漆包线检验标准
- 格式:doc
- 大小:17.00 KB
- 文档页数:4
漆包线的检验和试验方法一.漆包线的产品标准和试验方法标准;1 漆包圆线的产品标准;GB6109-90系列标准:2 漆包扁线的产品标准:GB/T7095-i995系列3.漆包圆线和扁线的试验方法标准:GB/T4074-1999二.漆包线的检验和试验漆包线检验的内容包括;外观和尺寸的检验测量,性能的测试。
其中性能包括:机械性能,化学性能,热性能和电性能。
现在我们主要对外观,尺寸进行讲解。
1.漆包线表面(外观)应光洁,色泽均匀,无粒子,无氧化,发毛,阴阳面,黑斑点,脱漆等影响性能的缺陷,排线应整齐,平整紧密,地绕在线盘上,不压线,收放自如影响表面的因素很多,它与原材料,漆料,设备,工艺,环境等因素有关。
2.尺寸2.1 漆包圆线尺寸包括:外形尺寸(外经)D导体直径d导体偏差△d导体的圆度 f漆膜的厚度t2.1.1 外径是指;导体涂上一层绝缘漆膜后所测得的直径。
2.1.2 导体直径;是指去除绝缘层后金属线2.1.3 导体偏差;是指导体直径的实测值与标称值之间的差。
2.1.4 不国度(f)值是指导体每个截面上测量的最大读数和最小读数的最大差值。
2.2 测量方法;2.2.1测量工具;微米干分尺,精确度0.001mm漆包圆线,d<0.100mm 测力0.1-1.0Nd≥0.100mm 测力I-8N漆包扁线测力4-8N2.2.2 外径2.2.2.1 (圆线)当导体标称直径d≤0.200mm时,在相距各1m的3个位置,各测量一次外径,记录3个测量值,取其平均值作为外径。
2.2.2.2 当导体标称直径d>0.200mm时,相距1m的两个位置上,每个位置沿线周均分测量3次外径,记录6个测量值,取其平均值作为外径。
2.2.2.3 (扁线)相距各100mm3个位置上各测量宽边和窄边尺寸1次,取其3个测量值的平均值作为宽边和窄边的外形尺寸。
2.2.3 导体尺寸2.2.3.1 (圆线)当导体标称直径d≤0.200mm时,在相距各1m的3个位置用不损伤导体的任何方法除去绝缘各测量1次导体直径:取其平均值作为导体直径。
漆包铜扁线进厂检验国标漆包线检验标准 QZY-21.外观检验:表面光滑,色泽均匀,无漆瘤和白色润滑剂,2.尺寸检验:2.1 漆包线直径:标准参照GB/T6109 ,检验方法:千分尺2.2 导体直径: 标准参照GB/T6109,检验方法:千分尺2.3 漆包线直径:标准参照GB/T6109,检验方法:千分尺2.4 导体误差值:标准参照GB/T61093.机械特性:3.1 伸长率:标准参照GB/T6109,检验方法:拉长仪器,计算方法:(拉伸后的长度-拉伸前的长度)/拉伸前的长度的比;3.2 急拉断:标准按照每秒2米的速度急拉,检验漆膜无开裂,3.3 圆棒卷绕:将不同规格的漆包线与相对应的铜棒绕上十圈,检验漆膜无开裂,铜棒的直径参照GB/T6109要求;3.4 热冲击: 将卷绕漆包线放在烘箱中(悬挂在烘箱中间位置)烘0.5小时,烘箱温度与漆包线对应的规格要求,参照GB/T6109,烘完以后检验漆膜无开裂。
4.电性能:4.1 电阻:取要检验的漆包线1m, 将两端的漆膜刮去,测量漆包线的电阻,电阻测量值要与GB/T6109的要求电阻范围内;标准温度20度,换算公式:20度的电阻/234.5+标准温度=实际测量电阻/234.5+测量温度;4.2 盐浴测试:见盐浴测试标准4.3 击穿电压:取漆包线0.5m对折一次,将对折部位剪断并刮去四根线漆皮,然后再对折两次,并将对折后的漆包线扭成麻花状态,(两端各有两个线头)分别用高压仪测试同一端的两根线头的高压,(高压标准:参照附件国家2级标准)。
编制: 批准:漆包线盐浴检验标准1. 主题内容与适用范围:本标准适用于本企业漆包线检验之用。
2. 操作过程:配置溶液及接线:A. 配置盐水溶液:食盐30克,清水10公斤,浓度为3‰;B. 配置酚酞溶液:酒精100克,酚酞3克;C. 配置溶液:每10公斤盐水溶液加入20毫升酚酞溶液。
图1D. 按图1检查盐浴装置正负极接线是否正确。
漆包线检验标准QZY-21.外观检验:表面光滑,色泽均匀,无漆瘤和白色润滑剂,2.尺寸检验:漆包线直径:标准参照GB/T6109 ,检验方法:千分尺导体直径:标准参照GB/T6109,检验方法:千分尺漆包线直径:标准参照GB/T6109,检验方法:千分尺导体误差值:标准参照GB/T61093.机械特性:伸长率:标准参照GB/T6109,检验方法:拉长仪器,计算方法:(拉伸后的长度-拉伸前的长度)/拉伸前的长度的比;急拉断:标准按照每秒2米的速度急拉,检验漆膜无开裂,圆棒卷绕:将不同规格的漆包线与相对应的铜棒绕上十圈,检验漆膜无开裂,铜棒的直径参照GB/T6109要求;热冲击:将卷绕漆包线放在烘箱中(悬挂在烘箱中间位置)烘小时,烘箱温度与漆包线对应的规格要求,参照GB/T6109,烘完以后检验漆膜无开裂。
4.电性能:电阻:取要检验的漆包线1m, 将两端的漆膜刮去,测量漆包线的电阻,电阻测量值要与GB/T6109的要求电阻范围内;标准温度20度,换算公式:20度的电阻/+标准温度=实际测量电阻/+测量温度;盐浴测试:见盐浴测试标准击穿电压:取漆包线0.5m对折一次,将对折部位剪断并刮去四根线漆皮,然后再对折两次,并将对折后的漆包线扭成麻花状态,(两端各有两个线头)分别用高压仪测试同一端的两根线头的高压,(高压标准:参照附件国家2级标准)。
编制:漆包线盐浴检验标准1.主题内容与适用范围:本标准适用于本企业漆包线检验之用。
2.操作过程:配置溶液及接线:A.配置盐水溶液:食盐30克,清水10公斤,浓度为 3‰;B.配置酚酞溶液:酒精100克,酚酞3克;C.配置溶液:每10公斤盐水溶液加入20毫升酚酞溶液。
图1D.按图1检查盐浴装置正负极接线是否正确。
导电体接正极直接接入盐浴池,被测定转子接负极。
E.将电源正负极正确连接后,通直流电24伏,每次做盐浴前要检查溶液的导电性能,将“+”和“-”极直接浸入盐浴池中,观察电流表的读数,导通电流是否达到标准值:500mA。
漆包线检验标准1.外观检验:表面光滑,色泽均匀,无漆瘤和白色润滑剂,表面绝缘漆膜无脱落、氧化、划痕、损伤,无打结现象2.尺寸检验:2.1 漆包线直径:标准参照IEC60317对照表,检验方法:千分尺2.2 导体直径:标准参照IEC60317对照表,检验方法:千分尺2.3 漆包线漆膜厚度:标准参照IEC60317对照表,检验方法:千分尺2.4 导体误差值:标准参照IEC60317对照表3.电性能:3.1 电阻取要检验的漆包线1m, 将两端的漆膜刮去,测量漆包线的电阻,电阻测量值要与IEC60317的要求电阻范围内;标准温度20度,换算公式:20度的电阻/234.5+标准温度=实际测量电阻/234.5+测量温度。
3.2 可焊性①剪取需要检验的铜线材料;②根据材料可焊性条件范围设定锡炉温度;③使用温度测量器对锡炉温度测量确认锡炉温度在材料承认书的可焊性条件范围内;④焊锡条件依材料承认书,铜线上锡效果:当铜线浸锡后目检表面着锡面积95%以上,不遗留残渣。
⑤.非直焊性线径剥皮处理后依(第①-④点)作业。
3.3 针孔及漏电流测试3.3.1配置溶液及接线A. 配置盐水溶液:食盐30 克,清水10 公斤,浓度为3‰;B. 配置酚酞溶液:酒精100 克,酚酞3 克;C. 配置溶液:每10 公斤盐水溶液加入20 毫升酚酞溶液;D. 按图1 检查盐浴装置正负极接线是否正确。
导电体接正极直接接入盐浴池,被测定转子接负极;E. 将电源正负极正确连接后,通直流电12V1000mA,每次做盐浴前要检查溶液的导电性能,将“+”和“-”极直接浸入盐浴池中,观察电流表的读数,导通电流是否达到标准值:500mA,当电流达到500mA及以上才可测试。
3.3.2 漏电流及针孔数测试标准电流法测试标准针孔数测试标准如针孔数量少于五个且不在同一个部位30米之内,则可以接受,其它情形均不能接受。
3.4 击穿电压取漆包线0.5m对折一次,将对折部位剪断并刮去四根线漆皮,然后再对折两次,并将对折后的漆包线扭成麻花状态,扭绞33圈,(两端各有两个线头)分别用高压仪测试同一端的两根线头的耐高压能力。
漆包线检验规范1.目的为了严格控制漆包线来料质量,规范漆包线检验规范检验标准,为该产品的验收工作提供指导依据。
2.适用范围本规范适用于公司漆包线来料的检验验收。
3.引用标准制定本规范参考了下列文件中的一些信息,但没有直接引用里面的条文。
凡是注日期的引用文件,其随后所有的修改单(不包括勘误的内容)或修订版均不适用于本标准,然而,鼓励根据本标准达成协议的各方研究是否可使用这些文件的最新版本。
凡是不注日期的引用文件,其最新版本适用于本标准。
➢好好学习社区➢德信诚培训教材➢百度文库GB6190 漆包圆绕组线GB4074.2 漆包线实验方法(尺寸测量)GB4074.11 漆包线实验方法(热冲击实验。
圆线)GB4074.17 漆包线实验方法(击穿电压实验。
圆线)4.技术要求4.1漆包圆线应符合GB6190的规定和本公司研发部产品规格书要求4.2 导体不圆度(导体标称直径0.063mm以上)任一点上最小直径和最大直径差应不大于表1和表2中导体公差栏的值。
4.3 最小漆膜厚度和最小自粘层厚度(导体标称直径0.063mm以上)4.3.1 非自粘性漆包线最小漆膜厚度应不小于表1的规定值。
4.3.2 自粘性漆包线包括自粘层厚度在内的最小漆膜厚度应不小于表2的规定值。
4.4 最大外径4.4.1 非自粘性漆包线最大外径应不超过表1的规定值。
4.4.2 自粘性漆包线最大外径应不超过表2的规定值。
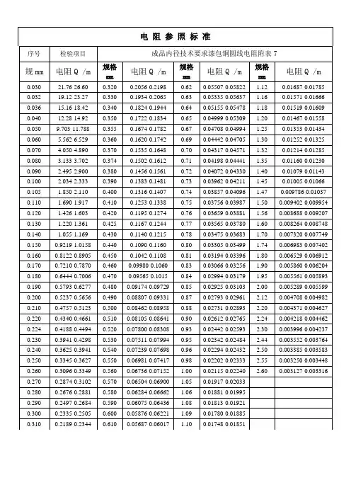
4.5 电阻不用直径的导线电阻值应如表3所示。
表3 不同直径导线的电阻值导体标称直径mm电阻Ω/m导体标称直径mm电阻Ω/m最小值标称值最大值最小值标称值最大值0.018 60.46 67.18 73.89 0.200 0.5237 0.5441 0.56570.020 48.97 54.41 59.85 0.224 0.4188 0.4338 0.44950.022 40.47 44.97 49.47 0.250 0.3345 0.3482 0.36280.025 31.34 34.82 38.31 0.280 0.2676 0.2776 0.28820.028 24.99 27.76 30.54 0.315 0.2121 0.2193 0.22700.032 19.13 21.25 23.38 0.355 0.1674 0.1727 0.17820.036 15.16 16.79 18.42 0.400 0.1316 0.1360 0.14070.040 12.28 13.60 14.92 0.450 0.1042 0.1075 0.11090.045 9.705 10.75 11.79 0.500 0.08462 0.08706 0.089390.050 7.922 8.706 9.489 0.530 0.07512 0.07748 0.079950.056 6.316 6.940 7.565 0.560 0.06736 0.06940 0.071530.063 5.045 5.484 5.922 0.600 0.05876 0.06046 0.062220.071 3.941 4.318 4.747 0.630 0.05335 0.05484 0.056380.080 3.133 3.401 3.703 0.670 0.04708 0.04848 0.049940.090 2.495 2.687 2.900 0.710 0.04198 0.04318 0.044420.100 2.034 2.176 2.333 0.750 0.03756 0.03869 0.039870.112 1.632 1.735 1.848 0.800 0.03305 0.03401 0.035000.125 1.317 1.393 1.475 0.850 0.02925 0.03012 0.031040.140 1.055 1.110 1.170 0.900 0.02612 0.02687 0.027650.160 0.8122 0.8502 0.8906 0.950 0.02342 0.02412 0.024870.180 0.6444 0.6718 0.7007 1.000 0.02116 0.02176 0.022404.6.耐压试验5000V,1min的耐压试验,其耐压泄漏≤1mA。
漆包线之检验项目如下,但经买卖双方协议,可省略若干检验项目,如无特别指定应在常温下(15~35℃,湿度45~75%)行之。
(1) 外观检查(6)绝缘破坏试验(11)耐溶剂性试验(2) 尺寸检查(7)可绕性试验(12) 耐软化试验(3) 导体电阻试验(8)密着性试验(13)粘合性试验(4) 伸长试验(9)直焊性试验(5) 针孔试验(10)耐热冲击试验5.1 外观检查(1)无伤痕(3)于常温下不互黏(2)表面光泽、颜色正当、光泽均匀(4)于常温下不易用指甲剥脱漆膜5.2尺寸检查用1/1000mm精度以上之测微计测定,完成外径、截取长度约30cm之试料,导体直径及漆膜厚度之测定,依下列之规定:测定完成外径后,用酒精灯或其它不浸蚀铜线之溶剂,将漆膜除掉,测定其导体直径,两值之差即为其漆膜厚度,测定完成外径或导体直径时,应在导体轴之垂直同一平面上,隔相同角度之两处以上之不同位置测定其直径,取各部份数值之平均值。
各测定值符合6.技术参数表。
5.3 导体电阻试验以DIGITAL LOW OHMMETER测定试料之电阻,并算出温度20℃(标准温度20℃)时,线长1m之电阻值,须符合6.技术参数表之规定。
表一:导体电阻温度换算系数表温度(t)℃系数(dt) 温度(t)℃系数(dt) 温度(t)℃系数(dt)0 1.085 12 1.033 24 0.9851 1.081 13 1.028 25 0.9812 1.076 14 1.024 26 0.9773 1.072 15 1.020 27 0.9734 1.067 16 1.016 28 0.9705 1.063 17 1.012 29 0.9666 1.058 18 1.008 30 0.9627 1.054 19 1.004 31 0.9598 1.050 20 1.000 32 0.9559 1.045 21 0.996 33 0.95110 1.041 22 0.992 34 0.94811 1.037 23 0.989 35 0.9445.6 绝缘破坏试验从同一轴上取五根长约30cm的直线状试样,除去度样两端的漆膜,安装在如图一所示的装置上。
漆包線檢驗標準規範
一.目的:
針對多家漆包線供應商品質不一,建立規範化的漆包線入料檢驗標準
二.铜线检验主要項目
1. 外观:
1-1、检测工具:10倍放大镜
1-2、检测方法:对于直径等于或大于1.83mm的漆包线,其外观质量用正常目力检验,对于直径小于1.83mm的漆包线采用放大倍数不超过10倍的放大镜检查。
1-3、漆包线表面品质要求
漆包线线表面光滑、色彩均匀、应无起珠、漆瘤、黑斑、黑线、氧化、开裂、碰伤划痕、裸线线花等不良缺陷、常温下不粘着、排线均匀。
以目视,手触,指甲法等检查,
A有无伤痕或污损;
B表面之光滑度,光泽,颜色是否均匀;
C以指甲刮擦,漆膜是否易脱落.
2. 尺寸檢測: (內徑和外徑與及膜厚)
2-1、检验工具:0.001mm普通外径千分尺、0.001mm千分尺、火機
2-2、检验方法:漆包线外径在相距1000mm的位置上,每个圆周均匀颁点三处进行测量,取两个位置六个测量值的平均值作为测量结果,然后在测量漆包线外径处用火烧去导体上附着的漆膜,用和上面相同的方法测量导体直径,漆包线外径与导体直径之差即为漆包线的漆膜厚度。
2-3、品质要求:
A漆包线导体线径必须在公差允许范围内,不允许有偏大或偏小现象;
B漆包线完成外径必须控制在标准范围内,不允许有偏大或偏小现象;
C漆膜厚度不允许有偏小现象,且具有耐压性。
3. 針孔试验: (三层绝缘线針孔为0个,TC/TR漆包線要求为0个)
检验工具:针孔试验仪、水盆、剪刀、提钩、温湿两用温度计、玻璃杯
3-1、检验原料:食盐、酝酿、清水
3-2、检验方式:成品检验、性能检验每种规格各抽检2轴。
漆包圆铜线检验规范1.质量要求1.1 表面质量:漆包线应色泽均匀,表面光洁,无明显漆瘤。
1.2 尺寸:漆包线的最大外径应附合表1的规定。
(注:* 为参考规格,以下同。
)1.3 常温击穿电压漆包线用扭绞法试验,其击穿电压应附合表2的规定。
注拆成单根线进行试验;带*符号的线径击穿电压为参考值。
1.4 漆皮牢度:经卷绕后,漆膜应不起皱、不脱落1.5 焊锡试验漆包线在450 20℃锡槽中浸3秒后,镀锡线表面应平滑,无针孔及漆膜残渣。
2. 检验办法2.1 表面质量:从线轴上去掉起头的1000mm后,取长约250mm的试样,用10倍的放大镜观察。
2.2 外径尺寸:用精度不低于0.01mm的千分尺测量其外径尺寸,应附合表1的规定。
2.3 常温击穿电压将试样约300mm对折,扭绞部分长度为125mm,然后将端环剪断。
将两端头20 mm长去漆,并分开后施加试验电压。
试验电压大于1500时,升压速度应以 500V/S的速率加压。
试验电压应按表3中的规定。
试验时间为60S,判定漏电流为0.5mA。
财务部工作总结、分析及计划报告范文[财务部工作总结、分析及计划报告范文]务部工作总结、分析及计划报告范文2009-12-10 10:25读者上传【大中小】【打印】【我要纠错】在上级财务部门的业务指导下,以年初支公司提出的工作思路为指导,以提高企业效益为核心,以增强企业综合竞争力为目标,以成本治理和资金治理为重点,全面落实预算治理,强基础,抓规范,实现了全年业务制度规范化,经营治理科学化,企业效益最大化,有力地推动了支公司财务治理水平的进一步提高,充分发挥了财务治理在企业治理中的核心作用,财务部工作总结、分析及计划报告范文。
现将2009年公司财务工作总结如下:一、主要指标完成情况1、固定费用:1-9月份累计完成##.5xxxx,完成进度计划的117.2xxxx,同比增长27.4xxxx,增加支出2312627.8 xxxx。
2、三项费用:1-9月份累计完成##.5xxxx,完成进度计划的136.3xxxx,同比降低10.5xxxx,减少支出171939.2 xxxx。
漆包线检验规范一、漆包线入厂检验1、基本要求:电机漆包线的生产家,原则上都必须通过IS09001—2000质量管理体系认证。
供应商提供的有关产品合格证明材料必须真实、完整。
2、检验仪器、设备及量具要求:用于检测的仪器仪表应在合格检定期内,工装经合格验收后方可投入使用。
‘二、检验内容及方法:(一)外包装检验1入库包装数量检查、2供应商应提供材质单和质量检验合格证。
3每个包装件上的标签应至少包含制造厂名和商标、产品型号规格、净重、制造(生产)日期、标准编号等信息。
4产品型号为QZ-2/130,有UL证明或标识。
5包装件漆包线应整齐而紧密地绕在线盘上。
(二)性能检查:1、外观检查:用目视的方法检查每轴漆包线的漆膜不应有明显的气泡、划伤、破损等现象。
2、带漆皮线径检查:(1)抽样方法:全检。
(2)测量工具:外径干分尺(3)测量步骤:A.在每包装件上导线相距1000mm的两个位置,每个位置沿试样圆周均匀分布的三处进行测量,测力应符合表1。
B.记录漆包线导体两个端头位置上六个测量值并计算平均值,平均值应符合表1。
(4)、裸线线径检查:抽样方法:每批次抽样为2包装件(≤2全检),在该包装件上取一根长度不小于1000mm的试样。
(5)测量工具:外径千分尺(0—25)。
(6)测量步骤:A.将漆包线两端距线头10—30mm处的漆皮清理干净(可采用火烧)B.在每端头沿试样圆周均匀分布的三处进行测量,测力应符合表1C.记录漆包线导体两个端头位置上六个测量值并计算平均值,平均值应符合表1表1标称直径(mm) 带漆皮线径平均值不大于(mm)带漆皮/裸线测力(N)裸线直径范围(mm)φ0.23 φ0.28 0.75/1.25 φ0.226—φ0.234φ0.3l φ0.365 0.75/1.25 φ0.306—φ0.314φ0.33 φ0.390 0.75/1.25 φ0.326—φ0.334φ0.38 φ0.44 0.75/1.25 φ0.375—φ0.385φ0.41 φ0.47 0.75/1.25 φ0.405—φ0.415φ0.42 φ0.483 0.75/1.25 φ0.415-φ0.425φ0.45 φ0.513 0.75/1.25 φ0.445—φ0.455φ0.47 φ0.537 0.75/1.25 φ0.465—φ0.475φ0.49 φ0.556 0.75/1.25 φ0.485—φ0.495φ0.59 φ0.664 1/3 φ0.584—φ0.596 、漆包线的进料检验:抽取方法可以按照国标,当然如果公司是自己的,只是为了确定质量可以自行规定,一般每批线抽取3轴即可;检验方法国标同样有规定,不过一般公司不具备国家要求的所有检验用设备,只是通过检验来确定漆包线符合使用要求即可,这样的话,检验以下几项就可以,一是外观,不能有伤线,无线头,颜色异常等等;二是内径和外径,用千分尺来测量;三是绕线后的盐水针孔,有些线去过直接测针孔可能没问题,但是绕线后就不行了,这是漆膜附着性不好造成的,针孔一般测5米长的线,针孔数量小于12个就行;漆包线的抽检按轴数进行抽检,如10轴中抽检1轴。
漆包线材进货检验标准
一、外观要求
1.包装有无标识,外标识与实物是否一致,标识是否注明厂商、产品名称、净重、导体直径、漆膜级别、制造日期等。
2.包装箱是否破损及严重脏污,导致漆包线受潮、破损等现象
3.漆包线是否有破损,有斑点等现象。
二、尺寸要求
1.漆包圆线直径D:在1m漆包线上等分的三个位置上,每个位置用千分尺测量三个直径值。
2.漆包圆线导体直径d:在1m漆包线上等分的三个位置上,用酒精灯烧漆包线至发红,然后冷却至常温,再用洁净物轻轻擦净去掉绝缘层,每个位置用千分尺测量三个直径值。
3.测量结果的计算:取漆包线和漆包线导体三个位置上每个位置3个直径值的平均值作为漆包线直径D和漆包线导体直径d的测量结果。
4.漆膜厚度计算漆膜厚度=D-d
以上测量结果符合技术要求中相关规定
三、性能要求
1.用LCR测试仪测试出铜线电阻后,与表1中对应的阻值及其公差进行比较。
如果电阻Rt是在温度t而不是在20℃时测量,20℃时的电阻R20应按下列公式计算:
式中:
t是测量时的实际摄氏温度,℃。
α温度系数,K-1
在15℃至25℃温度范围内,所使用的温度系数应为:
铜:α20=3.96×10-3 K-1
不同直径导线的电阻值
2.耐压试验
5000V,1min的耐压试验,其耐压泄漏≤1mA。
漆包线铜线检验标准及参数品名油性树脂漆包线聚乙烯醇缩甲醛漆包线聚酯瓷漆包线聚胺基甲酸脂漆包线国家标准号码CNS3984C3049 CNS3986 C3051 CNS3986 C3051 CNS3986 C3051符号 E W P V F P E W U E W漆膜厚度类别1种(3.2-0.1mm)漆膜厚者2种(1-0.025mm)漆膜薄者0种(3.2-0.1mm)漆膜特厚者1种(3.2-0.1mm)漆膜厚者2种(1-0.025mm)漆膜薄者0种(3.2-0.1mm)漆膜特厚者1种(3.2-0.1mm)漆膜厚者2种(1-0.05mm)漆膜薄者0种(3.2-0.1mm)漆膜特厚者1种(3.2-0.1mm)漆膜厚者2,3种(1-0.025mm)漆膜薄者针孔试验截取长度约6公尺之试料1条,浸入试验液中约5 公尺,导以12V之直流电压1分钟后,产生之针孔数符合下表之规定1种(2.0-0.3mm) 5个以下2种(1.0-0.05mm) 8个以下3种(0.04-0.025mm)12个以下同左但须先加热处理(125℃10分)后再行试验,产生之针孔数符合下表之规定0种 2个以下1种 3个以下2种 5个以下同PVF试验法,产生之针孔数,须符合下表之规定0种 2个以下1种 3个以下2种 5个以下同PVF试验法,产生之针孔数,须符合下表之规定0种 2个以下1种 3个以下2种 5个以下3种 12个以下卷线试验截取确无针孔之适当长度试料5条,依下表所列平滑圆棒,紧密卷线10次再行针孔试,此时5 条中不得有3 条以上有针孔(0.37-2.0mm施行之)依下表所列平滑圆棒,紧密卷线10次,不得有以肉眼所风之龟列现象(0.37mm以上施行之)同PVF试法同PVF试法导线直径mm2.0-1.21.1-0.80.75-0.550.5-0.37圆棒直径导线直径8倍导线直径6倍导线直径5倍导线直径4倍导线直径mm2.0-1.21.1-0.80.75-0.550.5-0.37圆棒直径导线直径6倍导线直径5倍导线直径4倍导线直径3倍导线直径mm2.0-1.21.1-0.80.75-0.550.5-0.37圆棒直径导线直径6倍导线直径5倍导线直径4倍导线直径3倍导线直径mm2.0-1.21.1-0.80.75-0.550.5-0.37圆棒直径导线直径5倍导线直径4倍导线直径3倍伸长试验截取确无针孔之适当长度试料5条,设标点距离为250mm而伸长10%,再行针孔试,此时5 条中不得有3条以上有针孔(0.37mm施行之)截取确无针孔之适当长度试料3条,设标点距离为250mm,0.35-0.1mm而伸长10%,0.09-0.08mm而伸长5%,伸长后以8倍之放大镜检查时,不得有龟裂现象.同PVF试验法同PVF试验法绝缘破坏试验2条铜线检验主要参数1.外观: (JIS C 3003 4)以目视,手触,指甲法等检查,1.1有无伤痕或污损;1.2表面之光滑度,光泽,颜色是否均匀;1.3以指甲刮擦,漆膜是否易脱落.2.构造检查: (JIS C 3003 5 (1) )用精度为0.001mm以上之测微计量测完成外径,导体径,漆膜厚度.3.针孔试验: (JIS C 3003 6)(三层绝缘线针孔为0个)导体径在0.07mm以上者,取长度为6米之试料加热于125℃/10min.(或常温下)后,浸入针孔试验液(3%之酚太酒精溶液,适量加入到0.2%的氯化钠溶液中)中约5m,试验液为正极,试料导体为极,施以12V 之电流1分钟.0种3个及以下; 1种 5个及以下; 2种 8个及以下; 3种 12个及以下;4.耐溶剂性: (JIS C 3003 13.1)取长20cm之试料1根,置于125±3℃的恒温炉中加热10分钟后取出,以不弯曲,不伸长之状态,将试料大约15cm之部份浸入温度60±3℃的二甲苯溶液中浸泡30分钟,取出以目视检查漆膜上有无起泡或膨胀..接着对导体径0.19以下者采用指甲法(用指甲尖端摩擦该线);导体径0.20以上者采用铅笔法(将2H之铅笔削成刃形,并对试料以约60度角及约500gf之作用力刮擦一次).再以目视检查漆膜上是否有产生气泡或凸起,但浸渍于溶剂之端部及液面之下部20mm不做为试验之对象.注:红字部份只针对漆包线,不包括三层绝缘线5. 直焊性: (JIS C 3003 14/16)同一线轴上取试样长约150mm共3条,分别将其一端40mm浸入锡炉(锡条按CNS247中规定的软焊料Sn50:Pb50)中焊锡,所深入部份应均匀完全上锡(浸渍部份上端10mm处不做试验之对象),并且不能有碳化之黑屑.漆包线导体径(mm)漆包线焊锡温度380±5℃焊锡时间(s)三层绝缘线导体径(mm)三层绝缘线焊锡温度420±5℃焊锡时间(s)0.32以下 2 0.20~0.40 40.35~0.50 3 0.45~0.70 60.55~1.00 4 0.75~1.00 101.10~1.50 56. 导体电阻测试: (漆包线JIS C 3003 17,绝缘线JIS C 3005 4.7.1)用惠登或交流电桥法测定试料之电阻,并算出温度为20℃时线长1Km之电阴,须符合附表之规定值.(该项试验依据JIS CNS 3003-1984.第19节内容)计算公式:R(Ω/km)=1米之电阻*1000*温度系数导体电阴温度数表(标准温度为20℃)温度℃系数温度℃系数温度℃系数10 1.041 19 1.004 28 0.97011 1.037 20 1.000 29 0.96612 1.033 21 0.996 30 0.96213 1.028 22 0.992 31 0.95914 1.024 23 0.989 32 0.95515 1.020 24 0.985 33 0.95116 1.016 25 0.981 34 0.94817 1.012 26 0.977 35 0.94418 1.008 27 0.973三层绝缘线导体电阻如下:导体直径(mm) 最大导体阻抗(20℃)(mΩ/m)最小伸长率(%) 导体直径(mm)最大导体阻抗(20℃)(mΩ/m)最小伸长率(%)0.20 607.6 15 0.40 145.3 200.21 549.0 15 0.45 114.2 200.22 498.4 15 0.50 91.43 200.23 454.5 15 0.55 78.15 200.24 416.2 15 0.60 65.26 200.25 382.5 15 0.65 55.31 200.26 358.4 15 0.70 47.47 200.27 331.4 15 0.75 41.19 200.28 307.3 15 0.80 36.08 250.29 285.7 20 0.85 31.87 250.30 262.9 20 0.90 28.35 250.32 230.0 20 0.95 25.38 250.35 191.2 20 1.00 23.33 250.37 170.6 207. 伸长率: (JIS C 3003 18)取长约400mm之试片,在其中央部份做250mm之标线距离,以305±25mm/min之速率拉伸至断裂,试片在标线之外拉断,该次试验视为无效,连接断裂部份后测量标线间长度,依下列公式算出伸长率:伸长率(%)={连接断裂部份标线间长度(mm) – 原标点距离(mm)} ÷原标点距离(mm)标准规格(mm) 最小伸长率(%) 标准规格(mm) 最小伸长率(%) 标准规格(mm) 最小伸长率(%)0.050 10 0.200 21 0.500 250.060 10 0.210 21 0.550 260.070 13 0.230 22 0.600 270.080 14 0.250 22 0.650 280.090 15 0.260 22 0.700 280.100 16 0.270 22 0.750 280.110 17 0.290 23 0.800 280.120 17 0.300 23 0.850 290.130 18 0.310 23 0.900 290.140 18 0.340 24 0.950 300.150 19 0.350 24 1.000 300.160 19 0.370 24 1.100 300.170 20 0.400 24 1.200 310.180 20 0.450 25 1.300 328. 绝缘破坏电压; (漆包线JIS C 3003 110,绝缘线JIS C 3005 4.6)漆包线: 同一轴线截取样品3根(每根长约350mm),将每根样品对折剪成两段,依下表中的张力及卷线圈数与自身对绞,绞合部分长约120mm;再在每根绞线的两根导体之间施加50Hz或60Hz的正弦交流电压,试验电压以大约500V/S的速率均匀上升,由此测下破坏电压值,但若破坏发生在5S以内者,则降低升压速度,使其在5S以上发生破坏.导体直径(mm) 张力(kgf) 绞数导体直径(mm) 张力(kgf) 绞数0.05 0.003 50 0.30~0.45 0.350 160.06~0.07 0.005 40 0.50~0.70 0.450 120.08~0.11 0.010 30 0.75~1.20 1.500 90.12~0.17 0.040 24 1.30~2.00 4.000 60.18~0.29 0.120 20 2.10~3.20 7.000 3三层绝缘线: 同一轴线截取样品五根(每根长约400mm),将每根样品对折剪成两段,依下表中的张力及卷线圈数与自身对绞,绞合部分长约125mm;再在每根绞线的两根导体之间施加50Hz或60Hz的正弦交流电压,试验电压以大约500V/S的速率均匀上升,直至样品被击穿,样品被击穿的电压数值须大于12000V.导体直径(mm) 张力(N) 绞数 起 至 0.100 0.250 0.85 33 0.250 0.355 1.70 23 0.355 0.500 3.40 16 0.500 0.710 7.00 12 0.7101.06013.508。
漆包线检验标准
漆包线检验标准 QZY-2 1.外观检验:
表面光滑,色泽均匀,无漆瘤和白色润滑剂,
2.尺寸检验:
2.1 漆包线直径:标准参照GB/T6109 ,检验方法:千分尺
2.2 导体直径: 标准参照GB/T6109,检验方法:千分尺
2.3 漆包线直径:标准参照GB/T6109,检验方法:千分尺
2.4 导体误差值:标准参照GB/T6109
3.机械特性:
3.1 伸长率:标准参照GB/T6109,检验方法:拉长仪器,
计算方法:(拉伸后的长度-拉伸前的长度)/拉伸前的长度的比; 3.2 急拉断:标准按照每秒2米的速度急拉,检验漆膜无开裂,
3.3 圆棒卷绕:将不同规格的漆包线与相对应的铜棒绕上十圈,检验漆膜无开裂,铜棒的直径参照GB/T6109要求;
3.4 热冲击: 将卷绕漆包线放在烘箱中(悬挂在烘箱中间位置)烘0.5小时,烘箱温度与漆包线对应的规格要求,
参照GB/T6109,烘完以后检验漆膜无开裂。
4.电性能:
4.1 电阻:取要检验的漆包线1m, 将两端的漆膜刮去,测量漆包线的电阻,电阻测量值要与GB/T6109的要求电阻范
围内;标准温度20度,换算公式:20度的电阻/234.5+标准温度=实际测量电阻/234.5+测量温度;
4.2 盐浴测试:见盐浴测试标准
4.3 击穿电压:取漆包线0.5m对折一次,将对折部位剪断并刮去四根线漆皮,然后再对折两次,并将对折后的
漆包线扭成麻花状态,(两端各有两个线头)分别用高压仪测试同一端的两根线头的高压,(高
压标准:参照附件国家2级标准)。
线径(mm ) 麻花圈数
<0.25 33圈
0.25-0.45 16圈
,0.45 12圈
编制: 批准:
漆包线盐浴检验标准 1. 主题内容与适用范围:
本标准适用于本企业漆包线检验之用。
2. 操作过程:
配置溶液及接线:
A. 配置盐水溶液:食盐30克,清水10公斤,浓度为3‰;
B. 配置酚酞溶液:酒精100克,酚酞3克;
C. 配置溶液:每10公斤盐水溶液加入20毫升酚酞溶液。
24V
被测漆包线
导电体
食盐、酚酞溶液
图1
D. 按图1检查盐浴装置正负极接线是否正确。
导电体接正极直接接入盐浴池,被测定转子接负极。
E. 将电源正负极正确连接后,通直流电24伏,每次做盐浴前要检查溶液的导电性能,将“+”和“-”
极直接浸入盐浴池中,观察电流表的读数,导通电流是否达到标准值:500mA。
当电流达到500mA
及以上才可测试。
3. 漏电流及针孔数测试标准
3.1 电流法测试标准:
漆包线
线径(mm) 浸泡时间通电时间漏电电流(mA)
<0.4 3min 3min <10
0.4-0.7 1min 1min <10
>0.7 不必浸泡 1min <20
3.2可接受标准:针孔数测试标准
3.2.1如针孔数量少于五个且不在同一个部位30米之内,则可以接受;
3.2.2其它情形均不能接受。
4.测试方法
A. 漆包线测试长度5m,
B. 将5m的漆包线的放到盐浴池中,按图1接好被测漆包线的两端,
C. 电源正极有效连接后,通直流电24伏,按漏电流接受准则进行测试,如果没有出现红色液体说
明漆包线盐浴测试合格;如果有红色液体说明有针孔,仔细观察针孔的数量及损伤部位,并作好记
录;
D. 当电流法超标时,请采用针孔法进行分析;
E.测试结束后,将电源线放回原位;
5.操作注意事项
A. 溶液浓度必需按比例,浓度为3‰,盐水必须每天更换;并做好记录,品质进行监督。
B. 溶液导电性能。
每次做盐浴时必须检查盐浴装置的导电性能,将“+”和“-”极直接浸入盐水
中,观察电流表的读数,其读数必须大于500mA;
C. 检验的漆包线(除两个线头)必须全部沉浸在盐浴池中,
D. 要保证电源正极有效连接,注意正负极不能接反;
E. 测试结束后,盐浴池内不允许遗留做实验的漆包线,同时将电源线放回原位。
4. 记录
品质要对用电流法测试的漏电流数据及针孔法分析的针孔数进行记录,同时要对每天换水记录进行
点检。
编制: 批准:。