计算机数学基础(2)作业3选解
- 格式:doc
- 大小:202.00 KB
- 文档页数:5
计算机网络作业三及解答一、单项选择题1.下列说法正确的是 ( )。
A.信道与通信电路类似,一条可通信的电路往往包含一个信道B.调制是指把模拟数据转换为数字信号的过程C.信息传输速率是指通信信道上每秒传输的码元数D.在数值上,波特率等于比特率与每符号含的比特数的比值2.利用模拟通信信道传输数字信号的方法称为( )。
A.同步传输B.异步传输C.基带传输 D .频带传输3.测得一个以太网数据的波特率是40M Baud,那么其数据率是A. 10Mbit /s B. 20Mbit / sC. 40Mbit / s D. 80Mbit / s( )。
4.已知某信道的信号传输速率为道的波特率为 ( )。
A. 16kBaudB. 32kBau d 64kbit/ s,一个载波信号码元有 4 个有效离散值,则该信C. 64kBaud D . 1 28kBaud5.某信道的波特率为1000Baud,若令其数据传输速率达到4kbit / s,则一个信号码元所取的有效离散值个数为( ) 。
A. 2 B.4C.8 D .1 66.对于某带宽为 4000Hz 的低通信道,采用特定理,信道的最大传输速率是( )。
A . 4kbit / s B. 8kbit / sC. 1 6kbit/ s D. 32kbit/ s1 6 种不同的物理状态来表示数据。
按照奈奎斯7.有一条无噪声的8kHz 信道,每个信号包含8 级,每秒采样24k 次,那么可以获得的最大传输速率是 ( )。
A. 24kbit/sB. 32kbit/ sC. 48kbit/ s D. 72kbit/ s8.影响信道最大传输速率的因素主要有( )。
A.信道带宽和信噪比B.码元传输速率和噪声功率C.频率特性和带宽 D .发送功率和噪声功率9.电话系统的典型参数是信道带宽为3000Hz,信噪比为速率为 ( )。
A. 3kbit/s B. 6kbit / sC. 30kbit/ s D. 64kbit/ s30dB,则该系统的最大数据传输10.二进制信号在信噪比为127: 1 的A. 28000bit/ s B. 8000bit/ s 4kHz 信道上传输,最大的数据速率可达到( )。
《计算机数学基础》(第二版)习题参考答案习题1.11.42,23,42---x x ,1722++x x ,4682-+x x ,h x 234++。
2. (1)]14,6[,]3,2[-=-=R D 。
(2)]1,0[,]1,1[=-=R D 。
(3)),0[,),(∞+=∞+-∞=R D 。
(4)),0[,),(∞+=∞+-∞=R D 。
(5)]1,1[,),(-=∞+-∞=R D 。
3.(1)不同,因为定义域不同。
(2)不同,因为对应规则不同。
(3)相同,因为定义域和对应规则均相同。
4.(1)]2,2[-=D 。
(2)}1|{≠=x x D 。
(3)),(D ∞+-∞=。
(4)),(D ∞+-∞=。
图略5.(1)2010h T +-=。
(2)10k =。
(3)C 5︒-。
6.(1)有界;(2)有界;(3)无界;(4)有界。
7.(1)非奇非偶函数;(2)奇函数;(3)偶函数;(4)偶函数。
8.(1)周期函数,周期是π2;(2)非周期函数;(3)周期函数,周期是π。
习题1.21.(1)),(,)13(2))((223∞+-∞=-±+=±±g f D x x x x g f ; ),(,263))((2345∞+-∞=--+=∙fg D x x x x x g f ;}33|{,132))(/(/223±≠=-+=x x D x x x x g f g f 。
(2)]1,1[,11))((-=-±+=±±g f D x x x g f ; ]1,1[,1))((2-=-=∙fg D x x g f ;)1,1[,11))(/(/-=-+=g f D xx x g f 。
2.(1)),(,62118))((2∞+-∞=++=g f D x x x g f , ),(,236))((2∞+-∞=+-=f g D x x x f g , ),(,88))((34∞+-∞=+-=f f D x x x x f f ,),(,89))((∞+-∞=+=g g D x x g g 。
(注意:若有主观题目,请按照题目,离线完成,完成后纸质上交学习中心,记录成绩。
在线只需提交客观题答案。
) 西南交通大学网络教育学院2013—2014学期计算机应用基础第二次作业答案(车辆工程专业)本次作业是本门课程本学期的第2次作业,注释如下:一、单项选择题(只有一个选项正确,共40道小题)1. 既可以接收、处理和输出模拟量,也可以接收、处理和输出数字量的计算机是______。
(A) 电子数字计算机(B) 电子模拟计算机(C) 数模混合计算机(D) 专用计算机正确答案:C解答参考:2. 计算机在银行通存通兑系统中的应用,属于计算机应用中的______.(A) 辅助设计(B) 自动控制(C) 网络技术(D) 数值计算正确答案:C解答参考:3。
某单位的人事管理程序属于______。
(A) 系统程序(B)系统软件(C) 应用软件(D)目标软件2正确答案:C解答参考:4。
在Word 的编辑状态,要将文档中选定的文字移动到指定位置去,首先对它进行的操作是单击______。
(A) "编辑”菜单下的”复制"命令(B) "编辑”菜单下的"清除”命令(C) "编辑"菜单下的"剪切"命令(D)”编辑"菜单下的"粘贴"命令正确答案:C解答参考:5. Windows 开始菜单中的'所有程序’是______。
(A)资源的集合(B) 已安装应用软件的集合(C)用户程序的集合(D)系统程序的集合正确答案:B解答参考:6. Windows 的窗口中,为滚动显示窗口中的内容,鼠标操作的对象是。
(A)菜单栏(B)滚动条(C) 标题栏(D) 文件及文件夹图标正确答案:B解答参考:7. 选择在’桌面'上是否显示语言栏的操作方法是____。
(A) 控制面板中选"区域和语言”选项(B)控制面板中选"添加和删除程序"(C)右击桌面空白处,选属性(D)右击任务栏空白处,选属性正确答案:A解答参考:8. MUA 是指________。
2011年12月考试计算机基础第一次作业一、单项选择题(本大题共45分,共15小题,每小题3分)1.在Mirosoft Word 2003中,用户可以通过”文件”菜单中的命令打开”基本文件搜索”任务窗格。
A.文件搜索B.页面设置C.另存为D. 属性2.键盘上可用于字母大小写转换的键是 A. ESC B. Caps Lock C. Num Lock D. Ctrl+Alt+Del3.”写字板”是一个使用简单,但功能强大的处理程序。
A.文字B. 图像C.音频D.视频4.DOS文件全名由组成。
A.字母和数字B.扩展名C.文件主名D. 扩展名和文件主名5.Windows XP操作系统中,登录账户分类权限最高的是。
A.计算机管理员账户B.来宾账户C.操作备份账户D.网络配置账户6.计算机病毒主要破坏数据的o A.可用性B.可靠性C.完整性D. 保密性7.在Excel中,可同时选定不相邻的多个单元格的组合键是 A. CTRLB. ALTC. SHIFTD. TAB8.在PowerPoint中公式是通过输入的。
A.表格编辑器B.艺术字库C.图片编辑D.公式编辑器9.在PowerPoint中,演示文稿文件默认的文件保存格式为。
A. PPTB. PPSC. DOCD. XLS 10.信息技术是的产物,在应用中得以拓展和延伸。
A.计算机技术发展B.网络技术发展C.通讯技术发展D.以上三种综合发展11.BBS是指。
A,电子传输系统B.电子公告版系统C.大众网络系统D.综合数字服务系统12.编辑幻灯片内容时,需要先对象。
A.调整B.选择C,删除 D.粘贴13.下列不是微软拼音输入法的特性的是O A.联想B.自学习C. 自造词功能D.五笔输入14.Windows XP操作系统中,可以用下列哪种方法对文件或文件夹进行复制与移动操作。
A.鼠标B.快捷键C.菜单D.以上全部15.在微机中,访问速度最快的存储器是o A.硬盘B.软盘C. 光盘D.内存二、多项选择题(本大题共25分,共5小题,每小题5分)1.常用的进位计数制有。
计算机导论作业第3次1、关于计算系统与程序,下列说法正确的是_____。
(A)只有用计算机语言编写出来的代码才是程序,其他都不能称其为程序;(B)构造计算系统是不需要程序的,程序对构造计算系统没有什么帮助;(C)任何系统都需要程序,只是这个程序是由人来执行还是由机器自动执行,可以由机器自动执行程序的系统被称为计算系统;(D)程序是用户表达的随使用者目的不同而千变万化的复杂动作,不是使用者实现的而是需要计算系统事先完成的。
2、关于程序,下列说法不正确的是_____。
(A)“程序”是由人编写的、以告知计算系统实现人所期望的复杂动作;(B)“程序”可以由系统自动解释执行,也可以由人解释由系统执行;(C)普通人是很难理解“程序”的,其也和“程序”无关;(D)“程序”几乎和每个人都有关系,如自动售票系统、自动取款机等。
3、关于程序,下列说法不正确的是_____。
(A)程序的基本特征是复合、抽象与构造;(B)复合就是对简单元素的各种组合,即将一个(些)元素代入到另一个(些)元素中;(C)抽象是对各种元素的组合进行命名,并将该名字用于更复杂的组合构造中;(D)程序就是通过组合、抽象、再组合等构造出来的;(E)上述说法有不正确的。
4、关于“递归”,下列说法不正确的是_____。
(A)“递归”源自于数学上的递推式和数学归纳法。
(B)“递归”与递推式一样,都是自递推基础计算起,由前项(第n-1项)计算后项(第n项),直至最终结果的获得。
(C)“递归”是自后项(即第n项)向前项(第n-1项)代入,直到递归基础获取结果,再从前项计算后项获取结果,直至最终结果的获得;(D)“递归”是由前n-1项计算第n项的一种方法。
5、关于“程序”和“递归”的关系,下列说法不正确的是_____。
(A) “程序”是计算系统体现千变万化功能的一种重要手段:计算系统仅需要实现简单元素以及一个程序执行机构即可;(B) 本质上章,“程序”就是对简单元素的组合(或称复合);此外,“程序”需要有能力对一些常见的组合A进行命名,并利用该名字参与更为复杂的组合B的构造中,此即为“抽象”;在执行时(或称计算时),再将该组合A替换组合B中的该名字,实现计算并获取结果;(C) “程序”的基本特征是复合、抽象与构造。
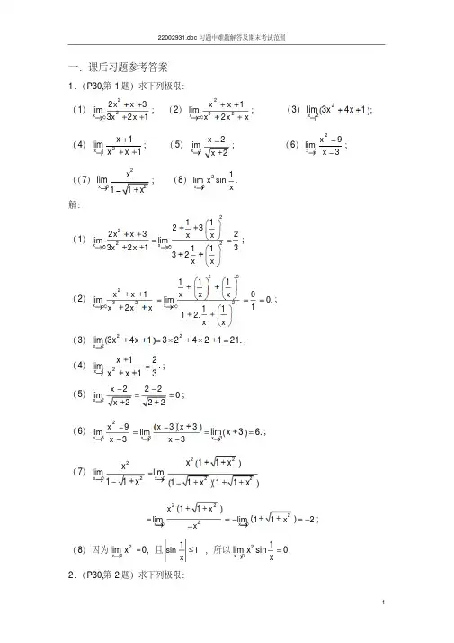
一.课后习题参考答案1.(P30,第1题)求下列极限:(1)2223lim 321x x x x x →∞++++; (2)x x x x x x ++++∞→23221lim ; (3)()143lim 22++→x x x ; (4)11lim 21+++→x x x x ; (5)2x →; (6)39lim 23--→x x x ;((7)20x →; (8)201lim sin .x x x →解:(1)22221123232lim lim 32131132x x x x x x x x x x →∞→∞⎛⎫++ ⎪++⎝⎭==++⎛⎫++ ⎪⎝⎭; (2)x x x x x x ++++∞→23221lim .01011.21111lim 232==⎪⎭⎫⎝⎛++⎪⎭⎫ ⎝⎛+⎪⎭⎫ ⎝⎛+=∞→x x x x x x ; (3)().2112423143lim 222=+⨯+⨯=++→x x x ;(4).3211lim21=+++→x x x x ; (5)20x →==; (6)39lim 23--→x x x ()()333lim3-+-=→x x x x ().63lim 3=+=→x x ;(7)221x x x →→=((221lim lim 12x x x x→→+==-+=--;(8)因为20lim 0,x x →= 且1sin1x ≤ ,所以201lim sin 0.x x x→=2.(P30,第2题)求下列极限:(1)()0tan 3lim x x x →;(2)()lim 2sin 02nn n x x →∞≠;(3)()10lim 12x x x →+;(4)2lim 1.xx x →∞⎛⎫- ⎪⎝⎭解:(1)()()00tan 3sin 31lim3lim .31133cos3x x x x x x x→→==⨯⨯=;(2)sin2lim 2sin lim.22n n n n n nxx x x x→∞→∞==; (3)()()211220lim 12lim 12xx x x x x e →→⎡⎤+=+=⎢⎥⎣⎦; (4)22222lim 1lim 1.xxx x e x x ---→∞→∞⎡⎤⎛⎫⎛⎫⎢⎥-=-= ⎪ ⎪⎢⎥⎝⎭⎝⎭⎣⎦3.(P38,第1题)设()33522---=x x x x f ,求极限()x f x 3lim →,指出()x f 的间断点,能否补充定义使之连续.解:()3352lim lim 233---=→→x x x x f x x ()()3123lim3-+-=→x x x x ().712lim 3=+=→x x函数()x f 在3=x 处无定义,但在3=x 附近有定义,故3=x 就是()x f 的间断点. 若补充()73=f ,则能使()x f 在3=x 处连续.4.(P39,第2题)求下列函数的间断点,并指出间断点的类型. (1)()221+x ;(2)23122+--x x x ;(3)2sin x x;(4)⎩⎨⎧>-≤-=;1,3,1,1x x x x y ;(5)⎪⎩⎪⎨⎧>-=<+=.0,12,0,0,0,12x x x x x y解:(1)函数()221+x 在2-=x 处无定义,但在2-=x 的附近有定义,故2-=x 为()221+x 的间断点。
第一部分计算机系统基础一、选择题【1】计算机最主要的工作特点是A) 高速度B) 高精度C) 存记忆能力D) 存储程序与自动控制【2】目前微型计算机中采用的逻辑元件是A) 小规模集成电路B) 中规模集成电路C) 大规模和超大规模集成电路D) 分立元件【3】下列四条叙述中,有错误的一条是A) 两个或两个以上的系统交换信息的能力称为兼容性B) 当软件所处环境(硬件/支持软件)发生变化时,这个软件还能发挥原有的功能,则称该软件为兼容软件C)不需调整或仅需少量调整即可用于多种系统的硬件部件,称为兼容硬件D) 着名计算机厂家生产的计算机称为兼容机【4】下列四条叙述中,有错误的一条是A) 以科学技术领域中的问题为主的数值计算称为科学计算B) 计算机应用可分为数值应用和非数值应用两类C) 计算机各部件之间有两股信息流,即数据流和控制流D) 对信息(即各种形式的数据)进行收集、储存、加工与传输等一系列活动的总称为实时控制【5】软件与程序的区别是A) 程序价格便宜、软件价格昂贵B) 程序是用户自己编写的,而软件是由厂家提供的C) 程序是用高级语言编写的,而软件是由机器语言编写的D) 软件是程序以及开发、使用和维护所需要的所有文档的总称,而程序是软件的一部分【6】某单位自行开发的工资管理系统,按计算机应用的类型划分,它属于A) 科学计算B)辅助设计C)数据处理D)实时控制【8】英文缩写CAD的中文意思是A) 计算机辅助教学B) 计算机辅助制造C) 计算机辅助设计D) 计算机辅助测试【9】目前计算机应用最广泛的领域是A) 人工智能和专家系统B) 科学技术与工程计算C) 数据处理与办公自动化D) 辅助设计与辅助制造【10】联想"奔腾三代"计算机所采用的主要电子元器件是()A、电子管B、晶体管C、集成电路D、大规模集成电路【11】能对二进制数据进行移位和比较操作的计算机工作部件是()A、累加器B、运算器C、控制器D、寄存器【12】CD-ROM 常作为多媒体套件中的外存储器,它是()A、只读存储器B、只读光盘C、只读硬盘D、只读大容量软盘【13】微型计算机的性能主要取决于()A、内存B、中央处理器C、硬盘D、显示卡【14】在学校里,能用于打印蜡纸的打印机是()A、激光打印机B、针式打印机C、喷墨打印机D、热敏式打印机【15】在微机系统中,最基本的输入输出模BIOS存放在()A、RAM中B、ROM中C、硬盘中D、寄存器中【16】IBM PC/AT 微型机采用的CPU芯片是()A、Z-80B、8086C、8088D、80286【17】486DX2/80 中的数字486代表(),数字80代表()。
计算机文化基础试题(二)答案及解析一、单项选择题1.【答案】D【解析】信息的符号化就是数据,数据是信息的具体表现形式。
所谓数据,是指存储在某种媒体上可以加以鉴别的符号资料。
符号不仅指文字、字母、数字,还包括图形、图像、音频与视频等多媒体数据。
计算机处理的对象必须是二进制表示的数据。
具有数值型大小和正负号特征的数据称为数值型数据,而文字、声音、图形等数据称为非数值型数据。
2.【答案】A【解析】1854年,英国数学家布尔提出了符号逻辑的思想,19世纪中期,英国科学家巴贝奇提出的通用计算机的基本设计思想。
根据计算机采用的主要元器件的不同,将计算机发展过程分为四个时代:第一代主要应用科学计算,第二代扩大到数据处理,第三代出现了操作系统和会话式语言,计算机开始应用于各个领域。
3.【答案】B【解析】计算机采用二进制数主要是易于用电子元器件表示,用1表示高电平,O表示低电平。
4.【答案】C【解析】因为3* 3=10,已经进位且个位数是O,所以该进制是九进制,逢九进一,所以7+8 =16。
5.【答案】A【解析】度量信息的最小单位是位。
计算机系统中,CPU通过数据总线一次存取、加工和传送的数据为字。
一个字通常由一个或者若干字节组成。
一个汉子占2个字节。
所以选A。
6.【答案】C【解析】本题中属于输入设备的有鼠标器、键盘;属于输出设备的有CRT、绘图仪、打印机(包括激光打印机),存储设备有ROM、磁盘、光盘、磁带。
从信息的输入输出的角度来说,磁盘驱动器和磁带机既可以作为输入设备,也可以作为输出设备。
7.【答案】B【解析】汇编语言编写的源程序也采用了大量的助记符,因此也需要用汇编程序把它翻译成机器语言目标程序后计算机才能执行,这个翻译过程也称为汇编过程。
8.【答案】D【解析】双击标题栏可以使窗口在最大化和非最大化窗口之间切换;作为应用程序,单击“文件”菜单中的“退出”命令,能够退出Word。
9.【答案】D【解析】本题考查选择文件或文件夹的方法,但每次只能对一个文件或文件夹进行重命名。
一.课后习题参考答案1.(P30,第1题)求下列极限:(1)2223lim321xx x xx ;(2)xx xx x x23221lim;(3)143lim 22x xx;(4)11lim 21x x x x ;(5)22lim2xxx ;(6)39lim23xxx;((7)22lim11xx x;(8)21lim sin.xx x解:(1)22221123232limlim32131132xxx x x x xx xx;(2)xxxx x x23221lim.01011.21111lim232xxx x x x;(3).2112423143lim 222x x x ;(4).3211lim21x xx x;(5)2222lim0222x xx ;(6)39lim23xxx333lim3xx xx.63lim 3x x;(7)22222211limlim 111111xx x xx xxx222211lim lim 112x x x x xx;(8)因为2lim 0,x x且1sin1x,所以21lim sin0.xx x2.(P30,第2题)求下列极限:(1)0tan 3limxx x;(2)lim 2sin02nnnx x;(3)1lim 12xxx;(4)2lim 1.xxx解:(1)0tan 3sin 31lim3lim.31133cos3xxxx xxx;(2)sin 2lim 2sin lim.22nnnnn n x x x x x;(3)211220lim 12lim12xxxxxxe ;(4)22222lim 1lim 1.xxxxe xx3.(P38,第1题)设33522xx xx f ,求极限xf x 3lim ,指出x f 的间断点,能否补充定义使之连续. 解:3352limlim 233xx xxf xx 3123lim3xx x x.712lim 3x x 函数x f 在3x 处无定义,但在3x附近有定义,故3x 就是x f 的间断点.若补充73f ,则能使x f 在3x处连续.4.(P39,第2题)求下列函数的间断点,并指出间断点的类型. (1)221x;(2)23122xx x ;(3)2sin xx ;(4);1,3,1,1xx x x y;(5).0,12,0,0,0,12xx x xx y解:(1)函数221x在2x 处无定义,但在2x的附近有定义,故2x 为221x的间断点。
(答案)计算机数学基础(上)第3次大作业一、单选题(每小题5分,共30分) 1.在图G =<V ,E >中,结点总度数与边数的关系是( )(A) deg(v i )=2∣E ∣ (B) deg(v i )=∣E ∣ (C)∑∈=Vv E v 2)deg( (D) ∑∈=Vv E v )deg(答案:(C) 解答:见握手定理. 2. 设G 是n 个结点的无向完全图,则图G 的边数为( );设D 是n 个结点的有向完全图,则图D 的边数为( ) (A) n (n -1) (B) n (n +1) (C) n (n -1)/2 (D) n (n +1)/2 答案:(C) (A )解答:G 有n 个结点,任意两点有一条边,共有2)1(2-=⎪⎪⎭⎫⎝⎛n n n 条边. 故选择(C);有向图D 中,任意两点有两条方向相反的边,才能互通,因此n 个结点要有2×⎪⎪⎭⎫⎝⎛2n)1(2)1(2-=-⨯=n n n n 条,故选择(A). 3. 仅有一个结点的图称为( ),当然也是( ) (A) 零图 (B) 平凡图 (C) 补图 (D) 子图 答案:(B), (A) 解答:见定义,只有一个结点的图称为平凡图;有孤立结点组成的图称为零图. 4. 设G =<V ,E >为无向简单图,∣V ∣=n ,∆(G )为G 的最大度数,则有 (A) ∆(G )<n (B)∆(G )≤n (C) ∆(G )>n (D) ∆(G )≥n 答案:(A) 解答:因为G 中无平行边和环,任何结点最多有n -1条边与其相关联,最大度数小于或等于n -1. 故选择(A) 5. 图G 与G '的结点和边分别存在一一对应关系,是G ≌G '(同构)的( ) (A) 充分条件 (B) 必要条件 (C)充分必要条件 (D)既非充分也非必要条件 答案:(B) 解答:见图的同构定义.二、填空题(每小题5分,共30分) 1. 在无向图中,结点间的连通关系具有 自反 性,对称 性,传递 性, 是 等价 关系.2. 图G 如右图所示,那么图G 的割点是 a, f3. 连通有向图D 含有欧拉回路的充分必要条件是 D 中每个结点的入度=出度. 4. 无向连通图G 含有欧拉回路的充分必要条件是 不含有奇数度结点a b f c e d5.设有向图D =<V ,E >的邻接矩阵为A (D )=⎥⎥⎥⎥⎦⎤⎢⎢⎢⎢⎣⎡1100100001000120,那么∣E ∣= 7 . 三、计算应用题 (前两题每题10分,第3 题20分)1 图G 见右图 求G 的最小生成树.G 的最小生成树.如右图:2 设无向图G =<V ,E >, 那么图G 中∣V ∣与∣E ∣满足什么条件,图G 一定是树.图G 连通 且 ∣E ∣=∣V ∣-1,那么图G 一定是树.3. 设R 是集合A 上的对称关系和传递关系,试证明:若对∀a ∈A ,∃b ∈A ,使得(a ,b )∈R ,则R 是等价关系.证明. 已知R 是对称关系和传递关系,只需证明R 是自反关系∀a ∈A ,∃b ∈A ,使得(a ,b )∈R ,因为R 是对称的,故(b ,a )∈R ; 又R 是传递的,(a ,b )∈R ,(b ,a )∈R ⇒(a ,a )∈R ,由元素a 的任意性,知R 是自反的. 所以,R 是等价关系。
计算机数学基础》课后习题解答(一)(总59页)--本页仅作为文档封面,使用时请直接删除即可----内页可以根据需求调整合适字体及大小--习题 单项选择题(1) 函数 ()29x x f -=的定义域是(D ) A. {}3|±≤x x B. ()[)+∞-∞-,33, C. {}33|<<-x x D. {}33|≤≤-x x (2) 函数 ()43lg 2-+=x x y 的定义域是(A ) A. {}{}1|4|>-<x x x x B. {}14|<<-x x C. {}{}4|1|>-<x x x x D. {}41|<<-x x (3).下列各组函数中表示同一个函数的是(A ). A. x y =与2x y = B. x y =与2x y =C. x y =与xx y 2= D. x y =与x a a y log =(4).下列函数中值域为R 的是(D ). A. 132+-=x x y ; B. 21x y =; C. x y -=5; D. x y 21log =.(5).下列函数中在区间()1,0上是增函数的是(D ). A. 23-=xy ; B. x y 32log =;C. xy ⎪⎭⎫ ⎝⎛=32; D. xy ⎪⎭⎫ ⎝⎛=23.(6).下列函数是偶函数的为(C ).A. x y 2=;B. x y 2log =;C. 1=y ;D. x x y sin cos +=.(7).函数⎪⎭⎫ ⎝⎛+=43sin πx y 的最小正周期是(C ).A. π2;B.3π; C. 32π; D. 23π.(8).下列函数在定义域中既是奇函数又是单调增函数的是(D ). A. x y tan =; B. x y 3=; C. x y 3log =; D. 31x y =. (9).函数x y 8=的反函数是(C ).A. )0(log 32>=x x y ;B. x y -=8;C. )0(log 312>=x x y ; D. )0(8>-=x y x .2.求下列函数的定义域和值域.(1) ()32,46≤≤--=x x x f ; (2) ()21x x f -=; (3) ()x x x f +=; (4) ()12-=x x f ;(5) ()⎪⎩⎪⎨⎧=≠=.0,0,0,1sin x x xx f ; 解:(1)定义域为[]3,2-;值域为[]14,6-; (2)定义域为[]1,1-;值域为[]1,0; (3)定义域为()+∞∞-,;值域为[)+∞,0; (4)定义域为()+∞∞-,;值域为[)+∞,0; (5)定义域为()+∞∞-,;值域为[]1,1-. 3.下列各题中的函数f 和g 是否相同为什么 (1)()2ln x x f =,()x x g ln 2=;解:()x f 定义域为()()+∞∞-,00, ,而()x g 定义域为()+∞,0,故f 和g 不相同.(2)()12++=x x x f ,()113--=x x x g ;解:()x f 定义域为()+∞∞-,,而()x g 定义域为()()+∞∞-,11, ,故f 和g 不相同.(3)()2x x f =,()2t t g =;解:()x f ,()x g 定义域均为()+∞∞-,,且对应法则相同,故f 和g 相同. (4)()x x f =,()33x x g =;解:()x f ,()x g 定义域均为()+∞∞-,,且对应法则相同,故f 和g 相同. 4.求下列函数的定义域(1) ()24x x f -=; (2) ()112--=x x x f ;(3) ()⎩⎨⎧>+≤=.0,1,0,x x x x x f ; (4) ()).1ln(,-+=y x y x f ;解:(1)的定义域为[]2,2-; (2)的定义域为()()+∞∞-,11, ; (3)的定义域为()+∞∞-,; (4)的定义域为(){}.01|,>-+y x y x5.干燥空气上升时体积膨胀变冷,若地面温度是C 020,高km 1处的温度是C 010.(1)假定温度T (单位:C 0)是高度h (单位:km 1)的线性函数,试写出这个函数;(2)画出此函数的草图; (3)求处在高度为km 5.2处的温度. 解:(1)假设.b ah T +=由题意知 ()().101,200==T T 即.10,20-==a b 所以 .2010+-=h T(2)草图略(3)高度为km 5.2处的温度为()().5205.2105.20C T -=+⨯-= 6.试确定下列函数在指定区间上是有界函数还是无界函数? (1)()[]π100,0,2sin ∈+-=x x x f ;解:因为当[]π100,0∈x 时,1sin 1≤≤-x ,故()31≤≤x f ,因此()x f 为有界函数.(2)()(]8,2,2∈-=x x x x f ;解: ()(]8,2,22∈+-=x x x x f 为单调增加函数,故当(]8,2∈x 时,()()()82f x f f ≤≤,即 ().562≤≤x f 因此()x f 为有界函数. (3)()()+∞∈=,0,1x xx f ;解:因为()x f 没有上界,故()x f 为无界函数.(4)().8,0),2tan(⎪⎭⎫ ⎝⎛∈=πx x x f解:因为()⎪⎭⎫ ⎝⎛∈=8,0),2tan(πx x x f 为单调增加函数,故当⎪⎭⎫⎝⎛∈8,0πx 时,()()⎪⎭⎫⎝⎛<<80πf x f f ,即 ().10<<x f 因此()x f 为有界函数.7.试判断下列函数的奇偶性(1)()x x x f +=2; (2)()x x x f -=3;(3)()()221x x x f -=; (4)()2xx e e x f -+=.解:(1)为非奇非偶函数;(2)为奇函数;(3)为偶函数;(4)为偶函数. 8.下列函数中哪些是周期函数?对于周期函数指出它的周期(最小正周期). (1)())2cos(-=x x f ; (2)()x x x f cos =;(3)().sin 2x x f =解:(1)为周期函数,且周期为π2; (2)非周期函数(可用反证法证明); (3)()22cos 1sin 2xx x f -==,故为周期函数,且周期为π. 9.已知函数()()x g x f ,分别由下表给出:(1)求()[]1g f 的值;(2)求满足()[][])(x f g x g f >的x 的值. 解:(1)()[]1)3(1==f g f ;(2)因为()[]1)3(1==f g f ;()[]3)2(2==f g f ;()[]1)1(3==f g f ; 而 ()[]3)1(1==g f g ;()[]1)3(2==g f g ;()[]3)1(3==g f g . 故满足()[][])(x f g x g f >的x 的只能是.2=x 10.求 g f ±、g f .和g f ,并求其定义域. (1)()232x x x f +=,()132-=x x g ; 解:1523-+=+x x g f ;123+-=-x x g f ;()()234522326313.2.x x x x x x x g f --+=-+=;.132223-+=x x x g f (2)()x x f +=1,()x x g -=1.解:x x g f -++=+11;x x g f --+=-11;211.1.x x x g f -=-+=;.11xx g f -+=11.求g f 、f g 和g g ,并求其定义域. (1)()x x x f -=22,()23+=x x g ; (2)()xx f 1=,()x x x g 23+=. 解:(1)()()x g f =()[]()()()62118232322322++=+-+=+=x x x x x f x g f ,定义域是 ()+∞∞-,;()()x f g =()[]()()2312122232234222++-=+-=-=x x x x x x x g x f g ,定义域是()+∞∞-,;()()x g g =()[]()()89223323+=++=+=x x x g x g g ,定义域是()+∞∞-,.(2)()()x g f =()[]()xx x x f x g f 21233+=+=,定义域是()()+∞∞-,00, ; ()()x f g =()[]⎪⎭⎫⎝⎛+⎪⎭⎫ ⎝⎛=⎪⎭⎫ ⎝⎛=x x x g x f g 12113,定义域是()()+∞∞-,00, ;()()()[]()x x g x g g x g g 23+== ()()x x x x x x x x x 410662223479333++++=+++=,定义域是()+∞∞-,.12.把下列函数分解成g f 的形式(1)()()59-=x x F ; (2)()x x F sin =;(3)()()1ln 2+=x x F ; (4)().31+=x x F 解:(1)9,5-==x u u F ; (2)x u u F ==,sin ;(3)1,ln 2+==x u u F ; (4).3,1+==x u uF 13.求下列函数的反函数 (1)()xxx f 2531-+=; (2)()()2ln 1++=x x f ; (3)()122+=x x x f ; (4)()⎪⎩⎪⎨⎧<≤-≤≤-=.01,,10,122x x x x x f解:(1)由x x y 2531-+=解得yy x 2315+-=,互换x 和y 得 .2315xx y +-=此即所求之反函数. (2)由()2ln 1++=x y 解得21-=-y e x ,互换x 和y 得 21-=-x e y 此即所求之反函数.(3)由122+=x x y 解得y y x -=12,即y yx -=1log 2,互换x 和y 得xxy -=1log 2,此即所求之反函数. (4)当10≤≤x 时,由12-=x y 解得01,1≤≤-+=y y x ; 当01<≤-x 时,由2x y =解得.10,≤<-=y y x ; 故⎪⎩⎪⎨⎧≤<-≤≤-+=.10,,01,1y y y y x互换x 和y 得⎪⎩⎪⎨⎧≤<-≤≤-+=.10,,01,1x x x x y此即所求之反函数.14.下列函数是由哪些基本初等函数复合而成? (1)x e y arctan =; (2)x y ln ln ln =; (3)x y 3sin ln =.解:(1)x u e y u arctan ,==; (2)x v v u u y ln ,ln ,ln ===;(3)x v v u u y sin ,,ln 3===.15.设 ()⎩⎨⎧≥<=.0,,0,2x x x x x f ()⎩⎨⎧≥-<=.0,3,0,5x x x x x g 求()[][])(,x f g x g f . 解:(1)当0<x 时,05<x , ()[]()()x x x f x g f 105.25===; 当0≥x 时,03≤-x ,()[]()()x x x f x g f 63.23-=-=-=.故 ()[]⎩⎨⎧≥-<=.0,6,0,10x x x x x g f (2)当0<x 时,02<x , ()[]()()x x x g x f g 102.52===; 当0≥x 时,()[]()x x g x f g 3-==.故 ()[]⎩⎨⎧≥-<=.0,3,0,10x x x x x f g 习题 单项选择题1.写出下列数列的通项并在数轴上通过观察判断下列数列是否收敛若收敛,极限是多少(1), (11)9,97,75,53,31---解:(),...)2,1(1212.1=+--=n n n x n n ,无极限. (2) (6)7,51,45,31,23,1解:,...)2,1(2)1(11=-++=n n x nn ,无极限. (3), (6)1,0,41,0,21,0解:,...)2,1()1(1=-+=n nx nn 收敛,且极限为0. 2.单项选择题(1)⎪⎩⎪⎨⎧=-,,10,17为偶数当为奇数,当n n n x n 则(D )A. 0lim =∞→n n x ; B. 710lim -∞→=n n x ;C. ⎩⎨⎧=-∞→.,10,0lim 7为偶数为奇数,n n x nn D. n n x ∞→lim 不存在. (2)下列数列中收敛的是(B ) A. ()n n x nn 11--= ; B. 1+=n nx n ; C. 2sinπn x n = ; D. ().1n n n x --= (3)()x f 在0x x =处有定义是()x f x x 0lim →存在的(D )A. 充分条件但非必要条件;B.必要条件但非充分条件;C. 充分必要条件 ;D.既不是充分条件也不是必要条件. (4)()=-→x f x x 0lim ()x f x x +→0lim 是()x f x x 0lim →存在的(C )A. 充分条件但非必要条件;B.必要条件但非充分条件;C. 充分必要条件;D.既不是充分条件也不是必要条件. 3.填空题 (1)=+∞→211limx x 0 ; (2)()=-→53lim 2x x 1 ;(3)=→x x cos lim 01 ; (4)=-∞→x x e lim 0 . 4.判定极限xx x 0lim→的存在性.解:因为 ()x xf x -→=-0lim 001lim 0-=-=→x x x ;()xx f x +→=+0lim 001lim 0==→x xx ; ()≠-00f ()00+f ,所以xx x 0lim→不存在.5.设().,1,21,13⎩⎨⎧<>-=x x x x x f ,求(1)()x f x 1lim →;(2)()x f x 2lim →;(3)()x f x 0lim →.解:(1)()22lim 011==--→x f x ;()()213lim 011=-=++→x f x ,因为()=-01f ()201=+f ,所以()2lim 1=→x f x .(2)()x f x 2lim →()513lim 2=-=→x x .(3)()x f x 0lim →.02lim 0==→x x6.设函数().353xx x x x f -+=求(1)()x f x +∞→lim ;(2)()x f x -∞→lim ;(3)()x f x +→0lim ;(4)()x f x -→0lim .解:(1)()x f x +∞→lim 2353lim=-+=+∞→xx xx x ;(2)()x f x -∞→lim ()41353lim=---=-∞→x x x x x ;(3)()x f x +→0lim 2353lim 0=-+=+→xx xx x ;(4)()x f x -→0lim .41)(353lim 0=---=-→x x x x x7.设().,3,133,⎩⎨⎧≥-<=x x x x x f ,试画出()x f 的图形并求单侧极限()x f x -→3lim 和()x f x +→3lim . 解:图略.()x f x -→3lim 3lim 3==-→x x ;()x f x +→3lim ().813lim 3=-=+→x x 习题1.是非判断题(1)零是无穷小(√); (2)x1是无穷小(×); (3)在同一自变量的变化过程中,两个无穷小之和仍为无穷小(√);(4)在同一自变量的变化过程中,两个无穷小之积仍为无穷小(√); (5)无界变量必为无穷大量(×). 2.单项选择题(1)若x 是无穷小,下面说法错误的是(C ) A. 2x 是无穷小 ; B. x 2是无穷小 ; C. 0001.0-x 是无穷小 ; D. x -是无穷小 . (2)下面命题中正确的是(D )A. 无穷大是一个非常大的数 ;B. 有限个无穷大的和仍为无穷大 ;C. 无界变量必为无穷大;D.无穷大是无界变量. (3)下列变量在给定的变化过程中是无穷大量的一组是( ) (4)当0→x 时,下列变量中是无穷大量的是(C ) A. x 2 ; B. x -2 ; C. x cot ; D. x tan . 3.当0→x 时,下列变量中哪些是无穷小量?.cos ,2,sin ,3,01.0,2,,10022x x xx x x x x x x解:x xx x x sin ,3,01.0,1002是无穷小量. 4.试证当∞→x 试,x 21=β与x1=α是同阶无穷小. 解:因为0212lim lim ≠==∞→∞→x x x x αβ,故当∞→x 试,x 21=β与x1=α是同阶无穷小.习题1.是非判断题 (1)0lim ...2lim 1lim ...321lim2222=+++=++++∞→∞→∞→∞→nnn n n n n n n n (×); 解:().2111lim 21121lim ...321lim 22=⎪⎭⎫ ⎝⎛+=+=++++∞→∞→∞→n n n n n n n n n (2)01sin lim .lim 1sinlim 000==→→→xx x x x x x 是无穷小(×);解:01sin lim 0=→x x x (无穷小乘以有界量仍为无穷小). (3)1sin lim=∞→x xx (×); 解:=∞→xx x sin lim0sin .1lim =∞→x x x (无穷小乘以有界量仍为无穷小). (4)111lim =⎪⎭⎫⎝⎛+∞→nn n (×);解:.11lim e n nn =⎪⎭⎫⎝⎛+∞→(5)().1lim 10∞=+→x x x (×)解:().1lim 10e x xx =+→2.单项选择题(1)下列极限中,极限值不为0的是(D ) A. x x x arctan lim∞→ ; B. xxx x cos 3sin 2lim +∞→;C. x x x 1sin lim 20→ ; D. 2420lim xx x x +→ (2)若()()1122--=x x x f ,()11+-=x x x f ,则(C ) A. ()()x g x f = ; B. ()()x g x f x =→1lim ; C. ()()x g x f x x 11lim lim →→= ; D. 以上等式都不成立.(3)100011lim +∞→⎪⎭⎫⎝⎛+n n n 的值是(A )A. e ;B. 1000e ;C. 1000.e e ;D. 其它值.解:100011lim +∞→⎪⎭⎫⎝⎛+n n n .11lim n n n ⎪⎭⎫ ⎝⎛+=∞→.111lim 1000e e n n =⨯=⎪⎭⎫ ⎝⎛+∞→(4)=→xxx sin tan limπ(B ) A. 1 ; B. 1-; C. 0 ; D. ∞ 解:=→x x x sin tan limπ()()=---→x x x πππsin tan lim .1lim-=---→x x x πππ (5)=⎪⎭⎫⎝⎛-→x x x x x sin 11sin lim 0(A )A. 1- ;B. 1;C. 0 ;D. 不存在解:=⎪⎭⎫⎝⎛-→x x x x x sin 11sin lim 0x x x 1sin lim 0→.110sin lim0-=-=-→x x x (6)下列函数中,当0→x 时,与无穷小量x 相比是高阶无穷小的是( ) A. x sin ; B. 2x x +; C. x ; D. x cos 1-解:因为=-→20cos 1lim x xx 021lim 20=→x xx ,故当0→x 时,x cos 1-与x 相比是高阶无穷小.(7)当0→x 时,下列变量中与x 等价的无穷小量是(C ) A.xx sin ; B. x sin 2; C. )1ln(x + ; D. )1ln(2x +解:因为()11ln lim0=+→xx x ,故当0→x 时,)1ln(x +与x 是等价无穷小.(8)当1→x 时,下列变量中不是无穷小量的应该是(C )A. 12-x ;B. ()12+-x x ;C. 1232--x x ;D. 1242+-x x 解:因为()3124lim 21=+-→x x x ,故当1→x 时,1242+-x x 不是无穷小量.3.计算下列极限:(1)35lim 22-+→x x x ;解: 9325235lim222-=-+=-+→x x x . (2) x x x 21lim 0+→ ;解;x x x 21lim 0+→()=+=→xx x 121lim ().21lim 22210e x x x =⎥⎦⎤⎢⎣⎡+→ (3)112lim 221-+-→x x x x ; 解:112lim 221-+-→x x x x ()()()111lim21+--=→x x x x .011lim 1=+-=→x x x (4)121lim 22---∞→x x x x ;解:121lim 22---∞→x x x x .2111211lim 22=⎪⎭⎫⎝⎛--⎪⎭⎫ ⎝⎛-=∞→x x x x (5)13lim 2420+-+→x x xx x ;解:.01013lim 2420==+-+→x x x x x (6)4586lim 224+-+-→x x x x x ;解:4586lim 224+-+-→x x x x x ()()()()4142lim 4----=→x x x x x .3212lim 4=--=→x x x (7)⎪⎭⎫ ⎝⎛---→311311lim x x x ; 解:⎪⎭⎫ ⎝⎛---→311311lim x x x ⎪⎪⎭⎫ ⎝⎛---++=→33211311lim x xx x x 32112lim x x x x --+=→()()()()211121limx x x x x x ++-+-=→.112lim 21-=+++-=→x x x x(8)()11lim 22--+∞→x x x .解:()11lim 22--+∞→x x x .0112lim22=-++=∞→x x x4.计算下列极限:(1)xxx 20sin lim → ;解:x x x 20sin lim→x x x 20lim →=.0lim 0==→x x (2)x xx 3tan lim0→;解:xx x 3tan lim0→.33lim 0==→x xx (3)xx xx sin 2cos 1lim 0-→;解:x x xx sin 2cos 1lim 0-→().2.221lim 20==→xx x x(4)xx x 1sin lim 20→;解:因为20lim 0,x x →= 且1sin1x≤ ,所以201lim sin 0.x x x →=(5)()xx x 121lim +→;解:()=+→xx x 1021lim ().21lim 22210e x x x =⎥⎦⎤⎢⎣⎡+→ (6)()xx x 101lim -→;解:()xx x 101lim -→()[].1lim 1110---→=⎭⎬⎫⎩⎨⎧-+=e x x x (7)xx x x 21lim ⎪⎭⎫⎝⎛+∞→;解:xx x x 21lim ⎪⎭⎫⎝⎛+∞→.11lim 22e x x x =⎥⎥⎦⎤⎢⎢⎣⎡⎪⎭⎫ ⎝⎛+=∞→ (8)xx x 3211lim ⎪⎭⎫ ⎝⎛-∞→.解:xx x 3211lim ⎪⎭⎫ ⎝⎛-∞→=.111lim 0322==⎥⎥⎦⎤⎢⎢⎣⎡⎪⎭⎫ ⎝⎛---∞→e x xx x5.已知22lim 222=--++→x x bax x x ①,求常数a 和.b 解:因为()02lim 22=--→x x x ,故()b a b ax x x ++=++=→24lim 022即 42--=a b ② 将②代入①得()242lim2222----++=→x x a ax x x ()()()()1222lim 2+-++-=→x x a x x x 3412lim2ax a x x +=+++=→ ③ 由③解得 .2=a 代入②得 .8-=b6.已知111lim 23=⎪⎪⎭⎫⎝⎛--++∞→b ax x x x ①,求求常数a 和.b 解:由于.01lim=∞→xx 故 ⎪⎪⎭⎫ ⎝⎛--++=∞→b ax x x x x 11.1lim 023a x b a x x x x -=⎪⎪⎭⎫ ⎝⎛--++=∞→11.1lim 33 ② 由②立得 .1=a 代入①,则有=⎪⎪⎭⎫ ⎝⎛-++=∞→x x x b x 11lim 23.011lim 2=+-∞→x xx 补充练习题:1.计算下列极限(1)2223lim 321x x x x x →∞++++;(2)2x →3)20x →解:(1)22221123232lim lim 32131132x x x x x x x x x x →∞→∞⎛⎫++ ⎪++⎝⎭==++⎛⎫++ ⎪⎝⎭; (2)0x →==; (3)221x x x→→=((221limlim 12x x x x→→==-+=--;2.求下列极限:(1)()0tan 3lim x x x→;(2)()lim 2sin 02nn n x x →∞≠;(3)()10lim 12x x x →+;(4)2lim 1.xx x →∞⎛⎫- ⎪⎝⎭ 解:(1)()()00tan 3sin 31lim3lim .31133cos3x x x x x x x→→==⨯⨯=;(2)sin2lim 2sin lim .22n n n n n nxx x x x →∞→∞==;(3)()()211220lim 12lim 12xx x x x x e →→⎡⎤+=+=⎢⎥⎣⎦; (4)22222lim 1lim 1.xxx x e x x ---→∞→∞⎡⎤⎛⎫⎛⎫⎢⎥-=-= ⎪ ⎪⎢⎥⎝⎭⎝⎭⎣⎦习题1.是非判断题(1)()x f 、()x g 在0x x =连续,()()()()x g x g x f x f 322-+在0x x =也连续.(√); (2)()xe xx x f sin =在()+∞∞-,连续.(√); (3)()x f 在其定义域()b a ,内一点0x 处连续的充要条件是()x f 在0x 处既左连续又右连续(√);(4)()x f 在0x 有定义,且()x f x x 0lim →存在,则()x f 在0x 处连续(×);(5)()x f 在其定义域()b a ,内一点0x 处连续,则()x f x x 0lim →⎪⎭⎫ ⎝⎛=→0lim x x x f .(√); (6)()x f 在0x 处无定义,则()x f 在0x 处不连续(√);(7)()x f 在()b a ,内连续,则()x f 在()b a ,内一定有最大值和最小值.(×); (8)()x f 在()b a ,上连续且单调,()()0.<b f a f ,则()x f 在()b a ,内有且仅有一个零点. (√);(9)()x f 在()b a ,上连续,则在()b a ,上有界.(×); (10)因为014tan >=π,0143tan<-=π,所以x tan 在⎪⎭⎫⎝⎛43,4ππ内必有零点(×). 2.单项选择题(1)()x f 在0x 处有定义是()x f 在0x 处连续的(A )A. 必要条件而非充分条件;B.充分条件而非必要条件;C. 充分必要条件 ;D.无关条件.(2)()()00lim x f x f x x =→是()x f 在0x x =处连续的(C )A. 必要条件而非充分条件;B.充分条件而非必要条件;C. 充分必要条件 ;D.无关条件.(3)0=x 是()xx x f 1sin.sin =的(A ) A. 可去间断点; B. 跳跃间断点;; C. 可振荡间断点; ; D. 无穷间断点;(4)函数()x f 在[]b a ,上有最大值和最小值是()x f 在[]b a ,上连续的(A ) A. 必要条件而非充分条件; B.充分条件而非必要条件; C. 充分必要条件 ; D.既非充分条件又非必要条件.(5)()x f 在[]b a ,上连续,()()0.<b f a f ,b x x x x x x a <<<<<<<654321,且()()()1631===x f x f x f ,()()042==x f x f ,()15-=x f ,则应判断()x f 在()b a ,内零点个数不小于(D )A. 3; ; C. 5 ; D. 6. (6)下列命题错误的是(C )A. ()x f 在[]b a ,上连续,则存在[]b a x x ,,21∈,使()()()21x f x f x f ≤≤;B.()x f 在[]b a ,上连续,则存在常数M ,使得对任意[]b a x ,∈,都有()M x f ≤;C. ()x f 在[]b a ,内连续,则在()b a ,内定没有最大值;D. ()x f 在[]b a ,内连续,则在()b a ,内可能既没有最大值也没有最小值. 3,求下列函数的间断点,并指出间断点的类型: (1) ()221+=x y ; (2) 23122+--=x x x y ;(3) 2sin x xy =; (4) ⎩⎨⎧>-≤-=.1,3,1,1x x x x y ;(5) ⎪⎩⎪⎨⎧>-=<+=.0,12,0,0,0,12x x x x x y 解:(1)()221+=x y 在点2-=x 处无定义,从而2-=x 是其间断点.又因为()∞=+-→2221limx x ,所以,2-=x 是第二类无穷型间断点.(2)23122+--=x x x y 在点11=x 及22=x 处无定义,从而点11=x 及22=x 均为其间断点.因为=+--→231lim 221x x x x ()()()()=--+-→2111lim 1x x x x x 221lim 1-=-+→x x x ,故11=x 是第一类的可去间断点;又因为=+--→231lim 222x x x x ∞,故22=x 是第二类无穷型间断点. (3)2sin x xy =在点0=x 处无定义,从而0=x 是其间断点.又因为 =→20sin lim x x x =→20lim x x x ∞=→xx 1lim 0,所以,0=x 是第二类无穷型间断点. (4)()()==--→x f f x 1lim 01()01lim 1=--→x x ;()()==++→x f f x 1lim 01()23lim 1=-+→x x . 因为()≠-01f ()01+f ,所以故1=x 是第一类的跳跃间断点.(5)()()==--→x f f x 0lim 00()112lim 0=+-→x x ;()()==++→x f f x 0lim 00()112lim 1-=-+→x x . 因为()≠-00f ()00+f ,所以故0=x 是第一类的跳跃间断点. 4.研究下列函数的连续性,并画出图象.(1)()⎩⎨⎧≤<-≤≤=.21,2,10,2x x x x x f (2)()⎩⎨⎧><≤≤-=.11,1,11,x x x x x f 或解:(1)因为当[)1,0∈x 时,()2x x f =是初等函数,且[)1,0是其定义区间,故由基本结论知,()x f 在[)1,0上连续;同理,()x f 在(]2,1上也连续.又()()==--→x f f x 1lim 011lim 21=-→x x ;()()==++→x f f x 1lim 01()12lim 1=-+→x x ,且()11=f .故()=-01f ()()101f f =+,所以()x f 在1=x 处连续.综上分析知,()x f 在[]2,0上连续.(2)因为x 是初等函数,且[)1,1-是其定义区间,故由基本结论知,当[)1,1-∈x 时,()x x f =在[)1,1-上连续;同理,()x f 在()1,-∞-及(),,1+∞上也连续.又()()==----→x f f x 1lim 0111lim 1=--→x ;()()==+-+-→x f f x 1lim 011lim 1-=+-→x x ,因为()≠--01f ()01+-f ,故1-=x 是第一类的跳跃间断点.又()()==--→x f f x 1lim 011lim 1=-→x x ;()()==++→x f f x 1lim 0111lim 1=+→x ,因为 ()≠-01f ()()101f f =+,故()x f 在1=x 处连续. 5.求下列函数的连续区间,并求出指定的极限:(1)()633223-+--+=x x x x x x f ,求().lim 0x f x →(2)()⎩⎨⎧≤<≤≤-=.31,3,10,12x x x x x f ,求().lim 2x f x →(3)()32231+-=x x x f 求().lim 0x f x →(4)())2ln(x x f -=,求().lim 7x f x -→解:(1)当062=-+x x ,即2=x 或3-=x 时,()633223-+--+=x x x x x x f 无定义,故函数的定义域为()()()+∞--∞-,22,33, .由于()x f 是初等函数,因此由基本结论:一切初等函数在其定义区间内都连续,知()x f 的连续区间为()3,-∞-或()2,3-或()+∞,2.因为()2,30-∈,故()x f 在0=x 处连续,所以有0lim →x ()633lim 2230-+--+=→x x x x x x f x ().210==f (2)因为12-x 是初等函数,且[)1,0是其定义区间,故由基本结论知,当[)1,0∈x 时,()12-=x x f 在[)1,1-上连续;同理,()x f 在()3,1上也连续.又()()==--→x f f x 1lim 01()112lim 1=--→x x ;()()==++→x f f x 1lim 0133lim 1=+→x x ,因为 ()≠-01f ()01+f ,故1=x 是第一类的跳跃间断点. 综上分析,()x f 的连续区间为[)1,1-或()3,1. 因为()3,12∈,故()x f 在2=x 处连续,所以有 2lim →x ()x x f x 3lim 2→=().62==f(3)当0232=+-x x ,即1=x 或2=x 时,()32231+-=x x x f 无定义,故函数的定义域为()()()+∞∞-,22,11, .由于()x f 是初等函数,因此由基本结论:一切初等函数在其定义区间内都连续,知()x f 的连续区间为()1,∞-或()2,1或()+∞,2.因为()1,0∞-∈,故()x f 在0=x 处连续,所以有 0lim →x ()320231lim+-=→x x x f x ().2103==f(4)())2ln(x x f -=的定义域是()2,∞-,故()x f 的连续区间为()2,∞-. 因为()2,7∞-∈-,故()x f 在7-=x 处连续,所以有 7lim -→x ())2ln(lim 7x x f x -=-→().9ln 7=-=f6.设函数()⎩⎨⎧≥+<=.0,,0,x x a x e x f x 应当怎样选择常数a ,使()x f 成为()+∞∞-,内的连续函数?解:当()0,∞-∈x 时,()x e x f =为初等函数,则当()0,∞-∈x 时,()f x 为连续函数;当()+∞∈,0x 时,()x a x f +=为初等函数,则当()+∞∈,0x 时,()f x 为连续函数.要使得()x f 成为()+∞∞-,内的连续函数,只须()f x 在0x =处也连续.因()()==--→x f f x 0lim 001lim 0=-→x x e ;()()==++→x f f x 0lim 00a x a x =+-→)(lim 0故只有当()()()0lim lim 0x x f x f x f -+→→==,即1=a 时,()x f 在0x =处也连续.7.证明方程135=-x x 至少有一个根介于1和2之间. 证明:设()135--=x x x f ,()f x 在[]2,1上连续,又()031<-=f ,()0252>=f ,故由闭区间上连续函数的零点定理知,至少存在一点()2,1∈c ,使()0.f c =从而方程135=-x x 至少有一个根c 介于1和2之间.习题1某顾客向银行存入本金p 元,n 年后他在银行的存款额是本金及利息之和.设银行规定年利率为r ,根据下述不同的结算方式计算顾客年后的最终存款额. (1)每年结算一次; (2)每月结算一次,月利率为12r; (3)每年结算m 次,每个结算周期的利率为mr ; (4)当m 趋于无穷大时,结算周期为无穷小,这意味着银行连续不断的结算、付利息,这种存款方法称为连续复利.试计算在该情况下顾客n 年后的最终存款额.解:(1)n r p )1(+;(2)n r p 12)121(+;(3)mn mrp )1(+;(4)nr pe (1)设n 年后顾客在银行的最终存款额为y (元),则 y2.空气通过盛有2CO 吸收剂的圆柱形器皿,已知它吸收2CO 的量与2CO 的浓度及吸收厚度成正比.今有2CO 含量为%8的空气通过厚度为10cm 的吸收层后,其2CO 的含量为%2.问:(1)若通过的吸收层的厚度为cm 30,出口处空气中2CO 的含量是多少?(2)若要使出口处空气中2CO 的含量%1,其吸收层的厚度应该为多少?解:将吸收层分成n 层逐层考虑,然后考虑∞→n 时出口处2CO 含量的极限,得到出口处2CO 含量y 与吸收层厚度d 之间的函数关系.第一层吸收量:n kd %8,剩余量:)1%(8n kd-; 第二层吸收量:)1(%8n kd n kd -,剩余量:2)1%(8nkd-;……第n 层吸收量:1)1(%8--n n kd n kd ,剩余量:n nkd)1%(8-; ∞→n 时得到出口处2CO 含量kd n n e nkdy -∞→=-=%8)1%(8lim .由已知,cm d 10=时,%2=y ,所以52ln =k(1)cm d 30=时,%125.0=y ; (2)%1=y 时,cm d 15=(1)设当空气中2CO 的浓度为(%)a ,吸收层的厚度为()cm b 时,对应吸收2CO 的量为(%).c 根据题意,可设b kac .= )0(>k ① 由题意,可得k 1086⨯= ② 由①可得 .403=k 故 b a c .403=③ 若吸收层的厚度为cm 30,即30=b ,则由③式解得()%18308403=⨯⨯=c , 所以出口处空气中2CO 的含量为(2)若出口处空气中2CO 的含量%1,则吸收的2CO 的量为(%)a复习题一1.选择题:(1)函数()x x x f 21-=的定义域是(B )A. []1,1-B. [)(]1,00,1 -C. (]1,-∞-D. [)+∞,1 (2).已知下列四组函数:①()112--=x x x f 与()1+=x x g ; ② ()32x x f -=与()x x x g 2-=;③()122-+=x x x f 与()122-+=t t t g ;④()⎩⎨⎧<<-<<-+=.,10,1,01,1x x x x x f 与()()x f x g 1-=.其中表示同一函数的(C )A. ①③B. ②④C. ③④D. ①④(3).设定义在R 上的函数()x x x f =,则()x f 是(A ) A. 奇函数又是增函数 B. 偶函数又是增函数 C. 奇函数又是减函数 D. 增函数又是减函数(4).已知⎪⎩⎪⎨⎧>+=<=0,10,0,0)(x x x x f ππ,则()[]{}x f f f 的值是(A ) A. 1+π B. 0 C. 1 D. π 解:当0<x 时,()[]{}()[]()10+===ππf f f x f f f ; 当0=x 时,()[]{}()[]()110+=+==πππf f f f f f ; 当0>x 时,()[]{}()[]().111+=+=+=πππf f f x f f f(5)若函数()x f 的反函数图像过点()5,1,则函数()x f y =的图像必过点(C ) A. ()1,1 B. )5,1( C. ()1,5 D. ()5,5 (6)下列极限中,值为1的是(C ) A. x xx sin .2limπ∞→ B. x xx sin .2lim 0π→C. xxx sin .2lim2ππ→D. x xx sin .2lim ππ→(7)=⎪⎭⎫⎝⎛-→x x x x x sin 11sin lim 0(A )A. 1-B. 1C. 0D. 不存在 解:01sinlim 0=→x x x ;1sin .1lim 0=→x x x ,所以.110sin 11sin lim 0-=-=⎪⎭⎫⎝⎛-→x x x x x(8)下列函数中,① )1ln(+x ② x xe 2- ③ x1arctan ④ )sgn(x x 在()+∞∞-,上连续的是(B )A. ①③;B. ②④;C. ③④;D. 不存在解:注意到.)sgn(x x x =2.试证,1→x 时,31x -是1-x 的高阶无穷小.证明:因为=--→11lim 31x x x ()=---+-→1111lim 31x x x 311)1(31lim 1-=---→x x x ,所以1→x 时,31x -是1-x 的同阶无穷小.原题有误.3.设函数()⎪⎪⎩⎪⎪⎨⎧>≤<+≤+=.1,2,10,1,0,232x xx x x x x f 请分别讨论0→x 及1→x 时()x f 的极限是否存在.解:(一)()()==---→x f f x 0lim 00()223lim 0=+--→x x ;()()==++-→x f f x 0lim 00()11lim 20=++-→x x ;因为()()0000+≠-f f ,所以()x f x 0lim -→不存在.(二)()()==---→x f f x 1lim 01()21lim 21=+--→x x ;()()==++-→x f f x 1lim 0122lim 0=+-→xx ; 因为()()0101+≠-f f ,所以().2lim 1=-→x f x4.计算下列极限:(1)35lim 22-+→x x x ; (2)4586lim 224+-+-→x x x x x ; (3)121lim 22---∞→x x x x .(4)x x x 20sin lim →; (5)⎪⎭⎫ ⎝⎛---→311311lim x x x ; (6)x x x 21lim 0+→. 解:(1).935lim22-=-+→x x x ; (2)4586lim 224+-+-→x x x x x ()()()()4142lim 4----=→x x x x x 3212lim 4=--=→x x x ;(3)121lim 22---∞→x x x x 2111211lim 22=⎪⎭⎫⎝⎛--⎪⎭⎫ ⎝⎛-=∞→x x x x ; (4)x x x 20sin lim→001.sin lim 220=⨯==→x xxx ; (5)⎪⎭⎫ ⎝⎛---→311311lim x x x 32112lim x x x x --+=→()()()2111)2(1lim x x x x x x ++-+-=→ 112lim21=+++-=→x x x x ;(6)x x x 21lim 0+→()xx x 1021lim +=→()2221021lim e x x x =⎥⎦⎤⎢⎣⎡+=→. 5.已知22lim 222=--++→x x bax x x ①,求常数a 和.b 解:因为()02lim 22=--→x x x ,故()b a b ax x x ++=++=→24lim 022即 42--=a b ② 将②代入①得()242lim2222----++=→x x a ax x x ()()()()1222lim 2+-++-=→x x a x x x 3412lim2ax a x x +=+++=→ ③ 由③解得 .2=a6.设函数()[]⎪⎪⎪⎩⎪⎪⎪⎨⎧>+-=≤-=.0,)ln(ln 1,0,,0,cos 1sin 2x x x x xx b x x axx f 问b a ,为何值时,()x f 在()+∞∞-,内连续.解:当()0,∞-∈x 时,()xax x f cos 1sin -=为初等函数,故当()0,∞-∈x 时,()f x 为连续函数;当()+∞∈,0x 时,()[])ln(ln 12x x x xx f +-=为初等函数,故当()+∞∈,0x 时,()f x 为连续函数.要使得()x f 成为()+∞∞-,内的连续函数,只须()f x 在0x =处也连续.因()()==--→x f f x 0lim 00=--→xax x cos 1sin lim 0⎪⎭⎫ ⎝⎛---→2sin 211sin lim 20x ax x2sin2sin lim 0xax x -=-→a xax x 22.2lim 0-=-=-→;()()==++→x f f x 0lim 00-→0lim x [])ln(ln 12x x x x +--→=0lim x xx x x +-2ln 1-→=0lim x ().11ln -=+-xx故只有当()()()0lim lim 0x x f x f x f -+→→==,即12-=-a 时,亦即22=a 时,()x f 在0x =处也连续,从而()x f 在()+∞∞-,内连续. 7.已知()32231+-=x x x f ,求函数的连续区间,并求().lim 0x f x →解: ()32231+-=x x x f 是初等函数,其定义域为()()()+∞⋃⋃∞-,22,11..因()1.∞-是()x f 的定义区间,故由基本结论知,当()1,∞-∈x 时,()32231+-=x x x f 在()1,∞-上连续;同理,()x f 在()2,1及()+∞,2上也连续.综上()x f 的连续区间是()1,∞-、()2,1及()+∞,2. 因为()1,0∞-∈,故()x f 在0=x 处连续,所以有 0lim →x ()0lim→=x x f 32231+-x x ().2103==f8.若函数()x f 在闭区间[]b a ,上连续,()a a f <,()b b f >,证明:至少存在一点()b a ,∈ξ,使得()ξξ=f .证明:设()()x x f x F -=,则()x F 在[]b a ,上连续,又()()0<-=a a f a F ,()()0>-=b b f b F ,故由闭区间上连续函数的零点定理知,至少存在一点()b a ,∈ξ,使()0=ξF ,即()ξξ=f .习题1.是非判断题(1)()()[]'='00x f x f .(×);(2)若()x f 在0x 处不连续,则()0x f '必不存在.(√); (3)若()x f 在0x 处不可导,则在0x 处必不连续(×); (4)若曲线()x f y =在0x 处存在切线,则()0x f '必存在(×); (5)函数在一点处的导数就是该曲线在该点处的切线的斜率.(√); 2.单项选择题:(1)当自变量x 的由0x 改变到x x ∆+0时,()x f y =的改变量=∆y (C ) A. ()x x f ∆+0 B. ()x x f ∆+'0 C. ()()00x f x x f -∆+ D. ()x x f ∆0(2).函数()x f 在0x x =处连续是()x f 在0x 处可导的(A ) A. 必要但非充分条件 B. 充分但非必要条件 C. 充分必要条件 D. 既非充分又非必要条件 (3).若函数()x f 在0x x =处可导,则()x f 在0x x =处(A ) A. 可导 B. 不可导 C. 连续但未必可导 D. 不连续解:因为()()x fx f 2=,由求导法则知()x f 在0x x =处也可导.3.用定义求x y =在4=x 处的导数,并求在相应点处曲线的切线方程. 解:()42lim44--='→x x y x ()()244lim4+--=→x x x x .4121lim 4=+=→x x 曲线x y =在4=x 处的切线为).4(412-=-x y 4.设()00=f ,()0f '存在,求().limxx f x →解:()=→x x f x 0lim()()().000lim 0f x f x f x '=--→5.讨论下列函数在0=x 处的连续性与可导性.⎪⎩⎪⎨⎧=≠=.0,0,0,1sin 2x x xx y 解:(一)连续性因为()=→x f x 0lim ()001sinlim 20f xx x ==→,故函数在0=x 处的连续.(二)因为()()=--→00lim0x f x f x 01sin lim 0=→xx x ,故函数在0=x 处可导,且()00='f . 6.假设下列各题中的()()x f x f ''',在0x 的某邻域内都存在,按照导数的定义观察,A 表示什么? (1)()()A xx f x x f x =∆-∆-→∆000lim,则=A ()0x f '-;解:()()=∆-∆-→∆x x f x x f x 000lim()()()()0000lim .1x f x x f x x f x '-=∆--∆--→∆.(2)()A xx f x =→0lim,其中()00=f ,且()0f '存在,则=A ()0f ';(3)()()A hh x f h x f x =--+→∆000lim,则=A ()02x f ';解:()()hh x f h x f x --+→∆000lim()()[]()()[]hx f h x f x f h x f x 00000lim----+=→∆()()h x f h x f x 000lim-+=→∆()()()()()()0000002lim x f x f x f hx f h x f x '='+'=---++→∆. (4)()()A hx f h x f x ='-+'→∆000lim,则=A ()02x f ''.解:()()()0000limx f hx f h x f x ''='-+'→∆.7.由导数的定义,求x y ln =的导函数. 解:()()x x f x x f y x ∆-∆+='→∆0lim()xxx x x ∆-∆+=→∆ln ln lim 0 x x x x ∆⎪⎭⎫ ⎝⎛∆+=→∆1ln lim 0(等价替换).1lim 0xx x x x =∆∆=→∆8.设一质点作变速直线运动,它的运动方程是322++=t t s ,求其瞬时速度().t v 解:()().22+='=t t s t v习题1.是非判断题(1)若()x f 、()x g 在0x x =处可导,则()()x g x f +在0x x =处可导.(√); (2)若()x f 、()x g 在0x x =处均不可导,则()()x g x f +在0x x =亦不可导.(×);(3)设()x x x f cos .sin =,则()()()()x x x x x f sin .cos cos .sin -=''='(×);(4)若()x f 、()x g 可导,且()()2x f x g =,则必有()()2x f x g '='(×); (5)初等函数在其定义域内是可导的(×);(6)设()2xe xf x =,则().2x e x f x='(×). 2.单项选择题:(1)曲线x x y 33-=上切线平行于x 轴的点是(C ) A. ()0,0 B. ()2,2-- C. ()2,1- D. ()2,2 解:令0332=-='x y ,解得1±=x ,故选C. (2)设()()x f x e e f y .=,且()x f '存在,则='y (D ) A. ()()+'x f x e e f .()()x f x e e f . B. ()()()x f e e f x f x ''.. C. ()()x f x e e f .' D. ()()+'x f x e e f .()()()x f e e f x f x '..解:()()x f x e e f y .=()[]()()()[]'+'=x f x x f x e e f e e f ..()[]()()()[]'+'=x f x x f x e e f e e f ..()()()()()()[]x f e e f e e e f x f x x f x x '+⎥⎦⎤⎢⎣⎡''=... ()()+'=x f x x e e e f ..()()()x f e e f x f x '... 此题有误,没有正确选项. (3)设()()x g x f =',则()=x f dxd2sin ( ) A. ()x x g sin 2()()x f x e e f . B. ()x x g 2sin C. ()x g 2sin D. ()x x g 22sin .sin 解:()=x f dxd 2sin ()()''x x f 22sin sin ()()⎥⎦⎤⎢⎣⎡''=x x x f sin .sin 2sin 2()[]x x x f cos .sin 2sin 2'=()x x f 2sin sin 2'=()x x g 2sin sin 2=. 此题有误,没有正确选项.(4)设x x y sin 21-=,则=dydx(D ) A. y cos 21- B. x cos 21-C.ycos 22- D. x cos 22-解:因为x dx dy cos 211-=,所以=dy dx.cos 22cos 21111x x dx dy -=-= (5).已知a 是大于零的常数,()()x a x f 21ln -+=,则()0f '应是(A )A. a ln -B. a lnC. a ln 21D. 21解:()()'++='--x x a a x f 22111()⎥⎦⎤⎢⎣⎡'-+=--x a a a x x 2.ln 1122.1ln 222x xaa a --+-=;().ln 0a f -='(6)已知()()()()()d x c x b x a x x f ----=,且()()()()d a c a b a x f ---='0,则=0x ( )A. a x =0B. b x =0C. c x =0D. d x =0 解:()()()()()d x c x b x a x x f -+-+-+-=ln ln ln ln ln 上式两边关于x 求导得()()dx c x b x a x x f x f -+-+-+-='1111.1 所以 ()()⎥⎦⎤⎢⎣⎡-+-+-+-='d x c x b x a x x f x f 1111()⎥⎦⎤⎢⎣⎡-+-+-+-----=d x c x b x a x d x c x b x a x 1111).)()((()))()(())()(())(())()((c x b x a x d x b x a x d x c x a x d x c x b x ---+---+---+---=所以()()()()d a c a b a a f ---='. 3.求导数:。
专升本(计算机基础)真题试卷汇编2(题后含答案及解析)题型有:1. 填空题 2. 单选题 3. 多选题 4. 判断题填空题每空2分,共20分。
请将每一个空的正确答案写在答题卡上。
1.计算机中系统软件的核心是_________,它主要用来控制和管理计算机的所有软硬件资源。
正确答案:操作系统解析:系统软件包括操作系统、数据库管理系统和程序设计语言三类,其中操作系统主要用于控制和管理计算机的所有软硬件资源,它是最核心的系统软件。
知识模块:计算机基础2.信息是自然界和人类社会中存在的一切物质和事物的属性。
使用计算机处理信息时,必须将处理的信息转化为___________。
正确答案:数据涉及知识点:计算机基础3.二进制数1101101.10101转换成十六进制数是_________,转换成十进制数是_____________。
正确答案:6D.A8、109.65625解析:二进制转换成十六进制数知识模块:计算机基础4.八进制数126对应的十进制数是860。
( )正确答案:错误解析:将八进制数126按权计算即可得其十进制数据为86。
知识模块:计算机基础5.在计算机中,应用最普遍的字符编码是__________。
正确答案:ASCII码解析:目前采用的字符编码主要是ASCII码,它是American Standard Code for Information Interchange的缩写(美国标准信息交换码),它已被国际标准化组织(ISO)采纳,作为国际通用的信息交换标准代码,ASCII码是一种西文机内码。
知识模块:计算机基础单选题每题1分,共50分。
下列各题中,只有一个备选项最符合题意,请将你认为最符合题意的一个备选项序号填在括号内,错选或不选不得分。
6.显示器的分辨率不受__________的影响。
A.显示器的尺寸B.显像管点距C.字长D.电路特性正确答案:C 涉及知识点:计算机基础7.__________分辨率不是设备的主要性能指标。
计算机数学基础(2)作业1一、单项选择题1.数值x*的过似值x ,那么按定义x 的相对误差是( )。
A . B .C .D .2.当一个数x 表成x=±0.a1a2 … an ×10 m时,其中 是a1a2 ,…, an 是0~9之中的自然数,且a1≠0,e=|x - x*|≤ε=0.5×10m -l ,1≤1≤n ,则称x 有( )位有效数字。
A .mB .m - lC .nD .l 3.设 x=37.134678,取5位有效数字,x ≈( )。
A .37.1347B .37.13468C .37.135D .37.13467 二、填空题1.如果近似值 x 的误差限 是它某一个数位的 半个 单位,我们就说 x 准确到该位。
2 .用mm 刻度的米尺测量一长度为x*的物体,测得近似值为x ,那么x 与x*之差的误差的误差限是 。
3.近似值作四则运算后的误差限公式ε(x 1 + x 2) =)()(21x x εε+,ε(x1 - x2) =)()(21x x εε+。
4.在运算过程中舍入误差不增加的算法称为数值稳定的算法。
5.数值计算中,普遍应注意的原则是 使用数值稳定的算法 ,防止两个相近数相减 , 简化计算步骤,减少运算次数,避免除数的绝对值远小于被除数的绝对值 ,防止大数“吃掉”小数 。
三、计算题1. 表中各 x 的值都是精确值 x* 进行四舍五入得到的近似值,试分别指出其绝对误差限、2 .在下面 y 的计算中;那一个算得准,为什么?(1)已知|x|<< 1,(A ) y= - (B ) y=(2) 已知|x|<< 1,(A ) y= (B ) y=x* - x x x - x*|x – x*| x | x* - x|| x*|x* 1 (1+2x)(1+x) 11+x 2x 2 1+ 2x x2sin 2xx1-cos2x3.正方形的一连长约100cm ,问测量边长时允许绝对误差为多大,才能保证面积的绝对误差不超过1cm 2?计算机数学基础(2)作业2一、单项选择题1.用顺序消去法解线性方程组,消元过程中要求( )。
计算机数学基础(2)作业4选解一、单项选择题1. 二分法求方程f (x )=0在区间[a ,b ]内的根,二分次数n ( ). A. 只与函数f (x )有关 B.只与根的分离区间的长度以及误差限有关 C. 与根的分离区间长度、误差限以及函数f (x )都有关 D. 只与误差限有关 答案:B . 解答:由二分有根区间次数公式12ln ln )ln(---≥εa b n可知,n 只与有根分离区间长度b -a 、误差限ε有关.故选项B 正确.4.弦截法是通过曲线上的点(x k -1,f (x k -1))和(x k ,f (x k ))的直线与( )的交点的横坐标作为方程f (x )=0的近似根.A. y 轴B.y =xC. y =ϕ(x )D. x 轴 答案:D . 解答:弦截法是通过曲线上的点(x k -1,f (x k -1))和(x k ,f (x k ))的直线与x 轴的交点的横坐标作为方程f (x )=0的近似解.故选项D 正确.5. 解初值问题⎩⎨⎧=='00)(),(y x y y x f y 近似解的梯形公式是y k +1≈( ).A.)],(),([211++++k k k k k y x f y x f hy B.)],(),([211++-+k k k k k y x f y x f hyC. )],(),([211+++-k k k k k y x f y x f hy D.)],(),([211k k k k k y x f y x f hy --++答案:A . 解答:初值问题的数值解时由x =x k 处的近似值去求x =x k +1处的近似值,对初值问题的方程两边积分得到⎰+=-+1d ))(,()()(1k kx x k k x x y x f x y x y用梯形求积公式得到))](,()(),([2)()(111++++=-k k k k k k x y x f x y x f h x y x y用近似值替代y (x k ),y (x k +1),有梯形公式 )],(),([2)(1111++++++=≈k k k k k k k y x f y x f h y y x y故选项A 正确. 6. 改进欧拉法的校正值公式 ))](,(),([211++++=k k k k k x f y x f h y y .A.y k +1,B.y kC.k yD.1+k y 答案:D .解答:改进的欧拉法是在梯形公式y k +1=)],(),([2111+++++=k k k k k k y x f y x f h y y基础之上,将梯形公式中未知的y k +1用预报值1+k y 替换,故选项D 正确.7. 四阶龙格−库塔法的计算公式是y k +1=( )A. )(64321κκκκ++++h y kB.)22(64321κκκκ++++h y kC. )2222(64321κκκκ++++h y k D. )22(64321κκκκ++++h y k答案:B .解答:一阶常微分方程初值问题数值解的基本公式是欧拉公式y k +1≈),(k k k y x hf y +就是y k 的值加上h 倍的某个斜率.欧拉公式是y k 的值加上h 倍的(x k ,y k )点处的斜率.而四阶龙格-库塔法就是y k 的值加上h 倍的区间[x k ,x k +1]上某四个点的曲线上点处的斜率加权平均.因为κ1,κ2,κ3,κ4都是斜率,因此它们的系数之和应为1.选项B 和D ,κ1,κ2,κ3,κ4的系数之和都为1.都有可能是四阶龙格-库塔法的公式.但是系数比为1:2:2:1才是常用的四阶龙格-库塔法公式.故选项B 正确. 二、填空题1. 用二分法求方程f (x )=0在区间[a ,b ]内的根,误差限为ε>0.那么二分次数n +1的估计计算公式是n +1≥ .答案:ln()ln ln b a --ε2.解答:请见第13章13.1节二分次数公式(1.3)的推导. 2. 求方程f (x )=0的近似根,只有能把方程表成同解的方程 ,才可以用简单迭代法求解. 答案:x =ϕ(x ).解答:请见第13章13.2节简单迭代法的推导.3. 用牛顿法求方程的近似根的迭代公式是x n = ,要求满足的条件是 . 答案:)()(111---'-=n n n n x f x f x x (n =1,2,…);0)(≠'x f .解答:请见第13章13.3节牛顿法迭代公式(3.2)的推导.4. 弦截法求方程f (x )=0的近似根的迭代公式是 . 答案:x x f x f x f x n n n n n n =--=----111223()()()(,,).解答:请见第13章13.4节弦截法迭代公式(4.2)的推导. 5. 改进欧拉公式预报值=+1k y . 答案:),(k k k y x hf y +.解答:改进欧拉法的预报-校正公式的预报公式就是欧拉公式. 6. .四阶龙格−库塔法的局部截断误差是 .答案:O (h 5). 三、计算题1. 用二分法求方程x 5-x -2=0之近似根(精确到0.01): 解 f (x )=x 5―x ―2. 易得f (0)=-2<0,f (1)=-2<0,f (1.5)≈4.09>0.f (1)f (1.5)<0,区间[1,1.5]是一个有根区间.误差项ε=0.01,求区间[1,1.5]内的方程f (x )=0的根,需要二分有根区间次数为644.412ln 01.0ln 5.0ln 12ln ln )ln(≈--=---≥εa b n取n =5.计算列在下表中.1 1.25 1.5 1.375 +2 1.25 1.375 1.3125 +3 1.25 1.3125 1.28125 +4 1.25 1.28125 1.265625 - 5 1.265625 1.28125 1.2734375 +6 1.265625 1.2734375 1.26953125取x *≈1.2695.3. 用牛顿法求方程x -x sin =0.5的根.使其精确到0.000001. 解 f (x )=x -x sin -0.5, 容易验算f (0)=-0.5<0,f (1)=1―1sin ―0.5≈-0.34<0,f (1.5)=1.5―1sin .5―0.5≈0.0025 >0.f (1)f (1.5)<0,取有根区间[1,1.5].又 x x f x x f s i n )(,c o s 1)(=''-=', f (1)f "(1)≈(-0.34)×0.84<0,而f (1.5)f "(1.5)≈0.0025×0.997>0 取初始值x 0=1.5.牛顿法迭代公式为x k +1=x k -kk k k k k x x x x x f x f cos 15.0sin )()(----=',k =0,1,2,…当k =0时,x 0=1.5,代入公式,有x 1=1.5≈----5.1cos 15.05.1sin 5.1 1.4973043,∣x 1-x 0∣≈0.002695699.当k =1时,x 1=1.4973043,代入公式,有 x 2=1.4973043≈----4973043.1cos 15.04973043.1sin 4973043.1 1.49730039,∣x 2-x 1∣≈0.000004.得到方程x -x sin =0.5的根x *≈1.49730039.5. 用弦截法求下列方程x 4-3x +1=0的实根(精确到0.01).解 f (x )=x 4-3x +1,经验算得f (0)=1>0,f (1)=-1<0,所以,取x 0=0,x 1=1.弦截法得迭代格式是)()()()(111--+---=k k k k k k k x x x f x f x f x x ,k =1,2,…应为f (x )=x 4-3x +1,有迭代公式3))((13)(3313121241141441-+++--=-+--+--=-----+k k k k k k k k k k k k k k k k k x x x x x x x x x x x x x x x x x ,即3))((13121241-+++--=--+k k k k k k k k x x x x x x x x ,k =1,2,…当k =1时,x 0=0,x 1=1,代入公式,有3)01)(01(113112242-+++⨯--=x =0.5,∣x 2-x 1∣=0.5. 当k =2时,x 1=1,x 2=0.5,代入公式,有 3)15.0)(15.0(15.035.05.02243-+++⨯--=x ≈0.111 111,∣x 3-x 2∣=0.388 889.当k =3时,x 3=0.111 111,x 2=0.5,代入公式,有3)5.0111111.0)(5.0111111.0(1111111.03111111.0111111.02244-+++⨯--=x ≈0.345933,∣x 4-x 3∣=0.234 822.当k =4时,x 4=0.345 933,x 3=0.111 111,代入公式,有3)111111.0933345.0)(111111.0933345.0(1933345.03933345.0933345.02245-+++⨯--=x ≈0.337 946∣x 5-x 4∣=0.007 993.当k =5时,x 5=0.337 946,x 4=0.345 933,代入公式,有3)933345.0946337.0)(933345.0946337.0(1946337.03946337.0946337.02246-+++⨯--=x ≈0.337 66∣x 4-x 3∣=0.000294 822.满足精度要求,取方程x 4-3x +1=0的根x *≈0.337 66注意:f (2)=24-3×2+1=11>0,可见在区间[1,2]内也有实根,为x *≈1.30749. 6. 试用欧拉法求初值问题xy d d =1-xy , y |x =0=0在x =0.1, 0.2, 0.3, 0.4, 0.5处的近似解. 解 由已知,h =0.1,f (x ,y )=1-xy .欧拉法的公式为 y k +1=y k +hf (x k ,y k )=y k +0.1×(1-x k y k ),k =0,1,2,… (*) 当k =0时x 0=0,y 0=0,代入公式(*),y 1=y 0+0.1×(1-x 0y 0)=0+0.1×(1-0×0)=0.1.当k =1时x 1=0.1,y 1=0.1,代入公式(*),y 2=y 1+0.1×(1-x 1y 1)=0.1+0.1×(1-0.1×0.1)=0.199.当k =2时x 2=0.2,y 1=0.199,代入公式(*),y 3=y 2+0.1×(1-x 2y 2)=0.199+0.1×(1-0.2×0.199)=0.295 0.当k =3时x 3=0.3,y 3=0.2950,代入公式(*),y 4=y 3+0.1×(1-x 3y 3)=0.295 0+0.1×(1-0.3×0.295 0)=0.386 2.当k =4时x 4=0.4,y 4=0.3862,代入公式(*),y 5=y 4+0.1×(1-x 4y 4)=0.3862+0.1×(1-0.4×0.3862)=0.470 8.7. 用改进欧拉法解初值问题⎪⎩⎪⎨⎧=≤≤-=0)0(10)1(10d d y x y x xy取步长h =0.2. 保留五位有效数字. 并与精确解25x e 1--=y 项比较. 解 方法1. 由题设,取步长h =0.2.此时f (x ,y )=10x(1-y ) 欧拉预报-校正公式为:⎪⎩⎪⎨⎧++=+=++++)],(),([2),(1111k k k k k k k k k k y x f y x f h y y y x hf y y 校正值预报值建立本题迭代公式为:)5,4,3,2,1,0()1()1()1(21111-⎪⎩⎪⎨⎧-+-+=-+=++++k y x y x x y y x y y k k k k k k k k k k (1) 当x 0=0,y 0=0,x 1=0.2时,有⎪⎩⎪⎨⎧=-+-+==-+=2.0)1()1(0)1(21100010001y x y x x y y x y y1813.0e 1)2.0(20.25=-=⨯-y(2) 当x 1=0.2,y 1=0.2,x 2=0.4时,有⎪⎩⎪⎨⎧=⨯+⨯+=-+-+==-+=552.048.04.02.08.02.0)1()1(52.0)1(22211121112y x y x x y y x y y5507.0e 1)4.0(20.45=-=⨯-y(3) 当x 2=0.4, y 2=0.552,x 3=0.6时,有⎪⎩⎪⎨⎧=-⨯+⨯-+=-+-+==-⨯+=-+=7850.0)9104.01(6.0552.0)4.01(4.0)1()1(9104.0)552.01(4.02552.0)1(23322232223y x y x x y y x y y 8347.0e 1)6.0(20.65=-=⨯-y (4) 当x 3=0.6, y 3=0.7850,x 4=0.8时,有⎪⎩⎪⎨⎧=-⨯+⨯-+=-+-+==-⨯+=-+=8796.0)043.11(8.0785.0)6.01(6.0)1()1(043.1)785.01(6.02785.0)1(24433343334y x y x x y y x y y 9592.0e 1)8.0(20.85=-=⨯-y(5) 当x 4=0.8, y 4=0.8796,x 5=1.0时,有⎪⎩⎪⎨⎧=-⨯+⨯-+=+-+==-⨯+=-+=9037.0)0722.11(0.18796.0)8.01(8.0)1(0722.1)8796.01(8.028796.0)1(25544454445y x y x x y y x y y9933.0e 1)0.1(21.05=-=⨯-y 方法2.平均形式的公式:⎪⎩⎪⎨⎧+=+=+),(),(1p k k c k k k p y x hf y y y x hf y y )1,...2,1,0)((211-=+=+n k y y y c p k建立本题迭代公式:⎪⎩⎪⎨⎧-+=-+=+)1(2)1(21p k k ck k k p y x y y y x y y )4,3,2,1,0)((211=+=+k y y y c p k(1) 当x 0=0,y 0=0,x 1=0.2时,有2.0)4.00(21)(214.0)01(2.020)1(20)1(2110000=+=+=⎪⎩⎪⎨⎧=-⨯+=-+==-+=c p p c p y y y y x y y y x y y(2) 当x 1=0.2,y 1=0.2,x 2=0.4时,有552.0)(21584.048.04.022.0)1(252.08.02.022.0)1(2221111=+=⎪⎩⎪⎨⎧=⨯⨯+=-+==⨯⨯+=-+=c p p c p y y y y x y y y x y y(3) 当x 2=0.4, y 2=0.552,x 3=0.6时,有7850.0)(216595.0)9104.01(6.02552.0)1(29014.0448.04.02552.0)1(2332222=+=⎪⎩⎪⎨⎧=-⨯⨯+=-+==⨯⨯+=-+=c p p c p y y y y x y y y x y y(4) 当x 3=0.6, y 3=0.784,x 4=0.8时,有8796.0)(217162.0)043.11(8.02785.0)1(2043.1)785.01(6.027850.0)1(2443333=+=⎪⎩⎪⎨⎧=-⨯⨯+=-+==-⨯⨯+=-+=c p p c p y y y y x y y y x y y(5) 当x 4=0.8, y 4=0.8796,x 5=1.0时,有9037.0)(217352.0)0722.11(0.128796.0)1(20722.1)8796.01(8.028796.0)1(2554444=+=⎪⎩⎪⎨⎧=-⨯⨯+=-+==-⨯⨯+=-+=c p p c p y y y y x y y y x y y两种方法的结果基本一致.8. 取步长h =0.2, 用四阶龙格−库塔法求解初值问题⎪⎩⎪⎨⎧=≤≤+='1)0()10(13y x x y y解 应为f (x ,y )=13+x y ,h =0.2,四阶龙格−库塔法解初值问题的公式为y k +1=y k +]22[64321κκκκ+++h (*)其中13),(1+==k k k k x y y x f κ,1.13.0312233)2,2(1112++=+++=++=k k k k k k x y h x hy hy h x f κκκκ, 1.13.0312233)2,2(2223++=+++=++=k k k k k k x y h x h y h y h x f κκκκ,2.16.03133),(3334++=+++=++=k k k k k k x y h x h y h y h x f κκκκ,即计算公式为:131+=k k x y κ,1.13.0312++=k k x y κκ,1.13.0323++=k k x y κκ,2.16.0334++=k k x y κκ,当k =0时,x 0=0,y 0=1,h =0.2,先求κk (k =1,2,3,4),再代入(*)式.有3101313001=+⨯=+=x y κ,1.1033.0131.13.030102+⨯+⨯=++=x y κκ≈3.545 45,1.1054545.33.0131.13.030203+⨯+⨯=++=x y κκ≈3.69421, 2.1069421.36.0132.16.030304+⨯+⨯=++=x y κκ≈4.34711于是, y 1=y 0+]22[64321κκκκ+++h]34711.469421.3254545.323[62.01+⨯+⨯++=≈1.72755当k =1时,x 1=0.2,y 1=1.72755,h =0.2,先求κk (k =1,2,3,4),再代入(*)式.有 12.072755.1313111+⨯=+=x y κ≈4.31888,1.12.031888.43.072755.131.13.031112+⨯+⨯=++=x y κκ≈4.983 32, 1.12.032983.43.055727.131.13.031213+⨯+⨯=++=x y κκ≈5.136 665, 2.12.0665136.56.072755.132.16.031314+⨯+⨯=++=x y κκ≈5.903 31于是, y 2=y 1+]22[64321κκκκ+++h]31903.565136.5232983.4288318.4[62.072755.1+⨯+⨯++=≈2.742 95当k =2时,x 2=0.4,y 2=2.742 95,h =0.2,先求κk (k =1,2,3,4),再代入(*)式.有 14.095742.2313221+⨯=+=x y κ=5.877 75,1.14.075877.53.095742.231.13.032122+⨯+⨯=++=x y κκ=6.661 45, 1.14.045661.63.095742.231.13.032223+⨯+⨯=++=x y κκ≈6.818 19, 2.14.019818.66.095742.232.16.032324+⨯+⨯=++=x y κκ=7.699 85于是, y 3=y 2+]22[64321κκκκ+++h]85699.719818.6245661.6275877.5[62.095742.2+⨯+⨯++=≈4.094 18当k =3时,x 3=0.6,y 3=4.094 18,h =0.2,先求κk (k =1,2,3,4),再代入(*)式.有 16.018094.4313331+⨯=+=x y κ≈7.676 59,1.16.059676.73.018094.431.13.033132+⨯+⨯=++=x y κκ≈8.579 72, 1.16.072579.83.018094.431.13.033233+⨯+⨯=++=x y κκ≈8.739 09,2.16.009739.86.018094.432.16.033334+⨯+⨯=++=x y κκ=8.280 15于是, y 4=y 3+]22[64321κκκκ+++h]15280.809739.8272579.8259676.7[62.0180947.4+⨯+⨯++=≈5.780 66当k =4时,x 4=0.8,y 4=5.780 66,h =0.2,先求κk (k =1,2,3,4),再代入(*)式.有 18.066780.5313441+⨯=+=x y κ=9.634 43,1.18.043634.93.066780.531.13.034142+⨯+⨯=++=x y κκ=10.648 58, 1.18.043648.103.066780.531.13.034243+⨯+⨯=++=x y κκ≈10.868 89, 2.18.089868.106.066780.532.16.034344+⨯+⨯=++=x y κκ=11.931 66于是, y 5=y 4+]22[64321κκκκ+++h]66931.1189868.10258648.10243634.9[62.066780.5+⨯+⨯++=≈7.921 89计算结果列在表中四、证明题 1. 试证明用二分法求方程f (x )=0在(2,3)内的实根至少要二分有根区间(2,3)9次,才能达到精确度为0.001的要求,(已知f (2)f (3)<0). 证明 由已知条件可知,有根区间是[2,3],误差项ε=0.001,求区间[2,3]内的方程f (x )=0的根,需要二分有根区间次数为965.812ln 001.0ln 12ln ln )ln(≈--=---≥εa b n 取n =9.所以,至少要二分区间9次. 2. 试证明梯形公式(1.6)是以(x k ,f (x k ,y k )),(x k +1,f (x k +1,y k +1)为插值节点的一次插值公式去代替积分⎰++=+1d ))(,(1k kx x k k x x y x f y y中的被积函数f (x ,y (x ))积分所得. 证明 过点(x k ,f (x k ,y k )),(x k +1,f (x k +1,y k +1))的线性插值多项式为),(),()())(,(111111+++++--+--=≈k k k k k k k k k k y x f x x x x y x f x x x x x P x y x f将其代入积分式,有+=+k k y y 1⎰++++++--+--1d )],(),([11111k kx x k k kk k k k k k k x y x f x x x x y x f x x x x=kk k k k k k kk k k k k k k x x x x x x y x f x x x x x x y x f y 112111121)(2)(),()(2)(),(+++++++--+--+=)(2)(),()(2)(),(12111121k k k k k k k k k k k k k x x x x y x f x x x x y x f y --+---++++++=2),(2),(1111kk k k k k k k k x x y x f x x y x f y -+--++++=)()],(),([2111k k k k k k k x x h y x f y x f h y -=+++++这正是第14章14.1节梯形公式(1.6).。
计算机基础知识参考试题及答案解析一、单选题1.下列叙述中,正确的是A)计算机的体积越大,其功能越强B)CD-ROM的容量比硬盘的容量大C)存储器具有记忆功能,故其中的信息任何时候都不会丢失D)CPU是中央处理器的简称【答案】D)【解析】中央处理器:Central Processing Unit,缩写为CPU,主要包括运算器(ALU)和控制器(CU)两大部件。
2.下列字符中,其ASCII码值最小的一个是()。
A)控制符B)9 C)A D)a【答案】A)【解析】在ASCII码表中,根据码值由小到大的排列顺序是:控制符、数字符、大写英文字母、小写英文字母。
3.一条指令必须包括A)操作码和地址码 B)信息和数据C)时间和信息 D)以上都不是【答案】A)【解析】一条指令就是对计算机下达的命令,必须包括操作码和地址码(或称操作数)两部分。
前者指出该指令完成操作的类型,后者指出参与操作的数据和操作结果存放的位置。
4.以下哪一项不是预防计算机病毒的措施?A)建立备份 B)专机专用C)不上网 D)定期检查【答案】C)【解析】网络是病毒传播的最大来源,预防计算机病毒的措施很多,但是采用不上网的措施显然是防卫过度。
5.计算机操作系统通常具有的5大功能是()。
A)CPU的管理、显示器管理、键盘管理、打印机管理和鼠标器管理B)硬盘管理、软盘驱动器管理、CPU的管理、显示器管理和键盘管理C)CPU的管理、存储管理、文件管理、设备管理和作业管理D)启动、打印、显示、文件存取和关机【答案】C)【解析】计算机操作系统通常具有的5大功能是CPU的管理、存储管理、文件管理、设备管理和作业管理。
6.微机上广泛使用的Windows2000是()。
A)多用户多任务操作系统B)单用户多任务操作系统C)实时操作系统D)多用户分时操作系统【答案】B)【解析】Microsoft公司开发的DOS是一单用户单任务系统,而Windows操作系统则是一单用户多任务系统,经过十几年的发展,已从Windows 3.1发展到目前的Windows NT、Windows 2000、Windows XP和Vista。
第1篇 一元微积分基础参考答案1.1 (A )1. (1){|11}x x -<≤; (2){|1,0}x x x <≠; (3){|15}x x ≤≤ (4){|21}x x -≤<; (5){|13}x x ≤≤; (6){|53}x x -≤≤-.2. 1(1)4f =,221()3f x x =+,()3()310x f f x x +=+.3. (3)2f =,(0)2f =,(0.5)f -4. ()g x a =.5. 各组函数均不相同(由于定义域不同).6. (1)(3)(7)偶函数; (2)(4)(6)非奇非偶函数; (5)(8)奇函数.7. 略(B )1. [2,0]-和[1,1]-2. 2()816f x x t =-+3. 2sin22sin 22x x f ⎛⎫=- ⎪⎝⎭,故2()22f x x =-. 4. (1)周期为π; (2)非周期函数; (3)周期为4.5.由于()x f 为定义在(1,1)-内的奇函数,对任意的1210x x -<<<,11()()f x f x =--,22()()f x f x =--,则1221()()()()f x f x f x f x -=---. 而2101x x <-<-<,由()x f 在(0,1)内单调增加得12()()0f x f x -<,得证.1.2 (A )1. 略.2. (1)(2)(3)(5)(6)(7)(8)是初等函数; (4)非初等函数. 提示:(8)2111y x x x=+++=- (||1)x <. (B )1. (1)x by a -=; (2)y =4y >; (3)1arcsin 32xy =,0x π<<; (4)4x y e =-.2.略3. y ,020x <<.4. ()y n b x =-,0x b ≤≤.5. 22()S x a b x ab =-++,0x b <<.6. (1)10050y n =+,020n ≤≤; (2)101050n y ==(元).7. (1)21210y R C Q Q =-=-+-,626Q y ==(万元); (2)725Q y ==(万元),销售7台时总利润下降,故不盈利.1.3 (A )1. (1)2; (2)1; (3)e ; (4)1; (5)2; (6)+∞(该极限不存在)2. 略3. 略(B )1. (1)3; (2)1; (3)1; (4)12- 2. 略3.(1)1-; (2)1e; (3)1 4. 略1.4 (A )1.(1)0; (2)2x ; (3)25-; (4)0.2.(1)3; (2)2; (3)1; (4).3.(1)e k; (2)6e .(B )1. (1)2; (2)原式5050302020(21/)2lim (11/)(31/)3x x x x →∞-==+-(3)0; (4)原式2211(1)(2)2limlim 1(1)(1)1x x x x x x x x x x →→-++==-=--++++2. (1)12; (2)123. 求下列极限. (1)3e(2) e4. 由左右极限相等知0=a .1.5 (A )1. (1)1=x 可去间断点,2=x 无穷间断点;(2)0=x 可去间断点,πk x =),2,1( ±±=k 无穷间断点; (3)0=x 震荡间断点; (4)1=x 跳跃间断点.2. 设23)(22+--=x x xx x f , 求(1)函数()f x 的连续区间 (2))(lim 1x f x →(3))(lim 2x f x →(4))(lim 3x f x →3. (1)),2()2,1()1,(+∞-∞ (2)1- (3)∞(极限不存在)(4)3(B )1. )0(f .2. 0=a 时,)(x f 在0=x 处连续;0≠a 时,)(x f 在0=x 处不连续.3. 1=a ,e b =.单元训练一【知识评估】1. (1)C ; (2)A ; (3)D ; (4)C2. (1))1,0(; (2)]33,33[-; (3)1e - 3. (1)1-; (2)2-; (3)56; (4)21; (5)1; (6)e 4. (1)略;(2)第一类可去间断点0=x ,第二类无穷间断点},2,1,|{ ±±==k k x x π. 5. 提示:构造函数1)()(-+=x x f x g ,证明)(x g 在]1,0[上有零点即可.【单元项目】第一步:借助Mathematica 软件,将所调查数据赋值于数表data 中; 第二步:利用ListPlot 函数做出散点图;第三步:利用PlotJoined->true 参数对所有散点进行综合,模拟成折线图; 第四步:利用show 函数将散点图与折线图两图合并;第五步:设定函数模型,并设定能改变函数类型的自变量范围。
. 计算机数学基础(2)作业3选解一、单项选择题1. 求积公式)1()1(f f I n +-=在[-1,1]上是( )次代数精度的. A . 1 B . 2 C . 3 D . 4 答案:A .解答:详细判断过程同“四、证明题:1”.2. 对于( )次的代数多项式,求积公式∑⎰=≈nk k kba x f Ax x f 0)(d )(精确成立,称具有m 次代数精度的. A . m B . 不超过m C . 小于m D . 大于m 答案:B .解答:见教材第12章12.1节关于m 次代数精度的定义1.3. 当n =4时,复化抛物线求积公式≈⎰ba x x f d )(( ).A .3a b -[f (x 0)+ f (x 1)+ f (x 2)+ f (x 3)+ f (x 4)] B . 12a b -[f (x 0)+4( f (x 1)+ f (x 3))+2f (x 2)+ f (x 4)] C . 6a b -[f (x 0)+2(f (x 1)+ f (x 2)+ f (x 3)]+ f (x 4)] D .3a b -[f (x 0)+2(f (x 1)+ f (x 3))+4f (x 2)+ f (x 4)]答案:B .解答:牛顿-科茨求积公式的所有系数之和等于积分的区间长度.以此检查各个选项,只有选项B 正确.4. 已知x =0,1处的函数值f (0)和f (1),那么f '(1)≈( ).A .f (0)-f (1)B . )0()1(f f -C . f (0)D .)]1()0([21f f +答案:B .解答:见教材第12章12.4节等距节点两点求导公式(4.4). 二、填空题1.科茨系数)(n k C 具有性质 和 .答案:∑=nk n k C 0)(=1;)()(n k n n kC C -=.解答:见教材关于科茨系数的两条性质,∑=nk n k C 0)(=1称为归一性.)(n k C 与a ,b 无关,)()(n kn n kCC-=(称为对称性).4. 已知f (x 0)=y 0, f (x 1)=y 1, f (x 2)=y 2,用三点求导公式,有f '(x 0)= , f '(x 1)= , f '(x 2)= , 答案:)34(21)();(21)();43(21)(21022012100y y y hx f y y hx f y y y hx f +-≈'+-≈'-+-≈'解答:见教材第12章12.4节等距节点三点求导公式(4.6). 三、计算题1. 分别用梯形公式、抛物线公式和科茨公式计算积分⎰=1d e x I x的近似值.解 将85915.1)1783.21(21d e 1≈+≈=⎰x I xT用复化梯形求积公式,25.0=h .有⎰=1d e x I xT ≈7272.1]7183.2)117.26487.1284.1(21[225.0≈++++用抛物线求积公式,h =0.5,则有71885.1]1783.26487.141[35.0d e 10=+⨯+≈=⎰x I xS用复化抛物线求积公式化,h =0.25,则有7183.1]7183.26487.12)117.2284.1(41[325.0d e 10≈+⨯++⨯+≈=⎰x I xS用科茨求积公式,有71827.1)7183.27117.2326487.112284.13217(901d e 10≈⨯+⨯+⨯+⨯+⨯≈=⎰x I xC 精确解⎰=1d e x I x=e ≈2.718282. 用两点高斯求积公式计算积分⎰+12d 1x x .解 因为这不是[-1,1]区间上的积分计算,因此需作变换,令212+=u x ,则u=2x -1.当x =1时,u =1;当x =0时,u =-1.有x x d 112⎰+=u ud )221(121112⎰-++两个节点,查表得到高斯点x 0,1=±0.5773502692,系数A 0,1=1.代入公式x x d 112⎰+=+-+2)25773502692.021(1[21])25773502692.021(12++=21(1.022085221+1.273580962)=1.147833092说明:(1)x x d 112⎰+=2112)5773502692.0(1[21d 121-+≈+⎰-x x+154700538.1])5773502692.0(12=+是不对的.这时因为作变换后,函数y =2)221(1u ++在[-1,1]上并不对称,按对称计算21u y +=不对.(2) 事实上:1))1ln(1(21d 122102x x x x x x ++++=+⎰=147793575.12)21ln(2=++4. 将区间[0,1]分成8等分,分别用复化梯形法和复化抛物线公式计算积分 ⎰+=12d 1x x I⎰+=12d 1x x I148725.1]9827.724142.2[0625.0)]3288.125.11793.1118.1068.10308.10078.1(24142.11[2125.0=⨯+⨯=++++++++≈用复化抛物线求积公式,h =0.125,有 ⎰+=12d 1x x I8147.1]8398.329583.442414.2[3125.0)]25.1118.18030.1(2)8328.13179.1068.18007.1(42414.11[3125.0≈⨯+⨯+⨯=++++++++≈ 5. ⎰=6.28.1d )(x x f I解 由题设可知,步长h =0.2,用复化梯形公式,46675.1012014.3[22.04+≈T +2×(4.42569+6.04241+8.03014)] =58337.501.0⨯=5.05834 复化抛物线公式,46675.1012014.3[32.04+≈S +4×(4.42569+8.03014)+2×6.04241] =49503.7532.0⨯=5.03300 科茨公式,)46675.1012014.3(7[908.04+⨯≈C +32×(4.42569+8.03014)+12×6.04241] =]50892.7245583.123258689.137[908.0+⨯+⨯=5.03292 四、证明题1.验证科茨求积公式)](7)(32)(12)(32)(7[90d )(43210x f x f x f x f x f a b x x f b a++++-≈⎰具有5次代数精度,其中.4),4,3,2,1,0(a b h k kh a x k -==+=证明 43,2,434,3210a b x b a x ba ab a x a x +=+=+=-+==,x 4=b .)](7)43(32)2(12)43(32)(7[90d )(b f b a f b a f b a f a f a b x x f b a+++++++-≈⎰当f (x )=1时,(*)式左边=b -a ,(*)式右边=a b a b -=⨯+⨯+⨯+⨯+⨯-]1713211213217[90=左边当f (x )=x 时,(*)式左边=2d 22a b x x ba-=⎰(*)式右边=]7433221243327[90b b a b a b a a ab ⋅++⋅++⋅++⋅+-=)(4590b a a b +⋅-=左边当f (x )=x 2时,(*)式左边=3d 332a b x x ba-=⎰(*)式右边=]7)43(32)2(12)43(327[9022222b b a b a b a a a b +++++++-=)(309022b ab a a b ++⋅-=左边当f (x )=x 3时,(*)式左边=4d 443ab x x ba-=⎰(*)式右边=]7)43(32)2(12)43(327[9033333b b a b a ba a ab +++++++-=)(245903223b ab b a a a b +++⋅-=左边 可以验证,当f (x )=x 4,x 5时,均有(*)式的左边=(*)式的右边,而当f (x )=x 6时,(*)式的左边≠(*)式的右边. 故原求积公式具有5次代数精度.5. 证明求积公式对于函数f (x )和g (x )精确成立, 则对于函数αf (x )+βg (x ) (α,β是常数)也精确成立. 证明 设求积公式 ∑⎰=≈nk k kb ax h Ax x h 0)(d )( (*)对f (x ),g (x )精确成立,有∑⎰==nk k kb ax f Ax x f 0)(d )(,∑⎰==nk k kba x g Ax x g 0)(d )(以上两式分别乘α,β,再相加,得到⎰b ax x f d )(α+⎰bax x g d )(β=∑=nk k k x f A 0)(α+∑=nk k k x g A 0)(β=])()([0∑=+nk k k k x g x f A βα因为⎰+b ax x g x f d )]()([βα=⎰b ax x f d )(α+⎰bax x g d )(β=])()([0∑=+nk k k k x g x f A βα所以,求积公式对)()(x g x f βα+也精确成立.。