六角螺栓规格表大全
- 格式:doc
- 大小:719.00 KB
- 文档页数:17
六角螺栓规格表大全如下Document serial number【UU89WT-UU98YT-UU8CB-UUUT-UUT108】六角螺栓规格表大全如下:六角螺栓规格表是行内人士必须熟悉的,但是网络上的相关资料却支离破碎。
到哪里看六角螺栓规格表呢下面,世界工厂网就为大家汇总六角螺栓规格表大全,以供参考学习。
六角螺栓即六角头螺栓,六角螺栓规格一般参见SH3404、HG20613、HG20634等。
六角螺栓规格表也分国标规格和美标规格,本文主介绍国标规格。
六角螺栓规格表大全如下:螺钉规格,螺钉规格表螺钉规格①?公称螺纹外径(螺纹规格):分公制和英制两种。
公制螺纹?→?常用规格有2;?;??;??;??;?3?;??;??;?4?;??;??;??; ?????????????????5?;?6?;?8?;?10?;?12?;14;16;?20?。
单位mm(毫米)。
英制螺纹?→?常用规格有2#;4#;6#;8#;10#;12#;1/4;7/32;5/16;3/8;1/2?;9/16;?3/4?。
单位?in? (英?????????????????寸)。
②?牙数/牙距:?牙数定义?→?一英寸()长度中所含牙纹的个数。
牙距定义?→?相邻两螺纹间的间隔值。
牙数、牙距换算?→?牙距=1英寸/牙数③公称长度:?分公制和英制两种。
?公制公称长度?→?常用值有5、6、、7、8、9、、10、11、12、13、14、15、16、18、19、20、??????????????????????21、25、28、30、31、32、35、40、42、45、50、55、60、?65、70、75、80、8 5、??????????????????????90、95、100、110、120。
?单位mm(毫米)。
?英制公称长度?→?常用值有1/4、5/16、3/8、7/16、1/2、5/8、3/4、1、?2、3?。
单位?:in?(英寸)。
六角螺栓规格表大全如下:*六角螺栓规格表是行内人士必须熟悉的,但是网络上的相关资料却支离破碎。
到哪里看六角螺栓规格表呢下面,世界工厂泵阀网就为大家汇总六角螺栓规格表大全,以供参考学习。
六角螺栓即六角头螺栓,六角螺栓规格一般参见SH3404、HG20613、HG20634等。
六角螺栓规格表也分国标规格和美标规格,本文主介绍国标规格。
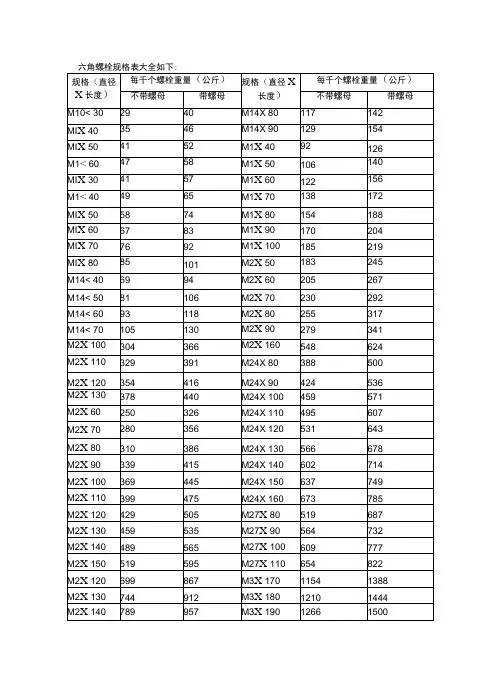
六角螺栓规格表大全如下:规格(直径×长度)每千个螺栓重量(公斤),规格(直径×长度)每千个螺栓重量(公斤)不带螺母带螺母不带螺母带螺母M10×3029|40M14×80117142 M10×403546M14×90129154[M10×504152M16×4092126M10×604758M16×50\106140 M12×304157M16×60122156M12×4049《65M16×70138172M12×505874M16×80154188)M12×606783M16×90170204 M12×707692M16×100`219,螺钉规格,螺钉规格表螺钉规格①公称螺纹外径(螺纹规格):分公制和英制两种。
公制螺纹→常用规格有2; ; ; ; ; 3 ; ; ; 4 ; ; ; ;5 ;6 ; 8 ; 10 ; 12 ;14;16; 20 。
单位mm(毫米)。
英制螺纹→常用规格有2#;4#;6#;8#;10#;12#;1/4;7/32;5/16;3/8;1/2 ;9/16; 3/4 。
单位 in (英寸)。
②牙数/牙距:牙数定义→一英寸()长度中所含牙纹的个数。
牙距定义→相邻两螺纹间的间隔值。
牙数、牙距换算→牙距=1英寸/牙数③公称长度:分公制和英制两种。
公制公称长度→常用值有5、6、、7、8、9、、10、11、12、13、14、15、16、18、19、20、21、25、28、30、31、32、35、40、42、45、50、55、60、 65、70、75、80、85、90、95、100、110、120。
六角螺栓型号及尺寸规格表
引言
六角螺栓是一种常用的紧固件,在机械制造和建筑行业得到广泛应用。
不同的项目和需求往往需要不同型号和尺寸的六角螺栓。
本文档提供了六角螺栓常用的型号及其尺寸规格表,供使用者参考。
六角螺栓型号及尺寸规格表
型号M6 M8 M10 M12 M14 M16
表面处理黑色锌黑色锌黑色锌热镀锌热镀锌热镀锌
长度20mm 25mm 30mm 35mm 40mm 45mm
型号M16 M18 M20 M22 M24 M27
表面处理热镀锌黑色锌热镀锌黑色锌热镀锌黑色锌
长度50mm 55mm 60mm 65mm 70mm 75mm
型号M30 M33 M36 M39 M42 M48
表面处理热镀锌黑色锌热镀锌黑色锌热镀锌黑色锌
长度80mm 85mm 90mm 95mm 100mm 110mm
结论
本文档提供了六角螺栓常见型号及尺寸规格表,包括了M6至M48的六角螺栓型号,以及相应的长度和表面处理方式。
这些规格是根据行业标准和常见项目需求整理而来,能够满足大部分紧固件的使用需求。
请注意,这只是一份六角螺栓常见型号及尺寸规格的参考表。
在实际应用中,具体型号和尺寸还需要根据项目需求和工程师的设计要求进行选型。
不同的工程项目可能有不同的规格和要求,使用者应该根据具体情况仔细选择合适的六角螺栓。
希望本文档能够对需要选购或使用六角螺栓的读者提供一定的参考和帮助。
注意:本文档仅为参考文档,具体规格请以实际需求为准。
六角螺栓规格表是行人士必须熟悉的,但是网络上的相关资料却支离破碎•,到哪里看六角螺栓规格表呢?下面,世界工厂輕网就为大家汇总六角螺栓规格表大全,以供参考学习。
六角螺栓即六角头螺栓,六角螺栓规格一般参见SH3404s HG20613. HG20634等。
六角螺栓规格表也分国标规格和美标规格,本文主介绍国标规格。
六角螺栓规格表大全如下:螺钉规格,螺钉规格表曝钉规格①公称螺纹外径(螺纹规格):分公制和英制两种。
公制螺纹-> 常用规格有2 23 ; 2.5 ; 2.6 ; 2.9 ; 3 ; 3丄;35 ; 4 ; 4.2 ; 4.5 ; 4.85 ;6 ; 8 ; 10 ; 12 ;14;16; 20。
单位mm(S米)。
英制螺纹「常用规格有2#;4#;6#;8#:10#;12#;1/4;7/32;5/16:3/8;1/2 ;9/16: 3/4 。
单位in (英寸)o②牙数/牙距:牙数定义-* 一英寸(25.4mm)长度中所含牙纹的个数。
牙距定义-相邻两螺纹间的间隔值。
牙数、牙距换算-牙距二1英寸/牙数③公称长度:分公制和英制两种。
公制公称长度—常用值有5、6、6 5、7、8、9、9.5、10、11. 12、13、14. 15、16、18、19、20、21. 25、 28、 30、 31. 32、 35、 40、 42、 45、 50、 55、 60、 65、 7)、75、 80、 85、90、95、100. 110s 120o单位 rnm (毫米)。
英制公称长度 — 常用值有 1/4、5/16、3/8、7/16. 1/2s 5/8、3/4、1、2、3 。
单位:in (英寸)。
④ 「头型:用字母来表示头型的种类,可参看前文常用螺钉头型分类。
⑤ 牙型/尾型:用字母来表示牙型/尾型的种类,可参看前文“常用螺钉牙型/尾型分类”。
⑥ 槽型:参看前文“我司常用螺钉槽型分类:十字槽或无槽(如冲六角头螺钉)此处无需标注,其它槽型需用文字说明。
六⾓螺栓及螺母尺⼨表六⾓螺母六⾓螺母—C 级 I 型六⾓螺母—A 和B 级六⾓薄螺母(GB/T41-2000) (GB/T6170-2000) (GB/T6172.1-2000)标记⽰例1.各部位的尺⼨螺纹规格DM3M4M5M6 M8 M10 M12 M16 M20 M24 M30 M36 M42eGB/T418.63 10.89 14.20 17.59 19.85 26.17 32.95 39.55 50.85 60.79 72.07 GB/T6170 6.01 7.66 8.79 11.05 14.38 17.77 20.03 26.75 32.95 39.55 50.85 60.79 72.02 GB/T6172.1 6.01 7.66 8.79 11.05 14.38 17.77 20.03 26.75 32.95 39.55 50.85 60.79 72.02 s GB/T418 10 13 16 18 24 30 36 46 55 65 GB/T6170 5.5 7 8 10 13 16 18 24 30 36 46 55 65 GB/T6172.1 5.5 7 8 10 13 16 18 24 30 36 46 55 65 mGB/T415.66.17.9 9.5 12.2 15.9 18.7 22.3 25.4 31.5 34.9 GB/T6170 2.4 3.2 4.7 5.2 6.8 8.4 10.8 14.8 18 21.5 25.6 31 34 GB/T6172.11.82.22.73.245681012151821单位:mm螺纹的公称直径(d)(2)M3 M4 M5 M6 M8 M10 M12 (M14) 螺栓的螺距(P) 0.5 0.7 0.8 1 1.25 1.5 1.75 2b 参考18 20 22 24 28 32 36 40dk 最⼤(基准尺⼨)* 5.5 7 8.5 10 13 16 18 21最⼤** 5.68 7.22 8.72 10.22 13.27 16.27 18.27 21.33 最⼩ 5.32 6.78 8.28 9.78 12.73 15.73 17.73 20.67da 最⼤ 3.6 4.7 5.7 6.8 9.2 11.2 13.7 15.7 ds最⼤(基准尺⼨) 3 4 5 6 8 10 12 14 最⼩ 2.86 3.82 4.82 5.82 7.78 9.78 11.73 13.73e 最⼩ 2.87 3.44 4.58 5.72 6.86 9.15 11.43 13.72f 最⼤0.51 0.60 0.60 0.68 1.02 1.02 1.45 1.45 k最⼤(基准尺⼨) 3 4 5 6 8 10 12 14 最⼩ 2.86 3.82 4.82 5.70 7.64 9.64 11.57 13.57 r 最⼩0.1 0.2 0.2 0.25 0.4 0.4 0.6 0.6s 公称(基准尺⼨) 2.5 3 4 5 6 8 10 12最⼩ 2.52 3.02 4.02 5.02 6.02 8.025 10.025 12.032 最⼤(1)1栏 2.580 3.080 4.095 5.140 6.140 8.175 10.175 12.2122栏 2.560 3.080 4.095 5.095 6.095 8.115 10.115 12.142t 最⼩ 1.3 2 2.5 3 4 5 6 7v 最⼤0.3 0.4 0.5 0.6 0.8 1 1.2 1.4 dw 最⼩ 5.07 6.53 8.03 9.38 12.33 15.33 17.23 20.17 w 最⼩ 1.15 1.4 1.9 2.3 3.3 4 4.8 5.8螺纹的公称直径(d)(2)M16 (M18) M20 (M22) M24 (M27) M30 螺栓的螺距(P) 2 2.5 2.5 2.5 3 3 3.5b 参考44 48 52 56 60 66 72dk 最⼤(基准尺⼨)*24 27 30 33 36 40 45最⼤**24.33 27.33 30.33 33.39 36.39 40.39 45.39 最⼩23.67 26.67 29.67 32.61 35.61 39.61 44.61da 最⼤17.7 20.2 22.4 24.4 26.4 30.4 33.4 ds最⼤(基准尺⼨) 16 18 20 22 24 27 30 最⼩15.73 17.73 19.67 21.67 23.67 26.67 29.67e 最⼩16.00 16.00 19.44 19.44 21.73 21.73 25.15f 最⼤ 1.45 1.87 2.04 2.04 2.04 2.89 2.89 k最⼤(基准尺⼨) 16 18 20 22 24 27 30 最⼩15.57 17.57 19.48 21.48 23.48 26.48 29.48 r 最⼩0.6 0.6 0.8 0.8 0.8 1 11栏14.212 14.212 17.230 17.230 19.275 19.275 22.2752栏14.142 14.142t 最⼩8 9 10 11 12 13.5 15.5v 最⼤ 1.6 1.8 2 2.2 2.4 2.7 3dw 最⼩23.17 25.87 28.87 31.81 34.81 38.61 43.61w 最⼩ 6.8 7.7 8.6 9.5 10.4 12.1 13.1注(1):s(最⼤)的1栏适⽤于强度8.8及10.9及性状A2-50、A2-70的内容,2栏适⽤于强度12.9的内容。
六 角 螺 母六角螺母—C 级 I 型六角螺母—A 和B 级 六角薄螺母 (GB/T41-2000) (GB/T6170-2000)(GB/T6172.1-2000)标记示例螺纹规格 D=M12、性能级别为5级、不经表面处理、C 级的六角螺母: 螺母 GB/T41-2000 M12 螺纹规格 D=M12、性能级别为8级、不经表面处理、A 级的I 型六角螺母: 螺母 GB/T6170-2000 M12mm注:A 级用于D ≤16,B 级用于D >161.各部位的尺寸螺纹规格DM3M4M5M6 M8 M10 M12 M16 M20 M24 M30 M36 M42eGB/T418.63 10.89 14.20 17.59 19.85 26.17 32.95 39.55 50.85 60.79 72.07 GB/T6170 6.01 7.66 8.79 11.05 14.38 17.77 20.03 26.75 32.95 39.55 50.85 60.79 72.02 GB/T6172.1 6.01 7.66 8.79 11.05 14.38 17.77 20.03 26.75 32.95 39.55 50.85 60.79 72.02 s GB/T418 10 13 16 18 24 30 36 46 55 65 GB/T6170 5.5 7 8 10 13 16 18 24 30 36 46 55 65 GB/T6172.1 5.5 7 8 10 13 16 18 24 30 36 46 55 65 mGB/T415.66.17.9 9.5 12.2 15.9 18.7 22.3 25.4 31.5 34.9 GB/T6170 2.4 3.2 4.7 5.2 6.8 8.4 10.8 14.8 18 21.5 25.6 31 34 GB/T6172.11.82.22.73.245681012151821单位:mm螺纹的公称直径(d)(2)M3 M4 M5 M6 M8 M10 M12 (M14) 螺栓的螺距(P) 0.5 0.7 0.8 1 1.25 1.5 1.75 2b 参考18 20 22 24 28 32 36 40dk 最大(基准尺寸)* 5.5 7 8.5 10 13 16 18 21最大** 5.68 7.22 8.72 10.22 13.27 16.27 18.27 21.33 最小 5.32 6.78 8.28 9.78 12.73 15.73 17.73 20.67da 最大 3.6 4.7 5.7 6.8 9.2 11.2 13.7 15.7 ds最大(基准尺寸) 3 4 5 6 8 10 12 14 最小 2.86 3.82 4.82 5.82 7.78 9.78 11.73 13.73e 最小 2.87 3.44 4.58 5.72 6.86 9.15 11.43 13.72f 最大0.51 0.60 0.60 0.68 1.02 1.02 1.45 1.45 k最大(基准尺寸) 3 4 5 6 8 10 12 14 最小 2.86 3.82 4.82 5.70 7.64 9.64 11.57 13.57 r 最小0.1 0.2 0.2 0.25 0.4 0.4 0.6 0.6s 公称(基准尺寸) 2.5 3 4 5 6 8 10 12最小 2.52 3.02 4.02 5.02 6.02 8.025 10.025 12.032 最大(1)1栏 2.580 3.080 4.095 5.140 6.140 8.175 10.175 12.2122栏 2.560 3.080 4.095 5.095 6.095 8.115 10.115 12.142注(1):s(最大)的1栏适用于强度8.8及10.9及性状A2-50、A2-70的内容,2栏适用于强度12.9的内容。
六角螺栓规格表大全如下:M42×210 2877 3476 M48×240 4283 5240M42×220 2986 3585 M48×250 4432 5389M48×260 4574 5531 M48×280 4858 5815M48×300 5142 6099六角螺栓规格表是行内人士必须熟悉的,但是网络上的相关资料却支离破碎。
到哪里看六角螺栓规格表呢?下面,世界工厂泵阀网就为大家汇总六角螺栓规格表大全,以供参考学习。
六角螺栓即六角头螺栓,六角螺栓规格一般参见SH3404、HG20613、HG20634等。
六角螺栓规格表也分国标规格和美标规格,本文主介绍国标规格。
六角螺栓规格表大全如下:螺钉规格,螺钉规格表螺钉规格①公称螺纹外径(螺纹规格):分公制和英制两种。
公制螺纹→常用规格有2;2.3; 2.5; 2.6; 2.9;3; 3.1; 3.5;4; 4.2; 4.5; 4.8;5;6;8;10;12;14;16;20。
单位mm(毫米)。
英制螺纹→常用规格有2#;4#;6#;8#;10#;12#;1/4;7/32;5/16;3/8;1/2;9/16;3/4。
单位in(英寸)。
②牙数/牙距:牙数定义→一英寸(25.4mm)长度中所含牙纹的个数。
牙距定义→相邻两螺纹间的间隔值。
牙数、牙距换算→牙距=1英寸/牙数③公称长度:分公制和英制两种。
公制公称长度→常用值有5、6、6.5、7、8、9、9.5、10、11、12、13、14、15、16、18、19、20、21、25、28、30、31、32、35、40、42、45、50、55、60、65、7 0、75、80、85、90、95、100、110、120。
单位mm(毫米)。
英制公称长度→常用值有1/4、5/16、3/8、7/16、1/2、5/8、3/4、1、2、3。
单位:in(英寸)。
六角螺栓规格表是行内人士必须熟悉的,但是网络上的相关资料却支离破碎。
到哪里看六角螺栓规格表呢?下面,世界工厂泵阀网就为大家汇总六角螺栓规格表大全,以供参考学习。
六角螺栓即六角头螺栓,六角螺栓规格一般参见SH3404 HG20613 HG20634等。
六角螺栓规格表也分国标规格和美标规格,本文主介绍国标规格。
螺钉规格,螺钉规格表螺钉规格 ①公称螺纹外径(螺纹规格): 公制螺纹 常用规格有 分公制和英制两种。
2; 2.32.5 2.6 2.93.1 3.54.2 4.4.81012 ;14;16; 20英制螺纹常用规格有 2#;4#;6#;8#;10#;12#;1/4;7/32;5/16;3/8;1/2寸)。
单位mm 毫米)。
;9/16; 3/4 。
单位 in牙数/牙距: 牙数定义 牙距定义 牙数、牙距换算 ③公称长度:分公制和英制两种。
公制公称长度一英寸(25.4mm )长度中所含牙纹的个数。
相邻两螺纹间的间隔值。
- 牙距=1英寸/牙数- 常用值有5、6、6.5、7、 8、 9、9.5、10、11、12、 13、14、15、16、18、19、 20、 21、 25、 28、30、31、32、35、40、42、45、50、55、60、 65、70、 75 80、85、 90、 95、 100、110、120。
— 常用值有1/4、5/16、3/8、 英制公称长度 ④头型:用字母来表示头型的种类,可参看前文常用螺钉头型分类。
7/16、1/2、5/8、3/4、1、 2、3 。
单位mm 毫米)。
单位:in (英寸)。
⑤牙型/尾型:用字母来表示牙型/尾型的种类,可参看前文“常用螺钉牙型/尾型分类”。
⑥槽型:参看前文“我司常用螺钉槽型分类”,十字槽或无槽(如冲六角头螺钉)此处无需标注,其它槽型需用文字说明。
⑦特殊标注:一般情况无需标注,表达其特征时在此位置用文字进行描述。
举例:螺钉规格名称描述为“ 4-0.7X70PM 土牙长35”,其含义是“ 4”为螺钉螺纹公称直径,“ 0.7 ”为牙距,70”为螺钉公称长度值,“ P”表示其头型为盘头,“ M表示其牙型/尾型为机丝牙类,“土表示其槽型为“土槽”也可用“加减槽”表示。
六角螺栓规格表大全如下:六角螺栓规格表是行内人士必须熟悉的,但是网络上的相关资料却支离破碎。
到哪里看六角螺栓规格表呢下面,世界工厂泵阀网就为大家汇总六角螺栓规格表大全,以供参考学习。
六角螺栓即六角头螺栓,六角螺栓规格一般参见SH3404、HG20613、HG20634等。
六角螺栓规格表也分国标规格和美标规格,本文主介绍国标规格。
六角螺栓规格表大全如下:规格(直径×长度)每千个螺栓重量(公斤)规格(直径×长度)每千个螺栓重量(公斤)不带螺母带螺母不带螺母带螺母M10×302940M14×80117142 M10×403546M14×90129154 M10×504152M16×4092126 M10×604758M16×50106140 M12×304157M16×60122156 M12×404965M16×70138172 M12×505874M16×80154188 M12×606783M16×90170204 M12×707692M16×100185219 M12×8085101M20×50183245螺钉规格,螺钉规格表螺钉规格①公称螺纹外径(螺纹规格):分公制和英制两种。
公制螺纹→常用规格有2; ; ; ; ; 3 ; ; ; 4 ; ; ; ;5 ;6 ; 8 ; 10 ; 12 ;14;16; 20 。
单位mm(毫米)。
英制螺纹→常用规格有2#;4#;6#;8#;10#;12#;1/4;7/32;5/16;3/8;1/2 ;9/16; 3/4 。
单位 in (英寸)。
②牙数/牙距:牙数定义→一英寸()长度中所含牙纹的个数。
牙距定义→相邻两螺纹间的间隔值。
牙数、牙距换算→牙距=1英寸/牙数③公称长度:分公制和英制两种。
六 角 螺 母六角螺母—C 级 I 型六角螺母—A 和B 级 六角薄螺母 (GB/T41-2000) (GB/T6170-2000) (GB/T6172.1-2000)标记示例螺纹规格 D=M12、性能级别为5级、不经表面处理、C 级的六角螺母: 螺母 GB/T41-2000 M12 螺纹规格 D=M12、性能级别为8级、不经表面处理、A 级的I 型六角螺母: 螺母 GB/T6170-2000 M12mm注:A 级用于D ≤16,B 级用于D >161.各部位的尺寸螺纹规格DM3M4M5M6 M8M10 M12 M16 M20 M24 M30 M36 M42e GB/T418.6310.89 14.20 17.59 19.85 26.17 32.95 39.55 50.85 60.79 72.07 GB/T6170 6.01 7.66 8.7911.05 14.38 17.77 20.03 26.75 32.95 39.55 50.85 60.79 72.02 GB/T6172.1 6.01 7.66 8.7911.05 14.38 17.77 20.03 26.75 32.95 39.55 50.85 60.79 72.02 s GB/T418 10 13 16 18 24 30 36 46 55 65 GB/T6170 5.5 7 8 10 13 16 18 24 30 36 46 55 65 GB/T6172.1 5.5 7 8 10 13 16 18243036465565mGB/T415.66.17.9 9.5 12.2 15.9 18.7 22.3 25.4 31.5 34.9 GB/T6170 2.4 3.2 4.7 5.2 6.8 8.4 10.8 14.8 18 21.5 25.6 31 34 GB/T6172.11.82.22.73.245681012151821单位:mm螺纹的公称直径(d)(2)M3 M4 M5 M6 M8 M10 M12 (M14) 螺栓的螺距(P) 0.5 0.7 0.8 1 1.25 1.5 1.75 2b 参考18 20 22 24 28 32 36 40dk 最大(基准尺寸)* 5.5 7 8.5 10 13 16 18 21最大** 5.68 7.22 8.72 10.22 13.27 16.27 18.27 21.33 最小 5.32 6.78 8.28 9.78 12.73 15.73 17.73 20.67da 最大 3.6 4.7 5.7 6.8 9.2 11.2 13.7 15.7 ds最大(基准尺寸) 3 4 5 6 8 10 12 14 最小 2.86 3.82 4.82 5.82 7.78 9.78 11.73 13.73e 最小 2.87 3.44 4.58 5.72 6.86 9.15 11.43 13.72f 最大0.51 0.60 0.60 0.68 1.02 1.02 1.45 1.45 k最大(基准尺寸) 3 4 5 6 8 10 12 14 最小 2.86 3.82 4.82 5.70 7.64 9.64 11.57 13.57 r 最小0.1 0.2 0.2 0.25 0.4 0.4 0.6 0.6 s 公称(基准尺寸) 2.5 3 4 5 6 8 10 12注(1):s(最大)的1栏适用于强度8.8及10.9及性状A2-50、A2-70的内容,2栏适用于强度12.9的内容。
六角螺栓规格表大全如下:M42×210 2877 3476 M48×240 4283 5240M42×220 2986 3585 M48×250 4432 5389M48×260 4574 5531 M48×280 4858 5815M48×300 5142 6099六角螺栓规格表是行内人士必须熟悉的,但是网络上的相关资料却支离破碎。
到哪里看六角螺栓规格表呢?下面,世界工厂泵阀网就为大家汇总六角螺栓规格表大全,以供参考学习。
六角螺栓即六角头螺栓,六角螺栓规格一般参见SH3404、HG20613、HG20634等。
六角螺栓规格表也分国标规格和美标规格,本文主介绍国标规格。
六角螺栓规格表大全如下:螺钉规格,螺钉规格表螺钉规格①公称螺纹外径(螺纹规格):分公制和英制两种。
公制螺纹→常用规格有2;2.3; 2.5; 2.6; 2.9;3; 3.1; 3.5;4; 4.2; 4.5; 4.8;5;6;8;10;12;14;16;20。
单位mm(毫米)。
英制螺纹→常用规格有2#;4#;6#;8#;10#;12#;1/4;7/32;5/16;3/8;1/2;9/16;3/4。
单位in(英寸)。
②牙数/牙距:牙数定义→一英寸(25.4mm)长度中所含牙纹的个数。
牙距定义→相邻两螺纹间的间隔值。
牙数、牙距换算→牙距=1英寸/牙数③公称长度:分公制和英制两种。
公制公称长度→常用值有5、6、6.5、7、8、9、9.5、10、11、12、13、14、15、16、18、19、20、21、25、28、30、31、32、35、40、42、45、50、55、60、65、7 0、75、80、85、90、95、100、110、120。
单位mm(毫米)。
英制公称长度→常用值有1/4、5/16、3/8、7/16、1/2、5/8、3/4、1、2、3。
单位:in(英寸)。
六角螺栓规格表大全如下:M42×210 2877 3476 M48×240 4283 5240M42×220 2986 3585 M48×250 4432 5389M48×260 4574 5531 M48×280 4858 5815M48×300 5142 6099六角螺栓规格表是行内人士必须熟悉的,但是网络上的相关资料却支离破碎。
到哪里看六角螺栓规格表呢?下面,世界工厂泵阀网就为大家汇总六角螺栓规格表大全,以供参考学习。
六角螺栓即六角头螺栓,六角螺栓规格一般参见SH3404、HG20613、HG20634等。
六角螺栓规格表也分国标规格和美标规格,本文主介绍国标规格。
六角螺栓规格表大全如下:螺钉规格,螺钉规格表螺钉规格①公称螺纹外径(螺纹规格〕:分公制和英制两种。
公制螺纹→常用规格有2;2.3;2.5;2.6;2.9;3;3.1;3.5;4;4.2;4.5;4.8;5;6;8;10;12;14;16;20。
单位mm(毫米〕。
英制螺纹→常用规格有2#;4#;6#;8#;10#;12#;1/4;7/32;5/16;3/8;1/2;9/16;3/4。
单位in(英寸〕。
②牙数/牙距:牙数定义→一英寸〔25.4mm〕长度中所含牙纹的个数。
牙距定义→相邻两螺纹间的间隔值。
牙数、牙距换算→牙距=1英寸/牙数③公称长度:分公制和英制两种。
公制公称长度→常用值有5、6、6.5、7、8、9、9.5、10、11、12、13、14、15、16、18、19、20、21、25、28、30、31、32、35、40、42、45、50、55、60、65、70、75、80、85、90、95、100、110、120。
单位mm(毫米〕。
英制公称长度→常用值有1/4、5/16、3/8、7/16、1/2、5/8、3/4、1、2、3。
单位:in(英寸〕。
④头型:用字母来表示头型的种类,可参看前文常用螺钉头型分类。
六角螺栓规格表大全如下:六角螺栓规格表是行内人士必须熟悉的,但是网络上的相关资料却支离破碎。
到哪里看六角螺栓规格表呢?下面,世界工厂泵阀网就为大家汇总六角螺栓规格表大全,以供参考学习。
六角螺栓即六角头螺栓,六角螺栓规格一般参见SH3404、HG20613、HG20634等。
六角螺栓规格表也分国标规格和美标规格,本文主介绍国标规格。
六角螺栓规格表大全如下:螺钉规格,螺钉规格表螺钉规格①公称螺纹外径(螺纹规格):分公制和英制两种。
公制螺纹→常用规格有2;2.3 ; 2.5 ; 2.6 ; 2.9 ; 3 ; 3.1 ; 3.5 ; 4 ; 4.2 ; 4.5 ; 4.8 ;5 ;6 ; 8 ; 10 ; 12 ;14;16; 20 。
单位mm(毫米)。
英制螺纹→常用规格有2#;4#;6#;8#;10#;12#;1/4;7/32;5/16;3/8;1/2 ;9/16; 3/4 。
单位in (英寸)。
②牙数/牙距:牙数定义→一英寸(25.4mm)长度中所含牙纹的个数。
牙距定义→相邻两螺纹间的间隔值。
牙数、牙距换算→牙距=1英寸/牙数③公称长度:分公制和英制两种。
公制公称长度→常用值有5、6、6.5、7、8、9、9.5、10、11、12、13、14、15、16、18、19、20、21、25、28、30、31、32、35、40、42、45、50、55、60、65、70、75、80、85、90、95、100、110、120。
单位mm(毫米)。
英制公称长度→常用值有1/4、5/16、3/8、7/16、1/2、5/8、3/4、1、2、3 。
单位:in (英寸)。
④头型:用字母来表示头型的种类,可参看前文常用螺钉头型分类。
⑤牙型/尾型:用字母来表示牙型/尾型的种类,可参看前文“常用螺钉牙型/尾型分类”。
⑥槽型:参看前文“我司常用螺钉槽型分类”,十字槽或无槽(如冲六角头螺钉)此处无需标注,其它槽型需用文字说明。
⑦特殊标注:一般情况无需标注,表达其特征时在此位置用文字进行描述。
六角螺栓规格表大全如下:六角螺栓规格表是行人士必须熟悉的,但是网络上的相关资料却支离破碎。
到哪里看六角螺栓规格表呢?下面,世界工厂泵阀网就为大家汇总六角螺栓规格表大全,以供参考学习。
六角螺栓即六角头螺栓,六角螺栓规格一般参见SH3404、HG20613、HG20634等。
六角螺栓规格表也分国标规格和美标规格,本文主介绍国标规格。
六角螺栓规格表大全如下:规格(直径×长度)每千个螺栓重量(公斤)规格(直径×长度)每千个螺栓重量(公斤)不带螺母带螺母不带螺母带螺母M10×3029 40 M14×80117 142 M10×4035 46 M14×90129 154 M10×5041 52 M16×4092 126 M10×6047 58 M16×50106 140 M12×3041 57 M16×60122 156 M12×4049 65 M16×70138 172螺钉规格,螺钉规格表螺钉规格①公称螺纹外径(螺纹规格):分公制和英制两种。
公制螺纹→常用规格有2;2.3 ; 2.5 ; 2.6 ; 2.9 ; 3 ; 3.1 ; 3.5 ; 4 ; 4.2 ; 4.5 ; 4.8 ;5 ;6 ; 8 ; 10 ; 12 ;14;16; 20 。
单位mm(毫米)。
英制螺纹→常用规格有2#;4#;6#;8#;10#;12#;1/4;7/32;5/16;3/8;1/2 ;9/16; 3/4 。
单位 in (英寸)。
②牙数/牙距:牙数定义→一英寸(25.4mm)长度中所含牙纹的个数。
牙距定义→相邻两螺纹间的间隔值。
牙数、牙距换算→牙距=1英寸/牙数③公称长度:分公制和英制两种。
公制公称长度→常用值有5、6、6.5、7、8、9、9.5、10、11、12、13、14、15、16、18、19、20、 21、25、28、30、31、32、35、40、42、45、50、55、60、 65、70、75、80、85、90、95、100、110、120。
单位mm(毫米)。
英制公称长度→常用值有1/4、5/16、3/8、7/16、1/2、5/8、3/4、1、 2、3 。
单位:in (英寸)。
④头型:用字母来表示头型的种类,可参看前文常用螺钉头型分类。
⑤牙型/尾型:用字母来表示牙型/尾型的种类,可参看前文“常用螺钉牙型/尾型分类”。
⑥槽型:参看前文“我司常用螺钉槽型分类”,十字槽或无槽(如冲六角头螺钉)此处无需标注,其它槽型需用文字说明。
⑦特殊标注:一般情况无需标注,表达其特征时在此位置用文字进行描述。
举例:螺钉规格名称描述为“4-0.7x70PM±牙长35”,其含义是“4”为螺钉螺纹公称直径,“0.7”为牙距,70”为螺钉公称长度值,“P”表示其头型为盘头,“M”表示其牙型/尾型为机丝牙类,“±”表示其槽型为“±槽”也可用“加减槽”表示。
“牙长35”为特殊标注,特别说明此螺钉牙纹长度值。
螺钉规格名称描述方法(如图)螺钉规格表规格重量规格重量规格重量2.5×100.24 4×603.05 6×3043322.5×120.26 4×703.60 6×354.802.5×160.34 4.5×161.30 6×40 5.302.5×200.41 4.5×201.50 6×45 5.743×100.36 4.5×251.80 6×50 6.253×130.46 4.5×302.160 6×55 6.833×160.52 4.5×352.370 6×607.45 3×200.66 4.5×402.70 6×708.30 3×250.77 4.5×452.92 6×80 9.18 3×300.84 4.5×503.21 6×9010.58 3×35 1.06 4.5×553.62 6×10011.55 3.5×130.7 4.5×604.023.5×160.734.5×704.833.5×200.9 5×16 1.703.5×251.05 5×20 1.903.5×301.25 5×25 2.233.5×351.46 5×30 2.653.5×401.7 5×35 3.034×16 1.00 5×40 3.354×20 1.20 5×45 3.724×25 1.46 5×50 4.104×30 1.65 5×55 4.534×35 1.91 5×60 4.964×40 2.08 5×70 5.734×45 2.32 5×80 6.484×50 2.51 5×907.354×55 2.80 5×100 8.96规格重量规格重量规格重量规格重量3/8×20.25 1-1/4×61.84 3-1/2×87.57 4×1011.44 1/2×2031 1-1/2×62.17 3×8 6.31 1×12 4.11 3/8×30.31 1-3/4×62.63 3/4×9 2.08 1-1/4×125.00 1/2×30.4 2×6 2.90 7/8×9 2.33 1-1/2×126.00 5/8×30.48 5/8×7 1.30 1×9 2.69 1-3/4×127.03 3/8×40.41 3/4×7 1.45 1-1/4×9 3.26 2×127.60 1/2×40.51 7/8×7 1.68 1-1/2×9 3.94 2-1/4×128.45 5/8×40.63 1×7 1.84 1-3/4×9 4.32 2-1/2×129.43 3/4×40.74 1-1/4×72.30 2×9 5.10 3×1211.36 7/8×41-1/2×72.70 2-1/4×9 5.49 3-1/2×1212.82 1×40.97 1-3/4×73.19 2-1/2×9 6.25 4×1215.00 1/2×50.67 2×7 3.52 3/4×10 2.42 1×4 2.71 5/8×50.81 5/8×8 1.51 7/8×101-1/4×143/4×50.93 3/4×8 1.92 1×10 3.03 1-1/2×147.58 7/8×57/8×8 1.92 1-1/4×103.75 1-3/4×148.62 1×5 1.21 1×8 2.28 1-1/2×104.60 2×1410.10 1-1/4×51.43 1-1/4×82.77 1-3/4×105.06 2-1/4×1411.11 1/2×60.84 1-1/2×83.15 2×10 5.54 2-1/2×1412.10 5/8×60.99 1-3/4×83.64 2-1/4×106.37 3×1414.323/4×6 1.17 2×8 4.20 2-1/2×107.13 3-1/2×1416.60 7/8×6 1.37 2-1/4×84.72 3×108.37 4×1418.52 1×6 1.53 2-1/2×85.10 3-1/2×109.61规格重量规格重量规格重量规格重量3/8×20.25 1-1/4×61.84 3-1/2×87.57 4×1011.44 1/2×2031 1-1/2×62.17 3×8 6.31 1×12 4.11 3/8×30.31 1-3/4×62.63 3/4×9 2.08 1-1/4×125.00 1/2×30.4 2×6 2.90 7/8×9 2.33 1-1/2×126.00 5/8×30.48 5/8×7 1.30 1×9 2.69 1-3/4×127.03 3/8×40.41 3/4×7 1.45 1-1/4×9 3.26 2×127.60 1/2×40.51 7/8×7 1.68 1-1/2×9 3.94 2-1/4×128.45 5/8×40.63 1×7 1.84 1-3/4×9 4.32 2-1/2×129.43 3/4×40.74 1-1/4×72.30 2×9 5.10 3×1211.36 7/8×41-1/2×72.70 2-1/4×9 5.49 3-1/2×1212.82 1×40.97 1-3/4×7 3.19 2-1/2×9 6.25 4×1215.00 1/2×50.67 2×7 3.52 3/4×10 2.42 1×4 2.71 5/8×50.81 5/8×8 1.51 7/8×101-1/4×143/4×50.93 3/4×8 1.92 1×10 3.03 1-1/2×147.58 7/8×57/8×8 1.92 1-1/4×103.75 1-3/4×148.62 1×5 1.21 1×8 2.28 1-1/2×104.60 2×1410.101-1/4×51.43 1-1/4×82.77 1-3/4×105.06 2-1/4×1411.111/2×60.84 1-1/2×83.15 2×10 5.54 2-1/2×1412.105/8×60.99 1-3/4×83.64 2-1/4×106.37 3×1414.323/4×6 1.17 2×8 4.20 2-1/2×107.13 3-1/2×1416.607/8×6 1.37 2-1/4×84.72 3×108.37 4×1418.521×6 1.53 2-1/2×85.10 3-1/2×109.61普通螺栓的规格及尺寸表1.普通C级六角头螺栓规格及尺寸表(摘自GB 5780-86),见表1。