考研数学一公式手册大全(最新整理全面).pdf
- 格式:pdf
- 大小:892.28 KB
- 文档页数:35
第1章随机事件及其概率
我们作了次试验,且满足
每次试验只有两种可能结果,发生或不发生;
次试验是重复进行的,即发生的概率每次均一样;
每次试验是独立的,即每次试验发生与否与其他次试验发生与否是互不影
响的。
这种试验称为伯努利概型,或称为重伯努利试验。
用
表示每次试验发生的概率,
则发生的概率为,用
表示重伯努利试验中
出现次的概率,
,。
n A A n A A A n p A A q p =-1)(k P n n A )0(n k k ≤≤k
n k k
n n q p k P C -=)(n k ,,2,1,0 =
第二章随机变量及其分布
第三章二维随机变量及其分布
第四章随机变量的数字特征
2
(
x
f)
dx
,
dxdy
)dx
x f X )()]2dy
y f Y )()]2
第五章大数定律和中心极限定理
第六章样本及抽样分布
第七章参数估计
第八章假设检验
单正态总体均值和方差的假设检验
31。
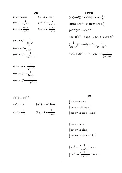
高等数学公式导数公式:基本积分表:三角函数的有理式积分:222212211cos 12sin u dudx x tg u u u x u u x +==+-=+=, , , ax x a a a ctgx x x tgx x x x ctgx x tgx a x x ln 1)(log ln )(csc )(csc sec )(sec csc )(sec )(22='='⋅-='⋅='-='='222211)(11)(11)(arccos 11)(arcsin x arcctgx x arctgx x x x x +-='+='--='-='⎰⎰⎰⎰⎰⎰⎰⎰⎰⎰+±+=±+=+=+=+-=⋅+=⋅+-==+==Ca x x a x dx C shx chxdx C chx shxdx Ca a dx a Cx ctgxdx x C x dx tgx x Cctgx xdx x dx C tgx xdx x dx xx)ln(ln csc csc sec sec csc sin sec cos 22222222C axx a dx C x a xa a x a dx C a x ax a a x dx C a xarctg a x a dx Cctgx x xdx C tgx x xdx Cx ctgxdx C x tgxdx +=-+-+=-++-=-+=++-=++=+=+-=⎰⎰⎰⎰⎰⎰⎰⎰arcsin ln 21ln 211csc ln csc sec ln sec sin ln cos ln 22222222⎰⎰⎰⎰⎰++-=-+-+--=-+++++=+-===-Cax a x a x dx x a Ca x x a a x x dx a x Ca x x a a x x dx a x I nn xdx xdx I n n nn arcsin 22ln 22)ln(221cos sin 2222222222222222222222ππ一些初等函数: 两个重要极限:三角函数公式: ·诱导公式:·和差角公式: ·和差化积公式:2sin2sin 2cos cos 2cos2cos 2cos cos 2sin2cos 2sin sin 2cos2sin2sin sin βαβαβαβαβαβαβαβαβαβαβαβα-+=--+=+-+=--+=+αββαβαβαβαβαβαβαβαβαβαβαctg ctg ctg ctg ctg tg tg tg tg tg ±⋅=±⋅±=±=±±=±1)(1)(sin sin cos cos )cos(sin cos cos sin )sin( xxarthx x x archx x x arshx e e e e chx shx thx e e chx e e shx x x xx xx xx -+=-+±=++=+-==+=-=----11ln21)1ln(1ln(:2:2:22)双曲正切双曲余弦双曲正弦...590457182818284.2)11(lim 1sin lim 0==+=∞→→e xxx x x x·倍角公式:·半角公式:ααααααααααααααααααcos 1sin sin cos 1cos 1cos 12cos 1sin sin cos 1cos 1cos 122cos 12cos 2cos 12sin -=+=-+±=+=-=+-±=+±=-±=ctg tg·正弦定理:R CcB b A a 2sin sin sin === ·余弦定理:C ab b a c cos 2222-+=·反三角函数性质:arcctgx arctgx x x -=-=2arccos 2arcsin ππ高阶导数公式——莱布尼兹(Leibniz )公式:)()()()2()1()(0)()()(!)1()1(!2)1()(n k k n n n n nk k k n k n n uv v u k k n n n v u n n v nu v u v u C uv +++--++''-+'+==---=-∑中值定理与导数应用:拉格朗日中值定理。
1高等数学高中公式三角函数公式和差角公式 和差化积公式sin()sin cos cos sin cos()cos cos sin sin ()11()tg tg tg tg tg ctg ctg ctg ctg ctg αβαβαβαβαβαβαβαβαβαβαββα±=±±=±±=⋅⋅±=±sin sin 2sin cos 22sin sin 2cos sin 22cos cos 2cos cos 22cos cos -2sin sin22αβαβαβαβαβαβαβαβαβαβαβαβ+-+=+--=+-+=+--= 积化和差公式 倍角公式1sin cos [sin()sin()]21cos sin [sin()sin()]21cos cos [cos()cos()]21sin sin [cos()cos()]2αβαβαβαβαβαβαβαβαβαβαβαβ=++-=+--=++-=-+--22222222233322tan sin 22sin cos 1tan cos 22cos 112sin 1tan cos sin 1tan 212 212sin 33sin 4sin cos34cos 3cos 3313tg ctg tg ctg tg ctg tg tg tg tg αααααααααααααααααααααααααααα==+=-=--=-=+-==-=-=--=- 半角公式sincos 221cos sin 2sin 1cos 1cos sin 2sin 1cos tg ctgαααααααααααα==-==++==- 11V =SH V =SH V =)33'棱柱棱锥棱台 球的表面积:4πR 2球的体积:343R π椭圆面积:πab 椭球的体积:43abc π第1章 极限与连续1.1集合、映射、函数空集,子集,有限集,无限集,可列集,积集,区间,邻域,上界,下界,上有界集,下有界集,无界集,上确界,下确界确界存在定理:凡有上(下)界的非空数集必有有限的上(下)确界。
考研高等数学公式手册高等数学复习公式kaoyan高等数学公式导数公式:2(tgx)??secx(ctgx)???cscx(secx)??secx?tg x(cscx)???cscx?ctgx(a)??alna(logaxx2(arc sinx)??(arccosx)???(arctgx)??11?x11?x11? x222x)??1xlna(arcctgx)???11?x2基本积分表:?tgxdx?ctgxdx?sec?a?x?a???ln cosx?C?lnsinx?C?cos?sindx2xx???sec?csc 2xdx?tgx?Cxdx??ctgx?Cdx22xdx?lnsecx?t gx?C?cscxdx?lncscx?ctgx?Cdx2?secx?tgx dx?cscx?ctgxdx?ax?secx?C??cscx?C?C?x dx?adx?xdx22???1a1arctglnlnxa?C?C?Cx ?ax?aa?xa?xxadx?axlna222a12a?shxdx?ch xdx??2?chx?C?shx?C?ln(x?x?a)?C2222a? x2?arcsin?Cdxx?a22?2In??sin02nxdx??co sxdx?0nn?1naaa2In?2x?a)?Cx?axa?C2222 ???2u1?ux?adx?x?adx?a?xdx?22222x2x2x 2x?a?x?a?a?x?22222222ln(x?lnx?arcsin22?C2三角函数的有理式积分:sinx?,cosx?21?u1?u2,u?tg2x2,dx?2du1?u2 第 1 页共15 页高等数学复习公式一些初等函数:两个重要极限:e?e2e?e2shxchx2x?xx?x双曲正弦:shx?双曲余弦:chx?双曲正切:thx?arshx?ln(x?archx??ln(x?arthx?12ln 1?x1?xlimsinxx1xx?0?1)?e? 59045...lim(1?x???e?ee?exx?x?xx?1)x?1)2三角函数公式:·诱导公式:函数角A -α 90°-α 90°+α 180°-α 180°+α 270°-α 270°+α 360°-α 360°+α sin cos tg -tgα ctgα ctg -ctgα tgα -ctgα ctgα tgα -ctgα ctgα -sinα cosα cosα cosα sinα sinα -sinα -ctgα -tgα -cosα -tgα -sinα -cosα tgα -cosα -sinα ctgα -cosα sinα -sinα cosα sinα cosα -tgα tgα -ctgα -tgα ·和差角公式:·和差化积公式:sin(???)?sin?cos??cos?sin?cos(???)?cos?c os??sin?sin?tg(???)?tg??tg?1?tg??tg?ctg?? ctg??1ctg??ctg?sin??sin??2sinsin??sin??2cos???2cossin???2???2???2cos??cos??2cos cos??cos??2sin???2cossin???2ctg(???)???? 2???2 第 2 页共15 页高等数学复习公式·倍角公式:sin2??2sin?cos?cos2??2cos??1?1?2sin??co s??sin?ctg2??tg2??ctg??12ctg?2tg?1?tg?2 22222sin3??3sin??4sin?cos3??4cos??3cos ?tg3??3tg??tg?1?3tg?2333 ·半角公式:sintg?2????1?cos?21?cos?1?cos?asinA 1?cos?sin?bsinB?cosctg?2??1?cos?21?cos?1?cos?22 ?1?c os?sin?2?2??csin?1?cos??2???sin?1?cos?·正弦定理:?sinC?2R·余弦定理:c?a?b?2abcosC ·反三角函数性质:arcsinx??2?arccosxarctgx??2?arcctgx 高阶导数公式——莱布尼兹公式:n(uv)?u(n)??Ck?0knu(n?k)v(k)(n)v?nu(n?1)v??n(n?1)2!u(n?2)v?????n(n?1)?(n?k?1)k! u(n?k)v(k)???uv(n)中值定理与导数应用:拉格朗日中值定理:柯西中值定理:f(b)?f(a)?f?(?)(b?a)?f?(?)F?(?)拉格朗日中值定理。
高等数学公式导数公式:基本积分表:三角函数的有理式积分:222212211cos 12sin u dudx x tg u u u x u u x +==+-=+=, , , ax x a a a ctgx x x tgx x x x ctgx x tgx a x x ln 1)(log ln )(csc )(csc sec )(sec csc )(sec )(22='='⋅-='⋅='-='='222211)(11)(11)(arccos 11)(arcsin x arcctgx x arctgx x x x x +-='+='--='-='⎰⎰⎰⎰⎰⎰⎰⎰⎰⎰+±+=±+=+=+=+-=⋅+=⋅+-==+==Ca x x a x dx C shx chxdx C chx shxdx Ca a dx a Cx ctgxdx x C x dx tgx x Cctgx xdx x dx C tgx xdx x dx xx)ln(ln csc csc sec sec csc sin sec cos 22222222C axx a dx C x a xa a x a dx C a x ax a a x dx C a xarctg a x a dx Cctgx x xdx C tgx x xdx Cx ctgxdx C x tgxdx +=-+-+=-++-=-+=++-=++=+=+-=⎰⎰⎰⎰⎰⎰⎰⎰arcsin ln 21ln 211csc ln csc sec ln sec sin ln cos ln 22222222⎰⎰⎰⎰⎰++-=-+-+--=-+++++=+-===-Cax a x a x dx x a Ca x x a a x x dx a x Ca x x a a x x dx a x I nn xdx xdx I n n nn arcsin 22ln 22)ln(221cos sin 2222222222222222222222ππ一些初等函数: 两个重要极限:三角函数公式: ·诱导公式:·和差角公式: ·和差化积公式:2sin2sin 2cos cos 2cos2cos 2cos cos 2sin2cos 2sin sin 2cos2sin2sin sin βαβαβαβαβαβαβαβαβαβαβαβα-+=--+=+-+=--+=+αββαβαβαβαβαβαβαβαβαβαβαctg ctg ctg ctg ctg tg tg tg tg tg ±⋅=±⋅±=±=±±=±1)(1)(sin sin cos cos )cos(sin cos cos sin )sin( xxarthx x x archx x x arshx e e e e chx shx thx e e chx e e shx x x xx xx xx -+=-+±=++=+-==+=-=----11ln21)1ln(1ln(:2:2:22)双曲正切双曲余弦双曲正弦...590457182818284.2)11(lim 1sin lim 0==+=∞→→e xxx x x x·倍角公式:·半角公式:ααααααααααααααααααcos 1sin sin cos 1cos 1cos 12cos 1sin sin cos 1cos 1cos 122cos 12cos 2cos 12sin -=+=-+±=+=-=+-±=+±=-±=ctg tg·正弦定理:R CcB b A a 2sin sin sin === ·余弦定理:C ab b a c cos 2222-+=·反三角函数性质:arcctgx arctgx x x -=-=2arccos 2arcsin ππ高阶导数公式——莱布尼兹(Leibniz )公式:)()()()2()1()(0)()()(!)1()1(!2)1()(n k k n n n n nk k k n k n n uv v u k k n n n v u n n v nu v u v u C uv +++--++''-+'+==---=-∑中值定理与导数应用:拉格朗日中值定理。
考研高等数学公式(word版,全面)中国大学生第一门户一大户高等数学公式导数公式:(tgx)??sec2x(ctgx)???csc2x(secx)??secx?t gx(cscx)???cscx?ctgx(ax)??axlna1(logax)? ?xlna基本积分表:(arcsinx)??11?x21(arccosx)???1?x21(arctg x)??1?x21(arcctgx)???1?x2?tgxdx??lncosx ?C?ctgxdx?lnsinx?C?secxdx?lnsecx?tgx? C?cscxdx?lncscx?ctgx?Cdx1x?arctg?C?a2 ?x2aadx1x?a?ln?x2?a22ax?a?Cdx1a?x??a 2?x22alna?x?Cdxx?arcsin?C?a2?x2a?2nd x2?cos2x??secxdx?tgx?Cdx2?sin2x??cscx dx??ctgx?C?secx?tgxdx?secx?C?cscx?ctg xdx??cscx?Cax?adx?lna?Cx?shxdx?chx?C ?chxdx?shx?C?dxx2?a2?ln(x?x2?a2)?C?2I n??sinxdx??cosnxdx?00n?1In?2n???x2a22 x?adx?x?a?ln(x?x2?a2)?C22x2a2222x?ad x?x?a?lnx?x2?a2?C22x2a2x222a?xdx?a?x?arcsin?C22a22三角函数的有理式积分:2u1?u2x2dusinx?,cosx?,u?tg,dx? 21?u21?u21?u2中国大学生第一门户中国大学生第一门户一大户一些初等函数:两个重要极限:ex?e?x双曲正弦:shx?2ex?e?x双曲余弦:chx?2shxex?e?x双曲正切:thx??chxex?e?xarshx?ln(x?x2?1)archx??ln(x?x2?1)11?xarthx?ln21?x三角函数公式:·诱导公式:函数角A -α 90°-α 90°+α 180°-α 180°+α 270°-α 270°+α 360°-α 360°+α sinx lim?1x?0x 1 lim(1?)x?e?..x?? x sin cos tg -tgα ctgα ctg -ctgα tgα -ctgα ctgα tgα -ctgα ctgα -sinα cosα cosα cosα sinα sinα -sinα -ctgα -tgα -cosα -tgα -sinα -cosα tgα -cosα -sinα ctgα -cosα sinα -sinα cosα sinα cosα -tgα tgα -ctgα -tgα ·和差角公式:·和差化积公式:sin(???)?sin?cos??cos?sin?cos(???)?cos?c os??sin?sin?tg(???)?tg??tg?1?tg??tg?ctg??ctg??1ctg(???)?ctg??ctg?sin??sin??2sin??? 22??????sin??sin??2cossin22??????cos??c os??2coscos22??????cos??cos??2sinsin22 cos??? 中国大学生第一门户中国大学生第一门户一大户·倍角公式:sin2??2sin?cos?cos2??2cos2??1?1?2sin2? ?cos2??sin2?ctg2??1ctg2??2ctg?2tg?tg2?? 1?tg2? ·半角公式:sin3??3sin??4sin3?cos3??4cos3??3cos?3tg ??tg3?tg3??1?3tg2?sintg?2????1?cos??1?c os?cos??2221?cos?1?cos?sin??1?cos?1?cos?s in???ctg????1?cos?sin?1?cos?21?cos?sin?1?cos ?abc???2R·余弦定理:c2?a2?b2?2abcosCsinAsinBsinC?2 ·正弦定理:·反三角函数性质:arcsinx??2?arccosxarctgx??2?arcctgx 高阶导数公式——莱布尼兹公式:(uv)(n)k(n?k)(k)??Cnuvk?0n?u(n)v?nu(n?1)v??n(n?1)(n?2)n(n?1)?(n?k?1)(n?k)(k)u v?????uv???uv(n)2!k! 中值定理与导数应用:拉格朗日中值定理:f(b)?f(a)?f?(?)(b?a)f(b)?f(a)f?(?)柯西中值定理:?F(b)?F(a)F?(?)曲率:当F(x)?x时,柯西中值定理就是拉格朗日中值定理。
考研数学公式(全) ·平方关系:sin^2(α)+cos^2(α)=1tan^2(α)+1=sec^2(α)cot^2(α)+1=csc^2(α)·积的关系:sinα=tanα*cosαcosα=cotα*sinαtanα=sinα*secαcotα=cosα*cscαsecα=tanα*cscαcscα=secα*cotα·倒数关系:tanα·cotα=1sinα·cscα=1cosα·secα=1直角三角形ABC中,角A的正弦值就等于角A的对边比斜边,余弦等于角A的邻边比斜边正切等于对边比邻边,·三角函数恒等变形公式·两角和与差的三角函数:cos(α+β)=cosα·cosβ-sinα·sinβcos(α-β)=cosα·cosβ+sinα·sinβsin(α±β)=sinα·cosβ±cosα·sinβtan(α+β)=(tanα+tanβ)/(1-tanα·tanβ)tan(α-β)=(tanα-tanβ)/(1+tanα·tanβ)·三角和的三角函数:sin(α+β+γ)=sinα·cosβ·cosγ+cosα·sinβ·cosγ+cosα·cosβ·sinγ-sinα·sinβ·sinγ cos(α+β+γ)=cosα·cosβ·cosγ-cosα·sinβ·sinγ-sinα·cosβ·sinγ-sinα·sinβ·cosγ tan(α+β+γ)=(tanα+tanβ+tanγ-tanα·tanβ·tanγ)/(1-tanα·tanβ-tanβ·tanγ-tanγ·tan α)·辅助角公式:Asinα+Bcosα=(A^2+B^2)^(1/2)sin(α+t),其中sint=B/(A^2+B^2)^(1/2)cost=A/(A^2+B^2)^(1/2)tant=B/AAsinα+Bcosα=(A^2+B^2)^(1/2)cos(α-t),tant=A/B·倍角公式:sin(2α)=2sinα·cosα=2/(tanα+cotα)cos(2α)=cos^2(α)-sin^2(α)=2cos^2(α)-1=1-2sin^2(α)tan(2α)=2tanα/[1-tan^2(α)]·三倍角公式:sin(3α)=3sinα-4sin^3(α)cos(3α)=4cos^3(α)-3cosα·半角公式:sin(α/2)=±√((1-cosα)/2)cos(α/2)=±√((1+cosα)/2)tan(α/2)=±√((1-cosα)/(1+cosα))=sinα/(1+cosα)=(1-cosα)/sinα·降幂公式sin^2(α)=(1-cos(2α))/2=versin(2α)/2cos^2(α)=(1+cos(2α))/2=covers(2α)/2tan^2(α)=(1-cos(2α))/(1+cos(2α))·万能公式:sinα=2tan(α/2)/[1+tan^2(α/2)]cosα=[1-tan^2(α/2)]/[1+tan^2(α/2)] tanα=2tan(α/2)/[1-tan^2(α/2)]·积化和差公式:sinα·cosβ=(1/2)[sin(α+β)+sin(α-β)] cosα·sinβ=(1/2)[sin(α+β)-sin(α-β)] cosα·cosβ=(1/2)[cos(α+β)+cos(α-β)] sinα·sinβ=-(1/2)[cos(α+β)-cos(α-β)]·和差化积公式:sinα+sinβ=2sin[(α+β)/2]cos[(α-β)/2] sinα-sinβ=2cos[(α+β)/2]sin[(α-β)/2] cosα+cosβ=2cos[(α+β)/2]cos[(α-β)/2] cosα-cosβ=-2sin[(α+β)/2]sin[(α-β)/2]·推导公式tanα+cotα=2/sin2αtanα-cotα=-2cot2α1+cos2α=2cos^2α1-cos2α=2sin^2α1+sinα=(sinα/2+cosα/2)^2·其他:sinα+sin(α+2π/n)+sin(α+2π*2/n)+sin(α+2π*3/n)+……+sin[α+2π*(n-1)/n]=0 cosα+cos(α+2π/n)+cos(α+2π*2/n)+cos(α+2π*3/n)+……+cos[α+2π*(n-1)/n]=0 以及sin^2(α)+sin^2(α-2π/3)+sin^2(α+2π/3)=3/2tanAtanBtan(A+B)+tanA+tanB-tan(A+B)=0三角函数的角度换算[编辑本段]公式一:设α为任意角,终边相同的角的同一三角函数的值相等:sin(2kπ+α)=sinαcos(2kπ+α)=cosαtan(2kπ+α)=tanαcot(2kπ+α)=cotα公式二:设α为任意角,π+α的三角函数值与α的三角函数值之间的关系:sin(π+α)=-sinαcos(π+α)=-cosαtan(π+α)=tanαcot(π+α)=cotα公式三:任意角α与-α的三角函数值之间的关系:sin(-α)=-sinαcos(-α)=cosαtan(-α)=-tanαcot(-α)=-cotα公式四:利用公式二和公式三可以得到π-α与α的三角函数值之间的关系:sin(π-α)=sinαcos(π-α)=-cosαtan(π-α)=-tanαcot(π-α)=-cotα公式五:利用公式一和公式三可以得到2π-α与α的三角函数值之间的关系:sin(2π-α)=-sinαcos(2π-α)=cosαtan(2π-α)=-tanαcot(2π-α)=-cotα公式六:π/2±α及3π/2±α与α的三角函数值之间的关系:sin(π/2+α)=cosαcos(π/2+α)=-sinαtan(π/2+α)=-cotαcot(π/2+α)=-tanαsin(π/2-α)=cosαcos(π/2-α)=sinαtan(π/2-α)=cotαcot(π/2-α)=tanαsin(3π/2+α)=-cosαcos(3π/2+α)=sinαtan(3π/2+α)=-cotαcot(3π/2+α)=-tanαsin(3π/2-α)=-cosαcos(3π/2-α)=-sinαtan(3π/2-α)=cotαcot(3π/2-α)=tanα(以上k∈Z)部分高等内容[编辑本段]·高等代数中三角函数的指数表示(由泰勒级数易得):sinx=[e^(ix)-e^(-ix)]/(2i) cosx=[e^(ix)+e^(-ix)]/2tanx=[e^(ix)-e^(-ix)]/[ie^(ix)+ie^(-ix)]泰勒展开有无穷级数,e^z=exp(z)=1+z/1!+z^2/2!+z^3/3!+z^4/4!+…+z^n/n!+…此时三角函数定义域已推广至整个复数集。
考研数学公式三角函数公式两角和公式sin(A+B) = sinAcosB+cosAsinB sin(A-B) = sinAcosB-cosAsinB cos(A+B) = cosAcosB-sinAsinB cos(A-B) = cosAcosB+sinAsinBtan(A+B) =tanAtanB -1tanB tanA + tan(A-B) =tanAtanB 1tanBtanA +-cot(A+B) =cotA cotB 1-cotAcotB + cot(A-B) =cotAcotB 1cotAcotB -+倍角公式tan2A =Atan 12tanA2- Sin2A=2SinA•CosACos2A = Cos 2A-Sin 2A=2Cos 2A-1=1-2sin 2A三倍角公式sin3A = 3sinA-4(sinA)3 cos3A = 4(cosA)3-3cosAtan3a = tana ·tan(3π+a)·tan(3π-a)半角公式 sin(2A )=2cos 1A - cos(2A )=2cos 1A + tan(2A )=A A cos 1cos 1+- cot(2A )=AA cos 1cos 1-+ tan(2A )=A A sin cos 1-=A A cos 1sin + 和差化积sina+sinb=2sin2b a +cos 2b a - sina-sinb=2cos 2b a +sin 2ba - cosa+cosb = 2cos 2b a +cos 2b a - cosa-cosb = -2sin 2b a +sin 2ba -tana+tanb=ba b a cos cos )sin(+积化和差Sina sinb = -21[cos(a+b)-cos(a-b)] Cosa cosb = 21[cos(a+b)+cos(a-b)]Sina cosb = 21[sin(a+b)+sin(a-b)] Cosa sinb = 21[sin(a+b)-sin(a-b)]诱导公式sin(-a) = -sina cos(-a) = cosa sin(2π-a) = cosa cos(2π-a) = sina sin(2π+a) = cosa cos(2π+a) = -sina sin(π-a) = sina cos(π-a) = -cosa sin(π+a) = -sina cos(π+a) = -cosa tgA=tanA =aacos sin万能公式sina=2)2(tan 12tan 2a a + cosa=22)2(tan 1)2(tan 1a a +- tana=2)2(tan 12tan2aa - 其它公式a•sina+b•cosa=)b (a 22+×sin(a+c) [其中tanc=ab]a•sin(a)-b•cos(a) = )b (a 22+×cos(a-c) [其中tan(c)=ba]1+sin(a) =(sin 2a +cos 2a )2 1-sin(a) = (sin 2a -cos 2a)2其他非重点三角函数 csc(a) =a sin 1 sec(a) =acos 1双曲函数sinh(a)=2e -e -a a cosh(a)=2e e -a a + tg h(a)=)cosh()sinh(a a公式一:设α为任意角,终边相同的角的同一三角函数的值相等: sin (2kπ+α)= sinα cos (2kπ+α)= cosα tan (2kπ+α)= tanα cot (2kπ+α)= cotα 公式二:设α为任意角,π+α的三角函数值与α的三角函数值之间的关系: sin (π+α)= -sinα cos (π+α)= -cosα tan (π+α)= tanα cot (π+α)= cotα 公式三:任意角α与 -α的三角函数值之间的关系: sin (-α)= -sinα cos (-α)= cosα tan (-α)= -tanα cot (-α)= -cotα 公式四:利用公式二和公式三可以得到π-α与α的三角函数值之间的关系: sin (π-α)= sinα cos (π-α)= -cosα tan (π-α)= -tanα cot (π-α)= -cotα 公式五:利用公式-和公式三可以得到2π-α与α的三角函数值之间的关系: sin (2π-α)= -sinα cos (2π-α)= cosα tan (2π-α)= -tanα cot (2π-α)= -cotα 公式六: 2π±α及23π±α与α的三角函数值之间的关系: sin (2π+α)= cosα cos (2π+α)= -sinα tan (2π+α)= -cotα cot (2π+α)= -tanαsin (2π-α)= cosα cos (2π-α)= sinα tan (2π-α)= cotα cot (2π-α)= tanαsin (23π+α)= -cosα cos (23π+α)= sinα tan (23π+α)= -cotα cot (23π+α)= -tanαsin (23π-α)= -cosα cos (23π-α)= -sinα tan (23π-α)= cotα cot (23π-α)= tanα(以上k ∈Z)A•sin(ωt+θ)+ B•sin(ωt+φ) =)cos(222ϕθ⋅++AB B A ×sin)cos(2)Bsin in arcsin[(As t 22ϕθϕθω⋅++++AB B A高等数学公式导数公式:基本积分表:三角函数的有理式积分:ax x a a a x c x x x t x x x x c x x t a x x ln 1)(log ln )(ot csc )(csc an sec )(sec csc )ot (sec )an (22='='⋅-='⋅='-='='222211)an (11)an (11)(arccos 11)(arcsin x x arcct x x arct x x x x +-='+='--='-='⎰⎰⎰⎰⎰⎰⎰⎰⎰⎰+±+=±+=+=+=+-=⋅+=⋅+-==+==Ca x x a x dx C shx chxdx C chx shxdx Ca a dx a Cx xdx x C x dx x x Cx xdx x dx C x t xdx x dx xx)ln(ln csc cot csc sec tan sec cot csc sin an sec cos 22222222C axx a dx C x a xa a x a dx C a x ax a a x dx C a xarct a x a dx Cx c x xdx C x t x xdx Cx xdx c C x xdx t +=-+-+=-++-=-+=++-=++=+=+-=⎰⎰⎰⎰⎰⎰⎰⎰arcsin ln 21ln 21an 1ot csc ln csc an sec ln sec sin ln ot cos ln an 22222222⎰⎰⎰⎰⎰++-=-+-+--=-+++++=+-===-Cax a x a x dx x a Ca x x a a x x dx a x Ca x x a a x x dx a x I nn xdx xdx I n n nn arcsin 22ln 22)ln(221cos sin 2222222222222222222222ππ2222122tan 11cos 12sin ududx x u u u x u u x +==+-=+=, , , 一些初等函数: 两个重要极限:三角函数公式: ·诱导公式:函数 角A sincos tan cot-α -sinα cosα -tanα -cotα 90°-α cosα sinαco tαtanα90°+α cosα -sinα -cotα -tanα 180°-α sinα-cosα -tanα -cotα180°+α -sinα -cosα tanα cotα 270°-α -cosα -sinα cotα tanα270°+α -cosα sinα -cotα -tanα 360°-α -sinα cosα -tanα -cotα 360°+αsinαcosαtanαcotα·和差角公式: ·和差化积公式:·倍角公式:2sin2sin 2cos cos 2cos2cos 2cos cos 2sin2cos 2sin sin 2cos2sin2sin sin βαβαβαβαβαβαβαβαβαβαβαβα-+=--+=+-+=--+=+αββαβαβαβαβαβαβαβαβαβαβαcot cot 1cot cot )cot(tan tan 1tan tan )(tan sin sin cos cos )cos(sin cos cos sin )sin(±⋅=±⋅±=±=±±=± xxarthx x x archx x x arshx e e e e chx shx thx e e chx ee shx x xxx xx xx -+=-+±=++=+-==+=-=----11ln21)1ln(1ln(:2:2:22)双曲正切双曲余弦双曲正弦...590457182818284.2)11(lim 1sin lim 0==+=∞→→e xxx x x xαααααααα2222sin cos sin 211cos 22cos cos sin 22sin -=-=-== αααcot 21cot 2ot 2-=cαααααα32sin 4sin 33sin tan 1tan 22tan -=-=ααααααα233tan 31tan tan 33tan cos 3cos 43cos --=-=·半角公式:ααααααααααααααααααcos 1sin sin cos 1cos 1cos 12cot cos 1sin sin cos 1cos 1cos 12tan2cos 12cos 2cos 12sin -=+=-+±=+=-=+-±=+±=-±= ·正弦定理:R CcB b A a 2sin sin sin === ·余弦定理:C ab b a c cos 2222-+=·反三角函数性质:x arcc x arct x x ot 2an arccos 2arcsin -=-=ππ高阶导数公式——莱布尼兹(Leibniz )公式:)()()()2()1()(0)()()(!)1()1(!2)1()(n k k n n n n nk k k n k n n uv v u k k n n n v u n n v nu v u v u C uv +++--++''-+'+==---=-∑中值定理与导数应用:拉格朗日中值定理。
高等数学公式导数公式:基本积分表:三角函数的有理式积分:222212211cos 12sin u dudx x tg u u u x u u x +==+-=+=, , , ax x a a a ctgx x x tgx x x x ctgx x tgx a x x ln 1)(log ln )(csc )(csc sec )(sec csc )(sec )(22='='⋅-='⋅='-='='222211)(11)(11)(arccos 11)(arcsin x arcctgx x arctgx x x x x +-='+='--='-='⎰⎰⎰⎰⎰⎰⎰⎰⎰⎰+±+=±+=+=+=+-=⋅+=⋅+-==+==Ca x x a x dx C shx chxdx C chx shxdx Ca a dx a Cx ctgxdx x C x dx tgx x Cctgx xdx x dx C tgx xdx x dx xx)ln(ln csc csc sec sec csc sin sec cos 22222222C axx a dx C x a xa a x a dx C a x ax a a x dx C a xarctg a x a dx Cctgx x xdx C tgx x xdx Cx ctgxdx C x tgxdx +=-+-+=-++-=-+=++-=++=+=+-=⎰⎰⎰⎰⎰⎰⎰⎰arcsin ln 21ln 211csc ln csc sec ln sec sin ln cos ln 22222222⎰⎰⎰⎰⎰++-=-+-+--=-+++++=+-===-Cax a x a x dx x a Ca x x a a x x dx a x Ca x x a a x x dx a x I nn xdx xdx I n n nn arcsin 22ln 22)ln(221cos sin 2222222222222222222222ππ一些初等函数: 两个重要极限:三角函数公式: ·诱导公式:xxarthx x x archx x x arshx e e e e chx shx thx e e chx e e shx x x xx xx xx -+=-+±=++=+-==+=-=----11ln21)1ln(1ln(:2:2:22)双曲正切双曲余弦双曲正弦...590457182818284.2)11(lim 1sin lim0==+=∞→→e xxxx x x·和差角公式: ·和差化积公式:2sin2sin 2cos cos 2cos2cos 2cos cos 2sin2cos 2sin sin 2cos2sin2sin sin βαβαβαβαβαβαβαβαβαβαβαβα-+=--+=+-+=--+=+αββαβαβαβαβαβαβαβαβαβαβαctg ctg ctg ctg ctg tg tg tg tg tg ±⋅=±⋅±=±=±±=±1)(1)(sin sin cos cos )cos(sin cos cos sin )sin(·倍角公式:·半角公式:ααααααααααααααααααcos 1sin sin cos 1cos 1cos 12cos 1sin sin cos 1cos 1cos 122cos 12cos 2cos 12sin -=+=-+±=+=-=+-±=+±=-±=ctg tg·正弦定理:R CcB b A a 2sin sin sin === ·余弦定理:C ab b a c cos 2222-+=·反三角函数性质:arcctgx arctgx x x -=-=2arccos 2arcsin ππ高阶导数公式——莱布尼兹(Leibniz )公式:)()()()2()1()(0)()()(!)1()1(!2)1()(n k k n n n n nk k k n k n n uv v u k k n n n v u n n v nu v u v u C uv +++--++''-+'+==---=-∑中值定理与导数应用:拉格朗日中值定理。
考研数学一公式大全pdf
一、矩阵的基本概念
1、矩阵的定义:
矩阵(Matrix)是一系列的数(或元素)组成的结构,它们以行或列
的形式排列在一起。
一般来说,矩阵由行数和列数决定,表示为m×n,
表示矩阵存有m行n列的元素。
2、矩阵的转置:
矩阵的转置是指把原矩阵的行变成列,把原矩阵的列变成行,得到一
个新的矩阵,新矩阵就是原矩阵的转置。
3、矩阵的乘法:
矩阵的乘法是表示两个矩阵A、B相乘的运算,它的结果是一个另一
个矩阵C=AB,它的行数和列数分别等于原矩阵A的行数和矩阵B的列数。
4、单位矩阵:
单位矩阵又称为单位阵,它是一个方阵,它的元素对角线位置为1,
其他位置的元素值均为0,它具有特殊性质:对于任意矩阵都有
A×I=I×A=A。
二、行列式的基本概念
1、行列式的定义:
行列式是一种数字结构,由m*n矩阵中的m行n列元素组成,表示为,A,其中A为给定的一个m×n矩阵。
2、行列式的计算:
当矩阵的行数和列数大于二时,可以用行列式的拆分法来计算:(1)根据矩阵A的第一行元素,将矩阵A分解为多个小矩阵
(2)按照未知数的符号,计算每个小矩阵的行列式
(3)把计算的行列式结果相乘。
高等数学公式导数公式:基本积分表:三角函数的有理式积分:222212211cos 12sin u dudx x tg u u u x u u x +==+-=+=, , , ax x a a a ctgx x x tgx x x x ctgx x tgx a x x ln 1)(log ln )(csc )(csc sec )(sec csc )(sec )(22='='⋅-='⋅='-='='222211)(11)(11)(arccos 11)(arcsin x arcctgx x arctgx x x x x +-='+='--='-='⎰⎰⎰⎰⎰⎰⎰⎰⎰⎰+±+=±+=+=+=+-=⋅+=⋅+-==+==Ca x x a x dx C shx chxdx C chx shxdx Ca a dx a Cx ctgxdx x C x dx tgx x Cctgx xdx x dx C tgx xdx x dx xx)ln(ln csc csc sec sec csc sin sec cos 22222222C axx a dx C x a xa a x a dx C a x ax a a x dx C a xarctg a x a dx Cctgx x xdx C tgx x xdx Cx ctgxdx C x tgxdx +=-+-+=-++-=-+=++-=++=+=+-=⎰⎰⎰⎰⎰⎰⎰⎰arcsin ln 21ln 211csc ln csc sec ln sec sin ln cos ln 22222222⎰⎰⎰⎰⎰++-=-+-+--=-+++++=+-===-Cax a x a x dx x a Ca x x a a x x dx a x Ca x x a a x x dx a x I nn xdx xdx I n n nn arcsin 22ln 22)ln(221cos sin 2222222222222222222222ππ一些初等函数: 两个重要极限:三角函数公式: ·诱导公式:·和差角公式: ·和差化积公式:2sin2sin 2cos cos 2cos2cos 2cos cos 2sin2cos 2sin sin 2cos2sin2sin sin βαβαβαβαβαβαβαβαβαβαβαβα-+=--+=+-+=--+=+αββαβαβαβαβαβαβαβαβαβαβαctg ctg ctg ctg ctg tg tg tg tg tg ±⋅=±⋅±=±=±±=±1)(1)(sin sin cos cos )cos(sin cos cos sin )sin( xxarthx x x archx x x arshx e e e e chx shx thx e e chx e e shx x x xx xx xx -+=-+±=++=+-==+=-=----11ln21)1ln(1ln(:2:2:22)双曲正切双曲余弦双曲正弦...590457182818284.2)11(lim 1sin lim 0==+=∞→→e xxx x x x·倍角公式:·半角公式:ααααααααααααααααααcos 1sin sin cos 1cos 1cos 12cos 1sin sin cos 1cos 1cos 122cos 12cos 2cos 12sin -=+=-+±=+=-=+-±=+±=-±=ctg tg·正弦定理:R CcB b A a 2sin sin sin === ·余弦定理:C ab b a c cos 2222-+=·反三角函数性质:arcctgx arctgx x x -=-=2arccos 2arcsin ππ高阶导数公式——莱布尼兹(Leibniz )公式:)()()()2()1()(0)()()(!)1()1(!2)1()(n k k n n n n nk k k n k n n uv v u k k n n n v u n n v nu v u v u C uv +++--++''-+'+==---=-∑中值定理与导数应用:拉格朗日中值定理。
时,柯西中值定理就是当柯西中值定理:拉格朗日中值定理:x x F f a F b F a f b f a b f a f b f =''=---'=-)(F )()()()()()())(()()(ξξξ曲率:.1;0.)1(lim M s M M :.,13202aK a K y y ds d s K M M sK tg y dx y ds s =='+''==∆∆='∆'∆∆∆==''+=→∆的圆:半径为直线:点的曲率:弧长。
:化量;点,切线斜率的倾角变点到从平均曲率:其中弧微分公式:ααααααααααααααα23333133cos 3cos 43cos sin 4sin 33sin tg tg tg tg --=-=-=αααααααααααααα222222122212sin cos sin 211cos 22cos cos sin 22sin tg tg tg ctg ctg ctg -=-=-=-=-==定积分的近似计算:⎰⎰⎰----+++++++++-≈++++-≈+++-≈ban n n ban n ba n y y y y y y y y nab x f y y y y n a b x f y y y nab x f )](4)(2)[(3)(])(21[)()()(1312420110110 抛物线法:梯形法:矩形法:定积分应用相关公式:⎰⎰--==⋅=⋅=bab a dt t f a b dx x f a b y k rm m kF Ap F s F W )(1)(1,2221均方根:函数的平均值:为引力系数引力:水压力:功: 空间解析几何和向量代数:。
代表平行六面体的体积为锐角时,向量的混合积:例:线速度:两向量之间的夹角:是一个数量轴的夹角。
与是向量在轴上的投影:点的距离:空间ααθθθϕϕ,cos )(][..sin ,cos ,,cos Pr Pr )(Pr ,cos Pr )()()(2222222212121*********c b a c c c b b b a a a c b a c b a r w v b a c b b b a a a kj ib ac b b b a a a b a b a b a b a b a b a b a b a a j a j a a j u AB AB j z z y y x x M Md zyxz y xz y xzyxz y xzy x z y x zz y y x x z z y y x x u u⋅⨯==⋅⨯=⨯=⋅==⨯=++⋅++++=++=⋅=⋅+=+=-+-+-==(马鞍面)双叶双曲面:单叶双曲面:、双曲面:同号)(、抛物面:、椭球面:二次曲面:参数方程:其中空间直线的方程:面的距离:平面外任意一点到该平、截距世方程:、一般方程:,其中、点法式:平面的方程:113,,22211};,,{,1302),,(},,,{0)()()(1222222222222222222220000002220000000000=+-=-+=+=++⎪⎩⎪⎨⎧+=+=+===-=-=-+++++==++=+++==-+-+-cz b y a x c z b y a x q p z q y p x c z b y a x ptz z nty y mtx x p n m s t p z z n y y m x x C B A DCz By Ax d czb y a x D Cz By Ax z y x M C B A n z z C y y B x x A多元函数微分法及应用zy z x y x y x y x y x F F y zF F x z z y x F dx dy F F y F F x dx y d F F dx dy y x F dy yvdx x v dv dy y u dx x u du y x v v y x u u xvv z x u u z x z y x v y x u f z tvv z t u u z dt dz t v t u f z y y x f x y x f dz z dz zu dy y u dx x u du dy y z dx x z dz -=∂∂-=∂∂=⋅-∂∂-∂∂=-==∂∂+∂∂=∂∂+∂∂===∂∂⋅∂∂+∂∂⋅∂∂=∂∂=∂∂⋅∂∂+∂∂⋅∂∂==∆+∆=≈∆∂∂+∂∂+∂∂=∂∂+∂∂=, , 隐函数+, , 隐函数隐函数的求导公式: 时,,当 :多元复合函数的求导法全微分的近似计算: 全微分:0),,()()(0),(),(),()],(),,([)](),([),(),(22),(),(1),(),(1),(),(1),(),(1),(),(0),,,(0),,,(y u G F J y v v y G F J y u x u G F J x v v x G F J x u G G F F vG uG v FuFv u G F J v u y x G v u y x F vu v u ∂∂⋅-=∂∂∂∂⋅-=∂∂∂∂⋅-=∂∂∂∂⋅-=∂∂=∂∂∂∂∂∂∂∂=∂∂=⎩⎨⎧== 隐函数方程组:微分法在几何上的应用:),,(),,(),,(30))(,,())(,,())(,,(2)},,(),,,(),,,({1),,(0),,(},,{,0),,(0),,(0))(())(())(()()()(),,()()()(000000000000000000000000000000000000000000000000000z y x F z z z y x F y y z y x F x x z z z y x F y y z y x F x x z y x F z y x F z y x F z y x F n z y x M z y x F G G F F G G F F G G F F T z y x G z y x F z z t y y t x x t M t z z t y y t x x z y x M t z t y t x z y x z y x z y x yx y x x z x z z y z y -=-=-=-+-+-==⎪⎩⎪⎨⎧====-'+-'+-''-='-='-⎪⎩⎪⎨⎧===、过此点的法线方程::、过此点的切平面方程、过此点的法向量:,则:上一点曲面则切向量若空间曲线方程为:处的法平面方程:在点处的切线方程:在点空间曲线ωψϕωψϕωψϕ方向导数与梯度:上的投影。