中线逐桩坐标的计算
- 格式:ppt
- 大小:908.50 KB
- 文档页数:16
坐标计算方法目前公路、铁路工程的施工放样已广泛采用全站仪放样,而全站仪放样的关键是放样逐点的坐标计算。
放样点的位置不外乎两种,即:中线点(中桩)和横断面范围上的任意点(边桩)。
1、直线段坐标的计算方法:直线段的坐标方位角a用弧度表示)是不变的,其坐标计算不用考虑方位角的变化。
1.1 直线段任意中桩点坐标计算公式如下:X=X0+L*COS aY=Y0+L*SIN a其中:XO、Y0分别代表直线段已知点的坐标;L代表计算点到已知点的距离;a代表直线段的方位角以弧度计。
1.2 边桩坐标计算公式如下:(本文以90度即n /2弧度示例)X=X0+ D*COS(a 士n /2+ n)Y二Y0+ D*SIN(a 士n /2+ n)其中:X0、Y0分别代表已知中桩点的坐标;D代表计算点到中桩的距离,a 代表中桩点的方位角以弧度计。
士的使用,当计算点在左侧选择-,当计算点在右侧选择+2、xx曲线段坐标的计算方法:圆曲线段采用切线支距法计算:2.1 中桩坐标计算2.1- 1 方位角计算:已知ZY点的方位角a,计算点的弦切角8=L/2R,L为计算点到ZY点的桩号长度,所以计算点的方位角为(a±8)。
±的使用,当路线为左转时选择-,路线为右转时选择+2.1- 2计算点到ZY点的距离计算:C=2R*SIN(L/2R),为计算点到ZY点的桩号长度;R为圆曲线的半径。
2.1- 3中桩坐标计算公式:X=XO+ C*COS(士®Y二Y0+ C*SIN(c士®a为ZY点的方位角;XO、Y0代表ZY点的坐标;8=L/2R,C=2R*SIN(L/2R),为圆曲线半径,L为桩号长度。
±的使用,当路线为左转时选择-,路线为右转时选择+。
2.2边桩坐标计算2.2- 1 方位角计算:a、已知中桩点方位角(a±S);b、因为圆曲线上的边桩点是沿半径方向布置的,半径垂直于计算点的切线而不是弦线,如果严格按照弦线90度即(2弧度方向布置计算,需要调整角度,即弦垂线与切线垂线的夹角i,其中i二L/2R=3,所以计算点的方位角即为:(a±2士n2 )。
线路逐桩坐标计算原理高等级公路、铁路的测设通常要用全站仪应用极坐标法测设中线,利用极坐标法测设中线就必须知道线路中线的点位坐标。
下面就有关计算原理进行说明。
直线段逐桩坐标计算原理直线是线路中最基本的线形。
直线以最短的距离连接两目的地,具有线路短捷,汽车行车方向明确,驾驶操作简单,视距良好等特点,同时直线线形简单也容易计算。
其计算方法和导线类似,知道一个已知点坐标,直线的方位角和距离(即历程差)就能计算未知点里程桩坐标。
如图2-1,例如已知直线A 点坐标和直线方位角AB α以及直线AB 之间的距离AB d 推算B 点坐标:图2-1直线线路⎭⎬⎫+=+=AB AB A B AB AB A B d Y Y d X X ααsin cos (2-1)圆曲线逐桩坐标计算原理铁路与公路线路的平面通常由直线和曲线构成,这是因为在线路的定线中,由于受地形、地物或其他因素限制,需要改变方向。
在改变方向处,相邻两直线间要求用曲线连结起来,以保证行车顺畅安全。
这种曲线称平面曲线。
由于受地形等条件限制,路线总是不断从一个方向转到另一个方向。
这时为了工程能 安全运营,必须用曲线来连接。
其中,圆曲线是最基本线路曲线之一,它是有一定曲率的圆弧。
下面介绍圆曲线的理论计算。
如图2-2所示,直线与圆曲线的连接点称为直圆点(ZY );圆曲线的中点称为曲线中点(QZ );圆曲线与直线的连接点称为圆直点(YZ )。
圆曲线要素有线路转向角α,圆曲线半径R ,圆曲线长L ,外矢距E 及切曲差q 。
其中转向角α(单位:度、分、秒)和半径R 是已知数据,其余要素如切线长T ,曲线长L, 外矢距E, 切曲差q 可以按下列关系式计算得出:图2-2圆曲线⎪⎪⎪⎪⎭⎪⎪⎪⎪⎬⎫-=-⨯=⨯=⨯=LT q R E R L R T 2)12(sec1802tanαπαα (2-2) 1)曲线要素计算由交点里程、切线长T 和曲线长L 计算曲线主点里程:ZY 里程 = JD 里程 - 切线长TQZ 里程 = ZH 里程 + L/2YZ 里程 = ZY 里程 + 曲线长L2) ZY 点与YZ 点坐标计算由已知条件和计算出的曲线要素L T 、用极坐标法求出ZY 和YZ 点坐标。
路线中桩坐标的计算公式在道路建设和维护中,桩号是一个非常重要的概念。
它用来表示道路上的位置,帮助工程师和施工人员准确地定位和测量。
桩号通常是以公里为单位,每隔一定距离就会设置一个桩号,以便对道路进行定位和管理。
在本文中,我们将讨论路线中桩坐标的计算公式,以及如何使用这些公式进行实际测量和定位工作。
路线中桩坐标的计算公式通常涉及到道路的曲线和坡度等因素。
在实际测量中,通常会使用全站仪或者GPS等设备来测量各个桩号的坐标,然后根据这些坐标来计算出路线中桩的坐标。
下面我们将介绍几种常见的计算公式。
1. 直线路段的桩坐标计算公式。
在直线路段上,桩号和坐标的计算比较简单。
假设起点的坐标为(x1, y1),终点的坐标为(x2, y2),起点的桩号为P1,终点的桩号为P2。
那么在直线路段上任意一个桩号P的坐标可以通过如下公式计算得出:x = x1 + (x2 x1) (P P1) / (P2 P1)。
y = y1 + (y2 y1) (P P1) / (P2 P1)。
其中,x和y分别表示桩号为P时的坐标,P为需要计算坐标的桩号。
2. 曲线路段的桩坐标计算公式。
在曲线路段上,桩坐标的计算会更加复杂一些,需要考虑曲线的半径、圆心、圆心角等因素。
在实际测量中,通常会使用曲线表来进行计算。
曲线表是根据设计参数和曲线类型制定的一张表格,其中包含了各个桩号对应的曲线半径、圆心角等信息。
通过曲线表,可以根据桩号和曲线类型来计算出相应的曲线参数,进而得出桩坐标。
3. 坡度路段的桩坐标计算公式。
在坡度路段上,桩坐标的计算也需要考虑坡度的影响。
假设起点的坐标为(x1,y1),终点的坐标为(x2, y2),起点的桩号为P1,终点的桩号为P2,坡度为S。
那么在坡度路段上任意一个桩号P的坐标可以通过如下公式计算得出:x = x1 + (x2 x1) (P P1) / (P2 P1)。
y = y1 + (y2 y1) (P P1) / (P2 P1) + S (P P1)。
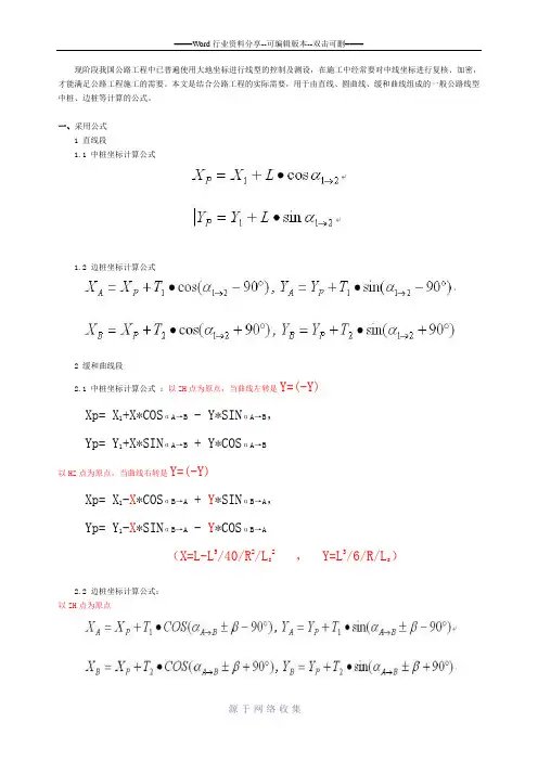
现阶段我国公路工程中已普遍使用大地坐标进行线型的控制及测设,在施工中经常要对中线坐标进行复核、加密,才能满足公路工程施工的需要。
本文是结合公路工程的实际需要,用于由直线、圆曲线、缓和曲线组成的一般公路线型中桩、边桩等计算的公式。
一、采用公式1 直线段1.1 中桩坐标计算公式1.2 边桩坐标计算公式2 缓和曲线段2.1 中桩坐标计算公式:以ZH点为原点,当曲线左转是Y=(-Y)Xp= X1+X*COSαA→B - Y*SINαA→B,Yp= Y1+X*SINαA→B + Y*COSαA→B以HZ点为原点,当曲线右转是Y=(-Y)Xp= X1-X*COSαB→A + Y*SINαB→A,Yp= Y1-X*SINαB→A - Y*COSαB→A(X=L-L5/40/R2/L s2, Y=L3/6/R/L s)2.2 边桩坐标计算公式:以ZH点为原点以HZ点为原点边桩坐标计算公式:以ZH点为原点坐标中的中桩左侧的“-90°”改为“+90°”,中桩右侧的“+90°”改为“-90°”就OK了。
3 圆曲线段3.1 中桩坐标计算公式当E点位于顺时针方向时取“+”,当E点位于逆时针方向时取“-”。
3.2 边桩坐标计算公式XP、YP——未知点P的坐标X1、Y1——各线型起点的坐标(第二曲线段为终点)XA、YA、XB、YB——P点边桩A点、B点的坐标(A为左侧、B为右侧)α1→2——直线段起点的方位角αA→B——各线形起点的切线方位角(第二曲线段为终点)L——P点距各线形起点的长度LS——缓和曲线段缓和曲线长R——各曲线段的半径β——P点的切线角(曲线左转时取“-”、曲线右转时取“+”)T1、T2——P点至边桩A、B的距离(A为T1、B为T2)边桩与路线切线方向的夹角设定为90°,实际应用中可根据需要进行修改。
线路逐桩坐标计算原理讲解线路逐桩坐标计算是通过一系列的桩号,计算出线路上每个桩点的坐标,从而得到线路的几何形状。
它是土木工程中常用的计算方法,用于设计和施工过程中的位置确认以及标高确定。
本文将详细讲解线路逐桩坐标计算的原理,以及其应用。
一、线路逐桩坐标计算原理1.起点坐标确定:首先需要确定线路的起点坐标,可以通过GPS定位或者大地测量等方法来获取。
2.桩号确定:根据设计或者施工要求,确定线路上需要计算坐标的桩号范围。
3.桩点间距确定:根据线路的几何形状参数,确定桩点之间的间距。
通常情况下,间距是固定的,也可以根据实际需要来调整。
4.桩点坐标计算:根据起点坐标、桩号和桩点间距,按照线路的几何形状参数进行计算,得到每个桩点的坐标。
5.标高计算:根据设计或者施工要求,使用地形图、高程测量等方法来确定每个桩点的标高。
二、线路逐桩坐标计算的应用1.道路和铁路线路设计:在线路的设计过程中,需要准确计算出每个桩点的坐标和标高,以便确定线路的几何形状和纵断面。
2.隧道和桥梁设计:隧道和桥梁的设计需要确定每个桩点的坐标和标高,以便确定结构的形状和尺寸。
3.施工坐标确定:在线路的施工过程中,需要按照设计要求和坐标计算结果来确定施工点的位置和标高。
4.管道工程设计:管道工程中,需要计算出管道的中心线坐标和标高,以便确定管道的走向和高程。
5.环境影响评价:在环境影响评价过程中,需要对线路的几何形状和标高进行计算和分析,以评估其对周边环境的影响。
三、线路逐桩坐标计算的优势1.精确性:线路逐桩坐标计算可以根据实际的桩号和线路的几何形状参数,精确计算出每个桩点的坐标和标高,保证了设计和施工的准确性。
2.高效性:线路逐桩坐标计算可以通过计算机和专业的软件工具来完成,大大提高了计算的效率,并减少了人为错误的发生。
3.便捷性:线路逐桩坐标计算的原理简单明了,运算过程极为简便,适用于各类工程中的位置确认和标高确定。
总结:线路逐桩坐标计算是土木工程中常用的计算方法,通过已知的桩号和起点坐标,计算出线路上每个桩点的坐标和标高。
线路中线桩点的坐标计算如图1所示,已知两交点的坐标:JDi(XJDi ,YJDi),JDi-1(XJDi-1,YJDi-1)。
线路导线的坐标的坐标方位角A 和边长S 可按坐标反算公式求得:A i-1,i =tg -111----i i i i x x y y , (式1)S i-1,i =i i i i A x x ,11cos ---=ii i i A y y ,11sin --- (式2)S i-1,i =2121)()(---+-i i i i y y x x (式3)在选定各圆曲线半经R 缓和和曲线长度Ls 后,依照各桩点的里程桩号,即可算出相应的坐标值X,Y 。
一、 HZ 点(包括线路起点)至ZH 点之间的中桩坐标如图1所示,此段为直线。
桩点的坐标按下式计算:X JDi =X HZi-1+D i cosA i-1,iY JDi =Y HZi-1+D i sinA i-1,I (式4)式中A i-1,i 为线路导线JDi-1到JDi 的坐标方位角;Di 为桩点到HZi-1的距离(Si-1,i –THi-1),即桩点里程与HZi-1点里程之差;X HZi-1、Y HZi-1为HZi-1点的坐标,由下式计算:XHZi-1=X JDi-1+T Hi-1cosA i-1,iY HZi-1=X JDi-1+T Hi-1sinA i-1,i (式5) 同理计算出直线终点ZHi 点的坐标 X ZHi =X JDi-1+(Si-1,i –THi)cosA i-1,iY ZHi =X JDi-1+(Si-1,i –THi)sinA i-1-I (式6)二、 ZH 点至YH 点之间的中桩坐标如图1所示,此段包括第一缓和曲线及圆曲线,先计算桩点的切线支距法坐标x 、y :1、缓和曲线上桩点的切线支距法坐标x 、y :X=()L -22540SL R L Y=SRL L 63(式7)L 为桩点(测点)到缓和曲线起点ZH 的曲线长,即测长;R 为圆曲线半径;L S 为缓和曲线总长2、圆曲线上桩点的切线支距法坐标x 、y :以ZH 为起点:(带有缓和曲线的圆曲线,)X=Rsin ϕ+q=Rsin )2(1800S L L R +π+2S L –23240RL SY=R(1-cos ϕ)+p=R 〔1–cos )2(1800S L L R +π〕+RL S 242 (式8) ○1L 为桩点到HY(缓圆点,既圆曲线的起点)的曲线长,仅为圆曲线部份的长度,那么:式中ϕ=α+βo =RL π180⨯+βo =R L π0180⨯+πR L S 21800⨯=)2(1800S L L R +π, ○2假设L 为桩点到ZH(直缓点)的曲线长,那么:式中ϕ=α-βo =RL π180⨯-βo =R L π0180⨯-πR L S 21800⨯=)2(1800S L L R -π。
线路中线坐标计算全站仪、RTK测量在工程测量中广泛应用后,运用坐标法放样已成为施工测量的主要方法。
即用全站仪坐标放样功能配合程序计算器,根据测站坐标、后视点坐标、放样点坐标三者的关系放样中线点。
用GNSS RTK放样,将线路中线坐标导入RTK手簿即可放样。
这样测设中线点的主要问题是中线点坐标计算。
一、缓和曲线连同圆曲线坐标计算施工中的中桩坐标获取有2种情况,一是由设计单位提供的设计图表中获取统一坐标系坐标。
二是由线路控制桩控制线路,可在施工标段内建立施工坐标系,计算中线逐桩坐标,以便采用坐标法放样。
(一)直线段坐标计算如图4.8.1所示,直线上一点i的坐标为:式中 xi ,yi——计算点的坐标;x 0,y——直线段已知起点坐标;α——转向点之间的切线方位角;li——直线上起点至计算点距离。
图4.8.1 直线段坐标计算方法(二)缓和曲线及圆曲线段坐标计算1.切线坐标系坐标(1)缓和曲线。
式中 C=Rl(2)圆曲线。
圆曲线各点坐标按式(4.7.8)计算。
2.线路统一坐标系坐标计算如图4.8.2所示,曲线任一点坐标计算步骤如下:(1)计算ZH点坐标。
用相邻两交点已知坐标进行坐标反算,计算出直线段方位角α,选择直线ZJ段起点坐标,按照式(4.8.1),计算ZH点坐标。
(2)计算HZ点坐标。
式中α——转向角,右转向角“+α”,左转向角“-α”。
(3)计算测设点在切线坐标系的坐标。
测设点位于ZH至HY或HZ至YH之间用式4.8.2。
测设点位于HY至YH之间用式4.7.8。
(4)计算ZH至YH之间的测设点在统一坐标系中的坐标。
——ZH点至计算点i的坐标方位角;式中αZiα——ZH点至JD点的坐标方位角;ZJ“±”号,右转向曲线用“+”,左转向曲线用“-”。
(5)计算HZ至YH之间的测设点在统一坐标系中的坐标。
式中 xJH——JD至HZ点的坐标方位角;αHi——H点至计算点i的坐标方位角;“∓”号,右转向曲线用“-”,左转向曲线用“+”。
高等级公路中桩边桩坐标计算方法一、平面坐标系间的坐标转换公式如图 9 ,设有平面坐标系 xoy 和x'o'y’ (左手系-- x 、 x' 轴正向顺时针旋转90°为 y 、y’ 轴正向); x 轴与x’ 轴间的夹角为θ( x 轴正向顺时针旋转至x’ 轴正向,θ范围:0° —360°)。
设 o' 点在 xoy 坐标系中的坐标为(xo’,yo’ ),则任一点 P 在 xoy 坐标系中的坐标( x,y )与其在x'o’y' 坐标系中的坐标( x',y' )的关系式为:二、公路中桩边桩统一坐标的计算(一)引言传统的公路中桩测设,常以设计的交点( JD )为线路控制,用转点延长法放样直线段,用切线支距法或偏角法放样曲线段;边桩测设则是根据横断面图上左、右边桩距中桩的距离( 、),在实地沿横断面方向进行丈量.随着高等级公路特别是高速公路建设的兴起,公路施工精度要求的提高以及全站仪、 GPS 等先进仪器的出现,这种传统方法由于存在放样精度低、自动化程度低、现场测设不灵活(出现虚交,处理麻烦)等缺点,已越来越不能满足现代公路建设的需要,遵照《测绘法》的有关规定,大中型建设工程项目的坐标系统应与国家坐标系统一致或与国家坐标系统相联系,故公路工程一般用光电导线或 GPS 测量方法建立线路统一坐标系,根据控制点坐标和中边桩坐标,用“极坐标法”测设出各中边桩。
如何根据设计的线路交点( JD )的坐标和曲线元素,计算出各中边桩在统一坐标系中的坐标,是本文要探讨的问题.(二)中桩坐标计算任何复杂的公路平面线形都是由直线、缓和曲线、圆曲线几个基本线形单元组成的。
一般情况下在线路拐弯时多采用“完整对称曲线",所谓“完整”指第一缓和曲线和第二缓和曲线的起点( ZH 或 HZ )处的半径为∞ ;所谓“对称”指第一缓和曲线长和第二缓和曲线长相等。
路线逐桩坐标计算高等级公路路线设计中,必须计算各点位的逐桩坐标,以作为路线施工放样的依据,也是公路交工和峻工验收时检测中线偏位的依据,故坐标计算能力,已是道路桥梁工程技术专业学生的必备技能。
1、路线交点偏角、交点间距、曲线要素及主点桩计算如图所示,设路线起点坐标JD0(XJ0,YJ0), 任一交点i的坐标为JD i(XJ i,YJ i),i =1,2,3, .n,贝肪目邻两交点之间的AX iJM =XJD j - XJD j」坐标增量:£ 丄=YJD -YJD」路线交点坐标计算:X JD=X JDL+AX j丄YJD=YJDj+AY』i交点间距:S i C :X i J,i )' (”Y i」,i)象限角耳出=arctan------------ -A x-象限角与方位角A之间关系0,时,耳斗位于第一象限, A -J,iX i J 「::OCYj,i•0,时,耳屮位于第二象限, A 4, i = 180 i4,iX i, 「::0,弓沖以0,时,位于第三象限,A i 4i = 180 jX i, 「OU :::0,时,q_u位于第四象限,A斗i =360—= i斗,“ ...A f“I .rH■- "J ¥arL...X路线偏角i等于后方位角减前方位角:〉=二2 -片般情况下,:-i为正时,曲线右偏;:-i为负时,曲线左偏。
2、直线段上中桩坐标计算图中,设交点i的坐标为Jdi(Xji,YJi),交点i前后相邻直线的方位角分别为A/,i和A i,i+i. 贝UX ZHi =XJD j +壬8$律_|」+180)ZH(或ZY)点的坐标:Y zHi =YJD i +T i S in (A」i +180)HZ(或YZ)点的坐标:XHZi= XJDiTi COSA,i 1 YHZi =YJD +工sin A,r设直线上加桩里程为L , ZHi、Hzi表示曲线i的起、终点里程,则交点i前直线上任意点坐标(L空ZH i )。
线路中边桩坐标计算通用公式
在进行线路中、边桩坐标计算时,可以使用以下通用公式:
1.线路中桩号计算公式:
桩号=起点桩号+距离
这个公式可以用来确定线路上其中一点的桩号,其中起点桩号是线路的开始处的桩号,距离是该点距离起点的距离。
2.边桩坐标计算公式:
(X,Y)=(X0+DX,Y0+DY)
在这个公式中,(X0,Y0)是线路上其中一起点边桩的坐标,DX和DY 分别是该边桩在水平和垂直方向上的偏移量。
通过这个公式,可以计算线路上任意一个边桩的坐标。
3.边桩水平距离计算公式:
D=√(DX^2+DY^2)
这个公式可以计算线路上两个边桩之间的水平距离,其中DX和DY是两个边桩在水平和垂直方向上的偏移量。
4.边桩偏角计算公式:
α = arctan(DY / DX)
在这个公式中,α表示边桩与起点边桩之间的偏角,DX和DY是两个边桩在水平和垂直方向上的偏移量。
这些公式可以在线路设计、测量、施工等方面使用,用于计算线路中其中一点的桩号、边桩的坐标、边桩之间的距离等。
通过这些计算,可以提高线路建设的精度和效率。
线路逐桩坐标计算原理讲解
1.建立坐标系统:首先需要建立一个坐标系统,确定一个参考点及其
坐标,通常选取线路的起点作为参考点,以其坐标为原点。
2.测量已知点的坐标:通过实地测量,取得线路上的一些已知点的坐标,可以使用全站仪、GPS等测量设备进行测量。
已知点通常具有确定的
桩号,例如起点、终点、导线点等。
3.桩号计算:用已知点的坐标进行桩号计算,确定每个已知点的桩号。
常用的桩号计算方法有三角测量法、坐标法等。
4.桩号差计算:通过相邻两个已知点的桩号和坐标,计算出相邻两个
已知点之间的桩号差。
根据已知点的坐标和桩号差,可以得到线路上任意
一个点的高程和坐标。
5.线性校正:通过测量线路上的一些临时点或标志物的坐标,与计算
得到的线性坐标进行对比,修正线路上局部的误差,使坐标计算更加准确。
6.桩号插值:若其中一段线路上没有已知点,可以通过桩号插值法估
算这一段线路上的点的坐标。
桩号插值法是根据相邻已知点的桩号差和坐
标差,利用比例关系进行计算。
通过以上步骤,我们可以获取线路上每个桩号处的坐标。
线路逐桩坐
标计算的原理是基于已知点的坐标和桩号差,通过计算和校正的方式确定
线路上其他未知点的坐标。
这种方法具有较高的精度和可靠性,可以满足
线性工程测量和设计的需要。
当然,线路逐桩坐标计算原理仅仅是计算线性工程点的坐标的一种方法,还可以结合其他测量技术和软件辅助实现更高精度的测量和设计。