漆包线检验规范及绕线工艺
- 格式:doc
- 大小:5.59 MB
- 文档页数:20
1. 目旳为了严格控制漆包线来料质量,规范漆包线检查规范检查原则,为该产品旳验收工作提供指引根据。
2. 合用范畴本规范合用于公司漆包线来料旳检查验收。
3. 引用原则GB6190 漆包圆绕组线GB4074.2 漆包线实验措施(尺寸测量)GB4074.11 漆包线实验措施(热冲击实验。
圆线)GB4074.17 漆包线实验措施(击穿电压实验。
圆线)4. 技术规定4.1漆包圆线应符合GB6190旳规定和我司研发部产品规格书规定4.2 导体不圆度(导体标称直径0.063mm以上)任一点上最小直径和最大直径差应不大于表1和表2中导体公差栏旳值。
4.3 最小漆膜厚度和最小自粘层厚度(导体标称直径0.063mm以上)4.3.1 非自粘性漆包线最小漆膜厚度应不小于表1旳规定值。
4.3.2 自粘性漆包线涉及自粘层厚度在内旳最小漆膜厚度应不小于表2旳规定值。
4.4 最大外径4.4.1 非自粘性漆包线最大外径应不超过表1旳规定值。
4.4.2 自粘性漆包线最大外径应不超过表2旳规定值。
4.5 电阻不用直径旳导线电阻值应如表3所示。
表3 不同直径导线旳电阻值4.6.5000V,1min旳耐压实验,其耐压泄漏≤1mA。
4.7 盐水弯曲针孔实验常态下旳漆包线盐水弯曲针孔实验是将试样折成正方形,检查漆包线漆膜旳持续性和附着性。
测试原理。
根据电解铜旳原理,试样开裂点露出旳裸导体铜发生电解反映,气孔处呈现红色状,即为针孔。
其反映式如下:2Cu+2H2O——2CuO(红色)+2H2合格鉴定措施:在弯曲旳四角上,0.07 mm如下旳漆包线总数小于或等于3个弯曲针孔鉴定合格,反之为不合格。
在弯曲旳四角上,0.07 mm及以上旳漆包线,弯曲针孔总数小于或等于4个鉴定合格,反之为不合格。
鉴定期,应排除直线(常态)针孔。
如有直线针孔,不应计入弯曲针孔总数,或应重新取样。
弯曲针孔越多,阐明漆膜附着力越差或脱漆。
5. 检查项目和检查措施5.1外观检查:5.1.1包装有无标记,外标记与实物与否一致,标记与否注明厂商、产品名称、净重、导体直径、漆膜级别、制造日期等。
漆包线检验标准QZY-21.外观检验:表面光滑,色泽均匀,无漆瘤和白色润滑剂,2.尺寸检验:漆包线直径:标准参照GB/T6109 ,检验方法:千分尺导体直径:标准参照GB/T6109,检验方法:千分尺漆包线直径:标准参照GB/T6109,检验方法:千分尺导体误差值:标准参照GB/T61093.机械特性:伸长率:标准参照GB/T6109,检验方法:拉长仪器,计算方法:(拉伸后的长度-拉伸前的长度)/拉伸前的长度的比;急拉断:标准按照每秒2米的速度急拉,检验漆膜无开裂,圆棒卷绕:将不同规格的漆包线与相对应的铜棒绕上十圈,检验漆膜无开裂,铜棒的直径参照GB/T6109要求;热冲击:将卷绕漆包线放在烘箱中(悬挂在烘箱中间位置)烘小时,烘箱温度与漆包线对应的规格要求,参照GB/T6109,烘完以后检验漆膜无开裂。
4.电性能:电阻:取要检验的漆包线1m, 将两端的漆膜刮去,测量漆包线的电阻,电阻测量值要与GB/T6109的要求电阻范围内;标准温度20度,换算公式:20度的电阻/+标准温度=实际测量电阻/+测量温度;盐浴测试:见盐浴测试标准击穿电压:取漆包线0.5m对折一次,将对折部位剪断并刮去四根线漆皮,然后再对折两次,并将对折后的漆包线扭成麻花状态,(两端各有两个线头)分别用高压仪测试同一端的两根线头的高压,(高压标准:参照附件国家2级标准)。
线径(mm )麻花圈数<33圈圈>12圈编制:批准:漆包线盐浴检验标准主题内容与适用范围:本标准适用于本企业漆包线检验之用。
操作过程:配置溶液及接线:配置盐水溶液:食盐30克,清水10公斤,浓度为3‰;配置酚酞溶液:酒精100克,酚酞3克;配置溶液:每10公斤盐水溶液加入20毫升酚酞溶液。
图1按图1检查盐浴装置正负极接线是否正确。
导电体接正极直接接入盐浴池,被测定转子接负极。
将电源正负极正确连接后,通直流电24伏,每次做盐浴前要检查溶液的导电性能,将“+”和“-”极直接浸入盐浴池中,观察电流表的读数,导通电流是否达到标准值:500mA。
漆包线进厂检验规程一范围、职责1 范围本规程规定了本公司安标矿用产品配套的YBDZ电机用漆包线检验方法,适用于外购漆包线进厂时检验。
2目的规范检验方法和行为,保证产品质量,从而保证用户的使用安全。
3职责质量控制部的进厂物资检验人员负责对进厂YBDZ电机用漆包线的检验,检验时做好记录。
检验记录保存五年。
二内容4 漆包线的检验4.1 检验的依据和抽样方法4.1.1 检验的依据GB/T6109漆包圆绕组线、YBDZ-2.0-01.1a图纸及其他相关技术要求。
4.1.2 抽样方法(1) 击穿电压:漆包线按每个批次每15卷为一组取五个样,作为耐高压试验的试样。
超出15卷的倍数或不足15卷的按一组取样。
取样分别从不同规格不同生产批次进的漆包线中进行。
(2) 尺寸检验:可随机在整卷上或高压试验后不影响尺寸检验的线段上测量。
4.2 漆包线的采购,应在我公司评定的合格供方中进行。
产品包装应有合格证,标签上有制造厂名及商标、漆包线的产品名称、漆膜种类、执行国家标准的编号、漆包线的直径和漆膜级别、出厂日期。
4.3 外观检查用正常视力检查,卷绕在线盘或线轴上的漆包线,漆膜应光滑、均匀、连续、无斑纹、无气泡和杂质。
4.4 尺寸检查4.4.1 导体直径导体直径与标称之差应不超过表1的规定值。
4.4.2 导体不圆度任一点上最小直径和最大直径之差应不大于表1第2栏的绝对值。
4.4.3 最小漆膜厚度最小漆膜厚度应不小于表1 的规定值。
4.4.4 最大外径最大外径应不超过表1 的规定值。
表1 漆包线尺寸4.5 柔韧性和附着性圆棒绕线试验(导体标称直径1.600毫米及以下),漆包线在等于其自身标称直径的圆棒上卷绕后,漆层应不开裂。
4.6击穿电压导体标称直径0.100毫米以上2.5毫米以下的漆包线,取五个试样中应至少有四个在小于或等于表2的电压下不发生击穿。
表2 击穿电压数值表5 检验结果检验合格的,检验人员在入库单上签字放行,业务负责人办理入库。
漆包线之检验项目如下,但经买卖双方协议,可省略若干检验项目,如无特别指定应在常温下(15~35℃,湿度45~75%)行之。
(1) 外观检查(6)绝缘破坏试验(11)耐溶剂性试验(2) 尺寸检查(7)可绕性试验(12) 耐软化试验(3) 导体电阻试验(8)密着性试验(13)粘合性试验(4) 伸长试验(9)直焊性试验(5) 针孔试验(10)耐热冲击试验5.1 外观检查(1)无伤痕(3)于常温下不互黏(2)表面光泽、颜色正当、光泽均匀(4)于常温下不易用指甲剥脱漆膜5.2尺寸检查用1/1000mm精度以上之测微计测定,完成外径、截取长度约30cm之试料,导体直径及漆膜厚度之测定,依下列之规定:测定完成外径后,用酒精灯或其它不浸蚀铜线之溶剂,将漆膜除掉,测定其导体直径,两值之差即为其漆膜厚度,测定完成外径或导体直径时,应在导体轴之垂直同一平面上,隔相同角度之两处以上之不同位置测定其直径,取各部份数值之平均值。
各测定值符合6.技术参数表。
5.3 导体电阻试验以DIGITAL LOW OHMMETER测定试料之电阻,并算出温度20℃(标准温度20℃)时,线长1m之电阻值,须符合6.技术参数表之规定。
表一:导体电阻温度换算系数表温度(t)℃系数(dt) 温度(t)℃系数(dt) 温度(t)℃系数(dt)0 1.085 12 1.033 24 0.9851 1.081 13 1.028 25 0.9812 1.076 14 1.024 26 0.9773 1.072 15 1.020 27 0.9734 1.067 16 1.016 28 0.9705 1.063 17 1.012 29 0.9666 1.058 18 1.008 30 0.9627 1.054 19 1.004 31 0.9598 1.050 20 1.000 32 0.9559 1.045 21 0.996 33 0.95110 1.041 22 0.992 34 0.94811 1.037 23 0.989 35 0.9445.6 绝缘破坏试验从同一轴上取五根长约30cm的直线状试样,除去度样两端的漆膜,安装在如图一所示的装置上。
一.漆包线的产品标准和试验方法标准;1 漆包圆线的产品标准;GB6109-90系列标准:2 漆包扁线的产品标准:GB/T7095-i995系列3.漆包圆线和扁线的试验方法标准:GB/T4074-1999二.漆包线的检验和试验漆包线检验的内容包括;外观和尺寸的检验测量,性能的测试。
其中性能包括:机械性能,化学性能,热性能和电性能。
现在我们主要对外观,尺寸进行讲解。
1.漆包线表面(外观)应光洁,色泽均匀,无粒子,无氧化,发毛,阴阳面,黑斑点,脱漆等影响性能的缺陷,排线应整齐,平整紧密,地绕在线盘上,不压线,收放自如影响表面的因素很多,它与原材料,漆料,设备,工艺,环境等因素有关。
2.尺寸2.1 漆包圆线尺寸包括:外形尺寸(外经)D导体直径d导体偏差△d导体的圆度f漆膜的厚度t2.1.1 外径是指;导体涂上一层绝缘漆膜后所测得的直径。
2.1.2 导体直径;是指去除绝缘层后金属线2.1.3 导体偏差;是指导体直径的实测值与标称值之间的差。
2.1.4 不国度(f)值是指导体每个截面上测量的最大读数和最小读数的最大差值。
2.2 测量方法;2.2.1测量工具;微米干分尺,精确度0.001mm漆包圆线,d<0.100mm 测力0.1-1.0Nd≥0.100mm 测力I-8N漆包扁线测力4-8N2.2.2 外径2.2.2.1 (圆线)当导体标称直径d≤0.200mm时,在相距各1m的3个位置,各测量一次外径,记录3个测量值,取其平均值作为外径。
2.2.2.2 当导体标称直径d>0.200mm时,相距1m的两个位置上,每个位置沿线周均分测量3次外径,记录6个测量值,取其平均值作为外径。
2.2.2.3 (扁线)相距各100mm3个位置上各测量宽边和窄边尺寸1次,取其3个测量值的平均值作为宽边和窄边的外形尺寸。
2.2.3 导体尺寸2.2.3.1 (圆线)当导体标称直径d≤0.200mm时,在相距各1m的3个位置用不损伤导体的任何方法除去绝缘各测量1次导体直径:取其平均值作为导体直径。
漆包圆铜线检验规范
1.质量要求
1.1 表面质量:漆包线应色泽均匀,表面光洁,无明显漆瘤。
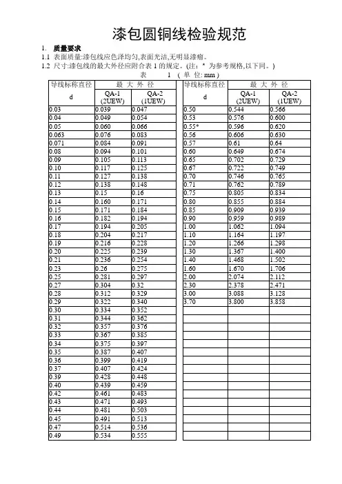
1.2 尺寸:漆包线的最大外径应附合表1的规定。
(注:* 为参考规格,以下同。
)
1.3 常温击穿电压
漆包线用扭绞法试验,其击穿电压应附合表2的规定。
注
拆成单根线进行试验;带*符号的线径击穿电压为参考值。
1.4 漆皮牢度:经卷绕后,漆膜应不起皱、不脱落
1.5 焊锡试验
漆包线在450 20℃锡槽中浸3秒后,镀锡线表面应平滑,无针孔及漆膜残渣。
2. 检验办法
2.1 表面质量:从线轴上去掉起头的1000mm后,取长约250mm的试样,用10倍的放大镜观察。
2.2 外径尺寸:用精度不低于0.01mm的千分尺测量其外径尺寸,应附合表1的规定。
2.3 常温击穿电压
将试样约300mm对折,扭绞部分长度为125mm,然后将端环剪断。
将两端头20 mm长去漆,并分开后施加试验电压。
试验电压大于1500时,升压速度应以 500V/S的速率加压。
试验电压应按表3中的规定。
试验时间为60S,判定漏电流为0.5mA。
漆包线检验规范一、漆包线入厂检验1、基本要求:电机漆包线的生产家,原则上都必须通过IS09001—2000质量管理体系认证。
供应商提供的有关产品合格证明材料必须真实、完整。
2、检验仪器、设备及量具要求:用于检测的仪器仪表应在合格检定期内,工装经合格验收后方可投入使用。
‘二、检验内容及方法:(一)外包装检验1入库包装数量检查、2供应商应提供材质单和质量检验合格证。
3每个包装件上的标签应至少包含制造厂名和商标、产品型号规格、净重、制造(生产)日期、标准编号等信息。
4产品型号为QZ-2/130,有UL证明或标识。
5包装件漆包线应整齐而紧密地绕在线盘上。
(二)性能检查:1、外观检查:用目视的方法检查每轴漆包线的漆膜不应有明显的气泡、划伤、破损等现象。
2、带漆皮线径检查:(1)抽样方法:全检。
(2)测量工具:外径干分尺(3)测量步骤:A.在每包装件上导线相距1000mm的两个位置,每个位置沿试样圆周均匀分布的三处进行测量,测力应符合表1。
B.记录漆包线导体两个端头位置上六个测量值并计算平均值,平均值应符合表1。
(4)、裸线线径检查:抽样方法:每批次抽样为2包装件(≤2全检),在该包装件上取一根长度不小于1000mm的试样。
(5)测量工具:外径千分尺(0—25)。
(6)测量步骤:A.将漆包线两端距线头10—30mm处的漆皮清理干净(可采用火烧)B.在每端头沿试样圆周均匀分布的三处进行测量,测力应符合表1C.记录漆包线导体两个端头位置上六个测量值并计算平均值,平均值应符合表1表1标称直径(mm) 带漆皮线径平均值不大于(mm)带漆皮/裸线测力(N)裸线直径范围(mm)φ0.23 φ0.28 0.75/1.25 φ0.226—φ0.234φ0.3l φ0.365 0.75/1.25 φ0.306—φ0.314φ0.33 φ0.390 0.75/1.25 φ0.326—φ0.334φ0.38 φ0.44 0.75/1.25 φ0.375—φ0.385φ0.41 φ0.47 0.75/1.25 φ0.405—φ0.415φ0.42 φ0.483 0.75/1.25 φ0.415-φ0.425φ0.45 φ0.513 0.75/1.25 φ0.445—φ0.455φ0.47 φ0.537 0.75/1.25 φ0.465—φ0.475φ0.49 φ0.556 0.75/1.25 φ0.485—φ0.495φ0.59 φ0.664 1/3 φ0.584—φ0.596 、漆包线的进料检验:抽取方法可以按照国标,当然如果公司是自己的,只是为了确定质量可以自行规定,一般每批线抽取3轴即可;检验方法国标同样有规定,不过一般公司不具备国家要求的所有检验用设备,只是通过检验来确定漆包线符合使用要求即可,这样的话,检验以下几项就可以,一是外观,不能有伤线,无线头,颜色异常等等;二是内径和外径,用千分尺来测量;三是绕线后的盐水针孔,有些线去过直接测针孔可能没问题,但是绕线后就不行了,这是漆膜附着性不好造成的,针孔一般测5米长的线,针孔数量小于12个就行;漆包线的抽检按轴数进行抽检,如10轴中抽检1轴。
A01A02損傷N GO K定義:來料漆包線出現漆包層脫落﹐露銅敘述:來料漆包線未出現漆包層脫落﹐露銅,冲伤﹑刮伤﹑折伤等伤痕或致露铜材或致断开﹐判為合格。
檢驗方法:顯微鏡檢驗(40X)/承認實物樣品檢驗方法:30cm處目視/顯微鏡檢驗(40X)/承認實物樣品敘述:來料材料與承認樣品實物比對﹐來料與承認樣品一樣時﹐為合格。
敘述:1.來料材料與承認樣品實物比對﹐發現來料與承認樣品不一樣時﹐為不合格。
2.來料實物標識與規范要求不符﹐為不合格。
例﹕左圖中來料漆包線線徑為0.08mm﹐但承認規格直徑為0.10mm 與承認書不相符﹐判為不合格。
漆包線混料N GO K定義:來料漆包線與實物樣品不相符(外觀檢驗取樣標准﹕每批每種顏色各取1米長)敘述:來料漆包線有出現漆包層脫落﹐露銅,冲伤﹑刮伤﹑折伤等伤痕或致露铜材或致断开﹐影响产品性能﹐判為不合格。
實際來料承認樣品直徑0.10mm直徑0.08mmNG OK第 1 頁A03A04A05漆包線變色O K檢驗方法:30cm處目視/顯微鏡檢驗(40X)/承認實物樣品敘述﹕來料漆包線有出現 发黑﹑发黄﹑发白等氧定義:來料漆包線有出現漆包層變色定義:來料漆包線有出現漆包層脫落敘述:來料漆包線無漆包層脫落,判為合格。
定義:來料漆包線有出現臟污現象敘述:來料漆包線有出現漆包層脫落,判為不合格。
N G敘述:來料漆包線有出現臟污,. 沾油渍﹑异物等杂质不能去除﹐影响制程作业判為不合格。
O K 敘述:1.來料漆包線無臟污﹑沾油渍﹑异物等杂物﹐判為合格。
2.來料漆包線有出現臟污,但不影響使用,判為合格。
漆包層脫落臟污檢驗方法:30cm處目視/顯微鏡檢驗(40X)/承認實物樣品檢驗方法:顯微鏡檢驗(40X)/承認實物樣品N G漆包線類檢驗標准敘述:來料漆包線無漆包層變色,判為不合格。
來料漆包線有出現 发黑﹑发黄﹑发白等氧化变色﹐或與承認樣品顏色差異明顯,或顏色不易分辨﹐ 影响产品性能﹑制程作业﹐判為不合格。
漆包圆绕组线检验规范1.适用范围:本规范适用于线规为0.10mm~2.50.mm的2级漆膜聚酯漆包圆绕组线。
2.引用标准:GB6109 漆包圆绕组线GB4074.2 漆包线试验方法(尺寸测量)GB4074.11 漆包线试验方法(热冲击试验)GB4074.17 漆包线试验方法(击穿电压试验)3.技术要求:3.1 漆包圆线应符合GB6109的规定。
3.1.1漆膜应光滑、均匀,不应有影响产品性能的缺陷。
3.1.2漆包铜线的直径、漆层的最小厚度和漆包线最大外径,应符合表1的规定。
3.1.3按表2的规定圈绕后,在规定温度的热冲击后漆膜应不开裂。
3.1.4在室温条件下,用扭纹法试验,其击穿电压应符合表3规定。
3.1.5节能认证一致性核查:QZY-2/155 制造商:江苏大通机电有限公司。
4.验收规则及试验方法:4.1验收产品检验合格证。
4.2测量工具仪器:千分尺、耐压台,电热鼓风箱(0~300C)、放大镜。
4.3抽取样本:每种规格型号抽取GB2828-87特殊检查水平S-2 (以筒数计算),每筒抽取长4000mm.4.4试验方法4.4.1尺寸测量:a.漆包圆线直径D:在相距1000mm,的两个位置上每个位置沿试样圆周均匀分布的三处进行测量。
b.漆包圆线导体直径d:在相距1000mm的两个位置上,用任何不损坏导体的方法(一般用酒精灯烧漆包线至发红,然后冷却至常温,再用洁净物轻轻擦净)去掉绝缘层,在每个位置上,沿试样圆周均匀分布的三处进行测量。
c.测量结果的计算:取漆包线和漆包线导体各两个位置上六个测量值的平均值作为漆包线直径D和漆包线导体直径d的测量结果。
d.f值(导体圆度的误差)的计算:f值按下式计算:f=d1-d2d1 —同一截面导体直径最大测量值,mmd2—同一截面导体直径最小测量值,mme.漆膜厚度的计算:漆膜厚度按下式计算:漆膜厚度=D-df.以上测量结果应符合表1规定。
g.合格判断:按合格质量水平AQL=4.0热冲击试验a. 选取长约500mm漆包线按下表卷绕成试样,漆膜应保持完好。
13漆包线检验标准QZY-21.外观检验:表面光滑,色泽均匀,无漆瘤和白色润滑剂,2.尺寸检验:2.1 漆包线直径:标准参照GB/T6109 ,检验方法:千分尺2.2 导体直径:标准参照GB/T6109,检验方法:千分尺2.3 漆包线直径:标准参照GB/T6109,检验方法:千分尺2.4 导体误差值:标准参照GB/T61093.机械特性:3.1 伸长率:标准参照GB/T6109,检验方法:拉长仪器,计算方法:(拉伸后的长度-拉伸前的长度)/拉伸前的长度的比;3.2 急拉断:标准按照每秒2米的速度急拉,检验漆膜无开裂,3.3 圆棒卷绕:将不同规格的漆包线与相对应的铜棒绕上十圈,检验漆膜无开裂,铜棒的直径参照GB/T6109要求;3.4 热冲击:将卷绕漆包线放在烘箱中(悬挂在烘箱中间位置)烘0.5小时,烘箱温度与漆包线对应的规格要求,参照GB/T6109,烘完以后检验漆膜无开裂。
4.电性能:4.1 电阻:取要检验的漆包线1m, 将两端的漆膜刮去,测量漆包线的电阻,电阻测量值要与GB/T6109的要求电阻范围内;标准温度20度,换算公式:20度的电阻/234.5+标准温度=实际测量电阻/234.5+测量温度;4.2 盐浴测试:见盐浴测试标准取漆包线0.5m对折一次,将对折部位剪断并刮去四根线漆皮,然后再对折两次,并将对折后的击穿电压:4.3漆包线扭成麻花状态,(两端各有两个线头)分别用高压仪测试同一端的两根线头的高压,(高压标准:参照附件国家2级标准)。
麻花圈数线径(mm ) 33圈 <0.2516圈0.25-0.45圈>0.4512批准:编制:专业文档供参考,如有帮助请下载。
.23漆包线盐浴检验标准主题内容与适用范围: 1.本标准适用于本企业漆包线检验之用。
2.操作过程:配置溶液及接线:A.配置盐水溶液:食盐30克,清水10公斤,浓度为 3‰;B.配置酚酞溶液:酒精100克,酚酞3克;C.配置溶液:每10公斤盐水溶液加入20毫升酚酞溶液。
1.目的:规范流程,指导工作。
2.适用范围:本规程适用于500V以下交流电机,圆线绕组的绕线操作工艺。
3.主要内容:3.1 领料3.1.1 注意技术部下发的定子线圈图纸,根据其下方表格的线规一栏中所示线径和右下角标题栏中的材料类别,向仓库领取相应的漆包线。
常用的漆包线类型为QZ-2。
例如:按图纸中的重量向仓库领取裸导体直径为0.85mm、热级为130的改性聚酯漆包铜圆线。
漆包线常用代号说明:3.1.2 测量漆包线:测量工具;微米干分尺,精确度O.002mm ;酒精灯;抹布;打火机。
漆包圆线,导体直径d<0.100mm时,测力0.1-1.0N;导体直径d≥0.100mm测力I-8N。
漆包扁线测力4-8N。
①.测量外形尺寸(外经)D:即导体涂上一层绝缘漆膜后所测得的直径。
对于圆线,当导体标称直径d≤0.200mm时,在相距各1m的3个位置,各测量一次外径,记录3个测量值,取其平均值作为外径。
当导体标称直径d>0.200mm时,相距1m的两个位置上,每个位置沿线周均分测量3次外径,记录6个测量值,取其平均值作为外径。
对于扁线,在相距各100mm的3个位置上各测量宽边和窄边尺寸1次,取再穿过保护桶上方的两个瓷嘴穿过线架前方的多孔瓷嘴,套上若干个白色套管,数目约为当天所需加工的定子铁心个数乘以9再加上1。
根据定子铁心的型号和规格,如:B5、B7、F4等等,以及定子铁心长度,来选择相例如:加工2个如下要求的定子铁心按:“R”→“0”“1”“0”“0”“9”“6”→“R”→“0”“2”“0”“0”“9”“6”→“R”→“0”“3”“0”“0”“9”“6”→……→“R”→“7”“2”“0”“0”“9”“6”→“B”“R”→“START”注意:如果需加工此定子铁心的数目超过2个时,比如说上面这个例子改为加工4个定子铁心,即AA=144圈,由于AA max= 99圈,则剩余的45圈必须要进行第二次设置,输入则改为:“R”→“0”“1”“0”“0”“9”“6”→“R”→“0”“2”“0”“0”“9”“6”→“R”→“0”“3”“0”“0”“9”“6”→……→“R”→“9”“9”“0”“0”“9”“6”→“B”“R”→“START”,绕完这99圈后,再接着绕需要的45圈线,重新再设置:“R”→“0”“1”“0”“0”“9”“6”→“R”→“0”“2”“0”“0”“9”“6”→“R”→“0”“3”“0”“0”“9”“6”→……→“R”→“4”“5”“0”“0”“9”“6”→“B”“R”→“START”最终一共完成4台电机所需的线圈数,共144圈线。
漆包线进厂检验规程1、目的:对进料漆包线进行规定的检验和试验,保证未经检验和检验不合格的产品不投入使用。
2、范围:适用于QXY-2/220级聚酰亚胺漆包线的检验和试验。
3、作业说明:3.1检验方式:按C=0,AQL=0.65抽样方案。
3.2检验项目:3.2.1外观3.2.1.1 从线盘上去除线头1m处取250mm试验,用10倍放大镜观察漆包线表面(外观)应光洁,色泽均匀,无粒子,无氧化,发毛,阴阳面,黑斑点,脱漆等影响性能的缺陷;线盘排线应整齐,平整紧密地绕在线盘上,不压线等;3.2.2尺寸3.2.2.1 漆包圆线尺寸包括:3.2.2.1.1 外径D:是指导体涂上一层绝缘漆膜后所测得的直径。
3.2.2.1.2 导体直径d:是指去除绝缘层后金属线3.2.2.1.3 导体偏差△d:是指导体直径的实测值与标称值之间的差。
3.2.2.1.4 不圆度f 值:是指导体每个截面上测量的最大读数和最小读数的最大差值。
3.2.2.2 测量方法:3.2.2.2.1测量工具:微米干分尺,精确度0.001mm,测力:1-8N;3.2.2.2.2 外径漆包线最大外径应符合表1要求;表 1 ( 单位: mm )3.2.3漆包线的性能3.2.3.1 机械性能:包括伸长率,回弹角,柔软度和附着性,刮漆,抗拉强度等项目;用缠绕法缠绕后,漆包线不起皱,漆膜不脱落。
3.2.3.2 耐热性能:包括热冲击和软化击穿试验3.2.3.3 耐化学性能:包括耐溶剂性能,直焊性。
3.2.3.4 电性能:包括击穿电压,漆膜连续性,直流电阻试验。
3.2.3.4.1 击穿电压是指漆包线漆膜所承受的电压负荷的能力,用扭绞法测量,在扭绞式样的两个导体之间施加电压,电压从零开始,以大约100V/S的速度均匀上升,直到击穿为此,绞扭数应符合表2规定,击穿电压应符合表3规定。
表 2表 33.2.3.4.2 漆膜连续性试验也叫针孔漆包线弯曲盐水针孔试验法3.2.3.4.2.1试验设备及材料:直流稳压电源DC12V(或DC24V),装盐水容器;剪刀;指示用的试剂(酚酞C20H14O4);酒精;食盐;清水。
1.目的:规范流程,指导工作。
2.适用范围:本规程适用于500V以下交流电机,圆线绕组的绕线操作工艺。
3.主要内容:3.1 领料3.1.1 注意技术部下发的定子线圈图纸,根据其下方表格的线规一栏中所示线径和右下角标题栏中的材料类别,向仓库领取相应的漆包线。
常用的漆包线类型为QZ-2。
例如:按图纸中的重量向仓库领取裸导体直径为0.85mm、热级为130的改性聚酯漆包铜圆线。
漆包线常用代号说明:3.1.2 测量漆包线:测量工具;微米干分尺,精确度O.002mm ;酒精灯;抹布;打火机。
漆包圆线,导体直径d<0.100mm时,测力0.1-1.0N;导体直径d≥0.100mm测力I-8N。
漆包扁线测力4-8N。
①.测量外形尺寸(外经)D:即导体涂上一层绝缘漆膜后所测得的直径。
对于圆线,当导体标称直径d≤0.200mm时,在相距各1m的3个位置,各测量一次外径,记录3个测量值,取其平均值作为外径。
当导体标称直径d>0.200mm时,相距1m的两个位置上,每个位置沿线周均分测量3次外径,记录6个测量值,取其平均值作为外径。
对于扁线,在相距各100mm的3个位置上各测量宽边和窄边尺寸1次,取再穿过保护桶上方的两个瓷嘴穿过线架前方的多孔瓷嘴,套上若干个白色套管,数目约为当天所需加工的定子铁心个数乘以9再加上1。
根据定子铁心的型号和规格,如:B5、B7、F4等等,以及定子铁心长度,来选择相例如:加工2个如下要求的定子铁心按:“R”→“0”“1”“0”“0”“9”“6”→“R”→“0”“2”“0”“0”“9”“6”→“R”→“0”“3”“0”“0”“9”“6”→……→“R”→“7”“2”“0”“0”“9”“6”→“B”“R”→“START”注意:如果需加工此定子铁心的数目超过2个时,比如说上面这个例子改为加工4个定子铁心,即AA=144圈,由于AA max= 99圈,则剩余的45圈必须要进行第二次设置,输入则改为:“R”→“0”“1”“0”“0”“9”“6”→“R”→“0”“2”“0”“0”“9”“6”→“R”→“0”“3”“0”“0”“9”“6”→……→“R”→“9”“9”“0”“0”“9”“6”→“B”“R”→“START”,绕完这99圈后,再接着绕需要的45圈线,重新再设置:“R”→“0”“1”“0”“0”“9”“6”→“R”→“0”“2”“0”“0”“9”“6”→“R”→“0”“3”“0”“0”“9”“6”→……→“R”→“4”“5”“0”“0”“9”“6”→“B”“R”→“START”最终一共完成4台电机所需的线圈数,共144圈线。
漆包线的试验方法漆包线在很多电器设备里都起着超重要的作用呢,那它的试验方法都有啥呀 。
一、外观检查。
这就像是给漆包线做个初步的“颜值鉴定” 我们可以直接用肉眼看漆包线的表面。
漆包线的漆层应该是均匀的,不能有那种疙疙瘩瘩的感觉,也不能有明显的裂缝或者漆瘤哦。
要是漆包线看起来坑坑洼洼或者漆层薄厚不一,那可能就不太合格啦。
而且颜色也得均匀一致呢,要是一块深一块浅的,就像穿了件花里胡哨拼凑起来的衣服,肯定不行呀。
二、尺寸测量。
这个就比较精确啦。
对于漆包线的直径,我们得用专门的测量工具,像千分尺之类的。
这就好比给漆包线量身材,尺寸必须得符合标准才行。
如果直径太大或者太小,在一些精密的电器设备里就可能会装不进去,或者安装上之后会出现各种问题呢。
比如说在绕制电机线圈的时候,漆包线尺寸不对,绕出来的线圈就可能不规整,电机的性能就会大打折扣啦。
三、柔韧性试验。
想象一下漆包线是个小体操运动员 我们可以把漆包线绕在一个合适的圆柱上,绕几圈之后再解开,看看漆包线有没有出现漆膜破裂或者折断的情况。
好的漆包线就像柔韧性很好的运动员,怎么折腾都不会受伤。
要是一绕就破了或者断了,那在实际使用中,比如说在一些需要弯曲布线的电器里,它肯定就撑不住啦。
四、电气性能试验。
这可是很关键的哦。
包括绝缘电阻的测量,就像检查漆包线穿的“绝缘防护服”够不够好。
用绝缘电阻测试仪来测,绝缘电阻得达到规定的值才行呢。
还有耐电压试验,给漆包线加上一定的电压,看看它能不能承受得住。
这就像是给漆包线一个压力测试,要是它经受不住,在实际的电器电路里,就可能会出现漏电之类的危险情况啦。
五、耐热性能试验。
漆包线在工作的时候可能会发热呢,就像人运动之后会出汗一样。
我们要测试它在高温环境下的表现。
把漆包线放在高温箱里,在规定的温度下放置一段时间后,再拿出来检查它的性能,比如外观有没有变化,电气性能是不是还正常。
要是一受热就变得“软趴趴”的,或者绝缘性能下降了,那在那些发热比较厉害的电器设备里可就没法好好工作啦。
再穿过保护桶上方的两个瓷嘴
根据定子铁心的型号和规格,如:B5、B7、F4等等,以及定子铁心长度,来选择相
1. 目的
为了严格控制漆包线来料质量,规范漆包线检验规范检验标准,为该产品的验收工作提供指导依据。
2. 适用范围
本规范适用于公司漆包线来料的检验验收。
3. 引用标准
GB6190 漆包圆绕组线
GB4074.2 漆包线实验方法(尺寸测量)
GB4074.11 漆包线实验方法(热冲击实验。
圆线)
GB4074.17 漆包线实验方法(击穿电压实验。
圆线)
4. 技术要求
4.1漆包圆线应符合GB6190的规定和本公司研发部产品规格书要求
4.2 导体不圆度(导体标称直径0.063mm以上)
任一点上最小直径和最大直径差应不大于表1和表2中导体公差栏的值。
4.3 最小漆膜厚度和最小自粘层厚度(导体标称直径0.063mm以上)
4.3.1 非自粘性漆包线
最小漆膜厚度应不小于表1的规定值。
4.3.2 自粘性漆包线
包括自粘层厚度在内的最小漆膜厚度应不小于表2的规定值。
4.4 最大外径
4.4.1 非自粘性漆包线
最大外径应不超过表1的规定值。
4.4.2 自粘性漆包线
最大外径应不超过表2的规定值。
4.5 电阻
不用直径的导线电阻值应如表3所示。
表3 不同直径导线的电阻值
4.6.耐压试验
5000V,1min的耐压试验,其耐压泄漏≤1mA。
4.7 盐水弯曲针孔实验
常态下的漆包线盐水弯曲针孔实验是将试样折成正方形,检查漆包线漆膜的连续性和附着性。
测试原理。
根据电解铜的原理,试样开裂点露出的裸导体铜发生电解反应,气孔处呈现红色状,即为针孔。
其反应式如下:
2Cu+2H2O——2CuO(红色)+2H2
合格判定方法:
在弯曲的四角上,0.07 mm以下的漆包线总数小于或等于3个弯曲针孔判定合格,反之为不合格。
在弯曲的四角上,0.07 mm及以上的漆包线,弯曲针孔总数小于或等于4个判定合格,反之为不合格。
判定时,应排除直线(常态)针孔。
如有直线针孔,不应计入弯曲针孔总数,或应重新取样。
弯曲针孔越多,说明漆膜附着力越差或脱漆。
5. 检验项目和检验方法
5.1外观检验:
5.1.1包装有无标识,外标识与实物是否一致,标识是否注明厂商、产品名称、净重、导体直径、漆膜级别、制造日期等。
5.1.2包装箱是否破损及严重脏污,导致漆包线受潮、破损等现象
5.1.3 漆包线是否有破损,有斑点等现象。
5.2尺寸测量:
5.2.1漆包圆线直径D:在1m漆包线上等分的三个位置上,每个位置用千分尺测量三个直径值。
5.2.2漆包圆线导体直径d:在1m漆包线上等分的三个位置上,用酒精灯烧漆包线至发红,然后冷却至常温,再用洁净物轻轻擦净去掉绝缘层,每个位置用千分尺测量三个直径值。
5.2.3测量结果的计算:取漆包线和漆包线导体三个位置上每个位置3个直径值的平均值作为漆包线直径D和漆包线导体直径d的测量结果。
5.2.4漆膜厚度计算漆膜厚度=D-d
以上测量结果符合技术要求中相关规定
5.3电阻测量
用LCR测试仪测试出铜线电阻后,与表3中对应的阻值及其公差进行比较。
如果电阻Rt是在温度t而不是在20℃时测量,20℃时的电阻R20应按下列公式计算:
式中:
t是测量时的实际摄氏温度,℃。
α温度系数,K-1
在15℃至25℃温度范围内,所使用的温度系数应为:
铜:α20=3.96×10-3 K-1
5.4.耐压实验
取两根125mm的漆包线,按表5进行扭绞,两根线分别接耐压测试仪的高压端和低压端,使用耐压测试仪调压,测量其5000V,1min下的耐压泄漏电流。
表5
5.5 盐水针孔实验
若导体标称直径小于0.07mm,取一根1.5m的试样,将试样(1±0.05)m长弯曲成直径为(100±50)mm的圆环;若导体标称直径大于或等于0.07mm,取一根6m的试样,将试样(5±0.2)m长弯曲成直径为(300±100)mm的圆环。
然后将圆环试样在对称四点把线圈对折,然后摊平形成正方形。
配制溶液:在量杯中倒入适量酒精,按3%比例加入酚酞并充分搅拌使之作为指示剂。
然后适量滴入浓度为2%的盐水中。
溶液一般可以重复使用,但为保证试验的准确性和直观清晰,每天应配制新鲜酚酞
盐水。
每次开始试验时,用试样端头点入盐水里,看盐水的显色效果,如果显色效果不好的要重新配制酚酞盐水;试样端头不能长期浸在盐水里,以免染红盐水,影响下次试验。
将试样浸入浓度为2g/L的氯化钠溶液中,并在溶液中加入适量浓度为30g/L的酚酞乙醇溶液,以便于观察到针孔(溶液中会出现淡红色流束)。
将试样导体和电解质溶液接入电气回路中,其直流输出电压为(12±2)V。
以试样为负极接入溶液中,施加电压1min。
为防止过度发热,短路电流应不大于500mA。
用正常视力观察,记录针孔数。
注意:
拉伸会导致电解溶液中针孔数增加。
因本实验是在含水溶液中进行,对那些漆膜在水中会发生裂解的漆包线,会得出错误的结果。
5.6 击穿电压试验要求供方提供检验报告。
6.抽样方法和判定
每种规格型号按GB2828-87 尺寸按一般检查水平GII,1.0;性能按特殊检查水平S-2,
1.0(以筒数计算)抽取样品进行测试。
编制:审批:。