腕臂计算
- 格式:ppt
- 大小:3.21 MB
- 文档页数:13
腕臂柱的装配第一节腕臂柱组成1、腕臂柱的装配在现在的应用中,是最多、最广的一种支持装置。
2、从装配的结构形式较多(由于支柱位置、曲线半径、侧面限界等),按现在的类型主要分为:中间柱、转换柱、中心柱、道岔柱、定位柱。
如下图:(1)中间柱在区间和站场使用较多。
(2)转换柱在锚段关节的两锚柱之间,实现工、非支转换的支柱。
(3)中心柱在四跨锚段关节的两转换之间的支柱。
(4)道岔柱用于支持道岔处两工作支悬挂的支柱。
(5)定位柱多用于站场两端,仅起定位作用的支柱。
3、腕臂柱的装配,根据支柱在线路位置的不同(如直线、曲线内侧、曲线外侧等),侧面限界的不同,它的装配形式也都不同。
根据下面的腕臂柱结构图,可以看出一个完整的腕臂柱装配,主要是由支持装置和定位装置组成。
一、支持装置作用:支持接触悬挂,传递接触悬挂的负荷给支柱。
组成:由腕臂、水平拉杆及压管、绝缘子及其它连接零部件。
1、腕臂(1)、作用:用来支持接触悬挂,并起传递负荷的作用。
(2)、所用材料:一般是用圆形钢管制成、槽钢和角钢。
(3)、型号:2"-3.0,1½"-2.8,(按钢管的粗细和长度确定型号),TG型为加强腕臂。
(4)、按其电气性能分为绝缘腕臂和非绝缘腕臂。
2、水平拉杆(杵环杆)及压管(1)、水平拉杆只能承受拉力。
(2)、用料:一般用直径Ø16的圆钢制成。
(3)、型号:10、12、14、16、18、21、23,(按长度确定)。
(4)、安装时注意事项:水平拉杆的杵头侧与绝缘子连接,耳环侧与调节板连接,耳环侧的焊口应朝下。
(5)、在受压和难以判断是受拉还是受压的时候应采用压管。
(6)、用料:一般用1½"、1"的钢管制成。
(7)、型号:Y-19,Y-23,(按长度确定)。
(8)、安装时注意事项:①压管与棒式绝缘子连接时,防滑顶丝与铁锚压板开口朝上,棒瓷漏水口朝下。
②在调整压管时,使其保证套管内余留200mm。
③在紧固铁锚压板和抱箍时应该注意U型螺栓两侧受力均衡。
武九支柱腕臂计算(中间柱)【单腕臂】一.计算条件1.需要测量的数据(1)现场实测的斜率值X1(斜率仪测量)之后需转换成斜率的转换值f=(80-68*2+X1)/1000,其中80为垂直线路侧的斜率,68为顺线路方向的斜率;(【】)(2)侧面限界CX;(3)线路超高h1(曲外为正,曲内为负)之后需算出接触线距线路中心c=a-m的值,c=a-h1*H/L,其中H为导线高度6450,L为两轨间距1435;2.图纸上给定的数据(1)导线高度和结构高度分别为6450和1400;(2)拉出值:直线一般是±300;曲外一般为+150,曲内一般为-150;(3)混凝土支柱H78、H93的总高是9.2+3,其中:埋深至钢轨的距离是3950,但考虑到支柱下陷,以3970进行腕臂计算;3.材料上量出的数据(1)上底座通长130,但支柱在埋深不够的情况下,所采取的孔外装时另需外加60的槽钢厚度,即算190;(2)下底座通长100,和上底座的一样,孔外装时另需外加60的槽钢厚度,即算160;(3)P棒瓷通长840(双重绝缘);单重绝缘740(4)X棒瓷通长790(双重绝缘);单重绝缘690(5)承力索座至P腕臂的边缘距离为88;(6)五孔套管双耳中心至P腕臂的边缘距离为74;4.技术参数(1)上、下底座之间的距离1750(支柱)〖小限界时,也需调整为1550左右〗;【2500的吊柱通常是1550】(2)定位器坡度400(矩形(限位)定位器),也就是定位点至定位管中心的距离;【站线定位器通常取300】(3)五孔套管双耳中心至承力索座中心的距离300〖小限界时,需调整为350〗,而承力索座中心至P腕臂的边缘距离为350,其中二者之和为650〖小限界时,需调整为700〗;(4)由导线高度和结构高度分别为6450和1400,可得到下底座的为6450+1400-88-1750=6012【注:YHL的钢柱和孔外装的水泥柱的计算就按下底座至轨平面6012的位置进行安装和计算,上下底座间距1750的位置进行安装和计算】;○注根据不同的轨面连线至支柱标示【3900,即支柱底部外露的一孔和二孔中间的位置】(以轨面为基准)h2、支柱下底至钢轨连线,即支柱埋深3950(计算时:以3970为计)和以3900为基准可计算出下底座的安装高度h为6012+3970-(3900-h2)=?,这时更需注意以6012上下浮动200的范围内都采用孔内装,反之,若超过时,则采用孔外装。
腕臂计算(1)武九支柱腕臂计算(中间柱)【单腕臂】一.计算条件1.需要测量的数据(1)现场实测的斜率值X1(斜率仪测量)之后需转换成斜率的转换值f=(80-68*2+X1)/1000,其中80为垂直线路侧的斜率,68为顺线路方向的斜率;(【】)(2)侧面限界CX;(3)线路超高h1(曲外为正,曲内为负)之后需算出接触线距线路中心c=a-m的值,c=a-h1*H/L,其中H为导线高度6450,L为两轨间距1435;2.图纸上给定的数据(1)导线高度和结构高度分别为6450和1400;(2)拉出值:直线一般是±300;曲外一般为+150,曲内一般为-150;(3)混凝土支柱H78、H93的总高是9.2+3,其中:埋深至钢轨的距离是3950,但考虑到支柱下陷,以3970进行腕臂计算;3.材料上量出的数据(1)上底座通长130,但支柱在埋深不够的情况下,所采取的孔外装时另需外加60的槽钢厚度,即算190;(2)下底座通长100,和上底座的一样,孔外装时另需外加60的槽钢厚度,即算160;(3)P棒瓷通长840(双重绝缘);单重绝缘740(4)X棒瓷通长790(双重绝缘);单重绝缘690(5)承力索座至P腕臂的边缘距离为88;(6)五孔套管双耳中心至P腕臂的边缘距离为74;4.技术参数(1)上、下底座之间的距离1750(支柱)〖小限界时,也需调整为1550左右〗;【2500的吊柱通常是1550】(2)定位器坡度400(矩形(限位)定位器),也就是定位点至定位管中心的距离;【站线定位器通常取300】(3)五孔套管双耳中心至承力索座中心的距离300〖小限界时,需调整为350〗,而承力索座中心至P腕臂的边缘距离为350,其中二者之和为650〖小限界时,需调整为700〗;(4)由导线高度和结构高度分别为6450和1400,可得到下底座的为6450+1400-88-1750=6012【注:YHL的钢柱和孔外装的水泥柱的计算就按下底座至轨平面6012的位置进行安装和计算,上下底座间距1750的位置进行安装和计算】;○注根据不同的轨面连线至支柱标示【3900,即支柱底部外露的一孔和二孔中间的位置】(以轨面为基准)h2、支柱下底至钢轨连线,即支柱埋深3950(计算时:以3970为计)和以3900为基准可计算出下底座的安装高度h为6012+3970-(3900-h2)=?,这时更需注意以6012上下浮动200的范围内都采用孔内装,反之,若超过时,则采用孔外装。
腕臂计算模型1、平腕臂低头52mm时与水平线夹角为1度,对平腕臂长度影响为0.3mm,忽略不计;2、斜腕臂计算以下三角直角三角形计算,其中A、B值按下面方法求得;3、测量数据为:支柱侧面限界CX、线路超高h、支柱斜率&。
4、已知参数:上底座高度:Hs=7372(7822),上下底座间距1750,线间距1440,定位器开口400(350、250);5、材料数据:(上下)底座长度200;棒式绝缘子长度860-85(750-85),承力索座高度80,定位环长度50;6、图纸数据:导高6000(6450),拉出值a,结构高度7、平腕臂计算:计算总长:CXZC=CX+Hs×&-M+200(腕臂头外露)腕臂复核:CXFH=CXZC-200(底座扣料)腕臂下料:PWBXL=CXFH-860(双重绝缘860,普通750)+85(套筒长度) =CX+Hs×&-M+200(腕臂头外露) -200(底座扣料) -860(双重绝缘860,普通750)+85(套筒长度)承力索座:CLSZ=WBXL-200-30(承力索座半宽)套管双耳wb:TGwb=WBXL-500-30(套管双耳半宽)套管双耳zc:TGzc=150-30(套管双耳半宽)8、斜腕臂计算:直角边A:A=TGwb+30(套管双耳半宽)+860(双重绝缘860,普通750)-85(套筒长度)-1.75&(斜率差)直角边B:B=1750(底座间距)-50(此处腕臂低头折算值)-80(套管双耳扣料长度)斜腕臂复核长度:XWBFH=SQRT(A^2+B^2)斜腕臂下料长度:XWBXL=XWBFH-860+85=SQRT【{TGwb+30(套管双耳半宽)+860(双重绝缘860,普通750)-85(套筒长度)-1.75&(斜率差)}^2+{1750(底座间距)-50(此处腕臂低头折算值)-80(套管双耳扣料长度)}^2】-860+85=SQRT【{平腕臂下料长度-200-300+30(套管双耳半宽) -85(套筒长度)+ 860(双重绝缘860,普通750)-1.75&(斜率差) }^2+{1750(底座间距)-50(此处腕臂低头折算值)-80(套管双耳扣料长度)}^2】-860+85定位环位置:DWH=(6000+400-5622)×XWBFH÷A-860+85腕臂支持套管双耳位置:XTGZC= XWBXL -TGwb+150+85定位管支持套管双耳位置:TGDWZC= XTGZC+410(定位管支撑长度)+80(套管双耳扣料长度)9、定位管上计算:正定位定位管长度:ZDWGC=CX+5.622&-M-(6000+400-5622)×A÷B-200(底座扣料)-50(定位环扣料)+600(防风拉线长度)+200(定位管外露长度)反定位定位管长度:FDWGC=CX+5.622&-M-(6000+400-5622)×A÷B-200(底座扣料)-50(定位环扣料)+1200(1050定位器长度)+200(定位管外露长度)正定位管上定位环位置:ZGSDWH=ZDWGC-1200(1050定位器长度)-600-200反定位管上定位环位置:FGSDWH=FDWGC-200正定位防风拉线定位环位置:ZFFDWH= ZGSDWH-200正定位防风拉线定位环位置:FFFDWH= FGSDWH-1200(1050定位器长度)-600-200定位管卡子位置:DWGKZ=500。
第一节腕臂支柱的装配腕臂支柱的装配是指腕臂支持装置在支柱上部的装配。
即指定位装置、腕臂和支柱组合的形式。
支持装置中以腕臂支持装置应用最广泛,所以腕臂支柱装配是接触网结构的主要组成部分。
我国采用的支柱装配的结构形式较多,早期引进的前苏联的技术,近一时期引进了法国和德国的技术,也曾引进过日本的技术。
不同的国家采用的悬挂形式和腕臂结构形式各不相同,本书介绍京沪线电气化铁路腕臂装配形式。
一、腕臂支柱装配的要求腕臂支柱装配安装图应满足以下几点要求:1、接触线正常工作高度箱区段一般为6450mm,困难地段不小于6330mm,其它地段以设计为准;2、接触线的拉出值,直线区段一般为300mm;3、接触悬挂的结构高度,一般为1400mm,有变化时见平面图附注;4、支柱的侧面限界区间满足大机养道要求,一般为3.1m;5、最小绝缘距离,一般要求不小于500mm。
困难时不小于300mm。
二、腕臂底座的选用京沪线所有腕臂底都为孔外安装,对双底座的要求为:道岔柱为1200mm长双底座,所有转换柱、中心柱为1600mm长双底座。
腕臂底座的有关接触网腕臂安装图有:1、接触网腕臂安装图第一册腕臂安装单线图[京沪电化徐沪施(网)-050000],可根据平面布置图查本图,再根据本图查腕臂安装图。
2、接触网锚段关节、线岔平面图[京沪电化徐沪施(网)-040000],根据本图可以了解关节的平面布置和立面布置的有关设计。
下面是京沪线各种锚段关节平面、立面图的示意图。
四跨绝缘关节立面示意图四跨绝缘关节平面示意图五跨绝缘关节立面示意图四跨非绝缘关节立面示意图四跨非绝缘关节平面示意图六跨带中性区双绝缘关节电分相平、立面示意图3、接触网腕臂安装图 第二册 [京沪电化徐沪施(网)-050000],根据本图可直接查出所需零件及安装要求。
接触网平面布置图的安装图号为单线图号,在应用过程中应从单线图中查腕臂安装图。
下面分别介绍正线(R ≥4500m 段的中间柱(050101)和正线直线段的锚段关节(050201)单线图,以及怎样从单线图中查腕臂安装图。
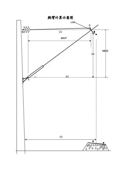
腕臂计算示意图LGGDC LG BWBSPWBGDCHαSXACX腕臂计算一、下底座旋转单双耳与棒瓷连接处销钉中心A点距承力索设计位置水平距离:SXS=CX+下底座处斜度-下底座水平长度-承力索对线路中心偏移下底座处斜度=下底座中心高度·支柱斜率承力索对线路中心偏移:直线时为零(或拉出值)曲线时为a-H·(Δh/1435)下底座旋转单双耳与棒瓷连接处销钉中心A点距套管铰环环中心水平距离:SX=SXS-曲线时鞍子偏移曲线时鞍子偏移:经验值或力学计算求得TδγL L QRδ=arcos(L/2R)承力索合力T=Tc·√2·(1-cosβ)β=180-2δ则钩头鞍子对垂直方向的偏移角度为:γ=arctg(T/Q)二、下底座旋转单双耳与棒瓷连接处销钉中心A点距承力索设计位置垂直距离:CHC=导高+结构高度-下底座中心设计高度-下底座垂直高度下底座旋转单双耳与棒瓷连接处销钉中心A点距套管铰环环中心垂直距离:CH=CHC-钩头鞍子高度钩头鞍子高度:直线时为鞍子长;曲线时为经验值(或钩头鞍子长·cosγ)三、下底座旋转单双耳与棒瓷连接处销钉中心A点距套管铰环在腕臂上的安装中心点B点的垂直距离WBGD和水平距离WBSP:设腕臂中心线与水平面的夹角为α:则:tgα=WBGD/WBSPWBGD=CH+套管铰环下部长JHX·cosαWBSP=SX-套管铰环下部长JHX·sinα解此方程式:CH·cosα=SX·sinα-JHX得:α=用α值,分别求出WBGD、WBSP四、上底座与棒瓷连接处销钉中心C点距套管铰环与调节板连接处D点的垂直距离LGG和水平距离LG:LG=WBSP+下底座水平长度+上下底座间斜度-上底座水平长度-套管铰环上部长度·sinαLGG=上底座高度-(下底座高度+下底座垂直高度+WBGD+套管铰环上部长度·cosα)五、水平拉杆长度SPLGSPLG=√LG2+LGG2六、扣料,确定杵环杆孔位:孔位=1+(SPLG-悬瓷加调节板扣长)/50七、根据杵环杆孔位,计算腕臂长度:WBCD=√WBGD2+(WBSP±孔位取整误差·50)2八、扣除棒瓶长度,确定腕臂预配长度:腕臂预配长度=WBCD-棒瓶长度+腕臂设计外露长度。
第二节腕臂的计算、预制1、测量(1)、判断支柱类型。
(2)、标画轨平面标准线。
(3)、通过轨面标准线来确定腕臂底座和水平拉杆的位置。
(4)、测量出支柱顶部和轨平面处支柱边沿的距离,并计算出支柱的斜率。
(直线柱、曲外柱、曲内柱在立柱时都应直立)(5)、测量侧面限界大小。
(6)、测量外轨超高、依据设计图纸查找曲线半径和支柱所处的位置(判断正确的定位方式)2、腕臂的计算AC=Cx+(测量出的支柱斜率值)AB=2100mmBC=W 腕臂净长度=BC -(腕臂底座长度+棒瓷长度) =BC -[230+(760-90)]L 拉杆长度+调节板长度=AC -(拉杆底座长度+双耳连接器长度+悬瓷长度)=AC -(150+50+450)L 拉杆长度=(L 拉杆长度+调节板长度)-调节板第五孔长度 =(L 拉杆长度+调节板长度)-(50×5)腕臂计算查对表:通过上表可知:当Cx =2.8m 时,腕臂净长度为2.6m (不加非受力部分)作为基数,Cx 只要每增加(或减少)0.1m ,腕臂净长度就会增加(或减少)80mm 。
如:当Cx =2.5m 减少了0.3m ,腕臂净长度就会减少240mm ,因此腕臂净长度为2600-240=2360mm腕臂柱装配表示式:++水平拉杆型号腕臂型号定位管型号定位器型号如:1621700A +"-2.6"-+1直线中间柱正反定位的装配:正定位的安装位置:(1)、直线区段。
(2)、曲线外侧柱,R=1200-4000mm。
反定位的安装位置:(1)、直线区段。
(2)、曲线内侧柱。
(3)、道岔柱。
直线中间柱正定位的装配图及材料:直线中间柱正定位的装配时注意事项:(1)、腕臂底座应安装正确。
(2)、腕臂与棒瓷连接时,铁锚压板开口应对着悬瓷的方向,漏水孔应朝下。
(3)、套管绞环、套管双耳、2"定位环、1"定位环的安装都在同一个断面内。
(4)、套管绞环、2"定位环、1"定位环的缺口应对着受力零件的反方向安装。
腕臂计算模型1、平腕臂低头52mm时与水平线夹角为1度,对平腕臂长度影响为0.3mm,忽略不计;2、斜腕臂计算以下三角直角三角形计算,其中A、B值按下面方法求得;3、测量数据为:支柱侧面限界CX、线路超高h、支柱斜率&。
4、已知参数:上底座高度:Hs=7372(7822),上下底座间距1750,线间距1440,定位器开口400(350、250);5、材料数据:(上下)底座长度200;棒式绝缘子长度860-85(750-85),承力索座高度80,定位环长度50;6、图纸数据:导高6000(6450),拉出值a,结构高度7、平腕臂计算:计算总长:CXZC=CX+Hs×&-M+200(腕臂头外露)腕臂复核:CXFH=CXZC-200(底座扣料)腕臂下料:PWBXL=CXFH-860(双重绝缘860,普通750)+85(套筒长度)承力索座:CLSZ=WBXL-200-30(承力索座半宽)套管双耳wb:TGwb=WBXL-500-30(套管双耳半宽)套管双耳zc:TGzc=150-30(套管双耳半宽)8、斜腕臂计算:直角边A:A=TGwb+30(套管双耳半宽)+860(双重绝缘860,普通750)-85(套筒长度)-1.75&(斜率差)直角边B:B=1750(底座间距)-50(此处腕臂低头折算值)-80(套管双耳扣料长度)斜腕臂复核长度:XWBFH=SQRT(A^2+B^2)斜腕臂下料长度:XWBXL=XWBFH-860+85定位环位置:DWH=(6000+400-5622)×XWBFH÷A-860+85腕臂支持套管双耳位置:XTGZC= XWBXL -TGwb+150+85定位管支持套管双耳位置:TGDWZC= XTGZC+410(定位管支撑长度)+80(套管双耳扣料长度)9、定位管上计算:正定位定位管长度:ZDWGC=CX+5.622&-M-(6000+400-5622)×A÷B-200(底座扣料)-50(定位环扣料)+600(防风拉线长度)+200(定位管外露长度)反定位定位管长度:FDWGC=CX+5.622&-M-(6000+400-5622)×A÷B-200(底座扣料)-50(定位环扣料)+1200(1050定位器长度)+200(定位管外露长度)正定位管上定位环位置:ZGSDWH=ZDWGC-1200(1050定位器长度)-600-200反定位管上定位环位置:FGSDWH=FDWGC-200正定位防风拉线定位环位置:ZFFDWH= ZGSDWH-200正定位防风拉线定位环位置:FFFDWH= FGSDWH-1200(1050定位器长度)-600-200。
三、腕臂长度计算1-12-15 直线与曲线外侧中间柱腕臂长度计算示意图由于目前接触网结构普遍采用平腕臂结构,所以在平腕臂安装和预配过程中,需要准确确定平腕臂和斜腕臂长度,根据平腕臂长度计算,在地面预配好整体结构,对今后一次性安装成功,减少调整工作量具有重要意义。
腕臂长度计算与支柱所在位置和用途密切相关,直线和曲线计算方法不同,同样是曲线,则支柱在曲线外侧和曲线内侧时的计算方法也不同。
转换柱与中心柱的计算方法也有区别。
现就上述几种情况分别作简单介绍(仅供参考)。
(一)直线和曲线支柱腕臂长度计算图1-12-15中符号说明如下:L 1、L 2-分别表示平腕臂承力索固定点至支柱固定点长度和承力索至腕臂头长度。
(m) L 3-斜腕臂水平投影长度。
(m)L 4-非工作支承力索与工作支承力索之间的水平距离。
(m )L 平、L 斜-分别表示平腕臂底座和斜腕臂底座突出支柱部分长度。
(m)h 1-平腕臂底座与斜腕臂底座之间的垂直安装距离。
(m)h 2-斜腕臂套管双耳零件连接长度。
(m)h 3-斜腕臂垂直投影长度。
(m)h 4-支柱侧面限界测量点至平腕臂支柱固定点之间的垂直距离。
(m)H c -承力索至钢轨面的垂直高度。
(m)C x -支柱侧面限界。
(m)m c -承力索在曲线上轨平面处垂直投影与线路中心的偏移距离(a- Lh H C )。
(m) h-曲线外轨超高。
(m)1.直线区段腕臂长度计算可根据下式确定:L 1= C x +βh 4±a (m )h 3= h 1- h 2 (m )L 3= L 1 -(承力索至承力索座中心的距离)-(承力索座中心至套管双耳的距离)- βh 1 式中:a-承力索拉出值。
(m)β-支柱斜率(要考虑支柱整正后产生的斜率)。
“±”- 正定位时取“-”号,反定位时取“+”号。
平腕臂钢管长度= L 1 + L 2- L 平-L 棒 (m)斜腕臂钢管长度=2323-h L L +)(斜 -L 棒 (m)其中L 2应考虑承力索至平腕臂钢管头的距离,L 棒棒式绝缘子安装长度。
腕臂偏移值计算方法
腕臂偏移值=0.017×(安装时温度-30)×该定位点距中心锚结柱悬挂点的距离+负载驰度预留量-新线蠕变预留量
上述公式中:1、腕臂偏移值单位是毫米;
2、安装时温度指承力索归位时线材表面温度;
3、该定位点距中心锚结柱悬挂点的距离单位是米;
4、负载驰度预留量=该定位点距中心锚结柱悬挂点的跨数×4毫米;接触线未架设前进行承力索归位需要考虑负载驰度预留量,接触线架设后进行承力索归位时不考虑负载驰度预留量;
5、新线蠕变预留量=该定位点距中心锚结柱悬挂点的距离×线材蠕变系数;承力索架设后12小时以内进行承力索归位,线材蠕变系数按0.18计算;承力索架设后12-48小时以内进行承力索归位,线材蠕变系数按0.09计算;承力索架设48小时以后进行承力索归位不考虑线材蠕变量。
工程部
2013.12.6。
⒈平腕臂长度计算腕臂上底座的安装高度为导高加上结构高度再减去承力索座的高度,在本讲解中为便于理解直接给出了下底座的高度X1以及上下底座高差X2,所以上底座的安装高度为X1+X2 ,上底座偏移值SP= δ*(X1+X2),其中δ为支柱内缘斜率;在有外轨超高h的情况下定位点在轨平面的投影值Dt=a1-h*Gj/GK ,其中a1设计拉出值,Gj为接触线高度,GK为轨距;(1)没有抬高时的平腕臂长度:P1=SP+CX-Dt-X6-X3+X9其中CX为支柱轨平面处侧面限界,X6为平腕臂绝缘子长度,X9为平腕臂预留长度,X3为上底座宽度。
⑵有抬高时的平腕臂长度:在三角形OMN中,需求出OM的长度,而OM的长度求解方法与P1求解一致,故OM= SP+CX-(a2-h*Gj/GK)-X3,其中a2为抬高支设计拉出值;根据勾股定理,可求出斜边ON=(OM2+X182)1/2,所以抬高支平腕臂的长度P2=ON-X6+X9,式中X18 为平腕臂抬高值。
2.斜腕臂长度计算❖1)没有抬高时的斜腕臂长度:没有抬高时,计算斜腕臂长度宜在三角形ABC 中通过三角函数计算出来。
计算出来的长度包括T 型旋转腕臂底座、绝缘子和腕臂长度。
首先,上底座相对于下底座的偏移值DC= δ*X2,再计算AC的长度La= P1-D c-X4-X8-X9 ,式中,X4是上下底座水平距离;AB的长度Lb=X2-X11, X11为套管双耳的高度。
❖由三角形可知,斜腕臂计算长度为:❖Y1=(La2+Lb2)1/2-X7, 式中X7表示绝缘子扣料长度❖(2)有抬高时的斜腕臂长度:❖在相似三角形ONM与OEF中,NF/NM=EN/ON,故NF=NM*EN/ON,而NM=X18,EN=X8,ON=P2-X9+X6,所以NF=X18*X8/(P2-X9+X6) ❖下底座到套管双耳的垂直距离❖Dtc=X2+X18-NF-X11❖下底座与套管双耳的水平距离Dts 可以近似等于套双至上底座的距离,故❖Dts=P2+X6-X8-X9❖根据三角形法则可以计算出抬高支斜腕臂长Y2:❖Y2=(Dtc2+Dts2)1/2-X7⒊斜腕臂上定位环安装位置❖要想知道定位环安装位置,首先确定定位管到套管双耳的垂直距离❖L=X15-X11-X10-X14❖X15为结构高度,X14 为定位开口❖由△ABC≌△JSC ≌△JLK相似三角形❖JC=BC*L/AB=(Y1+X7)*L/Lb;❖JL=AC*LK/AB=La*x17/Lb❖所以定位环到斜腕臂单耳的安装位置❖Ts=JC-JL= ((Y1+X7)*L+La*x17)/Lb式中X17为定位环高度4、腕臂上其他计算❖1、定位管的计算;❖JK=BC*AB/LK=(La2+Lb2)1/2*Lb/X17❖JS=AC*SC/AB=La*L/Lb❖故KS=JS-JK= (La2+Lb2)1/2*Lb/X17 +La*L/Lb;❖在不同的设计条件下对定位管的长度是不一样的,当需要安装防风拉线时,就需要加上S点后面的余量,对于具体量就不再赘述;❖2、斜拉线以及支撑的计算;❖对于斜拉线以及支撑的计算可以通过相似三角形计算,和前面的方法一样,对此不进行单独的讲解。
中铁建电气局集团第三工程课题名称: 定位点和支柱位置的论述及腕臂计算项目部:XX指导老师:XX课题人:XX毕业学校:华东交通大学联系方式:XX定位点和支柱位置的论述及腕臂计算摘要本文主要论述腕臂计算,腕臂计算中涉及的参变量有限界、超高和支柱斜率等,这些参变量有的是通过现场测量得到,有的通过理论计算得到。
其中定位点到线路中心的距离m值就要通过理论计算才能得出,定位点位置变化直接影响m 值变化,所以定位点与m值的关系也是本文论述之一。
关键词:定位点; m值;腕臂计算Discussion on Positioning Point and Pillar Position and Cantilever CalculationABSTRACTThere are several calculation of catenary, the cantilever calculation is one of the keys. In order to obtain data corresponding to the wrist arm, we have to go through the actua measurement. For example, bounded, super high and pillar slope. The measurement data ar e relatively different from design values. So calculation of cantilevers is on the basis of t he actual data.We know that the length of wrist arm is A=l*δ+Cx+m+C. When the positioning point and pillar position changes, we are with M is it right? Of course not.For positioning point and pillar in different position, it should be a corresponding plus or minus M. This is what I want to focus on this discussion,when we should add or subtract M.Key Words:Positioning point;The pillar position;M;Calculation of cantilevers1 引言在接触悬挂系统中,接触网腕臂支持结构起到了支撑、定位并承受机械与电气荷载的作用。