上海大学12英语课同学名单201282314565939
- 格式:xls
- 大小:353.50 KB
- 文档页数:10
考研打算报考上海大学的同学,除了认真备考以外,还需对上海大学考研相关的信息有一定的了解,知己知彼方能百战不殆。
就考研录取名单而言,里面包含很多信息,例如复试成绩、初试成绩、单科成绩、总成绩、排名、考试方式、学习形式等。
从中我们也可以了解到某个专业的录取比例、各专业的招生人数等信息,是考生们获取某专业报考难度的一个重要资讯之一。
以下是2020年的上海大学各专业录取名单,速来围观。
2020上海大学理学院考研拟录取名单
2020上海大学文学院考研拟录取名单
2020上海大学外国语学院考研拟录取名单
2020上海大学管理学院考研拟录取名单
更多上海大学各学院录取名单请访问鸿知上大考研网,鸿知上大考研网是集考研资讯与资料、辅导于一体的服务型网站,提供免费的上大考研咨询,欢迎广大考生们踊跃提问。
关于2011—2012学年“三好学生”、“优秀学生干部”获得者名单的公示根据我校《三好学生、优秀学生干部评选办法》,经各学院评定,学生处初审,林瑶等505名同学获得2011—2012学年“三好学生”称号,章宇攀等105名同学获“优秀学生干部”称号。
现将名单予以公示。
公示期为5天(12月13日至17日),公示期内可通过邮件、书面署名或口头向校学生处反映有关情况和问题。
邮箱:xsc@;电话:88213046。
学生处2012年12月13日附:2011—2012学年“三好学生”、“优秀学生干部”名单三好学生(505人)英语语言文化学院(64人)09英语1班林瑶沈波章宇攀09英语2班赵晨怡陈许静胡永钢张佳丽09英语3班刘雨乐王燕君江洁10英语1班施越雯郑丹蒋鑫芳10英语2班吴柳萍郭文颖傅虹10英语3班曹骞阮若琳陈莹莹10英语4班陈余周慧珺潘旭洁10英语5班楼丽丽孙益静姜梦琦10英语6班钟佳张一帆冯璐张静10英语7班毛莹莹杨洋陈纯周琪10英语8班项丽娜冯恒丹符遥平倪张苗10英语9班陈亚萍王京潘圆清姚远方11英语1班王泓帆张乔丹杨欢11英语2班殷博文卢竞一郑正娟夏宇11英语3班潘文蔚郦娴婷房韵甘依依11英语4班罗烨俞丽红汪越陈佳颖张艺晨11英语5班俞悦林阳张晨11英语6班姜淙予沈佳芸邱菊俞佳晖欧亚语言文化学院(24人)09日语1班吴珊赵佳莉高雅婷应红09日语2班陈洪晨王笑婷汤文青安玉玉10商务日语毛金萍陈春菲陈婷婷沈文哲11日语1班张国修谢展眉朱杭祎钱秀虹11日语2班任陈露钱凯耀石雅雪杨庭怡11日语3班俞仕怡唐倩余若瑾王晓中国语言文化学院(71人)09汉语言文学叶林峰蔡文辉蔡颍滢刘丹徐福增09对外汉语储赛男董丽娜鲍凌彬傅慧华10汉语言文学1班林晨晨赵纯娴杨婷婷郑琼静夏子鲁亚琴张帆10汉语言文学2班吕苈苈胡盈盈胡晓明张茜茹潘晓冬10汉语言文学3班瞿婷婷王思懿傅瑊方冰青10汉语言文学4班任巧儿丁洁婷费晓娇张庆曹佳莹俞沁沁孙燕婷寿航旦10汉语言文学5班顾秋梅谢瑞蕾张秋萍李青葛舒芸林栖10汉语言文学6班吴小萱丁燕张媛慧罗丹王璐王梦云11对外汉语叶佳乐潘益青欧梦薇沈高丹徐云毛梦寒11汉语言文学1班谢晴励洁群夏梦琳姚嘉俐刘曦高姣姣计佳慧11汉语言文学2班张茜茜夏家欢曹丹奚娇娇陈瑜杨中娟11汉语言文学3班陈曼周雅婷王胜男杨子豪叶珊珊张佳敏顾巍国际工商管理学院(138人)09会计学朱梦姣戴晨雨钟丽姚芬詹宇成姜琳09旅游管理岳欣颖张小婷马娇徐佳欢周菲李园09国际经济与贸易程玲金蓉蓉陆阵徐珊婷徐颖超陈琦娉丁冬丹张丹丹10会计1班陈希望潘丽丹姜丹丹张丹君戴盈盈徐春艳姬秋云10会计2班孔艳琳苏选扬吴美元施静君盛碧华张银萍邱洁白10旅游管理1班王蓓蓓胡范学陈娟娟王淑雯陈珂慧徐敏颖10旅游管理2班胡芳芳陈星欣马伟杰李晶郑燕青庞姗姗张燕芳10旅游管理3班施笑萍谢颂萍王巧儿陈佳丽10市场营销管梦梦叶蓉娟汪淑雯唐燕萍凌文洁金华琳王丽萍10工商企业管理叶文文叶近近虞盛钱贤诺胡彬彬蒋茜茜阮蒙蒙10国际商务1班顾梅玲钱盼园徐莹盛红春郑秋芬张巧儿冉兴美10国际商务2班孔虹亚戎萍胡雕徐丹黄亚倩陈昕11会计1班潘佳萍沈婉陶芸芸周嘉文陶佳慧11会计2班金璐琳王悦贾梦梦胡燕莉陶杨陈羽11会计3班陈妙红陈琦沈丹李盈盈童彤俞赵婧11旅游管理1班郑刘燕李天王霞玲管芳芳邱杭张可希11旅游管理2班施炬炬阴露马洪飞11旅游管理3班李淡宁徐梅琦11工商企业管理杨玲菊谢静韩洁张静王燕冯佳琳11市场营销潘婷金当当余晓娟程思佳11国际经济与贸易1班林胜男翁妍雯朱思晔施婷婷王丹妮毛方琪11国际经济与贸易2班陆琴琴颜慧婷杜婷婷何志文徐海林11国际经济与贸易3班王问伊金奇敏周盼亮金如嫣宋晓曦王燕新周丽丹11国际经济与贸易4班潘国盈位玉文孙洁田琳教育科学学院(14人)11教育学2班席夏青潘怡伊陆祎雯余丹玫何琼李梦羽沈雨蝶11教育学3班童珏琪陈巧娟高青赵璐陈荧夏娇娇凌琳科学技术学院(127人)09应用化学侯楚楚李伟朱霞月倪芬芬林飘飘09数学与应用数学李超金明艳周晶戴安妮屠羚怡周跳跳09计算机科学与技术鲁美玲王小倩邵雅倪杨晓清魏丹许璐10理化测试及质检技术1班王敏范一炜潘慧嫣林星陈莉莉郑典通10理化测试及质检技术2班潘悦章雅芬郑燕华方雨婷10应用电子技术潘未雷刘甄芮佳莉丁秀秀褚林燕10计算机科学与技术1班应露露楼玲霞高伟琴徐梦婷陈强强吴晓芳徐碧莹10计算机科学与技术2班王纬芳魏贝贝张朔王雅杨遥遥潘靓靓10计算机科学与技术3班张亚王炳婷张秀英10计算机科学与技术4班徐婷许柠玮樊泽飞王益芳范孟蝶谢晓园潘康妮10数学与应用数学1班周家程叶文峰张馨月潘似佳孔艺璇王颖徐璇张宇槐曹米娜10数学与应用数学2班郑云飞俞颖莎陈梦霞张榆袁红李芝婷杨芸沈娟11数学与应用数学1班徐琰然伊海华任霄赵依婷马悦雯陈佳琦叶贇鲍思敏郑婷菲11数学与应用数学2班方苏陈双章琦张莹莹徐通过珍妮11计算机科学与技术1班张翠翠郑洁牟新芬沈阳富婷婷柳珍珍11计算机科学与技术2班陈静厉烨烨陈颖杰胡晓婧陈嘉嘉11计算机科学与技术3班王丹郑豫亚孙敏丁艺何羽蓉蒋慧雅11计算机科学与技术4班陶加恩施青霞陈旭萍张卓玲蔡莹郑永泽11教育学1班徐安妮魏欢平谢德望金向程俞小清11应用电子技术黄光领胡凯王颖梅璐璐陈琳郑莹11理化测试及质检技术潘文陈盈盈魏炉强孙杰杨蓓蓓郑迪艺术学院(67人)09音乐学肖璐璐王奔葛婵娟09美术学黄茜李娴戴隽10装潢艺术设计1班陆秀萍崔玲珠梅双丽严天琪10装潢艺术设计2班周星星黄玲巧郑静李杭洋10装潢艺术设计3班张苏丹姚晟辰汪玲燕朱立佳朱印10音乐学1班周惠雅黄菁菁傅伟婷董珮瑜10音乐学2班朱安琪吴琳陈奕平陈虹娇毛娅妮10音乐学3班程淑丹丁珏刘敏慧蒋知秀11音乐学1班周艺夏雨楠陈婷婷章慧慧王迎娜11音乐学2班胡若琦吴超胡冰心曾晶晶余捷11音乐表演奚嘉慧唐文彬徐倩倩朱盈盈11美术学1班沈星凯方菁王雪雯陈光11美术学2班吴晔陈吉琼叶子怡费姗妮谭磊11美术学3班张吉娜翁日宇胡宇亭孙一丹11装潢艺术设计1班赵玲波王艺婷黄玲艳朱海琳11装潢艺术设计2班诸梦霞李康陈从文寿丹斐优秀学生干部(105人)英语语言文化学院(18人)09英语1班章宇攀10英语7班周琪09英语2班董建国10英语8班张亚琼09英语3班陈梦诗10英语9班姚远方10英语师范1班杨敏11英语1班郑心园10英语师范2班陈琳芝11英语2班朱孟君10英语师范3班严林仙11英语3班陈笑10英语师范4班沈潘波11英语4班俞晓珏10英语师范5班陈奕11英语5班韩洪熠10英语6班马佳音11英语6班俞佳晖欧亚语言文化学院(8人)09日语1班俞晔11日语2班张文玲09日语2班方红11日语2班江雨荷10商务日语孙元圆11日语3班方梦莺11日语1班赵一奇11日语3班王晓中国语言文化学院(14人)09对外汉语徐恩丹10汉语言文学5班金丹婷09汉语言文学徐福增10汉语言文学5班林栖10汉语言文学1班方露10汉语言文学6班王梦云10汉语言文学2班李节11对外汉语竺晶晓10汉语言文学2班杨桐海11汉语言文学1班计佳慧10汉语言文学3班涂安旎11汉语言文学2班孙俊奇10汉语言文学4班傅娅希11汉语言文学3班沈冰青国际工商管理学院(24人)09会计学戴超11会计1班徐佳炜09旅游管理黄若嫄11会计2班王俊09国际经济与贸易崔丹宁11会计3班莫新莲10会计1班项云飞11旅游管理1班张可希10会计2班高炜烨11旅游管理2班马洪飞10工商企业管理阮蒙蒙11旅游管理3班杨晓坤10旅游管理1班朱丽萍11工商企业管理张飞安10旅游管理2班金刘燕11市场营销叶珊珊10旅游管理3班王韵11国际经济与贸易1班钟赛缅10市场营销洪珊11国际经济与贸易2班史美福10国际商务1班金渊11国际经济与贸易3班沈周红10国际商务2班李梦琦11国际经济与贸易4班蒋建冬教育科学学院(2人)11教育学2班项珏11教育学3班童炜超科学技术学院(23人)09应用化学倪筱莉10数学与应用数学1班黄洁09数学与应用数学严倩10数学与应用数学2班金秋琼09数学与应用数学许琼雁11数学与应用数学1班洪灯栋09计算机科学与技术徐娥娥11数学与应用数学2班过珍妮09计算机科学与技术许璐11计算机科学与技术1班柳珍珍10理化测试及质检技术1班郑亮11计算机科学与技术2班方喜10理化测试及质检技术2班毛科娜11计算机科学与技术3班邵曙霞10应用电子技术丁源媛11计算机科学与技术4班吴亚飞10计算机科学与技术1班林金武11教育学1班罗罡10计算机科学与技术2班张洪波11应用电子技术邵磊10计算机科学与技术3班欧燕华11理化测试及质检技术郑迪10计算机科学与技术4班徐吉艺术学院(16人)09音乐学王蝶11音乐学1班羊岚09美术学严凤河11音乐学2班杨飞10音乐学1班钱晨莎11音乐表演陈慧婷10音乐学2班柯彬沁11美术学1班许倩10音乐学3班余笑静11美术学2班傅岚婷10装潢艺术设计1班严天琪11美术学3班周逸10装潢艺术设计2班李杭洋11装潢艺术设计1班陈宇超10装潢艺术设计3班朱印11装潢艺术设计2班张碧清。
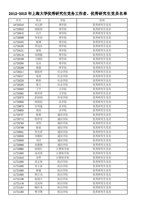
2012-2013年上海大学优秀研究生党务工作者、优秀研究生党员名单学号姓名学院奖项10720210 刘文婷理学院优秀研究生党员11720025 张贻帅理学院优秀研究生党员11720048 闫辛理学院优秀研究生党员11720059 李亚琼理学院优秀研究生党员11720102 陈琳理学院优秀研究生党员11720105 李冠东理学院优秀研究生党员11720121 徐悦理学院优秀研究生党员11720148 刘理聪理学院优秀研究生党员11720159 王晓阳理学院优秀研究生党员11720200 范永理学院优秀研究生党员11720209 楚森理学院优秀研究生党员11720214 梁海祥社会学院优秀研究生党员11720217 易茜社会学院优秀研究生党员11720225 韩钰社会学院优秀研究生党员11720233 鲁文社会学院优秀研究生党员11720303 于平文学院优秀研究生党员11720362 耿萍萍文学院优秀研究生党员11720373 彭润润外语学院优秀研究生党员11720585 钟扬民法学院优秀研究生党员11720673 任明建法学院优秀研究生党员11720683 詹珀法学院优秀研究生党员11720737 陈莉通信学院优秀研究生党员11720742 程孝奇通信学院优秀研究生党员11720763 郑玥通信学院优秀研究生党员11720799 陈波通信学院优秀研究生党员11720831 李光祥通信学院优秀研究生党员11720835 刘德阳通信学院优秀研究生党员11720858 刘洋通信学院优秀研究生党员11720865 高微微通信学院优秀研究生党员11720968 张艳红计算机学院优秀研究生党员11721003 高英虎计算机学院优秀研究生党员11721018 史哲计算机学院优秀研究生党员11721038 苏志勇机自学院优秀研究生党员11721055 李小雷机自学院优秀研究生党员11721063 韩鎏机自学院优秀研究生党员11721093 韩正功机自学院优秀研究生党员11721136 赵瑞丰机自学院优秀研究生党员11721146 沈高炜机自学院优秀研究生党员11721154 鲍仕龙机自学院优秀研究生党员11721163 曹召锋机自学院优秀研究生党员11721169 徐权机自学院优秀研究生党员11721173 葛军锋机自学院优秀研究生党员11721217 赵越机自学院优秀研究生党员11721236 梁冰洁机自学院优秀研究生党员11721254 王涛机自学院优秀研究生党员11721276 张文涛机自学院优秀研究生党员11721306 项有元机自学院优秀研究生党员11721388 王佳材料学院优秀研究生党员11721425 杨艳平材料学院优秀研究生党员11721497 范湘材料学院优秀研究生党员11721568 容佳玲材料学院优秀研究生党员11721572 林宏材料学院优秀研究生党员11721658 刘冬秀环化学院优秀研究生党员11721668 陈鏐璐环化学院优秀研究生党员11721700 林智莉环化学院优秀研究生党员11721717 潘辰苑环化学院优秀研究生党员11721742 邢莹莹生命学院优秀研究生党员11721781 侯亚菲生命学院优秀研究生党员11721827 段柯凝美术学院优秀研究生党员11721856 刁雅琳美术学院优秀研究生党员11721881 张平平美术学院优秀研究生党员11721926 关琳子影视学院优秀研究生党员11722007 吕彦超影视学院优秀研究生党员11722009 倪辰怡影视学院优秀研究生党员11722042 祁文婵社科学院优秀研究生党员11722074 王卓社科学院优秀研究生党员11722204 马韵数码学院优秀研究生党员11722440 李露露微电子中心优秀研究生党员11722474 金彩红经济学院优秀研究生党员11722490 池陈森经济学院优秀研究生党员11722590 周静怡图情档系优秀研究生党员11722593 叶婷图情档系优秀研究生党员11820002 陈瑞芳理学院优秀研究生党员11820022 张景理学院优秀研究生党员11820074 丁超勋经济学院优秀研究生党员11820152 伍小燕机自学院优秀研究生党员11820220 周正伟材料学院优秀研究生党员11820312 孟玮烈理学院优秀研究生党员11820322 张国策理学院优秀研究生党员12720059 周洪娜理学院优秀研究生党员12720065 丁秀芳理学院优秀研究生党员12720205 韩笑文学院优秀研究生党员12720207 韩二帅文学院优秀研究生党员12720283 朱瑞华文学院优秀研究生党员12720375 靳梦瑶外语学院优秀研究生党员12720397 王彦春外语学院优秀研究生党员12720398 吴杰外语学院优秀研究生党员12720446 李星星管理学院优秀研究生党员12720480 王东旭管理学院优秀研究生党员12720483 许琳管理学院优秀研究生党员12720493 胡佳管理学院优秀研究生党员12720512 王利萍管理学院优秀研究生党员12720544 张潘杰管理学院优秀研究生党员12720549 宋志强管理学院优秀研究生党员12720627 沈灵琪社会学院优秀研究生党员12720628 王雨朦社会学院优秀研究生党员12720669 肖晶尹法学院优秀研究生党员12720699 侯丽丽法学院优秀研究生党员12720705 王婷法学院优秀研究生党员12720710 姚慧媛法学院优秀研究生党员12720765 尚启蒙法学院优秀研究生党员12720783 刘超通信学院优秀研究生党员12720858 罗丽冬通信学院优秀研究生党员12720890 陈泳通信学院优秀研究生党员12720921 徐晓雪通信学院优秀研究生党员12720924 刘洁通信学院优秀研究生党员12721018 叶振博计算机学院优秀研究生党员12721023 王雪霞计算机学院优秀研究生党员12721090 黄进计算机学院优秀研究生党员12721198 李训龙机自学院优秀研究生党员12721498 姜笑颖机自学院优秀研究生党员12721639 李晓龙材料学院优秀研究生党员12721651 贾识材料学院优秀研究生党员12721764 陶伟材料学院优秀研究生党员12721769 顾帅帅材料学院优秀研究生党员12721784 唐先斌材料学院优秀研究生党员12721791 李昆坊材料学院优秀研究生党员12721805 孙浩材料学院优秀研究生党员12721833 敬烨环化学院优秀研究生党员12721934 吴思邈环化学院优秀研究生党员12721936 孙勇飞环化学院优秀研究生党员12722034 李宗伟美术学院优秀研究生党员12722044 田小虎美术学院优秀研究生党员12722114 袁金辉美术学院优秀研究生党员12722155 李宗伟影视学院优秀研究生党员12722205 赵芳影视学院优秀研究生党员12722232 马科钦影视学院优秀研究生党员12722263 侯一然影视学院优秀研究生党员12722269 胡亚伟悉尼工商学院优秀研究生党员12722317 张文娟社科学院优秀研究生党员12722346 张磊土木工程系优秀研究生党员12722356 吴汶洁土木工程系优秀研究生党员12722403 郑超毅土木工程系优秀研究生党员12722447 蒋碧静数码学院优秀研究生党员12722766 张龙生经济学院优秀研究生党员12722799 武琪经济学院优秀研究生党员12722805 申钰经济学院优秀研究生党员12722846 谢松经济学院优秀研究生党员12722885 于博图情档系优秀研究生党员12820011 郑天祥材料学院优秀研究生党员12820203 赵小丹社科学院优秀研究生党员12820281 芦昌骏文学院优秀研究生党员11720026 邓红梅理学院优秀研究生党务工作者11720027 狄静静理学院优秀研究生党务工作者11720084 林聪理学院优秀研究生党务工作者11720092 宋城理学院优秀研究生党务工作者11720142 胡晓仙理学院优秀研究生党务工作者11720208 孙夫燕理学院优秀研究生党务工作者11720210 闫丽娜理学院优秀研究生党务工作者11720229 游婷婷社会学院优秀研究生党务工作者11720279 李娜文学院优秀研究生党务工作者11720352 秦亚男文学院优秀研究生党务工作者11720600 卢昱法学院优秀研究生党务工作者11720647 张崑法学院优秀研究生党务工作者11720665 龙丹丹法学院优秀研究生党务工作者11720966 朱金科计算机学院优秀研究生党务工作者11720994 姬朋均计算机学院优秀研究生党务工作者11721012 崔跃辉计算机学院优秀研究生党务工作者11721087 陈伟华快速制造中心优秀研究生党务工作者11721148 葛磐机自学院优秀研究生党务工作者11721187 储著金机自学院优秀研究生党务工作者11721193 胡懿机自学院优秀研究生党务工作者11721250 朱洪志机自学院优秀研究生党务工作者11721282 王智渊机自学院优秀研究生党务工作者11721286 卢江林机自学院优秀研究生党务工作者11721443 程经纬材料学院优秀研究生党务工作者11721517 孙彩娜材料学院优秀研究生党务工作者11721525 姜健俊材料学院优秀研究生党务工作者11721648 倪扬环化学院优秀研究生党务工作者11721680 邵莉环化学院优秀研究生党务工作者11721724 陈桦环化学院优秀研究生党务工作者11721771 梅乔汉生命学院优秀研究生党务工作者11721785 陈政晓生命学院优秀研究生党务工作者11721838 常皓美术学院优秀研究生党务工作者11721876 袁芳美术学院优秀研究生党务工作者11721919 杨婷影视学院优秀研究生党务工作者11721966 丁思恋影视学院优秀研究生党务工作者11721992 马皓影视学院优秀研究生党务工作者11722025 吴涛悉尼工商学院优秀研究生党务工作者11722062 黄子涵社科学院优秀研究生党务工作者11722105 王有成土木工程系优秀研究生党务工作者11722154 苏双双纳米中心优秀研究生党务工作者11722197 张越数码学院优秀研究生党务工作者11722229 林椿楠理学院优秀研究生党务工作者11722566 吴慧群图情档系优秀研究生党务工作者12720386 吴荣秀外语学院优秀研究生党务工作者12720413 崔莹外语学院优秀研究生党务工作者12720486 沈润雯管理学院优秀研究生党务工作者12720518 田情管理学院优秀研究生党务工作者12720537 于齐管理学院优秀研究生党务工作者12720593 何怡沁社会学院优秀研究生党务工作者12720824 张芳通信学院优秀研究生党务工作者12720887 史楠迪通信学院优秀研究生党务工作者12720966 吴昊天通信学院优秀研究生党务工作者12721350 贾明波机自学院优秀研究生党务工作者12721517 郭正青材料学院优秀研究生党务工作者12721586 邹楠材料学院优秀研究生党务工作者12722259 李玮影视学院优秀研究生党务工作者12722396 崔学斌土木工程系优秀研究生党务工作者12722489 吴彪数码学院优秀研究生党务工作者12722740 王丰莹经济学院优秀研究生党务工作者12722778 谢文灿经济学院优秀研究生党务工作者12722836 王琛经济学院优秀研究生党务工作者12820255 茅明智通信学院优秀研究生党务工作者。
上海大学2012-2013学年秋季学期硕士、博士研究生公共课程表(新校区)
五
注:1.课程退改选请于开学两周内(9月3日-9月14日)办理退课手续,网上下载退课申请表交研究生部。
过期不予受理。
2.中国特色社会主义理论与实践研究第一周、第五周和第十周集中授课,其他时间为网上教学。
3.自然辩证法第一周集中上课,第十周集中随堂考试
4.2011级博士研究生的政治课“马克思主义与当代”第一周全部集中在宝山校区上课,上课地点:行政楼报告厅
5.网络阅读开课时间另行通知,请关注研究生部网站。
上海大学2015年应届优秀本科毕业生
免试攻读硕士研究生推荐名单公示
经学生本人申请,各院系选拔、推荐、初审、公示,学校推免工作领导小组审定,现将上海大学2015年应届优秀本科毕业生免试攻读硕士研究生推荐名单予以公示,其中获得普通推免名额者390人,备选74人;获支教团专项推免名额者10人,备选2人;获华东师范大学补偿计划专项推免名额者5人,备选2人。
公示期2014年9月18日至9月24日。
如对公示名单有异议,请于9月24日11:00前向学校推免工作领导小组反映(受理地点:校本部行政楼306室,电话66133507-801)
教务处
2014年9月18日。
上海大学学年秋季学期研究生专业课课程表下文为大家整理带来的上海大学学年秋季学期研究生专业课课程表,希望内容对您有帮助,感谢您得阅读。
上海大学2020~2020学年秋季学期研究生专业课课程表序号课程号课程名称学分任课教师人数上课时间上课地点上课学生备注110SAZ9021材料测试分析技术4王子兴9四(1-4)四教3142020级微电子(平板中心)硕士生多媒体与10Z087003王子兴并班上课210Z087003材料测试分析技术4朱丽慧28四(1-4)四教4092020级材料工程(金属方向)硕士生多媒体310Z087003材料测试分析技术4王子兴5四(1-4)四教3142020级材料工程(六)(平板中心)硕士生多媒体与10SAZ9021并班上课410Z087003材料测试分析技术4刘文庆43四(1-4)四教4082020级材料工程(材料所、钢冶方向)硕士生多媒体前三周进教室,后七周进实验室510SAU9007材料的现代分析测试方法4李强40五(1-4)四教6012020级材料学二硕士生多媒体前三周进教室,后七周进实验室610Z087002材料工程基础4符仁钰71三(1-4)四教4102020级材料工程硕士选课研究生多媒体710Z087002材料工程基础4李喜峰5四(10-13)平板楼讲席室(自订)2020级材料工程(六)(平板中心)硕士生810Z087008材料工艺设备4吴成章71一(6-9)四教3142020级材料工程选课研究生多媒体910SAU7003材料结构性能与应用4徐晖74四(1-4)四教4072020级材加二、材料学二部分硕士生多媒体1010SAU7003材料结构性能与应用4程晓英67四(1-4)四教3122020级材加一、部分材料学二硕士生多媒体1110BAU7002材料科学与工程前沿4吴晓春0二(6-9)日新楼511-B(自订)2020级金属材料方向博士生仅第一周集中授课1210BAU7002材料科学与工程前沿4陈业新0四(1-4)材料所会议室(自订)2020级材料所博士生仅第一周集中授课1310BAU7002材料科学与工程前沿4王林军0三(6-9)材料大楼501(自订)2020级电子方向博士生仅第一周集中授课1410BAU7002材料科学与工程前沿4张阿方0五(1-4)材料大楼801(自订)2020级高分子及外挂博士生仅第一周集中授课1510SAU7002材料物理化学4陈业新40二(6-7),三(6-7)四教208/四教2072020级材料学二硕士生多媒体1610SAU7002材料物理化学4鲁晓刚74四(1-4)四教1142020级材料加工工程一、二硕士生多媒体1710Z087004材料制备方法4李重河71二(6-9)四教2102020级材料工程选课硕士生多媒体1810Z087007复合材料及其应用4李爱军71五(6-9)四教6012020级材料工程选课硕士生多媒体1910SAZ9025复合材料及其应用4曹进9一(10-13)平板楼讲席室(自订)2020级微电子(平板中心)硕士生与10Z087007曹进并班上课2020Z087007复合材料及其应用4曹进5一(10-13)平板楼讲席室(自订)2020级材料工程(六)(平板中心)硕士生与10SAZ9025曹进并班上课2110Z087006工程材料应用4殷录桥5二(10-13)四教6022020级材料工程(六)(平板中心)硕士生多媒体与10SAZ9020殷录桥并班上课2210SAZ9020工程材料应用4殷录桥9二(10-13)四教6022020级微电子(平板中心)硕士生多媒体与10Z087006殷录桥并班上课2310Z087006工程材料应用4金曼71五(1-4)四教6022020级材料工程选课硕士生多媒体2410SAU9010金属材料腐蚀原理与防护技术4李谋成40二(1-4)四教3142020级材料学二硕士生多媒体2510SAU9015金属凝固4宋长江43二(1-4)四教3122020级材料加工工程二硕士生多媒体与10SAV9004并班上课2610SAV9004金属凝固4宋长江22二(1-4)四教3122020级钢铁冶金、有色硕士生多媒体与10SAU9015并班上课2710SAU9003摩擦与磨损4韦习成31二(1-4)四教3092020级材料加工工程一硕士生多媒体2810Z087005数值模拟在材料工程中的应用4黎军顽71三(6-9)四教2042020级材料工程选课硕士生多媒体2910SAZ9022数值模拟在材料工程中的应用4杨连乔9四(6-9)四教4092020级微电子(平板中心)硕士生多媒体与10Z087005杨连乔并班上课3010Z087005数值模拟在材料工程中的应用4杨连乔5四(6-9)四教4092020级材料工程(六)(平板中心)硕士生多媒体与10SAZ9022杨连乔并班上课3110SAZ7002微电子器件原理4李喜峰9三(10-13)平板楼讲席室(自订)2020级微电子(平板中心)硕士生3210SAZ9026微能源技术导论4曾志刚9二(6-9)四教1162020级微电子(平板中心)硕士生多媒体3310BAV7001现代冶金基础理论4任忠鸣0三(6-9)日新楼410(自订)2020级钢铁冶金博士生3410SAU9005新型铝合金材料与成形技术4张恒华31五(1-4)四教6032020级材料加工工程一硕士生多媒体3510SAV9006冶金炉气处理与利用4汪学广22四(6-9)四教4082020级钢铁冶金、有色金属冶金硕士生多媒体与10SAU9017并班上课3610SAU9017冶金炉气处理与利用4汪学广43四(6-9)四教4082020级材料加工工程二硕士生多媒体与10SAV9006并班上课3710SAV7002冶金热力学4吴永全22三(6-9)四教1162020级钢铁冶金和有色金属冶金硕士生多媒体3810SAV9007有色金属湿法冶金4谈定生4四(1-4)四教5072020级有色金属冶金硕士生多媒体3910SAU9002铸造技术原理与应用4杨弋涛31一(1-4)四教5042020级材料加工工程一硕士生多媒体4010SAU7001专业英语2黎军顽31四(6-9)四教4072020级材料加工工程一硕士生多媒体与10Z087001黎军顽并班上课4110SAZ7001专业英语2魏斌9二(1-4)四教2102020级微电子(平板中心)硕士生多媒体与10Z087001魏斌并班上课4210Z087001专业英语2黎军顽28四(6-9)四教4072020级材料工程(金属方向)硕士生多媒体与10SAU7001黎军顽并班上课4310SAU7001专业英语2王均安40四(6-9)四教3122020级材料学二硕士生多媒体与10Z087001王均安并班上课4410Z087001专业英语2王均安14四(6-9)四教3122020级材料工程(材料所方向)硕士生多媒体与10SAU7001王均安并班上课4510Z087001专业英语2魏斌5二(1-4)四教2102020级材料工程(六)(平板中心)硕士生多媒体与10SAZ7001魏斌并班上课。
2016年上海大学拟录取硕士研究生名单公示12102806210011672胡艳秋030100法学法学院360203学硕102806210004390李玲030100法学法学院364217学硕102806210013307梁啸昂030100法学法学院364215学硕102806210009437刘嘉红030100法学法学院364207学硕102806210007340章幸030100法学法学院365205学硕102806210001359刘焕芳030100法学法学院360206学硕102806210012416陈璐瑶030100法学法学院356203学硕102806210007801周亚男030100法学法学院355197学硕102806210010826杨金三030100法学法学院368203学硕102806210001352鲍政030100法学法学院358207学硕102806210007250陈煜威030100法学法学院380228学硕102806210007596陈风润030100法学法学院382237学硕102806210006053李雅宁030100法学法学院392225学硕102806210001350朱奕臻030100法学法学院379218学硕102806210001364肖紫琰030100法学法学院368222学硕102806210009200熊芳030100法学法学院383199学硕102806210012366赵杰030100法学法学院378182学硕102806210001349张琪030100法学法学院380228学硕102806210011040杨敬涵030100法学法学院376222学硕102806210001348杨陈璐030100法学法学院369221学硕102806210007549朱怡安030100法学法学院367222学硕102806210009153陈传梅030100法学法学院387205学硕102806210001365田珊030100法学法学院365210学硕102806210006542陈婷婷030100法学法学院368205学硕102806210004831王晓雷030100法学法学院356200学硕102806210013102岳静静030100法学法学院358226学硕102806210006538祝雨晴030100法学法学院351209学硕102806210006540韩雪峰030100法学法学院370224学硕102806210011670于筱旻030100法学法学院378211学硕102806210009678肖启030100法学法学院381204学硕102806210014375汪阳030100法学法学院353217学硕102806210011041赵一颖030100法学法学院356205学硕102806210001362陈艳030100法学法学院364225学硕102806210004389王娜030100法学法学院372212学硕102806260002317王国豪035102法律(法学)法学院329227专硕102806260015880周鑫岳035102法律(法学)法学院339205专硕102806260015791朱浩035102法律(法学)法学院315228专硕102806260007194方晨035102法律(法学)法学院316216专硕102806260010376管胜杰035102法律(法学)法学院316198专硕102806260006149赵丽莎035102法律(法学)法学院317196专硕102466260014281吴家侃035102法律(法学)法学院359243专硕102476000001964夏青035102法律(法学)法学院358240专硕104866106013689彭梦迪035102法律(法学)法学院354230专硕102806210001368马宁悦035102法律(法学)法学院340241专硕102766210300271卢一泓035102法律(法学)法学院350223专硕100036066109327文斌035102法律(法学)法学院352218专硕105206000011803罗开鼎035102法律(法学)法学院339228专硕101836212230323赵小浪035102法律(法学)法学院339228专硕102766210601567李明远035102法律(法学)法学院353213专硕102766210701961范海波035102法律(法学)法学院344222专硕102466210003952杜泽宇035102法律(法学)法学院367194专硕102806210001369何亚雄035102法律(法学)法学院343217专硕104866106013780罗荣清035102法律(法学)法学院351207专硕102766211303289李璇彤035102法律(法学)法学院348209专硕100416201613148陈吉远035102法律(法学)法学院361188专硕106986611102421郭润舟035102法律(法学)法学院328219专硕102466210004103刘鑫035102法律(法学)法学院337206专硕102466260014242夏建035102法律(法学)法学院336206专硕104866106005015孙瑞035102法律(法学)法学院346195专硕102766211403428吴悠035102法律(法学)法学院343198专硕102766210500892吴情美035102法律(法学)法学院328212专硕文章来源:文彦考研旗下上海大学考研网。
公共英语13班序号学号姓名学院专业外语111721227刘春雷通信与信息工程学院通信与信息系统英语一212720799刘晓龙通信与信息工程学院信号与信息处理英语一312720806姜飞通信与信息工程学院信号与信息处理英语一412720807赵振军通信与信息工程学院信号与信息处理英语一512720810朱铭武通信与信息工程学院信号与信息处理英语一612720813徐淼通信与信息工程学院信号与信息处理英语一712720814储甜通信与信息工程学院信号与信息处理英语一812720815杨丽莎通信与信息工程学院信号与信息处理英语一912720832周旭琴通信与信息工程学院通信与信息系统英语一1012720848王康晏通信与信息工程学院通信与信息系统英语一1112720852刘若然通信与信息工程学院通信与信息系统英语一1212720853缪世敏通信与信息工程学院通信与信息系统英语一1312720854刘清明通信与信息工程学院通信与信息系统英语一1412720857孟春阳通信与信息工程学院通信与信息系统英语一1512720860冯业彬通信与信息工程学院通信与信息系统英语一1612720869张英通信与信息工程学院通信与信息系统英语一1712720870姚士成通信与信息工程学院通信与信息系统英语一1812720875余宗鑫通信与信息工程学院通信与信息系统英语一1912720877陆璠通信与信息工程学院通信与信息系统英语一2012720879方小俊通信与信息工程学院通信与信息系统英语一2112720880王凯通信与信息工程学院通信与信息系统英语一2212720882陈鑫通信与信息工程学院通信与信息系统英语一2312720883朱渊婧通信与信息工程学院通信与信息系统英语一2412720888周小军通信与信息工程学院通信与信息系统英语一2512720890陈泳通信与信息工程学院通信与信息系统英语一2612720894陈帅通信与信息工程学院生物医学工程英语一2712720895江其坤通信与信息工程学院生物医学工程英语一2812720897赵建强通信与信息工程学院生物医学工程英语一2912720898毛杰冠通信与信息工程学院生物医学工程英语一3012720899巢珍通信与信息工程学院生物医学工程英语一3112720900赵攀博通信与信息工程学院生物医学工程英语一3212720905林琪通信与信息工程学院电路与系统英语一3312720910焦戊臣通信与信息工程学院电路与系统英语一3412720914张荣军通信与信息工程学院电路与系统英语一3512720920王秀芝通信与信息工程学院电磁场与微波技术英语一3612720924刘洁通信与信息工程学院电磁场与微波技术英语一3712720925王佳佳通信与信息工程学院电磁场与微波技术英语一3812720926王洪伟通信与信息工程学院电磁场与微波技术英语一3912720927孔晓辉通信与信息工程学院电磁场与微波技术英语一4012720928周景超通信与信息工程学院电磁场与微波技术英语一4112720929余盼通信与信息工程学院电磁场与微波技术英语一公共英语14班序号学号姓名学院专业外语112721009陈贝计算机工程与科学学院计算机科学与技术英语一212721013张凯凯计算机工程与科学学院计算机科学与技术英语一312721016刘文中计算机工程与科学学院计算机科学与技术英语一412721019孙大申计算机工程与科学学院计算机科学与技术英语一512721020谷雅俊计算机工程与科学学院计算机科学与技术英语一612721024戴松计算机工程与科学学院计算机科学与技术英语一712721025石也强计算机工程与科学学院计算机科学与技术英语一812721030李招昕计算机工程与科学学院计算机科学与技术英语一912721031李建军计算机工程与科学学院计算机科学与技术英语一1012721032戚题龙计算机工程与科学学院计算机科学与技术英语一1112721034王庆计算机工程与科学学院计算机科学与技术英语一1212721038丁雪海计算机工程与科学学院计算机科学与技术英语一1312721039王琳计算机工程与科学学院计算机科学与技术英语一1412721042邸小丽计算机工程与科学学院计算机科学与技术英语一1512721043梅龙计算机工程与科学学院计算机科学与技术英语一1612721044陶聪计算机工程与科学学院计算机科学与技术英语一1712721045陈亮计算机工程与科学学院计算机科学与技术英语一1812721046曾杨计算机工程与科学学院计算机科学与技术英语一1912721048李静计算机工程与科学学院计算机科学与技术英语一2012721049薛源计算机工程与科学学院计算机科学与技术英语一2112721050张利平计算机工程与科学学院计算机科学与技术英语一2212721059李信凯计算机工程与科学学院计算机科学与技术英语一2312721061吴善鹏计算机工程与科学学院计算机科学与技术英语一2412721062吕庆杰计算机工程与科学学院计算机科学与技术英语一2512721065刘宏计算机工程与科学学院计算机科学与技术英语一2612721066汤文清计算机工程与科学学院计算机科学与技术英语一2712721068代永川计算机工程与科学学院计算机科学与技术英语一2812721069李婷婷计算机工程与科学学院计算机科学与技术英语一2912721070孟环建计算机工程与科学学院计算机科学与技术英语一3012721071李慧计算机工程与科学学院计算机科学与技术英语一3112721072卓少剑计算机工程与科学学院计算机科学与技术英语一3212721073曾敏计算机工程与科学学院计算机科学与技术英语一3312721076刘大海计算机工程与科学学院计算机科学与技术英语一3412721077操宣鹏计算机工程与科学学院计算机科学与技术英语一公共英语15班序号学号姓名学院专业外语112721112袁舰机电工程与自动化学院测试计量技术及仪器英语一212721113余娟娟机电工程与自动化学院测试计量技术及仪器英语一312721115顾骏机电工程与自动化学院测试计量技术及仪器英语一412721116李闯机电工程与自动化学院测试计量技术及仪器英语一512721119陈坤机电工程与自动化学院测试计量技术及仪器英语一612721120周广兴机电工程与自动化学院测试计量技术及仪器英语一712721121张凡机电工程与自动化学院测试计量技术及仪器英语一812721122秦磊机电工程与自动化学院测试计量技术及仪器英语一912721123艾彧韬机电工程与自动化学院测试计量技术及仪器英语一1012721131徐鲁永机电工程与自动化学院电机与电器英语一1112721133张晗妮机电工程与自动化学院电机与电器英语一1212721136孙娟机电工程与自动化学院电工理论与新技术英语一1312721139胡月波机电工程与自动化学院电工理论与新技术英语一1412721141杨镇遥机电工程与自动化学院电工理论与新技术英语一1512721149张宗龙机电工程与自动化学院电力电子与电力传动英语一1612721150王浩宇机电工程与自动化学院电力电子与电力传动英语一1712721153韩冰机电工程与自动化学院电力电子与电力传动英语一1812721154周勇机电工程与自动化学院电力电子与电力传动英语一1912721155李纪晓机电工程与自动化学院电力电子与电力传动英语一2012721156黄洋机电工程与自动化学院电力电子与电力传动英语一2112721157钟元旭机电工程与自动化学院电力电子与电力传动英语一2212721159谢鸣机电工程与自动化学院电力系统及其自动化英语一2312722726郑怀梦微电子中心微电子学与固体电子学英语一2412722727夏臣君微电子中心微电子学与固体电子学英语一2512722728潘佳宾微电子中心微电子学与固体电子学英语一2612722730吴浩微电子中心微电子学与固体电子学英语一2712722731刘江微电子中心微电子学与固体电子学英语一2812722732姚真平微电子中心微电子学与固体电子学英语一2912722733陈晓君微电子中心微电子学与固体电子学英语一3012722734龙云腾微电子中心微电子学与固体电子学英语一3112722735严桂红微电子中心微电子学与固体电子学英语一3212722736李茂泽微电子中心微电子学与固体电子学英语一3312722737曹阳微电子中心微电子学与固体电子学英语一3412722738唐英斌微电子中心微电子学与固体电子学免试公共英语16班序号学号姓名学院专业外语112721168钟淳杰机电工程与自动化学院控制科学与工程英语一212721170李明洋机电工程与自动化学院控制科学与工程英语一312721171仲恒机电工程与自动化学院控制科学与工程英语一412721172刘宇杰机电工程与自动化学院控制科学与工程免试512721176涂坤机电工程与自动化学院控制科学与工程英语一612721178陈寄秋机电工程与自动化学院控制科学与工程英语一712721179席云霞机电工程与自动化学院控制科学与工程英语一812721180卢夏衍机电工程与自动化学院控制科学与工程英语一912721192蔡纪源机电工程与自动化学院控制科学与工程英语一1012721193赵立国机电工程与自动化学院控制科学与工程英语一1112721194肖前平机电工程与自动化学院控制科学与工程英语一1212721202周敏机电工程与自动化学院控制科学与工程英语一1312721203金碧瑶机电工程与自动化学院控制科学与工程英语一1412721204方骏机电工程与自动化学院控制科学与工程英语一1512721205郑献卫机电工程与自动化学院控制科学与工程英语一1612721207许其超机电工程与自动化学院控制科学与工程英语一1712721208张乐天机电工程与自动化学院控制科学与工程英语一1812721209陈学杰机电工程与自动化学院控制科学与工程英语一1912721210陈柳机电工程与自动化学院控制科学与工程英语一2012721211秦自杰机电工程与自动化学院控制科学与工程英语一2112721213商立立机电工程与自动化学院控制科学与工程英语一2212721214于莹莹机电工程与自动化学院控制科学与工程英语一2312721215李法杰机电工程与自动化学院控制科学与工程英语一2412721217邹国柱机电工程与自动化学院控制科学与工程英语一2512721218林德俊机电工程与自动化学院控制科学与工程英语一2612721220徐维清机电工程与自动化学院控制科学与工程英语一2712722501张亚军力学所力学英语一2812722502刘超力学所力学英语一2912722504梁成鹏力学所力学英语一3012722505卢辉力学所力学英语一3112722507毛敬林力学所力学英语一3212722511邵贤钧力学所力学英语一3312722513范元杰力学所力学英语一3412722514夏骏力学所力学英语一3512722518南楠力学所力学英语一3612722522李建新力学所力学英语一3712722523赵健力学所力学英语一3812722533杨青力学所力学英语一3912722538汤恒松力学所力学免试4012722539刘国梁力学所力学免试4112722540詹靖华力学所力学免试4212722541李宗赞力学所力学免试公共英语17班序号学号姓名学院专业外语112721263姚骏峰机电工程与自动化学院机械工程免试212721265尹龙哲机电工程与自动化学院机械工程免试312721271周铭机电工程与自动化学院机械工程英语一412721275王冬冬机电工程与自动化学院机械工程英语一512721279朱勇剑机电工程与自动化学院机械工程英语一612721280卢孔笔机电工程与自动化学院机械工程英语一712721286刘春光机电工程与自动化学院机械工程英语一812721287顾文君机电工程与自动化学院机械工程英语一912721296谢燮机电工程与自动化学院机械工程英语一1012721297杨海伟机电工程与自动化学院机械工程英语一1112721298李洪强机电工程与自动化学院机械工程英语一1212721299程亚强机电工程与自动化学院机械工程英语一1312721300翟飞跃机电工程与自动化学院机械工程英语一1412721304刘平龙机电工程与自动化学院机械工程英语一1512721305管奔博机电工程与自动化学院机械工程英语一1612721307吕所军机电工程与自动化学院机械工程英语一1712721309卢小仟机电工程与自动化学院机械工程英语一1812721310封淼机电工程与自动化学院机械工程英语一1912721317董强机电工程与自动化学院精密仪器及机械英语一2012721321刘中意机电工程与自动化学院精密仪器及机械英语一2112721322冯盼盼机电工程与自动化学院精密仪器及机械英语一2212721323戚杰机电工程与自动化学院精密仪器及机械英语一2312721324韩冰机电工程与自动化学院精密仪器及机械英语一2412721327孔庆彬机电工程与自动化学院精密仪器及机械英语一2512721328许海峰机电工程与自动化学院精密仪器及机械英语一2612721654王继旭材料科学与工程学院冶金工程免试2712721657吴沛轩材料科学与工程学院冶金工程免试2812721659李祺欣材料科学与工程学院冶金工程免试2912721661刘春梅材料科学与工程学院冶金工程英语一3012721666钱森阳材料科学与工程学院冶金工程英语一3112721671汤晓泉材料科学与工程学院冶金工程英语一3212721672王兆龙材料科学与工程学院冶金工程英语一3312721673舒淑奇材料科学与工程学院冶金工程英语一3412721699杨溢铭材料科学与工程学院微电子学与固体电子学免试3512721702沈敏材料科学与工程学院微电子学与固体电子学英语一3612721712桂海洋材料科学与工程学院微电子学与固体电子学英语一公共英语18班序号学号姓名学院专业外语112721364肖森斌机电工程与自动化学院机械工程免试212721369王洪机电工程与自动化学院机械工程免试312721372蔡盛宗机电工程与自动化学院机械工程免试412721377马扬机电工程与自动化学院机械工程英语一512721378陈绪才机电工程与自动化学院机械工程英语一612721379韩涛机电工程与自动化学院机械工程英语一712721386冯浩机电工程与自动化学院机械工程英语一812721387纪松机电工程与自动化学院机械工程英语一912721390费凯机电工程与自动化学院机械工程英语一1012721391邵辉机电工程与自动化学院机械工程英语一1112721393王宇机电工程与自动化学院机械工程英语一1212721395孙晶机电工程与自动化学院机械工程英语一1312721396罗峥嵘机电工程与自动化学院机械工程英语一1412721400邹凯丽机电工程与自动化学院机械工程英语一1512721403孔德瑞机电工程与自动化学院机械工程英语一1612721404龙蛟机电工程与自动化学院机械工程英语一1712721405游玉霖机电工程与自动化学院机械工程英语一1812721409黄山机电工程与自动化学院机械工程英语一1912721412詹高伟机电工程与自动化学院机械工程英语一2012721413陈九龙机电工程与自动化学院机械工程英语一2112721415费朋伟机电工程与自动化学院机械工程英语一2212721417余志平机电工程与自动化学院机械工程英语一2312721420邓重强机电工程与自动化学院机械工程英语一2412721422聂杰聪机电工程与自动化学院机械工程英语一2512721423宋超机电工程与自动化学院机械工程英语一2612721430陈诚机电工程与自动化学院机械工程英语一2712721431袁自龙机电工程与自动化学院机械工程英语一2812721445申刚机电工程与自动化学院机械工程英语一2912721446余剑机电工程与自动化学院机械工程英语一3012721447俞锋机电工程与自动化学院机械工程英语一3112721448嵇文超机电工程与自动化学院机械工程英语一3212721449孟庆涛机电工程与自动化学院机械工程英语一3312721450郭安楠机电工程与自动化学院机械工程英语一3412721455方伟机电工程与自动化学院机械工程英语一3512721458宋振民机电工程与自动化学院机械工程英语一3612721465朱磊机电工程与自动化学院机械工程英语一公共英语19班序号学号姓名学院专业外语112721520戚红芳材料科学与工程学院材料科学与工程英语一212721523吴悠材料科学与工程学院材料科学与工程英语一312721526袁野材料科学与工程学院材料科学与工程英语一412721527谈洁材料科学与工程学院材料科学与工程英语一512721530刘墨宁材料科学与工程学院材料科学与工程英语一612721531汤梅材料科学与工程学院材料科学与工程英语一712721534丁艳丽材料科学与工程学院材料科学与工程英语一812721536于振伟材料科学与工程学院材料科学与工程英语一912721537孟华材料科学与工程学院材料科学与工程英语一1012721538韩薇材料科学与工程学院材料科学与工程英语一1112721540管磊材料科学与工程学院材料科学与工程英语一1212721542李超材料科学与工程学院材料科学与工程英语一1312721543袁野材料科学与工程学院材料科学与工程英语一1412721547刘乐材料科学与工程学院材料科学与工程英语一1512721551周莹材料科学与工程学院材料科学与工程英语一1612721555黄永俊材料科学与工程学院材料科学与工程英语一1712721558徐龙材料科学与工程学院材料科学与工程英语一1812721559张海霞材料科学与工程学院材料科学与工程英语一1912721564产斯飞材料科学与工程学院材料科学与工程英语一2012721566严菊杰材料科学与工程学院材料科学与工程英语一2112721567赵寒沛材料科学与工程学院材料科学与工程英语一2212721570管权材料科学与工程学院材料科学与工程英语一2312721572王晓旭材料科学与工程学院材料科学与工程英语一2412721578韩冬雪材料科学与工程学院材料科学与工程英语一2512721580刘柄林材料科学与工程学院材料科学与工程英语一2612721584秦子威材料科学与工程学院材料科学与工程免试2712721594徐晓军材料科学与工程学院材料科学与工程英语一2812721598卢政材料科学与工程学院材料科学与工程英语一2912721599许书洋材料科学与工程学院材料科学与工程英语一3012721602杨飞翔材料科学与工程学院材料科学与工程英语一3112721610任廷栋材料科学与工程学院材料科学与工程英语一3212721612王瑞材料科学与工程学院材料科学与工程英语一3312721613王凯材料科学与工程学院材料科学与工程英语一3412721615韦如军材料科学与工程学院材料科学与工程英语一3512721616梁柱元材料科学与工程学院材料科学与工程英语一3612721618卢威材料科学与工程学院材料科学与工程英语一3712721620薛德鸿材料科学与工程学院材料科学与工程英语一3812721621余金科材料科学与工程学院材料科学与工程英语一3912721626胡仁民材料科学与工程学院材料科学与工程英语一4012721631伍俊材料科学与工程学院材料科学与工程英语一4112721633刘银河材料科学与工程学院材料科学与工程英语一4212721634徐君良材料科学与工程学院材料科学与工程英语一4312721635朱秋桦材料科学与工程学院材料科学与工程英语一4412721637肖庆材料科学与工程学院材料科学与工程英语一4512721642勒霞文材料科学与工程学院材料科学与工程英语一4612721645高国丁材料科学与工程学院材料科学与工程英语一4712721647郭锐材料科学与工程学院材料科学与工程英语一4812721649胡治宁材料科学与工程学院材料科学与工程英语一4912721650周然材料科学与工程学院材料科学与工程英语一公共英语20班序号学号姓名学院专业外语112722142黄帆顺影视艺术技术学院戏剧与影视学英语一212722148阮珺影视艺术技术学院戏剧与影视学英语一312722149朱利莎影视艺术技术学院戏剧与影视学英语一412722152王丹影视艺术技术学院戏剧与影视学英语一512722153张洁影视艺术技术学院戏剧与影视学英语一612722158褚亚玮影视艺术技术学院戏剧与影视学英语一712722160王延新影视艺术技术学院戏剧与影视学英语一812722161刘玲麟影视艺术技术学院戏剧与影视学英语一912722163赵传奇影视艺术技术学院戏剧与影视学英语一1012722164宋学玲影视艺术技术学院戏剧与影视学英语一1112722166徐晶晶影视艺术技术学院戏剧与影视学免试1212722167吴静影视艺术技术学院戏剧与影视学免试1312722168黄修训影视艺术技术学院数字媒体技术与应用英语一1412722169汪浩影视艺术技术学院数字媒体技术与应用英语一1512722170徐美婷影视艺术技术学院数字媒体技术与应用英语一1612722175李媛影视艺术技术学院戏剧与影视学英语一1712722196黄颖初影视艺术技术学院新闻传播学英语一1812722198李婧凝影视艺术技术学院新闻传播学英语一1912722203张世俊影视艺术技术学院新闻传播学免试2012722235花蕾影视艺术技术学院新闻传播学英语一2112722239金山影视艺术技术学院戏剧与影视学英语(单)2212722257王琛影视艺术技术学院艺术学理论英语一2312722260战桂香影视艺术技术学院艺术学理论英语一2412722261强菡影视艺术技术学院艺术学理论英语一2512722262丁琰影视艺术技术学院艺术学理论英语一2612722263侯一然影视艺术技术学院艺术学理论免试2712722264祝富强影视艺术技术学院艺术学理论英语一2812722349刘慧丽土木工程系土木工程英语一2912722350高游土木工程系土木工程英语一3012722352孙皓土木工程系土木工程英语一3112722353胡再乐土木工程系土木工程英语一3212722355李召辉土木工程系土木工程英语一3312722360张九龙土木工程系土木工程英语一3412722361周艳坤土木工程系土木工程英语一3512722363宓炜土木工程系土木工程英语一3612722368贾文强土木工程系土木工程英语一3712722372周亚梅土木工程系土木工程英语一3812722373周磊土木工程系土木工程英语一3912722375谢京来土木工程系土木工程英语一4012722376孙康土木工程系土木工程英语一4112722377刘飞土木工程系土木工程英语一4212722378杨建彪土木工程系土木工程英语一公共英语21班序号学号姓名学院专业外语112721081汤淇计算机工程与科学学院软件工程英语一212721082吴志国计算机工程与科学学院软件工程英语一312721083曾岗计算机工程与科学学院软件工程英语一412721084雷森计算机工程与科学学院软件工程英语一512721085李宁计算机工程与科学学院软件工程英语一612721086杨柳计算机工程与科学学院软件工程英语一712721087刘倩计算机工程与科学学院软件工程英语一812721088卞世敏计算机工程与科学学院软件工程英语一912721089仇麟计算机工程与科学学院软件工程英语二1012721090黄进计算机工程与科学学院软件工程英语一1112721091沈小龙计算机工程与科学学院软件工程英语一1212721092王雅萌计算机工程与科学学院软件工程英语一1312721093李鸽计算机工程与科学学院软件工程英语一1412721094徐广垚计算机工程与科学学院软件工程英语一1512721095司武霖计算机工程与科学学院软件工程英语一1612721096熊超计算机工程与科学学院软件工程英语一1712721097胡超计算机工程与科学学院软件工程英语一1812721098张高唯计算机工程与科学学院软件工程英语一1912721099高丽娟计算机工程与科学学院软件工程英语一2012721100刘聪计算机工程与科学学院软件工程英语一2112721101徐墨计算机工程与科学学院软件工程英语一2212721102曹汗计算机工程与科学学院软件工程免试2312721103张游计算机工程与科学学院软件工程免试2412721104叶曙涛计算机工程与科学学院软件工程免试2512721105陆凯计算机工程与科学学院软件工程免试2612721106张俊杰计算机工程与科学学院软件工程免试公共英语22班序号学号姓名学院专业外语112721337张伟森机电工程与自动化学院机械工程英语一212721342吴文峰机电工程与自动化学院机械工程英语一312721344于鑫机电工程与自动化学院机械工程英语一412721347刘云机电工程与自动化学院机械工程英语一512721349李洋机电工程与自动化学院机械工程英语一。