经典运动学公式汇总
- 格式:pdf
- 大小:92.94 KB
- 文档页数:1
大学物理公式大全大学物理公式大全物理学是一门探索自然现象的科学,它研究宇宙的运动、力的作用、物质的组成和性质等。
在大学物理学学习中,我们会接触到众多的物理公式。
下面是一份大学物理公式大全,供大家参考。
1. 运动学公式:速度(v)= 位移(s)/ 时间(t)加速度(a)= (末速度(v)- 初速度(u))/ 时间(t)位移(s)= 初速度(u)* 时间(t) + 1/2 * 加速度(a)* 时间(t)^22. 牛顿第一定律(惯性定律):一个物体在没有受到外力作用时,保持静止或匀速直线运动。
3. 牛顿第二定律(力与加速度的关系):力(F)= 质量(m)* 加速度(a)4. 牛顿第三定律(作用与反作用定律):两个物体之间的相互作用力,两个力的大小相等、方向相反。
5. 动能公式:动能(K)= 1/2 * 质量(m)* 速度^26. 动量公式:动量(p)= 质量(m)* 速度(v)7. 转动力矩(扭矩)公式:转动力矩(τ)= 力(F)* 力臂(r)8. 转动惯量公式:转动惯量(I)= 质量(m)* 半径(r)^29. 动量守恒定律:在一个封闭系统中,如果没有外力作用,系统的总动量保持不变。
10. 能量守恒定律:在一个封闭系统中,能量的总量保持不变。
11. 功公式:功(W)= 力(F)* 位移(s)12. 弹性势能公式:弹性势能(E)= 1/2 * 弹性系数(k)* 弹性变形^213. 引力公式:引力(F)= 万有引力常数(G)* (质量1(m1)* 质量2(m2))/ 距离^214. 等离子体温度公式:等离子体温度(T)= 等离子体内电子能量总量(Ee)/ 等离子体内电子数目(Ne)* Boltzmann常数(k)15. 麦克斯韦速度分布公式:概率密度(f)= (质量(m)/ (2 * π * Boltzmann常数(k) * 温度(T)))^(3/2) * e^(-(速度(v)^2)/ (2 * Boltzmann常数(k) * 温度(T)))16. 电场强度公式:电场强度(E)= 电力(F)/ 电荷量(q)17. 电能公式:电能(W)= 电流(I) * 电压(V) * 时间(t)18. 磁场强度公式:磁场强度(B)= 电流(I)* μ0 / (2 *π * r)19. 磁感应强度公式:磁感应强度(B)= 磁场强度(μ0) * 磁化强度(M)20. 麦克斯韦电磁场微分方程组:∇·E = ρ / ε0∇·B = 0∇×E = - ∂B / ∂t∇×B = μ0J + μ0ε0 ∂E / ∂t以上仅是大学物理中的一小部分公式,物理学的知识非常广泛且深入。
物理运动学公式总汇1)匀变速直线运动1.平均速度v平=s/t(定义式)2.有用推论vt2-vo2=2as3.中间时刻速度vt/2=v平=(vt+vo)/24.末速度vt=vo+at5.中间位置速度vs/2=[(vo2+vt2)/2]1/26.位移s=v平t=vot+at2/2=vt/2t7.加速度a=(vt-vo)/t {以vo为也已方向,a与vo同向(快速)a>0;逆向则a<0}8.实验用推论δs=at2 {δs为连续相邻相等时间(t)内位移之差}9.主要物理量及单位:初速度(vo):m/s;加速度(a):m/s2;末速度(vt):m/s;时间(t)秒(s);加速度(s):米(m);路程:米;速度单位折算:1m/s=3.6km/h。
注:(1)平均速度就是矢量;(2)物体速度大,加速度不一定大;(3)a=(vt-vo)/t只是量度式,不是同意式;(4)其它相关内容:质点、位移和路程、参考系、时间与时刻〔见第一册p19〕/s--t 图、v--t图/速度与速率、瞬时速度〔见第一册p24〕。
2)自由落体运动1.初速度vo=02.末速度vt=gt3.行踪高度h=gt2/2(从vo边线向上排序)4.推断vt2=2gh注:(1)自由落体运动就是初速度为零的坯快速直线运动,遵从坯变速箱直线运动规律;(2)a=g=9.8m/s2≈10m/s2(重力加速度在赤道附近较小,在高山处比平地小,方向竖直向下)。
3)直角上甩运动1.位移s=vot-gt2/22.末速度vt=vo-gt (g=9.8m/s2≈10m/s2)3.有价值推断vt2-vo2=-2gs4.下降最小高度hm=vo2/2g(抛出点算是起至)5.往返时间t=2vo/g (从抛出落回原位置的时间)备注:(1)全过程处理:是匀减速直线运动,以向上为正方向,加速度取负值;(2)分段处置:向上为坯失速直线运动,向上为自由落体运动,具备对称性;(3)上升与下落过程具有对称性,如在同点速度等值反向等。
物理公式匀加速直线运动:速度公式:v t =v 0+at 位移公式:s=v 0t+21at 2 推导公式:v t 2-v 02=2as 平均速度公式:v=20t v v + 在相等时间通过相邻的位移差:212aT s s s =-=∆平抛运动:位移公式:x=v 0t y=21gt 2 位移与水平方向夹角θ的正切值:θtan =02v gt x y = 速度公式:v x =v 0 v y =gt速度与水平方向夹角β的正切值:0tan v gt v v x y ==β 圆周运动: 线速度:v=t s 角速度:Tr ⋅=πω2 线速度与角速度关系:r v ⋅=ω 向心力公式:F 向=m ω2r=mv 2/r=m 224Tπr 万有引力:F=G 221r m m 在地球表面有:mg= G 2r Mm 围绕星球做圆周运动的卫星:G 2rMm = mv 2/r= m 224T πr= m ω2r 功和能:做功:W=Fscos θ 功率:P=t W ;P=Fvcos θ 动能:E K =21mv 2 重力势能:E P =mgh 动能定理:F 合s=21mv t 2-21mv 02重力做功与重力势能变化关系:∆E P =-mg ∆h=-∆W G机械能守恒定律:mgh 1+21mv 12= mgh 2+21mv 22 动量守恒定律:动量:P=mv 是矢量 有大小 有方向动量变化量:∆P=mv 2-mv 1动量守恒:m 1v 1+m 2v 2=m 1v 1’+m 2v 2’电场:电场强度:E=q F ;E=d U ;E=k 2rQ 库伦定律:F=k 221r q q 电势差:U AB =qW AB ;U AB =ϕA -ϕB 电势能:E P =q ϕ;电场力做功与电势能关系:W=-∆E P 电容:C=U Q ;C=kds πε4 带电粒子在电场中加速:qU=21mv t 2-21mv 02 带电粒子在电场中偏转:水平方向:L=v 0t竖直方向:y=20221mdv qUL 偏转角度正切值:tan θ=20mdv qUL 电流:电流:I=q/t; I=U/R; I=nqvs闭合电路欧姆定律:I=rR E + 纯电阻电路电功率:P=UI=I 2R=U 2/R有电动机电路电功率:P 入=UI ;P r =I 2r ;P 出=UI- I 2r 磁场:安培力:F=BLI ; 洛仑兹力:f=qvB粒子在磁场中运动周期和半径:qvB=mv 2/R →R=qB mv T=v R π2,将R 带入得:T=qB m π2 电磁感应: 感应电动势:tn E ∆∆=φ; BLv E = 磁通量:BS =φ 自感:tI L ∆∆=ε 正弦交流电: t NBS e ωωsin =; U 有=2mU ; U 平=t N ∆∆φ。
高一物理运动学公式大全1. 基本公式。
- 速度公式:v = v_0+at- 其中v是末速度,v_0是初速度,a是加速度,t是时间。
这个公式描述了在匀加速直线运动中速度随时间的变化关系。
- 位移公式:x=v_0t+(1)/(2)at^2- 这里x表示位移,v_0为初速度,a为加速度,t为时间。
它可以用来计算在匀变速直线运动中物体的位移。
- 速度 - 位移公式:v^2-v_0^2 = 2ax- 式中v是末速度,v_0是初速度,a是加速度,x是位移。
该公式在已知初速度、末速度和加速度(或位移)中的三个量时,可以用来求解第四个量。
2. 平均速度公式。
- ¯v=(v + v_0)/(2)(适用于匀变速直线运动)- 其中¯v为平均速度,v是末速度,v_0是初速度。
这个公式在计算匀变速直线运动的平均速度时非常方便,只要知道初速度和末速度就可以求出平均速度。
- 另外,根据位移公式x = ¯vt,当v_0 = 0时,¯v=(1)/(2)v。
3. 初速度为零的匀加速直线运动的特殊公式。
- 速度之比:v_1:v_2:v_3:·s:v_n = 1:2:3:·s:n- 在初速度为零的匀加速直线运动中,根据v = at,因为加速度a恒定,时间t分别为t_1,t_2,t_3,·s,t_n且t_1:t_2:t_3:·s:t_n = 1:2:3:·s:n,所以速度之比为1:2:3:·s:n。
- 位移之比:x_1:x_2:x_3:·s:x_n=1:4:9:·s:n^2- 由位移公式x=(1)/(2)at^2,当t_1:t_2:t_3:·s:t_n = 1:2:3:·s:n时,x与t^2成正比,所以位移之比为1:4:9:·s:n^2。
- 位移在连续相等时间间隔内之比:x_Ⅰ:x_Ⅱ:x_Ⅲ:·s:x_N = 1:3:5:·s:(2n - 1)- 设时间间隔为T,第一个时间间隔内位移x_Ⅰ=(1)/(2)aT^2,第二个时间间隔内位移x_Ⅱ=(1)/(2)a(2T)^2-(1)/(2)aT^2=(3)/(2)aT^2,第三个时间间隔内位移x_Ⅲ=(1)/(2)a(3T)^2-(1)/(2)a(2T)^2=(5)/(2)aT^2,以此类推可得该比例关系。
高中物理公式大全归纳
1. 运动学方程:
- 平均速度:v = Δx/Δt
- 匀速直线运动:v = v0 + at, x = x0 + v0t + 1/2at^2, v^2 = v0^2 + 2a(x - x0) 2. 牛顿定律:
- 牛顿第一定律:当ΣF = 0时,物体保持静止或匀速直线运动
- 牛顿第二定律:ΣF = ma
- 牛顿第三定律:作用力与反作用力大小相等、方向相反、作用在不同物体上
3. 动能与势能:
- 动能公式:K = 1/2mv^2
- 动能定理:W = ΔK = (1/2)mv^2 - (1/2)mv0^2
- 重力势能:Ep = mgh
4. 力学功与功率:
- 功:W = Fs cosθ
- 功率:P = dW/dt = Fv
5. 矢量力学:
- 矢量:矢量位移Δr,矢量速度v,矢量加速度a
- 矢量加法:A + B = C
- 夹角:A·B = |A||B|cosθ
6. 循环运动与万有引力:
- 圆周运动:v = rω, a = rα, ac = v^2/r
- 万有引力:F = G(m1m2/r^2)
7. 波动与光学:
- 基本波动原理:s = λf
- 光的折射定律:n1sinθ1 = n2sinθ2
- 镜公式:1/f = 1/p + 1/q
这是一个简单的物理公式大全,涵盖了一些基本的物理公式。
要全面了解高中物理,还需要深入学习相关原理和概念。
50个常用物理公式1. 运动学公式:- 平均速度:v = (Δx) / (Δt)- 平均加速度:a = (Δv) / (Δt)- 位移与初末速度关系:Δx = (v + v₀) * t / 2- 位移与加速度关系:Δx = v₀* t + (1/2) * a * t²- 末速度与初速度、加速度、位移关系:v² = v₀² + 2a * Δx2. 牛顿运动定律:- 第一定律(惯性定律):物体静止或匀速直线运动,除非受到外力作用。
- 第二定律(牛顿定律):F = ma,力等于物体质量乘以加速度。
- 第三定律(作用-反作用定律):任何作用力都有一个大小相等、方向相反的反作用力。
3. 动能和势能:- 动能:KE = (1/2) * m * v²- 重力势能:PE = m * g * h(其中g 是重力加速度,h 是高度)- 弹性势能:PE = (1/2) * k * x²(其中k 是弹性系数,x 是弹簧变形量)4. 万有引力定律:- F = (G * m₁ * m₁) / r²(其中G 是万有引力常数,m₁和m₁是两个物体的质量,r 是它们之间的距离)5. 浮力:- F = ρ * V * g(其中ρ是液体密度,V 是物体在液体中的体积,g 是重力加速度)6. 压强:- P = F / A(其中F 是受力,A 是力作用的面积)7. 能量守恒定律:- E₀= E₁(系统能量守恒)8. 热力学定律:- 热传导公式:Q = k * A * (ΔT / d)(其中Q 是传热量,k 是热导率,A 是传热面积,ΔT 是温度差,d 是厚度)9. 斯特藩-玻尔兹曼定律:- P = σ * A * T⁴(其中P 是辐射功率,σ是斯特藩-玻尔兹曼常数,A 是发射面积,T 是绝对温度)10. 热容和比热容:- Q = mcΔT(其中Q 是吸收或释放的热量,m 是物体的质量,c 是比热容,ΔT 是温度变化)11. 理想气体状态方程:- PV = nRT(其中P 是气体压强,V 是体积,n 是物质的摩尔数,R 是气体常数,T 是绝对温度)12. 理想气体的升压工作:- W = P(V₁ - V₁)(其中W 是气体的升压功,P 是气体的压强,V₁和V₁分别是末态和初态的体积)13. 声速公式:- v = √(γ * RT)(其中v 是声速,γ是气体的绝热指数,R 是气体常数,T 是绝对温度)14. 压强与速度关系(伯努利定律):- P₁ + (1/2)ρv₁²+ ρgh₁ = P₁ + (1/2)ρv₁²+ ρgh₁(其中P 是压强,ρ是液体密度,v 是速度,g 是重力加速度,h 是高度)15. 光速:- c ≈ 3.00 × 10^8 m/s(真空中的光速)16. 折射定律(斯涅尔定律):- n₁sinθ₁ = n₁sinθ₁(其中n₁和n₁分别是两个介质的折射率,θ₁和θ₁分别是入射角和折射角)17. 焦距公式:- 1/f = 1/v + 1/u(其中f 是焦距,v 是像距,u 是物距)18. 球面镜成像公式:- 1/f = 1/v + 1/u(其中f 是焦距,v 是像距,u 是物距)19. 波长、频率和速度关系:- v = λf(其中v 是波速,λ是波长,f 是频率)20. 光的折射和反射:- θ₁ = θ₁(反射角等于入射角,反射)- n₁sinθ₁ = n₁sinθ₁(折射定律)21. 波的叠加:- 两个波叠加时,波峰和波谷相遇时会发生叠加干涉,波峰与波峰、波谷与波谷相遇时会发生叠加增强。
常用物理公式大全物理学是自然科学的一个分支,研究物质、能量、运动和相互作用的规律。
在物理学中,有许多常用的物理公式,这些公式对于分析和解决各种物理问题非常重要。
本文将向您介绍一些常见的物理公式,希望能对您有所帮助。
1.运动学公式:1.1匀速直线运动- 位移公式:s = vt-平均速度公式:v=(s2-s1)/(t2-t1)-加速度公式:a=01.2匀加速直线运动- 位移公式:s = v0t + 1/2at^2- 速度公式:v = v0 + at-加速度公式:a=(v-v0)/t2.力学公式:2.1牛顿第一定律:若作用在物体上的力的合力等于零,且物体静止,则该物体将保持静止;若物体运动,则将保持匀速直线运动。
2.2 牛顿第二定律:F = ma-F:力,单位为牛顿(N)- m:物体的质量,单位为千克(kg)-a:物体的加速度,单位为米每秒平方(m/s^2)2.3牛顿第三定律:对于任何作用力,总有一个与之大小相等、方向相反的反作用力,作用在产生作用力的物体上。
3.能量公式:3.1 动能公式:K = 1/2mv^2-K:物体的动能,单位为焦耳(J)- m:物体的质量,单位为千克(kg)-v:物体的速度,单位为米每秒(m/s)3.2势能公式:- 重力势能:Ep = mgh-Ep:物体的重力势能,单位为焦耳(J)- m:物体的质量,单位为千克(kg)-g:重力加速度,单位为米每秒平方(m/s^2)-h:物体的高度,单位为米(m)- 弹性势能:Ep = 1/2kx^2-Ep:物体的弹性势能,单位为焦耳(J)-k:弹簧的弹性系数,单位为牛顿每米(N/m)-x:弹簧伸长或压缩的位移,单位为米(m)4.流体力学公式:4.1压强定义:P=F/A-P:压强,单位为帕斯卡(Pa)-F:力,单位为牛顿(N)-A:面积,单位为平方米(m^2)4.2阿基米德原理:物体在液体中受到的浮力等于其排开的液体的重量。
-Fb=ρVg-Fb:浮力,单位为牛顿(N)- ρ:液体的密度,单位为千克每立方米(kg/m^3)-V:物体排开的液体体积,单位为立方米(m^3)-g:重力加速度5.电磁学公式:5.1电场强度定义:E=F/q-E:电场强度,单位为牛顿每库仑(N/C)-F:力,单位为牛顿(N)-q:电荷,单位为库仑(C)5.2 库仑定律:F = kq1q2 / r^2-F:力,单位为牛顿(N)-k:库仑常数,约等于9×10^9N·m^2/C^2-q1、q2:电荷,单位为库仑(C)-r:电荷之间的距离,单位为米(m)以上是一些常用的物理公式,它们在解决各种物理问题和计算物理量时非常有用。
运动学的基本公式与应用运动学是物理学中研究物体运动状态、运动规律的一个分支学科。
在运动学中,有一些基本的公式被广泛应用于解决物体运动的问题。
本文将介绍一些运动学的基本公式,并探讨它们在实际生活中的应用。
一、匀速直线运动1. 位移公式位移表示物体从初始位置到最终位置的距离和方向。
对于匀速直线运动,位移与速度和时间有密切的关系。
位移公式可以表达为:位移(s)= 速度(v)×时间(t)这个公式说明了当速度与时间恒定时,位移也是恒定的。
应用:汽车行驶的里程计算、行人步行的路程计算等。
2. 速度公式速度是物体运动状态的另一个关键参数,它表示物体单位时间内移动的距离。
对于匀速直线运动,速度公式可以表示为:速度(v)= 位移(s)/ 时间(t)这个公式告诉我们,当知道位移和时间时,可以计算出物体的速度。
应用:物体的速度计算、车辆行驶速度测量等。
3. 时间公式时间是运动学中一个重要的概念,它表示物体从开始运动到结束运动所经过的时间。
对于匀速直线运动,时间公式可以表示为:时间(t)= 位移(s)/ 速度(v)这个公式说明了当位移和速度已知时,可以计算出运动所需的时间。
应用:旅行时间的计算、比赛成绩的计时等。
二、匀加速直线运动1. 加速度公式加速度是物体运动状态改变的衡量,表示物体单位时间内速度的变化率。
对于匀加速直线运动,加速度公式可以表示为:加速度(a)= (末速度(v)- 初始速度(u))/ 时间(t)这个公式告诉我们,当知道末速度、初始速度和时间时,可以计算出物体的加速度。
应用:车辆的加速度测量、运动员的加速度训练等。
2. 位移-时间公式位移-时间公式描述了在匀加速直线运动中,位移、时间和加速度之间的关系。
位移-时间公式可以表示为:位移(s)= 初始速度(u)×时间(t)+ 0.5 ×加速度(a)×时间(t)²这个公式说明了在匀加速直线运动中,位移随时间的平方变化。
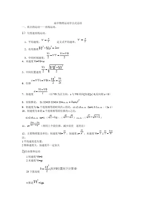
高中物理运动学公式总结 一、质点的运动——直线运动。
1)匀变速直线运动。
1、平均速度;t xV =定义式平均速率;t s V =2、有用推理axVo Vt 222=-3、中间时刻速度;202V Vt V Vt +==平4、末速度Vt=V0+at5、中间位置速度22220Vt V Vx+=6、位移t 2t2a t 0t t 2V V V s =+==平 7、加速度t V Vt a 0+=(以V0为正方向,a 与V0同向[加速]a 〉0,反向则a <0)8、实验推论; S1-S2=S3-S2=S4-S3=ΛΛ=∇x=a t29、初速度为0n 个连续相等的时间内s 的比;s1:s2:s3ΛΛ:Sn=1:3:5ΛΛ:(2n-1)10、初速度为0的n 个连续相等的位移内t 之比;t1:t2:t3ΛΛ:tn=1:(12-0):(23-):ΛΛ:(1--n n )11、a=tn m SnSm 2--(利用上个段位移,减少误差---逐差法)12、主要物理量及单位:初速度V0=sm ;加速度a=s m2;末速度Vt=sm1sm =h k m注;1平均速度是矢量,2物体速度大,加速度不一定加大2)自由落体运动1初速度V0=0 2末速度Vt=gt23下落高度)位置向下计算从00(22V gh t =4推论t2V =2gh注;1自由落体运动是初速度为0的匀加速直线运动,遵循匀变速直线运动规律。
2a=g=s 2m≈10s 2m(重力加速度在赤道附近较小,在高山处比平底小,方向竖直向下)3)竖直上抛运动1位移S=V o t- 22gt2末速度Vt=V o-gt 3有理推论22V Vt-=-2gs4上升最大高度H m= g Vo22(从抛出到落回原位置的时间) 5往返时间gt Vo 22=注;1全过程处理:是匀减速直线运动,以向上为正方向,加速度取负值。
2分段处理:向上为匀减速直线运动,向下为自由落体运动,具有对称性。
称性上升与下落过程具有对3:1如在同点,速度等值反向。
力学运动学公式
以下是部分力学运动学公式:
1. 平均速度公式:V=S/t,其中V表示平均速度,S表示位移,t表示时间。
2. 匀变速直线运动的平均速度公式:V=(v1+v2)/2,其中v1和v2分别是
初速度和末速度,V是平均速度。
3. 加速度定义式:a=(v2-v1)/t,其中a是加速度,v2是末速度,v1是初
速度,t是时间。
4. 牛顿第二定律:F合=ma或a=F合/ma,其中F合表示合外力,m表
示质量,a表示加速度。
5. 共点力的平衡:F合=0,推广有正交分解法、三力汇交原理。
6. 超重和失重的公式:超重时,FN>G;失重时,FN<G。
其中FN表示支
持力,G表示重力。
以上公式仅供参考,如需更多公式,建议查阅相关资料或咨询专业人士。
运动学公式整理1. 平均速度定义式:t x ∆∆=/υ① 当式中t ∆取无限小时,υ就相当于瞬时速度。
② 如果是求平均速率,应该是路程除以时间。
请注意平均速率与平均速率在大小上面的区别。
2. 两种平均速率表达式(以下两个表达式在计算题中不可直接应用)① 如果物体在前一半时间内的平均速率为1υ,后一半时间内的平均速率为2υ,则整个过程中的平均速率为221υυυ+=② 如果物体在前一半路程内的平均速率为1υ,后一半路程内的平均速率为2υ,则整个过程中的平均速率为21212υυυυυ+= 3. 加速度的定义式:t a ∆∆=/υ① 在物理学中,变化量一般是用变化后的物理量减去变化前的物理量。
② 应用该式时尤其要注意初速度与末速度方向的关系。
③ a 与υ同向,表明物体做加速运动;a 与υ反向,表明物体做减速运动。
④ a 与υ没有必然的大小关系。
4. 匀变速直线运动的三个基本关系式① 速度与时间的关系at +=0υυ② 位移与时间的关系2021at t x +=υ ③ 位移与速度的关系ax t 2202=-υυ5. 自由落体运动的三个基本关系式① 速度与时间的关系gt =υ② 位移与时间的关系221gt h =③ 位移与速度的关系gh 22=υ6. 汽车以初速度0υ、加速度a 做匀减速运动,直至停下:① 运动时间:a t /0υ=② 运动位移:a x 220υ=7. 一组比例式一物体从静止开始做匀加速直线运动(这个前提很重要)① 1秒末、2秒末、3秒末……速度之比:3:2:1::321=υυυ② 1秒内、2秒内、3秒内……位移之比:9:4:1::321=x x x③ 第1秒内、第2秒内、第3秒内……位移之比:5:3:1::'3'2'1=x x x④ 前s 、前2s 、前3s ……所用时间之间:3:2:1::321=t t t⑤ 第一段s 、第二段s 、第三段s ……所用时间之比:)23(:)12(:1::'3'2'1--=t t t8. 两个有用的推论。
运动学所有公式运动学是物理学中一个非常重要的分支,它主要研究物体的运动状态和运动规律。
在这一领域中,有许多关键的公式,咱们一起来瞧瞧!首先得说说速度的公式。
速度等于位移除以时间,用符号表示就是v = s/t 。
这就好比你早上从家去学校,你走过的路程除以花费的时间,就是你上学的平均速度。
比如说,你家离学校 2 千米,你花了半小时走到,那速度就是 2÷0.5 = 4 千米/小时。
接下来是匀变速直线运动的速度公式 v = v₀ + at 。
这里的 v₀是初速度,a 是加速度,t 是时间。
想象一下你骑自行车下坡,一开始速度是 5 米/秒,下坡的加速度是 1 米每二次方秒,经过 5 秒,那速度就变成 v = 5 + 1×5 = 10 米/秒啦。
还有位移公式,匀变速直线运动的位移公式有两个,一个是 s = v₀t + 1/2 at²,另一个是 s = (v² - v₀²) / (2a) 。
咱们就说跑步吧,你一开始以3 米/秒的速度跑,加速度是 2 米每二次方秒,跑了 4 秒,那位移就是 s = 3×4 + 1/2×2×4² = 28 米。
再来说说自由落体运动的公式。
自由落体运动的加速度是重力加速度 g ,约等于 9.8 米每二次方秒。
速度公式 v = gt ,位移公式 h = 1/2gt²。
有一次我在楼下看到一个熟透的苹果从树上掉下来,就那么“啪”的一声,从枝头到地面,差不多也就几秒钟的事儿。
根据公式算算,假设从 5 米高的枝头落下,时间大概就是 1 秒多一点。
这些公式看着挺复杂,其实啊,只要结合实际情况多琢磨琢磨,就不难理解和运用啦。
就像我们平时的各种活动,走路、骑车、打球等等,都蕴含着这些运动学的规律。
咱们再回到学习上,有些同学一看到这些公式就头疼,觉得太难记了。
其实啊,不用死记硬背,多做几道题,多联系实际想想,自然而然就记住了。
初中物理运动学公式大全
1. 速度相关公式
1.1 平均速度公式
平均速度 (v) 可以通过计算物体在一段时间内所经过的距离 (s) 除以该时间间隔 (t) 得到:
v = s / t
1.2 速度与位移关系公式
速度 (v) 与位移 (s) 存在关系:
v = s / t
1.3 速度与时间关系公式
速度 (v) 与时间 (t) 存在关系:
v = s / t
2. 加速度相关公式
2.1 加速度公式
加速度 (a) 可以通过计算物体在一段时间内速度的变化量(Δv) 除以该时间间隔 (t) 得到:
a = Δv / t
2.2 加速度与力的关系公式
加速度 (a) 与作用力 (F) 和物体质量 (m) 存在关系:
F = m * a
2.3 加速度与速度关系公式
加速度 (a) 与速度 (v) 和时间 (t) 存在关系:
a = (v - u) / t
3. 时间相关公式
3.1 时间与位移关系公式
时间 (t) 与位移 (s) 和速度 (v) 存在关系:
s = v * t
3.2 时间与加速度关系公式
时间 (t) 与加速度 (a) 和速度 (v) 存在关系:
v = u + a * t
这些是初中物理运动学中常见的公式,掌握了这些公式能够帮助学生更好地理解和解决与运动相关的问题。
请学生在使用公式时注意单位的转换和合理的应用,以获得正确的计算结果。
高中物理公式运动学有哪些高中物理公式运动学自由落体1.初速度Vo=02.末速度Vt=gt3.下落高度h=gt^2/2(从Vo位置向下计算)4.推论Vt^2=2gh注:(1)自由落体运动是初速度为零的匀加速直线运动,遵循匀变速度直线运动规律。
(2)a=g=9.8 m/s^2≈10m/s^2 重力加速度在赤道附近较小,在高山处比平地小,方向竖直向下。
3) 竖直上抛1.位移S=Vot- gt^2/22.末速度Vt= Vo- gt (g=9.8≈10m/s2 )3.有用推论Vt^2 –Vo^2=-2gS4.上升高度Hm=Vo^2/2g (抛出点算起)5.往返时间t=2Vo/g (从抛出落回原位置的时间)注:(1)全过程处理:是匀减速直线运动,以向上为正方向,加速度取负值。
(2)分段处理:向上为匀减速运动,向下为自由落体运动,具有对称性。
(3)上升与下落过程具有对称性,如在同点速度等值反向等。
匀速圆周运动1.线速度V=s/t=2πR/T2.角速度ω=Φ/t=2π/T=2πf3.向心加速度a=V^2/R=ω^2R=(2π/T)^2R4.向心力F心=Mv^2/R=mω^2_R=m(2π/T)^2_R5.周期与频率T=1/f6.角速度与线速度的关系V=ωR7.角速度与转速的关系ω=2πn (此处频率与转速意义相同)8.主要物理量及单位:弧长(S):米(m) 角度(Φ):弧度(rad) 频率(f):赫(Hz)周期(T):秒(s) 转速(n):r/s 半径(R):米(m) 线速度(V):m/s角速度(ω):rad/s 向心加速度:m/s2注:(1)向心力可以由具体某个力提供,也可以由合力提供,还可以由分力提供,方向始终与速度方向垂直。
(2)做匀速度圆周运动的物体,其向心力等于合力,并且向心力只改变速度的方向,不改变速度的大小,因此物体的动能保持不变,但动量不断改变。
怎么学习高中物理1.端正学习态度首先分析一下上面同学们提出的普遍问题,即为什么上课听得懂,而课下不会做?我作为学理科的教师有这样的切身感受:比如读某一篇文学作品,文章中对自然景色的描写,对人物心里活动的描写,都写得令人叫绝,而自己也知道是如此,但若让自己提起笔来写,未必或者说就不能写出人家的水平来。
∙基本公式:∙①速度公式:v t=v0+at∙②位移公式:s=v0t+at2∙③速度位移公式:v t2-v02=2as∙推导公式:∙①平均速度公式:V=∙②某段时间的中间时刻的瞬时速度等于该段时间内的平均速度:∙③某段位移的中间位置的瞬时速度公式:∙无论匀加速还是匀减速,都有∙④匀变速直线运动中,在任意两个连续相等的时间T内的位移差值是恒量,∙即ΔS=S n+l–S n=aT2=恒量。
∙⑤初速为零的匀变速直线运动中的比例关系(设T为相等的时间间隔,s为相等的位移间隔):∙Ⅰ、T末、2T末、3T末……的瞬时速度之比为:v1:v2:v3:……:v n=1:2:3:……:n∙Ⅱ、1T内、2T内、3T内……的位移之比为:s1:s2:s3:……:s n=1:4:9:……:n2∙Ⅲ、第一个T内、第二个T内、第三个T内……的位移之比为:sⅠ:sⅡ:sⅢ:……:s N=1:3:5:……:(2N-1)∙Ⅳ、前一个s、前两个s、前三个s……所用的时间之比为:t1:t2:t3:……:t n=1:……:∙Ⅴ、第一个s、第二个s、第三个s……所用的时间之比为tⅠ、tⅡ、tⅢ:……:t N=1:……:∙追及相遇问题:∙①当两个物体在同一直线上运动时,由于两物体的运动情况不同,所以两物体之间的距离会不断发生变化,两物体间距会越来越大或越来越小,这时就会涉及追及、相遇或避免碰撞等问题。
∙②追及问题的两类情况:∙Ⅰ、速度大者减速(如匀减速直线运动)追速度小者(如匀速运动):Ⅱ、速度小者加速(如初速度为零的匀加速直线运动)追速度大者(如匀速运动):∙③相遇问题的常见情况:∙Ⅰ、同向运动的两物体追及即相遇∙Ⅱ、相向运动的物体,当各自发生的位移大小和等于开始时两物体的距离时即相遇∙。
经典运动学公式汇总.pdf
1
线运动表达式
转动表达式位移()
r ∆r d 角位移()
θ∆θd 速度t
r v d d =
角速度t
d d θω =
加速度
2
2d d d d t r t v
a
=
=角加速度
2
2d d d d t t θ
ωβ =
=τ
τe a e a a n n +=r
r
v a n
22ω==βτr t
v
a ==
d d at v v +=0t
βωω+=02
002
1at t v x x +
=-2002
1t t βωθθ+
=-匀变速直线运动的
计算公式
)(202
02x x a v v -+=匀变速转动的计算公式
)
(202
02θθβωω-+=或 2i i r m J ∑∆=⎰=m
r J d 2惯性质量m
转动惯量
平行轴定理:2md
J J C +=力F 力矩
F
r M ⨯=牛顿力学第二定律a m F =刚体定轴
转动定理β
J M =力做功⎰⋅=
r
F A d 力矩做功
⎰⋅=
θ
d M A 动量v
m P =定轴转动刚体角动量ω
ω
J m r v m r P r L ==⨯=⨯=2冲量⎰=t
F I d 角冲量
⎰t
M d 动量定理
⎰
-=-=mv v m P P t F 212d
定轴转动角动量定理
⎰
-=-=1212d ωω
J J L L t M 动量
守恒定理
,则若0=F
0d 1
212=-=-=⎰
mv v m P P t F
角动量守恒定理
,则
若0=⨯=r F M
d 1212=-=-=⎰ωω J J L L t M 动能定理
21
221
22
121d mv mv E E r F A k k -=-=⋅=⎰
定轴转动动能定理211222122
121d ωωθJ J E E M A k k -=
-=⋅=⎰
功能原理
E E E A A k P ∆=∆+∆=+非保内外定轴转动刚体的
功能原理E
E E A A k P ∆=∆+∆=+非保内外机械能守恒定理
,则
=,且=若非保内外00A A 0=E E E k P ∆=∆+∆定轴转动刚体的机械能守恒定理
,则
=,且=若非保内外00A A 0
=E E E k P ∆=∆+∆势能
保守力所做的功等于势能增量的负值,P
P P E E E r F A ∆-=--=⋅=⎰)(d 12
保守力
做功与路径无关,只与始末位置有关的力,如重力、弹簧弹力、万有引力等。