福州大学2017年自主招生入围名单
- 格式:pdf
- 大小:67.93 KB
- 文档页数:3
福州大学2017 年专项录取分数福州2017 年高校专项计划不低于本校年度本科招生规模的2%(100 人),面向全国招生,今年各省份专项录取分数线如下:福州大学2017 年专项录取分数省份科类专业人数最低分类型西藏理工类食品科学与工程1463C 西藏理工类自动化1461C 西藏理工类计算机类1344C 西藏理工类电子信息类2302C 西藏理工类交通运输类2296C 西藏理工类人文地理与城乡规划2296C 湖北省理工类水利水电工程2562A 湖北省理工类土木工程2560A 湖北省理工类车辆工程2565B 湖北省理工类环境工程2558B 湖北省理工类制药工程2568C 贵州省理工电子信息类3542A 贵州省理工机械设计制造及其自动化3542A 贵州省理工计算机类4542A 贵州省理工电子商务3541B 贵州省理工工业工程3541B 贵州省理工工程管理4540B 贵州省理工安全工程2541C 贵州省理工生物医学工程2540C 贵州省理工日语1532C 云南省理工人文地理与城乡规划2560A 云南省理工水利水电工程2556A 云南省理工给排水科学与工程1554A 云南省理工信息管理与信息系统1549A 云南省理工环境工程4552B 云南省理工生物工程2550B 云南省理工材料科学与工程2549B 云南省理工建筑电气与智能化3549B 云南省理工光电信息科学与工程3547B 云南省文史法学3602A 云南省文史应用心理学2599B 陕西省理工资源勘查工程1553A 陕西省理工材料科学与工程2549A 陕西省理工物联网工程2546A 陕西省理工矿物加工工程1541B 陕西省理工化学工程与工艺2539B 陕西省理工化学2538B 陕西省理工食品科学与工程2537B 陕西省理工采矿工程1548C 陕西省理工人文地理与城乡规划2537C 福建省理工信息管理与信息系统5521A 福建省理工电子科学与技术5519A 福建省理工给排水科学与工程5518A 福建省理工建筑电气与智能化10517A 福建省。
2017年高考落榜补录学校有哪些高考补录是在高考正常录取顺序结束后,部分院校进行的第二次招生录取。
2017年补录学校名单有哪些学校?以下是blanche小编分享给大家的关于17年高考落榜补录学校,一起来看看2017高考落榜生补录吧!17年高考落榜补录学校原标题:2017自主招生大学名单北京(20所):北京大学(含北大医学部)、中国人民大学、清华大学、北京交通大学、北京科技大学、北京化工大学、北京邮电大学(含北京邮电大学宏福校区)、北京林业大学、北京中医药大学、北京师范大学、中国传媒大学、中央财经大学、对外经济贸易大学、中国政法大学、华北电力大学(含保定)、中国石油大学(北京)、北京航空航天大学、北京理工大学、北京语言大学、北京工业大学(仅本市)上海(9所):复旦大学(含复旦大学上海医学院)、上海交通大学(含上海交大医学院)、华东理工大学、东华大学、华东师范大学、上海外国语大学、上海财经大学、同济大学、上海大学(仅本市)江苏(11所):南京大学、东南大学、中国矿业大学、河海大学、江南大学、南京农业大学、中国药科大学、南京航空航天大学、南京理工大学、苏州大学、南京师范大学(仅本省)湖北(7所):武汉大学、华中科技大学、中国地质大学(武汉)、武汉理工大学、华中农业大学、华中师范大学、中南财经政法大学陕西(7所):西安交通大学、西安电子科技大学、长安大学、西北农林科技大学、陕西师范大学、西北工业大学、西北大学(仅本省) 四川(5所):四川大学、西南交通大学、电子科技大学(含电子科技大学沙河校区)、西南财经大学、四川农业大学(仅本省)山东(3所):山东大学、中国海洋大学、中国石油大学(华东)湖南(3所):湖南大学、中南大学、湖南师范大学(仅本省)黑龙江(3所):哈尔滨工业大学、哈尔滨工程大学、黑龙江大学(仅本省)重庆(3所):重庆大学、西南大学、西南政法大学(仅本省)辽宁(3所):大连理工大学、东北大学、大连海事大学广东(2所):中山大学、华南理工大学天津(2所):南开大学、天津大学安徽(2所):中国科学技术大学、合肥工业大学(含合肥工业大学宣城校区)福建(2所):厦门大学、福州大学(仅本省)吉林(2所):吉林大学、东北师范大学浙江(1所):浙江大学甘肃(1所):兰州大学河南(1所):郑州大学(仅本省)广西(1所):广西大学(仅本省)贵州(1所):贵州大学(仅本省)云南(1所):云南大学(仅本省)高考落榜怎么办一、高考落榜心态调整的方法人的一生总会遇到很多的挫折,不能因为生活中1%的失败而输掉另外的99%,下面介绍几种心态调整的方法:1、宣泄情绪。
2017年福州大学土木工程学院硕士研究生复试第(9)号公告
福州大学土木工程学院2017年招收硕士研究生录取情况公示
根据《2017年福州大学土木工程学院硕士研究生复试第(1)号公告—福州大学土木工程学院2017年招收硕士研究生复试录取政策》及《2017年福州大学土木工程学院硕士研究生复试第(8)号公告—福州大学土木工程学院2017年招收硕士研究生复试情况公示》,福州大学土木工程学院2017年招收硕士研究生复试录取公示如下:
(一)学术型硕士研究生录取情况
(二)专业型硕士研究生录取情况
(三)非全日制硕士研究生录取情况
(四)学术型硕士研究生候补情况
(五)专业型硕士研究生候补情况。
2017福州大学各专业录取分数线高考投档线(2)福州大学优势专业排名1、电气工程与自动化推荐指数: 4.7(405人推荐)2、土木工程推荐指数: 4.7(342人推荐)3、机械设计制造及其自动化推荐指数: 4.5(277人推荐)4、计算机科学与技术推荐指数: 4.4(238人推荐)5、会计学推荐指数: 4.6(218人推荐)6、经济学类推荐指数: 4.3(166人推荐)7、建筑学推荐指数: 4.8(105人推荐)8、化学类推荐指数: 4.5(102人推荐)9、信息与计算科学推荐指数: 4.6(100人推荐)10、法学推荐指数: 3.9(95人推荐)11、通信工程推荐指数: 4.7(93人推荐)12、土木工程推荐指数: 4.7(90人推荐)13、金融学推荐指数: 4.5(88人推荐)14、土建类推荐指数: 4.7(77人推荐)15、电子信息工程推荐指数: 4.6(77人推荐)16、电气类推荐指数: 4.7(70人推荐)17、电气工程及其自动化推荐指数: 4.9(60人推荐)18、化学基地班推荐指数: 4.7(56人推荐)19、软件工程推荐指数: 4.5(56人推荐)20、管理科学与工程类推荐指数: 4.7(55人推荐)福州大学2017年招生章程总则第一条根据《中华人民共和国教育法》、《中华人民共和国高等教育法》等相关法律法规和教育部有关规定,为进一步规范学校招生工作,确保招生工作顺利进行,特制定本章程。
第二条福州大学(国标代码10386),是省属公办全日制普通高等学校,国家211工程重点建设大学,福建省人民政府与国家教育部共建高校。
创建于1958年,现已发展成为一所以工为主、理工结合,理、工、经、管、文、法、艺等多学科协调发展的重点大学。
第三条学校位于福建省省会福州市,现有福州市旗山、怡山、铜盘和厦门市集美、鼓浪屿以及泉州市泉港等多个校区。
学校办学主体位于福州市大学城旗山校区,美术类和工业设计专业办学点位于厦门市集美校区,闽台合作项目办学点位于福州市铜盘校区,化学工程与工艺、过程装备与控制工程专业三、四年级在泉州市泉港校区培养。
福州大学2017 年艺术类录取分数福州大学2017 年艺术类专业录取分数线公布,yjbys 小编第一时间为大家分享福州大学2017 年艺术类分数线如下:福州大学2017 年艺术类录取分数省份科类专业人数最低分江西省艺术(文)美术学类270.33 江西省艺术(文)设计学类670.65 四川省艺术美术学类276.07 四川省艺术设计学类675.16 云南省艺术统考美术与艺美术学类275.27 云南省艺术统考美术与艺设计学类475.46 湖北省艺术类美术学类668.42 湖北省艺术类设计学类3770.65 海南省美术类美术学类266.13 海南省美术类设计学类463.02 黑龙江省文艺美术学类269.67 黑龙江省文艺设计学类671.16 福建省艺术(理)美术类美术学类2526.4 福建省艺术(理)美术类美术学类(面向厦门)2521.0 福建省艺术(理)美术类设计学类13521.7 福建省艺术(理)音乐类音乐学3550.4 福建省艺术(文)美术类美术学类12531.5 福建省艺术(文)美术类美术学类(面向厦门)4525.8 福建省艺术(文)美术类设计学类72532.2 福建省艺术(文)音乐类音乐学12563.9 江苏省艺术美术美术学类270.53 江苏省艺术美术设计学类672.11 江苏省艺术声乐音乐学(专业分)3194 天津市艺术(文)美术学类275.88 天津市艺术(文)设计学类676.28 广西省文理综合美术学类277.97 广西省文理综合设计学类674.24 贵州省艺术文理综合美术学类276 贵州省艺术文理综合设计学类476.98 湖南省美术(理)美术学类170.73 湖南省美术(理)设计学类571.17 湖南省美术(文)美术学类668.37 湖南省美术(文)设计学类3370.46 湖南省音乐(文)音乐学377.96 辽宁省艺术美术学类269.17 辽宁省艺术设计学类669.27 辽宁省艺术音乐学380.45 陕西省艺术(文)美术学类266.56 陕西省艺术(文)设计学类671.11 重庆市艺术类美术学类271.52 重庆市艺术类设。
2017福州大学录取分数线福州大学是福建省的一所国家“211工程”重点建设高校。
福州大学的录取分数线是多少呢?下面店铺为你整理了福州大学历年的录取分数线,希望对你有帮助。
2016福州大学录取分数线:文科大学名称招生地区文理类别录取批次最低分数省控线福州大学湖北文科本科一批554 523 福州大学陕西文科本科一批548 510 福州大学河北文科本科一批592 548 福州大学江西文科本科一批556 528 福州大学安徽文科本科一批637 597 福州大学河南文科本科一批545 513 福州大学辽宁文科本科一批568 530 福州大学宁夏文科本科一批546 507 福州大学云南文科本科一批583 540 福州大学浙江文科本科一批663 626 2016福州大学录取分数线:理科大学名称招生地区文理类别录取批次最低分数省控线福州大学吉林理科本科一批555 525 福州大学甘肃理科本科一批525 475 福州大学湖南理科本科一批588 526 福州大学海南理科本科一批692 608 福州大学重庆理科本科一批614 573 福州大学浙江理科本科一批650 605 福州大学山东理科本科一批612 562 福州大学湖北理科本科一批575 509福州大学福建理科本科一批594 525福州大学四川理科本科一批578 528福州大学贵州理科本科一批515 453福州大学辽宁理科本科一批528 500福州大学上海理科本科一批414 414福州大学广西理科本科一批542 480福州大学简介福州大学是国家“211工程”重点建设高校,福建省政府与教育部共建高校。
创建于1958年,现已发展成为一所以工为主、理工结合,理、工、经、管、文、法、艺等多学科协调发展的重点大学。
学校拥有旗山、厦门工艺美院(鼓浪屿院区,集美院区)、怡山、铜盘、马尾等校区,累计占地5000余亩。
学校办学主体位于福州地区闽侯县大学城316国道旁旗山校区,现有公共用房总面积110余万平方米,运动场地面积20余万平方米。
2017年福州大学自主招生计划:100人
导读:本文2017年福州大学自主招生计划:100人,仅供参考,如果能帮助到您,欢迎点评和分享。
2017年福州大学自主招生计划:100人
福州大学2017年自主招生计划招生100人。
考生须登录“阳光高考特殊类型招生报名平台”。
1.我校2017年自主招生计划为学校年度本科招生计划总数的2%以内(不超过100人),仅面向福建省招生。
2.招生专业包括:数学类、计算机类、软件工程、电气工程及其自动化、金融学、应用物理学、电子信息类、光电信息科学与工程、微电子科学与工程、机械设计制造及其自动化、化学、化学工程与工艺、生物工程、食品科学与工程、环境工程、法学、工商管理、应用心理学、汉语言文学。
3.以上各专业根据招生规模、参加考核人数及成绩分布确定具体自主招生计划数。
法学、工商管理、应用心理学、汉语言文学专业文理兼收,其他专业仅招收理工类考生。
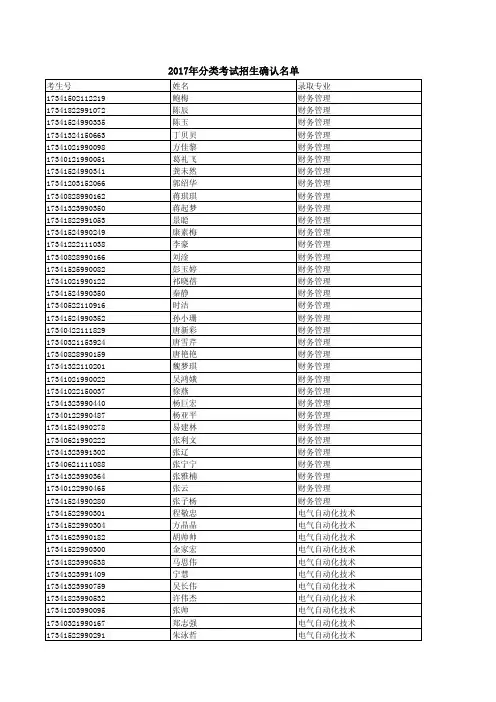
福州大学2017年自主招生入围名单
考核组别姓名成绩分组排名是否入围资格类型化学组方正94.331是A 化学组吴俊贤93.002是A 化学组廖启鸣92.333是A 化学组金宏伟91.334是A 化学组罗承淼90.675是A 化学组蔡华宾89.006是A 化学组许如意87.677是A 化学组黄雅婷87.008是A 化学组王保霖86.679是A 化学组管煜文86.3310是A 化学组刘毅槟86.3310是A 化学组陈建85.6712是B 化学组何定乾85.0013是B 化学组邱泽森84.0014是B 化学组周杰82.6715是B 化学组杜玲玲81.6716是B 化学组林诗悦81.3317否
化学组方廷玉79.3318否
化学组陈孜炯79.0019否
化学组黄秋汝74.3320否
化学组方雨73.6721否
人文社科组卢丹琪89.331是A
人文社科组林梓楠87.672是A
人文社科组庄浚锴86.333是A
人文社科组林腾龙86.004是A
人文社科组林宇晗85.675是A
人文社科组周丹烨84.006是A
人文社科组郭遥83.677是A
人文社科组吴为思82.678是B
人文社科组丘昕烨82.339是B
人文社科组吴沁灵82.0010是B
人文社科组何宇慧81.6711是B
人文社科组李雨涵78.6712是B
人文社科组黄欣月78.0013否
生物组吴欣茹94.001是A 生物组陈俊兆91.002是A 生物组陈秀花90.673是A 生物组刘婧懿90.004是A 生物组戴锴妍89.675是A 生物组庄明智87.676是A 生物组陈昭莹87.007是A 生物组吴欢柳87.007是A 生物组蒋凯86.009是A 生物组吴炜森84.6710是A 生物组辜镓宝84.3311是A 生物组张怀远84.0012是A
生物组邱煊雅84.0012是A 生物组邓芳植83.6714是B 生物组林玮唯83.3315是B 生物组黄祥渠83.0016是B 生物组李政楠82.6717是B 生物组李灏82.3318是B 生物组苏贵珍82.3318是B 生物组吴佳硕81.6720是B 生物组李沁瑜81.3321是B 生物组庄成嘉81.0022是B 生物组胡小茹81.0022是B 生物组陈双80.3324否
生物组杨江文79.6725否
生物组林立钦79.6725否
生物组方瑞智79.6725否
生物组徐杰妮79.0028否
生物组蔡兹章77.6729否
生物组张伟彬77.3330否
生物组周后椿77.0031否
生物组徐兴71.0032否
数学组李凡昕88.671是A 数学组龚少敏87.332是A 数学组庄咏昕86.003是A 数学组汪佳祥85.334是A 数学组陈自强85.334是A 数学组许锴85.006是A 数学组张灿85.006是A 数学组杨明哲85.006是A 数学组王怀骋84.009是B 数学组范靖翔83.3310是B 数学组许煌标80.3311是B 数学组林向天80.0012是B 数学组黄炯77.6713是B 数学组徐泽宇77.6713是B 数学组谢昌源76.6715否
物理组沈铭95.001是A 物理组张恒93.672是A 物理组章书涌93.003是A 物理组杨光远92.334是A 物理组林嘉源92.005是A 物理组黄光雄91.676是A 物理组卢雨畋91.007是A 物理组谢仁和89.678是A 物理组陈非凡89.678是A 物理组徐建伟88.0010是A 物理组黄启威86.6711是B 物理组朱炯东85.3312是B
物理组陈炳毅83.6713是B 物理组蔡新宇83.0014是B 物理组李煌杰81.3315是B 物理组汤鑫彬74.3316是B 物理组宋兴扬63.6717否
物理组刘泽淼62.3318否
物理组叶思潭61.3319否
物理组江兼达60.6720否
信息组刘华一88.671是A 信息组吴宜航87.332是A 信息组罗余轩87.332是A 信息组陈逸超87.004是A 信息组杜力伟85.675是A 信息组唐宇晨85.336是A 信息组吴少烨85.336是A 信息组邓泽源85.008是A 信息组关文涛85.008是A 信息组郑何镌84.6710是A 信息组鲍子涵84.0011是A 信息组黄旭斌84.0011是A 信息组黄海东83.3313是A 信息组陈宇亮83.0014是A 信息组谢杰伟82.6715是B 信息组王霆锴82.0016是B 信息组魏弘宇81.6717是B 信息组李尚佳81.0018是B 信息组许家诚80.3319是B 信息组侯熠珉80.3319是B 信息组林朝曦80.3319是B 信息组沈志峰80.0022是B 信息组林文涛79.6723是B 信息组陈瑾涛78.6724是B 信息组吴超望78.6724是B 信息组王韬略78.3326否
信息组林子豪78.0027否
信息组黄家佳77.6728否
信息组何云杰76.6729否
信息组洪嘉勋76.0030否
信息组陈奕霖76.0030否
信息组朱耀晖76.0030否
信息组孙斌贤74.0033否
信息组薛鑫泽71.3334否。