苏州大学00-14年数学考研数学分析真题
- 格式:docx
- 大小:2.11 MB
- 文档页数:22
历年苏州大学考研真题试卷与答案汇总-苏大考研真题哪里找?东吴苏大考研网(苏州大学考研在线咨询入口)汇集了苏州大学各专业历年考研真题试卷(原版),同时与苏州大学专业课成绩前三名的各专业硕士研究生合作编写了配套的真题答案解析,答案部分包括了(解题思路、答案详解)两方面内容。
首先对每一道真题的解答思路进行引导,分析真题的结构、考察方向、考察目的,向考生传授解答过程中宏观的思维方式;其次对真题的答案进行详细解答,方便考生检查自身的掌握情况及不足之处,并借此巩固记忆加深理解,培养应试技巧与解题能力。
具体请点击进入【历年苏州大学考研真题答案下载】[东吴苏大考研网] 2019苏大考研817国际法学考试解读与真题答案详解[东吴苏大考研网] 苏州大学347心理学专业综合考研真题试卷(2011-2018)[东吴苏大考研网] 苏州大学333教育综合历年考研真题试卷(2007-2018年)[东吴苏大考研网] 2015年苏州大学335出版综合素质与能力考研真题与答案[东吴苏大考研网] 苏州大学889英语教学论考研真题(2017-2018年,回忆版)[东吴苏大考研网] 苏州大学808管理学考研真题试卷(2000-2015)[东吴苏大考研网] 苏州大学884高分子材料化学考研真题与答案(2015-2018年)[东吴苏大考研网] 苏州大学823艺术史考研真题试卷(2004-2015年)[东吴苏大考研网] 苏州大学822新闻传播专业基础考研真题试卷(2000-2018)[东吴苏大考研网] 苏州大学633教育学专业基础综合真题答案(2007-2018)[东吴苏大考研网] 苏州大学832普通物理考研真题与答案(2003-2015年)[东吴苏大考研网] 苏州大学807微观与宏观经济学考研真题试卷(1999-2017,不含06)[东吴苏大考研网] 苏大637药学基础综合(1)考研真题试卷(09-17)[东吴苏大考研网] 苏大872数据结构与操作系统考研真题答案(真题99-17,答案05-17)[东吴苏大考研网] 2019苏州大学考研889英语教学论复习全析(含真题,共三册)[东吴苏大考研网] 2013-2015年苏州大学612绘画基础(素描命题画)考研真题试卷[东吴苏大考研网] 2019苏大考研398法硕联考专业基础课(非法学)强化冲刺题库(共两册)[东吴苏大考研网] 2019苏大考研498法硕联考综合课(非法学)强化冲刺题库(共三册)[东吴苏大考研网] 2019苏大878电磁学考研强化冲刺题库[东吴苏大考研网] 2019苏大842自动控制原理考研强化冲刺题库(共两册)[东吴苏大考研网] 2019苏大电子技术基础考研强化冲刺题库(共两册)【历年苏州大学考研真题答案下载】[东吴苏大考研网] 2019苏大理论力学考研强化冲刺题库[东吴苏大考研网] 2019苏大837信号系统与数字逻辑考研强化冲刺题库(共三册)[东吴苏大考研网] 2019苏大考研856物理化学(F)冲刺题库(共两册)[东吴苏大考研网] 2019苏大考研629无机化学(F)强化冲刺题库(共两册)[东吴苏大考研网] 2019苏大考研628有机化学(F)强化冲刺题库(共两册)[东吴苏大考研网] 2019苏大602高等数学(F)考研强化冲刺题库【共两册】[东吴苏大考研网] 2019苏大考研861高分子化学强化冲刺题库[东吴苏大考研网] 2019苏大考研853物理化学强化冲刺题库(共两册)[东吴苏大考研网] 2019苏大考研884高分子材料化学强化冲刺题库[东吴苏大考研网] 2019苏大考研835有机化学B强化冲刺题库[东吴苏大考研网] 2019苏大考研834分析化学强化冲刺题库[东吴苏大考研网] 2019苏大考研620无机化学强化冲刺题库(共两册)[东吴苏大考研网] 2019苏大考研635有机化学A强化冲刺题库[东吴苏大考研网] 2019苏大考研862材料科学基础强化冲刺题库[东吴苏大考研网] 2019苏大838信号与线性系统考研强化冲刺题库[东吴苏大考研网] 2019苏大832普通物理考研强化冲刺题库【共两册】[东吴苏大考研网] 2019苏大601高等数学考研强化冲刺题库【共两册】[东吴苏大考研网] 2019苏大831高等代数考研强化冲刺题库(共两册)[东吴苏大考研网] 2019苏大618数学分析考研强化冲刺题库(共两册)[东吴苏大考研网] 2019苏大432统计学考研强化冲刺题库[东吴苏大考研网] 2019苏州大学基础日语考研强化冲刺题库[东吴苏大考研网] 2019苏大448汉语写作与百科知识考研强化冲刺题库[东吴苏大考研网] 2019苏大357英语翻译基础考研强化冲刺题库[东吴苏大考研网] 2019苏大211翻译硕士英语考研强化冲刺题库[东吴苏大考研网] 2019苏大历史学基础考研强化冲刺题库[东吴苏大考研网] 2019苏大826社会保障学考研强化冲刺题库(共两册)[东吴苏大考研网] 2019苏大658公共管理学考研强化冲刺题库(共两册)[东吴苏大考研网] 2019苏大考研660世界史专业基础综合强化冲刺题库(共六册)[东吴苏大考研网] 2019苏大考研659中国史专业基础综合强化冲刺题库(共五册)[东吴苏大考研网] 2019苏大考研824社会研究方法强化冲刺题库[东吴苏大考研网] 2019苏大考研613社会学原理强化冲刺题库[东吴苏大考研网] 2019苏大戏剧与影视学考研核心考点与名校真题详解(共两册)[东吴苏大考研网] 2019苏州大学出版专硕考研强化冲刺题库【共4册】[东吴苏大考研网] 2019苏大822新闻传播专业基础考研强化冲刺题库(共两册)[东吴苏大考研网] 2019苏大334新闻与传播专业综合能力考研强化冲刺题库[东吴苏大考研网] 2019苏大440新闻与传播专业基础考研强化冲刺题库(共两册)[东吴苏大考研网] 2019苏大820评论写作(1)考研强化冲刺题库[东吴苏大考研网] 2019苏大625汉语言文字基础考研冲刺题库【共5册】[东吴苏大考研网] 2019苏大445汉语国际教育基础考研强化冲刺题库[东吴苏大考研网] 2019苏大354汉语基础考研强化冲刺题库[东吴苏大考研网] 2019苏州大学心理学考研强化冲刺题库(共七册)【历年苏州大学考研真题答案下载】[东吴苏大考研网] 2019苏大802中西政治思想史考研强化冲刺题库[东吴苏大考研网] 2019苏大801中西哲学史考研强化冲刺题库(共两册)[东吴苏大考研网] 2019苏大654公共管理基础理论考研强化冲刺题库(共两册)[东吴苏大考研网] 2019苏大652政治学原理考研强化冲刺题库(共两册)[东吴苏大考研网] 2019苏大651哲学概论考研强化冲刺题库[东吴苏大考研网] 2019苏大633教育学专业基础综合考研冲刺题库【共六册】[东吴苏大考研网] 2019苏大665中外音乐史考研复习全析(含历年真题)[东吴苏大考研网] 2019苏州大学666生物化学(农)考研复习全析(含历年真题,共两册)[东吴苏大考研网] 2019苏大842自动控制原理考研复习全析(含历年真题)[东吴苏大考研网] 2019苏大841电子技术基础(机电)考研复习全析(含历年真题)【共两册】[东吴苏大考研网] 2019苏大839管理信息系统与数据结构考研复习全析(含历年真题,共两册)[东吴苏大考研网] 2019苏大850高等数学基础考研复习全析(含历年真题,共两册)[东吴苏大考研网] 2019苏大627生物化学考研复习全析(含历年真题,共两册)[东吴苏大考研网] 2019苏大862材料科学基础考研复习全析(含历年真题)[东吴苏大考研网] 2019苏大858材料学(F)考研复习全析(共两册,含历年真题)[东吴苏大考研网] 2019苏大857细胞生物学(F)考研复习全析(含历年真题)[东吴苏大考研网] 2019苏大631生物化学(F)考研复习全析(含历年真题,共两册)[东吴苏大考研网] 2019苏大856物理化学(F)考研复习全析(含历年真题)[东吴苏大考研网] 2019苏大629无机化学(F)考研复习全析(含历年真题,共三册)[东吴苏大考研网] 2019苏大628有机化学(F)考研复习全析(含历年真题,共两册)[东吴苏大考研网] 2019苏大602高等数学(F)考研复习全析(含历年真题,共两册)[东吴苏大考研网] 2019苏大838信号与线性系统考研复习全析(含历年真题)[东吴苏大考研网] 2019苏大601高等数学考研复习全析(含历年真题,共两册)[东吴苏大考研网] 2019苏大625汉语言文字基础考研复习全析(含历年真题,共六册)[东吴苏大考研网] 2019苏大847金融学概论考研复习全析(含历年真题,共两册)[东吴苏大考研网] 2019苏州大学432统计学考研复习全析(含历年真题)[东吴苏大考研网] 2019苏大831高等代数考研复习全析(含真题答案,共三册)[东吴苏大考研网] 2019苏大618数学分析考研复习全析(含真题答案,共四册)[东吴苏大考研网] 2019苏大616基础俄语考研复习全析(含真题答案,共五册)[东吴苏大考研网] 2019苏大考研243日语强化冲刺题库[东吴苏大考研网] 2019苏大考研241英语强化冲刺题库[东吴苏大考研网] 2019苏大考研245德语强化冲刺题库[东吴苏大考研网] 2019苏大241英语考研复习全析(含历年真题,共五册)[东吴苏大考研网] 2019苏大826社会保障学考研复习全析(含历年真题)[东吴苏大考研网] 2019苏大658公共管理学考研复习全析(含历年真题,共三册)[东吴苏大考研网] 2019苏大660世界史专业基础综合考研复习全析(含历年真题,共六册)【历年苏州大学考研真题答案下载】[东吴苏大考研网] 2019苏大824社会研究方法考研复习全析(含历年真题,共三册)[东吴苏大考研网] 2019苏大613社会学原理考研复习全析(含历年真题,共三册)[东吴苏大考研网] 2019苏大437社会工作实务考研复习全析(含历年真题,共四册)[东吴苏大考研网] 2019苏大331社会工作原理考研复习全析(含历年真题,共三册)[东吴苏大考研网] 2019苏大337设计基础考研复习全析(含历年真题)[东吴苏大考研网] 2019苏大875设计艺术史考研复习全析(含历年真题)[东吴苏大考研网] 2019苏大346体育综合考研强化冲刺题库(共三册)[东吴苏大考研网] 2019苏大考研《经济法》强化冲刺题库[东吴苏大考研网] 2019苏大817国际法学考研复习全析(含真题答案,共四册)[东吴苏大考研网] 2019苏大816环境与资源保护法学考研复习全析(含历年真题)[东吴苏大考研网] 2019苏大815经济法学考研复习全析(含历年真题,共三册)[东吴苏大考研网] 2019苏大813民商法学考研复习全析(含历年真题,共三册)[东吴苏大考研网] 苏大《行政法与行政诉讼法》考试重难点与历年考研真题[东吴苏大考研网] 2019苏大809法学理论考研复习全析(含历年真题)[东吴苏大考研网] 2019苏大852土地资源管理考研复习全析(含历年真题)[东吴苏大考研网] 2019苏大805行政管理学考研复习全析(含真题答案,共三册)[东吴苏大考研网] 2019苏大804管理学基础考研复习全析(含历年真题,共两册)[东吴苏大考研网] 2019苏大802中西政治思想史考研复习全析(含历年真题)[东吴苏大考研网] 2019苏大654公共管理基础理论考研复习全析(共两册,含真题答案)[东吴苏大考研网] 2019苏州大学652政治学原理考研复习全析(含真题,共两册)[东吴苏大考研网] 2019苏州大学333教育综合考研强化冲刺题库[东吴苏大考研网] 2019苏州大学333教育综合考研复习全析(含真题答案,共八册)[东吴苏大考研网] 2019苏大637药学基础综合(1)考研复习全析[东吴苏大考研网] 2019苏大623生物综合考研复习全析(含历年真题)[东吴苏大考研网] 2019苏大854电子技术基础(城市轨道)考研复习全析(含历年真题)[东吴苏大考研网] 2019苏大818理论力学(城市轨道)考研复习全析(含历年真题)[东吴苏大考研网] 2019苏大832普通物理考研复习全析(含历年真题答案,共三册)[东吴苏大考研网] 2019苏大659中国史专业基础综合考研复习全析(含历年真题答案)[东吴苏大考研网] 2019苏大872数据结构与操作系统考研复习全析(含历年真题答案,共三册)[东吴苏大考研网] 2019苏大837信号系统与数字逻辑考研复习全析(含历年真题,共三册)[东吴苏大考研网] 2019苏大848植物生理与生物化学考研复习全析(含历年真题)[东吴苏大考研网] 2019苏大840理论力学(机电)考研复习全析(含历年真题)[东吴苏大考研网] 2019苏大346体育综合考研复习全析(含历年真题答案,共五册)[东吴苏大考研网] 2019苏大656体育学专业基础综合考研复习全析(含历年真题,共三册)[东吴苏大考研网] 2019苏州大学867化工原理考研复习全析(含历年真题)【历年苏州大学考研真题答案下载】[东吴苏大考研网] 2019苏大835有机化学B考研复习全析(含历年真题)[东吴苏大考研网] 2019苏大884高分子材料化学考研复习全析(含真题答案,共三册)[东吴苏大考研网] 2019苏大843材料科学基础考研复习全析(含历年真题)[东吴苏大考研网] 2019苏大861高分子化学考研复习全析(含历年真题答案,共两册)[东吴苏大考研网] 2019苏大853物理化学考研复习全析(含历年真题)[东吴苏大考研网] 2019苏大834分析化学考研复习全析(含历年真题)[东吴苏大考研网] 2019苏大635有机化学A考研复习全析(含历年真题)[东吴苏大考研网] 2019苏大620无机化学考研复习全析(含历年真题,共三册)[东吴苏大考研网] 2019苏大307中医综合考研复习全析(共五册)[东吴苏大考研网] 2019苏大645西医医学综合考研复习全析(共五册)[东吴苏大考研网] 2019苏大653马克思主义基本原理概论考研复习全析(含历年真题)[东吴苏大考研网] 2019苏大803思想政治教育学考研复习全析(含历年真题,共三册)[东吴苏大考研网] 2019苏大634心理学专业基础综合考研复习全析(含真题,共10册)[东吴苏大考研网] 2019苏大347心理学专业综合考研复习全析(含真题答案)(共12册)[东吴苏大考研网] 2019苏大考研397法硕联考专业基础(法学)强化冲刺题库(共两册)[东吴苏大考研网] 2019苏大考研497法硕联考综合课(法学)强化冲刺题库(共三册)[东吴苏大考研网] 2019苏大中国法制史考研强化冲刺题库(张晋藩版)[东吴苏大考研网] 2019苏大考研《刑法》强化冲刺题库[东吴苏大考研网] 2019苏大考研《民法》强化冲刺题库[东吴苏大考研网] 2019苏大考研《行政法与行政诉讼法》强化冲刺题库[东吴苏大考研网] 2019苏大考研《宪法》强化冲刺题库[东吴苏大考研网] 2019苏大考研《法理学》强化冲刺题库[东吴苏大考研网] 2019苏大考研808管理学强化冲刺题库[东吴苏大考研网] 2019苏州大学微观经济学考研强化冲刺题库[东吴苏大考研网] 2019苏州大学宏观经济学考研强化冲刺题库[东吴苏大考研网] 2019苏大801中西哲学史考研复习全析(含历年真题,共三册)[东吴苏大考研网] 2019苏州大学651哲学概论考研复习全析(含历年真题,共三册)[东吴苏大考研网] 2019苏大433税务专业基础考研复习全析(含真题与答案)[东吴苏大考研网] 2019苏州大学431金融学综合考研复习全析(含历年真题答案,共六册)[东吴苏大考研网] 2019苏大398法硕联考基础课(非法学)考研复习全析(含真题答案,共三册)[东吴苏大考研网] 2019苏大397法硕联考专业基础课(法学)考研复习全析【含真题答案,共三册】东吴苏大考研网(苏州大学考研在线咨询入口)【历年苏州大学考研真题答案下载】[东吴苏大考研网] 2019苏大497法硕联考综合课(法学)考研复习全析(含真题答案,共四册)[东吴苏大考研网] 2019苏大498法硕联考综合课(非法学)考研复习全析(含真题答案,共四册)[东吴苏大考研网] 2019苏大考研《文体与翻译》复习全析(刘宓庆,含历年真题答案)[东吴苏大考研网] 2019苏大考研661教育经济学强化冲刺题库[东吴苏大考研网] 2019苏大考研819教育管理学强化冲刺题库(共两册)[东吴苏大考研网] 2019苏大考研819教育管理学复习全析(含历年真题)[东吴苏大考研网] 2019苏大考研661教育经济学复习全析(含历年真题)[东吴苏大考研网] 2019苏大考研845细胞生物学强化冲刺题库[东吴苏大考研网] 2019苏大考研845细胞生物学复习全析(含历年真题)[东吴苏大考研网] 2019苏大考研621生物化学复习全析(含历年真题,共三册)[东吴苏大考研网] 2019苏大857细胞生物学(F)考研冲刺题库[东吴苏大考研网] 2019苏大生物化学考研强化冲刺题库【共两册】[东吴苏大考研网] 2012-2015年苏州大学880和声写作与分析考研真题[东吴苏大考研网] 2012-2015年苏州大学665中外音乐史考研真题[东吴苏大考研网] 2019苏州大学考研308护理综合考试解读与真题答案[东吴苏大考研网] 2011-2013年苏州大学850普通物理(生物医学工程)考研真题[东吴苏大考研网] 2011-2015年苏州大学859普通动物学考研真题[东吴苏大考研网] 2005、2013-2015年苏州大学882遗传学考研真题[东吴苏大考研网] 2011-2015年苏州大学879普通动物学与普通生态学考研真题[东吴苏大考研网] 2009-2010、2014-2015年苏州大学878电磁学考研真题[东吴苏大考研网] 2011-2015年苏州大学874药剂学考研真题[东吴苏大考研网] 2011-2015年苏州大学868生物教学论考研真题[东吴苏大考研网] 2013-2015年苏州大学860水产养殖学考研真题[东吴苏大考研网] 2009-2015年苏州大学851社会医学考研真题[东吴苏大考研网] 2004-2015年苏州大学845细胞生物学考研真题[东吴苏大考研网] 2013-2015年苏州大学666生物化学(农)考研真题[东吴苏大考研网] 2013-2015年苏州大学664动物生物化学与鱼类生理考研真题[东吴苏大考研网] 2006/2009-2016年苏州大学632卫生事业管理学考研真题[东吴苏大考研网] 2005-2015年苏州大学626预防综合考研真题[东吴苏大考研网] 2001-2015年苏州大学621生物化学考研真题[东吴苏大考研网] 2010-2015年苏州大学353卫生综合考研真题[东吴苏大考研网] 2011-2015年苏州大学349药学综合考研真题[东吴苏大考研网] 2011-2015年苏州大学340农业知识综合二考研真题[东吴苏大考研网] 2011-2013年苏州大学627园林设计基础考研真题[东吴苏大考研网] 2011-2013年苏州大学846中外建筑史考研真题[东吴苏大考研网] 2011、2013年苏州大学622建筑设计基础考研真题[东吴苏大考研网] 2014-2015年苏州大学846设计理论考研真题【历年苏州大学考研真题答案下载】[东吴苏大考研网] 2014-2015年苏州大学622快题设计与表现考研真题[东吴苏大考研网] 2009-2015年苏州大学848植物生理与生物化学考研真题[东吴苏大考研网] 2009-2015年苏州大学662植物学考研真题[东吴苏大考研网] 2013年苏州大学663普通昆虫学考研真题[东吴苏大考研网] 2014-2015年苏州大学877土力学考研真题[东吴苏大考研网] 2012-2015年苏州大学873交通工程学考研真题[东吴苏大考研网] 2009-2015年854苏州大学电子技术基础(城市轨道)考研真题[东吴苏大考研网] 2011-2014年苏州大学818理论力学(城市轨道)考研真题[东吴苏大考研网] 2014-2015年苏州大学870生产计划与控制考研真题[东吴苏大考研网] 2004-2015年苏州大学842自动控制原理考研真题[东吴苏大考研网] 2008-2015年苏州大学841电子技术基础考研真题[东吴苏大考研网] 2000-2015年苏州大学840理论力学(机电)考研真题[东吴苏大考研网] 2014-2015年苏州大学833钢铁冶金学考研真题[东吴苏大考研网] 1999-2017年苏州大学872数据结构与操作系统考研真题[东吴苏大考研网] 2009-2015年苏州大学839管理信息系统与数据结构考研真题[东吴苏大考研网] 2010-2013年苏州大学871数字电路考研真题[东吴苏大考研网] 2014-2015年苏州大学850专业综合(2)考研真题【高等数学基础+生物信息学基础】[东吴苏大考研网] 2004-2015年苏州大学836半导体物理考研真题(换05、08)[东吴苏大考研网] 2014-2015年苏州大学627专业综合(1)考研真题(线性代数+生物化学)[东吴苏大考研网] 2010-2015年苏州大学858材料学(F)考研真题(不含11年)[东吴苏大考研网] 2011-2015年苏州大学857细胞生物学(F)考研真题[东吴苏大考研网] 苏州大学856物理化学(F)考研真题(2001-2006、2010-2015年)[东吴苏大考研网] 2010-2015年苏州大学855普通物理(F)考研真题[东吴苏大考研网] 2010-2015年苏州大学631生物化学(F)考研真题[东吴苏大考研网] 2010-2015年苏州大学629无机化学(F)考研真题[东吴苏大考研网] 2012-2015年苏州大学628有机化学(F)考研真题[东吴苏大考研网] 2010-2015年苏州大学602高等数学(F)考研真题[东吴苏大考研网] 2010-2011年苏州大学867化学教学论考研真题[东吴苏大考研网] 2009-2011年苏州大学834化学原理考研真题[东吴苏大考研网] 2001-2006、2010-2015年苏州大学853物理化学考研真题[东吴苏大考研网] 2013-2015年苏州大学867化工原理考研真题[东吴苏大考研网] 2001-2015年苏州大学835有机化学B考研真题[东吴苏大考研网] 2004-2006、2013-2015年苏州大学834分析化学考研真题[东吴苏大考研网] 2001-2015年苏州大学635有机化学A考研真题[东吴苏大考研网] 1999-2018年苏州大学861高分子化学考研真题[东吴苏大考研网] 2005-2015年苏州大学843材料结构基础考研真题[东吴苏大考研网] 2011-2015年苏州大学838普通物理(光学工程)考研真题[东吴苏大考研网] 2003-2015年苏州大学832普通物理考研真题[东吴苏大考研网] 2009-2015年苏州大学838信号与线性系统考研真题【历年苏州大学考研真题答案下载】[东吴苏大考研网] 2014-2015年苏州大学821材料物理化学考研真题[东吴苏大考研网] 2010-2015年苏州大学866中学物理教学法考研真题[东吴苏大考研网] 2014-2015年苏州大学化学综合考研真题[东吴苏大考研网] 2003-2015年苏州大学601高等数学考研真题[东吴苏大考研网] 2012年苏州大学632艺术理论考研真题[东吴苏大考研网] 2012-2013年苏州大学619戏剧戏曲艺术学考研真题[东吴苏大考研网] 2009-2015年苏州大学245德语考研真题(不含13)[东吴苏大考研网] 2001-2015年苏州大学244法语考研真题(不含03、13)[东吴苏大考研网] 2003-2015年苏州大学243日语考研真题(不含13)[东吴苏大考研网] 2005-2015年苏州大学242俄语考研真题与答案【不含07、08、13】[东吴苏大考研网] 2005-2015年苏州大学241英语考研真题(不含08、13)[东吴苏大考研网] 2010-2015年苏州大学211翻译硕士英语考研真题答案[东吴苏大考研网] 2002-2004、2011年苏州大学会计学考研真题[东吴苏大考研网] 2013-2015年苏州大学661教育学原理考研真题[东吴苏大考研网] 2002-2015年苏州大学634心理学专业基础综合(自命题)考研真题[东吴苏大考研网] 2012-2015年苏州大学881知识产权法学考研真题(无13)[东吴苏大考研网] 2011-2015年苏州大学434国际商务专业基础考研真题与答案[东吴苏大考研网] 1999、2007、2009-2015年苏州大学844纺织材料学考研真题[东吴苏大考研网] 2002-2017年苏州大学431金融学综合考研真题与答案解析[东吴苏大考研网] 2019苏州大学考研新闻与传播专业硕士复习全析(含真题与答案,共六册)[东吴苏大考研网] 2003-2015年苏州大学612绘画基础(色彩命题画)考研真题试卷[东吴苏大考研网] 2019苏大考研633教育学专业基础综合复习全析【含真题答案,共八册】[东吴苏大考研网] 2019苏大考研汉语国际教育硕士复习全析(共四册,含真题答案)[东吴苏大考研网] 2013-2015年苏州大学847金融学概论考研真题[东吴苏大考研网] 2007-2015年苏州大学617综合日语考研真题[东吴苏大考研网] 1998-2015年苏州大学658公共管理学考研真题(不含1999)[东吴苏大考研网] 2000、2004、2013-2016年苏州大学660世界史专业基础综合(自命题)考研真题[东吴苏大考研网] 2000-2017年苏州大学659中国史专业基础综合(自命题)考研真题与答案[东吴苏大考研网] 2002、2006-2015年苏州大学624药学基础综合(2)考研真题[东吴苏大考研网] 2006、2009-2017年苏州大学623生物综合考研真题[东吴苏大考研网] 2012-2015年苏州大学865影视评论写作考研真题[东吴苏大考研网] 2011-2015年苏州大学611影视艺术学考研真题[东吴苏大考研网] 2000-2015年苏州大学819教育管理学考研真题(不含03、04、07、08、09、11年)[东吴苏大考研网] 苏州大学311教育学专业基础综合真题与答案(2007-2017年)[东吴苏大考研网] 2000-2006,2010-2015年苏州大学856物理化学(F)考研真题。
2000年真题1.(14分)设f (x),g (x),h (x)都是数域P 上的一元多项式,并且满足:4(1)()(1)()(2)()0x f x x g x x h x ++-+-= (1)4(1)()(1)()(2)()0x f x x g x x h x +++++= (2) 证明:41x+能整除()g x 。
2.(14分)设A 是n ⨯r 的矩阵,并且秩(A )= r ,B ,C 是r ⨯m 矩阵,并且AB=AC ,证明:B=C 。
3(15分)求矩阵321222361A -⎛⎫ ⎪=-- ⎪ ⎪-⎝⎭的最大的特征值0λ,并且求A 的属于0λ的特征子空间的一组基。
4(14分)设⨯-2,3,-1是33矩阵A的特征值,计算行列式611n A A E -+3.5(14分)设A,B 都是实数域R 上的n n ⨯矩阵,证明:AB,BA 的特征多项式相等.证明:要证明AB,BA 的特征多项式相等,只需证明:E A E B λλ-=-6.(14分)设A 是n n ⨯实对称矩阵,证明:257n A A E -+是一个正定矩阵.证明:A 是实对称矩阵,则A的特征值均为实数.7.(15分)设A 是数域P 上的n 维线性空间V 的一个线性变换,设1,n V A α-∈≠使0,但是()n A α=0,其中n>1.证明:21{,,,,}n A A A αααα-是V的一组基.并且求线性变换A在此基下的矩阵,以及A的核的维数.2000年真题答案1、证明:1(2)(1):2()4()0()()2g x h x h x g x -+=⇒=- (3) 将(3)带入(1)中,得到:41(1)()()2x f x xg x +=- 441()x x x g x ∴++1与互素,.注:本题也可以把g,h 作为未知量对线性方程求解,用克莱姆法则导出结果。
2、证明:,()0.AB AC A B C =∴-=(),A n r R A r A ⨯=∴是的矩阵,是列满秩的矩阵,即方程0AX =只有零解.0,B C B C∴-==即3、解:()()224E A λλλ-=-+,02λ∴= 当02λ=时,求出线性无关的特征向量为()()12101012ξξ==,,',,,', 则()120,,L ξξλ构成的特征子空间12ξξ,是0λ的特征子空间的一组基.4、解:⨯-2,3,-1是33矩阵A的特征值,不妨设1232,3,1,λλλ=-==- 则矩阵611n A A E -+3对应的特征值为:12315,20,16ξξξ=== 故6111520164800n A A E -+=⨯⨯=35、利用构造法,设0λ≠,令1E B H A E λ=, 11010E BE E B A E A E E AB λλλ⎛⎫⎛⎫ ⎪⎛⎫ ⎪= ⎪ ⎪ ⎪- ⎪ ⎪⎝⎭- ⎪⎝⎭⎝⎭,两边取行列式得 11()n H E AB E AB λλλ=-=-.(1) 11100E E B E BA B A E A E E λλλ⎛⎫⎛⎫-⎛⎫ ⎪ ⎪= ⎪ ⎪ ⎪- ⎪ ⎪⎝⎭⎝⎭⎝⎭,两边取行列式得11()n H E BA E BA λλλ=-=-.(2)由(1),(2)两式得1()n E AB λλ-=1()n E BA λλ-E AB E BA λλ∴-=-.(3) 上述等式是假设了0λ≠,但是(3)式两边均为λ的n 次多项式,有无穷多个值使它们成立(0λ≠),从而一定是恒等式. 注:此题可扩展为A是m n ⨯矩阵,B是n m ⨯矩阵,AB,BA的特征多项式有如下关系:n m m n E AB E BA λλλλ-=-,这个等式也称为薛尔佛斯特(Sylvester )公式.6、设λ为A的任意特征值,则257n A A E -+的特征值为225357()024ξλλλ=-+=-+>.故257n A A E -+是一个正定矩阵.7、证明:1n n A A α-≠0,=0.令()()10110n n l l A l A ααα--+++=.(1) 用1n A -左乘(1)式两边,得到10()0n l A α-=.由于1n A -≠0,00l ∴=,带入(1)得()()1110n n l A l A αα--++=.(2) 再用2n A -左乘(2)式两端,可得10l =.这样继续下去,可得到0110n l l l -====. 21,,,,n A A A αααα-∴线性无关.21,,,,)n A A A A αααα-(=21,,,,)n A A A αααα-(0000100001000010⎛⎫ ⎪ ⎪ ⎪ ⎪ ⎪ ⎪⎝⎭. ∴A在此基下的矩阵为0000100001000010⎛⎫ ⎪ ⎪ ⎪ ⎪ ⎪ ⎪⎝⎭, 可见,()1R A n =-,dimker(1)1A n n ∴=--=即A 的核的维数为1.2001年真题2002年真题1.(15分)设A =1111101111001110001100001⎛⎫ ⎪ ⎪ ⎪ ⎪ ⎪ ⎪ ⎪ ⎪⎝⎭,123101221001320001200001n n n n n n B -⎛⎫ ⎪-- ⎪ ⎪--= ⎪ ⎪ ⎪ ⎪ ⎪⎝⎭都是n n ⨯矩阵。
1、设)(x f 是以T 为周期的周期函数且⎰=TC x f T 0)(1,证明⎰+∞∞→=n n C dx x x f n 2)(lim 。
证明:由⎰=T C x f T 0)(1,得到⎰=-Tdx C x f T 00])([1,从而有⎰=-T dx C x f 00])([ (*)本题即证明⎰+∞∞→=-n n dx x C x f n 0)(lim 2(此因⎰+∞=n n dx x112) 注意到21x 是递减的正函数,应用积分第二中值定理,对ξ∃>∀,n A 介于n 与A 之间,使⎰⎰-=-A n n dx C x f n dx xC x f n ξ])([1)(2 k ∃为非负整数使T kT n <--<ξ0,于是由(*),dx C x f dx C x f dx C x f dx C x f kTn kTn kTn nn⎰⎰⎰⎰+++-=-+-=-ξξξ])([])([])([])([于是有dxC x f n dx C x f n dx C x f n dx x C x f nTkT n kT n An⎰⎰⎰⎰-≤-≤-=-++02)(1)(1])([1)(ξξ令∞→A 有dx C x f n dx xC x f nTn⎰⎰-≤-∞+02)(1)( 故⎰+∞∞→=-nn dx x C x f n0)(lim 2,即⎰+∞∞→=n n C dx x x f n 2)(lim 。
2、设函数f(x)在整个实数轴有连续的三阶导数,证明存在实数a 使0)()()()(''''''≥a f a f a f a f 。
证明:由于f 的三阶导数连续,故若'''''',,,f f f f 有一个变号的话,利用根的存在性原理便知,使a ∃0)()()()(''''''=a f a f a f a f ,结论得证。
试题(1卷)一.填空(每小题3分,共15分)1.若平面曲线L 由方程0),(=y x F 给出,且),(y x F 在点),(000y x P 的某邻域内满足隐函数定理的条件,则曲线L 在点0P 的切线方程为 ; 2.含参量积分⎰=)()(),()(x d x c dyy x f x F 的求导公式为=')(x F ;3。
Γ函数的表达式为 =Γ)(s ,0>s ;4。
二重积分的中值定理为:若),(y x f 在有界闭区域D 上连续,则存在D ∈),(ηξ,使⎰⎰=Dd y x f σ),( ;5.当0),,(≥z y x f 时,曲面积分⎰⎰S dSz y x f ),,(的物理意义是: 。
二.完成下列各题(每小题5分,共15分)1。
设5422222=-+-++z y x z y x ,求y z x z ∂∂∂∂,; 2。
设 ⎩⎨⎧-=+=,cos ,sin v u e y v u e x u u 求 x v x u ∂∂∂∂, ;3. 求积分)0(ln 1>>-⎰a b dx x x x ab .三。
计算下列积分(每小题10分,共50分)1。
⎰L xyzds,其中L 为曲线)10(21,232,23≤≤===t t z t y t x 的一段;2.⎰+-Ly x xdxydy 22,其中L 为圆t a y t a x sin ,cos ==在第一象限的部分,并取逆时针方向;3.作适当变换计算⎰⎰-+D dxdyy x y x )sin()(, 其中D }{ππ≤-≤≤+≤=y x y x y x 0,0),(; 4。
⎰⎰⎰+Vy x dxdydz22,其中V 是由x y z x x ====,0,2,1与y z =围成的区域;5.dSy xS)(22⎰⎰+,其中S 为圆锥面222z y x =+被平面1,0==z z 截取的部分。
四.应用高斯公式计算dxdy z dzdx y dydz x S333++⎰⎰,其中S 为球面2222a z y x =++的外侧。
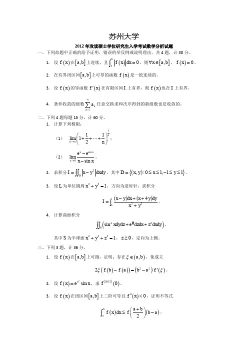
苏州大学2012年攻读硕士学位研究生入学考试数学分析试题一、下列命题中正确的给予证明,错误的举反例或说明理由。
共4题,计30分。
1. 设()f x 在[],a b 上连续,且()0ba f x dx =⎰,则[],x ab ∀∈,()0f x =。
2. 在有界闭区间[],a b 上可导的函数()f x 是一致连续的。
3. 设()f x 的导函数()f x '在有限区间I 上有界,则()f x 也在I 上有界。
4. 条件收敛的级数1n n a∞=∑任意交换求和次序得到的新级数也是收敛的。
二、下列4题每题15分,计60分。
1. 计算下列极限:(1) 111lim 12nn n →∞⎛⎫+++ ⎪⎝⎭; (2) sin 0lim sin x xx e e x x→--。
2. 求积分2D I x y dxdy =-⎰⎰,其中(){},:01,11D x y x y =≤≤-≤≤。
3. 设L 为单位圆周221x y +=,方向为逆时针,求积分()()⎰+++-=L y x dy y x dx y x I 224。
4. 计算曲面积分 ()42sin z S xdydz e dzdx z dxdy ++⎰⎰, 其中S 为半球面2221x y z ++=,0z ≥,定向为上侧。
三、下列3题,计36分。
1. 设()f x 在[],a b 上可微,证明:存在(),a b ξ∈,使成立 ()()()()()222f b f a b a f ξξ'-=-。
2. 设()2sin x f x e x =,求()()20120f 。
3. 设()f x 在闭区间[],a b 上二阶可导且()0f x ''<,证明不等式()()2ba ab f x dx f b a +⎛⎫≤- ⎪⎝⎭⎰。
四、下列3题选做2题,计24分。
1.(1) 设{}n a 是正数列,且lim 0n n a →∞=。
05数分答案2证明:反证法,假设()f x 在[]0,1上有无穷多个零点,不妨设{}n x ⊂[]0,1,()0,1,2,n f x n ==,则存在一个{}n x 的子列{}kn x 使得0()k n x x k →→+∞,且()0k n f x =,000'0000()()()()()limlim 0k n x x x x f x f x f x f x f x x x x x →→--===--与题设条件矛盾,故()f x 在[]0,1上只有有限个零点.3证明:1).由条件2)()()f x f y L x y -≤-则∀0,,,x y R x y Lεεδδ>∃=∀∈-<有()().f x f y L x y L Lεε-≤-≤=故()f x 在R 上一致连续当然在R 上连续.2).令[]200,2()max (),()0M x f x f x f x dx ππ∈==⎰,由于积分中值定理得存在[]22000010,2,()()2()()02x f x dx f x f x f x dx πππππ∈=∴==⎰⎰讨论a)当0M x x =时,0()()0M f x f x ==当然有[]0,2max ()0x f x L ππ∈=≤b)当0M x x >,由()f x 的周期,得000002()()()()(2)()()(2)2M M M M M f x f x f x f x f x f x L x x L x x Lπππ-=-++-≤-++-=c)0M x x <时由周期性000002()()()()(2)()()(2)2M M M M f x f x f x f x f x f x L x x L x x Lπππ-=-++-≤-++-=综合a)b)c)结论可得.4解:作极坐标变换cos ,sin ,cos sin u u x u y u u x r y r r x r y r x yθθθθ∂∂∂∂∂∂∂===+=+∂∂∂∂∂∂∂ ① (sin )cos u u x u y u ur r x y x yθθθθθ∂∂∂∂∂∂∂=+=-+∂∂∂∂∂∂∂ ② 由① ②可得?,?u u x y ∂∂==∂∂,然后代入就得0uθ∂=∂5证明:1)(i )当L=0时1()nn n f x a x∞==∑在(-1,1)上有定义(ii )L ≠0时11lim 1n n nn n a x x a x ++→∞=<(1,1)x ∴∈-,即()f x 的定义域(-1,1) 2)11111lim(1)()lim(()())lim()n n n n x x x n x f x f x xf x a x a x ---∞+→→→=-=-=-∑=111111111111101111lim()lim()lim(())n n n n n n n n n n x x x n n n n n a x a xa x a x xa x a a x ---∞∞∞∞∞++++++++→→→=====-=+-=+-=∑∑∑∑∑11111()lim()n n n n n a a a a a L ∞++→∞=+-=-=∑6解:本题需要讨论,答案省略。
08071. 06求下列极限:(1).(1)lim n n n αα→∞⎡⎤+-⎣⎦,其中01α;(2)224cos arcsin 0limx x ex x --→2.设函数f(x)= 1sin ,00,0m x x x x ⎧≠⎨=⎩。
讨论m=1,2,3时f(x)在x=0处的连续性,可微性及导函数的连续性。
3.设u=f(x,y+z)二次可微。
给定球变换cos sin x ρθϕ=,sin sin y ρθϕ=,cos z ρϕ=.计算22,u u ϕθ∂∂∂∂。
4.设f(x)二次可导,'()f a ='()f b =0。
证明(,)a b ξ∃∈,使2''4()()()()b a f f a f b ξ-≥-。
5.设函数项级数1()n n u x ∞=∑在区间I 上一致收敛于s(x),如果每个()n u x 都在I 上一致连续。
证明s(x)在I上一致连续。
6.设f(x,y)是2上的连续函数,试交换累次积分2111(,)x x xdx f x y dy +-+⎰⎰的积分次序。
7.设函数f(x)在[0,1]上处处可导,导函数'()()()f x F x G x =-,其中()F x ,()G x 均是单调函数,并且'()f x >0,[0,1]x ∀∈。
证明 0c ∃>,使'()f x c ≥,[0,1]x ∀∈。
8.设三角形三边长的和为定值P 。
三角形绕其中的一边旋转,问三边长如何分配时旋转体的体积最大?051.(20')1)11(2)lim(),()0,()()()()()()()0,()n n n n x aa b bbf a f a f x f a x a f a x a f a f a →<≤≤=='''-≠'---''''''≠求下列极限()而因此其中存在解:由于存在,从而f(x)=f(a)+f (a)(x-a)+f (a)222222(())211()()(()())lim()lim()()()()()(()())()()()()()((()))2lim(()()()((()))2limx a x a x a x o x a x a f a f x f a f x f a x a f a f x f a x a f a x a x a f a o x a x a x a f a o x a →→→+-'----=''-----''''--+-=-''''-+-=f (a)(x-a)+f (a)f (a)(x-a)+f (a)22222()(())2()()()((()))21()()2lim ()2[()]()(()(())2a x a x a o x a x a x a f a o x a f a f a x a f a f a f a o x a →→-''+--''''-+-''-''==--'''''++--f (a)f (a)(x-a)+f (a)f (a)000002.(18')()[01]()()0()0.()[0,1]()[0,1]}[0,1],()0,1,2}{},()()0()0()limx x f x f x f x x f x f x f n x k f f x f x →='≠⊂==→→∞=='=k k k n n n n n n 设在,上可微,且的每一个零点都是简单零点,即若则f 证明:在上只有有限个零点。
2014考研数学一真题及答案详解2014年全国硕士研究生入学考试数学一真题及答案详解Part A1. 设f(x) = sinx + cosx (0 ≤ x ≤ π),则f '(x) = _____解析:f(x) = sinx + cosx,则f '(x) = cosx - sinx 当x ∈ [0, π]时,cosx ≥ 0 且sinx ≥ 0,所以f '(x) = cosx - sinx ≥ 0答案:cosx - sinx2. 已知函数f(x) = sinx + cosx,定义在[0, π]上,则f(x)在[0, π]上的最大值为____,最小值为____。
解析:f(x)在[0, π]上的最大值和最小值分别为f(π/4)和f(π/4 + π)。
f(π/4) = sin(π/4) + cos(π/4) = √2f(π/4 + π) = sin(π/4 + π) + cos(π/4 + π) = -√2答案:最大值为√2,最小值为-√23. 设向量a = 2i - 3j + k,b = i + j + 2k,则向量a与向量b的夹角为____°。
解析:向量a与向量b的夹角cosθ为cosθ = (a·b)/(|a||b|) = (2 - 3 + 2)/(√4 + 9 + 1)√6 = 1/√6故θ = arccos(1/√6)答案:θ ≈ 32.5°4. 已知向量a,b,其大小分别为3和4,且它们的夹角为60°。
则向量a + b的大小为____。
解析:根据余弦定理,a + b的大小为|a + b|² = |a|² + |b|² + 2|a||b|cosθ = 9 + 16 + 2×3×4×1/2 = 25故|a + b| = √25 = 5答案:55. 设函数y = f(x)在点x = a处可导,且f '(a) > 0,则以下哪个极限一定存在?()(A) lim[x→a]f(x)/x(B) lim[x→a]f(x)(C) lim[x→a](f(x))^2(D) lim[x→a]f(x) - f(a)解析:由可导性可知,右导数和左导数存在且相等,则有lim[x→a]f(x)/x = lim[x→a](f(x) - f(a))/(x -a)×(x - a)/x = f '(a)×1 = f '(a)lim[x→a]f(x) = f(a)lim[x→a](f(x))^2 = (lim[x→a]f(x))² = (f(a))²lim[x→a]f(x) - f(a) = lim[x→a](f(x) - f(a)) = f '(a)×(a - a) = 0故正确选项为:(A) lim[x→a]f(x)/x答案:(A)6. 设函数y = x³ + px + q,则当p = 0 时,y = x³+ q有两个零点,一个为0,另一个为____。
2012年苏州大学高等代数考研试题1. ('18)设()f x 是n 次多项式次多项式,,则()f x 有n 重根的充要条件是()()'f x f x .2. ('18)设A 为n 阶实矩阵矩阵,,证明: ()()rank A rank A A Τ=.3. ('18),A J 为n 阶矩阵.证明证明::(1)AJ JA =的充要条件条件是211112131++++n n n A a E a J a J a J −=L .其中0000110001010010000100011J =L L L MM M O M M L L . (2)令(){}|C J A AJ JA ==,求()C J 的维数.4. ('18)设n 维列向量12=n a a a βM ,且=2ββΤ. (1)求n E ββΤ−.(2)求()1n E ββ−Τ−. 5. ('18)设,A B 分别为,m n 阶矩阵阶矩阵,,并且,A B 没有公共特征值没有公共特征值。
证明证明::矩阵方程AX XB =仅有零解仅有零解。
6. ('18)设σ是数域P 上的线性变换上的线性变换,,且2=σσ.证明证明::(1)(){}ker |V σασαα=−∈.(2)如果τ是V 的线性变换的线性变换,,ker σ和()V σ都是τ的不变子空间.7. ()'20设σ是欧氏空间V 的线性变换的线性变换,,且3+=0σσ.证明证明::σ的迹为0.8. ()'20设A 为n 阶实可逆矩阵.证明证明::存在正交矩阵12,Q Q ,使得12Q AQ 为对角阵.且对角线元素全大于0.1. 计算n 阶行列式21000001210000012000000001210000012。
2. 设实二次型()2221231213232f x x x t x x x x x x =+++++。
问当t 取何值时,f 是正定的、半正定的?3. 设300114311A =−。
2014考研数学真题解析:曲线积分和曲⾯积分
以下《2014考研数学真题解析:曲线积分和曲⾯积分》由店铺考研政治频道为您独家提供,欢迎⼤家阅读参考。
曲线积分和曲⾯积分是考研数学⼀考试的重点,每年必考,经常以解答题的形式考查,其中对坐标的曲线积分、对坐标的曲⾯积分考查最多,第⼀类曲线积分和第⼀类曲⾯积分通常以客观题的形式出现。
2014年以填空题形式考查了第⼀类曲线积分,同时在解答题中考查了第⼆类曲⾯积分的计算。
2013年以选择题形式考查了第⼆类曲线积分。
2012年以填空题形式考查了第⼀类曲⾯积分,同时在解答题中考查了第⼆类曲线积分的计算。
第⼀类曲线积分的计算主要是利⽤参数⽅程转化为定积分,第⼆类曲线积分的计算除了利⽤参数⽅程进⾏求解,还有⼀个考试的重点⽅法是利⽤格林公式,这是考试的重点。
利⽤格林公式时,⼀定要注意格林公式的条件。
若积分曲线不是封闭曲线,需要添加辅助曲线构成封闭曲线;若围成的区域含有奇点,则需要挖掉奇点;若封闭曲线不是正向边界曲线,则需要出现负号。
第⼀类曲⾯积分的计算主要是转化为⼆重积分来计算,第⼆类曲⾯积分除了转化为⼆重积分(注意⽅向),还有⼀个重要的⽅法是利⽤⾼斯公式。
利⽤⾼斯公式时,⼀定要注意⾼斯公式的条件。
若积分曲⾯不是封闭的,需要添加辅助曲⾯构成封闭曲⾯;曲⾯闭合有奇点,加圈;若曲⾯⽅向取内侧,需要加负号。
下⾯看⼀下今年的真题及解析,体会⼀下曲线、曲⾯积分的计算⽅法.
考研答案栏⽬推荐链接:。