集合练习题及答案-经典
- 格式:doc
- 大小:191.00 KB
- 文档页数:3
集合简单练习题及答案一、选择题1. 若集合A={x|x<5},B={x|x>3},则A∩B等于:A. {x|x<3}B. {x|x>5}C. {x|3<x<5}D. {x|x≤3}2. 对于集合A={1, 2, 3}和B={2, 3, 4},A∪B的元素个数是:A. 3B. 4C. 5D. 63. 若集合C={x|x是偶数},D={x|x是自然数},则C⊆D是:A. 真B. 假4. 集合E={x|x²-5x+6=0}的元素个数是:A. 0B. 1C. 2D. 35. 已知集合F={x|-2≤x≤2},G={x|x²-4=0},则F∩G等于:A. {-2}B. {2}C. {-2, 2}D. 空集二、填空题6. 集合H={x|x²-3x+2=0}的元素是_________。
7. 若集合I={x|x²-1=0},则I的补集(相对于实数集R)是_________。
8. 集合J={x|x>0且x<10}与K={x|x是整数}的交集J∩K包含的元素个数是_________。
9. 集合L={x|x²+4x+4=0}的元素个数是_________。
10. 若集合M={x|x²-4=0},则M的元素是_________。
三、解答题11. 给定集合N={1, 2, 3}和O={2, 3, 4},请找出N∩O,并说明其元素的个数。
12. 集合P={x|x²-4x+3=0},请列出集合P的所有元素。
13. 集合Q={x|x²+2x+1=0},请判断该集合是否为空集,并说明理由。
14. 若集合R={x|x²-6x+8=0},请找出R的补集(相对于实数集R)。
15. 集合S={x|x²-9=0},请列出S的元素,并计算S的元素个数。
答案:1. C2. B3. A4. C5. C6. 1, 27. 所有非-1和非1的实数8. 99. 010. -2, 211. N∩O={2, 3},元素个数为2。
集合简单练习题及答案集合是数学中的一个基本概念,它描述了一组对象的全体。
以下是一些集合的简单练习题及答案,适合初学者进行练习。
练习题1:确定以下集合的元素。
集合A = {x | x是小于10的正整数}答案: A = {1, 2, 3, 4, 5, 6, 7, 8, 9}练习题2:判断以下两个集合是否相等。
集合B = {x | x是偶数}集合C = {2, 4, 6, 8, 10, 12, ...}答案: B和C是相等的,因为集合B包含了所有偶数,而集合C也是所有偶数的集合。
练习题3:找出集合A和集合B的交集。
集合A = {1, 3, 5, 7, 9}集合B = {2, 4, 6, 8, 10}答案: A和B没有交集,即A ∩ B = ∅。
练习题4:找出集合A和集合B的并集。
集合A = {1, 3, 5, 7, 9}集合B = {2, 4, 6, 8, 10}答案: A和B的并集是A ∪ B = {1, 2, 3, 4, 5, 6, 7, 8, 9, 10}。
练习题5:确定集合A的补集,假设全集U包含所有小于等于10的整数。
集合A = {1, 3, 5, 7, 9}全集U = {0, 1, 2, 3, 4, 5, 6, 7, 8, 9, 10}答案: A的补集是A' = {0, 2, 4, 6, 8, 10}。
练习题6:如果集合D = {x | x是A和B的元素},求D。
集合A = {1, 2, 3}集合B = {2, 3, 4}答案: D = {2, 3}。
练习题7:如果集合E = {x | x不属于A且不属于B},求E。
集合A = {1, 2, 3}集合B = {2, 3, 4}答案: E = {1, 4}。
练习题8:确定集合A和集合B的差集。
集合A = {1, 2, 3, 4, 5}集合B = {3, 4, 5, 6}答案: A和B的差集是A - B = {1, 2}。
练习题9:假设集合F = {x | x是A的元素且不是B的元素},求F。
集合学习过程一、复习预习考纲要求:考纲要求:1.理解集合的概念。
.理解集合的概念。
2.能在具体的数学环境中,应用集合知识。
.能在具体的数学环境中,应用集合知识。
3.特别是集合间的运算。
.特别是集合间的运算。
4.灵活应用集合知识与其它知识间的联系,集合是一种方法。
.灵活应用集合知识与其它知识间的联系,集合是一种方法。
二、知识讲解1.集合的相关概念基本概念:集合、元素;有限集、无限集;空集、全集;符号的使用基本概念:集合、元素;有限集、无限集;空集、全集;符号的使用. . 集合的表示法:列举法、描述法、图形表示法集合的表示法:列举法、描述法、图形表示法. . 集合元素的特征:确定性、互异性、无序性集合元素的特征:确定性、互异性、无序性. . 常见的数集:自然数集、整数集、有理数集、实数集常见的数集:自然数集、整数集、有理数集、实数集 2集合间的关系任何一个集合是它本身的子集,记为A A Í; 空集是任何集合的子集,记为A Íf ; 空集是任何非空集合的真子集;空集是任何非空集合的真子集;n 元集的子集个数共有2n 个;真子集有21n -个;非空子集有21n -个;非空的真子集有22n -个.3.集合间的运算{|,}{|}{,}A B x x A x B A B x x A x B A x U x A ÛÎÎÛÎÎÛÎÏU 交:且并:或补:且C4主要性质和运算律主要性质和运算律(1) 包含关系:,,,,,;,;,.U A A A A U A U A B B C A C A B A A B B A B A A B B ÍF ÍÍÍÍÍÞÍÍÍÊÊC (2) 等价关系:U A B A B A A B B AB U ÍÛ=Û=Û=C (3) 集合的运算律:集合的运算律:交换律:.;A B B A A B B A == 新课标第一网新课标第一网 结合律结合律::)()();()(C B A C B A C B A C B A ==分配律分配律:.:.)()()();()()(C A B A C B A C A B A C B A ==三、例题精析考点一 子集、真子集【例题1】:集合}1,0,1{-共有共有 个子集个子集个子集 【答案】:8【解析】:n 元集的子集个数共有2n 个,所以是8个。
集合综合练习题及答案一、选择题1、下列哪个选项不是集合?A. {1,2,3,4,5}B. {x|x是正方形}C. {x|0<x<10}D. {x|x是中国的城市}答案:D. {x|x是中国的城市}。
因为D中的元素是不确定的,而集合中的元素必须是确定的。
2、下列哪个选项是集合?A. {1,2,3,4,5}的元素都是整数。
B. {x|x是正方形}的元素都是四边形。
C. {x|0<x<10}的元素都是正数。
D. {x|x是中国的城市}的元素都是城市。
答案:A. {1,2,3,4,5}的元素都是整数。
因为选项A中的元素都是确定的,符合集合的定义。
3、下列哪个选项不是集合?A. {1,2,3,4,5}的元素个数为5。
B. {x|x是正方形}中的元素为四边形。
C. {x|0<x<10}中的元素为正数。
D. {x|x是中国的城市}中的元素为城市。
答案:B. {x|x是正方形}中的元素为四边形。
因为B中的元素不是确定的,不符合集合的定义。
二、填空题1、写出集合{1,2,3,4,5}的所有子集:______。
2、写出集合{x|x是正方形}的所有子集:______。
3、写出集合{x|0<x<10}的所有子集:______。
4、写出集合{x|x是中国的城市}的所有子集:______。
答案:1、{∅,{1},{2},{3},{4},{5},{1,2},{1,3},{1,4},{1,5},{2,3},{2,4},{2,5},{3,4},{3,5},{4,5}}。
2、{∅,{正方形}}。
3、{∅,{正数}}。
4、{∅,{城市}}。
2 集合综合练习题合作经营可行性分析报告一、引言随着全球化的深入发展,企业间的合作已经成为一种趋势。
通过合作经营,企业可以共享资源、降低风险、提高效率,进而实现更大的商业价值。
本报告旨在分析合作经营的可行性,为企业决策提供参考。
二、合作经营的定义与优势合作经营是指两个或多个企业在一定领域内共同出资、共同经营、共担风险、共享收益的一种经营模式。
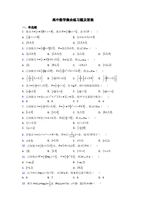
高中数学集合练习题及答案一、单选题1.集合{}06A x Z x =∈<<,集合{}ln 1B x x =>,求A B ( )A .{}6x e x <<B .{}1,2,3e e e +++C .{}3,4,5D .{}2,3,4,52.已知集合{}22A x x =-≤,{}1,2,3,4,5B =,则A B =( )A .{}1,2,3,4B .{}2,3,4,5C .{}1,2,3D .{}2,3,4 3.已知集合{}11A x Z x =∈-≤≤,{}1,2B =,则A B ⋃=( )A .{}1B .{}0,1,2C .1,0,1,2D .{}1,1,2-4.已知集合{}lg 0A x x =≤,{}22320B x x x =+-≤,则A B ⋃=( ) A .122x x ⎧⎫-≤≤⎨⎬⎩⎭ B .{}21x x -≤≤ C .102x x ⎧⎫-≤≤⎨⎬⎩⎭ D .102x x ⎧⎫<≤⎨⎬⎩⎭ 5.设{}13A x x =-<≤,{}B x x a =>,若A B ⊆,则a 的取值范围是( ) A .{}3a a ≥ B .{}1a a ≤- C .{}3a a > D .{}1a a <- 6.已知集合22{(,)|3,Z,Z}A x y x y x y =+≤∈∈,则A 中元素的个数为( ) A .9 B .8 C .5 D .47.已知集合{}14A x x =-≤≤,{}260B x N x x =∈--≤ ,则A B =( ) A .[]1,3- B .[]2,4- C .{}1,2,3 D .{}0,1,2,3 8.已知集合{|12}A x x =-≤≤,{}0B x x =>,则A B ⋃=( )A .{|2}x x ≤B .{|1}x x ≥-C .{}|1x x >D .{}0x x 9.若集合2{|60}A x x x =--+>,5{|1}3B x x =≤--,则A B 等于( ) A .()3,3- B .[2,3)- C .(2,2)- D .[2,2)- 10.已知集{}23A x x =+≥合,{}3,1,1,3B =--,则A B =( )A .{}3B .{}1,3C .{}3,1--D .{}1,1,3-11.已知集合{}2log 1M x x =<,{}21N x x =≤,则M N ⋃=( ) A .(],1-∞B .(),2-∞C .[)1,2-D .(]0,112.记2{|log (1)3}A x x =-<,N A B =,则B 的元素个数为( )A .6B .7C .8D .9 13.集合A ={x |y =log 2(x +12)},B ={y |y =x 2-2x ,x ∈[0,2]}.则A ∩B =( )A .1,02⎡⎤-⎢⎥⎣⎦B .1,02⎛⎤- ⎥⎝⎦C .1,02⎡⎫-⎪⎢⎣⎭D .(102-,) 14.设全集{}0,1,2,3,4U =,集合{}1,2,4A =,{}2,3B =,则()U A B ⋂=( ) A .{}2B .{}2,3C .{}0,3D .{}3 15.已知集合A ={1,2,3,4,5},集合B ={1,2},若集合C 满足:B C A ⊆,则集合C的个数为( )A .6个B .7个C .8个D .9个 二、填空题16.已知集合(){}ln 2|A x y x ==-,{}2430|B x x x ≤=-+,则A B ⋃=____________ 17.若全集U =R ,集合{}31A x x =-≤≤,{}32A B x x ⋃=-≤≤,则U B A =___________.18.已知{}21,,3A a =,{}22,1,1B a a =+-.若A B =,则=a ______.19.已知集合{}2,1,2A =-,}1,B a =,且B A ⊆,则实数a 的值是___________. 20.若集合(){}2381x A x ==,集合(){}23log 1B x x ==,则A B =_________. 21.已知集合A ={2,log 2m },B ={m ,n }(m ,n ∈R),且{}1A B ⋂=-,则A ∪B =___________.22.已知T 是方程()22040x px q p q ++=->的解集,1379147{{1}}0A B ==,,,,,,,且T A T B T ⋂=∅⋂=,,则p q +=_____.23.若{}231,13a a ∈--,则=a ______.24.若全集{}22,4,1U a a =-+,且{}1,2A a =+,7A =,则实数=a ______. 25.若集合234|0A x x x ,{}|10B x ax =-=,且“x B ∈”是“x A ∈”的充分非必要条件,则实数a 组成的集合是______.三、解答题26.已知集合*N M ⊆,且M 中的元素个数n 大于等于5.若集合M 中存在四个不同的元素a ,b ,c ,d ,使得a b c d +=+,则称集合M 是“关联的”,并称集合{,,,}a b c d 是集合M 的“关联子集”;若集合M 不存在“关联子集”,则称集合M 是“独立的”.(1)分别判断集合{2,4,6,8,10}与{1,2,3,5,8}是“关联的”还是“独立的”?(2)写出(1)中“关联的”集合的所有的“关联子集”;(3)已知集合{}12345,,,,M a a a a a =是“关联的”,且任取集合{},i j a a M ⊆,总存在M 的“关联子集”A ,使得{},i j a a A ⊆.若12345a a a a a <<<<,求证:1a ,2a ,3a ,4a ,5a 是等差数列.27.设集合{}53A x x =-≤≤,{2B x x =<-或}4x >.(1)求A B ;(2)求R R ()()A B ⋃.28.集合{}30?180120?180,Z A k k k αα︒︒=︒+<<+︒∈,集合{}45?360135?360,Z B k k k ββ=-+<<+∈. (1)求A B ;(2)若全集为U ,求U ()A B ⋂.29.记E 为平面上所有点组成的集合并且A E ∈,B E ∈,说明下列集合的几何意义: (1){}5P E PA ∈<; (2){}P E PA PB ∈=.30.已知集合6|32M x x ⎧⎫=>⎨⎬+⎩⎭,{|53}N x t x t =<<+. (1)当1t =-时,求M N ⋂;(2)若M N ⊆,求实数t 的取值范围.【参考答案】一、单选题1.C【解析】【分析】先化简出结合,A B ,然后再求交集.【详解】由{}1,2,3,4,5A =,ln 1x > 则x e >,所以集合(),B e =+∞所以{}3,4,5A B =故选:C2.A【解析】【分析】首先解绝对值不等式求出集合A ,再根据交集的定义计算可得;【详解】 解:由22x -≤,即222x -≤-≤,解得04x ≤≤,所以{}[]220,4A x x =-≤=, 又{}1,2,3,4,5B =,所以{}1,2,3,4A B =.故选:A3.C【解析】【分析】首先用列举法表示集合A ,再根据并集的定义计算可得;【详解】 解:因为{}{}111,0,1A x Z x =∈-≤≤=-,{}1,2B =,所以{}1,0,1,2A B ⋃=-; 故选:C4.B【解析】【分析】解对数不等式以及一元二次不等式,求出集合A,B ,根据集合的并集运算求得答案.【详解】解22320x x +-≤ 可得122x -≤≤ , 故{}{}lg 001A x x x x =≤=<≤,122B x x ⎧⎫=-≤≤⎨⎬⎩⎭, 所以{}21A B x x ⋃=-≤≤,故选:B .5.B【解析】【分析】根据集合的包含关系,列不等关系,解不等式即可.【详解】由题:(,)B a =+∞,A B ⊆,则1a ≤-.故选:B6.A【解析】【分析】根据x ,y 满足的关系式求得x ,y 的可能值,从而求得集合元素个数.【详解】由223x y +≤,得x ≤≤y ≤又Z x ∈,Z y ∈,所以{1,0,1}x ∈-,{1,0,1}∈-y ,易知x 与y 的任意组合均满足条件,所以A 中元素的个数为339⨯=.故选:A.7.D【解析】【分析】由题知{}0,1,2,3B =,再根据集合交集运算求解即可.【详解】解:解不等式260x x --≤得23x -≤≤,所以{}{}2600,1,2,3B x N x x =∈--≤=, 因为{}14A x x =-≤≤所以A B ={}0,1,2,3故选:D8.B【解析】【分析】进行并集的运算即可.【详解】{|12}A x x =-≤≤,{}0B x x =>,{|1}A B x x ∴⋃=≥-.故选:B .9.D【解析】【分析】解不等式化简集合A ,B ,再利用交集的定义直接求解作答.【详解】不等式260x x --+>化为:260x x +-<,解得:32x -<<,则(3,2)A =-, 不等式513x ≤--,即203x x +≤-,整理得:(2)(3)030x x x +-≤⎧⎨-≠⎩,解得23x -≤<,则[2,3)B =-,所以[2,2)A B ⋂=-.故选:D10.B【解析】【分析】化简集合A ,由交集定义直接计算可得结果.【详解】化简可得{|1}A x x =≥,又{}3,1,1,3B =--所以{1,3}A B =.故选:B.11.C【解析】【分析】求出集合M ,N ,然后进行并集的运算即可.【详解】 ∵{}02M x x =<<,{}11N x x =-≤≤,∴[1,2)M N ⋃=-.故选:C .12.B【解析】【分析】解对数不等式化简A ,求出B 可得答案.【详解】由()22log 1log 8x -<,得19x <<,即{|19}A x x =<<,所以N B A ={2,3,4,5,6,7,8}=,则B 中元素的个数为7.故选:B13.B【解析】【分析】分别解出A 、B 集合,再求交集即可.【详解】集合A :11 022x x +>⇒>-; 集合B :222(1)1,[0,2]y x x x x =-=--∈,[1,0]y ∈- 所以:1(,0]2A B -=故选:B.【点睛】本题考查集合的交集运算.属于基础题.正确解出A 、B 集合是本题的基础.14.D【解析】【分析】利用补集和交集的定义可求得结果.【详解】由已知可得{}0,3U A =,因此,(){}U 3A B ⋂=,故选:D.15.B【解析】【分析】根据集合间的关系写出所有满足条件的集合C 可得出答案.【详解】根据B C A ⊆,集合C 可写成如下形式: {}{}{}{}{}{}{}12312412512341235124512345,,,,,,,,,,,,,,,,,,,,,,, 所以满足条件的集合C 的个数为7个,选项B 正确.故选:B.二、填空题16.[)1,+∞【解析】【分析】先求出集合A 、B ,再求A B .【详解】集合(){}()2|2ln ,A x y x =+∞==-,{}[]2|1,3430B x x x =≤=-+, 所以()[][)2,1,31,A B +∞⋃=∞⋃+=.故答案为:[)1,+∞17.{}12x x <≤##(]1,2【解析】【分析】由集合A ,以及集合A 与集合B 的并集确定出集合B ,以及求出集合A 的补集,再根据交集运算即可求出结果.【详解】 因为{}31A x x =-≤≤,{}32A B x x ⋃=-≤≤,所以{3U x x A =<-或}1x >,{}{}1232x x x B x ⊆<≤⊆-≤≤,所以{}12U B A x x =<≤.故答案为:{}12x x <≤.18.2【解析】【分析】根据集合A 与集合B 相等列式即可求解【详解】因为A B =所以22213a a a ⎧=+⎨-=⎩解之得:2a = 故答案为:219.1【解析】【分析】由子集定义分类讨论即可.【详解】因为B A ⊆,所以a A ∈1A ∈,当2a =-1无意义,不满足题意;当1a =12=,满足题意;当2a =11=,不满足题意.综上,实数a 的值1.故答案为:120.{1,2,33} 【解析】【分析】求解集合,根据集合的并集运算即可.【详解】(){}{}23812x A x ===,(){}231log 13,3B x x ⎧⎫===⎨⎬⎩⎭,则A B ={1,2,33}. 故答案为:{1,2,33}. 21.1,1,22⎧⎫-⎨⎬⎩⎭ 【解析】【分析】根据条件得到2log 1m =-,解出12m =,进而得到1,1,22A B ⎧⎫=-⎨⎬⎩⎭. 【详解】 因为{}1A B ⋂=-,所以1A -∈且1B -∈,所以2log 1m =-,解得:12m =,则1n =-,1,12B ⎧⎫=-⎨⎬⎩⎭,所以1,1,22A B ⎧⎫=-⎨⎬⎩⎭. 故答案为:1,1,22⎧⎫-⎨⎬⎩⎭22.26【解析】【分析】由题知{}4,10T =,再结合韦达定理求解即可.【详解】解:因为240p q ->,所以方程()22040x px q p q ++=->的解集有两个不相等的实数根, 因为1379147{{1}}0A B ==,,,,,,,且T A T B T ⋂=∅⋂=,, 所以{}4,10T =所以由韦达定理得14p =-,40q =所以26p q +=故答案为:2623.4-【解析】【分析】结合元素与集合的关系,利用集合的互异性分类讨论即可求解.【详解】若13a -=,则4a =,此时,2113a a -=-,不合题意,舍去;若2133a -=,则4a =-或4a =,因为4a =不合题意,舍去.故4a =-.故答案为:4-.24.3【解析】【分析】根据题意21a a -+7=,结合7A =,即可求得a .【详解】因为{}22,4,1U a a =-+,且{}1,2A a =+,7A =,故可得217a a -+=,即()()320a a -+=,解得3a =或2a =-.当2a =-时,{}2,4,7U =,{}1,2A =-,不合题意,故舍去.当3a =时,满足题意.故答案为:3.25.10,1,4⎧⎫-⎨⎬⎩⎭【解析】【分析】解出集合A ,根据题意,集合B 为集合A 的真子集,进而求得答案.【详解】由题意,{}1,4A =-,因为“x B ∈”是“x A ∈”的充分非必要条件,所以集合B 为集合A 的真子集,若a =0,则B =∅,满足题意;若0a ≠,则1B a ⎧⎫=⎨⎬⎩⎭,所以111a a =-⇒=-或1144a a =⇒=. 故答案为:10,1,4⎧⎫-⎨⎬⎩⎭. 三、解答题26.(1){2,4,6,8,10}是“关联的”,{1,2,3,5,8}是“独立的”;(2){2,4,6,8},{2,4,8,10},{4,6,8,10};(3)证明见解析.【解析】【分析】(1)根据给定定义直接判断作答.(2)由(1)及所给定义直接写出“关联子集”作答.(3)写出M 的所有4元素子集,再利用反证法确定“关联子集”,然后推理作答.(1)集合{2,4,6,8,10}中,因2846+=+,所以集合{2,4,6,8,10}是“关联的”,集合{1,2,3,5,8}中,不存在某两个数的和等于另外两个数的和,所以集合{1,2,3,5,8}是“独立的”.(2)由(1)知,有2846+=+,21048+=+,41068+=+,所以{2,4,6,8,10}的“关联子集”有:{2,4,6,8},{2,4,8,10},{4,6,8,10}.(3)集合M 的4元素子集有5个,分别记为:1234521345{,,,},{,,,}A a a a a A a a a a ==, 312454123551234{,,,},{,,,},{,,,}A a a a a A a a a a A a a a a ===,因此,集合M 至多有5个“关联子集”,若21345{,,,}A a a a a =是“关联子集”,则12345{,,,}A a a a a =不是“关联子集”,否则12a a =,矛盾,若21345{,,,}A a a a a =是“关联子集”,同理可得31245{,,,}A a a a a =,41235{,,,}A a a a a =不是“关联子集”,因此,集合M 没有同时含有元素25,a a 的“关联子集”,与已知矛盾,于是得21345{,,,}A a a a a =一定不是“关联子集”,同理41235{,,,}A a a a a =一定不是“关联子集”,即集合M 的“关联子集”至多为12345{,,,}A a a a a =,31245{,,,}A a a a a =,51234{,,,}A a a a a =, 若12345{,,,}A a a a a =不是“关联子集”,则集合M 一定不含有元素35,a a 的“关联子集”,与已知矛盾,若31245{,,,}A a a a a =不是“关联子集”,则集合M 一定不含有元素15,a a 的“关联子集”,与已知矛盾,若51234{,,,}A a a a a =不是“关联子集”,则集合M 一定不含有元素13,a a 的“关联子集”,与已知矛盾,因此,12345{,,,}A a a a a =,31245{,,,}A a a a a =,51234{,,,}A a a a a =都是“关联子集”, 即有25345432a a a a a a a a +=+⇔-=-,15245421a a a a a a a a +=+⇔-=-,14234321a a a a a a a a +=+⇔-=-,从而得54433221a a a a a a a a -=-=-=-,所以1a ,2a ,3a ,4a ,5a 是等差数列.【点睛】关键点睛:涉及集合新定义问题,关键是正确理解给出的定义,然后合理利用定义,结合相关的其它知识,分类讨论,进行推理判断解决.27.(1){}52x x -≤<-; (2){5x x <-或}2x ≥-.【解析】【分析】(1)根据给定条件利用交集的定义直接计算作答.(2)利用补集的定义求出R A ,R B ,再利用并集的定义求解作答. (1) 因集合{}53A x x =-≤≤,{2B x x =<-或}4x >,所以{|52}A B x x ⋂=-≤<-.(2) 依题意,R {5A x x =<-或3}x >,{}R 24B x x =-≤≤,所以{R R ()()5A B x x ⋃=<-或}2x ≥-.28.(1){}30?360120?360,Z A B k k k αα⋂=+<<+∈ (2)U ()A B ⋂ {}210?360300?360,Z k k k αα=+<<+∈ 【解析】【分析】(1)先变形集合A ,再求交集;(2)先求补集,再求交集.(1) 解:因为{}30?180120?180,Z A k k k αα︒︒=+<<︒+︒∈ {}30?360120?360210?360300?360,Z k k k k k ααα︒︒︒=︒+︒<<︒+︒+<<+︒∈或所以 {}30?360120?360,Z A B k k k αα︒︒︒⋂=+︒<<+∈; (2)解:由(1),知U B {}135?360315?360,Z k k k γγ︒︒=+≤≤︒+︒∈ 故U ()A B ⋂{}210?360300?360,Z k k k αα=+<<+∈ 29.(1)以A 为圆心,5为半径的圆内部分(2)线段AB 的垂直平分线【解析】【分析】(1)由圆的定义可得;(2)由线段垂直平分线的定义可得.(1)表示到A 点距离小于5的点组成的集合,即以A 为圆心,5为半径的圆内部分;(2)P 到,A B 距离相等,即线段AB 的垂直平分线.30.(1){}|20x x -<< (2)23,5⎡⎤--⎢⎥⎣⎦ 【解析】【分析】(1)解不等式得M ,再求,M N 交集(2)由题意列不等式组求解(1) 由632x >+化简得302x x <+,解得20x -<<,故{}|20M x x =-<<, 当1t =-时,{}52N x x =-<<,因此{}|20MN x x =-<<.(2) 因{}|20M x x =-<<,{}53N x t x t =<<+,M N ⊆, 所以355230t t t t +>⎧⎪≤-⎨⎪+≥⎩,经计算得235t-≤≤-,故实数t的取值范围是2 3.5⎡⎤--⎢⎥⎣⎦,。
高一数学集合练习题及答案-经典一、单选题1.已知集合{}0,1,2,3A =,集合{}11B x x =-≤,则A B 等于( ) A .{}3B .{}0,1,2C .{}1,2D .{}0,1,2,32.已知集合{}{}0,11,A xx B x x x =≥=-≤≤∈Z ∣∣,则A B =( ) A .[]0,1B .{}1,2C .{}0,1D .[]1,23.设集合{}{lg 1},2A xx B x x =<=≤∣∣,则A B ⋃=( ) A .{02}xx <≤∣ B .{}2xx ≤∣ C .{10}x x <∣ D .R4.已知集合{}260A x R x x =∈+-<,集合1133x B x R -⎧⎫=∈≥⎨⎬⎩⎭,则A B =( )A .{}32x x -<<B .{}02x x <≤C .{}02x x ≤<D .{}3x x >-5.设M ,N ,U 均为非空集合,且满足M ⫋N ⫋U ,则()()U U M N ⋂=( ) A .M B .NC .u MD .u N6.已知集合2,1,0,1,2U ,{}1,2A =,{}1,1B =-,则()U A B ⋂=( ) A .{}1B .{}2C .{}1,2D .{}1,1,2-7.已知R 为实数集,集合{}{}2340,ln(1)A x x x B x y x =--≤==-,则R A B ⋃=( )A .{}14x x <≤B .{}11x x -≤≤C .{}1x x ≥-D .{}4x x ≤8.已知集合{}{}234014P x x x Q x N x =--<=∈≤≤,,则=P Q ( )A .{1,2,3,4}B .{1,2,3}C .{1,2}D .{2,3,4}9.已知全集{}1,2,3,4,5U =,{}2,3,4A =,{}3,5B =,则()UA B =( ) A .{}1B .{}3C .{}2,4D .{}1,2,4,510.已知集合(){}30A x x x =-<,{}0,1,2,3B =,则A B ( ) A .{}0,1,2,3 B .{}0,1,2 C .{}1,2,3D .{}1,211.设全集{}1,2,3,4,5,6U =,集合{}1,2,4A =,{}3,4,5B =,则下图中的阴影部分表示的集合为( )A .{}4B .{}5C .{}1,2D .{}3,512.已知集合[)2,4A =,[]3,5B =,则()R A B =( ) A .(]4,5B .[]4,5C .()[),23,-∞⋃+∞D .(][),23,-∞⋃+∞13.已知集合{}2log 1M x x =<,{}21N x x =≤,则M N ⋃=( )A .(],1-∞B .(),2-∞C .[)1,2-D .(]0,114.设全集{}0,1,2,3,4U =,集合{}1,2,4A =,{}2,3B =,则()U A B ⋂=( ) A .{}2B .{}2,3C .{}0,3D .{}315.已知集合{}2280,Z A x x x x =--<∈,则A 的非空子集的个数为( )A .32B .31C .16D .15二、填空题16.从集合{}123,,,,n U a a a a =⋅⋅⋅的子集中选出4个不同的子集,需同时满足以下两个条件:①∅、U 都要选出;②对选出的任意两个子集A 和B ,必有A B ⊆或A B ⊇.则选法有___________种.17.如图,设集合,A B 为全集U 的两个子集,则A B =____________.18.已知函数()()()2sin 0,0g x x ωϕωϕπ=+><<的部分图象如图所示,将函数()g x 的图象向右平移6π个单位长度,得到函数()f x 的图象,若集合()3512A x y f x f π⎧⎫⎪⎪⎛⎫==-⎨⎬⎪⎝⎭⎪⎪⎩⎭,集合{}0,1,2B =,则A B =______.19.等差数列{}n a 中15141024a a a a ++=+,513a a =. 若集合{}*122nn n N a a a λ∈<+++∣中仅有2个元素,则实数λ的取值范围是______.20.集合(){},A x y y a x ==,(){},B x y y x a ==+,C AB =,且集合C 为单元素集合,则实数a 的取值范围是________.21.已知集合{}{}35,10A x Zx B y y =∈-<<=+>∣∣,则A B 的元素个数为___________. 22.满足{}1,2A ⊆的集合A 的个数是______________23.若非空且互不相等的集合M ,N ,P 满足:M N M ⋂=,⋃=N P P ,则M P =________.24.从集合M={}1,2,3,4,,2021中去掉所有3的倍数和5的倍数,则剩下的元素个数为______25.已知集合{}1,2,4,8A =,集合B ={x x 是6的正因数},则A B ⋃=__________.三、解答题26.设集合{|16}A x x =-≤≤,{|121}B x m x m =-≤≤+,且B A ⊆. (1)求实数m 的取值范围;(2)当x ∈N 时,求集合A 的子集的个数.27.已知函数()()4log 5f x x =-+()g x x α=(α为常数),且()g x 的图象经过点(P .(1)求()f x 的定义域和()g x 的解析式;(2)记()f x 的定义域为集合A ,()g x 的值域为集合B ,求()A B ⋂R .28.已知集合{}22A x a x a =-≤≤,{}31B x x =-<<. (1)若2a =-,求()R A B ⋃; (2)若A B A =,求a 的取值范围.29.已知集合{}2560A xx x =--≤∣,集合{}26510B x x x =-+>∣,集合09x m C x x m -⎧⎫=≤⎨⎬--⎩⎭∣.(1)求A B ;(2)若A C C =,求实数m 的值取范围.30.用描述法写出下面这些区间的含义:[]2,7-;[),a b ;()123,+∞;(],9-∞-.【参考答案】一、单选题 1.B 【解析】 【分析】由交集运算求解即可. 【详解】{}{}{}1102,0,1,2B x x x x A B =-=≤≤∴⋂=∣故选:B 2.C 【解析】 【分析】根据交集的定义和运算直接得出结果. 【详解】 由题意得,{1,0,1}B =-,又{}0A x x =≥,所以{0,1}A B =. 故选:C. 3.C 【解析】【分析】先化简集合A ,再求A B 【详解】lg 1lg lg10010x x x <⇔<⇔<<,即{}010|A x x =<<,所以{}|10A B x x =< 故选:C 4.C 【解析】 【分析】本题首先通过解不等式260x x +-<得出{}32A x x =-<<,然后通过解不等式1133x -≥得出{}0B x x =≥,最后通过交集的相关性质即可得出结果.【详解】260x x +-<,()()320x x +-<,32x -<<,{}32A x x =-<<,1133x -≥,11x -≥-,0x ≥,{}0B x x =≥, 则{}02A B x x ⋂=≤<, 故选:C. 5.D 【解析】 【分析】利用()()()U U uM N M N ⋂=⋃,判断相互之间的关系.【详解】()()()UU uM N M N ⋂=⋃,M N N ⋃=,()u uM N N ⋃=.故选D. 6.B 【解析】 【分析】根据集合补集和交集的定义进行求解即可. 【详解】 因为2,1,0,1,2U ,{}1,1B =-,所以{}2,0,2UB =-,又因为{}1,2A =,所以()U A B ⋂={}2, 故选:B 7.D 【解析】 【分析】首先解一元二次不等式求出集合A ,再根据对数型函数的定义域求出集合B ,最后根据补集、并集的定义计算可得; 【详解】解:由2340x x --≤,即410x x ,解得14x -≤≤,即{}{}234014A x x x x x =--≤=-≤≤,又(){}{}ln 11B x y x x x ==-=,所以{}|1RB x x =≤,所以{}4R A B x x ⋃=≤;故选:D 8.B 【解析】 【分析】解不等式得到14{|}P x x =-<<,根据题意得到{1,2,3,4}Q =,再由集合交集的概念得到结果. 【详解】由集合{}234|0P x x x =--<,解不等式得到:14{|}P x x =-<<,又因为{1,2,3,4}Q =,根据集合交集的概念得到:{}1,2,3P Q ⋂=. 故选:B. 9.D 【解析】 【分析】利用交集和补集的定义可求得结果. 【详解】由已知可得{}3A B ⋂=,所以,(){}1,2,4,5UA B ⋂=.故选:D. 10.D 【解析】 【分析】先化简集合A ,继而求出A B . 【详解】解:(){}{}30=03A x x x x x =-<<<,{}0,1,2,3B =,则A B ={}1,2. 故选:D. 11.D 【解析】 【分析】图中阴影部分表示()U A B ⋂,再根据交集和补集的定义即可得出答案. 【详解】解:图中阴影部分表示()U A B ⋂,因为{}1,2,3,4,5,6U =,集合{}1,2,4A =,{}3,4,5B =, 所以{}3,5,6UA =,所以(){}3,5U A B =. 故选:D. 12.B 【解析】 【分析】先求出集合A 的补集,再由交集运算可得答案. 【详解】集合[)2,4A =,[]3,5B =,则()()[),24,R A =-∞⋃+∞ 所以()[]4,5R A B ⋂=, 故选:B. 13.C 【解析】 【分析】求出集合M ,N ,然后进行并集的运算即可. 【详解】∵{}02M x x =<<,{}11N x x =-≤≤, ∴[1,2)M N ⋃=-. 故选:C . 14.D 【解析】 【分析】利用补集和交集的定义可求得结果. 【详解】 由已知可得{}0,3UA =,因此,(){}U 3AB ⋂=,故选:D. 15.B 【解析】 【分析】求出集合A ,利用集合的非空子集个数公式可求得结果. 【详解】{}{}{}2280,Z 24,Z 1,0,1,2,3A x x x x x x x =--<∈=-<<∈=-,即集合A 含有5个元素,则A 的非空子集有52131-=(个). 故选:B.二、填空题16.3323n n -⋅+【解析】 【分析】分析出当一个子集只含有m 个元素时,另外一个子集可以包含()1m +,()2m +,(),1n -个元素,所以共有()()121C C C C C 22n mm n m m n n m n m n m n ------⨯+++=⨯-种选法;再进行求和即可. 【详解】因为∅、U 都要选出;故再选出两个不同的子集,即为M ,N , 因为选出的任意两个子集A 和B ,必有A B ⊆或A B ⊇,故各个子集所包含的元素个数必须依次增加,且元素个数多的子集包含元素个数少的子集,当一个子集只含有1个元素时,另外一个子集可以包含2,3,4()1n -个元素,所以共有()()111221111C C C C C 22n n n n n n n -----⨯+++=⨯-种选法; 当一个子集只含有2个元素时,另外一个子集可以包含3,4,()1n -个元素,所以共有()()221232222C C C C C 22n n n n n n n -----⨯+++=⨯-种选法;当一个子集只含有3个元素时,另外一个子集包含4,5,()1n -个元素,所以共有()()331243333C C C C C 22n n n n n n n -----⨯+++=⨯-种选法;……当一个子集只含有m 个元素时,另外一个子集可以包含()1m +,()2m +,(),1n -个元素,所以共有()()121C C C C C 22n mm n m m n n m n m n m n ------⨯+++=⨯-种选法;……当一个子集有()2n -个元素时,另外一个子集包含()1n -个元素,所以共有()22C 22n n -⨯-种选法;当一个子集有()1n -个元素时,另外一个子集包含有n 个元素,即为U ,不合题意,舍去;故共有()()()()122122C 22C 22C 22C 22n n n mm n n n n n ----⨯-+⨯-++⨯-++⨯-()1122122C 2C 22C C C n n n n n n n n ---=⋅++⋅-+++()()122212223323nn n n n n n =+------=-⋅+. 故答案为:3323n n -⋅+ 【点睛】对于集合与排列组合相结合的题目,要能通过分析,求出通项公式,再结合排列或组合的常用公式进行化简求解.17.{}1,2,3,4,5【解析】【分析】由题知{}{}1,2,3,4,3,4,5A B ==,进而求并集即可. 【详解】解:由题知{}{}1,2,3,4,3,4,5A B ==, 所以{}1,2,3,4,5A B =. 故答案为:{}1,2,3,4,518.{}0【解析】 【分析】根据图像求出g (x )的解析式,再求出f (x )解析式,求出A 集合,根据集合交集运算法则计算即可. 【详解】由图可知()g x 周期52=1212T πππ⎛⎫=⨯+⎪⎝⎭,∴22T πω==.由212πg ⎛⎫-= ⎪⎝⎭得22122k ππϕπ⎛⎫⨯-+=+ ⎪⎝⎭,∴223k πϕπ=+,k ∈Z , ∵0ϕπ<<,∴k 取0,23ϕπ=, ∴()22sin 23g x x π⎛⎫=+⎪⎝⎭, ∴()22sin 22sin 2633f x x x πππ⎡⎤⎛⎫⎛⎫=-+=+ ⎪ ⎪⎢⎥⎝⎭⎝⎭⎣⎦, ∴35352sin 22sin 611212363f ππππππ⎛⎫⎛⎫⎛⎫=⨯+=-+=⎪ ⎪⎪⎝⎭⎝⎭⎝⎭. ∴()35150sin 22221232636f x f x k x k πππππππ⎛⎫⎛⎫-≥⇔+≥⇔+≤+≤+⎪ ⎪⎝⎭⎝⎭,k ∈Z , ∴,124A x k x k k ππππ⎧⎫=-≤≤+∈⎨⎬⎩⎭Z ,∴{}0A B ⋂=.故答案为:{}0﹒19.924⎡⎫⎪⎢⎣⎭,【解析】 【分析】设等差数列{}n a 的公差为d ,由题设列出d 与1a 的方程组,解出d 与1a ,从而可得到212322n n n a a a n n ++⋯++=,令23()2n n n f n +=,得出()f n 的单调性,即可求出λ的取值范围. 【详解】解:设等差数列{}n a 的公差为d ,由题设可知:11111141392443a a d a d a d a d a ++++=++⎧⎨+=⎩,解得:14a =,2d =,212(1)4232n n n a a a n n n -+++=+⨯=+, ∴212322n n na a a n n++⋯++=,令23()2n n n f n +=,则22211(1)3(1)34(1)()222n n n n n n n n n f n f n +++++++-+-=-=-, 当2n <时,()()10f n f n +->, 当2n ≥时,()()10f n f n +-<,f ∴(1)f <(2)f >(3)f >(4)>,又f (1)2=,f (2)52=,f (3)94=,f (4)74=, 集合{}*12N |2n n n a a a λ∈<++⋯+中有2个元素,即集合*12N |2n n a a a n λ++⋯+⎧⎫∈<⎨⎬⎩⎭中有2个元素, [2λ∴∈,9)4.故答案为:924⎡⎫⎪⎢⎣⎭,.20.[1,1]-【解析】 【分析】由题意可得集合A ,B 表示的曲线有一个交点,可得a x x a =+有一个根,当0a =时,符合题意,当0a ≠时,1x x a =+,分别作出y x =与1xy a=+的图象,根图象求解即可 【详解】因为C A B =,且集合C 为单元素集合, 所以集合A ,B 表示的曲线有一个交点, 所以a x x a =+有一个根 当0a =时,符合题意, 当0a ≠时,1x x a =+,分别作出y x =与1xy a=+的图象, 由图象可知11a ≥或11a≤-时,两函数图象只有一个交点, 解得01a <≤或10a -≤<, 综上,实数a 的取值范围是[1,1]-, 故答案为:[1,1]-21.5【解析】【分析】直接求出集合A 、B ,再求出A B ,即可得到答案.【详解】因为集合{}{}352,1,0,1,2,3,4A x Zx =∈-<<=--∣,集合{}{}101B y y y y =+>=>-∣∣, 所以{}0,1,2,3,4A B =,所以A B 的元素个数为5.故答案为:5.22.4【解析】【分析】利用集合的子集个数公式求解即可.【详解】∵{}1,2A ⊆,∴集合A 是集合{}1,2的子集,∴集合A 的个数为22=4,故答案为:4.23.P【解析】【分析】推导出M N ⊆,N P ⊆,由此能求出MP P =. 【详解】 解:非空且互不相等的集合M ,N ,P 满足:M N M ⋂=,⋃=N P P , M N ∴⊆,N P ⊆,M P P ∴=.故答案为:P .24.1078【解析】【分析】剔除集合中是3的倍数,5的倍数的元素,即可得出结果.【详解】集合M 中,3的倍数有20216733⎡⎤=⎢⎥⎣⎦个,5的倍数有20214045⎡⎤=⎢⎥⎣⎦个,15的倍数有202113415⎡⎤=⎢⎥⎣⎦个, 则剩下的元素个数为2021(673404134)1078-+-=个.故答案为:1078.25.{1,2,3,4,6,8}【解析】【分析】先化简集合B ,再求两集合的并集.【详解】因为B ={x x 是6的正因数}{1,2,3,6}=,所以{1,2,3,4,6,8}A B =.故答案为:{1,2,3,4,6,8}.三、解答题26.(1){|2m m <-或502m ≤≤} (2)128【解析】【分析】(1)按照集合B 是空集和不是空集分类讨论求解;(2)确定集合A 中元素(个数),然后可得子集个数.(1)当121m m ->+即2m <-时,B =∅,符合题意; 当B ≠∅时,有12111216m m m m -≤+⎧⎪-≥-⎨⎪+≤⎩,解得502m ≤≤. 综上实数m 的取值范围是{|2m m <-或50}2m ≤≤;(2)当x ∈N 时,{0,1,2,3,4,5,6}A =,所以集合A 的子集个数为72128=个. 27.(1)()3,5;()12g x x =;(2)][)0,35,∞⎡⋃+⎣.【解析】【分析】(1)根据f (x )解析式即可求其定义域,根据()g x x α=过P 求出α即可求出g (x )解析式; (2)根据幂函数的性质求g (x )值域即B ,根据集合的补集和交集的运算方法求解即可.(1)5052603x x x x ⎧-><⎧⇒⎨⎨->>⎩⎩, ∴f (x )定义域为()3,5;∵()g x x α=过(P ,则()3132218222g x x ααα==⇒=⇒=; (2)()3,5A =,[)0,B ∞=+,][(),35,A ∞∞=-⋃+R ,()][)0,35,A B ∞⎡⋂=⋃+⎣R. 28.(1)()R A B ⋃{|2x x =≤-或1}x ≥ (2)()1,12,2⎛⎫-+∞ ⎪⎝⎭【解析】【分析】(1)首先得到集合A ,再根据补集、并集的定义计算可得;(2)依题意可得A B ⊆,分A =∅与A ≠∅两种情况讨论,分别得到不等式,解得即可;(1)解:由题意当2a =-时得{}62A x x =-≤≤-,因为{}31B x x =-<<,所以{|3R B x x =≤-或1}x ≥,所以()R A B ⋃{|2x x =≤-或1}x ≥.(2)解:因为A B A =,所以A B ⊆,①当A =∅时,22a a ->,解得2a >,符合题意;.②当A ≠∅时,221223a a a a -≤⎧⎪<⎨⎪->-⎩,解得112a -<<. 故a 的取值范围为()1,12,2⎛⎫-+∞ ⎪⎝⎭.29.(1)1|13x x ⎧-≤<⎨⎩或162x ⎫<≤⎬⎭; (2)(]3,1--.【解析】【分析】(1)根据一元二次不等式的解法求出集合A 、B ,即可求出A B ; (2)由A C C =,可知A C ⊆,得到不等式组,即得.(1)∵{}2560A xx x =--≤∣,{}26510B x x x =-+>∣, {|16}A x x ∴=-≤≤,1|3B x x ⎧=<⎨⎩或12x ⎫>⎬⎭, ∴1|13A B x x ⎧⋂=-≤<⎨⎩或162x ⎫<≤⎬⎭; (2)∵{|16}A x x =-≤≤,0{|9}9x m C x x m x m x m -⎧⎫=≤=≤<+⎨⎬--⎩⎭∣, 由A C C =,得A C ⊆,961m m +>⎧∴⎨≤-⎩,解得31m -<≤-, ∴实数m 的值取范围为(]3,1--.30.{}27x x -≤≤;{}x a x b ≤<;{}123x x >;{}9x x ≤-.【解析】【分析】将区间转化为集合,用描述法写出答案.【详解】[]2,7-用描述法表示为:{}27x x -≤≤;[),a b 用描述法表示为:{}x a x b ≤<;()123,+∞用描述法表示为:{}123x x >;(],9-∞-用描述法表示为:{}9x x ≤-.。
集合练习题及答案一、选择题1. 集合A={1,2,3},B={2,3,4},求A∪B。
A. {1,2,3,4}B. {1,2,3}C. {2,3}D. {1,4}2. 若集合A={x|x<5},B={x|x>3},则A∩B表示的集合是:A. {x|x<3}B. {x|3<x<5}C. {x|x>5}D. {x|x≤3}3. 集合A={1,2,3},B={4,5,6},A∩B等于:A. {1,2,3}B. {4,5,6}C. 空集D. {1,2,3,4,5,6}4. 集合A={x|x^2-5x+6=0},求A的元素。
A. {2,3}B. {1,6}C. {-1,6}D. {-2,3}5. 若集合A={x|-3≤x≤3},B={x|x>-2},求A-B。
A. {x|-3≤x≤-2}B. {x|-2<x≤3}C. {x|-3<x<-2}D. 空集二、填空题6. 集合{1,2,3}的补集(相对于全集U={1,2,3,4,5})是_________。
7. 若A={x|0<x<10},B={x|-5<x<5},则A∩B=_________。
8. 集合{a,b,c}的幂集含有的元素个数是_________。
9. 集合{1,2}的笛卡尔积{1,2}×{1,2}包含的元素个数是_________。
10. 若A={x|0<x<10},B={x|-5<x<5},且A⊆B,则A的元素个数最多是_________。
三、解答题11. 已知集合A={1,2,3},B={2,3,4},求A∩B,并说明交集的定义。
12. 集合C={x|x^2-4=0},求C,并解释补集的概念。
13. 给定集合D={x|-1<x<2},E={x|x>1},求D∪E,并解释并集的定义。
14. 若F={x|x^2+4x+3=0},求F,并求F相对于全集U={1,2,3,4,5,6}的补集。
集合简单练习题及答案一、判断题1. 空集是任何集合的子集。
2. 若A∩B=A,则A⊆B。
3. 集合{1, 2, 3}和集合{3, 2, 1}是不同的集合。
4. 任意两个集合的交集一定是空集。
5. 若A⊆B,则A∪B=B。
二、选择题1. 设A={x|x²3x+2=0},则A中元素的个数为()A. 0B. 1C. 2D. 32. 已知集合M={1, 2, 3, 4, 5},下列选项中不属于M的子集的是()A. {1, 2, 3}B. {5, 4, 3, 2, 1}C. {6}D. {}3. 若集合A={x|x²5x+6=0},B={x|x²3x+2=0},则A∩B=()A. {1}B. {2}C. {1, 2}D. ∅4. 已知集合A={1, 2, 3},B={2, 3, 4},则A∪B=()A. {1, 2, 3, 4}B. {1, 2, 3}C. {2, 3}D. {1, 4}5. 设集合A={x|x²x6=0},B={x|x²4x+3=0},则AB=()A. {2}B. {3}C. {2}D. {3}三、填空题1. 已知集合A={1, 2, 3, 4},B={3, 4, 5, 6},则A∩B=_________。
2. 若集合M={x|x²4x+3=0},则M的元素个数为_________。
3. 设集合P={x|x²2x+1=0},则P=_________。
4. 已知集合A={x|x²5x+6=0},B={x|x²3x+2=0},则A∪B=_________。
5. 若集合A={1, 2, 3},B={x|x²5x+6=0},则AB=_________。
四、解答题1. 设集合A={x|x²4x+3=0},B={x|x²3x+2=0},求A∩B。
2. 已知集合M={1, 2, 3, 4, 5},求满足条件“集合中的元素都是偶数”的M的子集。
集合练习题1.设M={x|x≤211},a=2 015,则下列关系中正确的是()A.a⊆M B.a∉MC.{a}∉M D.{a}⊆M答案 D解析∵2 015<211=2 048,∴{2 015}⊆M,故选D.2.已知集合P={x|x2-4<0},Q={x|x=2k+1,k∈Z},则P∩Q=() A.{-1,1} B.[-1,1]C.{-1,-3,1,3} D.{-3,3}答案 A3.若P={x|x<1},Q={x|x>-1|,则()A.P⊆Q B.Q⊆PC.∁R P⊆Q D.Q⊆∁R P答案 C解析由题意,得∁R P={x|x≥1},画数轴可知,选项A,B,D错,故选C.4.(2013·广东)设集合M={x|x2+2x=0,x∈R},N={x|x2-2x=0,x∈R},则M∪N=()A.{0} B.{0,2}C.{-2,0} D.{-2,0,2}答案 D解析M={-2,0},N={0,2},故M∪N={-2,0,2}.5.已知集合A={x|x2-3x+2=0,x∈R},B={x|0<x<5,x∈N},则满足条件A⊆C⊆B的集合C的个数为()A.1 B.2C.3 D.4答案 D解析由题意可得,A={1,2},B={1,2,3,4}.又∵A⊆C⊆B,∴C={1,2}或{1,2,3}或{1,2,4}或{1,2,3,4},故选D项.6.(2013·山东文)已知集合A,B均为全集U={1,2,3,4}的子集,且∁U(A∪B)={4},B={1,2},则A∩∁U B=()A.{3} B.{4}C.{3,4} D.∅答案 A解析由题意知A∪B={1,2,3},又B={1,2},所以A中必有元素3,没有元素4,∁U B={3,4},故A∩∁U B={3}.7.(2014·苏锡常镇一调)已知集合A={x|x<a},B={x|1<x<2},且A∪(∁R B)=R,则实数a的取值范围是()A.a≤1 B.a<1C.a≥2 D.a>2答案 C解析∵B={x|1<x<2},∴∁R B={x|x≥2或x≤1}.又∵A={x|x<a}且A∪(∁R B)=R,∴a≥2.8.设P={y|y=-x2+1,x∈R},Q={y|y=2x,x∈R},则()A.P⊆Q B.Q⊆PC.∁R P⊆Q D.Q⊆∁R P答案 C解析依题意得集合P={y|y≤1},Q={y|y>0},∴∁R P={y|y>1},∴∁R P⊆Q,选C.9.已知全集U=R,A={x∈Z||x-3|<2},B={x|x2-2x-3≥0},则A∩∁U B 为()A.{2} B.{1,2}C.{1,2,3} D.{0,1,2,3}答案 A解析A={x∈Z|1<x<5}={2,3,4},∁U B={x∈Z|x2-2x-3<0}={x∈Z|-1<x<3}={0,1,2},∴A∩∁U B={2},故选A.10.已知集合P={x|5x-a≤0},Q={x|6x-b>0},a,b∈N,且P∩Q∩N ={2,3,4},则整数对(a,b)的个数为()A.20 B.30C.42 D.56答案 B11.(2014·人大附中期末)已知集合A={1,10,110},B={y|y=lg x,x∈A},则A∩B=()A.{110} B.{10}C.{1} D.∅答案 C解析∵B={y|y=lg x,x∈A}={y|y=lg1,y=lg10,y=lg 110}={0,1,-1},∴A∩B={1},选C.12.已知集合A={1,2,k},B={2,5}.若A∪B={1,2,3,5},则k=________.答案 313.将右面韦恩图中阴影部分用集合A、B、C之间的关系式表示出来________.答案A∩B∩(∁U C)14.(2014·皖南八校联考)已知集合A={-1,0,a},B={x|0<x<1},若A∩B≠∅,则实数a的取值范围是________.答案(0,1)解析∵A中-1,0不属于B,且A∩B≠∅,∴a∈B,∴a∈(0,1).15.已知集合A={x|log2x<1},B={x|0<x<c},(c>0).若A∪B=B,则c的取值范围是________.答案[2,+∞)解析A={x|0<x<2},由数轴分析可得c≥2.16.设集合S n={1,2,3,…,n},若x是S n的子集,把x中的所有元素的乘积称为x的容量(若x中只有一个元素,则该元素的数值即为它的容量,规定空集的容量为0).若x的容量为奇(偶)数,则称x为S n的奇(偶)子集.则S4的所有奇子集的容量之和为________.答案7解析由奇子集的定义,可知奇子集一定是S n中为奇数的元素构成的子集.由题意,可知若n=4,S n中为奇数的元素只有1,3,所以奇子集只有3个,分别是{1},{3},{1,3},则它们的容量之和为1+3+1×3=7.17.已知集合A={-4,2a-1,a2},B={a-5,1-a,9},分别求适合下列条件的a的值.(1)9∈A∩B;(2){9}=A∩B.答案(1)a=5或a=-3(2)a=-3解析(1)∵9∈A∩B且9∈B,∴9∈A.∴2a-1=9或a2=9.∴a=5或a=±3.而当a=3时,a-5=1-a=-2,故舍去.∴a=5或a=-3.(2)∵{9}=A∩B,∴9∈A∩B.∴a=5或a=-3.而当a=5时,A={-4,9,25},B={0,-4,9},此时A∩B={-4,9}≠{9},故a=5舍去.∴a =-3.讲评 9∈A ∩B 与{9}=A ∩B 意义不同,9∈A ∩B 说明9是A 与B 的一个公共元素,但A 与B 允许有其他公共元素.而{9}=A ∩B 说明A 与B 的公共元素有且只有一个9.18.已知集合A ={x |x 2-6x +8<0},B ={x |(x -a )·(x -3a )<0}.(1)若A B ,求a 的取值范围;(2)若A ∩B =∅,求a 的取值范围;(3)若A ∩B ={x |3<x <4},求a 的取值范围.答案 (1)43≤a ≤2 (2)a ≤23或a ≥4 (3)3解析 ∵A ={x |x 2-6x +8<0},∴A ={x |2<x <4}.(1)当a >0时,B ={x |a <x <3a },应满足⎩⎪⎨⎪⎧ a ≤2,3a ≥4且等式不能同时成立⇒43≤a ≤2. 当a <0时,B ={x |3a <x <a },应满足⎩⎪⎨⎪⎧3a ≤2,a ≥4⇒a ∈∅. ∴43≤a ≤2时,A B .(2)要满足A ∩B =∅,当a >0时,B ={x |a <x <3a },a ≥4或3a ≤2,∴0<a ≤23或a ≥4.当a <0时,B ={x |3a <x <a },a ≤2或a ≥43.∴a <0时成立.验证知当a =0时也成立.综上所述,a≤23或a≥4时,A∩B=∅.(3)要满足A∩B={x|3<x<4},显然a>0且a=3时成立.∵此时B={x|3<x<9},而A∩B={x|3<x<4},故所求a的值为3.。
一、选择题1.下列四个结论中,正确的是( )A.0={0}B.0∈{0}C.0⊆{0}D.0∈{∅}【解析】选B.{0}是含有1个元素0的集合,故0∈{0}.2.如果M={x|x+1>0},则( )A.∅∈MB.∅=MC.{0}∈MD.{0}⊆M【解析】选D.M={x|x+1>0}={x|x>-1},所以{0}⊆M.3.下列四个集合中,是空集的是( )A.{x|x+3=3}B.{(x,y)|y2=-x2,x,y∈R}C.{x|x2≤0}D.{x|x2-x+1=0,x∈R}【解析】选 D.对A,{x|x+3=3}={0};对B,{(x,y)|y2=-x2,x,y∈R}={(0,0)};对C,{x|x2≤0}={0};对D,由于Δ=(-1)2-4=-3<0,即方程x2-x+1=0无解,故{x|x2-x+1=0,x∈R}=∅.4.已知集合A={x|3≤x2≤5,x∈Z},则集合A的真子集个数为( )A.1个B.2个C.3个D.4个【解析】选C.由题意知,x=-2,2,即A={-2,2},故其真子集有3个. 【误区警示】本题易忽视真子集这一条件而误选D.5.已知集合M={x|y2=2x,y∈R}和集合P={(x,y)|y2=2x,y∈R},则两个集合间的关系是( )A.M PB.P MC.M=PD.M,P互不包含【解析】选D.由于两集合代表元素不同,即M表示数集,P表示点集,因此M与P互不包含,故选D.【误区警示】解答本题易忽视集合的属性而误选C.6.已知全集U=R,则正确表示集合M={-1,0,1}和N={x|x2+x=0}关系的Venn图是( )【解析】选B.由N={x|x2+x=0}={-1,0},得N M.7.设集合S={x|x≥2},T={x|x≤5},则S∩T= ( )A.{x|x≤5}B.{x|x≥2}C.{x|2<x<5}D.{x|2≤x≤5}【解析】选D.依题意计算得S∩T=,故选D.8.已知集合A={-2,0,2},B={x|x2-x-2=0},则A∪B= ( )A.∅B.{2}C.{0,-1,2}D.{-2,-1,0,2}【解析】选D.因为B={x|x2-x-2=0}={-1,2},A={-2,0,2},所以A∪B= {-2,-1,0,2}.9.设集合A={x∈N|1≤x≤10},B={x∈R︱x2+ x-6=0},则图中阴影表示的集合为( )A.{2}B.{3}C.{-3,2}D.{-2,3}【解析】选A.A={1,2,3,4,5,6,7,8,9,10},B={-3,2},由题意可知,阴影部分即为A∩B,故A∩B={2}.【补偿训练】若集合A={x|-2≤x≤3},B={x|x<-1或x>4},则集合A ∩B等于( )A.{x|x≤3或x>4}B.{x|-1<x≤3}C.{x|3≤x<4}D.{x|-2≤x<-1}【解析】选D.将集合A,B表示在数轴上,由数轴可得A∩B={x|-2≤x<-1},故选D.10.在集合{a,b,c,d}上定义两种运算⊕和⊗如下:那么d⊗(a⊕c)的运算结果为( )A.aB.bC.cD.d【解题指南】先计算(a⊕c)的结果,再计算d⊗(a⊕c)的值.【解析】选A.由上表可知:(a⊕c)=c,故d⊗(a⊕c)=d⊗c=a.11.设集合A={1,2},则满足A∪B={1,2,3}的集合B的个数是( )A.1B.3C.4D.8【解题指南】由并集中的元素可知集合B中至少含有一个元素3,由此分类求解.【解析】选C.因为A={1,2},A∪B={1,2,3},所以B={3}或{1,3}或{2,3}或{1,2,3},故选C.12.集合A={2n+1|n∈Z},集合B={4k±1|k∈Z},则A与B间的关系是( )A.A∈BB.A BC.A∉BD.A=B二、填空题1.已知集合A={x|x2-3x+2=0},B={1,2},C={x|x<8,x∈N},用适当符号填空:A B,A C,{2} C,2 C.【解析】A={1,2},B={1,2},C={0,1,2,3,4,5,6,7},所以A=B,A C,{2}C,2∈C.答案:= ∈2.已知集合A={x|-2≤x≤3},B={x|x≥m},若A⊆B,则实数m的取值范围为.【解题指南】根据集合间的关系,借助数轴求解.【解析】将集合A,B表示在数轴上,如图所示,所以m≤-2.答案:m≤-23.设x,y∈R,A={(x,y)|y=x},B=,则A,B的关系是.【解析】因为B=={(x,y)|y=x,且x≠0},故B A.答案:B A【误区警示】解答本题易忽视集合B中x≠0而误认为A=B.4.设集合A={5,a+1},集合B={a,b}.若A∩B={2},则A∪B= .【解题指南】由交集求出a,b,再求并集.【解析】因为A∩B={2},所以2∈A,故a+1=2,a=1,即A={5,2};又2∈B,所以b=2,即B={1,2},所以A∪B={1,2,5}.答案:{1,2,5}三、解答题1.已知集合A={(x,y)|x+y=2,x,y∈N},试写出A的所有子集.【解析】因为A={(x,y)|x+y=2,x,y∈N},所以A={(0,2),(1,1),(2,0)}.所以A的子集有:∅,{(0,2)},{(1,1)},{(2,0)},{(0,2),(1,1)}, {(0,2),(2,0)},{(1,1),(2,0)},{(0,2),(1,1),(2,0)}.2.若集合A={x|(k+1)x2+x-k=0}有且仅有两个子集,求实数k的值. 【解析】集合A有且仅有两个子集说明A中仅有一个元素,那么对于方程(k+1)x2+x-k=0,若k+1=0,即k=-1,方程即为x+1=0,x=-1,此时A={-1},满足题意;若k+1≠0,则需Δ=0,即12-4(k+1)(-k)=0,解得k=-,此时A={-1},满足题意.所以实数k的值为-1或-.3.已知M={1},N={1,2},设A={(x,y)|x∈M,y∈N},B={(x,y)|x∈N,y ∈M},求A∩B和A∪B.【解析】因为A={(1,2),(1,1)},B={(1,1),(2,1)}.所以A∩B={(1,1)},A∪B={(1,1),(1,2),(2,1)}.【误区警示】本题易忽视集合A,B是点集而致错.4.已知A={1,x,-1},B={-1,1-x}.(1)若A∩B={1,-1},求x.(2)若A∪B={1,-1,},求A∩B.(3)若B⊆A,求A∪B.【解析】(1)由条件知1∈B,所以1-x=1,所以x=0.(2)由条件知x=,所以A=,B=,所以A∩B=.(3)因为B⊆A,所以1-x=1或1-x=x,所以x=0或,当x=0时,A∪B={1,0,-1},当x=时,A∪B=.。
集合练习题1.设M={x|x≤211},a=2 015,则下列关系中正确的是( )A.a⊆M B.a∉MC.{a}∉M D.{a}⊆M答案 D解析∵2 015<211=2 048,∴{2 015}⊆M,故选D.2.已知集合P={x|x2-4<0},Q={x|x=2k+1,k∈Z},则P∩Q=( ) A.{-1,1} B.[-1,1]C.{-1,-3,1,3} D.{-3,3}答案 A3.若P={x|x<1},Q={x|x>-1|,则( )A.P⊆Q B.Q⊆PC.∁R P⊆Q D.Q⊆∁R P答案 C解析由题意,得∁R P={x|x≥1},画数轴可知,选项A,B,D 错,故选C.4.(2013·广东)设集合M={x|x2+2x=0,x∈R},N={x|x2-2x=0,x∈R},则M∪N=( )A.{0} B.{0,2}C.{-2,0} D.{-2,0,2}答案 D解析M={-2,0},N={0,2},故M∪N={-2,0,2}.5.已知集合A={x|x2-3x+2=0,x∈R},B={x|0<x<5,x∈N},则满足条件A⊆C⊆B 的集合C 的个数为( )A.1 B.2C.3 D.4答案 D解析由题意可得,A={1,2},B={1,2,3,4}.又∵A⊆C⊆B,∴C={1,2} 或{1,2,3} 或{1,2,4} 或{1,2,3,4},故选D项.6.(2013·山东文)已知集合A,B 均为全集U={1,2,3,4}的子集,且∁U(A∪B)={4},B={1,2},则A∩∁U B=( )A.{3} C.{3,4} 答案 A B.{4} D.∅解析由题意知A∪B={1,2,3},又B={1,2},所以A 中必有元素3,没有元素4,∁U B={3,4},故A∩∁U B={3}.7.(2014·苏锡常镇一调)已知集合A={x|x<a},B={x|1<x<2},且A∪(∁R B) =R,则实数 a 的取值范围是( )A.a≤1 B.a<1C.a≥2 D.a>2答案 C解析∵B={x|1<x<2},∴∁R B={x|x≥2 或x≤1}.又∵A={x|x<a}且A∪(∁R B)=R,∴a≥2.8.设P={y|y=-x2+1,x∈R},Q={y|y=2x,x∈R},则( )A.P⊆Q B.Q⊆PC.∁R P⊆Q D.Q⊆∁R P答案 C解析依题意得集合P={y|y≤1},Q={y|y>0},∴∁R P={y|y>1},∴∁R P⊆Q,选C.9.已知全集U=R,A={x∈Z||x-3|<2},B={x|x2-2x-3≥0},则A∩∁U B 为( )A.{2} B.{1,2}C.{1,2,3} D.{0,1,2,3}答案 A解析A={x∈Z|1<x<5}={2,3,4},∁U B={x∈Z|x2-2x-3<0}={x∈Z|-1<x<3}={0,1,2},∴A∩∁U B={2},故选A.10.已知集合P={x|5x-a≤0},Q={x|6x-b>0},a,b∈N,且P∩Q∩N={2,3,4},则整数对(a,b)的个数为( )A.20 B.30C.42 D.56答案 B111.(2014·人大附中期末)已知集合A={1,10,10},B={y|y=lg x,x∈A},则A∩B=( )1A.{10} C.{1} B.{10} D.∅答案 C1解析∵B={y|y=lg x,x∈A}={y|y=lg1,y=lg10,y=lg10}={0,1,-1},∴A∩B={1},选C.12.已知集合A={1,2,k},B={2,5}.若A∪B={1,2,3,5},则k=.答案 313.将右面韦恩图中阴影部分用集合A、B、C 之间的关系式表示出来.答案A∩B∩(∁U C)14.(2014·皖南八校联考)已知集合A={-1,0,a},B={x|0<x<1},若A∩B≠∅,则实数a 的取值范围是.答案(0,1)解析∵A 中-1,0 不属于B,且A∩B≠∅,∴a∈B,∴a∈(0,1).15.已知集合A={x|log2x<1},B={x|0<x<c},(c>0).若A∪B=B,则c 的取值范围是.答案[2,+∞)解析A={x|0<x<2},由数轴分析可得c≥2.16.设集合S n={1,2,3,…,n},若x 是S n的子集,把x 中的所有元素的乘积称为x 的容量(若x 中只有一个元素,则该元素的数值即为它的容量,规定空集的容量为0).若x 的容量为奇(偶)数,则称x 为S n的奇(偶)子集.则S4的所有奇子集的容量之和为.答案7解析由奇子集的定义,可知奇子集一定是S n中为奇数的元素构成的子集.由题意,可知若n=4,S n中为奇数的元素只有1,3,所以奇子集只有3 个,分别是{1},{3},{1,3},则它们的容量之和为1+3+1×3=7.17.已知集合A={-4,2a-1,a2},B={a-5,1-a,9},分别求适合下列条件的a 的值.(1)9∈A∩B;(2){9}=A∩B.答案(1)a=5 或a=-3 (2)a=-3解析(1)∵9∈A∩B 且9∈B,∴9∈A.∴2a-1=9 或a2=9.∴a=5 或a=±3.而当a=3 时,a-5=1-a=-2,故舍去.∴a=5 或a=-3. (2)∵{9}=A∩B,∴9∈A∩B.∴a=5 或a=-3.而当a=5 时,A={-4,9,25},B={0,-4,9},此时A∩B={-4,9}≠{9},故a=5 舍去.∴a=-3.讲评9∈A∩B 与{9}=A∩B 意义不同,9∈A∩B 说明9 是A 与B 的一个公共元素,但A 与B 允许有其他公共元素.而{9}=A∩B 说明A 与B 的公共元素有且只有一个9.18.已知集合A={x|x2-6x+8<0},B={x|(x-a)·(x-3a)<0}.(1)若A B,求a 的取值范围;(2)若A∩B=∅,求a 的取值范围;(3)若A∩B={x|3<x<4},求a 的取值范围.4 2答案(1)3≤a≤2 (2)a≤3或a≥4 (3)3解析∵A={x|x2-6x+8<0},∴A={x|2<x<4}.(1)当a>0 时,4B={x|a<x<3a},应满足Error!且等式不能同时成立⇒3≤a≤2.当a<0 时,B={x|3a<x<a},应满足Error!⇒a∈∅.4∴3≤a≤2 时,A B. (2)要满足A∩B=∅,当a>0 时,B={x|a<x<3a},a≥4 或3a≤2,2∴0<a≤3或a≥4.4当a<0 时,B={x|3a<x<a},a≤2 或a≥3.∴a<0 时成立.验证知当a=0 时也成立.2综上所述,a≤3或a≥4 时,A∩B=∅.(3)要满足A∩B={x|3<x<4},显然a>0 且a=3 时成立.∵此时B={x|3<x<9},而A∩B={x|3<x<4},故所求a 的值为3.。
集合练习题一.选择题1.满足条件{1,2,3}⊂≠M ⊂≠{1,2,3,4,5,6}的集合M 的个数是A 、8B 、7C 、6D 、52.若集合{}0|2≤=x x A ,则下列结论中正确的是 A 、A=0B 、0A ⊆C 、∅=A D 、A ∅⊆3.下列五个写法中①{}{}2,1,00∈,②{}0≠⊂∅,③{}{}0,2,12,1,0⊆,④∅∈0, ⑤∅=∅ 0,错误的写法个数是 A 、1个B 、2个C 、3个D 、4个4.方程组⎩⎨⎧-=-=+11y x y x 的解集是A {}0,1x y ==B {}1,0C {})1,0(D {}(,)|01x y x y ==或5.设A 、B 是全集U 的两个子集,且A ⊆B,则下列式子成立的是 AC U A ⊆C U BBC U A ⋃C U B=UCA ⋂C U B=φDC U A ⋂B=φ6.已知全集⎭⎬⎫⎩⎨⎧∈∈-=Z a N a a M 且56|,则M=A 、{2,3}B 、{1,2,3,4}C 、{1,2,3,6}D 、{-1,2,3,4} 7.集合},02{2R x a x x x M ∈=-+=,且φM ,则实数a 的范围是A 、1-≤aB 、1≤aC 、1-≥aD 、1≥a8.设集合P 、S 满足P ⋂S=P,则必有APS ;BP ⊆S ;CSP ;DS=P;9.设全集},,,,{e d c b a U =,A 、B 都是U 的子集}{e B A =⋂,}{d B A C U =⋂,},{b a B C A C U U =⋂,则下列判断中正确的是AcA 且cB ; BcA 且cB ; CcA 且cB ; DcA 且cB; 10.若C A B A ⋃=⋃,则一定有AB=C ;B C A B A ⋂=⋂; C C C A B C A U U ⋃=⋂;D C A C B A C U U ⋂=⋂;11.已知集合M 和N 间的关系为M N M =⋂,那么下列必定成立的是A Φ=⋂M N C U ;B Φ=⋂N MC U ; C Φ=⋂N C M C U U ;D Φ=⋃N C M C U U ;12.若U={x,y ∣x,y ∈R},M={x,y ∣123=--x y },N={x,y ∣y-3=x-2},则C U MN 是A φ; B{2,3};C{2,3};D{x,y ∣y-3≠x-2};13.定义集合A 与集合B 的“差集”为:}|{B x A x x B A ∉∈=-且,则)(B A A --总等于AA ;BB ;C B A ⋂;D B A ⋃;14.若},13|{Z n n a a A ∈+==,},23|{Z n n a b B ∈-==,},16|{Z n n a c C ∈+==,则A 、B 、C 的关系是AABC ; BAB=C ; CA=BC ;DA=B=C;15.下列表述中错误的是A .若AB A B A =⊆ 则,B .若B A B B A ⊆=,则C .)(B A A)(B A D .()()()B C A C B A C U U U =16.下列各项中,不可以组成集合的是A .所有的正数B .约等于2的数C .接近于0的数D .不等于0的偶数 17.设集合},412|{Z k k x x M ∈+==,},214|{Z k k x x N ∈+==,则A .N M =B .M NC .N MD .φ=⋂N M 18.表示图形中的阴影部分 A .)()(C B C A ⋃⋂⋃ B .)()(C A B A ⋃⋂⋃ C .)()(C B B A ⋃⋂⋃D .C B A ⋂⋃)(19.已知集合A 、B 、C 为非空集合,M=A ∩C,N=B ∩C,P=M ∪N,则 A .C ∩P=C B .C ∩P=P C .C ∩P=C ∪P D .C ∩P=φ20.定义集合运算:A ⊙B ={z ︳z =xyx+y ,x ∈A ,y ∈B },设集合A={0,1},B={2,3},则集合A ⊙B 的所有元素之和为A0B6C12D18 二、填空题1.调查某班50名学生,音乐爱好者40名,体育爱好者24名,则两方面都爱好的人数最少是,最多是2.已知{}2|1,A y y x x ==+∈R ,全集U =R ,则A = N U.A B C3.设{}22,4,1U a a =-+,{}2,|1|A a =+,{}7A = U,则a =.4.已知A ={x |x <3},B ={x |x <a } 1若B ⊆A,则a 的取值范围是______ 2若A B,则a 的取值范围是______5.若{1,2,3}A ⊆{1,2,3,4},则A =______ 6.已知{}{}22|2004(2)400x x a x a +⨯++-==,则a =.7.若{}2|10,A x x x x R =+-=∈,{}2|10,B x x x x R =-+=∈,则集合,A B 的关系是. 8.若已知{}2|220A x x x a =-+-=,{}2|2220B x x x a =-++=,A B =∅,则实数a 的取值范围是.9.设集合},12|{2R x x x y y A ∈+-==,集合},1|{2R x x y y B ∈+-==,则=⋂B A ; 10.}|),({22y x y x A ==,}|),({2x y y x B ==,则=⋂B A ;11.设集合}043|{2=-+=x x x A ,}01|{=-=ax x B ,若B B A =⋂, 则实数a=;12.设全集},1001|{Z x x x U ∈≤≤=及其二个子集},12,1001|{Z k k m m m A ∈+=≤≤=,},3,1001|{Z k k n n n B ∈=≤≤=,则B A C U ⋂中数值最大的元素是;13.已知集合}023|{2=+-=x ax x A 至多有一个元素,则a 的取值范围; 若至少有一个元素,则a 的取值范围;14.设集合}0|),{(111=++=c x b x a y x A ,}0|),{(222=++=c x b x a y x B ,则方程)(111c x b x a ++0)(222=++c x b x a 的解集为.15.已知}1,0,1,2{--=A ,{|,}B y y x x A ==∈,则B =.16.方程0)3)(2()1(2=-+-x x x 的解集中含有_________个元素;17.已知U={},8,7,6,5,4,3,2,1(){},8,1=⋂B C A U (){},6,2=⋂B A C U ()(){},7,4=⋂B C A C U U 则集合A=18.集合P=(){}0,=+y x y x ,Q=(){}2,=-y x y x ,则A∩B=19.设含有三个实数的集合既可以表示成,,1b a a ⎧⎫⎨⎬⎩⎭,又可以表示成{}2,,0a a b +,则20032004a b +=;20.满足{}1234,,,M a a a a ⊆,且{}{}12312,,,M a a a a a =的集合M 的个数是;集合练习题2答案一、选择题答案 题号 1 2 3 4 5 6 7 8 9 10 答案 C D C C C D C B D D 题号 11 12 13 1415 16 17 18 19 20 答案 A CCCC C B A B D二、填空题答案1.14,24;{}0,2,3,4}2-B A 01a <<,-41,113.9|,08a a a ⎧⎫≥=⎨⎬⎩⎭或,9|8a a ⎧⎫≤⎨⎬⎩⎭当A 中仅有一个元素时,0a =,或980a ∆=-=; 当A 中有0个元素时,980a ∆=-<; 当A 中有两个元素时,980a ∆=->;∪B 15.{0,1,2}{}8,5,3,1(){}1,1-1-。
集合练习题及答案一、选择题1. 集合A={1,2,3},B={2,3,4},则A∩B的元素个数是()A.1B.2C.3D.42. 已知集合M={x|x<5},N={x|x>3},则M∪N表示的数集是()A.{x|x<5}B.{x|x>3}C.{x|x<=5}D.{x|x>=3}3. 集合P={x|0<x<10},Q={x|-2<x<2},P∩Q的区间表示为()A.[-2,2)B.(0,2)C.(-2,10)D.(-2,2]4. 集合R={x|x^2-1=0},S={x|x^2-4=0},则R∪S的元素是()A.{-1,1}B.{-2,2}C.{-1,1,-2,2}D.{-1,1,0}5. 集合T={x|x是偶数},U={x|x是自然数},T⊆U,则T与U的关系是()A.T=UB.T⊂UC.T⊃UD.T≠U二、填空题1. 若A={x|-1<x<3},B={x|-3<x<1},则A∪B=______。
2. 设集合W={x|x^2-x-6=0},则W的元素为______。
3. 已知集合X={x|x是小于10的正整数},则X的补集C_UX=______。
4. 若集合Y={x|-2≤x≤2},Z={x|x是奇数},则Y∩Z=______。
5. 设集合V={x|x^2+2x+1=0},则V中元素的个数为______。
三、解答题1. 已知集合A={1,2,3},B={2,3,4,5},求A∪B,A∩B,并判断A和B 的包含关系。
2. 集合C={x|0<x<π},D={x|π<x<2π},求C∪D,C∩D,并说明这两个集合的数集表示。
3. 集合E={1,2},F={2,3},求E⊆F,E⊂F,E=F的真假,并说明理由。
4. 集合G={x|-1<x<5},H={x|x>-3},求G∩H,并说明结果的区间表示。
集合练习题通过本节练习,应掌握以下几点:1.知识目标:巩固和深化对基础知识的理解与掌握2.知识重点:掌握好集合间的关系与集合的基本运算3.知识难点:集合间的运算一、选择题1.设P={x|x<4},Q={x|x2<4},则()A.P⊆Q B.Q⊆PC.P⊆∁R Q D.Q⊆∁R P2.符合条件{a}P⊆{a,b,c}的集合P的个数是()A.2B.3C.4D.53.设M={x|x=a2+1,a∈N*},P={y|y=b2-4b+5,b∈N*},则下列关系正确的是()A.M=P B.M PC.P M D.M与P没有公共元素4.如图所示,M,P,S是V的三个子集,则阴影部分所表示的集合是()A.(M∩P)∩S B.(M∩P)∪SC.(M∩S)∩(∁S P) D.(M∩P)∪(∁V S)5.已知集合A={x|a-1≤x≤a+2},B={x|3<x<5},则能使A⊇B成立的实数a的范围是()A.{a|3<a≤4}B.{a|3≤a≤4}C.{a|3<a<4}D.∅二、填空题6.已知集合A={x|x≤2},B={x|x>a},如果A∪B=R,那么a的取值范围是________.7.集合A={1,2,3,5},当x∈A时,若x-1∉A,x+1∉A,则称x为A的一个“孤立元素”,则A中孤立元素的个数为____.8.已知全集U={3,7,a2-2a-3},A={7,|a-7|},∁U A={5},则a=________.9.设U=R,M={x|x≥1},N={x|0≤x<5},则(∁U M)∪(∁U N)=________________.三、解答题10.已知集合A={x|-1≤x<3},B={x|2x-4≥x-2}.(1)求A∩B;(2)若集合C={x|2x+a>0},满足B∪C=C,求实数a的取值范围.11.某班50名同学参加一次智力竞猜活动,对其中A,B,C三道知识题作答情况如下:答错A者17人,答错B者15人,答错C者11人,答错A,B者5人,答错A,C者3人,答错B,C者4人,A,B,C都答错的有1人,问A,B,C都答对的有多少人?12.对于k∈A,如果k-1∉A且k+1∉A,那么k是A的一个“孤立元”,给定S={1,2,3,4,5,6,7,8},由S的3个元素构成的所有集合中,不含“孤立元”的集合共有几个?13.设数集M={x|m≤x≤m+34},N={x|n-13≤x≤n},且M,N都是集合U={x|0≤x≤1}的子集,定义b-a为集合{x|a≤x≤b}的“长度”,求集合M∩N 的长度的最小值.参考答案1.B [Q ={x |-2<x <2},可知B 正确.]2.B [集合P 内除了含有元素a 外,还必须含b ,c 中至少一个,故P ={a ,b },{a ,c },{a ,b ,c }共3个.]3.B [∵a ∈N *,∴x =a 2+1=2,5,10,….∵b ∈N *,∴y =b 2-4b +5=(b -2)2+1=1,2,5,10,….∴M P .]4.C [阴影部分是M ∩S 的部分再去掉属于集合P 的一小部分,因此为(M ∩S )∩(∁S P ).]5.B [根据题意可画出下图.∵a +2>a -1,∴A ≠∅.有⎩⎨⎧ a -1≤3,a +2≥5.解得3≤a ≤4.]6.a ≤2解析 如图中的数轴所示,要使A ∪B =R ,a ≤2.7.1解析 当x =1时,x -1=0∉A ,x +1=2∈A ;当x =2时,x -1=1∈A ,x +1=3∈A ;当x =3时,x -1=2∈A ,x +1=4∉A ;当x =5时,x -1=4∉A ,x +1=6∉A ;综上可知,A 中只有一个孤立元素5.8.4解析 ∵A ∪(∁U A )=U ,由∁U A ={5}知,a 2-2a -3=5,∴a =-2,或a =4.当a =-2时,|a -7|=9,9∉U ,∴a ≠-2.a=4经验证,符合题意.9.{x|x<1或x≥5}解析∁U M={x|x<1},∁U N={x|x<0或x≥5},故(∁U M)∪(∁U N)={x|x<1或x≥5}或由M∩N={x|1≤x<5},(∁U M)∪(∁U N)=∁U(M∩N) ={x|x<1或x≥5}.10.解(1)∵B={x|x≥2},∴A∩B={x|2≤x<3}.(2)∵C={x|x>-a2},B∪C=C⇔B⊆C,∴-a2<2,∴a>-4.11.解由题意,设全班同学为全集U,画出Venn图,A表示答错A的集合,B 表示答错B的集合,C表示答错C的集合,将其集合中元素数目填入图中,自中心区域向四周的各区域数目分别为1,2,3,4,10,7,5,因此A∪B∪C中元素数目为32,从而至少错一题的共32人,因此A,B,C全对的有50-32=18人.12.解依题意可知,“孤立元”必须是没有与k相邻的元素,因而无“孤立元”是指在集合中有与k相邻的元素.因此,符合题意的集合是:{1,2,3},{2,3,4},{3,4,5},{4,5,6},{5,6,7},{6,7,8}共6个.13.解在数轴上表示出集合M与N,可知当m=0且n=1或n-13=0且m+34=1时,M∩N的“长度”最小.当m=0且n=1时,M∩N={x|23≤x≤34},长度为34-23=112;当n=13且m=14时,M∩N={x|14≤x≤13},长度为13-14=112.综上,M∩N的长度的最小值为1 12.。
完整版)高一数学集合练习题及答案-经典升腾教育高一数学满分150分姓名一、选择题(每题4分,共40分)1、下列四组对象,能构成集合的是()A某班所有高个子的学生B著名的艺术家C一切很大的书D倒数等于它自身的实数答案:D解析:只有倒数等于它自身的实数可以构成集合。
2、集合{a,b,c }的真子集共有个()A。
7.B。
8.C。
9.D。
10答案:D解析:真子集不包含原集合,所以共有2^3-1=7个真子集。
3、若{1,2}A{1,2,3,4,5}则满足条件的集合A的个数是()A。
6.B。
7.C。
8.D。
9答案:A解析:集合A中的元素可以是1,2,也可以是1,2,3,或者1,2,3,4,或者1,2,3,4,5,共有6种情况。
4、若U={1,2,3,4},M={1,2},N={2,3},则CUM∪N)=()A。
{1,2,3}。
B。
{2}。
C。
{1,3,4}。
D。
{4}答案:A解析:M∪N={1,2,3},所以CUM∪N)={1,2,3}∪{4}={1,2,3,4}。
5、方程组x y1的解集是(。
)A。
{x=0,y=1}。
B。
{0,1}。
C。
{(0,1)}。
D。
{(x,y)|x=0或y=1}答案:C解析:将方程组化简得到y=x+1,所以解集为{(x,y)|y=x+1}={(x,x+1)}。
6、以下六个关系式:3Q,N。
a,b b,ax|x220,x Z是空集中,错误的个数是()A。
4.B。
3.C。
2.D。
1答案:B解析:第一个关系式中,应该是∈而不是;第二个关系式中,应该是∉而不是。
第三个关系式中,应该是={a,b}而不是;第四个关系式中,应该是x∈Z而不是x Z,所以错误的个数为3个。
8、设集合A=x1x2,B=xx a,若A B,则a的取值范围是()Aaa2Baa1Caa1Daa 2答案:D解析:由题意可得x1<a<x2,即1<a<2,所以a的取值范围是a<2.9、满足条件M11,2,3的集合M的个数是()A。
集合练习题及答案经典1、下列四组对象,能构成集合的是()A.某班所有高个子的学生B.着名的艺术家C.一切很大的书D.倒数等于它自身的实数2、集合{a,b,c}的真子集共有几个()A.7B.8C.9D.103、若{1,2}⊆A⊆{1,2,3,4,5}则满足条件的集合A 的个数是()4、方程组x+y=1的解集是()A.{x=0,y=1}B.{0,1}C.{(0,1)}D.{(x,y)|x=0或y=1}5、以下六个关系式:∈{ },{ }∪∅,.3∉Q,∈N,{a,b}⊆{b,a},{x|x2-2=0,x∈Z}是空集中,错误的个数是()A.4B.3C.2D.16、点的集合M={(x,y)|xy≥0}是指()A.第一象限内的点集B.第三象限内的点集C.第一、第三象限内的点集D.不在第二、第四象限内的点集7、设集合A={x1<x<2},B={x|x<a},若A⊆B,则a的取值范围是()A.{a≥2}B.{a≤1}C.{a≥1}D.{a≤2}8、满足条件M{1}={1,2,3}的集合M的个数是()A.1B.2C.3D.49、集合P={x|x=2k,k∈Z},Q={x|x=2k+1,k∈Z},R={x|x=4k+1,k∈Z},且a∈P,b∈Q,则有()A.a+b∈PB.a+b∈QC.a+b∈RD.a+b不属于P、Q、R中的任意一个11、若A={-2,2,3,4},B={x|x=t^2,t∈A},用列举法表示B12、集合A={x|x^2+x-6=0},B={x|ax+1=0},若B⊆A,则a=__________13、设全集U={2,3,a^2+2a-3},A={2,b},C_U(A)={5},则a=,b=。
14、集合A={x|x3},B={x|x4},A∩B=_____________。
15、已知集合A={x|x^2+x+m=0},若A∩R=∅,则实数m 的取值范围是______________。
高一数学集合练习题及答案-经典一、单选题1.已知集合{1A x x =≤-或}2x >,则 RA =( ).A .{}12x x -≤<B .{}12x x -<≤C .{}12x x -<<D .{1A x x =<-或}2x ≥2.设集合{|,log (1)}xa A a x R a x a =∃∈=>,{|0,B y x xy =∀≥≥,下列说法正确的是( ) A .A B ⊆B .B A ⊆C .B A ⋂=∅D .BA ≠∅3.已知集合{}{(3)0},0,1,2,3A x x x B =-<=,则A B =( ) A .{1,2}B .{0,1,2}C .{1,2,3}D .{0,1,2,3}4.设集合()(){}|230A x x x =+-<,{}|1B x x =>,则( ) A .A B =∅B .A B R =C .{}|13A B x x =<<D .{}|1A B x x =>5.已知集合{}11A x Z x =∈-≤≤,{}1,2B =,则A B ⋃=( ) A .{}1B .{}0,1,2C .1,0,1,2D .{}1,1,2-6.设集合{}220A x x x =--≤,124xB x ⎧⎫⎪⎪⎛⎫=<⎨⎬ ⎪⎝⎭⎪⎪⎩⎭,则()A B ⋃=R( )A .112x x ⎧⎫-<≤-⎨⎬⎩⎭B .{}1x x <-C .12x x ⎧⎫>-⎨⎬⎩⎭D .{}1x x ≥-7.已知集合(){}2log 2A x y x ==-,{}2xB y y ==,则A B =( )A .()0,2B .()1,2C .[)1,2D .(),2-∞8.已知全集U =R ,集合{}2560A x x x =-+<,{}2440B y y y =-+>,则()U A B =( )A .(][),23,-∞⋃+∞B .()[),23,-∞⋃+∞C .()2,+∞D .()(),23,-∞⋃+∞9.已知集合{}21A x x =-≤,2024x B xx ⎧⎫+=≤⎨⎬-⎩⎭.则A B =( ) A .[6,2]- B .(,1][2,)-∞⋃+∞ C .[1,2] D .[1,2)10.已知函数()2ln 3y x x =-的定义域为A ,集合{}14B x x =≤≤,则()A B =R ( )A .{0,1,2,3,4}B .{1,2,3}C .[0,4]D .[1,3]11.已知集合{}2280,Z A x x x x =--<∈,则A 的非空子集的个数为( )A .32B .31C .16D .1512.设集合{}2Z20A x x x =∈--≤∣,{0,1,2,3}B =,则A B =( )A .{0,1}B .{0,1,2}C .{1,0,1,2,3}-D .{2,1,0,1,2,3}--13.已知集合{|13}A x x =-<<,1,{}1,2B =-,则A B =( )A .{}1,2B .{}1,1,2-C .{}0,1,2D .{}1,0,1,2,3-14.①{}00∈,②{}0∅⊆,③{}(){}0,10,1=,④(){}(){}(),,a b b a a b =≠,其中正确的个数为( ) A .1B .2C .3D .415.设集合{}260A x x x =--≤,{}20B x x a =+≤,且{}21A B x x ⋂=-≤≤,则=a ( ) A .4-B .2-C .2D .4二、填空题16.已知函数2()43f x x x =-+,()52g x mx m =+-,若对任意的[]11,4x ∈,总存在[]21,4x ∈,使12()()f x g x =成立,则实数m 的取值范围是 ________. 17.已知[]x 表示不超过x 的最大整数.例如[2.1]2=,[ 1.3]2-=-,[0]0=,若{[]}A y y x x ==-∣,{0}∣=≤≤B y y m ,yA 是yB ∈的充分不必要条件,则m 的取值范围是______.18.已知集合(){}(){},24,,5A x y x y B x y x y =-==+=∣∣,则A B 中元素个数为__________.19.满足{}{},,a M a b c ⊆⊆的所有集合M 共有__________ 个. 20.若“x a >”是“39x >”的必要条件,则a 的取值范围是________.21.已知集合{0,1,2,3,4,5}A =,集合{1,3,5,7,9}B =,则Venn 图中阴影部分表示的集合中元素的个数为________.22.若a ∈R ,集合A ={1,a ,a +2},B ={1,3,5},且A =B ,则a =___________. 23.已知函数()51f x a x=-+-M ,集合{}9N x x =≥,若M N ⋂=∅,则实数a 的取值范围是_________.24.已知集合{}()216,xA xB a ∞=≤=-,,若A B ⊆则实数a 的取值范围是____. 25.若{}0,1,2U =,{}220,M x x x x =-=∈R ,则M =______.三、解答题26.设2n ≥且N n ∈,集合{1,2,3,4,,2}U n =,若对U 的任意k 元子集k V ,都存在,,k a b c V ∈,满足:a b c <<,a b c +>,且a b c ++为偶数,则称k V 为理想集,并将k 的最小值记为K .(1)当2n =时,是否存在理想集?若存在,求出相应的K ;若不存在,请说明理由;(2)当3n =时,是否存在理想集?若存在,直接写出对应的k V 以及满足条件的,,a b c ;若不存在,请说明理由; (3)证明:当4n =时,6K =.27.设集合{|}R A x x x ∈+=240=,R R {|()}B x x a x a a ∈=∈222110=+++-, . (1)若0a =,试求A B ;(2)若B A ⊆,求实数a 的取值范围.28.已知集合{}24A x x =-<≤,{}0B x x m =-<. (1)若A B =∅,求实数m 的取值范围; (2)若A B A =,求实数m 的取值范围.29.已知集合{}22A x a x a =-≤≤,{}31B x x =-<<. (1)若2a =-,求()R A B ⋃; (2)若A B A =,求a 的取值范围.30.用描述法写出下面这些区间的含义:[]2,7-;[),a b ;()123,+∞;(],9-∞-.【参考答案】一、单选题 1.B 【解析】 【分析】利用补集的概念求解 RA .【详解】因为{1A x x =≤-或}2x >,所以 RA ={}12x x -<≤,故选:B 2.D 【解析】 【分析】利用因为x y a =与log a y x =互为反函数,所以,互相关于y x =对称,得到x a x ≤,进而得出集合A 的范围;对于集合B,化简得y ≥()g x =()g x 的最值,得出集合B 的范围,即可求解 【详解】对于集合{},log (1)xa A a x R a x a =∃∈=,因为x y a =与log a y x =互为反函数,所以,互相关于y x =对称,而,log x a x R a x ∃∈=,所以,只需要x a x ≤即可,因为1a >,所以, ln ln x a x ≤,得ln ln x a x ≤,设ln ()xf x x=,得21ln ()x f x x -'=,所以, (0,)x e ∈,()0f x '>,()f x 单调递增;(,)x e ∈+∞,()0f x '<,()f x 单调递减,所以,1()()Maxf x f e e ==,得到11e a e <≤,所以,11,e A e ⎛⎤= ⎥⎝⎦;对于集合{|0,B y x xy =∀≥≥,化简得y ≥()g x =()g x '20x >,可设()h x=,()h x '=0<,()h x ∴单调递减,又(0)0h =,所以,当0x >时,()0h x '<,()0h x <,()0g x ∴'<,()g x 单调递减,利用洛必达法则,0x →时,000x x x →→→===所以,()y g x =≥)B =+∞; 由于1(1,)A e=,)B =+∞,所以,D 正确 故选:D 3.A 【解析】 【分析】解不等式得A ,由交集的概念运算 【详解】由(3)0x x -<得03x <<,即(0,3)A =,故{1,2}A B =. 故选:A 4.C 【解析】 【分析】先化简集合A ,再逐一判断即可 【详解】()()02233x x x ⇒-+<<<-所以{}|13A B x x =<<,故A 错误,C 正确{}|2A B x x =>-,故B 错误,D 错误 故选:C 5.C 【解析】 【分析】首先用列举法表示集合A ,再根据并集的定义计算可得; 【详解】解:因为{}{}111,0,1A x Z x =∈-≤≤=-,{}1,2B =,所以{}1,0,1,2A B ⋃=-; 故选:C 6.B 【解析】 【分析】分别化简集合A 与B ,再求A B ,最后求()RA B ⋃【详解】220x x --≤⇒()()120x x +-≤⇒12x -≤≤124x⎛⎫< ⎪⎝⎭222x-⇒<21x ⇒-<12x ⇒>-即{}|12A x x =-≤≤,1|2B x x ⎧⎫=>-⎨⎬⎩⎭所以{}|1A B x x ⋃=≥- 所以(){}R|1AB x x =<-故选:B7.C 【解析】 【分析】求出集合A 、B ,利用交集的定义可求得结果. 【详解】对于函数2x y =,0x ≥,则0221xy =≥=,故[)1,B =+∞,(){}{}()2log 220,2A x y x x x ∞==-=->=-,因此,[)1,2A B =.故选:C. 8.B 【解析】 【分析】求出集合A 、B ,利用补集和交集的定义可求得集合()U A B ⋂. 【详解】因为{}{}256023A x x x x x =-+<=<<,{}(){}{}22440202B y y y y y y y =-+>=->=≠,则{2UA x x =≤或}3x ≥,因此,()()[),23,U AB =-∞+∞.故选:B. 9.D 【解析】 【分析】 解不等式后求交集 【详解】|2|1x -≤,解得13x ≤≤,故[1,3]A =, 2024x x +≤-,解得22x -≤<,故[2,2)B =-, [1,2)A B ⋂=故选:D 10.D 【解析】 【分析】根据对数函数的性质,可知230x x ->,由此即可求出集合A ,进而求出A R,再根据交集运算即可求出结果.【详解】由题意可知,230x x ->,所以0x <或3x >, 所以{}{}03A x x x x =<>,故{}03A x x =≤≤R,所以()[]1,3R A B =. 故选:D. 11.B 【解析】 【分析】求出集合A ,利用集合的非空子集个数公式可求得结果. 【详解】{}{}{}2280,Z 24,Z 1,0,1,2,3A x x x x x x x =--<∈=-<<∈=-,即集合A 含有5个元素,则A 的非空子集有52131-=(个). 故选:B. 12.B 【解析】 【分析】解一元二次不等式,得到集合A ,根据集合的交集运算,求得答案. 【详解】解不等式220x x --≤得:12x -≤≤ ,故{}2Z20{1,0,1,2}A x x x =∈--≤=-∣, 故{0,1,2}A B ⋂=, 故选:B 13.A 【解析】 【分析】根据交集运算求A B 【详解】{|13}A x x =-<<,1,{}1,2B =-, {1,2}A B ∴=,故选:A 14.B 【解析】 【分析】根据元素与集合的关系、集合与集合的关系即可判断. 【详解】{}00∈正确;{}0∅⊆正确;{}(){}0,10,1=不正确,左边是数集,右边是点集;(){}(){}(),,a b b a a b =≠不正确,左边是点集,右边是点集,但点不相同.故正确的有①②,共2个. 故选:B. 15.B 【解析】 【分析】先求出集合,A B ,再根据交集的结果求出a 即可. 【详解】由已知可得{}23A x x =-≤≤,2a B x x ⎧⎫=≤-⎨⎬⎩⎭又∵{}21A B x x ⋂=-≤≤,∴12a-=, ∴2a =-. 故选:B .二、填空题16.(,3][6,)-∞-⋃+∞【解析】 【分析】根据对任意的[]11,4x ∈,总存在[]21,4x ∈,使得12()()f x g x =,可得两个函数值域的包含关系,进而根据关于m 的不等式组,解不等式组即可. 【详解】因为()22()4321f x x x x =-+=--, 所以函数()f x 的对称轴为2x =,对任意的[]11,4x ∈,记()[]1,3f x ∈-.记[]1,3A =-. 由题意知,当0m =时不成立,当0m >时,()52g x mx m =+-在[]1,4上是增函数, 所以[]()5,25g x m m ∈-+,记[]5,25B m m =-+ 由题意知,BA所以m m -≥-+≥⎧⎨⎩15253,解得6m ≥.当0m <时,()52g x mx m =+-在[]1,4上是减函数, 所以[]()25,5g x m m ∈+-,记[]25,5C m m =+-, 由题意知,C A ⊇所以251{53m m +≤--≥,解得3m ≤-. 综上所述,实数m 的取值范围是(,3][6,)-∞-⋃+∞. 故答案为: (,3][6,)-∞-⋃+∞ 【点睛】解决本题的关键是将问题转化为对任意的[]11,4x ∈,总存在[]21,4x ∈,使得12()()f x g x =, 可得两个函数值域的包含关系,进而分别求两个函数的值域.17.[)1,+∞【解析】 【分析】由题可得{[]}[0,1)A yy x x ==-=∣,然后利用充分不必要条件的定义及集合的包含关系即求. 【详解】∵[]x 表示不超过x 的最大整数,∴[]x x ≤,[]01x x ≤-<,即{[]}[0,1)A yy x x ==-=∣, 又y A 是y B ∈的充分不必要条件,{0}∣=≤≤B y y m ,∴A B ,故m 1≥,即m 的取值范围是[)1,+∞. 故答案为:[)1,+∞.18.1【解析】 【分析】利用交集的定义直接求解. 【详解】∵集合(){},24A x y x y =-=∣,(){},5B x y x y =+=∣, ∴()(){}24,3,25x y A B x y x y ⎧⎫-=⎧⎪⎪⋂==⎨⎨⎬+=⎩⎪⎪⎩⎭,∴A B 中元素个数为1. 故答案为:1.19.4【解析】 【分析】由题意列举出集合M ,可得集合的个数. 【详解】由题意可得,{}M a =或{},M a b =或{},M a c =或{},,M a b c =,即集合M 共有4个 故答案为:420.2a ≤【解析】 【分析】根据题意39x >解得:2x >,得出()()2,,a +∞⊆+∞,由此可得出实数a 的取值范围. 【详解】根据题意39x >解得:2x >,由于“x a >”是“39x >”的必要条件,则()()2,,a +∞⊆+∞,2a ∴≤. 因此,实数a 的取值范围是:2a ≤. 故答案为:2a ≤. 21.3 【解析】 【分析】由集合定义,及交集补集定义即可求得. 【详解】由Venn 图及集合的运算可知,阴影部分表示的集合为()AAB .又{0,1,2,3,4,5}A =,{1,3,5,7,9}B =,{1,3,5}A B ∴⋂=,(){}0,2,4AA B ∴⋂=即Venn 图中阴影部分表示的集合中元素的个数为3 故答案为:3. 22.3 【解析】 【分析】根据集合相等的概念得到方程组,解之即可求出结果. 【详解】 ∵A B =,∴325a a =⎧⎨+=⎩,解得3a =, 或523a a =⎧⎨+=⎩,无解 所以3a =. 故答案为:3.23.(,8]-∞【解析】 【分析】根据集合交集的性质,结合子集的性质进行求解即可. 【详解】∵{}9,N x x M N =≥⋂=∅,∵{}9M x x ⊆<,∵{}1M x x a =<+,∴19a +≤,解得8a ≤,∴实数a 的取值范围是(,8]-∞. 故答案为:(,8]-∞24.4a >【解析】【分析】根据指数函数的单调性求出集合A ,再根据A B ⊆列出不等式,即可的解.【详解】 解:{}(]216,4x A x ∞=≤=-, 因为A B ⊆,所以4a >.故答案为:4a >.25.{}1【解析】【分析】解一元二次方程求出集合M ,进而根据补集的概念即可求出结果.【详解】 因为{}{}220,0,2M x x x x =-=∈=R ,且{}0,1,2U =, 则{}1M =,故答案为:{}1.三、解答题26.(1)不存在,理由见解析;(2)存在,6{1,2,3,4,5,6}V =,3,4,5或3,5,6;(3)证明见解析.【解析】【分析】(1)根据理想集的定义,分3元子集、4元子集分别说明判断作答.(2)根据理想集的定义,结合(1)中信息,说明判断5元子集,6元子集作答.(3)根据理想集的定义,结合(1)(2)中信息,判断U 的所有6元子集都符合理想集的定义作答.(1)依题意,k V 要为理想集,3k ≥,当2n =时,{1,2,3,4}U =,显然{2,3,4}U ⊆,有234,234<<+>,而234++不是偶数,即存在3元子集不符合理想集定义,而{1,2,3,4}U ⊆,在{1,2,3,4}中任取3个数,有4种结果,1,2,3;1,2,4;1,3,4;2,3,4,它们都不符合理想集定义,所以,当2n =时,不存在理想集.(2)当3n =时,{1,2,3,4,5,6}U =,由(1)知,存在3元子集{2,3,4}、4元子集{1,2,3,4}均不符合理想集定义,5元子集{1,2,3,4,6},在此集合中任取3个数,满足较小的两数和大于另一个数的只有2,3,4与3,4,6两种,但这3数和不为偶数,即存在5元子集{1,2,3,4,6}不符合理想集定义,而U 的6元子集是{1,2,3,4,5,6},345,345,345<<+>++是偶数,356,356,356<<+>++是偶数,即U 的6元子集{1,2,3,4,5,6}符合理想集定义,{1,2,3,4,5,6}是理想集,所以,当3n =时,存在理想子集6{1,2,3,4,5,6}V =,满足条件的,,a b c 可分别为3,4,5或3,5,6.(3)当4n =时,{1,2,3,4,5,6,7,8}U =,由(1),(2)知,存在U 的3元子集、4元子集、5元子集不满足理想集定义,k V 要为理想集,6k ≥,显然{1,2,3,4,5,6}符合理想集的定义,满足条件的,,a b c 分别为3,4,5或3,5,6,U 的6元子集中含有3,5,6的共有25C 10=个,这10个集合都符合理想集的定义,U 的6元子集中含有3,5不含6的有5个,其中含有4的有4个,这4个集合都符合理想集的定义,不含4的为{1,2,3,5,7,8},显然有578,578,578<<+>++为偶数,即U 的6元子集中含有3,5不含6的5个都符合理想集的定义,U 的6元子集中含有36,不含5的有5个,它们是{1,2,3,4,6,7},{1,2,3,4,6,8},{1,2,3,6,7,8},{1,3,4,6,7,8},{2,3,4,6,7,8},它们对应的,,a b c 可依次为:3,6,7;4,6,8;3,6,7;3,6,7;3,6,7,即U 的6元子集中含有36,不含5的5个都符合理想集的定义, U 的6元子集中含有5,6不含3的有5个,它们是{1,2,4,5,6,7},{1,2,4,5,6,8},{1,2,5,6,7,8},{1,4,5,6,7,8},{2,4,5,6,7,8},它们对应的,,a b c 可依次为:5,6,7;4,6,8;5,6,7;5,6,7;5,6,7,即U 的6元子集中含有5,6不含3的5个都符合理想集的定义,U 的6元子集中含有3,5,6之一的有3个,它们是{1,2,3,4,7,8},{1,2,4,5,7,8},{1,2,4,6,7,8},对应的,,a b c 可依次为:3,7,8;5,7,8;4,6,8,即U 的6元子集中含有3,5,6之一的3个都符合理想集的定义,因此,U 的所有68C 28=个6元子集都符合理想集的定义,6V 是理想集,U 的7元子集有78C 8=个,其中含有3,5,6的有5个,这5个集合都符合理想集的定义,不全含3,5,6的有3个,它们是{1,2,3,4,5,7,8},{1,2,3,4,6,7,8},{1,2,4,5,6,7,8},对应的,,a b c 可依次为:3,7,8;3,7,8;4,6,8,即U 的所有8个7元子集都符合理想集的定义,7V 是理想集,U 的8元子集是{1,2,3,4,5,6,7,8},对应的,,a b c 可以为:3,7,8,因此,8V 是理想集, 因此,U 的6元子集,7元子集,8元子集都是理想集,6K =,所以当4n =时,6K =.【点睛】关键点睛:涉及集合新定义问题,关键是正确理解给出的定义,然后合理利用定义,结合相关的其它知识,分类讨论,进行推理判断解决.27.(1){0411---,, (2)}{a a a ≤-=11或.【解析】【分析】(1)利用一元二次方程的公式及集合的并集的定义即可求解.(2)利用子集的定义及一二次方程的根的情况即可求解.(1)由240x x +=,解得0x =或4x =-, }{,A =-40 .当0a =时,得x x -+2210=,解得1x =--x =1-{11B =--;∴{0411A B =---,,. (2)由(1)知,}{,A =-40,B A ⊆,于是可分为以下几种情况.当A B =时,}{,B =-40,此时方程()x a x a =222110+++-有两根为0,4-,则 ()()()a a a a ⎧∆=+⎪=⎨⎪-+=-⎩-->2224141010214-,解得1a =. 当B A ≠时,又可分为两种情况.当B ≠∅时,即{}0B =或{}B -4=, 当{}0B =时,此时方程()x a x a =222110+++-有且只有一个根为0,则22241410(0)()1a a a --⎧∆=+⎨-==⎩,解得1a =-, 当{}B -4=时,此时方程()x a x a =222110+++-有且只有一个根为4-,则 ()2222414104()()()8110a a a a ⎧∆=+⎪⎨-=--=-⎪⎩++-,此时方程组无解, 当B =∅时,此时方程()x a x a =222110+++-无实数根,则2241410()()a a --∆+<=,解得1a <-.综上所述,实数a 的取值为}{a a a ≤-=11或.28.(1)2m ≤-(2)4m >【解析】【分析】(1)根据集合的交集是空集建立不等式即可得解;(2)由题意转化为包含关系得出不等关系即可得解.(1){}24A x x =-<≤,{}B x x m =<且A B =∅2m ∴≤- (2)A B A =,A B ∴⊆4m ∴>29.(1)()R A B ⋃{|2x x =≤-或1}x ≥(2)()1,12,2⎛⎫-+∞ ⎪⎝⎭【解析】【分析】(1)首先得到集合A ,再根据补集、并集的定义计算可得;(2)依题意可得A B ⊆,分A =∅与A ≠∅两种情况讨论,分别得到不等式,解得即可;(1) 解:由题意当2a =-时得{}62A x x =-≤≤-,因为{}31B x x =-<<,所以{|3R B x x =≤-或1}x ≥,所以()R A B ⋃{|2x x =≤-或1}x ≥.(2)解:因为A B A =,所以A B ⊆,①当A =∅时,22a a ->,解得2a >,符合题意;.②当A ≠∅时,221223a a a a -≤⎧⎪<⎨⎪->-⎩,解得112a -<<. 故a 的取值范围为()1,12,2⎛⎫-+∞ ⎪⎝⎭.30.{}27x x -≤≤;{}x a x b ≤<;{}123x x >;{}9x x ≤-.【解析】【分析】将区间转化为集合,用描述法写出答案.【详解】[]2,7-用描述法表示为:{}27x x -≤≤;[),a b 用描述法表示为:{}x a x b ≤<;()123,+∞用描述法表示为:{}123x x >;(],9-∞-用描述法表示为:{}9x x ≤-.。
集合期末复习题12.26
姓名 班级________________
一、选择题(每题4分,共40分)
1、下列四组对象,能构成集合的是 ( ) A 某班所有高个子的学生 B 著名的艺术家 C 一切很大的书 D 倒数等于它自身的实数
2、集合{a ,b ,c }的真子集共有 个 ( ) A 7 B 8 C 9 D 10
3、若{1,2}⊆A ⊆{1,2,3,4,5}则满足条件的集合A 的个数是 ( ) A. 6 B. 7 C. 8 D. 9
4、若U={1,2,3,4},M={1,2},N={2,3},则C U (M ∪N )= ( ) A . {1,2,3} B. {2} C. {1,3,4} D. {4}
5
、方程组 1
1x y x y +=-=-的解集是 ( )
A .{x=0,y=1} B. {0,1} C. {(0,1)} D. {(x,y)|x=0或y=1} 6、以下六个关系式:{}00∈,{}0⊇∅,Q ∉3.0, N ∈0, {}{},,a b b a ⊂ ,
{}2
|20,x x
x Z -=∈是空集中,错误的个数是 ( )
A 4
B 3
C 2
D 1 7、点的集合M ={(x,y)|xy≥0}是指 ( ) A.第一象限内的点集 B.第三象限内的点集
C. 第一、第三象限内的点集
D. 不在第二、第四象限内的点集
8、设集合A=}{
12x x <<,B=}{
x x a <,若A ⊆B ,则a 的取值范围是 ( ) A }{
2a a ≥ B }{1a a ≤ C }{1a a ≥ D }{
2a a ≤ 9、 满足条件M
}{1=}{1,2,3的集合M 的个数是 ( )
A 1
B 2
C 3
D 4
10、集合{}|2,P x x k k Z ==∈,{}|21,Q x x k k Z ==+∈,
{}|41,R x x k k Z ==+∈,且,a P b Q ∈∈,则有 ( ) A a b P +∈ B a b Q +∈
C a b R +∈
D a b +不属于P 、Q 、R 中的任意一个 二、填空题
11、若}4,3,2,2{-=A ,},|{2A t t x x B ∈==,用列举法表示B 12、集合A={x| x 2+x-6=0}, B={x| ax+1=0}, 若B ⊂A ,则a=__________ 13、设全集U={}
22,3,23a a +-,A={}2,b ,C U A={}5,则a = ,b = 。
14、集合{}33|>-<=x x x A 或,{}41|><=x x x B 或,A B ⋂=____________.
15、已知集合A={x|20x x m ++=}, 若A ∩R=∅,则实数m 的取值范围是 16、50名学生做的物理、化学两种实验,已知物理实验做得正确得有40人,
化学实验做得正确得有31人,两种实验都做错得有4人,则这两种实验都做对的有 人.
三、解答题
17、已知集合A={x| x 2+2x-8=0}, B={x| x 2-5x+6=0}, C={x| x 2-mx+m 2-19=0},
若B ∩C ≠Φ,A∩C=Φ,求m 的值
18、已知二次函数f (x )=2
x ax b ++,A=}{
}{()222x f x x ==,
试求f ()x 的解析式.
19、已知集合{}1,1A =-,B=}
{
220x x ax b -+=,若B ≠∅,且A B A ⋃= 求实数a ,b 的值。
20、设,x y R ∈,集合{}23,A x xy y =++,{}21,3B x xy x =++-,且A=B ,
求实数x ,y 的值
答 案
一、选择题(每题4分,共40分)
11、 {}4,9,16 12、 11
,,032- 13、 a=2或-4;b=3
14、 {}|34x x x <->或 15 、 1
4
m > 16、 25 三、解答题(每题10分,共40分)
17、解:由题意得{}{}4,2,2,3A B =-=根据B ∩C ≠Φ,A∩C=Φ,得3C ∈,则:
293190m m -+-=,解得m 1=5,m 2= —2经检验m 2= —2
18、由}{
}{()222x f x x ==得方程22x ax b x ++=有两个等根22 根据韦达定理
1212244484
x x a x x b +=-===解得
42
484
a b =-= 所以f (x )=x 2-42x+484
19解:由A B A ⋃=,B ≠∅得{}{}{}111,1B =--或或
当{}1B =时,方程220x ax b -+=有两个等根1,由韦达定理解得
1
1a b == 当B ={}1-时,方程220x ax b -+=有两个等根—1,由韦达定理解得 1
1
a b =-= 当{}1,1B =-时,方程220x ax b -+=有两个根—1、1,由韦达定理解得 0
1
a b ==- 20、由A=B 得
221,33
x xy y x xy x ++=++-=解得
32x y ==-或 1
6
x y =-=-。