2020版高考数学一轮复习课时跟踪检测九二次函数与幂函数
- 格式:rtf
- 大小:1.70 MB
- 文档页数:6
高考数学一轮复习 课时跟踪检测(九)二次函数与幂函数 理 新人教A 版1.已知幂函数f (x )=x α的部分对应值如下表:x 1 12 f (x )122则不等式f (|x |)≤2的解集是( ) A .{x |0<x ≤2} B .{x |0≤x ≤4} C .{x |-2≤x ≤2}D .{x |-4≤x ≤4}2.已知函数y =ax 2+bx +c ,如果a >b >c 且a +b +c =0,则它的图象可能是( )3.(2012·梅州期末)已知f (x )=x 12,若0<a <b <1,则下列各式中正确的是( )A .f (a )<f (b )<f ⎝ ⎛⎭⎪⎫1a <f ⎝ ⎛⎭⎪⎫1bB .f ⎝ ⎛⎭⎪⎫1a <f ⎝ ⎛⎭⎪⎫1b <f (b )<f (a )C .f (a )<f (b )<f ⎝ ⎛⎭⎪⎫1b <f ⎝ ⎛⎭⎪⎫1aD .f ⎝ ⎛⎭⎪⎫1a <f (a )<f ⎝ ⎛⎭⎪⎫1b<f (b )4.已知f (x )=x 2+bx +c 且f (-1)=f (3),则( )A .f (-3)<c <f ⎝ ⎛⎭⎪⎫52B .f ⎝ ⎛⎭⎪⎫52<c <f (-3)C .f ⎝ ⎛⎭⎪⎫52<f (-3)<c D .c <f ⎝ ⎛⎭⎪⎫52<f (-3) 5.设二次函数f (x )=ax 2-2ax +c 在区间[0,1]上单调递减,且f (m )≤f (0),则实数m 的取值范围是( )A .(-∞,0]B .[2,+∞)C .(-∞,0]∪[2,+∞)D .[0,2]6.(2013·温州模拟)方程x 2+ax -2=0在区间[1,5]上有解,则实数a 的取值范围为( )A.⎝ ⎛⎭⎪⎫-235,+∞ B .(1,+∞)C.⎣⎢⎡⎦⎥⎤-235,1D.⎝⎛⎭⎪⎫-∞,-2357.对于函数y =x 2,y =x 12有下列说法:①两个函数都是幂函数;②两个函数在第一象限内都单调递增; ③它们的图象关于直线y =x 对称; ④两个函数都是偶函数;⑤两个函数都经过点(0,0)、(1,1); ⑥两个函数的图象都是抛物线型. 其中正确的有________.8.(2012·北京西城二模)已知函数f (x )=x 2+bx +1是R 上的偶函数,则实数b =________,不等式f (x -1)<x 的解集为________.9.若x ≥0,y ≥0,且x +2y =1,那么2x +3y 2的最小值为________.10.如果幂函数f (x )=x -12p 2+p +32(p ∈Z )是偶函数.且在(0,+∞)上是增函数.求p 的值,并写出相应的函数f (x )的解析式.11.已知二次函数f (x )的图象过点A (-1,0)、B (3,0)、C (1,-8). (1)求f (x )的解析式;(2)求f (x )在x ∈[0,3]上的最值; (3)求不等式f (x )≥0的解集.12.(2012·茂名一模)已知函数f (x )=ax 2-2ax +2+b (a ≠0),若f (x )在区间[2,3]上有最大值5,最小值2.(1)求a ,b 的值;(2)若b <1,g (x )=f (x )-m ·x 在[2,4]上单调,求m 的取值范围.1.已知y =f (x )是偶函数,当x >0时,f (x )=(x -1)2,若当x ∈⎣⎢⎡⎦⎥⎤-2,-12时,n ≤f (x )≤m 恒成立,则m -n 的最小值为( )A.13 B.12 C.34D .12.(2012·深圳质检)设f (x )与g (x )是定义在同一区间[a ,b ]上的两个函数,若函数y =f (x )-g (x )在x ∈[a ,b ]上有两个不同的零点,则称f (x )和g (x )在[a ,b ]上是“关联函数”,区间[a ,b ]称为“关联区间”.若f (x )=x 2-3x +4与g (x )=2x +m 在[0,3]上是“关联函数”,则m 的取值范围为________.3.(2013·肇庆模拟)已知函数f (x )=ax 2+bx +c (a >0,b ∈R ,c ∈R ).(1)若函数f (x )的最小值是f (-1)=0,且c =1,F (x )=⎩⎪⎨⎪⎧f x,x >0,-f x ,x <0,求F (2)+F (-2)的值;(2)若a =1,c =0,且|f (x )|≤1在区间(0,1]上恒成立,试求b 的取值范围.答 案课时跟踪检测(九)A 级1.选D 由f ⎝ ⎛⎭⎪⎫12=22⇒α=12,即f (x )=x 12,故f (|x |)≤2⇒|x |12≤2⇒|x |≤4,故其解集为{x |-4≤x ≤4}.2.选D ∵a >b >c ,且a +b +c =0,∴a >0,c <0.∴图象开口向上与y 轴交于负半轴.3.选C 因为函数f (x )=x 12在(0,+∞)上是增函数,又0<a <b <1b <1a ,故f (a )<f (b )<f ⎝ ⎛⎭⎪⎫1b <f ⎝ ⎛⎭⎪⎫1a . 4.选D 由已知可得二次函数图象关于直线x =1对称,则f (-3)=f (5),c =f (0)=f (2),二次函数在区间(1,+∞)上单调递增,故有f (-3)=f (5)>f ⎝ ⎛⎭⎪⎫52>f (2)=f (0)=c .5.选D 二次函数f (x )=ax 2-2ax +c 在区间[0,1]上单调递减,则a ≠0,f ′(x )=2a (x -1)≤0,x ∈[0,1],所以a >0,即函数图象的开口向上,对称轴是直线x =1. 所以f (0)=f (2),则当f (m )≤f (0)时,有0≤m ≤2. 6.选C 令f (x )=x 2+ax -2,由题意,知f (x )图象与x 轴在[1,5]上有交点,又f (0)<0,则⎩⎪⎨⎪⎧f 1≤0,f 5≥0.解得-235≤a ≤1.7.解析:从两个函数的定义域、奇偶性、单调性等性质去进行比较. 答案:①②⑤⑥8.解析:因为f (x )=x 2+bx +1是R 上的偶函数,所以b =0,则f (x )=x 2+1,解不等式(x -1)2+1<x ,即x 2-3x +2<0得1<x <2.答案:0 {x |1<x <2}9.解析:由x ≥0,y ≥0,x =1-2y ≥0知 0≤y ≤12,令t =2x +3y 2=3y 2-4y +2,则t =3⎝ ⎛⎭⎪⎫y -232+23.在⎣⎢⎡⎦⎥⎤0,12上递减,当y =12时,t 取到最小值,t min =34.答案:3410.解:∵f (x )在(0,+∞)上是增函数, ∴-12p 2+p +32>0,即p 2-2p -3<0. ∴-1<p <3.又∵f (x )是偶函数且p ∈Z , ∴p =1,故f (x )=x 2.11.解:(1)由题意可设f (x )=a (x +1)(x -3), 将C (1,-8)代入得-8=a (1+1)(1-3),得a =2. 即f (x )=2(x +1)(x -3)=2x 2-4x -6. (2)f (x )=2(x -1)2-8,当x ∈[0,3]时,由二次函数图象知,f (x )min =f (1)=-8,f (x )max =f (3)=0.(3)f (x )≥0的解集为{x |x ≤-1,或x ≥3}. 12.解:(1)f (x )=a (x -1)2+2+b -a . 当a >0时,f (x )在[2,3]上为增函数, 故⎩⎪⎨⎪⎧ f 3=5,f2=2,⇒⎩⎪⎨⎪⎧ 9a -6a +2+b =5,4a -4a +2+b =2,⇒⎩⎪⎨⎪⎧a =1,b =0.当a <0时,f (x )在[2,3]上为减函数,故⎩⎪⎨⎪⎧f3=2,f 2=5,⇒⎩⎪⎨⎪⎧9a -6a +2+b =2,4a -4a +2+b =5,⇒⎩⎪⎨⎪⎧a =-1,b =3.(2)∵b <1,∴a =1,b =0, 即f (x )=x 2-2x +2.g (x )=x 2-2x +2-mx =x 2-(2+m )x +2,∵g (x )在[2,4]上单调, ∴2+m 2≤2或m +22≥4.∴m ≤2或m ≥6. B 级1.选D 当x <0时,-x >0,f (x )=f (-x )=(x +1)2,∵x ∈⎣⎢⎡⎦⎥⎤-2,-12, ∴f (x )min =f (-1)=0,f (x )max =f (-2)=1, ∴m ≥1,n ≤0,m -n ≥1.2.解析:由题意知,y =f (x )-g (x )=x 2-5x +4-m 在[0,3]上有两个不同的零点.在同一坐标系下作出函数y =m 与y =x 2-5x +4(x ∈[0,3])的图象如图所示,结合图象可知,当x ∈[2,3]时,y =x 2-5x +4∈⎣⎢⎡⎦⎥⎤-94,-2,故当m ∈⎝ ⎛⎦⎥⎤-94,-2时,函数y =m 与y =x 2-5x +4(x ∈[0,3])的图象有两个交点.答案:⎝ ⎛⎦⎥⎤-94,-23.解:(1)由已知得c =1,a -b +c =0,-b2a =-1,解得a =1,b =2.则f (x )=(x +1)2.则F (x )=⎩⎪⎨⎪⎧x +12,x >0,-x +12,x <0.故F (2)+F (-2)=(2+1)2+[-(-2+1)2]=8.(2)由题意得f (x )=x 2+bx ,原命题等价于-1≤x 2+bx ≤1在(0,1]上恒成立,即b ≤1x-x 且b ≥-1x-x 在(0,1]上恒成立.又当x ∈(0,1]时,1x -x 的最小值为0,-1x-x 的最大值为-2,故-2≤b ≤0.。
课时跟踪检测(八)二次函数与幂函数一抓基础,多练小题做到眼疾手快.二次函数的图象过点(),对称轴为=,最小值为-,则它的解析式为.解析:依题意可设()=(-)-,∵图象过点(),∴-=,∴=.∴()=(-)-.答案:()=(-)-.已知幂函数()=·α的图象过点,则+α=.解析:由幂函数的定义知=.又=,所以α=,解得α=,从而+α=.答案:.函数()=-+,当∈[-,+∞)时,()是增函数,当∈(-∞,-]时,()是减函数,则()的值为.解析:函数()=-+图象的对称轴为直线=,由函数()的增减区间可知=-,∴=-,即()=++,∴()=++=.答案:.函数()=(--)是幂函数,且在∈(,+∞)上为增函数,则实数的值是.解析:()=(--)是幂函数⇒--=⇒=-或=.又∈(,+∞)上是增函数,所以=.答案:.若幂函数=()的图象过点,则=(-)的单调减区间为.解析:设()=α,则由α==-,得α=-,所以()=-=,该函数是定义在(,+∞)上的单调减函数.而=-在(-∞,)上为单调减函数,在(,+∞)上为单调增函数,且=->,得>或<,故所求函数=(-)的单调减区间为(,+∞).答案:(,+∞)二保高考,全练题型做到高考达标.若幂函数=(,∈)的图象经过点,则=.解析:根据幂函数的概念得=,且=,即-=,所以=-,所以=-.答案:-.若函数()=(-)(+-)的图象关于直线=对称,则()的最大值是.解析:依题意,函数()是偶函数,则=+-是偶函数,故=,()=(-)(-)=-+-=-(-)+,当=时,()取最大值为.答案:.(·无锡调研)若幂函数=(-+)·--的图象不过原点,则=.解析:由幂函数性质可知-+=,∴=或=.又幂函数图象不过原点,∴--≤,即-≤≤,∴=或=.答案:或.设函数()=-+,()=()+(),则()+()+…+()=.解析:由二次函数图象的性质得,当≤≤时,()+()=,∴()+()+…+()=()+()=.答案:.(·南京调研)若函数=--的定义域为[,],值域为,则的取值范围是.解析:二次函数图象的对称轴为=,且=-,()=()=-,由图得∈.答案:.若函数=+(+)+,∈[,]的图象关于直线=对称,则=.解析:由已知得-=,解得=-.又因为=,所以=-=.答案:.设二次函数()=++在[-]上有最大值,则实数的值为.解析:此函数图象的对称轴为直线=-.当>时,图象开口向上,所以=时取得最大值,()=++=,解得=;当<时,图象开口向下,所以=-时取得最大值,(-)=-+=,解得=-.答案:-或.已知幂函数()=-,若(+)<(-),则的取值范围是.解析:∵()=-=(>),易知∈(,+∞)时为减函数,又(+)<(-),∴(\\(+>,->,+>-,))解得(\\(>-,<,>,))∴<<.答案:().(·金陵中学检测)已知函数()=-++(∈)是偶函数,且()在(,+∞)上单调递增.() 求的值,并确定()的解析式;()()=[--()],求()的定义域和值域.解:()因为()在(,+∞)单调递增,由幂函数的性质得-++>,解得-<<.因为∈,所以=或=.当=时,()=不是偶函数;当=时,()=是偶函数,所以=,()=.()由()知()=,由--+>,得-<<,所以()的定义域为(-).设=--+,∈(-),则∈(],。
课时跟踪检测(八) 二次函数与幕函数一抓基础,多练小题做到眼疾手快1. ________________________________________________________________________ (2018清河中学检测)已知幕函数f(x)= k x"的图象过点 *,右2,则k+ a=________________________ .解析:由幕函数的定义知k = 1.又哙F豎,所以£「=¥,解得a=1,从而k + a= 3.答案:32. ___________ (2019连云港调研)若函数f(x)=—x2+ 2(a—1)x+ 2在(―汽4)上为增函数,则a的取值范围是 ____ .解析:T f(x)=—x2+ 2(a —1)x+ 2 的对称轴为x= a —1,f(x)=—x2+ 2(a—1)x+ 2 在(一8, 4)上为增函数,.•.对称轴x= a—1》4,「. a》5.答案:[5,+s )3. (2018淮阴模拟)已知函数f(x)= x2—m是定义在区间[—3—m, m2—m]上的奇函数,贝V f(m), f(0)的大小关系为_________ .解析:因为函数f(x)是奇函数,所以—3—m + m2—m= 0,解得m= 3或—1.当m= 3时,函数f(x) = x—1,定义域不是[—6,6],不合题意;当m=—1时,函数f(x) = x3在定义域[—2,2]上单调递增,又m v0,所以f(m)v f(0).答案:f(m)v f(0)4. 已知函数f(x) = x2+ x + m,若|f(x)|在区间[0,1]上单调,则实数m的取值范围为解析:因为f(x)= x2+ x+ m,且|f(x)|在区间[0,1]上单调,所以f(x)在[0,1]上满足f(0) f(1) > 0,即m(1 + 1 + m)> 0,解得m> 0 或m< —2.答案:(一8,—2]U [0,+8 )5. 若二次函数f(x)= —x2+ 4x +1图象的顶点在x轴上,则t= _______________ .解析:由于f(x)=—x2+ 4x+ t=—(x —2)2+ t+ 4图象的顶点在x轴上,所以f(2) = t+ 4= 0,所以t=—4.答案:—46. _____________ (2019杭州测试)若函数f(x) = x2—2x+ 1在区间[a, a+ 2]上的最小值为4,则实数a 的取值集合为.解析:因为函数f(x) = x2—2x + 1 = (x —1)2的图象的对称轴为直线x = 1, f(x)在区间[a, a + 2]上的最小值为4,所以当a> 1 时,f(x)min = f(a) = (a—1)2= 4, a=—1(舍去)或a= 3; 当a + 2w 1,即卩a w —1 时,f(x)min = f(a + 2) = (a+ 1)? = 4, a= 1(舍去)或a= —3;当a v 1v a+ 2,即一1v a v 1 时,f(x)min= f(1) = 0工4.故a的取值集合为{—3,3}.答案:{ —3,3}二保咼考,全练题型做到咼考达标11. (2019海安中学检测)已知幕函数f(x) = x“,其中応,一2, —1, ^,1, 2, 3 :则使f(x)为奇函数,且在区间(0 ,+^ )上是单调增函数的a的取值集合为_________ .解析:若幕函数f(x)为奇函数,贝y a=—1,1,3 ,又f(x)在区间(0 , +8 )上是单调增函数,所以a 的取值集合为{1,3}.答案:{1,3}i>m2 4 i*m2. (2019武汉调研)已知幕函数f(x)= x m(m€ Z)的图象关于y轴对称,且在区间(0,+ m)上为减函数,则m的值为___________ .解析:T幕函数f(x) = x m 4m (m€ Z)在区间(0, + )上为减函数,/• m2—4m v 0,解得0 v m v 4.又m€ Z,/• m= 1 或m= 2 或m = 3.当m= 1时,f(x)= x—3,图象不关于y轴对称;当m= 2时,f(x) = x—4,图象关于y轴对称;当m= 3时,f(x)= x—3,图象不关于y轴对称.综上,m的值为2.答案:23. 若关于x的不等式x2—4x—2—a>0在区间(1,4)内有解,则实数a的取值范围是解析:不等式x2—4x—2—a> 0在区间(1,4)内有解等价于a v (x2—4x —2)max,令f(x) = x2—4x—2, x€ (1,4),所以f(x)v f(4) = —2,所以a v —2.答案:(—a, —2)4. (2018泰州中学调研)已知f(x)是定义在R上的奇函数,当x v 0时,f(x)= x —2x+ 1, 不等式f(x2—3) > f(2x)的解集为______________ .解析:根据题意,f(x)是定义在R上的奇函数,则有f(0) = 0,当x v 0时,f(x)= x2—2x+ 1= (x—1)2为减函数,则当x > 0时,f(x)也为减函数,综上可得f(x)在R上为减函数,若f(x2—3)>f(2x),则有x2—3 v 2x,解得一1 v x v 3,即不等式f(x2—3) >f(2x)的解集为(—1,3).(常数a€ Z )为偶函数,且在(0,+^ )上是单调递减函数,则的值为 ________ .解析:根据幕函数的性质,要使函数 f(x )为偶函数,且在(0 ,+^)上是单调递减函数,则a — 2 a — 3为偶数,且a 2 - 2 a — 3 V 0 ,解不等式可得一 1V aV 3.因为a€ Z,所以a= 0,1,2. 当a= 0时,a 2 — 2 a — 3=— 3,不满足条件;当 a= 1时,a — 2 a — 3=— 4,满足条件;当 a =2时,a 2 — 2 a — 3 =— 3,不满足条件,所以a= 1. 答案:16.若函数 y = x 2— 3x — 4的定义域为[0, m ],值域为 解析:二次函数图象的对称轴为=—4,由图得 m € 3, 3 .答案:3 37.对于任意实数x ,函数f(x)= (5 — a)x 2— 6x + a + 5恒为正值,则 a 的取值范围是 解析:由题意可得 5 — a > 0, △= 36 — 4 5 — a ia + 5 v 0, 解得— 4V a v 4. 答案: (—4,4)8.(2019南通一调)若函数f(x)= ax 2 + 20x + 14(a > 0)对任意实数 t ,在闭区间[t — 1, t + 1]上总存在两实数X 1, x 2,使得|f(X 1) — f (x 2)|》8成立,则实数a 的最小值为 __________ .解析:由题意可得,当 x € [t — 1, t + 1]时,[f(x)max — f(x)min ]min 》8,当[t — 1 , t + 1]关于 对称轴对称时,f(x)max — f(x)min 取得最小值,即 f(t + 1)— f(t)= 2at + a + 20> 8, f(t — 1) — f(t) =—2at + a — 20>8,两式相加,得 a >8,所以实数a 的最小值为8.答案:89. 已知幕函数 f(x)= x (m2+ m)1(m € N *).(1)试确定该函数的定义域,并指明该函数在其定义域上的单调性.⑵若该函数f(x)的图象经过点(2,2),试确定 m 的值,并求满足条件 f(2 — a)>f(a — 1)的实数a 的取值范围.解:⑴因为m 2+ m = m(m + 1)(m € Nf),而m 与m + 1中必有一个为偶数, 答案:(一1,3)5.若函数f(x) = x 25,— 4,贝U m 的取值范围是25 4,f(3) = f(0)所以m2+ m为偶数,2 | .— 1 *所以函数f(x) = x(m m (m€ N )的定义域为[0,+^),并且该函数在[0,+ 8)上为增函数.(2)因为函数f(x)的图象经过点(2, 2),1所以2= 2(m2+町1,即22= 2(m2+ m)—1,所以m2+ m= 2,解得m = 1或m=—2.1_* "T又因为m€ N ,所以m = 1, f(x) = x2.又因为f(2 —a) >f(a—1),2 —a> 0,所以“—1》0, 解得1w a v3,2—a > a—1,故函数f(x)的图象经过点(2, 2)时,m= 1.满足条件f(2 —a)>f(a—1)的实数a的取值范围为1, 3 4/210. (2019 •东检测)已知a€ R,函数f(x)= x —2ax+ 5.(1) 若a> 1,且函数f(x)的定义域和值域均为[1, a,求实数a的值;_1 112⑵若不等式x|f(x)—x |< 1对x € J, 2恒成立,求实数a的取值范围.解:(1)因为f(x) = x2—2ax + 5的图象的对称轴为x = a(a> 1),所以f(x)在[1, a]上为减函数,所以f(x)的值域为[f(a), f(1)].又已知值域为[1, a],f a = a—2a? + 5 = *1,所以|f(1 = 1 —2a+ 5 = a,解得a = 2.15 1 52(2) 由x|f(x)—x |< 1,得-应+ 旷a w 2?+計)1令-=t, t€ [2,3],则(*)可化为—护+ a w护+记g(t)=-;t2+ ;t=_1t—2 2+眷则g(t)max= g 5= 25所以a> 25;记h(t) 12+ 5 ^^5X2 25则 h(t)min = h(2) = 7,所以 a w 7, 综上所述,25 w a w 7. 所以实数a 的取值范围是25, 7 I 三上台阶,自主选做志在冲刺名校 1. (2019金陵中学期中)设f(x)与g(x)是定义在同一区间[a ,b ]上的两个函数,若函数 y =f(x)— g(x)在[a , b ]上有两个不同的零点,则称 f(x)与 g(x)在[a , b ]上是"关联函数”,区 间[a,b ]称为f(x)与g(x)的"关联区间”.若f(x)= -x 3 — x 2 — x 与g(x)= 2x + b 的"关联区间” 3 是[—3,0],贝U b 的取值范围是 _____ . 1 解析:由题意设 m(x) = f(x)— g(x)= §x 3— x 2— 3x — b , 贝U m ' (x)= x 2— 2x — 3, 由 m ' (x)= 0,得 m =— 1 或 m = 3. ••• f(x)与 g(x)在[—3,0]上是“关联函数”, ••• x =— 1是函数m(x)在[—3,0]上的极大值,同时也是最大值. 要使m(x)= f(x)— g(x)在 [ — 3,0]上有两个不同的零点, —b w 0, 5 5 即 5— b > 0, 解得 0w b v 5,3 3 —9 — b w 0,答案:),3) 22. (2019泰州中学检测)已知函数f(x)= x + (x — 1) |x — a|.(1)若a =— 1,求满足f(x) = 1的x 的取值集合;⑵若函数f(x)在 R 上单调递增,求实数 a 的取值范围;⑶若a v 1且不等式f(x) > 2x — 3对一切实数x € R 恒成立,求a 的取值范围.2x 2— 1, x > — 1, 解:(1)当 a =— 1 时,有 f(x) —1 x v — 1.当 x > — 1 时,令 2x 2— 1 = 1,解得 x = 1 或 x =— 1;当x v — 1时,f(x) = 1恒成立,• x 的取值集合为{x|x w — 1或x = 1}.2x 2 — a + 1 x + a , x > a ,⑵ f(x)= 一 m 0 w 0,则 m — 1 >0,m — 3 w 0,故b 的取值范围是5.a+ 1 x —a, x v a,若f(x)在R上单调递增,且f(x)是连续的,a+1< a, 1则有4解得a> 1,a+ 1 > 0,即实数a的取值范围是3+ R /(3)设g(x)= f(x)- (2x —3),厂22x —(a+ 3 x+ a + 3, x>a,则g(x)= < * ‘(a —1 ^—a+ 3, x v a.若不等式ax)》0对一切实数x € R恒成立,则当x v a时,T a v 1,「. g(x)单调递减,其值域为(a2—2a + 3,+ ).a —2a + 3= (a —1) + 2> 2,.°. g(x)》0 恒成立.2当x> a 时,T a v 1,「. a v-4- ,「. g(x)min= g'=a+ 3 —~~8~》0,得一3w a w 5. a v 1, ——3w a v 1,综上,a的取值范围是[—3,1).记h(t) = 2t+2t= 2芯+ 2厂8 ,。
课时跟踪检测(十二) 二次函数与幕函数一抓基础,多练小题做到眼疾手快1幕函数y= f(x)经过点(3, 3),则f(x)是()A•偶函数,且在(0,+^ )上是增函数B. 偶函数,且在(0,+^ )上是减函数C .奇函数,且在(0 ,+^ )上是减函数D •非奇非偶函数,且在(0,+^ )上是增函数解析:选D 设幕函数的解析式为y= x a,将(3, 3)代入解析式得3 a= 3,解得1a 2,所以y= x2 .故选D.2. (2018丽水调研股函数f(x) = ax2+ bx+ c(a^ 0, x € R),对任意实数t都有f(2 + t)= f(2-1)成立,在函数值f( —1), f(1), f(2), f(5)中,最小的一个不可能是()A. f(—1)B. f(1)C. f(2)D. f(5)解析:选B 由f(2 + t)= f(2 —t)知函数y= f(x)的图象对称轴为x = 2.当a>0时,易知f(5) = f(—1) > f(1) > f(2);当a v 0 时,f(5) = f(—1) v f(1) v f(2),故最小的不可能是f(1).3. (2018金华模拟)已知幕函数y= f(x)的图象经过点2, 4,则它的单调递增区间为( )A. (0,+^ )B. [0,+^ )C.(―汽0)D. ( — m,+m )解析:选C设幕函数f(x)=x a,••• f(x)的图象经过点2, 1 ,••• 2a= 1,解得a= —2,则f(x) = x—2= 4,且X M 0,••• y= x2在(—s, 0)上递减,在(0,+ s)上递增,•函数f(x)的单调递增区间是(一s, 0).4. 定义:如果在函数y= f(x)定义域内的给定区间[a , b]上存在x o(a v x o< b),满足f(x。
) =f[一fa,则称函数y= f(x)是[a , b]上的“平均值函数”,x°是它的一个均值点,如yb—a=x4是[—1,1]上的平均值函数,0就是它的均值点. 现有函数f(x) = —x2+ mx+ 1是[—1,1]上的平均值函数,则实数m的取值范围是____________ .解析:因为函数f(x)=—x2+ mx+ 1是[—1,1]上的平均值函数,设X 0为均值点,所以X 。
课时跟踪检测(十) 幂函数1.若幂函数y =f (x )的图象过点(4,2),则f (8)的值为( )A .4B. 2 C .2 2 D .1解析:选C 设f (x )=x n ,由条件知f (4)=2,所以2=4n ,n =12,所以f (x )=x 12,f (8)=812=2 2.2.若幂函数f (x )=x k 在(0,+∞)上是减函数,则k 可能是( )A .1B .2 C.12 D .-1 解析:选D 由幂函数的性质得k <0,故选D.3.已知幂函数f (x )=(m 2-3m +3)x m+1为偶函数,则m =( ) A .1B .2C .1或2D .3解析:选A ∵函数f (x )为幂函数,∴m 2-3m +3=1,即m 2-3m +2=0,解得m =1或m =2.当m =1时,幂函数f (x )=x 2为偶函数,满足条件;当m =2时,幂函数f (x )=x 3为奇函数,不满足条件.故选A.4.(2018·邢台期末)已知幂函数f (x )的图象过点⎝⎛⎭⎫2,14,则函数g (x )=f (x )+x 24的最小值为( )A .1B .2C .4D .6 解析:选A 设幂函数f (x )=x α.∵f (x )的图象过点⎝⎛⎭⎫2,14,∴2α=14,解得α=-2. ∴函数f (x )=x -2,其中x ≠0.∴函数g (x )=f (x )+x 24=x -2+x 24=1x 2+x 24≥21x 2·x 24=1, 当且仅当x =±2时,g (x )取得最小值1.5.(2019·安徽名校联考)幂函数y =x |m -1|与y =x 23-m m (m ∈Z)在(0,+∞)上都是增函数,则满足条件的整数m 的值为( )A .0B .1和2C .2D .0和3解析:选C 由题意可得⎩⎪⎨⎪⎧ |m -1|>0,3m -m 2>0,m ∈Z ,解得m =2.6.已知a =345,b =425,c =1215,则a ,b ,c 的大小关系为( )A .b <a <cB .a <b <cC .c <b <aD .c <a <b 解析:选C 因为a =8115,b =1615,c =1215,由幂函数y =x 15在(0,+∞)上为增函数,知a >b >c ,故选C.7.设x =0.20.3,y =0.30.2,z =0.30.3,则x ,y ,z 的大小关系为( )A .x <z <yB .y <x <zC .y <z <xD .z <y <x解析:选A 由函数y =0.3x 在R 上单调递减,可得y >z .由函数y =x 0.3在(0,+∞)上单调递增,可得x <z .所以x <z <y .8.已知幂函数f (x )=(m -1)2x 242-+m m 在(0,+∞)上单调递增,函数g (x )=2x -k ,当x ∈[1,2)时,记f (x ),g (x )的值域分别为集合A ,B ,若A ∪B =A ,则实数k 的取值范围是( )A .(0,1)B .[0,1)C .(0,1]D .[0,1]解析:选D ∵f (x )是幂函数,∴(m -1)2=1,解得m =2或m =0.若m =2,则f (x )=x -2在(0,+∞)上单调递减,不满足条件.若m =0,则f (x )=x 2在(0,+∞)上单调递增,满足条件,即f (x )=x 2.当x ∈[1,2)时,f (x )∈[1,4),即A =[1,4);当x ∈[1,2)时,g (x )∈[2-k,4-k ),即B =[2-k,4-k ).∵A ∪B =A ,∴B ⊆A ,∴2-k ≥1且4-k ≤4,解得0≤k ≤1.9.若f (x )是幂函数,且满足f (9)f (3)=2,则f ⎝⎛⎭⎫19=________. 解析:设f (x )=x α,∵f (9)f (3)=9α3α=3α=2,∴f ⎝⎛⎭⎫19=⎝⎛⎭⎫19α=⎝⎛⎭⎫132α=132α=122=14.答案:1410.已知函数f (x )=(m 2-m -5)x m 是幂函数,且在(0,+∞)上为增函数,则实数m 的值是________.解析:由f (x )=(m 2-m -5)x m 是幂函数⇒m 2-m -5=1⇒m =-2或m =3.又f (x )在(0,+∞)上是增函数,所以m =3.答案:311.当0<x <1时,f (x )=x 2,g (x )=x 12,h (x )=x -2,则f (x ),g (x ),h (x )的大小关系是________________.解析:分别作出y =f (x ),y =g (x ),y =h (x )的图象如图所示,可知h (x )>g (x )>f (x ).答案:h (x )>g (x )>f (x )12.(2019·银川模拟)已知幂函数f (x )=x12-,若f (a +1)<f (10-2a ),则a 的取值范围是________.解析:由题意得,幂函数f (x )=x -12的定义域为(0,+∞),且函数f (x )在(0,+∞)上单调递减,由f (a +1)<f (10-2a ),得⎩⎪⎨⎪⎧ a +1>10-2a ,a +1>0,10-2a >0,解得3<a <5. 答案:(3,5)13.已知幂函数f (x )=x()21-+m m (m ∈N *)的图象经过点(2,2). (1)试确定m 的值;(2)求满足条件f (2-a )>f (a -1)的实数a 的取值范围.解:(1)∵幂函数f (x )的图象经过点(2,2), ∴2=2()21-+m m ,即212=2()21-+m m .∴m 2+m =2,解得m =1或m =-2.又∵m ∈N *,∴m =1.(2)由(1)知f (x )=x 12,则函数的定义域为[0,+∞),并且在定义域上为增函数.由f (2-a )>f (a -1),得⎩⎪⎨⎪⎧ 2-a ≥0,a -1≥0,2-a >a -1,解得1≤a <32. ∴a 的取值范围为⎣⎡⎭⎫1,32.。
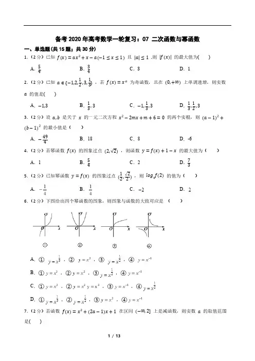
备考2020年高考数学一轮复习:07 二次函数与幂函数一、单选题(共15题;共30分)1.(2分)已知f(x)=ax2+x−a(−1≤x≤1)且|a|≤1,则|f(x)|的最大值为()A.54B.34C.3D.12.(2分)已知a∈{−1,2,12,3,13},若f(x)=x a为奇函数,且在(0,+∞)上单调递增,则实数a的值是()A.−1,3B.13,3C.−1,13,3D.13,12,33.(2分)设a,b是关于x的一元二次方程x2−2mx+m+6=0的两个实根,则(a−1)2+ (b−1)2的最小值是()A.−494B.18C.8D.-64.(2分)若幂函数f(x)的图象过点(2,√2),则函数y=f(x)+1−x的最大值为()A.1B.54C.2D.735.(2分)已知幂函数y=f(x)的图象过点(12,√22),则log4f(2)的值为()A.B.C.D.6.(2分)下图给出四个幂函数的图象,则图象与函数的大致对应是()A.①,②,③,④B.①,②,③,④C.①,②,③,④D.①,②,③,④7.(2分)若函数f(x)=x2+(2a−1)x+1在区间(−∞,2]上是减函数,则实数a的取值范围是()A.B.C.D.8.(2分)已知幂函数f(x)=xα(α∈R)的图象过点(16,2),若f(m)=3,则实数m的值为()A.9B.12C.27D.819.(2分)已知二次函数f(x)=x2+bx+c(b∈R,c∈R),M,N分别是函数f(x)在区间[−1,1]上的最大值和最小值,则M−N的最小值()A.B.C.D.10.(2分)已知幂函数f(x)=(n2+2n-2)x n2-3n(n∈Z)的图象关于y轴对称,且在(0,+∞)上是减函数,则n的值为()A.-3B.1C.2D.1或211.(2分)若(a+1)−12<(3−2a)−12,则a的取值范围是()A.B.C.D.12.(2分)已知函数f(x)=(x−a)(x−b)(其中a>b)的图象如图所示,则函数g(x)=a x+b的图象大致是()A.B..C.D.13.(2分)幂函数的图象过点(2,8), 则它的单调递增区间是()A.(0,+∞)B.[0,+∞)C.(−∞,0)D.(−∞,+∞) 14.(2分)设a=1.212,b=0.912,c=1.112它们的大小关系是()A.c<a<b B.a<c<b C.b<a<c D.c<b<a15.(2分)已知函数f(x)=(m2−m−1)x m2−4m+3是幂函数,且其图像与y轴没有交点,则实数m=()A.或B.C.D.二、填空题(共5题;共6分)16.(1分)已知幂函数y=f(x)的图象过点(2,√22),则此函数的解析式为.17.(1分)若函数f(x)=x2−x+1+alnx在(0,+∞)上单调递增,则实数a的最小值是.18.(1分)已知幂函数y=x m2−9( m∈N∗)的图象关于y轴对称,且在x∈(0,+∞)上是减函数,则m=.19.(1分)设α∈{13,12,−1,−2,3},若f(x)=xα为偶函数,则α=.20.(2分)已知二次函数f(x)=x2+mx−3的两个零点为1和n,则n=;若f(a)≤f(3),则a的取值范围是.三、解答题(共5题;共55分)21.(10分)已知函数g(x)=ax2−2ax+1+b(a>0)在区间[2,3]上有最大值4和最小值1,设f(x)=g(x)x.(1)(5分)求a,b的值;(2)(5分)若不等式f(2x)−k⋅2x≥0在区间[−1,1]上恒成立,求实数k的取值范围. 22.(10分)函数f(x)=kx+b,(k≠0),x∈R(1)(5分)若f(−1)=1,f(1)=5,求f(x).(2)(5分)若b=3,且函数f(x)在区间[−1,3]上的最大值为6,求k的值. 23.(10分)已知二次函数f(x)满足条件f(0)=1,f(x+1)−f(x)=2x.(1)(5分)求f(x)的解析式;(2)(5分)求f(x)在区间[−1,1]上的最值.24.(10分)如图,ABCD是块边长为100 m的正方形地皮,其中扇形AST是一半径为90 m的扇形小山,其余部分都是平地,一开发商想在平地上建一个矩形停车场,使矩形的一个顶点P在弧ST⃗⃗⃗⃗⃗上,相邻两边CQ、CR落在正方形的边BC、CD上。
课时跟踪检测(八) 二次函数与幂函数(一)普通高中适用作业A 级——基础小题练熟练快1.幂函数y =f (x )经过点(3,3),则f (x )是( ) A .偶函数,且在(0,+∞)上是增函数 B .偶函数,且在(0,+∞)上是减函数 C .奇函数,且在(0,+∞)上是减函数 D .非奇非偶函数,且在(0,+∞)上是增函数解析:选D 设幂函数的解析式为y =x α,将(3,3)代入解析式得3α=3,解得α=12,∴y =x 12,其是非奇非偶函数,且在(0,+∞)上是增函数. 2.已知幂函数f (x )=(m 2-3m +3)xm +1为偶函数,则m =( )A .1B .2C .1或2D .3解析:选A ∵函数f (x )为幂函数,∴m 2-3m +3=1,即m 2-3m +2=0,解得m =1或m =2.当m =1时,幂函数f (x )=x 2为偶函数,满足条件.当m =2时,幂函数f (x )=x 3为奇函数,不满足条件.故选A.3.函数f (x )=2x 2-mx +3,当x ∈[-2,+∞)时,f (x )是增函数,当x ∈(-∞,-2]时,f (x )是减函数,则f (1)的值为( )A .-3B .13C .7D .5解析:选B 函数f (x )=2x 2-mx +3图象的对称轴为x =m4,由函数f (x )的增减区间可知m4=-2,所以m =-8,即f (x )=2x 2+8x +3,所以f (1)=2+8+3=13. 4.(2018·安阳模拟)下列选项正确的是( ) A .0.20.2>0.30.2B .2-13<3-13C .0.8-0.1>1.250.2D .1.70.3>0.93.1解析:选D A 中,∵函数y =x 0.2在(0,+∞)上为增函数,0.2<0.3,∴0.20.2<0.30.2,故A 不正确;B 中,∵函数y =x -13在(0,+∞)上为减函数,∴2-13>3-13,故B 不正确;C 中,∵0.8-1=1.25,y =1.25x在R 上是增函数,0.1<0.2,∴1.250.1<1.250.2,即0.8-0.1<1.250.2,故C 不正确;D 中,1.70.3>1,0.93.1<1,∴1.70.3>0.93.1,故选D.5.已知a ,b ,c ∈R ,函数f (x )=ax 2+bx +c .若f (0)=f (4)>f (1),则( ) A .a >0,4a +b =0 B .a <0,4a +b =0 C .a >0,2a +b =0D .a <0,2a +b =0解析:选A 由f (0)=f (4),得f (x )=ax 2+bx +c 图象的对称轴为x =-b2a =2,∴4a+b =0,又f (0)>f (1),f (4)>f (1),∴f (x )先减后增,于是a >0,故选A.6.若函数f (x )=(1-x 2)(x 2+ax -5)的图象关于直线x =0对称,则f (x )的最大值是( )A .-4B .4C .4或-4D .不存在解析:选B 依题意,函数f (x )是偶函数,则y =x 2+ax -5是偶函数,故a =0,f (x )=(1-x 2)(x 2-5)=-x 4+6x 2-5=-(x 2-3)2+4,当x 2=3时,f (x )取得最大值4.7.若函数f (x )=(x +a )(bx +2a )(常数a ,b ∈R)是偶函数,且它的值域为(-∞,4],则该函数的解析式f (x )=________.解析:f (x )=bx 2+(ab +2a )x +2a 2.由已知条件ab +2a =0,又f (x )的值域为(-∞,4],则⎩⎪⎨⎪⎧a ≠0,b =-2,2a 2=4.因此f (x )=-2x 2+4.答案:-2x 2+48.已知二次函数y =f (x )的顶点坐标为⎝ ⎛⎭⎪⎫-32,49,且方程f (x )=0的两个实根之差等于7,则此二次函数的解析式是________.解析:设f (x )=a ⎝ ⎛⎭⎪⎫x +322+49(a ≠0),方程a ⎝ ⎛⎭⎪⎫x +322+49=0的两个实根分别为x 1,x 2,则|x 1-x 2|=2-49a=7,所以a =-4,所以f (x )=-4x 2-12x +40. 答案:f (x )=-4x 2-12x +409.当0<x <1时,f (x )=x 2,g (x )=x 12,h (x )=x -2,则f (x ),g (x ),h (x )的大小关系是________________.解析:分别作出f (x ),g (x ),h (x )的图象如图所示, 可知h (x )>g (x )>f (x ).答案:h (x )>g (x )>f (x )10.如果存在实数x ,使得关于x 的不等式ax 2-4x +a -3<0成立,则实数a 的取值范围是______________.解析:当a =0时,原不等式变为-4x -3<0, 解得x >-34,显然成立.当a >0时,需Δ=(-4)2-4a (a -3)>0, 即a 2-3a -4<0,解得0<a <4, 当a <0时,显然成立,综上可知,实数a 的取值范围是(-∞,4). 答案:(-∞,4)B 级——中档题目练通抓牢1.若函数y =x 2-3x -4的定义域为[0,m ],值域为⎣⎢⎡⎦⎥⎤-254,-4,则m 的取值范围是( )A .[0,4]B.⎣⎢⎡⎦⎥⎤32,4C.⎣⎢⎡⎭⎪⎫32,+∞ D.⎣⎢⎡⎦⎥⎤32,3解析:选D二次函数图象的对称轴为x =32,且f ⎝ ⎛⎭⎪⎫32=-254,f (3)=f (0)=-4,结合函数图象(如图所示)可得m ∈⎣⎢⎡⎦⎥⎤32,3.2.如图是二次函数y =ax 2+bx +c 图象的一部分,图象过点A (-3,0),对称轴为x =-1.给出下面四个结论:①b 2>4ac ;②2a -b =1;③a -b +c =0;④5a <b . 其中正确的是( ) A .②④ B .①④ C .②③D .①③解析:选B 因为图象与x 轴交于两点,所以b 2-4ac >0,即b 2>4ac ,①正确. 对称轴为x =-1,即-b2a =-1,2a -b =0,②错误.结合图象,当x =-1时,y >0,即a -b +c >0,③错误.由对称轴为x =-1知,b =2a .又函数图象开口向下,所以a <0,所以5a <2a ,即5a <b ,④正确.3.已知函数f (x )=ax 2+bx +c ,且a >b >c ,a +b +c =0,则( ) A .∀x ∈(0,1),都有f (x )>0 B .∀x ∈(0,1),都有f (x )<0 C .∃x 0∈(0,1),都有f (x 0)=0 D .∃x 0∈(0,1),都有f (x 0)>0解析:选B 由a >b >c ,a +b +c =0,可知a >0,c <0. 抛物线开口方向向上,因为f (0)=c <0,f (1)=a +b +c =0, 即1是方程ax 2+bx +c =0的一个根, 所以∀x ∈(0,1),都有f (x )<0.故选B. 4.(2017·山西一模)已知函数f (x )=x 2-m是定义在区间[ -3-m ,m 2-m ]上的奇函数,则f (m )=________.解析:由题意得m 2-m =3+m ,即m 2-2m -3=0, ∴m =3或m =-1.当m =3时,f (x )=x -1,[-3-m ,m 2-m ]为[-6,6],f (x )在x =0处无意义,故舍去.当m =-1时,f (x )=x 3,[-3-m ,m 2-m ]为[-2,2],满足题意,∴f (m )=f (-1)=(-1)3=-1.答案:-15.已知f (x )=x 2+2(a -2)x +4,如果对x ∈[-3,1],f (x )>0恒成立,则实数a 的取值范围为________.解析:因为f (x )=x 2+2(a -2)x +4,对称轴为x =-(a -2), 对x ∈[-3,1],f (x )>0恒成立,所以⎩⎪⎨⎪⎧-a -<-3,f ->0,或⎩⎪⎨⎪⎧-3≤-a -,Δ<0,或⎩⎪⎨⎪⎧-a ->1,f >0,解得a ∈∅或1≤a <4或-12<a <1,所以实数a 的取值范围为⎝ ⎛⎭⎪⎫-12,4. 答案:⎝ ⎛⎭⎪⎫-12,4 6.已知函数f (x )=x 2+(2a -1)x -3.(1)当a =2,x ∈[-2,3]时,求函数f (x )的值域; (2)若函数f (x )在[-1,3]上的最大值为1,求实数a 的值. 解:(1)当a =2时,f (x )=x 2+3x -3,x ∈[-2,3], 对称轴为x =-32∈[-2,3],∴f (x )min =f ⎝ ⎛⎭⎪⎫-32=94-92-3=-214,f (x )max =f (3)=15,∴函数f (x )的值域为⎣⎢⎡⎦⎥⎤-214,15.(2)∵函数f (x )的对称轴为x =-2a -12.①当-2a -12≤1,即a ≥-12时,f (x )max =f (3)=6a +3,∴6a +3=1,即a =-13,满足题意;②当-2a -12>1,即a <-12时,f (x )max =f (-1)=-2a -1,∴-2a -1=1,即a =-1,满足题意. 综上可知,a =-13或-1.7.已知函数f (x )=ax 2-2ax +2+b (a ≠0),若f (x )在区间[2,3]上有最大值5,最小值2.(1)求a ,b 的值;(2)若b <1,g (x )=f (x )-mx 在[2,4]上单调,求m 的取值范围. 解:(1)f (x )=a (x -1)2+2+b -a . 当a >0时,f (x )在[2,3]上为增函数,故⎩⎪⎨⎪⎧ f =5,f =2⇒⎩⎪⎨⎪⎧ 3a +2+b =5,2+b =2⇒⎩⎪⎨⎪⎧a =1,b =0.当a <0时,f (x )在[2,3]上为减函数, 故⎩⎪⎨⎪⎧f =2,f=5⇒⎩⎪⎨⎪⎧3a +2+b =2,2+b =5⇒⎩⎪⎨⎪⎧a =-1,b =3.故当a >0时,a =1,b =0,当a <0时,a =-1,b =3. (2)∵b <1,∴a =1,b =0,即f (x )=x 2-2x +2.g (x )=x 2-2x +2-mx =x 2-(2+m )x +2,∵g (x )在[2,4]上单调,∴2+m 2≤2或m +22≥4.∴m ≤2或m ≥6.故m 的取值范围为(-∞,2]∪[6,+∞). C 级——重难题目自主选做1.(2018·合肥质检)函数f (x )=-x 2+3x +a ,g (x )=2x -x 2,若f (g (x ))≥0对x ∈[0,1]恒成立,则实数a 的取值范围是( )A .[-e ,+∞)B .[-ln 2,+∞)C .[-2,+∞)D.⎝ ⎛⎦⎥⎤-12,0解析:选C 如图所示,在同一坐标系中画出y =x 2+1,y =2x,y =x 2+32的图象,由图象可知,在[0,1]上,x 2+1≤2x <x 2+32恒成立,即1≤2x -x 2<32,当且仅当x =0或x =1时等号成立,∴1≤g (x )<32,∴f (g (x ))≥0⇒f (1)≥0⇒-1+3+a ≥0⇒a ≥-2,即实数a 的取值范围是[-2,+∞),故选C.2.设f (x )与g (x )是定义在同一区间[a ,b ]上的两个函数,若函数y =f (x )-g (x )在x ∈[a ,b ]上有两个不同的零点,则称f (x )和g (x )在[a ,b ]上是“关联函数”,区间[a ,b ]称为“关联区间”.若f (x )=x 2-3x +4与g (x )=2x +m 在[0,3]上是“关联函数”,则m 的取值范围为________.解析:由题意知,y =f (x )-g (x )=x 2-5x +4-m 在[0,3]上有两个不同的零点.在同一直角坐标系下作出函数y =m 与y =x 2-5x +4(x ∈[0,3])的图象如图所示,结合图象可知,当x ∈[2,3]时,y =x 2-5x +4∈⎣⎢⎡⎦⎥⎤-94,-2,故当m ∈⎝ ⎛⎦⎥⎤-94,-2时,函数y =m 与y =x 2-5x +4(x ∈[0,3])的图象有两个交点.答案:⎝ ⎛⎦⎥⎤-94,-2。
课时跟踪检测(九) 二次函数与幂函数[A 级 基础题——基稳才能楼高]1.(2019·绵阳模拟)幂函数y =(m 2-3m +3)x m 的图象过点(2,4),则m =( ) A .-2 B .-1 C .1D .2解析:选D ∵幂函数y =(m 2-3m +3)x m的图象过点(2,4),∴⎩⎪⎨⎪⎧m 2-3m +3=1,2m =4,解得m =2.故选D.2.若函数f (x )=x 2-2x +m 在[3,+∞)上的最小值为1,则实数m 的值为( ) A .-3 B .2 C .-2D .1解析:选C 函数f (x )=x 2-2x +m 图象的对称轴为x =1<3,二次函数图象的开口向上,所以f (x )在[3,+∞)上是增函数,因为函数f (x )=x 2-2x +m 在[3,+∞)上的最小值为1,所以f (3)=1,即9-6+m =1,解得m =-2,故选C.3.(2019·江西赣州厚德外国语学校阶段测试)幂函数y =f (x )的图象经过点(3,33),则f (x )是( )A .偶函数,且在(0,+∞)上是增函数B .偶函数,且在(0,+∞)上是减函数C .奇函数,且在(0,+∞)上是增函数D .非奇非偶函数,且在(0,+∞)上是减函数解析:选C 设f (x )=x a,将点(3,33)代入f (x )=x a,解得a =13,所以f (x )=x 13,可知函数f (x )是奇函数,且在(0,+∞)上是增函数,故选C.4.(2019·许昌四校联考)设a ,b 满足0<a <b <1,则下列不等式中正确的是( ) A .a a <a b B .b a <b b C .a a <b a D .b b <a b解析:选C D 中,幂函数y =x b (0<b <1)在(0,+∞)上为增函数, 又因为a <b ,所以b b >a b ,D 错误;A 中,指数函数y =a x (0<a <1)为减函数,因为a <b ,所以a a >a b ,所以A 错误;B 中,指数函数y =b x (0<b <1)为减函数,因为a <b ,所以b a >b b ,所以B 错误.故选C. 5.(2019·重庆三校联考)已知二次函数y =ax 2+bx +1的图象的对称轴方程是x =1,并且过点P (-1,7),则a ,b 的值分别是( )A .2,4B .-2,4C .2,-4D .-2,-4解析:选C ∵y =ax 2+bx +1的图象的对称轴方程是x =1, ∴-b2a=1. ① 又图象过点P (-1,7),∴a -b +1=7,即a -b =6, ② 联立①②解得a =2,b =-4,故选C.6.(2019·甘肃天水六校联考)若函数f (x )=x 2-3x -4的定义域为[0,m ],值域为⎣⎡⎦⎤-254,-4,则m 的取值范围是( ) A .(0,4] B.⎣⎡⎦⎤32,4 C.⎣⎡⎦⎤32,3D.⎣⎡⎭⎫32,+∞ 解析:选C f (x )=x 2-3x -4=⎝⎛⎭⎫x -322-254,所以f ⎝⎛⎭⎫32=-254.又f (0)=-4,所以由二次函数的图象可知,m 的最小值为32,最大值为3,所以m 的取值范围是⎣⎡⎦⎤32,3,故选C. [B 级 保分题——准做快做达标]1.(2019·衡水武邑中学开学考试)若存在非零的实数a ,使得f (x )=f (a -x )对定义域上任意的x 恒成立,则函数f (x )可能是( )A .f (x )=x 2-2x +1B .f (x )=x 2-1C .f (x )=2xD .f (x )=2x +1解析:选A 由存在非零的实数a ,使得f (x )=f (a -x )对定义域上任意的x 恒成立,可得函数图象的对称轴为x =a2≠0,只有f (x )=x 2-2x +1满足题意,而f (x )=x 2-1,f (x )=2x ,f (x )=2x +1都不满足题意,故选A.2.(2019·安徽名校联考)幂函数y =x |m -1|与y =x3m -m 2(m ∈Z)在(0,+∞)上都是增函数,则满足条件的整数m 的值为( )A .0B .1和2C .2D .0和3解析:选C 由题意可得⎩⎪⎨⎪⎧|m -1|>0,3m -m 2>0,m ∈Z ,解得m =2,故选C.3.(2019·浙江名校协作体考试)y =2ax 2+4x +a -1的值域为[0,+∞),则a 的取值范围是( )A .(2,+∞)B .(-∞,-1)∪(2,+∞)C .[-1,2]D .[0,2]解析:选D 当a =0时,y =4x -1,值域为[0,+∞),满足条件;当a ≠0时,要使y =2ax 2+4x +a -1的值域为[0,+∞),只需⎩⎪⎨⎪⎧a >0,Δ=16-8a (a -1)≥0,解得0<a ≤2.综上可知a 的取值范围为[0,2].4.(2019·河南天一大联考)已知点(m,8)在幂函数f (x )=(m -1)x n 的图象上,设a =f ⎝⎛⎭⎪⎫⎝⎛⎭⎫1312,b =f (ln π),c =f (2-12),则a ,b ,c 的大小关系为( ) A .a <c <b B .a <b <c C .b <c <aD .b <a <c解析:选A 因为f (x )=(m -1)x n 是幂函数,所以m -1=1,m =2,所以f (x )=x n .因为点(2,8)在函数f (x )=x n的图象上,所以8=2n⇒n =3.故f (x )=x 3.a =f ⎝ ⎛⎭⎪⎫⎝⎛⎭⎫1312=⎝⎛⎭⎫1332=133<1,b =f (ln π)=(ln π)3>1,c =f ⎝⎛⎭⎫2-12=2-32=122>a .故a ,b ,c 的大小关系是a <c <b .故选A. 5.已知y =f (x )是偶函数,当x >0时,f (x )=(x -1)2,若当x ∈⎣⎡⎦⎤-2,-12时,n ≤f (x )≤m 恒成立,则m -n 的最小值为( )A.13 B.12 C.34D .1解析:选D 当x <0时,-x >0,f (x )=f (-x )=(x +1)2,因为x ∈⎣⎡⎦⎤-2,-12,所以f (x )min =f (-1)=0,f (x )max =f (-2)=1,所以m ≥1,n ≤0,m -n ≥1.所以m -n 的最小值是1.6.(2019·湖北鄂东南联考)若幂函数y =x -1,y =x m 与y =x n 在第一象限内的图象如图所示,则m 与n 的取值情况为( )A .-1<m <0<n <1B .-1<n <0<mC .-1<m <0<nD .-1<n <0<m <1解析:选D 幂函数y =x α,当α>0时,y =x α在(0,+∞)上为增函数,且0<α<1时,图象上凸,∴0<m <1;当α<0时,y =x α在(0,+∞)上为减函数,不妨令x =2,根据图象可得2-1<2n ,∴-1<n <0,综上所述,选D.7.若(a +1) 12<(3-2a )12,则实数a 的取值范围是________. 解析:易知函数y =x 12的定义域为[0,+∞),在定义域内为增函数, 所以⎩⎪⎨⎪⎧a +1≥0,3-2a ≥0,a +1<3-2a ,解得-1≤a <23.答案:⎣⎡⎭⎫-1,23 8.(2019·马鞍山月考)已知二次函数f (x )是偶函数,且f (4)=4f (2)=16,则函数f (x )的解析式为________.解析:由题意可设函数f (x )=ax 2+c (a ≠0),则f (4)=16a +c =16,4f (2)=4(4a +c )=16a +4c =16,所以a =1,c =0,故f (x )=x 2.答案:f (x )=x 29.(2019·泉州质检)若二次函数f (x )=ax 2-x +b (a ≠0)的最小值为0,则a +4b 的取值范围为________.解析:由已知可得,a >0,且判别式Δ=1-4ab =0,即ab =14,∴b >0,∴a +4b ≥24ab=2( 当且仅当a =1,b =14时等号成立 ),即a +4b 的取值范围为[2,+∞).答案:[2,+∞)10.(2019·山西一模)已知函数f (x )=x 2-m是定义在区间[-3-m ,m 2-m ]上的奇函数,则f (m )=________.解析:由已知有-3-m +m 2-m =0, 即m 2-2m -3=0, ∴m =3或m =-1;当m =3时,函数f (x )=x -1,x ∈[-6,6],而f (x )在x =0处无意义,故舍去.当m =-1时,函数f (x )=x 3,此时x ∈[-2,2], ∴f (m )=f (-1)=(-1)3=-1. 综上可得,f (m )=-1. 答案:-111.(2019·成都诊断)已知函数f (x )=x 2+ax +3-a ,若x ∈[-2,2],f (x )≥0恒成立,求a 的取值范围.解:f (x )=⎝⎛⎭⎫x +a 22-a24-a +3,令f (x )在[-2,2]上的最小值为g (a ). (1)当-a2<-2,即a >4时,g (a )=f (-2)=7-3a ≥0,∴a ≤73.又a >4,∴a 不存在.(2)当-2≤-a2≤2,即-4≤a ≤4时,g (a )=f ⎝⎛⎭⎫-a 2=-a24-a +3≥0, ∴-6≤a ≤2.又-4≤a ≤4,∴-4≤a ≤2.(3)当-a2>2,即a <-4时,g (a )=f (2)=7+a ≥0,∴a ≥-7.又a <-4,∴-7≤a <-4.综上可知,a 的取值范围为[-7,2].12.已知函数f (x )=ax 2+bx +c (a >0,b ∈R ,c ∈R).(1)若函数f (x )的最小值是f (-1)=0,且c =1,F (x )=⎩⎪⎨⎪⎧f (x ),x >0,-f (x ),x <0,求F (2)+F (-2)的值;(2)若a =1,c =0,且|f (x )|≤1在区间(0,1]上恒成立,试求b 的取值范围. 解:(1)由已知c =1,a -b +c =0,且-b2a=-1, 解得a =1,b =2,∴f (x )=(x +1)2,∴F (x )=⎩⎪⎨⎪⎧(x +1)2,x >0,-(x +1)2,x <0. ∴F (2)+F (-2)=(2+1)2-(-2+1)2=8.(2)由题可知,f (x )=x 2+bx ,原命题等价于-1≤x 2+bx ≤1在(0,1]上恒成立, 即b ≤1x -x 且b ≥-1x -x 在(0,1]上恒成立.又1x -x 的最小值为0,-1x -x 的最大值为-2, ∴-2≤b ≤0,故b 的取值范围是[-2,0].[C 级 难度题——适情自主选做]1.(2019·衡水模拟)已知函数f (x )=-10sin 2x -10sin x -12,x ∈⎣⎡⎦⎤-π2,m 的值域为⎣⎡⎦⎤-12,2,则实数m 的取值范围是( )A.⎣⎡⎦⎤-π3,0 B.⎣⎡⎦⎤-π6,0C.⎣⎡⎦⎤-π3,π6D.⎣⎡⎦⎤-π6,π3 解析:选B 由题意得f (x )=-10⎝⎛⎭⎫sin 2x +sin x +14+2,x ∈⎣⎡⎦⎤-π2,m ,令t =sin x ,则f (x )=g (t )=-10( t +12 )2+2,令g (t )=-12,得t =-1或t =0,由g (t )的图象,可知当-12≤t ≤0时,f (x )的值域为⎣⎡⎦⎤-12,2,所以-π6≤m ≤0.故选B. 2.若a >b >1,0<c <1,则( ) A .a c <b c B .ab c <ba c C .a log b c <b log a cD .log a c <log b c解析:选C ∵y =x α,α∈(0,1)在(0,+∞)上是增函数, ∴当a >b >1,0<c <1时,a c >b c ,选项A 不正确. ∵y =x α,α∈(-1,0)在(0,+∞)上是减函数, ∴当a >b >1,0<c <1,即-1<c -1<0时, a c -1<b c -1,即ab c >ba c ,选项B 不正确.∵a >b >1,∴lg a >lg b >0,∴a lg a >b lg b >0, ∴a lg b >blg a.又∵0<c <1,∴lg c <0. ∴a lg c lgb <b lg clg a,∴a log b c <b log a c ,选项C 正确. 同理可证log a c >log b c ,选项D 不正确.3.已知函数f (x )=-x 2+2ax +1-a 在区间[0,1]上的最大值为2,则a 的值为( ) A .2 B .-1或-3 C .2或-3D .-1或2解析:选D 函数f (x )=-(x -a )2+a 2-a +1图象的对称轴为x =a ,且开口向下,分三种情况讨论如下:①当a ≤0时,函数f (x )=-x 2+2ax +1-a 在区间[0,1]上是减函数, ∴f (x )max =f (0)=1-a , 由1-a =2,得a =-1.②当0<a ≤1时,函数f (x )=-x 2+2ax +1-a 在区间[0,a ]上是增函数,在(a,1]上是减函数,∴f (x )max =f (a )=-a 2+2a 2+1-a =a 2-a +1, 由a 2-a +1=2,解得a =1+52或a =1-52, ∵0<a ≤1,∴两个值都不满足,舍去.③当a >1时,函数f (x )=-x 2+2ax +1-a 在区间[0,1]上是增函数,∴f(x)max=f(1)=-1+2a+1-a=2,∴a=2.综上可知,a=-1或a=2.4.(2019·上海长宁区一模)已知函数f(x)=x2+2x+1,如果使f(x)≤kx对任意实数x∈(1,m]都成立的m的最大值是5,则实数k=________.解析:设g(x)=x2+(2-k)x+1,不等式g(x)≤0的解集为a≤x≤b.则Δ=(2-k)2-4≥0,解得k≥4或k≤0.又因为函数f(x)=x2+2x+1,且f(x)≤kx对任意实数x∈(1,m]恒成立;所以(1,m]⊆[a,b],所以a≤1,b≥m,所以g(1)=4-k<0,解得k>4,m的最大值为b,所以有b=5.即x=5是方程g(x)=0的一个根,代入x=5,解得k=36 5.答案:36 5。
2.3二次函数与幂函数挖命题【考情探究】,y=,y=分析解读 1.幂函数主要考查其图象和性质,一般以小题形式出现,难度应该不大(例:2014浙江7题).2.二次函数主要考查其图象和性质以及应用,特别是以二次函数为载体,考查数学相关知识,如求最值、函数零点问题,考查数形结合思想(例:2015浙江18题,2015浙江文20题).3.预计2020年高考试题中,二次函数仍是考查的重点之一.考查仍会集中在二次函数的图象和主要性质,以及求二次函数的最值、二次函数零点分布问题上,复习时应高度重视.破考点【考点集训】考点二次函数与幂函数1.(2018浙江台州高三期末质检,10)当x∈[1,4]时,不等式0≤ax3+bx2+4a≤4x2恒成立,则a+b的取值范围是()A.[-4,8]B.[-2,8]C.[0,6]D.[4,12]答案 A2.(2018浙江名校协作体,10)已知偶函数f(x)满足f(1-x)=f(1+x),当x∈[0,1]时, f(x)=ax2-bx+c,a,b,c∈N*.若函数f(x)在[-100,100]上有400个零点,则a+b+c的最小值为()A.5B.8C.11D.12答案 C3.(2018浙江绍兴期末,17)已知f(x)=x2-ax,|f(f(x))|≤2在[1,2]上恒成立,则实数a的最大值为.答案炼技法【方法集训】方法1 解决一元二次方程根的分布问题的方法1.(2018浙江杭州地区重点中学第一学期期中,8)若函数f(x)=x2+ax+b有两个零点x1,x2,且3<x1<x2<5,则f(3),f(5)()A.只有一个小于1B.都小于1C.都大于1D.至少有一个小于1答案 D2.(2018浙江“七彩阳光”联盟期初联考,17)设关于x的方程x2-ax-2=0和x2-x-1-a=0的实根分别为x1,x2和x3,x4,若x1<x3<x2<x4,则a的取值范围是.答案-1<a<1方法2 二次函数的区间最值问题的解法1.(2017浙江稽阳联谊学校联考,10)设二次函数f(x)=x2+ax+b,若对任意的实数a,都存在实数x∈,使得不等式|f(x)|≥x 成立,则实数b的取值范围是()A.∪[2,+∞)B.∪C.∪D.∪答案 D2.(2017浙江衢州教学质量检测(1月),16)若f(x)=x2+ax+b(a,b∈R),x∈[-1,1],且|f(x)|的最大值为,则4a+3b=. 答案-方法3 幂函数的图象、性质及应用1.(2014浙江,7,5分)在同一直角坐标系中,函数f(x)=x a(x>0),g(x)=log a x的图象可能是()答案 D2.( 2018上海,7,5分)已知α∈.若幂函数f(x)=xα为奇函数,且在(0,+∞)上递减,则α=. 答案-1过专题【五年高考】A组自主命题·浙江卷题组考点二次函数与幂函数1.(2017浙江,5,4分)若函数f(x)=x2+ax+b在区间[0,1]上的最大值是M,最小值是m,则M-m()A.与a有关,且与b有关B.与a有关,但与b无关C.与a无关,且与b无关D.与a无关,但与b有关答案 B2.(2015浙江文,20,15分)设函数f(x)=x2+ax+b(a,b∈R).(1)当b=+1时,求函数f(x)在[-1,1]上的最小值g(a)的表达式;(2)已知函数f(x)在[-1,1]上存在零点,0≤b-2a≤1,求b的取值范围.解析(1)当b=+1时, f(x)=+1,故对称轴为直线x=-.当-≥1,即a≤-2时,g(a)=f(1)=+a+2;当-1<-<1,即-2<a<2时,g(a)=f=1;当-≤-1,即a≥2时,g(a)=f(-1)=-a+2.综上,g(a)=(2)设s,t为方程f(x)=0的解,且-1≤t≤1,则由于0≤b-2a≤1,因此≤s≤(-1≤t≤1).当0≤t≤1时,≤st≤,由于-≤≤0和-≤≤9-4,所以-≤b≤9-4.当-1≤t<0时,≤st≤,由于-2≤<0和-3≤<0,所以-3≤b<0.故b的取值范围是[-3,9-4].B组统一命题、省(区、市)卷题组考点二次函数与幂函数1.(2015四川,9,5分)如果函数f(x)= (m-2)x2+(n-8)x+1(m≥0,n≥0)在区间上单调递减,那么mn的最大值为()A.16B.18C.25D.答案 B2.(2017课标全国Ⅲ文,20,12分)在直角坐标系xOy中,曲线y=x2+mx-2与x轴交于A,B两点,点C的坐标为(0,1).当m变化时,解答下列问题:(1)能否出现AC⊥BC的情况?说明理由;(2)证明:过A,B,C三点的圆在y轴上截得的弦长为定值.解析(1)不能出现AC⊥BC的情况,理由如下:设A(x1,0),B(x2,0),则x1,x2满足x2+mx-2=0,所以x1x2=-2.又C的坐标为(0,1),故AC的斜率与BC的斜率之积为·=-,所以不能出现AC⊥BC的情况.(2)证明:BC的中点坐标为,可得BC的中垂线方程为y-=x2.由(1)可得x1+x2=-m,所以AB的中垂线方程为x=-.联立又+mx2-2=0,可得所以过A,B,C三点的圆的圆心坐标为,半径r=.故圆在y轴上截得的弦长为2=3,即过A,B,C三点的圆在y轴上截得的弦长为定值.C组教师专用题组考点二次函数与幂函数1.(2015陕西,12,5分)对二次函数f(x)=ax2+bx+c(a为非零),四位同学分别给出下列结论,其中有且只有一个结论是错误的,则错误的结论是()A.-1是f(x)的零点B.1是f(x)的极值点C.3是f(x)的极值D.点(2,8)在曲线y=f(x)上答案 A2.(2017北京文,11,5分)已知x≥0,y≥0,且x+y=1,则x2+y2的取值范围是.答案【三年模拟】一、选择题(每小题4分,共8分)1.(2019届浙江高考模拟卷(一),10)若正整数a,b,c使二次方程ax2-bx+c=0在(0,2)内有两个不相等的实根,则a的最小值为()A.1B.2C.3D.4答案 B2.(2018浙江新高考调研卷五(绍兴一中),10)已知函数f(x)=ax2+bx+c,且存在相异实数m,n满足f(m)=f(n)=0.若a+b+3c=0,则|m-n|的最小值是()A. B.C.D.答案 C二、填空题(单空题4分,多空题6分,共16分)3.(2019届浙江高考模拟卷(一),17)设f(x)=x2-3x-m(m∈R),A={x|f(x)=x},B={x|f(f(x))=x},若A=B≠⌀,则实数m的取值范围为.答案-4≤m≤-34.(2018浙江高考模拟卷,17)已知关于x的方程x2+2bx+c=0(b,c∈R)在[-1,1] 上有实根,且0≤4b+c≤3,则b的取值范围是.答案[0,2]5.(2018杭州二中高三仿真考数学试卷,17)已知函数f(x)=ax+3+|2x2+(4-a)x-1|的最小值为2,则a=.答案6.(2017浙江名校(杭州二中)交流卷三,16)记M(x,y,z)为x,y,z三个数中的最小数,若二次函数f(x)=ax2+bx+c(a≥b≥c>0)有零点,则M的最大值为.答案三、解答题(共10分)7.(2017浙江镇海中学第一学期期中,20)已知函数f(x)=x2+ax+b(a,b∈R).(1)若对任意的实数a,总存在实数m,当x∈[m-1,m+1]时,使得f(x)≤0恒成立,求b的最大值;(2)若存在x∈R,使不等式f(x)-ax-b≤2|x-a|-|x+1-a|成立,求a的取值范围.解析(1)易知Δ=a2-4b>0,由x2+ax+b≤0,得≤x≤,依题意知,对任意的实数a,总存在实数m,使得[m-1,m+1]⊆,所以-≥2,即4b≤a2-4对于任意的实数a恒成立.故4b≤-4,即b≤-1,故b的最大值为-1.(2)先求使不等式x2>2|x-a|-|x+1-a|对任意的x∈R恒成立的a的取值范围.①当x≤a-1时,不等式化为x2-x-1+a>2(a-x),即x2+x-1>a,亦即a<-.若a-1≥-,即a≥,则a<-,矛盾.若a-1<-,即a<,则a<(a-1)2+(a-1)-1,即a2-2a-1>0,解得a>1+或a<1-,所以a<1-.②当a-1<x≤a时,不等式化为x2+x+1-a>2(a-x),即x2+3x+1>3a,亦即3a<-.若a-1<-≤a,即-≤a<-,则3a<-,即a<-,所以-≤a<-.若a-1≥-,即a≥-,则3a<(a-1)2+3(a-1)+1,即a2-2a-1>0,解得a>1+或a<1-,所以-≤a<1-或a>1+. 若a<-,则3a<a2+3a+1恒成立.综合得a<1-或a>1+.③当x>a时,不等式化为x2+x+1-a>2(x-a),即x2-x+1>-a,亦即-a<+,若a≥,则-a<a2-a+1恒成立,所以a≥.若a<,则-a<,即a>-,所以-<a<.综合得a>-.综合①②③得,使不等式x2>2|x-a|-|x+1-a|对任意的x∈R恒成立的a的取值范围是-<a<1-.故存在x∈R,使不等式f(x)-ax-b≤2|x-a|-|x+1-a|成立的a的取值范围是a≥1-或a≤-.。
考点07 二次函数与幂函数1.)若函数f(x)=x2+ax+b在区间[0,1]上的最大值是M,最小值是m,则M-m()A.与a有关,且与b有关B.与a有关,但与b无关C.与a无关,且与b无关D.与a无关,但与b有关【答案】B【解析】设x1,x2分别是函数f(x)在[0,1]上的最小值点与最大值点,则m=x21+ax1+b,M=x22+ax2+b. ∴M-m=x22-x21+a(x2-x1),显然此值与a有关,与b无关.故选B.2.函数在区间的最大值是()A.0 B.C.D.1【答案】C【解析】y=log(x2﹣6x+10),可令t=x2﹣6x+10,对称轴为x=3,函数t在[1,2]递减,且y=log t在(0,+∞)递减,可得y=log(x2﹣6x+10)在[1,2]递增,可得x=2时,函数y取得最大值log(22﹣12+10)=﹣log32,故选:C.3.已知函数在R上是减函数,则的取值范围是A.B.C.D.【答案】B【解析】由f(x)=ax3+3x2﹣x+2,得到=3ax2+6x﹣1,因为函数在R上是减函数,所以=3ax2+6x﹣1≤0恒成立,所以,由△=36+12a≤0,解得a≤﹣3,则a的取值范围是(﹣∞,﹣3].故答案为:B.4.,若方程f(x)=x无实根,则方程f(f(x))=x( )A.有四个相异实根B.有两个相异实根C.有一个实根D.无实数根【答案】D【解析】∵f(x)=ax2+bx+c(a≠0)方程f(x)=x 即f(x)-x=ax2+(b-1)x+c=0无实根,f(x)-x仍是二次函数,f(x)-x=0仍是二次方程,且无实根,∴△<0.若a>0,则函数y=f(x)-x的图象在x轴上方,∴y>0,即f(x)-x>0恒成立,即:f(x)>x对任意实数x恒成立.∴对f(x),有f(f(x))>f(x)>x恒成立,∴f(f(x))=x无实根.故选D.5.函数的值域为A.B.C.D.【答案】D【解析】设μ=﹣x2﹣6x﹣5(μ≥0),则原函数可化为y=.又∵μ=﹣x2﹣6x﹣5=﹣(x+3)2+4≤4,∴0≤μ≤4,故∈[0,2],∴y=的值域为[0,2].故选:D.6.平行四边形中,点在边上,则的最大值为A.2 B.C.0 D.【答案】A【解析】∵平行四边形ABCD中,AB=2,AD=1,,点M在边CD上,∴=﹣1,cos∠A=﹣1,∴cosA=﹣,∴A=120°,以A为原点,以AB所在的直线为x轴,以AB的垂线为y轴,建立如图所示的坐标系,∴A(0,0),B(2,0),D(﹣,),设M(x,),则﹣≤x≤,∴=(﹣x,﹣),=(2﹣x,﹣),∴=x(x﹣2)+=x2﹣2x+=(x﹣1)2﹣,设f(x)=(x﹣1)2﹣,则f(x)在[﹣,1)上单调递减,在[1,]上单调递增,∴f(x)min=f(1)=﹣,f(x)max=f(﹣)=2,则的最大值是2,故答案为:A7.中国古代名词“刍童”原来是草堆的意思,关于“刍童”体积计算的描述,《九章算术》注曰:“倍上袤,下袤从之。
课时跟踪检测(九) 二次函数与幂函数一、题点全面练1.幂函数y =f (x )经过点(3,3),则f (x )是( ) A .偶函数,且在(0,+∞)上是增函数 B .偶函数,且在(0,+∞)上是减函数 C .奇函数,且在(0,+∞)上是减函数 D .非奇非偶函数,且在(0,+∞)上是增函数解析:选D 设幂函数的解析式为y =x α,将(3,3)代入解析式得3α=3,解得α=12,所以y =x 12.故选D. 2.已知函数f (x )=ax 2+bx +c ,若a >b >c 且a +b +c =0,则它的图象可能是( )解析:选D 由a >b >c 且a +b +c =0,得a >0,c <0,所以函数图象开口向上,排除A 、C.又f (0)=c <0,所以排除B ,故选D.3.二次函数f (x )的图象如图所示,则f (x -1)>0的解集为( )A .(-2,1)B .(0,3)C .(-1,2]D .(-∞,0)∪(3,+∞)解析:选B 根据f (x )的图象可得f (x )>0的解集为{x |-1<x <2},而f (x -1)的图象是由f (x )的图象向右平移一个单位得到的,故f (x -1)>0的解集为(0,3).故选B.4.若a =⎝ ⎛⎭⎪⎫12 23,b =⎝ ⎛⎭⎪⎫1523,c =⎝ ⎛⎭⎪⎫1213,则a ,b ,c 的大小关系是( )A .a <b <cB .c <a <bC .b <c <aD .b <a <c解析:选D ∵y =x 23(x >0)是增函数,∴a =⎝ ⎛⎭⎪⎫1223>b =⎝ ⎛⎭⎪⎫1523.∵y =⎝ ⎛⎭⎪⎫12x是减函数,∴a=⎝ ⎛⎭⎪⎫1223<c =⎝ ⎛⎭⎪⎫1213,∴b <a <c .5.已知函数f (x )=ax 2+bx +c (a ≠0),且2是f (x )的一个零点,-1是f (x )的一个极小值点,那么不等式f (x )>0的解集是( )A .(-4,2)B .(-2,4)C .(-∞,-4)∪(2,+∞)D .(-∞,-2)∪(4,+∞)解析:选C 依题意,f (x )图象是开口向上的抛物线,对称轴为x =-1,方程ax 2+bx +c =0的一个根是2,另一个根是-4.因此f (x )=a (x +4)(x -2)(a >0),于是f (x )>0,解得x >2或x <-4.6.已知点(m,8)在幂函数f (x )=(m -1)x n的图象上,设a =f ⎝ ⎛⎭⎪⎫⎝ ⎛⎭⎪⎫1312,b =f (ln π),c=f ⎝ ⎛⎭⎪⎫-12,则a ,b ,c 的大小关系为( ) A .c <a <b B .a <b <c C .b <c <aD .b <a <c解析:选A 根据题意,m -1=1,∴m =2,∴2n=8, ∴n =3,∴f (x )=x 3.∵f (x )=x 3是定义在R 上的增函数, 又-12<0<⎝ ⎛⎭⎪⎫1312<⎝ ⎛⎭⎪⎫130=1<ln π,∴c <a <b .7.已知二次函数f (x )满足f (2+x )=f (2-x ),且f (x )在[0,2]上是增函数,若f (a )≥f (0),则实数a 的取值范围是________.解析:由题意可知函数f (x )的图象开口向下,对称轴为x =2(如图),若f (a )≥f (0),从图象观察可知0≤a ≤4.答案:[0,4]8.若函数f (x )=x 2-2x +1在区间[a ,a +2]上的最小值为4,则实数a 的取值集合为________.解析:∵函数f (x )=x 2-2x +1=(x -1)2的图象的对称轴为直线x =1,且f (x )在区间[a ,a +2]上的最小值为4,∴当a ≥1时,f (a )=(a -1)2=4, ∴a =-1(舍去)或a =3;当a +2≤1,即a ≤-1时,f (a +2)=(a +1)2=4,∴a =1(舍去)或a =-3; 当a <1<a +2,即-1<a <1时,f (1)=0≠4. 故a 的取值集合为{-3,3}. 答案:{-3,3}9.已知值域为[-1,+∞)的二次函数f (x )满足f (-1+x )=f (-1-x ),且方程f (x )=0的两个实根x 1,x 2满足|x 1-x 2|=2.(1)求f (x )的表达式;(2)函数g (x )=f (x )-kx 在区间[-1,2]上的最大值为f (2),最小值为f (-1),求实数k 的取值范围.解:(1)由f (-1+x )=f (-1-x ),可得f (x )的图象关于直线x =-1对称, 设f (x )=a (x +1)2+h =ax 2+2ax +a +h (a ≠0), 由函数f (x )的值域为[-1,+∞),可得h =-1,a >0, 根据根与系数的关系可得x 1+x 2=-2,x 1x 2=1+ha, ∴|x 1-x 2|=x 1+x 22-4x 1x 2=-4ha=2,解得a =1,∴f (x )=x 2+2x .(2)由题意得函数g (x )在区间[-1,2]上单调递增, 又g (x )=f (x )-kx =x 2-(k -2)x . ∴g (x )图象的对称轴方程为x =k -22,则k -22≤-1,即k ≤0,故k 的取值范围为(-∞,0].10.已知函数f (x )=ax 2+bx +c (a >0,b ∈R ,c ∈R).(1)若函数f (x )的最小值是f (-1)=0,且c =1,F (x )=⎩⎪⎨⎪⎧f x,x >0,-fx ,x <0,求F (2)+F (-2)的值;(2)若a =1,c =0,且|f (x )|≤1在区间(0,1]上恒成立,试求b 的取值范围. 解:(1)由已知c =1,a -b +c =0,且-b2a =-1,解得a =1,b =2,∴f (x )=(x +1)2,∴F (x )=⎩⎪⎨⎪⎧x +12,x >0,-x +12,x <0.∴F (2)+F (-2)=(2+1)2-(-2+1)2=8.(2)由题可知,f (x )=x 2+bx ,原命题等价于-1≤x 2+bx ≤1在(0,1]上恒成立, 即b ≤1x -x 且b ≥-1x-x 在(0,1]上恒成立.又1x -x 的最小值为0,-1x-x 的最大值为-2,∴-2≤b ≤0,故b 的取值范围是[-2,0].二、专项培优练(一)易错专练——不丢怨枉分1.已知函数f (x )=x 2+x +c ,若f (0)>0,f (p )<0,则必有( ) A .f (p +1)>0 B .f (p +1)<0C .f (p +1)=0D .f (p +1)的符号不能确定解析:选A 由题意知,f (0)=c >0,函数图象的对称轴为直线x =-12,则f (-1)=f (0)>0,设f (x )=0的两根分别为x 1,x 2(x 1<x 2),则-1<x 1<x 2<0,根据图象知,x 1<p <x 2,故p +1>0,则f (p +1)>0.2.已知幂函数f (x )=(n 2+2n -2)·xn 2-3n (n ∈Z)的图象关于y 轴对称,且在(0,+∞)上是减函数,则n 的值为( )A .-3B .1C .2D .1或2解析:选B 由于f (x )为幂函数,所以n 2+2n -2=1,解得n =1或n =-3,当n =1时,函数f (x )=x -2为偶函数,其图象关于y 轴对称,且f (x )在(0,+∞)上是减函数,所以n =1满足题意;当n =-3时,函数f (x )=x 18为偶函数,其图象关于y 轴对称,而f (x )在(0,+∞)上是增函数,所以n =-3不满足题意,舍去.故选B.3.函数f (x )=x 2-bx +c 满足f (x +1)=f (1-x ),且f (0)=3,则f (b x )与f (c x)的大小关系是( )A .f (b x)≤f (c x) B .f (b x )≥f (c x) C .f (b x)>f (c x)D .与x 有关,不确定解析:选A 由题意知,函数f (x )的图象关于直线x =1对称,∴b =2,又f (0)=3,∴c =3,则b x=2x,c x=3x.易知f (x )在(-∞,1)上单调递减,在[1,+∞)上单调递增.若x ≥0,则3x ≥2x ≥1,∴f (3x )≥f (2x );若x <0,则3x <2x <1,∴f (3x )>f (2x ).∴f (3x )≥f (2x ),即f (b x )≤f (c x).故选A.4.若函数f (x )=x 2+2ax +2在区间[-5,5]上是单调函数,则实数a 的取值范围为________.解析:函数f (x )=(x +a )2+2-a 2的图象的对称轴为直线x =-a , 因为y =f (x )在区间[-5,5]上是单调函数, 所以-a ≤-5或-a ≥5,即a ≤-5或a ≥5. 故实数a 的取值范围是(-∞,-5]∪[5,+∞). 答案:(-∞,-5]∪[5,+∞)5.若函数f (x )=ax 2+2ax +1在[1,2]上有最大值4,则a 的值为________. 解析:f (x )=a (x +1)2+1-a .①当a =0时,函数f (x )在区间[1,2]上的值为常数1,不符合题意,舍去;②当a >0时,函数f (x )在区间[1,2]上是增函数,最大值为f (2)=8a +1=4,解得a =38; ③当a <0时,函数f (x )在区间[1,2]上是减函数,最大值为f (1)=3a +1=4,解得a =1,不符合题意,舍去.综上可知,a 的值为38.答案:38(二)技法专练——活用快得分6.[更换主元法]对于任意a ∈[-1,1],函数f (x )=x 2+(a -4)x +4-2a 的值总大于0,则x 的取值范围是( )A .(1,3)B .(-∞,1)∪(3,+∞)C .(1,2)D .(-∞,1)∪(2,+∞)解析:选B 原题可转化为关于a 的一次函数y =a (x -2)+x 2-4x +4>0在[-1,1]上恒成立,只需⎩⎪⎨⎪⎧-1x -2+x 2-4x +4>0,1x -2+x 2-4x +4>0⇒⎩⎪⎨⎪⎧x >3或x <2,x >2或x <1⇒x <1或x >3.故选B.7.[分离参数法]方程x 2+ax -2=0在区间[1,5]上有解,则实数a 的取值范围为( )A.⎝ ⎛⎭⎪⎫-235,+∞B .(1,+∞) C.⎣⎢⎡⎦⎥⎤-235,1 D.⎝⎛⎦⎥⎤-∞,-235解析:选C 方程x 2+ax -2=0在区间[1,5]上有解转化为方程a =2-x2x在区间[1,5]上有解,即y =a 与y =2-x 2x 的图象有交点,又因为y =2-x 2x =2x-x 在[1,5]上是减函数,所以其值域为⎣⎢⎡⎦⎥⎤-235,1,故选C. (三)难点专练——适情自主选8.函数f (x )=-x 2+3x +a ,g (x )=2x -x 2,若f (g (x ))≥0对x ∈[0,1]恒成立,则实数a 的取值范围是( )A .[-e ,+∞)B .[-ln 2,+∞)C .[-2,+∞)D.⎝ ⎛⎦⎥⎤-12,0解析:选C 如图所示,在同一坐标系中画出y =x 2+1,y =2x ,y =x 2+32的图象,由图象可知,在[0,1]上,x 2+1≤2x <x 2+32恒成立,即1≤2x -x 2<32,当且仅当x =0或x =1时等号成立,∴1≤g (x )<32,∴f (g (x ))≥0⇒f (1)≥0⇒-1+3+a ≥0⇒a ≥-2,即实数a 的取值范围是[-2,+∞),故选C.9.定义:如果在函数y =f (x )定义域内的给定区间[a ,b ]上存在x 0(a <x 0<b ),满足f (x 0)=f b -f ab -a,则称函数y =f (x )是[a ,b ]上的“平均值函数”,x 0是它的一个均值点,如y =x 4是[-1,1]上的平均值函数,0就是它的均值点.现有函数f (x )=-x 2+mx +1是[-1,1]上的平均值函数,则实数m 的取值范围是________.解析:因为函数f (x )=-x 2+mx +1是[-1,1]上的平均值函数,设x 0为均值点,所以f 1-f -11--1=m =f (x 0),即关于x 0的方程-x 20+mx 0+1=m 在(-1,1)内有实数根,解方程得x 0=1或x 0=m -1. 所以必有-1<m -1<1,即0<m <2, 所以实数m 的取值范围是(0,2). 答案:(0,2)。