考研数学140分-必背公式大全
- 格式:pdf
- 大小:635.09 KB
- 文档页数:25
考研数学需要识记的基本公式高教考研整理了考研数学中不需要理解而直接应用的全部公式如下,除此以外,其它涉及到的公式都需要依赖于理解和日常的题目训练来达到熟练的状态,如果达不到,只能说明你的理解或者题目的训练量存在问题,请重新检视复习安排!经常用到的初等数学公式(3),a c a a c c b d b b d d+<<<+设则(4)非负数的算术平均值不小于其几何平均值,即12323n a a a a a b a b c n++++++≥≥≥4.绝对值不等式1)2)3)a b a ba b a ba b a b+≤+-≤+-≥-(6)m ma a -=8.对数log ,(0,1,0)a N a a N >≠>(1)对数恒等式log ,a N lnNN a N e ==更常用(2)log ()log log a a a MN M N=+12312)11(1)11n n n a a q a q n S q q--==--前项和(3)常用的几种数列的和1)1123(1)2n n n ++++=+ 2)22221123(1)(21)6n n n n ++++=++ 3245(平行四边形sin S bh ab ϕ==(2)梯形S=中位线X 高21122rl r θ=(3)扇形S=2.旋转体(1)圆柱设R ……底圆半径,H……柱高,则1)=2S RHπ侧侧面积2)=2()R H R π+全面积S 11平面三角1.三角函数间的关系(1)sin csc 1a a ==(4)cos cos 2sin sin 22a a a βββ+--=-[]1(5)sin cos sin()sin()2a a a βββ=++-[][][]1(6)cos cos cos()cos()21(7)cos sin sin()sin()21(8)sin sin cos()cos()2a a a a a a a a a βββββββββ=++-=+--=+--4.边角关系(1)正弦定理2,sin sin sin a b c R R A B C===为外接圆半径(2)余弦定理2222222222cos 2cos 2cos a b c bc Ab c a ca Bc a b ab C=+-=+-=+-5.反三角函数恒等式22(1)arcsin arcsin arcsin(11)x y x y y x ±=+±-()()()()2222(1)arcsin arcsinarcsin 11(2)arccos arccos arccos 11(3)arctan arctan arctan 1(4)arcsin arccos 2(5)arctan cot 2m x y x y y x x y xy x y x y x y xy x x x arc x ππ±+±-±=--⎛⎫±±= ⎪⎝⎭+=+= 三角函数的有理式积分2222212sin ,cos ,,1121u u x du x x u tg dx u u u -====+++倍角公式222232sin 22sin cos cos 22cos 112sin cos sin sin 33sin 4sin 122a a aa a a a aa a actg a ctg a ctga==-=-=-=--=高等数学导数与微分的计算用公式求导数分为三步:第一步按导数四则运算法则展开;第二步计算导数(注意,导数基本公式中没有的,一律按复合函数求导数处理);第三步整理化简。
高等数学公式篇
导数公式:
基本积分表:
三角函数的有理式积分:
一些初等函数: 两个重要极限:
倍角公式:
·半角公式:
·正弦定理:·余弦定理:
反三角函数性质:
高阶导数公式——莱布尼兹(Leibniz)公式:
中值定理与导数应用:
曲率:
定积分的近似计算:
多元函数微分法及应用
微分法在几何上的应用:
方向导数与梯度:
多元函数的极值及其求法:
重积分及其应用:
柱面坐标和球面坐标:曲线积分:
曲面积分:
高斯公式:
斯托克斯公式——曲线积分与曲面积分的关系:级数审敛法:
绝对收敛与条件收敛:
幂级数:
函数展开成幂级数:
一些函数展开成幂级数:
欧拉公式:
三角级数:
傅立叶级数:
周期为的周期函数的傅立叶级数:
微分方程的相关概念:
一阶线性微分方程:
全微分方程:
二阶微分方程:
二阶常系数齐次线性微分方程及其解法:
(*)式的通解两个不相等实根
两个相等实根
一对共轭复根
二阶常系数非齐次线性微分方程。
学习必备欢迎下载高等数学公式篇·平方关系:sin^2(α)+cos^2(α)=1 tan^2(α)+1=sec^2(α) cot^2(α)+1=csc^2(α) ·倒数关系:tanα·cotα=1sinα·cscα=1cosα·secα=1·积的关系:sinα=tanα*cosα cosα=cotα*sinα tanα=sinα*secα cotα=cosα*cscα secα=tanα*cscα cscα=secα*cotα直角三角形ABC中, 角A的正弦值就等于角A的对边比斜边, 余弦等于角A的邻边比斜边正切等于对边比邻边,·三角函数恒等变形公式·两角和与差的三角函数:cos(α+β)=cosα·cosβ-sinα·sinβcos(α-β)=cosα·cosβ+sinα·sinβsin(α±β)=sinα·cosβ±cosα·sinβtan(α+β)=(tanα+tanβ)/(1-tanα·tanβ)tan(α-β)=(tanα-tanβ)/(1+tanα·tanβ)·三角和的三角函数:sin(α+β+γ)=sinα·cosβ·cosγ+cosα·sinβ·cosγ+cosα·cosβ·sinγ-sinα·sinβ·sinγ cos(α+β+γ)=cosα·cosβ·cosγ-cosα·sinβ·sinγ-sinα·cosβ·sinγ-sinα·sinβ·cosγ tan(α+β+γ)=(tanα+tanβ+tanγ-tanα·tanβ·tanγ)/(1-tanα·tanβ-tanβ·tanγ-tanγ·t anα)·辅助角公式:Asinα+Bcosα=(A^2+B^2)^(1/2)sin(α+t),其中sint=B/(A^2+B^2)^(1/2)cost=A/(A^2+B^2)^(1/2)tant=B/AAsinα+Bcosα=(A^2+B^2)^(1/2)cos(α-t),tant=A/B·倍角公式:sin(2α)=2sinα·cosα=2/(tanα+cotα)cos(2α)=cos^2(α)-sin^2(α)=2cos^2(α)-1=1-2sin^2(α)tan(2α)=2tanα/[1-tan^2(α)]·三倍角公式:sin(3α)=3sinα-4sin^3(α)co s(3α)=4cos^3(α)-3cosα·半角公式:sin(α/2)=±√((1-cosα)/2)cos(α/2)=±√((1+cosα)/2)tan(α/2)=±√((1-cosα)/(1+cosα))=sinα/(1+cosα)=(1-cosα)/sinα·降幂公式sin^2(α)=(1-cos(2α))/2=versin(2α)/2 cos^2(α)=(1+cos(2α))/2=covers(2α)/2 tan^2(α)=(1-cos(2α))/(1+cos(2α)) ·万能公式:sinα=2tan(α/2)/[1+tan^2(α/2)]cosα=[1-tan^2(α/2)]/[1+tan^2(α/2)] tanα=2tan(α/2)/[1-tan^2(α/2)] ·积化和差公式:sinα·cosβ=(1/2)[sin(α+β)+sin(α-β)] cosα·sinβ=(1/2)[sin(α+β)-sin(α-β)] cosα·cosβ=(1/2)[cos(α+β)+cos(α-β)] sinα·sinβ=-(1/2)[cos(α+β)-cos(α-β)] ·和差化积公式:sinα+sinβ=2sin[(α+β)/2]cos[(α-β)/2] sinα-sinβ=2cos[(α+β)/2]sin[(α-β)/2] cosα+cosβ=2cos[(α+β)/2]cos[(α-β)/2] cosα-cosβ=-2sin[(α+β)/2]sin[(α-β)/2] ·推导公式tanα+cotα=2/sin2αtanα-cotα=-2cot2α1+cos2α=2cos^2α1-cos2α=2sin^2α1+sinα=(sinα/2+cosα/2)^2·其他:sinα+sin(α+2π/n)+sin(α+2π*2/n)+sin(α+2π*3/n)+……+sin[α+2π*(n-1)/n]=0 cosα+cos(α+2π/n)+cos(α+2π*2/n)+cos(α+2π*3/n)+……+cos[α+2π*(n-1)/n]=0 以及sin^2(α)+sin^2(α-2π/3)+sin^2(α+2π/3)=3/2tanAtanBtan(A+B)+tanA+tanB-tan(A+B)=0三角函数的角度换算公式一:设α为任意角,终边相同的角的同一三角函数的值相等:sin(2kπ+α)=sinα cos(2kπ+α)=cosα tan(2kπ+α)=tanα cot(2kπ+α)=cotα公式二:设α为任意角,π+α的三角函数值与α的三角函数值之间的关系:sin(π+α)=-sinα cos(π+α)=-cosα tan(π+α)=tanα cot(π+α)=cotα公式三:任意角α与-α的三角函数值之间的关系:sin(-α)=-sinα cos(-α)=c osα tan(-α)=-tanα cot(-α)=-cotα公式四:利用公式二和公式三可以得到π-α与α的三角函数值之间的关系:sin(π-α)=sinα cos(π-α)=-cosα tan(π-α)=-tanα cot(π-α)=-cotα公式五:利用公式一和公式三可以得到2π-α与α的三角函数值之间的关系:sin(2π-α)=-sinα cos(2π-α)=cosα tan(2π-α)=-tanα cot(2π-α)=-cotα公式六:π/2±α及3π/2±α与α的三角函数值之间的关系: sin (π/2+α)=cosα cos (π/2+α)=-sinα tan (π/2+α)=-cotα cot (π/2+α)=-tanα sin (π/2-α)=cosα cos (π/2-α)=sinα tan (π/2-α)=cotα cot (π/2-α)=tanα sin (3π/2+α)=-cosα cos (3π/2+α)=sinα tan (3π/2+α)=-cotα cot (3π/2+α)=-tanα sin (3π/2-α)=-cosα cos (3π/2-α)=-sinα tan (3π/2-α)=cotα cot (3π/2-α)=tanα (以上k ∈Z)部分高等内容·高等代数中三角函数的指数表示(由泰勒级数易得):[][][][])()()()()()()()(tan 2cos 2sin ix ix ix ix ix ix ix ix e e e e x e e x i e e x +-=+=-=, , 泰勒展开有无穷级数:⋯++⋯+++++==!!4!3!2!11)ex p(432n zz z z z z e nz此时三角函数定义域已推广至整个复数集。
[基础知识]…++)因式分解公式:-=(-b)(+b+b+…+…+-)b+…+为正偶数时))-=(+b)(-b+( n为正偶数时b+……-+)为正奇数时))+=(+b)(-b+( n为正奇数时二项式定理:=不等式:(1)a,b位实数,则○1;○2;○3≤.(2),…,>0, 则○1≥取整函数:x-1x-1<<[x]x三角函数和差化积;积化和差(7):sinα+sinβ=2(sin)(cos) sinαcosβ=(sin+cos)sinα-sinβ=2(cos)(sin) cosαcosβ=(cos+cos)cosα+cosβ=2(cos)(co) sinαsinβ=-(cos-cos)cosα-cosβ=2(sin)(sin)重要三角公式1+=1+==-=1-2=2-1=tan===±cot===万能公式:,则,函数图像sec(x) csc(x) cot(x) arcsin(x) arccos(x)arctan(x) arc cot(x)[极限]定义函数极限x →• :(6)=A : ∀ >0,∃ >0,当0<|x - x 0|< 时,恒有|f (x)-A |< . =A : ∀ >0,∃ >0,当0<(x- x 0)< 时,恒有|f (x)-A |< . =A : ∀ >0,∃ >0,当0<( x 0- x )< 时,恒有|f (x)-A |< . =A : ∀ >0, ∃X>0,当|x |>X 时,恒有|f (x)-A |< .=A : ∀ >0, ∃X>0,当x>X 时,恒有|f (x)-A|(x)-A|<< .=A: ∀ >0, ∃X>0,当-x>X时,恒有|f (x)-A |<.数列极限n →∞ :=A =A: ∀ : ∀ >0,>0, ∃N>0,当n>N 时,恒有|X n -A|< .性质 (1)唯一性:设=A ,=B ,则A=B. (2)局部有界性:若存在,则存在 >0,使f(x)在U={x |0<|x-x 0|< 内有界.(3)局部保号性:○1(脱帽)若=A>0,则存在x 0的一个去心邻域,在该邻域内恒有f(x)>0.○○2(戴帽戴帽))若存在x 0的一个去心邻域,在该邻域内f(x)>(≥)0,且=A(∃),则A ≥0.计算极限四则运算:设=A(A(∃∃),=B(=B(∃∃),则○1=A±B.○2=A =A⋅⋅B.○3= (B (B≠0).≠0). 等价无穷小(9)ln (1+x ),, (a>0) ,,(洛必达法则:“”型:○1=0,=0; ○2f(x),g(x)在x 0的某去心领域内可导,且g’(x)≠0 ○3=A 或为∞. 则“”型:○1=∞,=∞; ○2f(x),g(x)在x 0的某去心领域内可导,且g’(x)≠0 ○3=A 或为∞. 则[注]洛必达法则能不能用,用了再说. 数列极限存在准则:1.1. 单调有界数列必收敛2.夹逼准则:如果函数f(x),g(x)f(x),g(x)及及h(x)h(x)满足下列条件:满足下列条件:满足下列条件: (1)g(x)≤f(x)≤h(x); (2)limg(x)=A,limh(x)=A, 则limf(x)存在,且limf(x)=A .两种典型放缩:○1max{}≤≤n∙max{}; ○○2n∙min{}≤≤n∙max{}选取的依据是谁在和式中去决定性作用选取的依据是谁在和式中去决定性作用海涅定理(归结原则):设f(x)f(x)在在 (内有定义,则内有定义,则=A 存在⟺对任何以为极限的数列{}(≠),极限=A存在. 连续的两种定义: (1)(2)间断点:第一类:可去、跳跃;第二类:无穷、振荡第一类:可去、跳跃;第二类:无穷、振荡[一元微分学]定义导数定义式:f’ (x0)=|x=x0==微分定义式:若y=A +o(),则dy=A.可导的判别:(1)(1)必要条件必要条件必要条件::若函数f(x)f(x)在点在点处可导处可导,,则f(x)在点处连续处连续. .(2)(2)充要条件充要条件充要条件::存在存在,都存在,且=.[注]通俗来说就是连续函数不一定可导;函数在一点可导且在该点连续,但在这点的某个邻域未必连续;函数可导,则其导函数可能连续,也可能震荡间断点的某个邻域未必连续;函数可导,则其导函数可能连续,也可能震荡间断. . 可微的判别:=0=0,则,则f(x)f(x)可微。
考研数学考前公式
考研数学考试的内容主要涉及高等数学、线性代数和概率论与数理统计三大部分,每个部分包含的内容和公式如下:
高等数学部分:
1. 极限公式:
对数函数极限:lim(log(1+x)/x)=1,当x趋于0时
三角函数极限:lim(sin(x)/x)=1,当x趋于0时;lim((1-cos(x))/x)=0,当x趋于0时
2. 牛顿-莱布尼茨公式:∫abf(x)dx=F(b)-F(a),其中F(x)是f(x)的一个原函数
3. 泰勒公式:f(x)=f(a)+f'(a)(x-a)+f''(a)(x-a)^2/2!+...+f^n(a)(x-
a)^n/n!+Rn(x),其中,Rn(x)是余项,有Lagrange余项和Cauchy余项两种形式。
线性代数部分:
1. 向量公式:
向量的模:a=√(x1^2+x2^2+...+xn^2)
向量的点积:a·b=x1y1+x2y2+...+xnyn
向量的叉积:a×b=(y1z2-y2z1)i-(x1z2-x2z1)j+(x1y2-x2y1)k
2. 矩阵公式:
矩阵的乘积:C=AB,其中Cij=∑(k=1到n)AikBkj
矩阵的逆:若A是可逆矩阵,则A的逆矩阵A^-1满足AA^-1=A^-
1A=E
矩阵的秩:矩阵的秩是指它的行与列的最大线性无关组数,也就是矩阵中含有的一个最大的非零子式的阶数。
概率论与数理统计部分:
这部分的公式涉及的内容较多,可以查阅考研数学大纲或者相关教辅书来获取更全面的信息。
以上信息仅供参考,如有需要,建议查阅考研数学大纲或咨询专业教师。
考研数学必备公式数学是考研数学科目中最重要的一部分,其中公式的掌握是非常关键的。
下面将介绍一些考研数学必备的公式,供考生们参考。
1. 数列的通项公式:数列是数学中常见的概念,其通项公式是指可以通过公式来计算数列中任意一项的值。
常见的数列通项公式有等差数列和等比数列的通项公式。
- 等差数列的通项公式:对于等差数列an=a1+(n-1)d,其中a1为首项,d为公差,n为项数。
- 等比数列的通项公式:对于等比数列an=a1*q^(n-1),其中a1为首项,q为公比,n为项数。
2. 三角函数的基本关系:三角函数是数学中重要的概念,它们之间有着一定的关系。
- 正弦函数的基本关系:sin^2(x) + cos^2(x) = 1,其中x为任意实数。
- 余弦函数的基本关系:1 + tan^2(x) = sec^2(x),其中x为任意实数。
- 正切函数的基本关系:1 + cot^2(x) = csc^2(x),其中x为任意实数。
3. 二次函数的基本公式:二次函数是数学中常见的函数类型,其基本公式如下:- 顶点坐标公式:对于二次函数y=a(x-h)^2+k,其中(h,k)为顶点坐标。
- 判别式公式:对于二次方程ax^2+bx+c=0,判别式Δ=b^2-4ac,判别式的值可以判断二次方程的根的情况。
4. 空间几何中的公式:空间几何是考研数学中的重要内容,常见的公式有:- 点到直线的距离公式:点P(x0,y0,z0)到直线Ax+By+Cz+D=0的距离d=|Ax0+By0+Cz0+D|/√(A^2+B^2+C^2)。
- 两点间距离公式:两点P1(x1,y1,z1)和P2(x2,y2,z2)间的距离d=√((x2-x1)^2+(y2-y1)^2+(z2-z1)^2)。
- 平面与平面的夹角公式:平面A1x+B1y+C1z+D1=0和平面A2x+B2y+C2z+D2=0的夹角cosθ=|(A1A2+B1B2+C1C2)/√((A1^2+B1^2+C1^2)(A2^2+B2^2+C2^2))|。
考研数学公式大全数学是考研的核心科目之一,而掌握必要的数学公式则是取得好成绩的关键。
以下是一份考研数学公式大全,涵盖了高等数学、线性代数和概率论与数理统计中的重要公式,希望能对备考研究生入学考试的同学有所帮助。
一、高等数学1、求导法则本文1)链式法则:f(u)f'(u)=f'(u)du本文2)乘积法则:f(u)g(u)=f'(u)g(u)+f(u)g'(u)本文3)指数法则:f(u)^n=nu'f(u)/(n-1)!2、求极值本文1)极值条件:f'(x)=0本文2)极值定理:f(x)在x=a处取得极值,则f'(a)=03、积分公式本文1)牛顿-莱布尼茨公式:∫f(x)dx=F(b)-F(a),其中F'(x)=f(x)本文2)微分定理:d/dx∫f(x)dx=f(x)本文3)积分中值定理:若f(x)在[a,b]上连续,则至少存在一点c∈[a,b],使得∫f(x)dx=f(c)(b-a)4、不定积分公式本文1)幂函数积分:∫x^n dx=(n+1)/n+1 x^(n+1)/n+1+C本文2)三角函数积分:∫sinx dx=cosx+C,∫cosx dx=-sinx+C 5、定积分公式本文1)矩形法:若a<=x<=b,a<=y<=b,则∫(a,b)(x^2+y^2)dx=∫(a,b)x^2 dx+∫(a,b)y^2 dx=(b-a)(x^2+y^2)/2本文2)梯形法:若a<=x<=b,a<=y<=b,则∫(a,b)(x^2+y^2)dx=∫(a,b)x^2 dx+∫(a,b)y^2 dx=(b-a)(x^2+[by]+[ax])/3二、线性代数6、行列式公式本文1)行列式展开式:D=a11A11+a12A12+...+an1An1,其中Aij为行列式中第i行第j列的代数余子式本文2)范德蒙行列式:V=(∏i=1n[(x-a)(i-1)]^(n-i)) / (∏i=1n[(x-a)(i-1)]),其中ai为行列式中第i行第i列的元素7、矩阵公式本文1)矩阵乘法:C=AB,其中Cij=∑AikBkj,k为矩阵乘法的维数本文2)逆矩阵:A^-1=(1/∣A∣)A,其中∣A∣为矩阵A的行列式值,A为矩阵A的伴随矩阵8、向量公式本文1)向量内积:〈a,b〉=a1b1+a2b2+...1、求导法则本文1)链式法则:若f是一个包含x和函数u=u(x),则f' = f'[u(x)] * u'(x)。
一.三角公式1.倍角公式与半角公式x x x cos sin 22sin =;xx x x x 2222sin 211cos 2sin cos 2cos -=-=-=2cos 2cos 12xx =+,或2cos 12cos 2x x +=2sin 2cos 12xx =-,或2cos 12sin 2x x -=2. 三角函数定义与恒等式sin α=对边/斜边;cos α=邻边/斜边;tan α=对边/邻边;1cos sin 22=+x x ;22sec tan 1x x =+,22tan sec 1x x =-x xx cos sin tan =;xx cos 1sec = 3.特殊角的三角与反三角函数值,三角函数在四个象限中的符号arctan()/2π+∞=;arctan()/2π-∞=- ,0e e +∞-∞=+∞=,ln(),ln 0++∞=+∞=-∞--1-- 3.诱导公式sin()cos 2παα-=;cos()sin 2παα-=;tan()cot 2παα-=; sin()sin παα-=;cos()cos παα-=-;tan()tan παα-=- ααsin )sin(-=-;ααcos )cos(=-;ααtan )tan(-=-二.代数公式1.2)1(321+=+⋅⋅⋅⋅+++n n n (等差数列求和公式)2.21111nn a a aaa--+++⋅⋅⋅+=-(等比数列求和公式,1a <)或)1)(1(121++⋅⋅⋅++-=---a a a a a n n n 3.2222)(b ab a b a +±=±(和差的平方公式)3223333)(b ab b a a b a ±+±=±(和差的立方公式) ))((22b a b a b a -+=-(平方差公式)))((2233b ab a b a b a +±=± (立方和、立方差公式)4.指数运算:c b c b a a a +=⋅;/b c b c a a a -=;bc c b a a =)(;()c c c a b a b ⋅=⋅;(/)/c c c a b a b =;10=a ;11/a a -=5. 对数运算:c b bc a a a log log )(log +=;log log log aa ab bc c=-;b b a a log 1log -=log log c a a b c b =;log b a b a =;特别ln b b e =log 10a =;log 1a a =;特别ln10=,ln 1e =;6.基本不等式:x a a x a <⇔-<<(其中0a >)222a b ab +≥,也可写成当,0a b >时成立2a b ab +≥--2--7.一元二次方程20ax bx c ++=求根公式:有解21,242b b acx a-±-=三.极限 四.平面解析几何 1.直线方程:y kx b =+(斜截式:斜率为k ,y 轴上截距为b ); 00()y y k x x -=-(点斜式:过点00(,)x y ,斜率为k );1x ya b+=(截距式:x 与y 轴上截距分别为a 与b )0ax by c ++=(一般式)两直线垂直⇔它们的斜率为负倒数关系121/k k =-。
考研高数必备公式高等数学是考研数学的重点和难点之一,掌握和熟练运用高数公式可以帮助考生更好地解题。
下面是一些考研高等数学必备的重要公式,供考生参考。
导数公式:1. 常数函数的导数为零:d/dx (c) = 02. x^n的导数为nx^(n-1):d/dx (x^n) = nx^(n-1)3. e^x的导数为e^x:d/dx (e^x) = e^x4. ln(x)的导数为1/x:d/dx (ln(x)) = 1/x5. sin(x)的导数为cos(x):d/dx (sin(x)) = cos(x)6. cos(x)的导数为-sin(x):d/dx (cos(x)) = -sin(x)7. tan(x)的导数为sec^2(x):d/dx (tan(x)) = sec^2(x)8. cot(x)的导数为-csc^2(x):d/dx (cot(x)) = -csc^2(x)9. sec(x)的导数为sec(x)tan(x):d/dx (sec(x)) = sec(x)tan(x)10. csc(x)的导数为-csc(x)cot(x):d/dx (csc(x)) = -csc(x)cot(x)求导法则:1. 和差法则:d/dx (u ± v) = du/dx ± dv/dx2. 乘法法则:d/dx (uv) = u dv/dx + v du/dx3. 除法法则:d/dx (u/v) = (v du/dx - u dv/dx) / v^24. 复合函数法则:若y = f(u),u=g(x),则dy/dx = dy/du *du/dx积分公式:1. 常数函数的积分为常数乘以自变量:∫c dx = cx + C2. x^n的积分为(1/n+1)x^(n+1) + C:∫x^n dx = (1/n+1)x^(n+1) + C3. e^x的积分为e^x + C:∫e^x dx = e^x + C4. 1/x的积分为ln,x, + C:∫1/x dx = ln,x, + C5. sin(x)的积分为-cos(x) + C:∫sin(x) dx = -cos(x) + C6. cos(x)的积分为sin(x) + C:∫cos(x) dx = sin(x) + C7. tan(x)的积分为-ln,cos(x), + C:∫tan(x) dx = -ln,cos(x), + C8. cot(x)的积分为ln,sin(x), + C:∫cot(x) dx = ln,sin(x),+ C9. sec(x)的积分为ln,sec(x) + tan(x), + C:∫sec(x) dx = ln,sec(x) + tan(x), + C10. csc(x)的积分为ln,csc(x) - cot(x), + C:∫csc(x) dx = ln,csc(x) - cot(x), + C广义积分:1. 若函数f(x)在区间[a, b]上连续且非负,则∫f(x) dx是有限的;2. 若f(x)在区间[a, b]上连续,则∫f(x) dx在该区间上是可积的;3. 若f(x)在区间[a, b]上连续,则∫[a, b] f(x) dx = ∫[a, c]f(x) dx + ∫[c, b] f(x) dx (分段积分);导数和微分:1.y=f(x)在(x0,y0)处可导,则f(x)在该点连续;2. 若函数y = f(x)在区间[a, b]上可导,则y的增量Δy可以近似表示为Δy ≈ f'(x) Δx,即dy = f'(x) dx (微分近似);3. 若函数y = f(x)在区间[a, b]上可导,则在该区间上y的微分dy满足dy = f'(x) dx (微分关系);泰勒公式:1.f(x)在x=a处n阶可导,则f(x)可表示为泰勒展开式:f(x)=f(a)+f'(a)(x-a)+f''(a)(x-a)^2/2!+...+f^n(a)(x-a)^n/n!+Rn(x),其中Rn(x)为剩余项;拉格朗日中值定理:若函数f(x)在[a,b]的内部连续,在(a,b)的内部可导,且f(a)=f(b),则存在c∈(a,b)使得f'(c)=[f(b)-f(a)]/(b-a);柯西中值定理:若函数f(x)和g(x)在[a,b]的内部连续,在(a,b)的内部可导且g'(x)≠0,则存在c∈(a,b)使得[f'(c)/g'(c)]=[f(b)-f(a)]/[g(b)-g(a)];罗尔中值定理:若函数f(x)在[a,b]的内部连续,在(a,b)的内部可导,且f(a)=f(b)=0,则存在c∈(a,b)使得f'(c)=0;这只是一部分考研高等数学的重要公式,考生还需根据自己的需求和教材内容进行学习和整理。
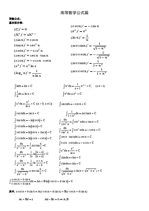
高等数学公式篇导数公式: 基本积分表:C kx dx k +=⎰ )1a (,C x 1a 1dx x 1a a-≠++=+⎰C x ln dx x 1+=⎰ C e dx e xx +=⎰ C a ln a dx a xx+=⎰(1a ,0a ≠>) C x cos xdx sin +-=⎰C x sin dx x cos +=⎰ C x arctan dx x 112+=+⎰ C axarcsin x a dx C x a xa ln a 21x a dx C a x ax ln a 21a x dx C a xarctan a 1x a dx Cx cot x csc ln xdx csc C x tan x sec ln xdx sec Cx sin ln xdx cot C x cos ln xdx tan 22222222+=-+-+=-++-=-+=++-=++=+=+-=⎰⎰⎰⎰⎰⎰⎰⎰⎰⎰⎰⎰⎰⎰⎰⎰⎰⎰+±+=±+=+=+=+-=⋅+=⋅+-==+==C)a x x ln(a x dx C shx chxdx C chx shxdx C aln adx a Cx csc xdx cot x csc Cx sec dx x tan x sec Cx cot xdx csc x sin dx C x tan xdx sec x cos dx 2222xx 2222C x sin d x cos c ln B Ax dx x sin d x cos c xsin b x cos a +++=++⎰其中,)x sin d x cos c (B )x sin d x cos c (A x sin b x cos a +++=+ aBd Ac =+B ,A b Bc Ad ⇒=-aln x 1)x (log a ln a )a (x cot x csc )x (csc x tan x sec )x (sec x csc )x (cot x sec )x (tan x cos )x (sin aX )X (0)C (a x x 221a a ='='⋅-='⋅='-='='='='='-2222xx x 11)x cot arc (x 11)x (arctan x 11)x (arccos x 11)x (arcsin x 1)x (ln e )e (x sin )x (cos +-='+='--='-='='='-='三角函数的有理式积分:2222u1du2dx 2x tan u u 1u 1x cos u 1u 2x sin +==+-=+=, , , 一些初等函数: 两个重要极限:三角函数公式: ·诱导公式:·和差角公式: ·和差化积公式:·倍角公式:2sin2sin 2cos cos 2cos2cos 2cos cos 2sin2cos 2sin sin 2cos2sin2sin sin βαβαβαβαβαβαβαβαβαβαβαβα-+=--+=+-+=--+=+α±ββ⋅α=β±αβ⋅αβ±α=β±αβαβα=β±αβα±βα=β±αcot cot 1cot cot )cot(tan tan 1tan tan )tan(sin sin cos cos )cos(sin cos cos sin )sin( xxarthx x x archx x x arshx e e e e chx shx thx e e chx e e shx x x xx xx xx -+=-+±=++=+-==+=-=----11ln21)1ln(1ln(:2:2:22)双曲正切双曲余弦双曲正弦...590457182818284.2)11(lim 1sin lim 0==+=∞→→e xxx x x x·半角公式:α-α=αα+=α-α+±=αα+α=αα-=α+α-±=αα+±=αα-±=αcos 1sin sin cos 1cos 1cos 12cot cos 1sin sin cos 1cos 1cos 12tan2cos 12cos 2cos 12sin ·正弦定理:R CcB b A a 2sin sin sin === ·余弦定理:C ab b a c cos 2222-+= ·反三角函数性质:x cot arc 2x arctan x arccos 2x arcsin -π=-π= 中值定理与导数应用:拉格朗日中值定理。
考研数学公式大全考研数学对于许多考生来说是一座难以逾越的大山,而熟练掌握各类公式则是攻克这座大山的重要武器。
以下为大家整理了一份较为全面的考研数学公式,希望能助大家一臂之力。
一、高等数学部分1、函数、极限与连续(1)极限的四则运算法则:若 lim f(x) = A,lim g(x) = B,则 limf(x) ± g(x) = lim f(x) ± lim g(x) = A ± B;lim f(x) · g(x) = lim f(x) · limg(x) = A · B;lim f(x) / g(x) = lim f(x) / lim g(x) = A / B (B ≠ 0)。
(2)两个重要极限:lim (sin x / x) = 1 (x → 0);lim (1 + 1 / x)^x = e (x → ∞)。
(3)无穷小量的性质:有限个无穷小量的和、差、积仍是无穷小量;无穷小量与有界函数的乘积是无穷小量。
(4)函数连续的定义:设函数 y = f(x) 在点 x₀的某一邻域内有定义,如果 lim (x → x₀) f(x) = f(x₀),则称函数 f(x) 在点 x₀处连续。
2、一元函数微分学(1)导数的定义:f'(x₀) = lim (Δx → 0) f(x₀+Δx) f(x₀) /Δx。
(2)基本导数公式:(x^n)'= nx^(n 1);(sin x)'= cos x;(cos x)'= sin x;(e^x)'= e^x;(ln x)'= 1 / x。
(3)导数的四则运算法则:f(x) ± g(x)'= f'(x) ± g'(x);f(x) · g(x)'= f'(x)g(x) + f(x)g'(x);f(x) / g(x)'= f'(x)g(x)f(x)g'(x) / g(x)^2 (g(x) ≠ 0)。
考研数学公式总结考研数学是众多考生面临的一大挑战,而熟练掌握各种公式是取得好成绩的关键。
以下为大家总结了考研数学中一些重要的公式。
一、高等数学部分1、函数、极限与连续(1)极限的四则运算法则:若 lim f(x) = A,lim g(x) = B,则 lim f(x) ± g(x) = lim f(x) ± lim g(x) = A ± B;lim f(x) · g(x) = lim f(x) · lim g(x) = A · B;lim f(x) / g(x) = lim f(x) / lim g(x) = A / B (B ≠ 0)(2)两个重要极限:lim (sin x / x) = 1 (x → 0);lim (1 +1/x)^x = e (x → ∞)(3)无穷小量的性质:有限个无穷小量的和、差、积仍是无穷小量;无穷小量与有界量的乘积是无穷小量。
2、导数与微分(1)基本导数公式:(C)'= 0 (C 为常数);(x^n)'= nx^(n 1) ;(sin x)'= cos x ;(cos x)'= sin x ;(e^x)'= e^x ;(ln x)'= 1 / x ;(log_a x)'= 1 /(x ln a)(2)导数的四则运算法则:u(x) ± v(x)'= u'(x) ± v'(x) ;u(x) · v(x)'= u'(x) · v(x) + u(x) · v'(x) ;u(x) / v(x)'= u'(x) · v(x) u(x) · v'(x) / v(x)^2 (v(x) ≠ 0)(3)复合函数求导法则:设 y = fg(x),则 y' = f'g(x) · g'(x)(4)隐函数求导法则:方程 F(x, y) = 0 确定 y 是 x 的隐函数,两边对 x 求导,解出 y' 。
高等数学公式篇·平方关系:sin^2(α)+cos^2(α)=1 tan^2(α)+1=sec^2(α) cot^2(α)+1=csc^2(α) ·倒数关系:tanα·cotα=1sinα·cscα=1cosα·secα=1·积的关系:sinα=tanα*cosα cosα=cotα*sinα tanα=sinα*secα cotα=cosα*cscα secα=tanα*cscα cscα=secα*cotα直角三角形ABC中, 角A的正弦值就等于角A的对边比斜边, 余弦等于角A的邻边比斜边正切等于对边比邻边,·三角函数恒等变形公式·两角和与差的三角函数:cos(α+β)=cosα·cosβ-sinα·sinβcos(α-β)=cosα·cosβ+sinα·sinβsin(α±β)=sinα·cosβ±cosα·sinβtan(α+β)=(tanα+tanβ)/(1-tanα·tanβ)tan(α-β)=(tanα-tanβ)/(1+tanα·tanβ)·三角和的三角函数:sin(α+β+γ)=sinα·cosβ·cosγ+cosα·sinβ·cosγ+cosα·cosβ·sinγ-sinα·sinβ·sinγ cos(α+β+γ)=cosα·cosβ·cosγ-cosα·sinβ·sinγ-sinα·cosβ·sinγ-sinα·sinβ·cosγ tan(α+β+γ)=(tanα+tanβ+tanγ-tanα·tanβ·tanγ)/(1-tanα·tanβ-tanβ·tanγ-tanγ·t anα)·辅助角公式:Asinα+Bcosα=(A^2+B^2)^(1/2)sin(α+t),其中sint=B/(A^2+B^2)^(1/2)cost=A/(A^2+B^2)^(1/2)tant=B/AAsinα+Bcosα=(A^2+B^2)^(1/2)cos(α-t),tant=A/B·倍角公式:sin(2α)=2sinα·cosα=2/(tanα+cotα)cos(2α)=cos^2(α)-sin^2(α)=2cos^2(α)-1=1-2sin^2(α)tan(2α)=2tanα/[1-tan^2(α)]·三倍角公式:sin(3α)=3sinα-4sin^3(α)co s(3α)=4cos^3(α)-3cosα·半角公式:sin(α/2)=±√((1-cosα)/2)cos(α/2)=±√((1+cosα)/2)tan(α/2)=±√((1-cosα)/(1+cosα))=sinα/(1+cosα)=(1-cosα)/sinα·降幂公式sin^2(α)=(1-cos(2α))/2=versin(2α)/2 cos^2(α)=(1+cos(2α))/2=covers(2α)/2 tan^2(α)=(1-cos(2α))/(1+cos(2α)) ·万能公式:sinα=2tan(α/2)/[1+tan^2(α/2)]cosα=[1-tan^2(α/2)]/[1+tan^2(α/2)] tanα=2tan(α/2)/[1-tan^2(α/2)] ·积化和差公式:sinα·cosβ=(1/2)[sin(α+β)+sin(α-β)] cosα·sinβ=(1/2)[sin(α+β)-sin(α-β)] cosα·cosβ=(1/2)[cos(α+β)+cos(α-β)] sinα·sinβ=-(1/2)[cos(α+β)-cos(α-β)] ·和差化积公式:sinα+sinβ=2sin[(α+β)/2]cos[(α-β)/2] sinα-sinβ=2cos[(α+β)/2]sin[(α-β)/2] cosα+cosβ=2cos[(α+β)/2]cos[(α-β)/2] cosα-cosβ=-2sin[(α+β)/2]sin[(α-β)/2] ·推导公式tanα+cotα=2/sin2αtanα-cotα=-2cot2α1+cos2α=2cos^2α1-cos2α=2sin^2α1+sinα=(sinα/2+cosα/2)^2·其他:sinα+sin(α+2π/n)+sin(α+2π*2/n)+sin(α+2π*3/n)+……+sin[α+2π*(n-1)/n]=0 cosα+cos(α+2π/n)+cos(α+2π*2/n)+cos(α+2π*3/n)+……+cos[α+2π*(n-1)/n]=0 以及sin^2(α)+sin^2(α-2π/3)+sin^2(α+2π/3)=3/2tanAtanBtan(A+B)+tanA+tanB-tan(A+B)=0三角函数的角度换算公式一:设α为任意角,终边相同的角的同一三角函数的值相等:sin(2kπ+α)=sinα cos(2kπ+α)=cosα tan(2kπ+α)=tanα cot(2kπ+α)=cotα公式二:设α为任意角,π+α的三角函数值与α的三角函数值之间的关系:sin(π+α)=-sinα cos(π+α)=-cosα tan(π+α)=tanα cot(π+α)=cotα公式三:任意角α与-α的三角函数值之间的关系:sin(-α)=-sinα cos(-α)=c osα tan(-α)=-tanα cot(-α)=-cotα公式四:利用公式二和公式三可以得到π-α与α的三角函数值之间的关系:sin(π-α)=sinα cos(π-α)=-cosα tan(π-α)=-tanα cot(π-α)=-cotα公式五:利用公式一和公式三可以得到2π-α与α的三角函数值之间的关系:sin(2π-α)=-sinα cos(2π-α)=cosα tan(2π-α)=-tanα cot(2π-α)=-cotα公式六:π/2±α及3π/2±α与α的三角函数值之间的关系: sin (π/2+α)=cosα cos (π/2+α)=-sinα tan (π/2+α)=-cotα cot (π/2+α)=-tanα sin (π/2-α)=cosα cos (π/2-α)=sinα tan (π/2-α)=cotα cot (π/2-α)=tanα sin (3π/2+α)=-cosα cos (3π/2+α)=sinα tan (3π/2+α)=-cotα cot (3π/2+α)=-tanα sin (3π/2-α)=-cosα cos (3π/2-α)=-sinα tan (3π/2-α)=cotα cot (3π/2-α)=tanα (以上k ∈Z)部分高等内容·高等代数中三角函数的指数表示(由泰勒级数易得):[][][][])()()()()()()()(tan 2cos 2sin ix ix ix ix ix ix ix ix e e e e x e e x i e e x +-=+=-=, , 泰勒展开有无穷级数:⋯++⋯+++++==!!4!3!2!11)ex p(432n zz z z z z e nz此时三角函数定义域已推广至整个复数集。
高等数学公式导数公式:根本积分表:三角函数的有理式积分:222212211cos 12sin ududx x tg u u u x u u x +==+-=+=, , , ax x a a a ctgx x x tgx x x x ctgx x tgx a x x ln 1)(log ln )(csc )(csc sec )(sec csc )(sec )(22='='⋅-='⋅='-='='222211)(11)(11)(arccos 11)(arcsin x arcctgx x arctgx x x x x +-='+='--='-='⎰⎰⎰⎰⎰⎰⎰⎰⎰⎰+±+=±+=+=+=+-=⋅+=⋅+-==+==Ca x x a x dx C shx chxdx C chx shxdx Ca a dx a Cx ctgxdx x Cx dx tgx x Cctgx xdx x dx C tgx xdx x dx xx)ln(ln csc csc sec sec csc sin sec cos 22222222C axx a dx C x a xa a x a dx C a x ax a a x dx C a xarctg a x a dx Cctgx x xdx C tgx x xdx Cx ctgxdx C x tgxdx +=-+-+=-++-=-+=++-=++=+=+-=⎰⎰⎰⎰⎰⎰⎰⎰arcsin ln 21ln 211csc ln csc sec ln sec sin ln cos ln 22222222⎰⎰⎰⎰⎰++-=-+-+--=-+++++=+-===-Cax a x a x dx x a Ca x x a a x x dx a x Ca x x a a x x dx a x I nn xdx xdx I n n nn arcsin 22ln 22)ln(221cos sin 2222222222222222222222ππ一些初等函数: 两个重要极限:三角函数公式: ·诱导公式:·和差角公式: ·和差化积公式:·倍角公式:2sin2sin 2cos cos 2cos2cos 2cos cos 2sin2cos 2sin sin 2cos2sin2sin sin βαβαβαβαβαβαβαβαβαβαβαβα-+=--+=+-+=--+=+αββαβαβαβαβαβαβαβαβαβαβαctg ctg ctg ctg ctg tg tg tg tg tg ±⋅=±⋅±=±=±±=±1)(1)(sin sin cos cos )cos(sin cos cos sin )sin( xxarthx x x archx x x arshx e e e e chx shx thx e e chx e e shx x xxx xx xx -+=-+±=++=+-==+=-=----11ln21)1ln(1ln(:2:2:22)双曲正切双曲余弦双曲正弦...590457182818284.2)11(lim 1sin lim 0==+=∞→→e xxx x x x·半角公式:ααααααααααααααααααcos 1sin sin cos 1cos 1cos 12cos 1sin sin cos 1cos 1cos 122cos 12cos 2cos 12sin -=+=-+±=+=-=+-±=+±=-±=ctg tg·正弦定理:R CcB b A a 2sin sin sin ===·余弦定理:C ab b a c cos 2222-+=·反三角函数性质:arcctgx arctgx x x -=-=2arccos 2arcsin ππ高阶导数公式——莱布尼兹〔Leibniz 〕公式:)()()()2()1()(0)()()(!)1()1(!2)1()(n k k n n n n nk k k n k n n uv v u k k n n n v u n n v nu v u v u C uv +++--++''-+'+==---=-∑中值定理与导数应用:拉格朗日中值定理。
高等数学公式导数公式:1(arcsin x )′=(tgx )=sec x ′21−x 2(ctgx )=−csc x ′21(arccos x )=−′(sec x )=sec x ⋅tgx ′1−x 2(csc x )=−csc x ⋅ctgx ′1+(arctgx )=′(a x )′=a x ln a1x 2111+x (log x )=′(arcctgx )′=−a 2x ln a基本积分表:∫tgxdx =−ln cos x +C dx ∫∫∫=sec 2xdx =tgx +C cos dx 2x ∫ctgxdx =ln sin x +C ∫=csc 2xdx =−ctgx +C∫sec xdx =ln sec x +tgx +C ∫csc xdx =ln csc x −ctgx +C 2sin x ∫sec x ⋅tgxdx =sec x +C ∫csc x ⋅ctgxdx =−csc x +Cdx +x dx1x∫∫∫∫=arctg +C a x a 2222a ax −a a x∫∫a xdx =+C 1ln a shxdx =chx +C==ln +C −a 2a x +a dx −x dx 1a +x ln +C ∫chxdx =shx +C 222a a −x dx x∫=ln(x +x 2±a )+C 2=arcsin +C 2±a 2a 2−x 2ax ππ22n −1∫∫I =sin n xdx =cos n xdx =I n −2n nx a 2∫x x a 222+a −a −x 222dx =dx =dx =x x a 222+a 222+−+ln(x +x 2+a −a 2)+C+C2x 2x 22a a 2∫∫−a −x ln x +x 2222x arcsin +C2a三角函数的有理式积分:2u ,cos x =1−u22x2du sin x =,u =tg ,dx =1+u 21+u 21+u 2一些初等函数:两个重要极限:xx −e −xsin x 双曲正弦:shx =e lim=12x →0x+e −x 1x 双曲余弦:chx =e lim(1+)=e =2.718281828459045 (2)x →∞xshx chx e x x −e −+e −xx 双曲正切:thx ==e arshx =ln(x +x 2+1)−1)archx =±ln(x +x 211+x1−xarthx =ln2三角函数公式:·诱导公式:函数sin cos tg ctg 角A -α-sin αcos α-tg α-ctg αcos αsin αctg αtg αcos α-sin α-ctg α-tg αsin α-cos α-tg α-ctg α-sin α-cos αtg αctg α-cos α-sin αctg αtg α-cos αsin α-ctg α-tg α-sin αcos α-tg α-ctg αsin αcos αtg αctg α90°-α90°+α180°-α180°+α270°-α270°+α360°-α360°+α·和差角公式:·和差化积公式:α+β2α−β2α−βsin(α±β)=sin αcos β±cos αsin βcos(α±β)=cos αcos βm sin αsin βsin α+sin β=2sincos sinα+βsin α−sin β=2cos cos α+cos β=2cos cos α−cos β=2sin tg α±tg β1m tg α⋅tg βtg (α±β)=22α+β2α−βcosctg α⋅ctg βm 1ctg β±ctg α2α−β2ctg (α±β)=α+βsin2·倍角公式:sin 2α=2sin αcos αsin3α=3sin α−4sin cos3α=4cos α−3cos α3tg α−tg 3αcos 2α=2cos 2α−1=1−2sin 2α=cos 2α−sin 2α3ctg 2α−12ctg α2tg αctg 2α=3αtg 3α=1−3tg α2tg 2α=1−tg α2·半角公式:αsin =±21−cos αα1+cos αcos =±222α1−cos α1−cos αsin α1+cos αα1+cos α1+cos αsin α1−cos αtg =±==ctg=±==21+cos αsin α21−cos αsin αa b c·正弦定理:===2R ·余弦定理:c 2a 2b 22ab cos C=+−sin A sin B sin C·反三角函数性质:arcsin x =π−arccos x arctgx =−arcctgx π22高阶导数公式——莱布尼兹(Leibniz )公式:n∑(uv )(n )=C n ku (n −k )(k )v k =0n (n −1)n (n −1)L (n −k +1)k !=u (n )v nu (n 1)v′++−u (n −2)v ′′+L +u (n −k )v (k )+L +uv (n )2!中值定理与导数应用:拉格朗日中值定理:f b f a b −a )()−()=′(ξ)(f()−()′(ξ)ff b f a 柯西中值定理:=()−()F ′(ξ)F b F a 当F(x )=x 时,柯西中值定理就是拉格朗日中值定理。