r uuu r,∵2EO OC =uu u r uuu r,∴()413OP EO OE EO =⨯+=uu u r uu u r uu u r uu u r ,∴P 在AB 边的中线上,是中线的三等分点,不是重心. 答案:A 8.设(sin56°-cos56°),b=cos50°·cos128°+cos40°·cos38°,c=12(cos80°-2cos 250°+1),则a ,b ,c 的大小关系是( )A.a >b >cB.b >a >cC.c >a >bD.a >c >b解析:运用两角和差的正弦和余弦公式,化简整理,再由余弦函数的单调性,即可得到所求大小关系.(sin56°-cos56°sin(56°-45°)=sin11°=cos79°, b=cos50°·cos128°+cos40°·cos38°=-cos50°·cos52°+sin50°·sin52°=-cos102°=cos78°, c=12(cos80°-2cos 250°+1)=12(cos80°-cos100°)=cos80°, 由cos78°>cos79°>cos80°, 即b >a >c. 答案:B.9.一个几何体的三视图如图所示,其中俯视图是一个腰长为2的等腰直角三角形,侧视图是一个直角边长为1的直角三角形,则该几何体外接球的体积是( )A.36πB.9πC.92π D.275π解析:由已知中的三视图可得该几何体是一个三棱锥. ∵俯视图是一个腰长为2的等腰直角三角形,故底面外接圆半径, 由主视图中棱锥的高h=1,故棱锥的外接球半径R 满足:32R ==, 故该几何体外接球的体积34932V R ππ==. 答案:C.10.设m >1,在约束条件1y x y mx x y ≥⎧⎪≤⎨⎪+≤⎩下,目标函数z=x+my 的最大值小于2,则m 的取值范围为( ) A.(1,),+∞) C.(1,3) D.(3,+∞)解析:根据m >1,我们可以判断直线y=mx 的倾斜角位于区间(4π,2π)上,由此我们不难判断出满足约束条件1y x y mx x y ≥⎧⎪≤⎨⎪+≤⎩的平面区域的形状,∵m >1故直线y=mx 与直线x+y=1交于(11m +,1mm +)点, 目标函数Z=X+my 对应的直线与直线y=mx 垂直,且在(11m +,1mm +)点,取得最大值 其关系如下图所示:即2121m m ++<, 解得<m <又∵m >1解得m ∈(1,)答案:A.11.己知O 为坐标原点,双曲线22221x y a b-=(a >0,b >0)的两条渐近线分别为l 1,l 2,右焦点为F ,以OF 为直径作圆交l 1于异于原点O 的点A ,若点B 在l 2上,且2AB FA =uu u r uu r,则双曲线的离心率等于( )C.2D.3解析:双曲线的渐近线方程l 1,b y x a =,l 2,by x a=-, F(c ,0),圆的方程为22224c c x y ⎛⎫ ⎪+=⎝⎭-,将b y x a =代入22224c c x y ⎛⎫ ⎪+=⎝⎭-,得22224c b c x x a ⎛⎫⎛⎫ ⎪ ⎪⎭⎭+=⎝⎝-,即222c x cx a =,则x=0或x=2a c, 当x=2a c 时,2b a ab y a c c ==g ,即A(2a c ,ab c),设B(m ,n),则bn m a=-g ,则AB uu u r =(m-2a c ,n-ab c ),FA uu r =(2a c -c ,abc ),∵2AB FA =uu u r uu r,∴(m-2a c ,n-ab c )=2(2a c -c ,ab c )则m-2a c =2(2a c -c),n-ab c =2·ab c , 即m=23a c -2c ,n=3ab c,即233322ab b a ab bcc c a c c a ⎛⎫ ⎪⎝⎭=--=-+g , 即62ab bcc a=, 则c 2=3a 2,则ca=答案:B.12.已知定义在(0,+∞)上的单调函数f(x),对∀x ∈(0,+∞),都有f[f(x)-log2x]=3,则方程f(x)-f ′(x)=2的解所在的区间是( ) A.(0,12) B.(1,2) C.(12,1) D.(2,3)解析:根据题意,对任意的x ∈(0,+∞),都有f[f(x)-log 2x]=3, 又由f(x)是定义在(0,+∞)上的单调函数, 则f(x)-log 2x 为定值,设t=f(x)-log 2x ,则f(x)=log 2x+t , 又由f(t)=3,即log 2t+t=3, 解可得,t=2;则f(x)=log 2x+2,f ′(x)=12ln x g , 将f(x)=log 2x+2,f ′(x)=12ln xg 代入f(x)-f ′(x)=2,可得log 2x+2-12ln x g =2, 即log 2x-12ln xg =0, 令h(x)=log 2x-12ln x g , 分析易得h(1)=12ln -<0,h(2)=1-122ln >0,则h(x)=log 2x-12ln x g 的零点在(1,2)之间, 则方程log 2x-12ln xg =0,即f(x)-f ′(x)=2的根在(1,2)上. 答案:B.二、填空题(每题5分,满分20分,将答案填在答题纸上)13.某工厂经过技术改造后,生产某种产品的产量(吨)与相应的生产能耗(吨标准煤)有如下几组样本数据:据相关性检验,这组样本数据具有线性相关关系,通过线性回归分析,求得回归直线的斜率为0.7,那么这组数据的回归直线方程是 .(参考公式:1221ni ii nii x y nx yb xnx==-=-∑∑,a y bx =-)解析:求出横标和纵标的平均数,写出样本中心点,把样本中心点代入线性回归方程,得到关于a 的方程,解方程即可. ∵34564.54x +++==,2.534 4.53.54y +++==,∴这组数据的样本中心点是(4.5,3.5)把样本中心点代入回归直线方程y )=0.7x+a∴3.5=4.5×0.7+a , ∴a=0.35那么这组数据的回归直线方程是y )=0.7x+0.35 答案:y )=0.7x+0.35.14.已知a ,b 表示两条不同直线,α,β,γ表示三个不同平面,给出下列命题: ①若α∩β=a ,b ⊂α,a ⊥b ,则α⊥β;②若a ⊂α,a 垂直于β内的任意一条直线,则α⊥β; ③若α⊥β,α∩β=a ,α∩γ=b ,则a ⊥b ;④若a 不垂直于平面α,则a 不可能垂直于平面α内的无数条直线; ⑤若a ⊥α,a ⊥β,则α∥β.上述五个命题中,正确命题的序号是 . 解析:对于①,根据线面垂直的判定定理,需要一条直线垂直于两条相交的直线,故不正确, 对于②a ⊂α,a 垂直于β内的任意一条直线,满足线面垂直的定理,即可得到a ⊥β,又a ⊂α,则α⊥β,故正确,对于③α⊥β,α∩β=a ,α∩γ=b ,则a ⊥b 或a ∥b ,或相交,故不正确,对于④若a 不垂直于平面α,则a 可能垂直于平面α内的无数条直线,故不正确, 对于⑤根据线面垂直的性质,若a ⊥α,a ⊥β,则α∥β,故正确.答案:②⑤.15.已知函数g(x)=a-x 2(1e≤x ≤e ,e 为自然对数的底数)与h(x)=2lnx 的图象上存在关于x 轴对称的点,则实数a 的取值范围是 .解析:由已知,得到方程a-x 2=-2lnx ⇔-a=2lnx-x 2在[1e,e]上有解. 设f(x)=2lnx-x 2,求导得:f ′(x)()()21122x x x x x-+=-=, ∵1e ≤x ≤e ,∴f ′(x)=0在x=1有唯一的极值点, ∵f(1e )=-2-21e ,f(e)=2-e 2,f(x)极大值=f(1)=-1,且知f(e)<f(1e),故方程-a=2lnx-x 2在[1e,e]上有解等价于2-e 2≤-a ≤-1.从而a 的取值范围为[1,e 2-2].答案:[1,e 2-2]16.在平面直角坐标系xOy 中,已知直线l :x+y+a=0与点A(2,0),若直线l 上存在点M 满足|MA|=2|MO|(O 为坐标原点),则实数a 的取值范围是 . 解析:设M(x ,-x-a),∵直线l :x+y+a=0,点A(2,0),直线l 上存在点M ,满足|MA|=2|MO|,∴(x-2)2+(-x-a)2=4x 2+4(-x-a)2,整理,得6x 2+(6a+4)x+a 2+3a 2-4=0①,∵直线l 上存在点M 满足|MA|=2|MO|(O 为坐标原点), ∴方程①有解,∴△=(6a+4)2-24(3a2+-4)≥0,整理得9a 2-12a-28≤0,解得2332a -+≤≤,故a 的取值范围为[23-,23+],答案:]三、解答题(本大题共5小题,共70分.解答应写出文字说明、证明过程或演算步骤.)17.已知a 、b 、c 分别是△ABC 的三个内角∠A 、∠B 、∠C 的对边,acosB+12b=c.(1)求∠A 的大小.解析:(1)过点C 作AB 边上的高交AB 与D ,通过acosB+12b=c ,可知∠A=60°. 答案:(1)过点C 作AB 边上的高交AB 与D , 则△ACD 、△BCD 均为直角三角形, ∵acosB+12b=c. ∴AD=AB-BD=c-acosB=12b , ∴∠A=60°.(2)若等差数列{a n }中,a 1=2cosA ,a 5=9,设数列{11n n a a +}的前n 项和为S n ,求证:S n <12. 解析:(2)通过(1)及a 1=2cosA 、a5=9可知公差d=2,进而可得通项an=2n-1,分离分母得1121112121n n a a n n +=--+⎛⎫⎪⎝⎭,并项相加即可. 答案:(2)证明:由(1)知a 1=2cosA=2cos60°=1, 设等差数列{a n }的公差为d , ∵a 5=a 1+(5-1)d=9,∴d=2, ∴a n =1+2(n-1)=2n-1, ∴()()112111*********n n a a n n n n +==-⎛⎫⎪⎝-++⎭-, ∴11111152111112332121212n S n n n =-+-+⋯+-=--+⎛⎫⎛⎫ ⎪ ⎝+⎪⎝⎭⎭<.18.某志愿者到某山区小学支教,为了解留守儿童的幸福感,该志愿者对某班40名学生进行了一次幸福指数的调查问卷,并用茎叶图表示如图(注:图中幸福指数低于70,说明孩子幸福感弱;幸福指数不低于70,说明孩子幸福感强).(1)根据茎叶图中的数据完成2×2列联表,并判断能否有95%的把握认为孩子的幸福感强与是否是留守儿童有关?解析:(1)根据题意,填写2×2列联表,计算观测值,对照临界值表得出结论. 答案:(1)根据题意,填写2×2列联表如下:计算2240679184 3.84115252416()K⨯⨯-⨯==⨯⨯⨯>,对照临界值表得,有95%的把握认为孩子的幸福感强与是否留守儿童有关.(2)从15个留守儿童中按幸福感强弱进行分层抽样,共抽取5人,又在这5人中随机抽取2人进行家访,求这2个学生中恰有一人幸福感强的概率.参考公式:()()()()()22n ad bcKa b c d a c b d-=++++.附表:解析:(2)按分层抽样方法抽出幸福感强的孩子,利用列举法得出基本事件数,求出对应的概率值.答案:(2)按分层抽样的方法可抽出幸福感强的孩子2人,记作:a1,a2;幸福感弱的孩子3人,记作:b1,b2,b3;“抽取2人”包含的基本事件有(a1,a2),(a1,b1),(a1,b2),(a1,b3),(a2,b1),(a2,b2),(a2,b3),(b1,b2),(b1,b3),(b2,b3)共10个;事件A:“恰有一人幸福感强”包含的基本事件有(a1,b1),(a1,b2),(a1,b3),(a2,b1),(a2,b2),(a2,b3)共6个;故所求的概率为()63105P A ==.19.已知矩形ABCD 中,AB=2,AD=5,E ,F 分别在AD ,BC 上,且AE=1,BF=3,沿EF 将四边形AEFB 折成四边形A ′EFB ′,使点B ′在平面CDEF 上的射影H 在直线DE 上,且EH=1.(1)求证:A ′D ∥平面B ′FC.解析:(1)证明A ′E ∥B ′F ,即可证明B ′F ∥平面A ′ED ,然后证明CF ∥平面A ′ED ,推出平面A ′ED ∥平面B ′FC ,然后证明A ′D ∥平面B ′FC.答案:(1)证明:∵AE ∥BF ,∴A ′E ∥B ′F ,又A ′E ⊂平面A ′ED ,B ′F ⊂平面A ′ED ∴B ′F ∥平面A ′ED同理又CF ∥ED ,CF ∥平面A ′ED且B ′F ∩CF=F ,∴平面A ′ED ∥平面B ′FC 又A ′D ⊂平面A ′ED ,∴A ′D ∥平面B ′FC.(2)求C 到平面B ′HF 的距离.解析:(2)求出B ′H ,求出S △HFC ,利用V C-B ′HF =V B ′-HFC 求解即可. 答案:(2)由题可知,B ′E=5,EH=1,∵B ′H ⊥底面EFCD ,∴2B H '==,又B ′F=3,∴HF ==,FC=AD-BF=2S △HFC =FC ·CD=2,S △B ′HF =12B ′H ·V C-B ′HF =V B ′-HFC ,∴S △B ′HF d C =S △HFC ·B ′H ,∴HFC C B HF S B H d S ''===V V g20.已知椭圆C :2214x y +=,斜率为2的动直线l 与椭圆C 交于不同的两点A ,B.(1)设M 为弦AB 的中点,求动点M 的轨迹方程.解析:(1)设M(x ,y),A(x 1,y 1),B(x 2,y 2),由222214x y +=①,221114x y +=②;①-②得:1212121214y y y y x x x x +-⨯=-+-,14y x =-g,即0x +=,由M在椭圆内部,则x M 的轨迹方程.答案:(1)设M(x ,y),A(x 1,y 1),B(x 2,y 2),由222214x y +=①,221114x y +=②; ①-②得:1212121214y y y y x x x x +-⨯=-+-,124y x =-g,即0x +=.又由中点在椭圆内部得x ,∴M点的轨迹方程为0x +=,x .(2)设F 1,F 2为椭圆C 在左、右焦点,P 是椭圆在第一象限上一点,满足1254PF PF =-uuu r uuu r g ,求△PAB 面积的最大值.解析:(2)由向量数量积的坐标运算,求得P 点坐标,求得直线l 的方程,代入椭圆方程,利用韦达定理,点到直线的距离公式及三角形的面积公式,根据基本不等式的性质,即可求得△PAB 面积的最大值.答案:(2)由椭圆的方程可知:F 1(,0),F 20),P(x ,y)(x >0,y >0),1PF uuu r=(-x ,-y),2PF uuu r,-y),由12PF PF g uuu r uuu r=(-x ,-y)·,-y)=x 2-3+y 2=54-,即x 2+y 2=74,由22227414x y x y ⎧+=⎪⎪⎨⎪+=⎪⎩,解得:1x y =⎧⎪⎨=⎪⎩P 点坐标为(1,2), 设直线l 的方程为x+m ,22214y x m x y ⎧=+⎪⎪⎨⎪+=⎪⎩,整理得:x 22-1=0,由△>0得-2<m <2, 则x 1+x 2=,x 1x 2=m 2-1,AB =d =,∴12PAB S =V224112212PABm m S +-=≤=V g , 当且仅当m 2=4-m 2,即m=时,取等号, ∴△PAB 面积的最大值1.21.已知函数g(x)=alnx+12x 2+(1-b)x.(1)若g(x)在点(1,g(1))处的切线方程为8x-2y-3=0,求a ,b 的值. 解析:(1)求出函数的导数,得到关于a ,b 的方程组,解出即可. 答案:(1)根据题意可求得切点(1,52),由题意可得,g ′(x)=ax+x+(1-b), ∴()()51214g g ⎧=⎪⎨⎪'=⎩,即51211124b a b +-=++-=⎧⎪⎨⎪⎩,解得a=1,b=-1.(2)若b=a+1,x 1,x 2是函数g(x)的两个极值点,试比较-4与g(x 1)+g(x 2)的大小. 解析:(2)求出a >4,且x 1+x 2=a ,x 1x 2=a ,令f(x)=xlnx-12x 2-x(x >4),则f'(x)=lnx+1-x-1=lnx-x ,根据函数的单调性判断即可. 答案:(2)证明:∵b=a+1,∴g(x)=alnx+12x 2-ax ,则g ′(x)=ax+x-a. 根据题意可得x 2-ax+a=0在(0,+∞)上有两个不同的根x 1,x 2.即202400aa a a ⎧⎪⎪⎪-⎨⎪⎪⎪⎩>>>,解得a >4,且x 1+x 2=a ,x 1x 2=a. ∴g(x 1)+g(x 2)=aln(x 1x 2)+12(x 12+x 22)-a(x 1+x 2)=alna-12a 2-a. 令f(x)=xlnx-12x 2-x(x >4),则f'(x)=lnx+1-x-1=lnx-x , 令h(x)=lnx-x ,则当x >4时,h ′(x)=1x-1<0,∴h(x)在(4,+∞)上为减函数,即h(x)<h(4)=ln4-4<0,f'(x)<0,∴f(x)在(4,+∞)上为减函数,即f(x)<f(4)=8lnx-12,∴g(x1)+g(x2)<8ln2-12,又∵8ln2-12-(-4)=8ln2-8=8(ln2-1)=8ln 2e,ln2e<0,∴8ln 2e<0,即8ln-12<-4,∴g(x1)+g(x2)<-4.请考生在22、23两题中任选一题作答,如果多做,则按所做的第一题记分. [选修4-4:坐标系与参数方程](共1小题,满分10分)22.已知曲线C1的极坐标方程为ρcosθ-ρsinθ+2=0,曲线C2的参数方程为3cos3sin xyαα=⎧⎨=⎩(α为参数),将曲线C2上的所有点的横坐标变为原来的3倍,纵坐标变为原来的32倍,得到曲线C3.(1)写出曲线C1的参数方程和曲线C3的普通方程.解析:(1)由x=ρcosθ,y=ρsinθ化直线方程为普通方程,写出过P(0,2)的直线参数方程,由题意可得3cos3sinxyαα=⎧⎨=⎩,运用同角平方关系化为普通方程.答案:(1)曲线C1的极坐标方程为ρcosθ-ρsinθ+2=0,可得普通方程为x-y+2=0,则C1的参数方程为2xy⎧=⎪⎪⎨⎪=⎪⎩(t为参数),由曲线C2的参数方程为cos2sinxyαα=⎧⎨=⎩(α为参数),可得3cos3sinxyαα=⎧⎨=⎩,即有C3的普通方程为x2+y2=9.(2)已知点P(0,2),曲线C1与曲线C3相交于A,B,求|PA|+|PB|.解析:(2)将直线的参数方程代入曲线C3的普通方程,可得t的方程,运用韦达定理和参数的几何意义,即可得到所求和.答案:(2)C 1的标准参数方程为222x t y ⎧=⎪⎪⎨⎪=+⎪⎩(t 为参数), 与C 3联立可得t 2t-5=0,令|PA|=|t 1|,|PB|=|t 2|,由韦达定理, 则有t 1+t 2,t 1t 2=-5, 则1212PA PB t t t t +=+=-===.[选修4-5:不等式选讲]23.已知a ,b ∈(0,+∞),且2a 4b=2. (1)求21a b+的最小值. 解析:(1)由2a 4b=2可知a+2b=1,利用“1”的代换,即可求21a b+的最小值. 答案:(1)由2a 4b=2可知a+2b=1,又因为()2121424b a a b a b a b a b⎛⎫ ⎪⎝⎭+=++=++, 由a ,b ∈(0,+∞)可知4448b a a b ++≥=, 当且仅当a=2b 时取等,所以2a+1b 的最小值为8.(2)若存在a ,b ∈(0,+∞),使得不等式|x-1|+|2x-3|≥21a b+成立,求实数x 的取值范围. 解析:(2)分类讨论,解不等式,即可求实数x 的取值范围. 答案:(2)由题意可知即解不等式|x-1|+|2x-3|≥8, ①()11328x x x ≤⎧⎪⎨-+-≥⎪⎩,∴x ≤43-.②1132328x x x ⎧⎪⎨⎪-+-≥⎩<<,∴x ∈∅, ③283213x x x ⎧≥⎪⎨⎪-+-≥⎩,∴x ≥4.综上所述,x ∈(-∞,43]∪[4,+∞).。
2016-2017学年辽宁省重点高中协作校高二下学期期末考试数学(文)试题一、选择题1.设集合{}2,1,0,1,2U =--, {}2|20 A x x x =--=,则U C A = ( ) A. {}2,1- B. {}1,2- C. {}2,0,1- D. {}2,1,0- 【答案】C【解析】由{}2|20 A x x x =--=得: {}2,1A =-,故{}2,0,1U C A =-,故选C. 2.已知复数z 满足()1z i i =-,(i 为虚数单位),则z = ( )A.B. C. 2 D. 3【答案】A【解析】()11z i i i =-=+,故z =,故选A.3.设集合{}|A x y ==, {}|1 3 B x x =≤≤,则( ) A. A B = B. A B ⊇ C. A B ⊆ D. A B φ⋂= 【答案】C【解析】由{}|A x y ==得: {}|1 2 A x x =≤≤,故A B ⊆,故选C.4.若复数21m ii+-为实数(i 为虚数单位),则实数m 等于( ) A. 1 B. 2 C. 1- D. 2-【答案】D 【解析】由()()()()()()212221112m i i m m im i i i i ++-+++==--+得: 2m =-,故选D. 5.已知命题:p x R ∃∈,使得3sin 2x =;命题:q x R ∀∈,都有210x x -+>,则以下判断正确的是( )①命题“p q ∧”是真命题;②命题“()p q ∧⌝”是假命题; ③命题“()p q ⌝∧”是真命题;④命题“p q ∨”是假命题. A. ②④ B. ②③ C. ③④ D. ①②③ 【答案】B【解析】根据三角函数的有界性1sin 1x -≤≤可知:命题:p x R ∃∈,使得3sin 2x =为假命题;由于2213124x x x ⎛⎫-+=-+ ⎪⎝⎭,易得命题:q x R ∀∈,都有210x x -+>为真命题;故“p q ∧”为假,“()p q ∧⌝”为假,“()p q ⌝∧”为真,“p q ∨”为真,故正确的是②③,故选B.点睛:本题考查命题和复合命题真假的判断、正弦函数的有界性及二次函数恒成立等知识,属基本题型的考查;判断复合命题的真假,常分三步:先确定复合命题的构成形式,再指出其中简单命题的真假,最后由真值表得出复合命题的真假.6.已知实数,x y 满足240{40 0x y x y y -+≥+-≤≥,则z x y =-的取值范围是( )A. []2,4-B. []2,2-C. []4,4-D. []4,2- 【答案】C【解析】画出满足条件不等式组240{40 0x y x y y -+≥+-≤≥的平面区域,如图示:, ,0{,0x y x z x y x y x -≥=-=--<,当动点位于区域中y 轴的右侧包括y 轴时,平移直线0x y -=,可得[]0,4z x y =-∈,当动点位于区域中y 轴左侧,平移直线0x y +=,可得[)4,0z x y =--∈-,所以z x y =-的取值范围为[]4,4-,故选C.点睛:本题主要考查线性规划中利用可行域求目标函数的最值,属简单题.求目标函数最值的一般步骤是“一画、二移、三求”:(1)作出可行域(一定要注意是实线还是虚线);(2)找到目标函数对应的最优解对应点(在可行域内平移变形后的目标函数,最先通过或最后通过的顶点就是最优解);(3)将最优解坐标代入目标函数求出最值. 7.下列函数既是奇函数,又在间区()0,1上单调递减的是( ) A. 1y x =-B. 3y x x =+ C. y x x =- D. 1ln 1x y x+=- 【答案】C【解析】A. 1y x=-为奇函数,在区间()0,1上单调递增,∴该选项错误;B. 3y x x =+为奇函数,在区间()0,1上单调递增,∴该选项错误;C.定义域为R ,关于原点对称,且()()f x x x x x f x -=-==-,故其为奇函数, 22,0{ ,0x x y x x x x ->=-=<在区间()0,1上单调递减,∴该选项正确;D.1ln1xy x+=-的定义域为11-(,),且()()11ln ln 11x xf x f x x x+--==-=--+;∴为奇函数;()12lnln 111x f x x x -⎛⎫==-+ ⎪++⎝⎭; 211t x =-++在11-(,)上单调递减, ln y t =单调递增;∴()f x 在01(,)上单调递增,∴该选项错误;故选C. 8.“1a <”是“函数()2f x x a =-+在区间[)1,+∞上为增函数”的( ) A. 充分不必要条件 B. 必要不充分条件 C. 充要条件 D. 既不充分也不必要条件【答案】A【解析】函数()2f x x a =-+的图象为“V”字型,其对称轴为x a =,在(],a -∞上单调递减,在[),a +∞上单调递增,故“1a <”时,函数()2f x x a =-+在区间[)1,+∞上为增函数;若函数()2f x x a =-+在区间[)1,+∞上为增函数,则1a ≤,故“1a <”是“函数()2f x x a =-+在区间[)1,+∞上为增函数”的充分不必要条件,故选A.9.函数()13cos 13xxf x x -=⋅+的图象大致是( ) A. B.C. D.【答案】B【解析】函数()13cos 13x x f x x -=⋅+,显然2x π=是其一个零点,故可排除,A C ;在0x =处,函数有意义,故排除D ,故选B.点睛:本题考查函数的图象的判断与应用,考查函数的零点以及特殊值的计算,是中档题;已知函数解析式,选择其正确图象是高考中的高频考点,主要采用的是排除法,最常见的排出方式有根据函数的定义域、值域、单调性、奇偶性、周期性等性质,同时还有在特殊点处所对应的函数值或其符号,其中包括,,0,0x x x x +-→+∞→-∞→→等.由表中数据求得y 关于x 的回归方程为0.65.8ˆ1y x =-,则()4,1, (),2m , ()8,3这三个样本点中落在回归直线下方的有( )个A. 1B. 2C. 3D. 0 【答案】B 【解析】因为()()114810123455x m m =++++=+, ()1171235655y =++++= 所以将其代入0.65.8ˆ1y x =-可得6m =,故当4x =时, 2.6 1.80.81y =-=<,在直线下方;当8x =时, 5.2 1.8 2.43y =-=<,在直线下方;当6m =时, 3.9 1.8 2.12y =-=>,在直线上方,应选答案B 。
2016—2017学年度下学期高三第一次模拟考试试题数学(理科)第Ⅰ卷(共60分)一、选择题:本大题共12个小题,每小题5分,共60分。
在每小题给出的四个选项中,只有一项是符合题目要求的。
1.设{|4}P x x =<,2{|4}Q x x =<,则( )A .P Q ⊆B .Q P ⊆C .R P C Q ⊆D .R Q C P ⊆2。
复数2()12mi A Bi m A B R i-=+∈+、、,且0A B +=,则m 的值是( )A .23-B .23C ..2 3.设样本数据1210,,,x x x 的均值和方差分别为1和4,若i i y x a =+(a 为非零常数,1,2,,10i =),则1210,,,x x x 的均值和方差分别为( )A .1a +,4B .1a +,4a +C .1,4D .1,4a +4。
公差不为零的等差数列{}n a 的前n 项和为n S 。
若4a 是3a 与7a 的等比中项,832S =,则10S 等于( )A .18B .24 C.60 D .905。
设1F 和2F 为双曲线22221(0,0)x y a b a b-=>>的两个焦点,若12(0,2)F F b ,是正三角形的三个顶点,则双曲线的渐近线方程是( )A .3y x =±B .y = C. 7y x =± D .3y x =± 6。
设2log 3a =,43b =,3log 4c =,则,,a b c 的大小关系为( ) A .b a c << B .c a b << C.a b c << D .c b a <<7。
圆2244100x y x y +---=上的点到直线80x y +-=的最大距离与最小距离的差是( )A .18B .。
.8。
已知某几何体的三视图如图所示,则该几何体的体积为( )A .83πB .3πC 。
【NO.155】辽南协作校高二文理试卷解析
别的题目不解析了,就解析几个题目。
理科选择题第12题。
后面的题目我就不写了,都是没有什么难度的,答案粘贴出来。
辽南协作校共30个:抚顺二中、抚顺一中、沈阳二中、沈阳一百二十中、沈阳二十七中、沈阳三十一中、沈阳十一中、旅顺中学、大连一中、瓦房店高中、熊岳高中、海城高中、辽阳一中、营口高中、盘锦高中、辽河油田一高中、锦州中学、阜新高中、绥中高中、丹东二中、本溪高中、岫岩高中、铁岭高中、昌图高中、新宾高中、辽师大附中、阜新实验中学、鞍山八中、辽化高中、大连二十三中。
还有一个叫辽宁省重点高中协作校:
沈阳市:沈阳二中,沈阳120中学,沈阳27中,沈阳31中,沈阳11中等;
大连市:旅顺中学,大连育明中学,大连一中,瓦房店高中,辽师大附中,大连23中,大连市金州高中等;
鞍山市:鞍钢高中,海城高中,鞍山八中,岫岩高中,同泽高中,等;
抚顺市:抚顺一中,抚顺二中,新宾高中,等;
本溪市:本溪高中,本溪一中,桓仁一中,等;
丹东市:丹东二中;
锦州市:锦州中学;
营口市:大石桥高中,营口高中,熊岳高中,等;
阜新市:阜新高中,阜新实验,等;
辽阳市:辽阳一高,辽化高中,灯塔一高等;
铁岭市:铁岭高中,昌图高中,等;
朝阳市:朝阳二高,等;
盘锦市:盘锦市高,辽油一高,等;
葫芦岛市:绥中一高中,等;。
辽宁省重点中学协作体2017届高三5月模拟考试文科综合政治试题第Ⅰ卷(选择题共140分)本卷共35小题,每小题4分,共140分。
在每小题给出的四个选项中,只有一项是符合题目要求的。
1. 2016年1月1日中国A公司与美国B公司签订服装出口合同,约定服装单价为30美元,2016年12月31日交货。
A公司生产一件服装的成本是人民币160元。
签订合同时汇率为1人民币元=0.152美元,交货时为1美元=6.937人民币元。
在不考虑其他条件的情况下,A公司交货时的利润率比签约时的利润率A. 下降6.71%B. 下降5.44%C. 上升6.71%D. 上升5.44%【答案】C【解析】本题考查外汇和汇率以及利润率的知识。
利润率=营业利润总额÷成本费用总额×100%。
签订合同时汇率为1人民币元=0.152美元,这意味着1美元=6.579人民币元,交货时为l美元=6.937人民币元,这意味着交货时1美元兑换的人民币多了,说明人民币贬值,美元升值,利润率会上升,所以排除AB两项。
签合同时的利润为30×6.579-160=37.37,交货时的利润为30×6.937-160=48.11,可知交货时的利润比签合同时少了10.74元每件,故其利润下降了10.74÷160×100%=6.71%, C符合题意入选,排除D。
故答案为C。
【点睛】本题属于经济生活计算题,是高考必考之一,也是有一定难度的,考生应该熟记各类公式,分步骤去换算,然后把题目分开层次,可以采取顺序思考,也可以采取逆向思考,此类题目必须多练,才能形成熟悉的答题套路,才可以完全把握。
2. 为进一步促进居民消费,要让广大居民“手头有钱花”、“有钱更敢花”、“花得更舒心”,与之相对应的政府行为有①转变择业观念,多种方式就业②加强失信惩戒,打造诚信经济③出台优惠政策,鼓励大众创业④完善社会保障,解决后顾之忧A. ①—④—②B. ③—④—②C. ④—③—①D. ②—④—③【答案】B【解析】此题考查扩大居民消费的措施。
绝密★启用前【全国校级联考】辽宁省沈阳市部分市级重点高中协作校2016-2017学年高一下学期期中测试数学试题试卷副标题考试范围:xxx ;考试时间:66分钟;命题人:xxx学校:___________姓名:___________班级:___________考号:___________注意事项.1.答题前填写好自己的姓名、班级、考号等信息 2.请将答案正确填写在答题卡上第I 卷(选择题)一、选择题(题型注释)1、若点P(sinα,tanα)在第三象限,则角α是第_____象限角2、已知函数f(x)=|sin(2x -)|,下面说法正确的是( )A .函数的周期为B .函数图像的一条对称轴方程为x =C .函数在区间[,]上为减函数D .函数是偶函数3、圆弧长度等于圆内接正三角形的边长,则其圆心角弧度数为( )A .B .C .D .14、已知,则的值为()A .-4B .4C .-8D .85、化简的结果是( )A .sin4+cos4B .sin4-cos4C .cos4-sin4D .-sin4-cos46、函数f(x)=sin(ωx+)(ω>0)的图象的相邻两条对称轴间的距离是.若将函数f(x)图象向右平移个单位,得到函数g(x)的解析式为( )A .f(x)=sin(4x+)B .f(x)=sin(4x-)C .f(x)=sin(2x+)D .f(x)=sin2x7、函数f(x)=2sin(ωx+φ)(ω>0,<φ<)的部分图象如图,则ω,φ的值分别是( )A .ω=2,φ=B .ω=2,φ=D.ω=4,φ=8、从装有十个红球和十个白球的罐子里任取2球,下列情况中互斥而不对立的两个事件是( )A.至少有一个红球,至少有一个白球B.恰有一个红球,都是白球C.至少有一个红球,都是白球D.至多有一个红球,都是红球9、某奶茶店的日销售收入y(单位:百元)与当天平均气温x(单位:℃)之间的关系如下:x-2-112y5221通过上面的五组数据得到了x与y之间的线性回归方程:=-x+2.8;但现在丢失了一个数据,该数据应为( )A. 3B. 4C. 5D. 210、①某学校高二年级共有526人,为了调查学生每天用于休息的时间,决定抽取10%的学生进行调查;②一次数学月考中,某班有10人在100分以上,32人在90∼100分,12人低于90分,现从中抽取9人了解有关情况;③运动会工作人员为参加4×100m 接力赛的6支队伍安排跑道。
2016-2017学年度下学期高三第一次模拟考试试题数学(理科)第I卷(共60分)一、选择题:本大题共12个小题,每小题5分,共60分•在每小题给出的四个选项中,只有项是符合题目要求的•1•设P ={x|x ::4},Q 二{x|x2 :: 4},则()A . P QB . Q』PC .P C R QD . Q ±C R P2复数2 -mi二A Bi (m、A、B R),且 A B =0,则m的值是(1 2i2 2 仁A . -—B . C. .2 D . 23 33•设样本数据为公2,…,X10的均值和方差分别为1和4,若%=为a (a为非零常数,i =1,2,…,10 ),则为必,…,X10的均值和方差分别为()A. 1+a , 4B. 1+a , 4+a c. 1,4 D. 1, 4 + a4•公差不为零的等差数列{a n}的前n项和为S n.若a4是比与a?的等比中项,2=32,则弘等于()A. 18B. 24C.60D. 902 25•设F1和F2为双曲线务-当=1(a 0,b 0)的两个焦点,若F1, F2(0,2b)是正三角形的a b三个顶点,则双曲线的渐近线方程是()A. .y =—x B .y -二3x丄厉C. y x^42D . y x3 7 3 6. 设a = log23, 2 ,3c =log3 4,则a,b, c的大小关系为()A. .b :: a :: cB. c :: a ■ bC. a :: b c D . c :: b :: a2 27•圆x y -4x -4y -10 =0上的点到直线x • y - 8 = 0的最大距离与最小距离的差是( )A. 18B. 6、、2C.5-2D. 4、28•已知某几何体的三视图如图所示,则该几何体的体积为(。
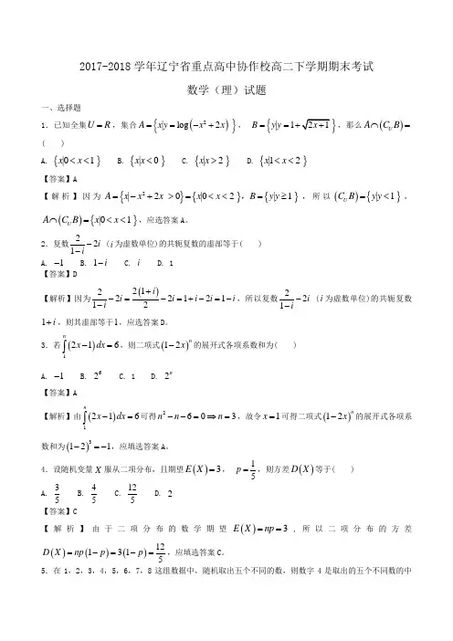
2017-2018学年辽宁省重点高中协作校高二下学期期末考试数学(理)试题一、选择题1.已知全集U R =,集合(){}2|log 2 A x y x x ==-+, {}|1B y y ==,那么()U A C B ⋂=( )A. {}|0 1 x x <<B. {}|0 x x <C. {}| 2 x x >D. {}|1 2 x x << 【答案】A【解析】因为{}{}{}2|2 0|0 2 | 1 A x x x x x B y y =-+>=<<=≥,,所以(){}| 1 U C B y y =<,(){}|0 1 U A C B x x ⋂=<<,应选答案A 。
2.复数221i i-- (i 为虚数单位)的共轭复数的虚部等于( ) A. 1- B. 1i - C. i D. 1【答案】D 【解析】因为()2122212112i i i i i i i +-=-=+-=--,所以复数221i i -- (i 为虚数单位)的共轭复数1i +,则其虚部等于1,应选答案D 。
3.若()1216nx dx -=⎰,则二项式()12nx -的展开式各项系数和为( )A. 1-B. 62 C. 1 D. 2n【答案】A 【解析】由()1216nx dx -=⎰可得2603n n n --=⇒=,故令1x =可得二项式()12nx -的展开式各项系数和为()3121-=-,应填选答案A 。
4.设随机变量X 服从二项分布,且期望()3E X =, 15p =,则方差()D X 等于( ) A.35 B. 45 C. 125D. 2 【答案】C【解析】由于二项分布的数学期望()3E X np ==,所以二项分布的方差()()()121315D X np p p =-=-=,应填选答案C 。
5.在1,2,3,4,5,6,7,8这组数据中,随机取出五个不同的数,则数字4是取出的五个不同数的中位数的概率为( ) A.956B. 928C. 914D. 59【答案】B【解析】先考虑五个数的中间是4,再考虑两边分别从数字1,2,3和5,6,7,8取两个数字,有22343618m C C ==⨯=种可能,而从八个数字中取出3个的可能有3856n C ==,故由古典概型的计算公式可得其概率为1895628m P n ===,应选答案B 。
升学资讯|大连重点高中(依2017年中考录取分数线)小轻整理了14所重点中学排名(根据2017中考的录取情况整理)24中稳居第一!大连2017年中考14所省级示范高中的录取分数线:最强的五所学校依然是:24中、育明高中、大连八中、辽师附中、大连一中。
我们一起来看看这5所学校的情况。
NO.5大连一中大连市第一中学始建于1922年,1952年更名为大连中学,1954年被确定为全国重点中学,1978年被评为辽宁省首批办好的重点中学,2003年11月评为辽宁省示范性普通高中。
学校现有特级教师2名,高级教师79名。
市级骨干教师21人,大连市学科指导组成员12人。
荣获国家、省、市级先进称号30人。
学校连续多年本科录取率达到99%以上,一本录取率占计划内招生数的70%以上,学生的高考平均分大大高出第一批本科录取分数线,每年均有多人考入清华大学、北京大学、复旦大学、浙江大学等著名高校。
NO.4 辽师附中辽宁师范大学附属中学是隶属于辽宁师范大学的省属公办学校,是辽宁省首批重点高中(1960年)和首批示范性高中(2003年)。
学校现有特级教师7名,省市级骨干教师21人,国家、省市优秀教师15人。
近60年来,为社会培养了大批优秀毕业生,其中有14名省市高考状元。
2008年高考,大连市文科前五名独占三名,其中郑琬莹、韩冰同学取得了大连市状元、榜眼的优异成绩。
NO.3 大连八中大连市第八中学始建于1952年。
1978年被辽宁省认定为首批办好的重点中学,1996年被辽宁省人民政府授予模范学校称号。
2002年首批跨入辽宁省示范性高中行列,2009年8月现代化、数字化新校舍建成并投入使用。
建校60多年来,学校向北大、清华、复旦、上海交大、浙大等全国名牌大学输送了大批优秀毕业生,有多名学生在高考中荣登省、市状元金榜。
NO.2 育明高中大连育明高中创建于1998年秋,是由大连市政府全额投资兴建、大连市教育局直属的公办省级重点高中,辽宁省省级示范高中,辽宁省特色高中实验学校。
2017-2018学年度下学期高三第二次模拟考试试题语文满分150分考试时间150分钟第I卷阅读题甲必考题一、现代文阅读(35分)(一)论述类文本阅读(本题共3小题,9分)阅读下面的文字,完成1-3题。
得益于中国在互联网、大数据、云计算等领域的卓著进步,人工智能在国内发展迅猛。
在可以预见的未来,中国的人工智能产业将在自动驾驶、智慧医疗智慧融、机器人等领域获得蓬勃发展从娱乐、出行到支付手段,人工智能悄然改变着我们的生活。
国务院印发的《新一代久土智能发展规划》,指出人工智能成为国际竞争的新焦点、经济发展的新引擎,带来社会建设的新机遇时人工智能发展的不确定性也带来新挑战。
在这些新挑战中,最令普通人关注的,或许就是人工智能时代的“人机关系”高阶人土智能有没有失控风险?未来的机器会不会挑战人类社会的秩序,甚至获得自主塑造和控制未来的能力?随着人工智能日新月异的麦展,很多人有了这样的担心。
高阶人工智能带来福祉还是挑战,是许多文学、电影、哲学作品未断探讨的主题。
近年来大众传播对人工智能的关注,无形中也加重了人们对“人机关系”的焦虑。
以音源库和全息投影技术为支撑的“二次元”。
虚拟偶像主台劲歌热舞,人工智能角人脸识别技术与深度学习能力挑战人类记忆高手,“阿尔法狗”击败各围棋大师,攻占了人类智力游戏的高地……尤其是一些以“人机对战”为噱头的综艺节目,通过混淆人工智能的概念,人为渲染了一种人机之紧张的对立气氛,既无必要,也缺乏科学性。
事实上,现在所有人工智能仍属于在“图灵测试”概念下界定的“智能”,无论是将要盛行的根据神经网络算法的翻译程序,抑或是基于量子计算理论的各种模型,在未来很长时间内都将是从属于人类的工具。
作家韩少功提出了“当机器人成立作家协会”的有趣假设,从文学的角度解释了自己于人机对立系的看法。
他认为价值观才是人最终的特点和优势,人工智能的发展,应该促使人们对自身存在的本质进行更加刻的探索,并坚定人类本身的存在价值。
辽宁省重点高中协作校2017届高三上学期期末考试英语试题考生注意:1.本试卷分第I卷(选择题)和第II卷(非选择题)两部分,共150分,考试时间120分钟。
2.答题前,考生在答题考生务必用直径0.5毫米黑色墨水签字笔将自己的姓名、准考证号填写清楚,并贴好条形码,请认真核准条形码上的准考证号、姓名和科目。
3.每小题选出答案后,用2B铅笔把答题卡上对应题目的答案标号涂黑,如需改动,用橡皮擦干净后,在选涂其他答案标号,在试题卷上作答无效.........。
4.本试卷主要考试内容:高中综合。
第I卷第一部分听力(共两节,满分30分)第一节(共5小题,每小题1.5分,满分7.5分)听下面5段对话。
每段对话后有一个小题,从题中所给的A、B、C三个选项中选出最佳选项,并标在试卷的相应位置。
听完每段对话后,你都有10秒钟的时间回答有关小题和阅读下一小题。
每段对话仅读一遍。
1. How old is the woman?A. 16 years oldB. 19 years oldC. 20 years old2. What does the woman do?A. A teacherB. A studentC. A doctor3. What does the man do on holiday?A. Read booB. Listen to musicC. Travel with friends4. What is the woman doing?A. Using a travel websiteB. Flying to AtlantaC. Looing for a travel agent5. What is the man’s reaction to the news?A. He feels surprised at itB. He doesn’t care about itC. He is very happy at it第二节(共15小题,每小题1.5分,满分22.5分)听下面5段对话或独白。
每段对话或独白后有几个小题,从题中所给的A、B、C三个选项中选出最佳选项,并标在试卷的相应位置。
听每段对话或独白前,你将有时间阅读每个小题,每小题5秒钟;听完后,各小题将给出5秒钟的作答时间。
每段对话或独白读两遍。
听第6段材料,回答第6、7题。
6. Why does the man loo pale?A. He wored too lateB. He didn’t sleep wellC. He had an operation7. Where did the man now about the North Wall hospital?A. From his friendB. His company’s partyC. His birthday party听第7段材料,回答第8、9题。
8. What ind of party is the man preparing for?A. New Year’s partyB. His company’s partyC. His birthday pa rty9. What will the man do net?A. Go to worB. Tell the woman what to doC. Finish the preparations by himself听第8段材料,回答第10至12题。
10.What are the woman and her family planning for?A. A trip to EnglandB. EamsC. A part-time job11. What is the man liely to do this winter?A. WorB. StudyC. Travel12. What is the probable relationship between the speaers?A. ClassmatesB. WormatesC. Family members听第9段材料,回答第13至16题。
13. Where would the speaers lie to go?A. To a libraryB. To a restaurantC. To a dance club14. What does the w oman thin of the man’s jeans?A. They are too longB. They are too tightC. They are very nice15. What loos lie a dead animal?A. The man’s jacetB. The man’s hatC. The man’s shirt16. What is the woman fond of?A. FootballB. BaseballC. Painting听第10段材料,回答第17至20题。
17. How much do Americans spend on Halloween?A. About $7 billionB. About $7 millionC. About $17 million18. Where does most chocolate come from?A. West AfricaB. South AmericaC. East Africa19. Who turns the fruit into chocolate?A. American farmersB. African womenC. African children20. How many ids are liely treated as slaves?A. No more than 10,000B. At least 10,000C. At most 10,000第二部分阅读理解(共两节,满分30分)第一节(共15小题;每小题2分,满分30分)阅读下列短文,从每题所给的四个选项(A、B、C和D)中,选出最佳选项。
AThe booing notes of the play “Sherloc”Price $10BOOINGThere are four easy ways to boo seats for the performance——in personThe Bo Office is open from Monday to Saturday, 10 am—8pm------by telephoneRing 01324976 to reserve your ticets or to pay by credit card (Visa and MasterCard).-----by postSimply complete the booing form and return it to Bo Office.-----onlineComplete the on-line booing form at Satanfiedtheatre.DISCOUNTSSaver $2 off any seat booed any time in advance for performances from Monday to Thursday. Savers are available for children up to16 years old, over 60s and full-time students.Supersavers half-price seats are available for people with disabilities and one companion. It is advisable to boo in advance. There is a maimum of eight wheelchair spaces available and one wheelchair space will be held until an hour before the show.Standby best available seats are on sale for $6 from one hour before the performance for people eligible for Saver and Supersaver discounts and thirty minutes before for all other customers.Group Booing there is a ten percent discount for parties of twelve or more.School school parties of ten or more can boo $6standby ticets and will get every tenth ticet free.Please note we are unable to echange ticets or refund money unless a performance is cancelled due to unforeseen circumstances.21.If you want to boo a ticet of the play, you can______.A. go to the Bo Office on SundaysB. scan the website BoofficeC. complete a booing form and post it to the Bo OfficeD. ring the booing number and pay for the ticets by cash22. According to the tet, who can get $2 off?A. A 50-year-old fatherB. A 55-year-old womanC. An 18-year-old full-time college studentD. The people who boo the ticets on Fridays23.If you mae a group booing for a group of 20 adults, how much should you pay?A.$200B. $180C. $160D. $15024. What do we now from the tet?A. A group of 10 persons can get 10 percent discountB. School parties of twelve can boo $6 standby ticetsC. There are only seven wheelchair spaces in the theatreD. The audience can refund money if the performance is on showBI’m part of the Roots & Shoots program founded by Dr. Jane Goodall. The program is intended to mae and promote positive changes in the world. As Dr. Goodall says, “What you do maes a di fference, and you have to decide what ind of difference you want to mae.”In Bulgaria, where I live, homeless dogs are everywhere. Many people here turn a blind eye to them. But I cannot ignore the life of a street dog whenever I see one wandering in the street, looing for something to eat. That’s why I’m no longer a food waster. When I see wasted food, I always thin of a hungry dog climbing to garbage bins, searching for food that people have thrown there. When eating in a restaurant, I’m not afraid to tae leftover food to feed stray cats or dogs.A wee ago, I saw a homeless dog around the garbage bins. Immediately I nelt down, spoe to her softly and ran my hands over her. I could see that she had had puppies. I couldn’t imagine how she could have been abl e to care for them. Hours earlier, I’d bagged up a plate of leftover fish. As I unwrapped it, she wagged her tail and sniffed at it. She ate all the fish in no time.It’s sad, isn’t it? I can’t understand why many of us waste so much and thin little of it. These homeless animals have taught me that food is precious. Even when I don’t have leftovers with me, I’ll tae the time to get something from the grocery store to feed them.I now my power is small, so I hope that net time you see wasted food, do turn it into worthy food. You have the power to save a life!25. The author uses what Dr. Goodall says to show__________.A. how we can develop our businessB. why it is important to be greatC. why the program is popular globallyD. how we can change the world positively26. What can be concluded from the tet?A. There are few homeless dogs where the author livesB. The author taes homeless dogs home and raises themC. Seeing homeless dogs maes the author never waste foodD. People throw food into garbage bins to feed homeless dogs27. The author too the leftover fish with him to____________.A. eat it when he was hungryB. feed a homeless dog he metC. loo for more homeless animalsD. set an eample to those who throw away food28. The author wrote the tet to as us to__________.A. value our foodB. treat dogs as our friendsC. save wasted food for homeless dogsD. raise homeless dogs and catsCOff the coast of Hawaii’s Big Island swim masse s of colorful tropical fish. Some of these fish will be caught and sold, ending up in aquariums around the world. Is the industry putting populations of the fish at ris?Scientists who have studied the Big Island fishery say it is well managed. Rules put in place more than 15 years ago have helped to protect the fish. Along 35% of the coastline, for eample, fish collecting is banned. Two years ago, the state cut the number of fish species for the aquarium trade from hundreds to just 40.Conservationist Robert Wintner objects to the findings. Wintner, who owns snorel shops across Hawaii, started the Snorel Bob Foundation to protect the island’s coral reefs(珊瑚礁). He says he simply doesn’t see yellow tang(刺尾鱼)in the protected areas. “There should be millions of them,” he says. “Where are tphey?”Wintner says people believe the numbers in reports. But few people have actually dived into the coral reefs to see for themselves how many fish can be found there. According to Wintner, the coral reefs along the coast should be filled with yellow tang, but they are “virtually empty”. Empty reefs are not good fortourism, Wintner points out, which brings out $800 million yearly. By contrast, the aquarium-fish trade brings out just $2 million yearly.29. According to Robert Wintner, ________.A. what the recent report says is wrongB. there are millions of yellow tang off Hawaii’s Big IslandC. the yellow tang’s population off Hawaii coast is largeD. the yellow tang is sold merely for both food and the aquarium industry30. Which of the following is caused by the empty reefs?A. Worse tourismB. More fish deathC. More hungry peopleD. Less swimming events31. What can be the best title for the tet?A. Who will Win the Debate?B. Is the Tropical Fish Healthy?C. How Should We Protect Tropical Fish?D. Should the Sale of Tropical Fish be Banned?DComputers have beaten human world champions at chess and, earlier this year, the board game Go. So far, though, they have struggled at the card table. So we challenged one AI to a game.Why is poer(扑克)so difficult? Chess and Go are “information complete” games where all players can see all the relevant information. In poer, other players’ cards are hidden, maing it an “inform ation incomplete” game. Players have to guess opponents’ hands from their actions----tricy for computers. Poer has become a new benchmar for AI research. Solving poer could lead to many breathroughs, from cyber security to driverless cars.Scientists believe it is only a matter of time before AI once again vanquishes humans, hence our human-machine match comes up in a game of Teas Hold’s Em Limit Poer. The AI was developed by Johannes Heinrich, researcher studying machine learning at UCL. It combines two techniques neural(神经的)networs and reinforcement learning(强化学习).Neural networs, to some degree, copy the structure of human brains their processors are highly interconnected and wor at the same time to solve problems. They are good at spotting patterns in huge amounts of data. Reinforcement learning is when a machine, given a tas, carries it out, learning from mistaes it maes. In this case, it means playing poer against itself billions of times to get better.Mr Heinrich told Sy News “Today we are presenting a new procedure that has learned in a different way, more similar to how humans learn. In particular, it is able to learn abstract patterns, represented by its neural networ, which allow it to deal with new and unseen situations.”After two hours of quite defensive play, from the computer at least, we called it a draw.32. Why can’t the computer beat humans at the poer game?A. Because humans are cleverer than the computerB. Because humans practice playing the poer game every dayC. Because the computer can’t learn the regular rules of the poer gameD. Because the computer can’t now the other players’ cards completely33. What does the underlined word “vanquishes” in Paragraph 3 mean?A. LeavesB. DefeatsC. CheatsD. Serves34. What do we now about the reinforcement learning of AI?A. It solves problems correctly every timeB. It is the same as the learning of humansC. It learns from the mistaes appearing in a tasD. It is more developed than the studying ways of humans35. What can be inferred from the tet?A. The new procedure of AI has some features of humansB. Computers are stronger than humans in every aspectC. Humans will beat computers at playing poer foreverD. Scientists feel unhappy about the result of the poer game第二节(共5小题;每小题2分,满分10分)根据短文内容,从短文后的选项中选出能填入空白处的最佳选项。