考研必备 数学公式大全
- 格式:doc
- 大小:345.50 KB
- 文档页数:18
全国硕士研究生统一入学考试数学公式大全导数公式:基本积分表:三角函数的有理式积分:ax x a a a ctgx x x tgx x x x ctgx x tgx a x x ln 1)(log ln )(csc )(csc sec )(sec csc )(sec )(22='='⋅-='⋅='-='='222211)(11)(11)(arccos 11)(arcsin x arcctgx x arctgx x x x x +-='+='--='-='⎰⎰⎰⎰⎰⎰⎰⎰⎰⎰+±+=±+=+=+=+-=⋅+=⋅+-==+==Ca x x a x dx C shx chxdx C chx shxdx Ca a dx a Cx ctgxdx x Cx dx tgx x Cctgx xdx x dx C tgx xdx x dx xx)ln(ln csc csc sec sec csc sin sec cos 22222222C axx a dx C x a xa a x a dx C a x ax a a x dx C a xarctg a x a dx Cctgx x xdx C tgx x xdx Cx ctgxdx C x tgxdx +=-+-+=-++-=-+=++-=++=+=+-=⎰⎰⎰⎰⎰⎰⎰⎰arcsin ln 21ln 211csc ln csc sec ln sec sin ln cos ln 22222222⎰⎰⎰⎰⎰++-=-+-+--=-+++++=+-===-Cax a x a x dx x a Ca x x a a x x dx a x Ca x x a a x x dx a x I nn xdx xdx I n n nn arcsin 22ln 22)ln(221cos sin 2222222222222222222222ππ222212211cos 12sin u dudx x tg u u u x u u x +==+-=+=, , , 一些初等函数: 两个重要极限:三角函数公式: ·诱导公式:·和差角公式: ·和差化积公式:2sin2sin 2cos cos 2cos2cos 2cos cos 2sin2cos 2sin sin 2cos2sin2sin sin βαβαβαβαβαβαβαβαβαβαβαβα-+=--+=+-+=--+=+αββαβαβαβαβαβαβαβαβαβαβαctg ctg ctg ctg ctg tg tg tg tg tg ±⋅=±⋅±=±=±±=±1)(1)(sin sin cos cos )cos(sin cos cos sin )sin( xxarthx x x archx x x arshx e e e e chx shx thx e e chx e e shx x xxx xx xx -+=-+±=++=+-==+=-=----11ln21)1ln(1ln(:2:2:22)双曲正切双曲余弦双曲正弦...590457182818284.2)11(lim 1sin lim 0==+=∞→→e xxx x x x·倍角公式:·半角公式:ααααααααααααααααααcos 1sin sin cos 1cos 1cos 12cos 1sin sin cos 1cos 1cos 122cos 12cos 2cos 12sin -=+=-+±=+=-=+-±=+±=-±=ctg tg·正弦定理:R CcB b A a 2sin sin sin === ·余弦定理:C ab b a c cos 2222-+= ·反三角函数性质:arcctgx arctgx x x -=-=2arccos 2arcsin ππ高阶导数公式——莱布尼兹(Leibniz )公式:)()()()2()1()(0)()()(!)1()1(!2)1()(n k k n n n n nk k k n k n n uv v u k k n n n v u n n v nu v u v u C uv +++--++''-+'+==---=-∑中值定理与导数应用:拉格朗日中值定理。
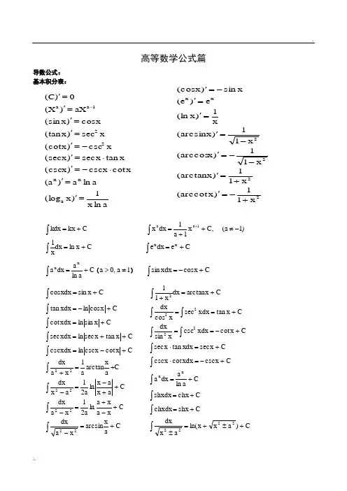
高等数学公式篇
导数公式:
基本积分表:
三角函数的有理式积分:
一些初等函数: 两个重要极限:
倍角公式:
·半角公式:
·正弦定理:·余弦定理:
反三角函数性质:
高阶导数公式——莱布尼兹(Leibniz)公式:
中值定理与导数应用:
曲率:
定积分的近似计算:
多元函数微分法及应用
微分法在几何上的应用:
方向导数与梯度:
多元函数的极值及其求法:
重积分及其应用:
柱面坐标和球面坐标:曲线积分:
曲面积分:
高斯公式:
斯托克斯公式——曲线积分与曲面积分的关系:级数审敛法:
绝对收敛与条件收敛:
幂级数:
函数展开成幂级数:
一些函数展开成幂级数:
欧拉公式:
三角级数:
傅立叶级数:
周期为的周期函数的傅立叶级数:
微分方程的相关概念:
一阶线性微分方程:
全微分方程:
二阶微分方程:
二阶常系数齐次线性微分方程及其解法:
(*)式的通解两个不相等实根
两个相等实根
一对共轭复根
二阶常系数非齐次线性微分方程。
高等数学公式篇·平方关系:sin^2(α)+cos^2(α)=1 tan^2(α)+1=sec^2(α) cot^2(α)+1=csc^2(α) ·倒数关系:tanα·cotα=1sinα·cscα=1cosα·secα=1·积的关系:sinα=tanα*cosα cosα=cotα*sinα tanα=sinα*secα cotα=cosα*cscα secα=tanα*cscα cscα=secα*cotα直角三角形ABC中, 角A的正弦值就等于角A的对边比斜边, 余弦等于角A的邻边比斜边正切等于对边比邻边,·三角函数恒等变形公式·两角和与差的三角函数:cos(α+β)=cosα·cosβ-sinα·sinβcos(α-β)=cosα·cosβ+sinα·sinβsin(α±β)=sinα·cosβ±cosα·sinβtan(α+β)=(tanα+tanβ)/(1-tanα·tanβ)tan(α-β)=(tanα-tanβ)/(1+tanα·tanβ)·三角和的三角函数:sin(α+β+γ)=sinα·cosβ·cosγ+cosα·sinβ·cosγ+cosα·cosβ·sinγ-sinα·sinβ·sinγ cos(α+β+γ)=cosα·cosβ·cosγ-cosα·sinβ·sinγ-sinα·cosβ·sinγ-sinα·sinβ·cosγ tan(α+β+γ)=(tanα+tanβ+tanγ-tanα·tanβ·tanγ)/(1-tanα·tanβ-tanβ·tanγ-tanγ·t anα)·辅助角公式:Asinα+Bcosα=(A^2+B^2)^(1/2)sin(α+t),其中sint=B/(A^2+B^2)^(1/2)cost=A/(A^2+B^2)^(1/2)tant=B/AAsinα+Bcosα=(A^2+B^2)^(1/2)cos(α-t),tant=A/B·倍角公式:sin(2α)=2sinα·cosα=2/(tanα+cotα)cos(2α)=cos^2(α)-sin^2(α)=2cos^2(α)-1=1-2sin^2(α)tan(2α)=2tanα/[1-tan^2(α)]·三倍角公式:sin(3α)=3sinα-4sin^3(α)co s(3α)=4cos^3(α)-3cosα·半角公式:sin(α/2)=±√((1-cosα)/2)cos(α/2)=±√((1+cosα)/2)tan(α/2)=±√((1-cosα)/(1+cosα))=sinα/(1+cosα)=(1-cosα)/sinα·降幂公式sin^2(α)=(1-cos(2α))/2=versin(2α)/2 cos^2(α)=(1+cos(2α))/2=covers(2α)/2 tan^2(α)=(1-cos(2α))/(1+cos(2α)) ·万能公式:sinα=2tan(α/2)/[1+tan^2(α/2)]cosα=[1-tan^2(α/2)]/[1+tan^2(α/2)] tanα=2tan(α/2)/[1-tan^2(α/2)] ·积化和差公式:sinα·cosβ=(1/2)[sin(α+β)+sin(α-β)] cosα·sinβ=(1/2)[sin(α+β)-sin(α-β)] cosα·cosβ=(1/2)[cos(α+β)+cos(α-β)] sinα·sinβ=-(1/2)[cos(α+β)-cos(α-β)] ·和差化积公式:sinα+sinβ=2sin[(α+β)/2]cos[(α-β)/2] sinα-sinβ=2cos[(α+β)/2]sin[(α-β)/2] cosα+cosβ=2cos[(α+β)/2]cos[(α-β)/2] cosα-cosβ=-2sin[(α+β)/2]sin[(α-β)/2] ·推导公式tanα+cotα=2/sin2αtanα-cotα=-2cot2α1+cos2α=2cos^2α1-cos2α=2sin^2α1+sinα=(sinα/2+cosα/2)^2·其他:sinα+sin(α+2π/n)+sin(α+2π*2/n)+sin(α+2π*3/n)+……+sin[α+2π*(n-1)/n]=0 cosα+cos(α+2π/n)+cos(α+2π*2/n)+cos(α+2π*3/n)+……+cos[α+2π*(n-1)/n]=0 以及sin^2(α)+sin^2(α-2π/3)+sin^2(α+2π/3)=3/2tanAtanBtan(A+B)+tanA+tanB-tan(A+B)=0三角函数的角度换算公式一:设α为任意角,终边相同的角的同一三角函数的值相等:sin(2kπ+α)=sinα cos(2kπ+α)=cosα tan(2kπ+α)=tanα cot(2kπ+α)=cotα公式二:设α为任意角,π+α的三角函数值与α的三角函数值之间的关系:sin(π+α)=-sinα cos(π+α)=-cosα tan(π+α)=tanα cot(π+α)=cotα公式三:任意角α与-α的三角函数值之间的关系:sin(-α)=-sinα cos(-α)=c osα tan(-α)=-tanα cot(-α)=-cotα公式四:利用公式二和公式三可以得到π-α与α的三角函数值之间的关系:sin(π-α)=sinα cos(π-α)=-cosα tan(π-α)=-tanα cot(π-α)=-cotα公式五:利用公式一和公式三可以得到2π-α与α的三角函数值之间的关系:sin(2π-α)=-sinα cos(2π-α)=cosα tan(2π-α)=-tanα cot(2π-α)=-cotα公式六:π/2±α及3π/2±α与α的三角函数值之间的关系: sin (π/2+α)=cosα cos (π/2+α)=-sinα tan (π/2+α)=-cotα cot (π/2+α)=-tanα sin (π/2-α)=cosα cos (π/2-α)=sinα tan (π/2-α)=cotα cot (π/2-α)=tanα sin (3π/2+α)=-cosα cos (3π/2+α)=sinα tan (3π/2+α)=-cotα cot (3π/2+α)=-tanα sin (3π/2-α)=-cosα cos (3π/2-α)=-sinα tan (3π/2-α)=cotα cot (3π/2-α)=tanα (以上k ∈Z)部分高等内容·高等代数中三角函数的指数表示(由泰勒级数易得):[][][][])()()()()()()()(tan 2cos 2sin ix ix ix ix ix ix ix ix e e e e x e e x i e e x +-=+=-=, , 泰勒展开有无穷级数:⋯++⋯+++++==!!4!3!2!11)exp(432n zz z z z z e nz此时三角函数定义域已推广至整个复数集。
2024考研数学常必背公式汇总在准备2024考研数学的过程中,掌握一些常用的公式是非常重要的。
这些公式不仅可以帮助我们更快地解题,还能提高我们的答题准确性。
下面是2024考研数学一、数学二、数学三需要背诵的常用公式的汇总:一、基本数学公式:1.平方差公式:(a+b)^2 = a^2 + 2ab + b^2(a-b)^2 = a^2 - 2ab+ b^22.二次方程的求根公式:若ax^2+bx+c=0(a≠0),则x = (-b ± √(b^2-4ac))/2a3.数列的通项公式:递推公式:a(n+1)=a(n)+d通项公式:a(n)=a(1)+(n-1)d二、高等数学公式:1.常用三角函数公式:sin²θ + cos²θ = 1tanθ = sinθ / cosθcotθ = cosθ / sinθ2.常用反三角函数公式:sin²θ + cos²θ = 1tanθ = sinθ / cosθcotθ = cosθ / sinθ3.常用指数函数公式:a^m*a^n=a^(m+n)(a^m)^n = a^(mn)a^(-m)=1/a^m4.常用对数函数公式:log_a(m * n) = log_a(m) + log_a(n)log_a(m^n) = n * log_a(m)log_a(m/n) = log_a(m) - log_a(n)log_a(1) = 05.常用复数公式:i²=-1复数的共轭:若z = a + bi,则z的共轭为a - bi三、线性代数公式:1.行列式的加减法:A±B,=,A,±,B2.行列式的乘法:A*B,=,A,*,B3.矩阵的逆:若,A,≠0,则A存在逆矩阵A^(-1),且AA^(-1)=A^(-1)A=I4.特征值与特征向量:设A是n阶矩阵,若存在数λ和非零向量x,使得Ax=λx,则λ称为矩阵A的特征值,x称为λ对应的特征向量5.向量的内积:a ·b = ,a,,b,cosθ其中,a、b分别为向量,θ为a、b之间的夹角四、概率与统计公式:1.事件的概率公式:对于一个随机事件A,其概率满足0≤P(A)≤12.加法公式:P(A∪B)=P(A)+P(B)-P(A∩B)3.乘法公式:P(A∩B)=P(A)P(B,A)=P(B)P(A,B)4.全概率公式:P(A)=P(An)P(A,An)+P(A2)P(A,A2)+...+P(Am)P(A,Am)其中,A1,A2,...,Am为一组互斥且全体之并为样本空间Ω的事件5.贝叶斯公式:P(A,B)=P(AnB)/P(B)=P(An)P(B,An)/[P(A1)P(B,A1)+P(A2)P(B,A2)+...+P(An)P(B,An)]其中,A1,A2,...,An与前述全概率公式的条件相同。
高等数学公式篇·平方关系:sin^2(α)+cos^2(α)=1tan^2(α)+1=sec^2(α)cot^2(α)+1=csc^2(α)·积的关系:sinα=tanα*cosαcosα=cotα*sinαtanα=sinα*secαcotα=cosα*cscαsecα=tanα*cscαcscα=secα*cotα·倒数关系:tanα·cotα=1sinα·cscα=1cosα·secα=1直角三角形ABC中,角A的正弦值就等于角A的对边比斜边,余弦等于角A的邻边比斜边正切等于对边比邻边,·三角函数恒等变形公式:·两角和与差的三角函数:cos(α+β)=cosα·cosβ-sinα·sinβcos(α-β)=cosα·cosβ+sinα·sinβsin(α±β)=sinα·cosβ±cosα·sinβtan(α+β)=(tanα+tanβ)/(1-tanα·tanβ)tan(α-β)=(tanα-tanβ)/(1+tanα·tanβ)·三角和的三角函数:sin(α+β+γ)=sinα·cosβ·cosγ+cosα·sinβ·cosγ+cosα·cosβ·sinγ-sinα·sinβ·sinγcos(α+β+γ)=cosα·cosβ·cosγ-cosα·sinβ·sinγ-sinα·cosβ·sinγ-sinα·sinβ·cosγtan(α+β+γ)=(tanα+tanβ+tanγ-tanα·tanβ·tanγ)/(1-tanα·tanβ-tanβ·tanγ-tanγ·tanα)·辅助角公式:Asinα+Bcosα=(A^2+B^2)^(1/2)sin(α+t),其中sint=B/(A^2+B^2)^(1/2)cost=A/(A^2+B^2)^(1/2)tant=B/AAsinα+Bcosα=(A^2+B^2)^(1/2)cos(α-t),tant=A/B·倍角公式:sin(2α)=2sinα·cosα=2/(tanα+cotα)cos(2α)=cos^2(α)-sin^2(α)=2cos^2(α)-1=1-2sin^2(α)tan(2α)=2tanα/[1-tan^2(α)]·三倍角公式:sin(3α)=3sinα-4sin^3(α)cos(3α)=4cos^3(α)-3cosα·半角公式:sin(α/2)=±√((1-cosα)/2)cos(α/2)=±√((1+cosα)/2)tan(α/2)=±√((1-cosα)/(1+cosα))=sinα/(1+cosα)=(1-cosα)/sinα·降幂公式sin^2(α)=(1-cos(2α))/2=versin(2α)/2cos^2(α)=(1+cos(2α))/2=covers(2α)/2tan^2(α)=(1-cos(2α))/(1+cos(2α))·万能公式:sinα=2tan(α/2)/[1+tan^2(α/2)]cosα=[1-tan^2(α/2)]/[1+tan^2(α/2)]tanα=2tan(α/2)/[1-tan^2(α/2)]·积化和差公式:sinα·cosβ=(1/2)[sin(α+β)+sin(α-β)]cosα·sinβ=(1/2)[sin(α+β)-sin(α-β)]cosα·cosβ=(1/2)[cos(α+β)+cos(α-β)]sinα·sinβ=-(1/2)[cos(α+β)-cos(α-β)]·和差化积公式:sinα+sinβ=2sin[(α+β)/2]cos[(α-β)/2]sinα-sinβ=2cos[(α+β)/2]sin[(α-β)/2]cosα+cosβ=2cos[(α+β)/2]cos[(α-β)/2]cosα-c osβ=-2sin[(α+β)/2]sin[(α-β)/2]·推导公式tanα+cotα=2/sin2αtanα-cotα=-2cot2α1+cos2α=2cos^2α1-cos2α=2sin^2α1+sinα=(sinα/2+cosα/2)^2·其他:sinα+sin(α+2π/n)+sin(α+2π*2/n)+sin(α+2π*3/n)+……+sin[α+2π*(n-1)/n]=0cosα+cos(α+2π/n)+cos(α+2π*2/n)+cos(α+2π*3/n)+……+cos[α+2π*(n-1)/n]=0 以及sin^2(α)+sin^2(α-2π/3)+sin^2(α+2π/3)=3/2tanAtanBtan(A+B)+tanA+tanB-tan(A+B)=0三角函数的角度换算[编辑本段]公式一:设α为任意角,终边相同的角的同一三角函数的值相等:sin(2kπ+α)=sinαcos(2kπ+α)=cosαtan(2kπ+α)=tanαcot(2kπ+α)=cotα公式二:设α为任意角,π+α的三角函数值与α的三角函数值之间的关系:sin(π+α)=-sinαcos(π+α)=-cosαtan(π+α)=tanαcot(π+α)=cotα公式三:任意角α与-α的三角函数值之间的关系:sin(-α)=-sinαcos(-α)=c osαtan(-α)=-tanαcot(-α)=-cotα公式四:利用公式二和公式三可以得到π-α与α的三角函数值之间的关系:sin(π-α)=sinαcos(π-α)=-cosαtan(π-α)=-tanαcot(π-α)=-cotα公式五:利用公式一和公式三可以得到2π-α与α的三角函数值之间的关系:sin(2π-α)=-sinαcos(2π-α)=cosαtan(2π-α)=-tanαcot(2π-α)=-cotα公式六:π/2±α及3π/2±α与α的三角函数值之间的关系:sin(π/2+α)=cosαcos(π/2+α)=-sinαtan(π/2+α)=-cotαcot(π/2+α)=-tanαsin(π/2-α)=cosαcos(π/2-α)=sinαtan(π/2-α)=cotαcot(π/2-α)=tanαsin(3π/2+α)=-cosαcos(3π/2+α)=sinαtan(3π/2+α)=-cotαcot(3π/2+α)=-t anαsin(3π/2-α)=-cosαcos(3π/2-α)=-sinαtan(3π/2-α)=cotαcot(3π/2-α)=tanα(以上k∈Z)部分高等内容[编辑本段]·高等代数中三角函数的指数表示(由泰勒级数易得):sinx=[e^(ix)-e^(-ix)]/(2i) cosx=[e^(ix)+e^(-ix)]/2 tanx=[e^(ix)-e^(-ix)]/[ie^(ix)+ie^(-ix)] 泰勒展开有无穷级数,e^z=exp(z)=1+z/1!+z^2/2!+z^3/3!+z^4/4!+…+z^n/n !+… 此时三角函数定义域已推广至整个复数集。
考研数学常见定理速记口诀数学是考研考试中必考的科目之一,在数学考试中,掌握和记忆数学定理是提高解题效率和答题准确性的关键。
为了帮助考生更好地备考和记忆常见数学定理,以下是一些常见数学定理的速记口诀,希望能对考生们有所帮助。
一、数列相关定理1. 等差数列的前 n 项和:差乘商,除以二,2. 等差数列通项公式:首项加等比,乘以项数减 1,3. 等比数列的前 n 项和:首项减末项,乘以公比除以 1 减公比,4. 等比数列通项公式:首项乘等比,乘以公比的 n 减 1 次方。
二、集合相关定理1. 全集的补集是空集,空集的补集是全集,2. 交换率、结合率都是集合运算法则,3. 并集运算满足交换、结合和分配律,4. 交集运算满足交换、结合和分配律。
三、导数相关定理1. 基本函数导数会,求导法则要牢记,2. 一切理论解析,函数变量要贴身。
四、概率相关定理1. 加法规则一定记,互斥模式别忘,2. 乘法规则切记住,独立事件要相乘,3. 做题中来了全集,概率一定是 1。
五、三角函数相关定理1. 正弦的定理好记牢,比与边成比例,2. 余弦的定理知根据,边与边构造函数,3. 正切的定理对角度,弧的比值好记得。
六、极限相关定理1. 夹逼定理用好用,无穷小量不放过,2. 极限运算确定性,变量逼近难不倒。
以上口诀只是对常见数学定理的简要概括,希望考生们能够通过这些口诀记忆和掌握数学定理,提高解题的速度和准确性。
然而,仅仅依靠速记口诀可能不足以完全理解和掌握定理的应用,考生们还需要在备考过程中深入学习和练习,加强对各个定理的理解和应用能力。
最后,祝愿所有考生在考研数学考试中取得优异成绩!加油!。
高等数学公式篇·万能公式:sinα=2tan(α/2)/[1+tan^2(α/2)] cosα=[1-tan^2(α/2)]/[1+tan^2(α/2)] tanα=2tan(α/2)/[1-tan^2(α/2)]导数公式:基本积分ax x a a a ctgx x x tgx x x x ctgx xtgx a xxln 1)(logln )(csc )(csc sec )(sec csc )(sec )(22='='⋅-='⋅='-='='222211)(11)(11)(arccos 11)(arcsin xarcctgx xarctgx xx xx +-='+='--='-='⎰⎰⎰⎰⎰⎰⎰⎰⎰⎰+±+=±+=+=+=+-=⋅+=⋅+-==+==Ca x x ax dx Cshx chxdx C chx shxdx Caadx aC x ctgxdx x C x dx tgx x Cctgx xdx xdxC tgx xdx x dxxx)ln(ln csc csc sec sec cscsinsec cos 22222222Cax xa dxCx a x a ax a dx C a x a x a a x dx C ax arctg a x a dxCctgx x xdx Ctgx x xdx Cx ctgxdx C x tgxdx +=-+-+=-++-=-+=++-=++=+=+-=⎰⎰⎰⎰⎰⎰⎰⎰arcsin ln21ln 211csc ln csc sec ln sec sin ln cos ln 22222222⎰⎰⎰⎰+-+--=-+++++=+-===-Ca x x a a x x dx a x C a x x a a x x dx a x I n n xdx xdx I n nnn ln 22)ln(221cos sin222222222222222220ππ·倍角公式:·半角公式:ααααααααααααααααααcos 1sin sin cos 1cos 1cos 12cos 1sin sin cos 1cos 1cos 122cos 12cos 2cos 12sin -=+=-+±=+=-=+-±=+±=-±=ctgtg·正弦定理:R CcBb Aa 2sin sin sin ===·余弦定理:C ab b a c cos 2222-+=·反三角函数性质:arcctgx arctgx x x -=-=2arccos 2arcsin ππ高阶导数公式——莱布尼兹(Leibniz )公式:)()()()2()1()(0)()()(!)1()1(!2)1()(n k k n n n n nk k k n k nn uvvuk k n n n v un n v nuv uvuCuv +++--++''-+'+==---=-∑定积分的近似计算:⎰⎰⎰----+++++++++-≈++++-≈+++-≈ban n n ban n ba n y y y y y y y y na b x f y y y y n a b x f y y y na b x f )](4)(2)[(3)(])(21[)()()(1312420110110 抛物线法:梯形法:矩形法:定积分应用相关公式:αααααααααα23333133cos 3cos 43cos sin 4sin 33sin tg tg tg tg --=-=-=αααααααααααααα222222122212sin cos sin 211cos 22cos cos sin 22sin tg tg tg ctg ctg ctg -=-=-=-=-==⎰⎰--==⋅=⋅=babadtt f ab dxx f ab y k rm m kF A p F s F W )(1)(1,2221均方根:函数的平均值:为引力系数引力:水压力:功:空间解析几何和向量代数:。
[基础知识]…++)因式分解公式:-=(-b)(+b+b+…+…+-)b+…+为正偶数时))-=(+b)(-b+( n为正偶数时b+……-+)为正奇数时))+=(+b)(-b+( n为正奇数时二项式定理:=不等式:(1)a,b位实数,则○1;○2;○3≤.(2),…,>0, 则○1≥取整函数:x-1x-1<<[x]x三角函数和差化积;积化和差(7):sinα+sinβ=2(sin)(cos) sinαcosβ=(sin+cos)sinα-sinβ=2(cos)(sin) cosαcosβ=(cos+cos)cosα+cosβ=2(cos)(co) sinαsinβ=-(cos-cos)cosα-cosβ=2(sin)(sin)重要三角公式1+=1+==-=1-2=2-1=tan===±cot===万能公式:,则,函数图像sec(x) csc(x) cot(x) arcsin(x) arccos(x)arctan(x) arc cot(x)[极限]定义函数极限x →• :(6)=A : ∀ >0,∃ >0,当0<|x - x 0|< 时,恒有|f (x)-A |< . =A : ∀ >0,∃ >0,当0<(x- x 0)< 时,恒有|f (x)-A |< . =A : ∀ >0,∃ >0,当0<( x 0- x )< 时,恒有|f (x)-A |< . =A : ∀ >0, ∃X>0,当|x |>X 时,恒有|f (x)-A |< .=A : ∀ >0, ∃X>0,当x>X 时,恒有|f (x)-A|(x)-A|<< .=A: ∀ >0, ∃X>0,当-x>X时,恒有|f (x)-A |<.数列极限n →∞ :=A =A: ∀ : ∀ >0,>0, ∃N>0,当n>N 时,恒有|X n -A|< .性质 (1)唯一性:设=A ,=B ,则A=B. (2)局部有界性:若存在,则存在 >0,使f(x)在U={x |0<|x-x 0|< 内有界.(3)局部保号性:○1(脱帽)若=A>0,则存在x 0的一个去心邻域,在该邻域内恒有f(x)>0.○○2(戴帽戴帽))若存在x 0的一个去心邻域,在该邻域内f(x)>(≥)0,且=A(∃),则A ≥0.计算极限四则运算:设=A(A(∃∃),=B(=B(∃∃),则○1=A±B.○2=A =A⋅⋅B.○3= (B (B≠0).≠0). 等价无穷小(9)ln (1+x ),, (a>0) ,,(洛必达法则:“”型:○1=0,=0; ○2f(x),g(x)在x 0的某去心领域内可导,且g’(x)≠0 ○3=A 或为∞. 则“”型:○1=∞,=∞; ○2f(x),g(x)在x 0的某去心领域内可导,且g’(x)≠0 ○3=A 或为∞. 则[注]洛必达法则能不能用,用了再说. 数列极限存在准则:1.1. 单调有界数列必收敛2.夹逼准则:如果函数f(x),g(x)f(x),g(x)及及h(x)h(x)满足下列条件:满足下列条件:满足下列条件: (1)g(x)≤f(x)≤h(x); (2)limg(x)=A,limh(x)=A, 则limf(x)存在,且limf(x)=A .两种典型放缩:○1max{}≤≤n∙max{}; ○○2n∙min{}≤≤n∙max{}选取的依据是谁在和式中去决定性作用选取的依据是谁在和式中去决定性作用海涅定理(归结原则):设f(x)f(x)在在 (内有定义,则内有定义,则=A 存在⟺对任何以为极限的数列{}(≠),极限=A存在. 连续的两种定义: (1)(2)间断点:第一类:可去、跳跃;第二类:无穷、振荡第一类:可去、跳跃;第二类:无穷、振荡[一元微分学]定义导数定义式:f’ (x0)=|x=x0==微分定义式:若y=A +o(),则dy=A.可导的判别:(1)(1)必要条件必要条件必要条件::若函数f(x)f(x)在点在点处可导处可导,,则f(x)在点处连续处连续. .(2)(2)充要条件充要条件充要条件::存在存在,都存在,且=.[注]通俗来说就是连续函数不一定可导;函数在一点可导且在该点连续,但在这点的某个邻域未必连续;函数可导,则其导函数可能连续,也可能震荡间断点的某个邻域未必连续;函数可导,则其导函数可能连续,也可能震荡间断. . 可微的判别:=0=0,则,则f(x)f(x)可微。
考研常用数学公式2.积分公式:$int_a^bf(x)dx=F(b)-F(a)$,其中$F(x)$为$f(x)$的一个原函数。
3. 泰勒级数公式:$f(x)=sumlimits_{n=0}^inftyfrac{f^{(n)}(a)}{n!}(x-a)^n$,其中$f^{(n)}(a)$表示$f(x)$在$a$处的$n$阶导数。
4. 极限公式:$limlimits_{x to a}f(x)=L$表示$f(x)$当$x$接近$a$时趋近于$L$。
5. 矩阵公式:$AcdotB=begin{bmatrix}a_{11}&a_{12}&cdots&a_{1n}a_{21}&a_{22}&cdo ts&a_{2n}vdots&vdots&ddots&vdotsa_{m1}&a_{m2}&cdots&a_{mn}e nd{bmatrix}cdotbegin{bmatrix}b_{11}&b_{12}&cdots&b_{1k}b_{2 1}&b_{22}&cdots&b_{2k}vdots&vdots&ddots&vdotsb_{n1}&b_{n2}& cdots&b_{nk}end{bmatrix}$。
6. 微积分基本定理:$int_a^b f'(x)dx=f(b)-f(a)$。
7. 高斯-约旦消元法则:通过矩阵变形把线性方程组化为阶梯形式,进一步求解方程组。
8. 傅里叶级数公式:$f(x)=frac{a_0}{2}+sumlimits_{n=1}^infty(a_ncos nx+b_nsin nx)$。
9. 三角函数公式:$sin^2x+cos^2x=1$,$sin(xpm y)=sin xcos ypmcos xsin y$,$cos(xpm y)=cos xcos ympsin xsin y$。
高等数学公式篇导数公式: 基本积分表:C kx dx k +=⎰)1a (,C x 1a 1dx x 1a a-≠++=+⎰C x ln dx x 1+=⎰ C e dx e xx +=⎰C a ln a dx a xx+=⎰(1a ,0a ≠>) C x cos xdx sin +-=⎰C x sin dx x cos +=⎰ C x arctan dx x 112+=+⎰C axarcsin x a dx C x a xa ln a 21x a dx C a x ax ln a 21a x dx C a xarctan a 1x a dx Cx cot x csc ln xdx csc C x tan x sec ln xdx sec Cx sin ln xdx cot C x cos ln xdx tan 22222222+=-+-+=-++-=-+=++-=++=+=+-=⎰⎰⎰⎰⎰⎰⎰⎰⎰⎰⎰⎰⎰⎰⎰⎰⎰⎰+±+=±+=+=+=+-=⋅+=⋅+-==+==C)a x x ln(a x dx C shx chxdx C chx shxdx Ca ln a dx a Cx csc xdx cot x csc Cx sec dx x tan x sec Cx cot xdx csc x sin dx C x tan xdx sec x cos dx 2222x x2222aln x 1)x (log a ln a )a (x cot x csc )x (csc x tan x sec )x (sec x csc )x (cot x sec )x (tan x cos )x (sin aX )X (0)C (a x x 221a a ='='⋅-='⋅='-='='='='='-2222xx x 11)x cot arc (x 11)x (arctan x 11)x (arccos x 11)x (arcsin x 1)x (ln e )e (x sin )x (cos +-='+='--='-='='='-='C x sin d x cos c ln B Ax dx x sin d x cos c xsin b x cos a +++=++⎰其中,)x sin d x cos c (B )x sin d x cos c (A x sin b x cos a +++=+ a Bd Ac =+B ,A b Bc Ad ⇒=-三角函数的有理式积分:2222u1du2dx 2x tan u u 1u 1x cos u 1u 2x sin +==+-=+=, , , 一些初等函数: 两个重要极限:三角函数公式: ·诱导公式:xxarthx x x archx x x arshx e e e e chx shx thx e e chx e e shx x x xx xx xx -+=-+±=++=+-==+=-=----11ln21)1ln(1ln(:2:2:22)双曲正切双曲余弦双曲正弦...590457182818284.2)11(lim 1sin lim 0==+=∞→→e xxx x x x·和差角公式: ·和差化积公式:·倍角公式:·半角公式:α-α=αα+=α-α+±=αα+α=αα-=α+α-±=αα+±=αα-±=αcos 1sin sin cos 1cos 1cos 12cot cos 1sin sin cos 1cos 1cos 12tan2cos 12cos 2cos 12sin ·正弦定理:R CcB b A a 2sin sin sin === ·余弦定理:C ab b a c cos 2222-+= ·反三角函数性质:x cot arc 2x arctan x arccos 2x arcsin -π=-π= 高阶导数公式——莱布尼兹(Leibniz )公式:)()()()2()1()(0)()()(!)1()1(!2)1()(n k k n n n n nk k k n k n n uv v u k k n n n v u n n v nuv u v u C uv +++--++''-+'+==---=-∑2sin2sin 2cos cos 2cos2cos 2cos cos 2sin2cos 2sin sin 2cos2sin2sin sin βαβαβαβαβαβαβαβαβαβαβαβα-+=--+=+-+=--+=+α±ββ⋅α=β±αβ⋅αβ±α=β±αβαβα=β±αβα±βα=β±αcot cot 1cot cot )cot(tan tan 1tan tan )tan(sin sin cos cos )cos(sin cos cos sin )sin( α-α-α=αα-α=αα-α=α2333tan 31tan tan 33tan cos 3cos 43cos sin 4sin 33sin α-α=αα-α=αα-α=α-=-α=ααα=α222222tan 1tan 22tan cot 21cot 2cot sin cos sin 211cos 22cos cos sin 22sin中值定理与导数应用:拉格朗日中值定理。
考研数学考前公式
考研数学考试的内容主要涉及高等数学、线性代数和概率论与数理统计三大部分,每个部分包含的内容和公式如下:
高等数学部分:
1. 极限公式:
对数函数极限:lim(log(1+x)/x)=1,当x趋于0时
三角函数极限:lim(sin(x)/x)=1,当x趋于0时;lim((1-cos(x))/x)=0,当x趋于0时
2. 牛顿-莱布尼茨公式:∫abf(x)dx=F(b)-F(a),其中F(x)是f(x)的一个原函数
3. 泰勒公式:f(x)=f(a)+f'(a)(x-a)+f''(a)(x-a)^2/2!+...+f^n(a)(x-
a)^n/n!+Rn(x),其中,Rn(x)是余项,有Lagrange余项和Cauchy余项两种形式。
线性代数部分:
1. 向量公式:
向量的模:a=√(x1^2+x2^2+...+xn^2)
向量的点积:a·b=x1y1+x2y2+...+xnyn
向量的叉积:a×b=(y1z2-y2z1)i-(x1z2-x2z1)j+(x1y2-x2y1)k
2. 矩阵公式:
矩阵的乘积:C=AB,其中Cij=∑(k=1到n)AikBkj
矩阵的逆:若A是可逆矩阵,则A的逆矩阵A^-1满足AA^-1=A^-
1A=E
矩阵的秩:矩阵的秩是指它的行与列的最大线性无关组数,也就是矩阵中含有的一个最大的非零子式的阶数。
概率论与数理统计部分:
这部分的公式涉及的内容较多,可以查阅考研数学大纲或者相关教辅书来获取更全面的信息。
以上信息仅供参考,如有需要,建议查阅考研数学大纲或咨询专业教师。
考研数学必背公式数学是考研的一门重要科目,无论是理工科还是文科,数学都是考研必考科目之一、在备考期间,掌握并背诵一些重要的数学公式是非常重要的,因为公式是解题的基础,可以帮助我们快速解决问题。
下面是一些考研数学中常见的重要公式,供大家背诵和复习使用:1.三角函数公式:sin(x ± y) = sinxcosy ± cosxsinycos(x ± y) = cosxcosy ∓ sinxsinytan(x ± y) = (tanx ± tany) / (1 ∓ tanxtany)sin²x +cos²x = 11 + tan²x = sec²x1 + cot²x = csc²x2.指数和对数公式:ab × ac = ab+c(ab)c = abca⁰=1,a¹=aaⁿ×aⁿ=aⁿ⁺ⁿ(a/b)ⁿ=aⁿ/bⁿalogba = alogba + logbc = logba*clogba - logbc = logba/c3.三角函数的基本关系:sin(π/2 - x) = cosxcos(π/2 - x) = sinxtan(π/2 - x) = cotxcot(π/2 - x) = tanxsin²x + cos²x = 1secx = 1/cosxcscx = 1/sinxcotx = 1/tanx4.高中数学知识:三角函数的定义:sinx = y/r, cosx = x/r, tanx = y/x, cotx = x/y, secx = r/x, cscx = r/ysin(-x) = -sinx, cos(-x) = cosx, tan(-x) = -tanxsin(π + x) = -sinx, cos(π + x) = -cosx, tan(π + x) = tanx sin(2π - x) = sinx, cos(2π - x) = cosx, tan(2π - x) = tanxsin(π/2 + x) = cosx, cos(π/2 + x) = -sinx, tan(π/2 + x) = -cotxsin(3π/2 - x) = -cosx, cos(3π/2 - x) = sinx, tan(3π/2 - x) = -cotx5.极限公式:lim(x→0) (sinx / x) = 1lim(x→0) (1 - cosx) / x = 0lim(x→∞) (1 + 1/x)^x = elim(x→0) (a^x - 1) / x = ln(a)6.求导公式:(d/dx) (c) = 0(d/dx) (x^n) = nx^(n-1)(d/dx) (sinx) = cosx(d/dx) (cosx) = -sinx(d/dx) (tanx) = sec²x(d/dx) (cotx) = -csc²x(d/dx) (secx) = secxtanx(d/dx) (cscx) = -cscxcotx(d/dx) (e^x) = e^x(d/dx) (lnx) = 1/x7.积分公式:∫(k)dx = kx + C∫(x^n)dx = (x^(n+1)) / (n+1) + C (n ≠ -1)∫(cosx)dx = sinx + C∫(sinx)dx = -cosx + C∫(sec²x)dx = tanx + C∫(csc²x)dx = -cotx + C∫(secx * tanx)dx = secx + C∫(cscx * cotx)dx = -cscx + C∫(e^x)dx = e^x + C∫(1/x)dx = ln,x, + C。
考研数学公式大全数学是考研的核心科目之一,而掌握必要的数学公式则是取得好成绩的关键。
以下是一份考研数学公式大全,涵盖了高等数学、线性代数和概率论与数理统计中的重要公式,希望能对备考研究生入学考试的同学有所帮助。
一、高等数学1、求导法则本文1)链式法则:f(u)f'(u)=f'(u)du本文2)乘积法则:f(u)g(u)=f'(u)g(u)+f(u)g'(u)本文3)指数法则:f(u)^n=nu'f(u)/(n-1)!2、求极值本文1)极值条件:f'(x)=0本文2)极值定理:f(x)在x=a处取得极值,则f'(a)=03、积分公式本文1)牛顿-莱布尼茨公式:∫f(x)dx=F(b)-F(a),其中F'(x)=f(x)本文2)微分定理:d/dx∫f(x)dx=f(x)本文3)积分中值定理:若f(x)在[a,b]上连续,则至少存在一点c∈[a,b],使得∫f(x)dx=f(c)(b-a)4、不定积分公式本文1)幂函数积分:∫x^n dx=(n+1)/n+1 x^(n+1)/n+1+C本文2)三角函数积分:∫sinx dx=cosx+C,∫cosx dx=-sinx+C 5、定积分公式本文1)矩形法:若a<=x<=b,a<=y<=b,则∫(a,b)(x^2+y^2)dx=∫(a,b)x^2 dx+∫(a,b)y^2 dx=(b-a)(x^2+y^2)/2本文2)梯形法:若a<=x<=b,a<=y<=b,则∫(a,b)(x^2+y^2)dx=∫(a,b)x^2 dx+∫(a,b)y^2 dx=(b-a)(x^2+[by]+[ax])/3二、线性代数6、行列式公式本文1)行列式展开式:D=a11A11+a12A12+...+an1An1,其中Aij为行列式中第i行第j列的代数余子式本文2)范德蒙行列式:V=(∏i=1n[(x-a)(i-1)]^(n-i)) / (∏i=1n[(x-a)(i-1)]),其中ai为行列式中第i行第i列的元素7、矩阵公式本文1)矩阵乘法:C=AB,其中Cij=∑AikBkj,k为矩阵乘法的维数本文2)逆矩阵:A^-1=(1/∣A∣)A,其中∣A∣为矩阵A的行列式值,A为矩阵A的伴随矩阵8、向量公式本文1)向量内积:〈a,b〉=a1b1+a2b2+...1、求导法则本文1)链式法则:若f是一个包含x和函数u=u(x),则f' = f'[u(x)] * u'(x)。
考研数学公式总结考研数学是考研数学专业课中的重要一科,掌握好数学公式是考研数学的关键。
下面是考研数学常用的一些公式总结。
1.代数与数论1.1二项式定理:(a + b)^n = C(n,0)a^n + C(n,1)a^(n-1)b + C(n,2)a^(n-2)b^2 +...+ C(n,n-1)ab^(n-1) + C(n,n)b^n1.2二次方程求根公式:x = (-b ± sqrt(b^2 - 4ac)) / 2a1.3勾股定理:a^2+b^2=c^21.4平方差公式:(a + b)^2 = a^2 + 2ab + b^2(a - b)^2 = a^2 - 2ab + b^21.5一元二次不等式求解方法:ax^2 + bx + c > 0 或 < 0当a>0,则解集为(-∞,x1)∪(x2,+∞)当a<0,则解集为(x1,x2)1.6等差数列求和公式:S = n(a1 + an) / 21.7等比数列求和公式:S = (a1 - an*q) / (1 - q),当,q, < 12.数学分析2.1极限相关公式:x,<1时,1/(1-x)的幂级数展开为1+x+x^2+x^3+..sin(x) 的幂级数展开为 x - x^3/3! + x^5/5! - ...cos(x) 的幂级数展开为 1 - x^2/2! + x^4/4! - ...e^x的幂级数展开为1+x+x^2/2!+x^3/3!+...2.2微积分相关公式:微分公式:(f(x)g(x))'=f'(x)g(x)+f(x)g'(x)积分公式:∫(f(x) + g(x))dx = ∫f(x)dx + ∫g(x)dx 2.3泰勒展开公式:函数f(x)在x=a处的泰勒展开公式:f(x)=f(a)+f'(a)(x-a)+f''(a)(x-a)^2/2!+...+f^n(a)(x-a)^n/n!+R_n3.概率论与数理统计3.1排列组合:排列公式:P(n,m)=n!/(n-m)!组合公式:C(n,m)=n!/[(n-m)!*m!]3.2二项分布:P(X=k)=C(n,k)*p^k*q^(n-k),其中q=1-p3.3正态分布:P(a < X < b) = ∫[a, b] (1/sqrt(2πσ^2)) * exp(-(x-μ)^2 / (2σ^2)) dx3.4样本均值:样本均值的期望:E(¯X)=μ样本均值的方差:Var(¯X) = σ^2 / n3.5方差:总体方差的估计量:s^2 = Σ(xi - x_bar)^2 / (n - 1)以上是考研数学中较为常见的一些公式总结,这些公式涵盖了代数与数论、数学分析、概率论与数理统计等知识点。
考研数学常用公式整理与记忆方法考研数学是许多考生备战考研的一大难点,其中最重要的就是掌握数学公式。
本文将对考研数学常用公式进行整理,并分享记忆方法,帮助考生们更好地掌握这些公式。
一、线性代数1. 行列式公式:- 二阶行列式:$\begin{vmatrix}a&b\\c&d\end{vmatrix} = ad - bc$- 三阶行列式:$\begin{vmatrix}a&b&c\\d&e&f\\g&h&i\end{vmatrix} = aei + bfg + cdh - ceg - bdi - afh$2. 矩阵公式:- 矩阵乘法:$AB = [a_{ij}]_{m×n} \cdot [b_{ij}]_{n×p} = [c_{ij}]_{m×p}$,其中$c_{ij} = \sum_{k=1}^{n} a_{ik}b_{kj}$3. 特征值与特征向量:- 矩阵特征方程:$|A - λI| = 0$,其中$A$为矩阵,$λ$为特征值,$I$为单位矩阵4. 向量与空间:- 内积:$\vec{a} · \vec{b} = |\vec{a}| |\vec{b}| \cosθ$,其中$\vec{a}$和$\vec{b}$为向量,$θ$为夹角- 外积:$\vec{a} ×\vec{b} = |\vec{a}| |\vec{b}| \sinθ \vec{n}$,其中$\vec{n}$为法向量二、高等数学1. 极限公式:- 常用极限:$\lim_{x→∞} (1 + \frac{1}{x})^x = e$,$\lim_{x→0} \frac{\sin x}{x} = 1$2. 导数与微分:- 导数定义:$f'(x) = \lim_{\Delta x→0} \frac{f(x+\Delta x) -f(x)}{\Delta x}$- 常见导数:$(x^n)' = nx^{n-1}$,$(e^x)' = e^x$,$(\ln x)' = \frac{1}{x}$3. 积分公式:- 不定积分:$\int f(x) dx = F(x) + C$,其中$F'(x) = f(x)$- 定积分:$\int_a^b f(x) dx = F(b) - F(a)$,其中$F'(x) = f(x)$4. 泰勒展开:- 函数$f(x)$在$x=a$处的$n$次泰勒展开式:$f(x) = f(a) +f'(a)(x-a) + \frac{f''(a)}{2!}(x-a)^2 + \cdots + \frac{f^{(n)}(a)}{n!}(x-a)^n$三、概率统计1. 概率公式:- 事件发生的概率:$P(A) = \frac{n(A)}{n(S)}$,其中$A$为事件,$n(A)$为事件$A$发生的次数,$n(S)$为样本空间的大小 - 条件概率:$P(A|B) = \frac{P(A∩B)}{P(B)}$,其中$A$与$B$为两个事件,$P(A∩B)$为事件$A$与事件$B$同时发生的概率2. 随机变量:- 离散型随机变量期望:$E(X) = \sum_{i} x_i P(X=x_i)$,其中$X$为随机变量,$x_i$为取值,$P(X=x_i)$为对应取值的概率 - 连续型随机变量期望:$E(X) = \int_{-\infty}^{\infty} xf(x) dx$,其中$X$为随机变量,$f(x)$为概率密度函数3. 分布定律:- 二项分布:$P(X=k) = C_n^k p^k (1-p)^{n-k}$,其中$X$为二项分布随机变量,$n$为试验次数,$p$为每次试验成功的概率 - 正态分布:$P(a ≤ X ≤ b) = \int_{a}^{b}\frac{1}{\sqrt{2π}\sigma} e^{-\frac{(x-μ)^2}{2σ^2}} dx$,其中$X$为正态分布随机变量,$μ$为均值,$σ$为标准差四、数学分析1. 一元函数极值:- 极值判定条件:若$f'(x_0) = 0$,且$f''(x_0)≠0$,则$f(x)$在$x=x_0$处取极值- 极值判定定理:若$f'(x_0) = 0$,且$f''(x)$在$x=x_0$的某一领域内恒为正(负),则$f(x)$在$x=x_0$处取极小(大)值2. 多元函数极值:- 极值判定条件:若所有一阶偏导数为0,且海森矩阵$H(x_0)$正定(负定),则$f(x)$在$x=x_0$处取极小(大)值以上仅为一部分考研数学常用公式,考生还需对更多公式进行系统学习与记忆。
高等数学公式导数公式:基本积分表:三角函数的有理式积分:222212211cos 12sin u dudx x tg u u u x u u x +==+-=+=, , , ax x a a a ctgx x x tgx x x x ctgx x tgx a x x ln 1)(log ln )(csc )(csc sec )(sec csc )(sec )(22='='⋅-='⋅='-='='222211)(11)(11)(arccos 11)(arcsin x arcctgx x arctgx x x x x +-='+='--='-='⎰⎰⎰⎰⎰⎰⎰⎰⎰⎰+±+=±+=+=+=+-=⋅+=⋅+-==+==Ca x x a x dx C shx chxdx C chx shxdx Ca a dx a Cx ctgxdx x C x dx tgx x Cctgx xdx x dx C tgx xdx x dx xx)ln(ln csc csc sec sec csc sin sec cos 22222222C axx a dx C x a xa a x a dx C a x ax a a x dx C a xarctg a x a dx Cctgx x xdx C tgx x xdx Cx ctgxdx C x tgxdx +=-+-+=-++-=-+=++-=++=+=+-=⎰⎰⎰⎰⎰⎰⎰⎰arcsin ln 21ln 211csc ln csc sec ln sec sin ln cos ln 22222222⎰⎰⎰⎰⎰++-=-+-+--=-+++++=+-===-Cax a x a x dx x a Ca x x a a x x dx a x Ca x x a a x x dx a x I nn xdx xdx I n n nn arcsin 22ln 22)ln(221cos sin 2222222222222222222222ππ一些初等函数: 两个重要极限:三角函数公式: ·诱导公式:xxarthx x x archx x x arshx e e e e chx shx thx e e chx e e shx x x xx xx xx -+=-+±=++=+-==+=-=----11ln21)1ln(1ln(:2:2:22)双曲正切双曲余弦双曲正弦...590457182818284.2)11(lim 1sin lim0==+=∞→→e xxxx x x·和差角公式: ·和差化积公式:2sin2sin 2cos cos 2cos2cos 2cos cos 2sin2cos 2sin sin 2cos2sin2sin sin βαβαβαβαβαβαβαβαβαβαβαβα-+=--+=+-+=--+=+αββαβαβαβαβαβαβαβαβαβαβαctg ctg ctg ctg ctg tg tg tg tg tg ±⋅=±⋅±=±=±±=±1)(1)(sin sin cos cos )cos(sin cos cos sin )sin(·倍角公式:·半角公式:ααααααααααααααααααcos 1sin sin cos 1cos 1cos 12cos 1sin sin cos 1cos 1cos 122cos 12cos 2cos 12sin -=+=-+±=+=-=+-±=+±=-±=ctg tg·正弦定理:R CcB b A a 2sin sin sin === ·余弦定理:C ab b a c cos 2222-+=·反三角函数性质:arcctgx arctgx x x -=-=2arccos 2arcsin ππ高阶导数公式——莱布尼兹(Leibniz )公式:)()()()2()1()(0)()()(!)1()1(!2)1()(n k k n n n n nk k k n k n n uv v u k k n n n v u n n v nu v u v u C uv +++--++''-+'+==---=-∑中值定理与导数应用:拉格朗日中值定理。
高等数学公式导数公式:1(arcsin x )′=(tgx )=sec x ′21−x 2(ctgx )=−csc x ′21(arccos x )=−′(sec x )=sec x ⋅tgx ′1−x 2(csc x )=−csc x ⋅ctgx ′1+(arctgx )=′(a x )′=a x ln a1x 2111+x (log x )=′(arcctgx )′=−a 2x ln a基本积分表:∫tgxdx =−ln cos x +C dx ∫∫∫=sec 2xdx =tgx +C cos dx 2x ∫ctgxdx =ln sin x +C ∫=csc 2xdx =−ctgx +C∫sec xdx =ln sec x +tgx +C ∫csc xdx =ln csc x −ctgx +C 2sin x ∫sec x ⋅tgxdx =sec x +C ∫csc x ⋅ctgxdx =−csc x +Cdx +x dx1x∫∫∫∫=arctg +C a x a 2222a ax −a a x∫∫a xdx =+C 1ln a shxdx =chx +C==ln +C −a 2a x +a dx −x dx 1a +x ln +C ∫chxdx =shx +C 222a a −x dx x∫=ln(x +x 2±a )+C 2=arcsin +C 2±a 2a 2−x 2ax ππ22n −1∫∫I =sin n xdx =cos n xdx =I n −2n nx a 2∫x x a 222+a −a −x 222dx =dx =dx =x x a 222+a 222+−+ln(x +x 2+a −a 2)+C+C2x 2x 22a a 2∫∫−a −x ln x +x 2222x arcsin +C2a三角函数的有理式积分:2u ,cos x =1−u22x2du sin x =,u =tg ,dx =1+u 21+u 21+u 2一些初等函数:两个重要极限:xx −e −xsin x 双曲正弦:shx =e lim=12x →0x+e −x 1x 双曲余弦:chx =e lim(1+)=e =2.718281828459045 (2)x →∞xshx chx e x x −e −+e −xx 双曲正切:thx ==e arshx =ln(x +x 2+1)−1)archx =±ln(x +x 211+x1−xarthx =ln2三角函数公式:·诱导公式:函数sin cos tg ctg 角A -α-sin αcos α-tg α-ctg αcos αsin αctg αtg αcos α-sin α-ctg α-tg αsin α-cos α-tg α-ctg α-sin α-cos αtg αctg α-cos α-sin αctg αtg α-cos αsin α-ctg α-tg α-sin αcos α-tg α-ctg αsin αcos αtg αctg α90°-α90°+α180°-α180°+α270°-α270°+α360°-α360°+α·和差角公式:·和差化积公式:α+β2α−β2α−βsin(α±β)=sin αcos β±cos αsin βcos(α±β)=cos αcos βm sin αsin βsin α+sin β=2sincos sinα+βsin α−sin β=2cos cos α+cos β=2cos cos α−cos β=2sin tg α±tg β1m tg α⋅tg βtg (α±β)=22α+β2α−βcosctg α⋅ctg βm 1ctg β±ctg α2α−β2ctg (α±β)=α+βsin2·倍角公式:sin 2α=2sin αcos αsin3α=3sin α−4sin cos3α=4cos α−3cos α3tg α−tg 3αcos 2α=2cos 2α−1=1−2sin 2α=cos 2α−sin 2α3ctg 2α−12ctg α2tg αctg 2α=3αtg 3α=1−3tg α2tg 2α=1−tg α2·半角公式:αsin =±21−cos αα1+cos αcos =±222α1−cos α1−cos αsin α1+cos αα1+cos α1+cos αsin α1−cos αtg =±==ctg=±==21+cos αsin α21−cos αsin αa b c·正弦定理:===2R ·余弦定理:c 2a 2b 22ab cos C=+−sin A sin B sin C·反三角函数性质:arcsin x =π−arccos x arctgx =−arcctgx π22高阶导数公式——莱布尼兹(Leibniz )公式:n∑(uv )(n )=C n ku (n −k )(k )v k =0n (n −1)n (n −1)L (n −k +1)k !=u (n )v nu (n 1)v′++−u (n −2)v ′′+L +u (n −k )v (k )+L +uv (n )2!中值定理与导数应用:拉格朗日中值定理:f b f a b −a )()−()=′(ξ)(f()−()′(ξ)ff b f a 柯西中值定理:=()−()F ′(ξ)F b F a 当F(x )=x 时,柯西中值定理就是拉格朗日中值定理。
·平方关系:sin^2(α)+cos^2(α)=1tan^2(α)+1=sec^2(α)cot^2(α)+1=csc^2(α)·积的关系:sinα=tanα*cosαcosα=cotα*sinαtanα=sinα*secαcotα=cosα*cscαsecα=tanα*cscαcscα=secα*cotα·倒数关系:tanα·cotα=1sinα·cscα=1cosα·secα=1直角三角形ABC中,角A的正弦值就等于角A的对边比斜边,余弦等于角A的邻边比斜边正切等于对边比邻边,·三角函数恒等变形公式·两角和与差的三角函数:cos(α+β)=cosα·cosβ-sinα·sinβcos(α-β)=cosα·cosβ+sinα·sinβsin(α±β)=sinα·cosβ±cosα·sinβtan(α+β)=(tanα+tanβ)/(1-tanα·tanβ)tan(α-β)=(tanα-tanβ)/(1+tanα·tanβ)·三角和的三角函数:sin(α+β+γ)=sinα·cosβ·cosγ+cosα·sinβ·cosγ+cosα·cosβ·sinγ-sinα·sinβ·sinγ cos(α+β+γ)=cosα·cosβ·cosγ-cosα·sinβ·sinγ-sinα·cosβ·sinγ-sinα·sinβ·cosγtan(α+β+γ)=(tanα+tanβ+tanγ-tanα·tanβ·tanγ)/(1-tanα·tanβ-tanβ·tanγ-tanγ·tanα)·辅助角公式:Asinα+Bcosα=(A^2+B^2)^(1/2)sin(α+t),其中sint=B/(A^2+B^2)^(1/2)cost=A/(A^2+B^2)^(1/2)tant=B/AAsinα+Bcosα=(A^2+B^2)^(1/2)cos(α-t),tant=A/B·倍角公式:sin(2α)=2sinα·cosα=2/(tanα+cotα)cos(2α)=cos^2(α)-sin^2(α)=2cos^2(α)-1=1-2sin^2(α)tan(2α)=2tanα/[1-tan^2(α)]·三倍角公式:sin(3α)=3sinα-4sin^3(α)cos(3α)=4cos^3(α)-3cosα·半角公式:sin(α/2)=±√((1-cosα)/2)cos(α/2)=±√((1+cosα)/2)tan(α/2)=±√((1-cosα)/(1+cosα))=sinα/(1+cosα)=(1-cosα)/sinα·降幂公式sin^2(α)=(1-cos(2α))/2=versin(2α)/2cos^2(α)=(1+cos(2α))/2=covers(2α)/2tan^2(α)=(1-cos(2α))/(1+cos(2α))·万能公式:sinα=2tan(α/2)/[1+tan^2(α/2)]cosα=[1-tan^2(α/2)]/[1+tan^2(α/2)]tanα=2tan(α/2)/[1-tan^2(α/2)]·积化和差公式:sinα·cosβ=(1/2)[sin(α+β)+sin(α-β)]cosα·sinβ=(1/2)[sin(α+β)-sin(α-β)]cosα·cosβ=(1/2)[cos(α+β)+cos(α-β)]sinα·sinβ=-(1/2)[cos(α+β)-cos(α-β)]·和差化积公式:sinα+sinβ=2sin[(α+β)/2]cos[(α-β)/2]sinα-sinβ=2cos[(α+β)/2]sin[(α-β)/2]cosα+cosβ=2cos[(α+β)/2]cos[(α-β)/2]cosα-cosβ=-2sin[(α+β)/2]sin[(α-β)/2]·推导公式tanα+cotα=2/sin2αtanα-cotα=-2cot2α1+cos2α=2cos^2α1-cos2α=2sin^2α1+sinα=(sinα/2+cosα/2)^2·其他:sinα+sin(α+2π/n)+sin(α+2π*2/n)+sin(α+2π*3/n)+……+sin[α+2π*(n-1)/n]=0cosα+cos(α+2π/n)+cos(α+2π*2/n)+cos(α+2π*3/n)+……+cos[α+2π*(n-1)/n]=0 以及sin^2(α)+sin^2(α-2π/3)+sin^2(α+2π/3)=3/2tanAtanBtan(A+B)+tanA+tanB-tan(A+B)=0三角函数的角度换算[编辑本段]公式一:设α为任意角,终边相同的角的同一三角函数的值相等:sin(2kπ+α)=sinαcos(2kπ+α)=cosαtan(2kπ+α)=tanαcot(2kπ+α)=cotα公式二:设α为任意角,π+α的三角函数值与α的三角函数值之间的关系:sin(π+α)=-sinαcos(π+α)=-cosαtan(π+α)=tanαcot(π+α)=cotα公式三:任意角α与-α的三角函数值之间的关系:sin(-α)=-sinαcos(-α)=cosαtan(-α)=-tanαcot(-α)=-cotα公式四:利用公式二和公式三可以得到π-α与α的三角函数值之间的关系:sin(π-α)=sinαcos(π-α)=-cosαtan(π-α)=-tanαcot(π-α)=-cotα公式五:利用公式一和公式三可以得到2π-α与α的三角函数值之间的关系:sin(2π-α)=-sinαcos(2π-α)=cosαtan(2π-α)=-tanαcot(2π-α)=-cotα公式六:π/2±α及3π/2±α与α的三角函数值之间的关系:sin(π/2+α)=cosαcos(π/2+α)=-sinαtan(π/2+α)=-cotαcot(π/2+α)=-tanαsin(π/2-α)=cosαcos(π/2-α)=sinαtan(π/2-α)=cotαcot(π/2-α)=tanαsin(3π/2+α)=-cosαcos(3π/2+α)=sinαtan(3π/2+α)=-cotαcot(3π/2+α)=-tanαsin(3π/2-α)=-cosαcos(3π/2-α)=-sinαtan(3π/2-α)=cotαcot(3π/2-α)=tanα(以上k∈Z)部分高等内容[编辑本段]·高等代数中三角函数的指数表示(由泰勒级数易得):sinx=[e^(ix)-e^(-ix)]/(2i) cosx=[e^(ix)+e^(-ix)]/2 tanx=[e^(ix)-e^(-ix)]/[ie^(ix)+ie^(-ix)]泰勒展开有无穷级数,e^z=exp(z)=1+z/1!+z^2/2!+z^3/3!+z^4/4!+…+z^n/n!+…此时三角函数定义域已推广至整个复数集。
·三角函数作为微分方程的解:对于微分方程组y=-y'';y=y'''',有通解Q,可证明Q=Asinx+Bcosx,因此也可以从此出发定义三角函数。
补充:由相应的指数表示我们可以定义一种类似的函数——双曲函数,其拥有很多与三角函数的类似的性质,二者相映成趣。
特殊三角函数值a 0` 30` 45` 60` 90`sina 0 1/2 √2/2 √3/2 1cosa 1 √3/2 √2/2 1/2 0tana 0 √3/3 1 √3 Nonecota None √3 1 √3/3 0导数公式:基本积分表:三角函数的有理式积分:222212211cos 12sin ududx x tg u u u x u u x +==+-=+=, , , 一些初等函数: 两个重要极限:ax x a a a ctgx x x tgx x x x ctgx x tgx a x x ln 1)(log ln )(csc )(csc sec )(sec csc )(sec )(22='='⋅-='⋅='-='='222211)(11)(11)(arccos 11)(arcsin x arcctgx x arctgx x x x x +-='+='--='-='⎰⎰⎰⎰⎰⎰⎰⎰⎰⎰+±+=±+=+=+=+-=⋅+=⋅+-==+==Ca x x a x dx C shx chxdx C chx shxdx Ca a dx a Cx ctgxdx x Cx dx tgx x Cctgx xdx x dx C tgx xdx x dx xx)ln(ln csc csc sec sec csc sin sec cos 22222222C axx a dx C x a xa a x a dx C a x ax a a x dx C a xarctg a x a dx Cctgx x xdx C tgx x xdx Cx ctgxdx C x tgxdx +=-+-+=-++-=-+=++-=++=+=+-=⎰⎰⎰⎰⎰⎰⎰⎰arcsin ln 21ln 211csc ln csc sec ln sec sin ln cos ln 22222222⎰⎰⎰⎰⎰++-=-+-+--=-+++++=+-===-Cax a x a x dx x a Ca x x a a x x dx a x Ca x x a a x x dx a x I nn xdx xdx I n n nn arcsin 22ln 22)ln(221cos sin 2222222222222222222222ππ三角函数公式: ·诱导公式:·和差角公式: ·和差化积公式:2sin2sin 2cos cos 2cos2cos 2cos cos 2sin2cos 2sin sin 2cos2sin2sin sin βαβαβαβαβαβαβαβαβαβαβαβα-+=--+=+-+=--+=+αββαβαβαβαβαβαβαβαβαβαβαctg ctg ctg ctg ctg tg tg tg tg tg ±⋅=±⋅±=±=±±=±1)(1)(sin sin cos cos )cos(sin cos cos sin )sin( xxarthx x x archx x x arshx e e e e chx shx thx e e chx e e shx x x xx xx xx -+=-+±=++=+-==+=-=----11ln21)1ln(1ln(:2:2:22)双曲正切双曲余弦双曲正弦...590457182818284.2)11(lim 1sin lim 0==+=∞→→e xxx x x x·倍角公式:·半角公式:ααααααααααααααααααcos 1sin sin cos 1cos 1cos 12cos 1sin sin cos 1cos 1cos 122cos 12cos 2cos 12sin -=+=-+±=+=-=+-±=+±=-±=ctg tg·正弦定理:R CcB b A a 2sin sin sin === ·余弦定理:C ab b a c cos 2222-+=·反三角函数性质:arcctgx arctgx x x -=-=2arccos 2arcsin ππ高阶导数公式——莱布尼兹(Leibniz )公式:)()()()2()1()(0)()()(!)1()1(!2)1()(n k k n n n n nk k k n k n n uv v u k k n n n v u n n v nu v u v u C uv +++--++''-+'+==---=-∑中值定理与导数应用:拉格朗日中值定理。