积分公式大全
- 格式:docx
- 大小:506.91 KB
- 文档页数:12
高等数学积分公式大全高等数学是一门非常重要的学科,在很多领域都有应用。
其中,积分学是高等数学中的一个重要章节。
积分可以理解为求解曲线图形下面的面积,不同类型的积分公式有着不同的概念和应用,下面,就为大家整理了一份高等数学积分公式大全,让大家对这个知识点有一个更全面的认识。
1. 常数积分公式$$\int kdx=kx+C$$2. 幂函数积分公式$$\int x^ndx=\frac{x^{n+1}}{n+1}+C$$3. 指数函数积分公式$$\int e^xdx=e^x+C$$4. 对数函数积分公式$$\int \frac{1}{x}dx=\ln|x|+C$$5. 三角函数积分公式$$\int \sin xdx=-\cos x+C$$$$\int \cos xdx=\sin x+C$$6. 反三角函数积分公式$$\int \frac{1}{\sqrt{1-x^2}}dx=\arcsin x+C$$$$\int \frac{1}{1+x^2}dx=\arctan x+C$$$$\int \frac{1}{\sqrt{x^2-1}}dx=\ln|x+\sqrt{x^2-1}|+C$$7. 换元法积分公式$$\int f(u)du=\int f(u(x))\frac{du}{dx}dx$$8. 分部积分公式$$\int u(x)v'(x)dx=u(x)v(x)-\int v(x)u'(x)dx$$9. 定积分公式$$\int_a^bf(x)dx=F(b)-F(a)$$10. 积分中值定理$$\int_a^bf(x)dx=f(c)(b-a)$$这便是几种高等数学积分公式的介绍,这些公式是数学中不可或缺的知识点,掌握这些公式不仅有助于学生学好数学,还对应用数学的工作有相当多的帮助。
除了这些基本的积分公式之外,高等数学还涉及到一些比较复杂的积分公式,如多重积分、线性代数积分、微积分方程等等。
1. 多重积分公式多重积分是指对多元函数的积分,通常被用于几何问题、概率论问题和物理学问题中。
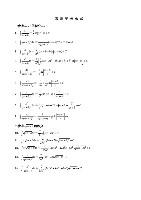
常 用 积 分 公 式(一)含有ax b +的积分(0a ≠) 1.d x ax b +⎰=1ln ax b C a ++2.()d ax b x μ+⎰=11()(1)ax b C a μμ++++(1μ≠-)3.d x x ax b +⎰=21(ln )ax b b ax b C a +-++456.2d ()x x ax b +⎰=21ln a ax b C bx b x+-++ 7.2d ()xx ax b +⎰=21(ln )b ax b C a ax b++++ 8.22d ()x x ax b +⎰=231(2ln )b ax b b ax b C a ax b +-+-++ 9.2d ()x x ax b +⎰=211ln ()ax b C b ax b b x+-++(二)的积分10.x C +11.x ⎰=22(3215ax b C a -12.x x ⎰=22232(15128105a x abx b C a-+13.x⎰=22(23ax b C a -14.2x=22232(34815a x abx b C a -+ 15.(0)(0)C b C b ⎧+>+<16.2a b - 17.x=b ⎰18.x=2a +(三)含有22x a ±的积分 19.22d x x a +⎰=1arctan xC a a+ 20.22d ()n x x a +⎰=2221222123d 2(1)()2(1)()n n x n xn a x a n a x a ---+-+-+⎰21.22d x x a -⎰=1ln 2x aC a x a-++(四)含有2(0)ax b a +>的积分2223.2d x x ax b +⎰=21ln 2ax b C a++24.22d x x ax b+⎰=2d x b x a a ax b -+⎰25.2d ()xx ax b +⎰=221ln 2x C b ax b++ 26.22d ()xx ax b +⎰=21d a x bx b ax b --+⎰27.32d ()x x ax b +⎰=22221ln 22ax b a C b x bx+-+ 28.22d ()x ax b +⎰=221d 2()2x xb ax b b ax b +++⎰(五)含有2ax bx c ++(0)a >的积分29.2d x ax bx c ++⎰=22(4)(4)C b ac C b ac +<+> 30.2d x x ax bx c ++⎰=221d ln 22b x ax bx c a a ax bx c++-++⎰(0)a >的积分 31.=1arshxC a+=ln(x C ++ 32.C +33.xC34.x=C +35.2x 2ln(2a x C ++36.2x ⎰=ln(x C +++37.1lnaC a x +38.C +39.x 2ln(2a x C ++40.x =2243(25ln(88x x a a x C +++41.x ⎰C42.xx ⎰=422(2ln(88x a x a x C +-++43.x a C +44.2d x x ⎰=ln(x C x-+++(0)a >的积分45.=1arch x xC x a+=ln x C ++ 46.C +47.x C48.x =C +49.2x 2ln 2a x C ++50.2x ⎰=ln x C +++51.1arccos aC a x+52.C +53.x 2ln 2a x C ++54.x =2243(25ln 88x x a a x C -++55.x ⎰C56.xx ⎰=422(2ln 88x a x a x C -++57.x x⎰arccos a a C x -+58.2d x x ⎰=ln x C x-+++(0)a >的积分 59.=arcsinxC a+ 60.C +61.x =C +62.x C +63.2x =2arcsin 2a x C a + 64.2x ⎰arcsinxC a-+65.1C a +66.C +67.x 2arcsin 2a x C a+68.x =2243(52arcsin 88x x a x a C a -+69.x ⎰=C70.xx ⎰=422(2arcsin 88x a x x a C a-++71.x a C +72.x =arcsin xC a-+(0)a >的积分73.2ax b C +++74.x22ax b C ++++75.x2ax b C -+++76.=C +77.x 2C +78.x =C +79.x =((x b b a C --+80.x =((x b b a C --81.C()a b <82.x 2()4b a C -()a b < (十一)含有三角函数的积分 83.sin d x x ⎰=cos x C -+84.cos d x x ⎰=sin x C + 85.tan d x x ⎰=ln cos x C -+ 86.cot d x x ⎰=ln sin x C + 87.sec d x x ⎰=ln tan()42xC π++=ln sec tan x x C ++ 88.csc d x x ⎰=ln tan2xC +=ln csc cot x x C -+ 89.2sec d x x ⎰=tan x C + 90.2csc d x x ⎰=cot x C -+ 91.sec tan d x x x ⎰=sec x C + 92.csc cot d x x x ⎰=csc x C -+93.2sin d x x ⎰=1sin 224x x C -+ 94.2cos d x x ⎰=1sin 224x x C ++95.sin d nx x ⎰=1211sin cos sin d n n n x x x x n n----+⎰ 96.cos d nx x ⎰=1211cos sin cos d n n n x x x x n n ---+⎰ 97.d sin n x x ⎰=121cos 2d 1sin 1sin n n x n xn x n x ----⋅+--⎰98.d cos n x x ⎰=121sin 2d 1cos 1cos n n x n xn x n x---⋅+--⎰ 99.cos sin d m nx x x ⎰=11211cos sin cos sin d m n m n m x x x x x m n m n -+--+++⎰ =11211cos sin cos sin d m n m n n x x x x x m n m n+----+++⎰ 100.sin cos d ax bx x ⎰=11cos()cos()2()2()a b x a b x C a b a b -+--++-101.sin sin d ax bx x ⎰=11sin()sin()2()2()a b x a b x C a b a b -++-++-102.cos cos d ax bx x ⎰=11sin()sin()2()2()a b x a b x C a b a b ++-++-103.d sin xa b x +⎰tan xa b C ++22()a b >104.d sin x a b x +⎰C+22()a b <105.d cos x a b x +⎰)2xC +22()a b >106.d cos x a b x +⎰C +22()a b <107.2222d cos sin x a x b x +⎰=1arctan(tan )bx C ab a + 108.2222d cos sin x a x b x -⎰=1tan ln 2tan b x a C ab b x a ++-109.sin d x ax x ⎰=211sin cos ax x ax C a a -+ 110.2sin d x ax x ⎰=223122cos sin cos x ax x ax ax C a a a -+++111.cos d x ax x ⎰=211cos sin ax x ax C a a ++112.2cos d x ax x ⎰=223122sin cos sin x ax x ax ax C a a a+-+(十二)含有反三角函数的积分(其中0a >)113.arcsin d x x a ⎰=arcsin x x C a114.arcsin d x x x a ⎰=22()arcsin 24x a x C a -+115.2arcsin d x x x a ⎰=3221arcsin (239x x x a C a ++116.arccos d x x a ⎰=arccosxx C a-117.arccos d x x x a ⎰=22()arccos 24x a x C a --118.2arccos d x x x a ⎰=3221arccos (239x x x a C a -+119.arctand x x a ⎰=22arctan ln()2x a x a x C a -++ 120.arctan d x x x a ⎰=221()arctan 22x a a x x C a +-+121.2arctan d x x x a ⎰=33222arctan ln()366x x a a x a x C a -+++ (十三)含有指数函数的积分122.d xa x ⎰=1ln xa C a + 123.e d axx ⎰=1e ax C a +124.e d axx x ⎰=21(1)e ax ax C a-+125.e d n axx x ⎰=11e e d n ax n ax n x x x a a--⎰126.d xxa x ⎰=21ln (ln )x x x a a C a a -+ 127.d nxx a x ⎰=11d ln ln n x n xn x a x a x a a --⎰ 128.e sin d axbx x ⎰=221e (sin cos )ax a bx b bx C a b -++ 129.e cos d axbx x ⎰=221e (sin cos )ax b bx a bx C a b+++130.e sin d ax n bx x ⎰=12221e sin (sin cos )ax n bx a bx nb bx a b n--+ 22222(1)e sin d ax n n n b bx x a b n --++⎰131.e cos d ax n bx x ⎰=12221e cos (cos sin )ax n bx a bx nb bx a b n-++ 22222(1)e cos d ax n n n b bx x a b n--++⎰ (十四)含有对数函数的积分132.ln d x x ⎰=ln x x x C -+ 133.d ln x x x ⎰=ln ln x C +134.ln d n x x x ⎰=111(ln )11n x x C n n +-+++ 135.(ln )d n x x ⎰=1(ln )(ln )d n n x x n x x --⎰ 136.(ln )d m n x x x ⎰=111(ln )(ln )d 11m n m n n x x x x x m m +--++⎰(十五)含有双曲函数的积分137.sh d x x ⎰=ch x C +138.ch d x x ⎰=sh x C +139.th d x x ⎰=ln ch x C + 140.2sh d x x ⎰=1sh224x x C -++ 141.2ch d x x ⎰=1sh224x x C ++ (十六)定积分142.cos d nx x π-π⎰=sin d nx x π-π⎰=0 143.cos sin d mx nx x π-π⎰=0144.cos cos d mx nx x π-π⎰=0,,m n m n ≠⎧⎨π=⎩145.sin sin d mx nx x π-π⎰=0,,m n m n ≠⎧⎨π=⎩ 146.0sin sin d mx nx x π⎰=0cos cos d mx nx x π⎰=0,,2m n m n ≠⎧⎪⎨π=⎪⎩ 147. n I =20sin d n x x π⎰=20cos d n x x π⎰ n I =21n n I n-- 1342253n n n I n n --=⋅⋅⋅⋅- (n 为大于1的正奇数),1I =1 13312422n n n I n n --π=⋅⋅⋅⋅⋅-(n 为正偶数),0I =2π。
求积分公式大全高等数学在高等数学中,积分是微积分中的重要概念之一,用于求解函数的面积、体积、曲线的长度以及求解微分方程等问题。
常见的积分公式包括原函数的求法、基本积分公式、常用函数的积分公式等。
下面将介绍一些常用的积分公式。
1. 原函数的求法原函数是指对于给定函数f(x),找到一个函数F(x),使得F'(x)=f(x)。
常见的函数对应的原函数公式包括:- 常数函数的原函数:∫kdx = kx + C,其中k是常数,C是常数项。
- 幂函数的原函数:∫x^ndx = 1/(n+1)x^(n+1) + C,其中n不等于-1。
- 正弦函数的原函数:∫sinxdx = -cosx + C。
- 余弦函数的原函数:∫cosxdx = sinx + C。
- 指数函数的原函数:∫e^xdx = e^x + C。
2. 基本积分公式基本积分公式是指对于一些常见函数的积分形式,可以直接根据公式进行求解。
常见的基本积分公式包括:- 幂函数积分公式:∫x^n dx = 1/(n+1)x^(n+1) + C,其中n不等于-1。
- 三角函数积分公式:- ∫sinxdx = -cosx + C。
- ∫cosxdx = sinx + C。
- ∫sec^2xdx = tanx + C。
- ∫csc^2xdx = -cotx + C。
- 指数函数积分公式:∫e^xdx = e^x + C。
- 对数函数积分公式:∫1/xdx = ln|x| + C。
3. 常用函数的积分公式除了基本积分公式外,还有一些常用函数的积分公式:- 三角函数的复合函数积分公式:- ∫sin(ax)dx = -1/as * cos(ax) + C。
- ∫cos(ax)dx = 1/as * sin(ax) + C。
- ∫sec^2(ax)dx = 1/as * tan(ax) + C。
- ∫csc^2(ax)dx = -1/as * cot(ax) + C。
定积分公式大全24个1.基本积分公式:∫ x^n dx = (x^(n+1))/(n+1) + C, 其中n≠-1∫ 1/x dx = ln,x, + C∫ e^x dx = e^x + C∫ a^x dx = (a^x)/ln(a) + C,其中a为正实数且不等于1∫ sin(x) dx = -cos(x) + C∫ cos(x) dx = sin(x) + C∫ sec^2(x) dx = tan(x) + C∫ csc^2(x) dx = -cot(x) + C∫ sec(x)tan(x) dx = sec(x) + C∫ csc(x)cot(x) dx = -csc(x) + C2.反常积分公式:∫ 1/x dx = ln,x, + C, 其中x取区间(-∞, 0)或(0, +∞)∫ e^x dx = e^x + C, 区间为(-∞, +∞)∫ a^x dx = (a^x)/ln(a) + C,其中a为正实数且不等于1,区间为(-∞, +∞)∫ sin(x) dx = -cos(x) + C, 区间为(-∞, +∞)∫ cos(x) dx = sin(x) + C,区间为(-∞, +∞)3.分部积分法公式:∫ u dv = uv - ∫ v du,其中u, v是关于x的函数4.和差积分公式:∫ (f(x) ± g(x)) dx = ∫ f(x) dx ± ∫ g(x) dx5.一些特殊函数的积分:∫ e^(x^2) dx = √π*erf(x)/2 + C∫ ln(x) dx = x(ln(x) - 1) + C∫ sin^2(x) dx = (x - sin(x)cos(x))/2 + C6.换元法公式:∫ f(g(x))g'(x) dx = ∫ f(u) du,其中u=g(x)7.可以通过递推关系求解的积分:∫ sin^n(x) dx = -1/n * sin^(n-1)(x) * cos(x) + (n-1)/n * ∫ sin^(n-2)(x) dx∫ cos^n(x) dx = 1/n * cos^(n-1)(x) * sin(x) + (n-1)/n * ∫ cos^(n-2)(x) dx8.积分的对称性:∫ f(x) dx = ∫ f(a+b-x) dx,其中a和b为常数以上是定积分的一些基本公式。
24个基本积分公式24个基本积分公式是数学中常用的工具,它能帮助我们快速解决复杂的积分问题。
1.一个公式:恒积分公式,它是所有积分公式中最基本也是最重要的公式,它表示对某一函数$f(x)$的某一闭区间$[a,b]$进行积分,其公式如下:$$int_a^bf(x)dx=F(b)-F(a)$$其中$F(x)$是$f(x)$的上原函数。
2.二个公式:幂积分公式,它也是一种常用的公式,它描述了当变量$x$的幂次为$n$时,$f(x)$的积分的公式如下:$$int x^nf(x)dx=frac{x^{n+1}}{n+1}f(x)-frac{n}{n+1}int x^{n-1}f(x)dx$$3.三个公式:复合公式,有时候积分可能会变得更加复杂,它描述了一种复合积分形式,其公式如下:$$int int_Rf(x,y)dydx=iint_Rf(x,y)dxdy$$其中$R$表示一个积分区域,$f(x,y)$表示函数。
4.四个公式:变量替代公式,当我们积分时,有时可能会用到变量替代的方法。
此时对于积分$int f(x)dx$,用变量$t$替代$x$,变量$t$的关于$x$的函数表达式为$t=t(x)$,当$x$的范围从$[a,b]$变为$[t_a,t_b]$时,这时需要用到变量替代公式,其公式如下:$$int_a^bf(x)dx=int_{t_a}^{t_b}f(t(x))t(x)dx$$ 其中$t(x)$表示$t$关于$x$的微分。
5.五个公式:指数积分公式,当我们积分某一函数$f(x)$关于$x$的幂为$n$时,能够用到指数积分公式,其公式如下:$$int x^ne^xdx=x^ne^x-nint x^{n-1}e^xdx$$6.六个公式:对数积分公式,当我们积分某一函数$f(x)$的流函数是一个对数函数的时候,可以用到对数积分公式,它的公式如下: $$int frac{1}{x}dx=ln|x|+C$$其中$C$是常量。
二十四个基本积分公式积分是微积分的基本概念之一,它是对函数曲线下其中一区间的面积进行求解的操作。
在求解积分时,我们可以利用一些基本的积分公式来简化计算。
下面将介绍二十四个常用的基本积分公式。
1. $\int x^ndx = \frac{1}{n+1}x^{n+1} + C$ (其中$n\neq -1$)这是幂函数的积分公式,对幂函数进行求积分时,指数加一后再乘以系数并且指数要除以新系数。
2. $\int \frac{1}{x}dx = \ln,x, + C$这是倒数函数的积分公式,对倒数函数求积分时,结果是该函数的自然对数的绝对值。
3. $\int e^xdx = e^x + C$这是指数函数的积分公式,对指数函数求积分时,结果是该函数本身。
4. $\int a^xdx = \frac{a^x}{\ln a} + C$ (其中$a>0, a\neq 1$)这是以底数为常数的指数函数的积分公式,对这种函数进行求积分时,结果是该函数除以对数的底数再加上常数。
5. $\int \sin xdx = -\cos x + C$这是正弦函数的积分公式,对正弦函数求积分时,结果是该函数的负余弦。
6. $\int \cos xdx = \sin x + C$弦。
7. $\int \tan xdx = -\ln,\cos x, + C$这是正切函数的积分公式,对正切函数求积分时,结果是该函数的负对数的余弦的绝对值。
8. $\int \sec xdx = \ln,\sec x + \tan x, + C$这是正割函数的积分公式,对正割函数求积分时,结果是该函数的对数的正割加正切的绝对值。
9. $\int \cot xdx = \ln,\sin x, + C$这是余切函数的积分公式,对余切函数求积分时,结果是该函数的对数的正弦的绝对值。
10. $\int \csc xdx = \ln,\csc x - \cot x, + C$这是余割函数的积分公式,对余割函数求积分时,结果是该函数的对数的余割减余切的绝对值。
常用积分公式∫-一X = -A 3 卩(ax +b)2-2b(ax +b) +b 2l n ∣ax + b ∣∣+Cax b a 2(二)含有.ax b 的积分10. 『Jax+bdx = 2 J(aχ +b)3 +C L3a11.x 、.ax bdx = 飞(3ax-2b)∖(ax b)3C15a12. χ2 . ax bdx = 2^(15a 2χ2 - 12abx 8b 2) . (ax b)3C105a13.J —X dχ = -2y(ax -2b)'∕0x +b +C ^aX b 3a5.(一)含有ax 1.■ b 的积分(a = O)1ln aax + b + C 2. (ax b) 'dx =a (「)(ax S'1 C 「*)3.Xax b adx = p(ax + b - bln ax +b) + C 4. 6.dx x 2 (ax b)—b 2lnax b7.X 2dx (ax b)1=—2(ln ax + b + a9.(ax b)^dx=A (ax+b-2bln ax +b a-I ^)C ax b1 x(ax b)2b(ax b) b 2"dx ax b2(三)含有x2-a 2的积分.dx1 X19. -2 --- 2 = — arcta n 一 C ^x 2+a 2 a aF dxX2n — 3 FdX20 =—22、n2,22、n42.,2 2、n_J(X a )2(n - 1)a (X a )2(n - 1)a (X a )X 1 223. 1 —2 -- dx =——ln ax +b +C'ax +b 2ar dx J^a r et a √ab晶+c(bA0)IaX^HbJ ——ln2√-ab÷C (be O)+V-b2(四)含有ax ■ b(a 0)的积分22.14.dx,ax b百(3a2χ-4abx 8b2Z χ b C15.dx X M ax b2、、-bax b :-b(b 0) (b :16.dx x 2 ax bax b a dX bx 2b x. ax b17.dxT dX = 2E b x” ax -b 18..ax bdx.ax b a X 2 x λ ax b21.dx =X -a1 2aIn ra .ax b - . b .aXbb234.24. X 2 dXax b dx 2 ^ ax b25. dx x(ax 2b)丄In2b2Xax 2 b 26. ILdxx 2(ax 2b)1bx27.dx 3x 3(ax 2b) 2b 2"28. 29.30. (A) 31. 32. 33. dx b ax 2b ax 2 bx 2rdx2 2 2 I(ax b) 2b( ax b) 2b ax 2 bdx^2-含有ax 2bx c (a 0)的积分I L dxax 2 bx C-arctan —2J C4ac - b 2 ______ In、b 2- 4ac戶 dx =— ax bx C 2a ∙. 4ac _ b 22ax b - ∖,b 2 -4ac 2ax b . b 2 - 4acdx 2 _2(b ::4ac)C (b 2 4ac)In aχ2 + bx + c . 2 2a ' ax “ + bx + c 含有'.X 2 a 2 (a ■ 0)的积分 dx ■- x 2a 2 dx .(x 2 a 2)3arsh — C 1= In(x . x 2 a 2) C a a ⅛⅛ C^x^a2 dx =x 2 a 2C1dx = - ---- == C.(x 2 a 2)3■ x 2 a 235.36.37.38.39.40.41 .42.43.44.45.46.47.,x2aX r 2 2 a 2 2=dx = . x a ln(x .. X a ) C2 2 22 2、3dX = ----- 2——f ln X ' X^)C(X2 a2)X- adxx i x2 a2 a1 . x2 a2-a=—In C2dxx2', x2a2「rdx = ?|n(x .r> Cj√(x2 a2)3dx = -(2x2■ 5a2). x2 a2■ -3 a4 ln(x8 C[χjχ2 +a2dx =—L32 2、3x2 x2 a2dx = x s 2-2(2 x a)∖ x2 a2ln(X x2^X^dX =J K+aln 迂a—a +C2 22 a2) Ca2) C —-dx —三x2a2In(x ' x2a2) C含有.χ2 -a2 (a 0)的积分dX2 2X -adX=—arch X +C1=In X+ 寸x2_a2+C√X2-a2)32 2dX=χ2_a2CXPdX = - . 212+C-a ). x - a2IX r~2T a Idx = — ■ X -a In2XIX x 2 - a 21=—arccos —aXdx2 22 2.X -a . dx = X含有∙.a 2 -x 2(a 0)的积分X=arcsιn C a2 248.49.50.51 .52.53.54.55.56.57.58.(A)59.60.__________ _______________________ 2 .,口dx =号lnC2 X(X 2 _a 2)3dx = ∙x X (2χ2「5a 2)、χ2 _a 8 I L χjχ2 -a 2dx = I J (X 2 _a 2)3 + C L 3 + 3a 4∣n X 8+ 4—a 2 +Cx 2、F d X = j 2χ2 -血F4 __________-——ln x +P x -a +C 8-2 2 X -a I 2 dx = X'2 2X -a + In x + • χ2 -a 2『 dx.(a 2-X 2)3-+c2 2 2 a a -XX * 2j∣l 2 2XrX -a2.(x^a 2)3dx =Vx 2 -a 2 -aarccos∙aΛ dx—a 2=χ2dx XJ / 2X2 dx = -d a2—x 2 +C-X2X 2 2 a ∙ x—.a -X arcsIn C2 2aIX. X Xdx 1 I -------- =—lna 2 -x 2 a■; 2 2^y a -X +CX ∕aC a Xdx == - arcs InC,(a 2-X 2)3z 2-x 2a61.62. 63.64.65.66.67.68. 69. 70. 71 .72. (九) 73.dx x 2 . a 2 -x 2 __________ ______________________ 2 ∣"J a 2 -x 2dx = X J a 2 _x 2+ — arcsin — +C 2 2 a ! ;(a 2 _x 2)3dx = ;(5a 2 _2x 2) . a 2 _x2 J x √a^7dx =一 3 JU-a 4 arcsin X C8 a__________ ______________________________________ 4 χ2 -a 2-χ2dx = △(2χ2-a 2)、a 2-χ2 - arcsin' C 8 8 a '22 —a —dx =、a 2「x 2 a ln X J2 2a _ ‘aX C _2 2 -2 2' a —x 」 a -xXC 2 dx = arcs In C X X a 含有' -ax 2 bx c (a 0)的积分dx =丄 ∙. ax 2bx c I aIn 2ax+b+2寸a Jax 2 + bx + c +C I . _______ dx = .(a 2 -x 2)31+C.a 2-x 22f , X dx = J Il 2 2.a -XX474. 22ax b - 2ax bx CdX = --------- ax bx C4a4ac- b 1」8苛l2ιx b 2a ax bx C C 75. .ax 2bx Cdx=丄 J aχ2+ bx +c a22 x b 2 a76. dxIC bx -aχ21 2ax - b 〒arcsin :2 +C a ,b 4ac77. C bx -ax 2dx2ax一b2 bx-aχ2 4ab 2 4ac . 2ax-barcs InC8 a b 2 4ac78. -dx-C bx - axIJ C +bx -aχ2a+ Aarcsin 卓』+C 2 ∖ a 3 ■- b 24ac或、.(x 「a )(b 「x )的积分81. 82.79. 80. 含有*兰(X 一 b)J^b W a)In(J(b - a)arcs in »I-_ +C b-x (x-b)x - a b-xX 「a+』x _b )+c∙,(x -a)(b -x)2arcsin+C (a c b)'∙. (x -a)(b _ x)d2x 「a -b X = ---------■ (x -a)(b-x) + 守arcsin 后+ C(a :: b)(十一)含有三角函数的积分83. Si nxdx = - CoSX CCoSXdX = Sin x CI L tan XdX = —In cosx∣ +C∫cot XdX = ln Sinx +CJT X[secxdx = ln tan(上+—)+C = ln secx +tanx +C 4 2Xfcscxdx = ln tan—+c = ln cscx—cotx +CL22SeC XdX = tan x CCSC XdX = - cot X CSeCX tan XdX = SeCX CCSC X cot XdX = -CSCX CX 1 sin2x C2 42 X 1cos XdX = Sin 2x C2 4I- m ・ n I cosXSin XdX m -1・n十cos XSin X I- m-2 ・ n I cos XSin XdX84.85.86.87.88.89.90.91.92.93.94.95.96.97.98.99. 100.cos n XdX1 n 4 . n-∙1cos XSin xCOS n^XdXn ndx —1cos x n-2dxnSin X n -1n 4Sin X n -1!・ n _2Sin Xdx1Sin X n-2dxncos X n -1+nJ An-2 cos XSin n XdX =-丄Sinn 4xcosx ■ n―-n nm ・ n-2 Icos XSin XdX sin1 2 XdX =Sin n d XdXSin ax COSbXdX =-12(a b)cos(a b)x -12(a -b)cos(a -b)xX ata n b 22arctan C a 「b . a -b上叫I :二;X a b tan 2lb-a1 1 XSin axdx = —2 Sin ax X cosax Ca a「2. .42 +2 +2 +QX Sin axdx = X cosax 2 xsInaX 亍 cosax Ca a a1 1XCOSaXdX = 2cosax XSin ax Ca ax 2 COSaXdX = 1x 2s in ax Wxcosax--^s in ax Ca a a(十二)含有反三角函数的积分(其中 a 0) X X f 22113.arcs in dx = XarCS in a - x Ca a4barctan(- tan x) C ab aSin ax S inbxdx =cosax COSbXdX =12( a b) 1 2(a b)sin(a b)xsin(a b)x12(a -b) 12(a -b) Sin(a -b)x Sin(a 「b)X C 101. 102.103.104.105.106.107.10 8. 109. 110. 111. 112. f_______ dx _______ a 2 cos 2X b 2sin 2 X abfdx .^^2 2 Γ^2 ~- 2-a cos x -b Sin X丄ln 2ab bta n x abtan x -a dx(a 2 b 2)a bsin X(a 2 ::(a 2 b 2)dx lna ba bcosx2 2, .X X a 、 . XX 口 -------- 2 C 114.XarCSIn dx = ( )arcsιn a -X Ca 2 4 a 4 3 d__________X ∙ X 1 2 2 ~2 2=—arcsIn (X 2a )、a -X C3 a 9x 2arccos 二dx = arccos x -l(x 2 2a 2) , a 2 - x 2Ca 3a 9119.arctan xdx = Xarctan°-aln( a 2 x 2) C a a 2X 1 2 2 X a120.XarCtan dx = (a X )arctan X Ca 2 a 2 332X X Xa 2 a22121.X arctan —dx = arctan Xln(a X)Ca 3 a 66(十三)含有指数函数的积分115.X 2 arcsin X dX a 116.arccos jX dX = aXarCCOS — -?.a ^ X 2 Ca 117.2 X* ZXXarCCos-dx =(—a 22 _______________________________J arccos HLC118.122 .123 .124 . 125 .126 . 127 .1a x dx = ----- a x Cln aax 1 axe dx = e CaXe aX dX = -12 (ax -1)e ax Can ax 1 n ax n n 4 ax .XedX = X e XedXa a LXa X dX = a x 12 a x Cln a (ln a)X n a X dX= 1nX aln ae ax Sin bxdx =e ax cos bxdx =n n 4 X IXadX ln a1a2 b2e ax(asinbx -bcosbx) C1a2 b2e ax(bs inbx a COSbX) C139. thxdx = In ChX C 140.sh 2xdx = -X-sh2x C2 4 r 2 X I 1 丄141.Ch XdX = sh2x C4(十六)定积分ππ 142.cos nxdx = Sin nxdx = 0-π -π.π143.COSmXS in nxdx = 0-πI - ax・ n . I130. e Sin bxdx22 2 eaxsin n 'bx(asin bx - nbcosbx)a bn仲Iefn^bxdxa bnI BaX n . I131. e CoS bxdx1axa 2b 2n 2en _1cos bx(a cosbx nbsinbx)n(n -1)b 2 +-2 I2 2 a bne ax cos n 工 bxdx (十四)含有对数函数的积分132. In XdX = XIn x -x C 133. dx xln X=Inln X +C134. X n In XdX =(In 135. (In x)ndx = x(ln x)n1X) - C n +1n Λdx _ n (In X) m 1 nX (In X ) m 1(十五)含有双曲函数的积分136.x m(ln x)ndx =nx m (ln x)nj dx137. ShXdX = ChX C 138.ChXdX = ShX C二0, m n 144. COSmXCOS nxdx =I , m = nln.X - ax 2., x 2_ a 21m ^⅛ .n4 丄n —1cos XSi n Xm nm n- 0, m = n145. Sinm XSi nnxdx = 入 ■:≈, m = n146. 卩,π πSin mxsin nxdx = COSmXCOSnxdx =' LOI —, m = n2147. I n ππO2Sin n XdX = ∫02 CoS n XdX I nn -1 I n 1n_2I nn - 3 ... n -2 n -3(n 为大于1 的正奇数),I i = 1n -2Jl4 2 2(n 为正偶数)。
常 用 积 分 公 式一含有ax b +的积分0a ≠ 1.d x ax b +⎰=1ln ax b C a++ 2.()d ax b x μ+⎰=11()(1)ax b C a μμ++++1μ≠-3.d x x ax b +⎰=21(ln )ax b b ax b C a+-++ 4.2d x x ax b +⎰=22311()2()ln 2ax b b ax b b ax b C a ⎡⎤+-++++⎢⎥⎣⎦5.d ()xx ax b +⎰=1lnax b C b x +-+ 6.2d ()xx ax b +⎰=21ln a ax b C bx b x +-++ 7.2d ()x x ax b +⎰=21(ln )b ax b C a ax b++++8.22d ()x x ax b +⎰=231(2ln )b ax b b ax b C a ax b+-+-++ 9.2d ()xx ax b +⎰=211ln ()ax b C b ax b b x +-++的积分10.x C +11.x ⎰=22(3215ax b C a -+12.x x ⎰=22232(15128105a x abx b C a-+13.x=22(23ax b C a -14.2x=22232(34815a x abx b C a -+15.=(0)(0)C b C b ⎧+><16.2a b - 17.x=b +18.x=2a x -+ 三含有22x a ±的积分 19.22d x x a +⎰=1arctan x C a a+ 20.22d ()n x x a +⎰=2221222123d 2(1)()2(1)()n n x n xn a x a n a x a ---+-+-+⎰21.22d xx a -⎰=1ln 2x a C a x a-++ 四含有2(0)ax b a +>的积分22.2d x ax b +⎰=(0)(0)C b C b ⎧+>+<23.2d x x ax b +⎰=21ln 2ax b C a++ 24.22d x x ax b +⎰=2d x b x a a ax b -+⎰25.2d ()x x ax b +⎰=221ln 2x C b ax b++ 26.22d ()x x ax b +⎰=21d a xbx b ax b--+⎰27.32d ()x x ax b +⎰=22221ln 22ax b a C b x bx +-+28.22d ()x ax b +⎰=221d 2()2x xb ax b b ax b +++⎰ 五含有2ax bxc ++(0)a >的积分29.2d x ax bx c ++⎰=22(4)(4)C b ac Cb ac +<+>30.2d x x ax bx c ++⎰=221d ln 22b x ax bx c a a ax bx c++-++⎰(0)a >的积分 31.=1arsh xC a+=ln(x C + 32.C +33.xC34.x=C +35.2x2ln(2a x C ++ 36.2x=ln(x C +++37.1ln aC a x -+ 38.C + 39.x2ln(2a x C ++40.x =2243(25ln(88x x a a x C ++++41.x ⎰C42.x x ⎰=422(2ln(88x a x a x C +++43.d x x ⎰ln a a C x ++44.2d x x ⎰=ln(x C x-+++(0)a >的积分45.=1arch x xC x a+=ln x C ++ 46.C +47.x C +48.x =C +49.2x 2ln 2a x C ++50.2x =ln x C +++51.1arccosaC ax+52.C +53.x 2ln 2a x C ++54.x =2243(25ln 88x x a a x C -+++55.x ⎰C56.x x ⎰=422(2ln 88x a x a x C -++57.d x x⎰arccos a a C x +58.2d x x ⎰=ln x C x-+++(0)a >的积分 59.=arcsin xC a+ 60.C +61.x =C62.x C +63.2x =2arcsin 2a x C a + 64.2x arcsinxC a-+65.1ln a C a x +66.C +67.x 2arcsin 2a x C a+68.x =2243(52arcsin 88x x a x a C a-+69.x ⎰=C +70.x x ⎰=422(2arcsin 88x a x x a C a-+71.x a C ++72.x =arcsin xC a-+(0)a >的积分73.2ax b C +++74.x75.x 76.=C +77.x 2C ++78.x =C +79.x =((x b b a C --++80.x =((x b b a C --81.C ()a b <82.x 2()4b a C -++ 十一含有三角函数的积分83.sin d x x ⎰=cos x C -+ 84.cos d x x ⎰=sin x C + 85.tan d x x ⎰=ln cos x C -+ 86.cot d x x ⎰=ln sin x C +87.sec d x x ⎰=ln tan()42x C π++=ln sec tan x x C ++ 88.csc d x x ⎰=ln tan2xC +=ln csc cot x x C -+ 89.2sec d x x ⎰=tan x C + 90.2csc d x x ⎰=cot x C -+ 91.sec tan d x x x ⎰=sec x C + 92.csc cot d x x x ⎰=csc x C -+93.2sin d x x ⎰=1sin 224x x C -+94.2cos d x x ⎰=1sin 224x x C ++95.sin d n x x ⎰=1211sin cos sin d n n n x x x x n n----+⎰ 96.cos d n x x ⎰=1211cos sin cos d n n n x x x x n n ---+⎰97.d sin n x x ⎰=121cos 2d 1sin 1sin n n x n xn x n x ----⋅+--⎰ 98.d cos n x x ⎰=121sin 2d 1cos 1cos n n x n xn x n x---⋅+--⎰ 99.cos sin d m n x x x ⎰=11211cos sin cos sin d m n m nm x x x x x m n m n -+--+++⎰=11211cos sin cos sin d m n m n n x x x x x m n m n+----+++⎰ 100.sin cos d ax bx x ⎰=11cos()cos()2()2()a b x a b x C a b a b -+--++-101.sin sin d ax bx x ⎰=11sin()sin()2()2()a b x a b x C a b a b -++-++-102.cos cos d ax bx x ⎰=11sin()sin()2()2()a b x a b x C a b a b ++-++-103.d sin xa b x +⎰tanxa b C ++22()a b >104.d sin x a b x +⎰C +22()a b <105.d cos xa b x+⎰)2x C +22()a b >106.d cos x a b x +⎰C +22()a b <107.2222d cos sin x a x b x +⎰=1arctan(tan )bx C ab a+ 108.2222d cos sin xa xb x-⎰=1tan ln 2tan b x a C ab b x a ++- 109.sin d x ax x ⎰=211sin cos ax x ax C a a -+ 110.2sin d x ax x ⎰=223122cos sin cos x ax x ax ax C a a a -+++111.cos d x ax x ⎰=211cos sin ax x ax C a a ++112.2cos d x ax x ⎰=223122sin cos sin x ax x ax ax C a a a+-+十二含有反三角函数的积分其中0a > 113.arcsin d xx a ⎰=arcsin x x C a+114.arcsin d xx x a ⎰=22()arcsin 24x a x C a -+115.2arcsin d xx x a⎰=3221arcsin (239x x x a C a +++116.arccos d x x a ⎰=arccos x x C a117.arccos d xx x a ⎰=22()arccos 24x a x C a --+118.2arccos d xx x a⎰=3221arccos (239x x x a C a -++119.arctan d xx a ⎰=22arctan ln()2x a x a x C a -++ 120.arctan d x x x a ⎰=221()arctan 22x a a x x C a +-+121.2arctan d xx x a⎰=33222arctan ln()366x x a a x a x C a -+++十三含有指数函数的积分122.d x a x ⎰=1ln xa C a + 123.e d ax x ⎰=1e ax C a +124.e d ax x x ⎰=21(1)e ax ax C a -+125.e d n ax x x ⎰=11e e d n ax n ax nx x x a a--⎰126.d x xa x ⎰=21ln (ln )x xx a a C a a -+ 127.d n x x a x ⎰=11d ln ln n x n xn x a x a x a a --⎰ 128.e sin d ax bx x ⎰=221e (sin cos )ax a bx b bx C a b -++129.e cos d ax bx x ⎰=221e (sin cos )ax b bx a bx C a b+++130.e sin d ax n bx x ⎰=12221e sin (sin cos )ax n bx a bx nb bx a b n--+131.e cos d ax n bx x ⎰=12221e cos (cos sin )ax n bx a bx nb bx a b n-++十四含有对数函数的积分 132.ln d x x ⎰=ln x x x C -+133.d ln xx x⎰=ln ln x C + 134.ln d n x x x ⎰=111(ln )11n x x C n n +-+++135.(ln )d n x x ⎰=1(ln )(ln )d n n x x n x x --⎰ 136.(ln )d m n x x x ⎰=111(ln )(ln )d 11m n m n nx x x x x m m +--++⎰ 十五含有双曲函数的积分 137.sh d x x ⎰=ch x C + 138.ch d x x ⎰=sh x C + 139.th d x x ⎰=lnch x C + 140.2sh d x x ⎰=1sh224xx C -++ 141.2ch d x x ⎰=1sh224x x C ++ 十六定积分142.cos d nx x π-π⎰=sin d nx x π-π⎰=0 143.cos sin d mx nx x π-π⎰=0144.cos cos d mx nx x π-π⎰=0,,m nm n ≠⎧⎨π=⎩145.sin sin d mx nx x π-π⎰=0,,m nm n≠⎧⎨π=⎩146.0sin sin d mx nx x π⎰=0cos cos d mx nx x π⎰=0,,2m n m n ≠⎧⎪⎨π=⎪⎩147. n I =20sin d nx x π⎰=20cos d n x x π⎰n I =21n n I n-- 1342253n n n I n n --=⋅⋅⋅⋅- n 为大于1的正奇数,1I =1 13312422n n n I n n --π=⋅⋅⋅⋅⋅-n 为正偶数,0I =2π。
高等数学积分公式大全在高等数学中,积分是一个非常重要的概念,它在许多领域都有着广泛的应用,如物理学、工程学、经济学等。
积分公式则是解决积分问题的有力工具。
下面,我们就来详细介绍一下高等数学中的积分公式。
一、不定积分的基本公式1、常数的积分:∫k dx = kx + C (k 为常数,C 为积分常数)2、幂函数的积分:∫x^n dx =(1/(n + 1))x^(n + 1) + C (n ≠ -1)3、指数函数的积分:∫e^x dx = e^x + C∫a^x dx =(1 / lna)a^x + C (a > 0,a ≠ 1)4、对数函数的积分:∫lnx dx = xlnx x + C∫log_a x dx =(1 / lna)x(log_a x 1) + C (a > 0,a ≠ 1)二、三角函数的积分公式1、∫sinx dx = cosx + C2、∫cosx dx = sinx + C3、∫tanx dx = ln|cosx| + C4、∫cotx dx = ln|sinx| + C5、∫secx dx= ln|secx + tanx| + C6、∫cscx dx = ln|cscx + cotx| + C三、反三角函数的积分公式1、∫arcsinx dx = xarcsinx +√(1 x^2) + C2、∫arccosx dx =xarccosx √(1 x^2) + C3、∫arctanx dx = xarctanx (1 / 2)ln(1 + x^2) + C4、∫arccotx dx = xarccotx +(1 / 2)ln(1 + x^2) + C四、有理函数的积分有理函数是指两个多项式的商。
对于形如P(x) /Q(x) 的有理函数,其中 P(x) 和 Q(x) 都是多项式,可以通过多项式的除法将其化为一个多项式和一个真分式之和。
真分式可以通过部分分式分解的方法化为较简单的分式,然后再进行积分。
常用积分公式(一)含有ax b 的积分(0a )1.dx ax b =1ln ax b Ca2.()d axb x=11()(1)ax b C a (1)3.d x x ax b =21(ln )ax b b ax b Ca4.2d x x axb =22311()2()ln 2ax b b ax b b axb Ca5.d ()xx axb =1lnax bCbx 6.2d ()x x axb =21lna ax bCbx bx 7.2d ()x x axb =21(ln )b axbCaaxb8.22d ()x x axb =231(2ln )b ax b b ax bCaax b9.2d ()xx axb =211ln()ax bCb axb bx(二)含有ax b 的积分10.d ax b x =32()3ax b Ca11.d x ax b x =322(32)()15axb ax b C a 12.2d xax b x =222332(15128)()105a x abx b ax b Ca13.d xx ax b=22(2)3ax b ax b Ca14.2d x x axb=22232(348)15a x abx b ax bCa15.dx x axb=1ln(0)2arctan(0)ax b b C b b ax bbax bCb b b16.2dx xax b=d 2ax ba x bxb x ax b17.d ax bx x =d 2x axbbx axb18.2d ax bx x=d 2ax b a x xx ax b(三)含有22xa 的积分19.22dx xa =1arctan x Ca a20.22d ()nx xa =2221222123d 2(1)()2(1)()n n xnx n a x a n a xa 21.22dx xa=1ln 2x a Caxa(四)含有2(0)axb a 的积分22.2dx axb=1arctan (0)1ln(0)2a x Cb b ab ax b Cbab ax b23.2d x x axb =21ln 2ax bCa24.22d xx axb =2d xb x aa axb 25.2d ()x x axb =221ln2x Cb axb26.22d ()x x axb =21d a xbxb axb27.32d ()x x axb =22221ln22axba Cbxbx28.22d ()x axb =221d 2()2xxb axb b axb(五)含有2axbxc (0)a的积分29.2dx axbx c=222222222arctan (4)44124ln (4)424ax b C b ac ac bacb ax b b ac C bac bacaxbbac30.2d x x axbx c =221d ln 22b xax bx ca a ax bx c(六)含有22xa (0)a的积分31.22dx xa=1arsh x C a=22ln()x xa C32.223d ()x xa =222xCaxa33.22d x x xa=22x aC34.223d ()x x xa =221Cxa35.222d x x xa=22222ln()22x ax ax xa C36.2223d ()xx xa =2222ln()x x xa Cx a 37.22dx x xa=221lnxa aCax38.222dx xxa=222xaCa x 39.22d x a x =22222ln()22x ax ax xa C40.223()d xa x =22224223(25)ln()88x x a x aa x xa C41.22d x xa x=2231()3x a C42.222d x xax =4222222(2)ln()88x axa xax xa C43.22d x a x x=2222lnx a axaa Cx44.222d xax x=2222ln()xa x xa Cx(七)含有22xa (0)a的积分45.22dxxa=1archx x C xa=22ln x xaC46.223d ()x xa =222xCaxa47.22d x x xa=22xaC48.223d ()x x xa =221Cxa49.222d x x xa=22222ln 22x ax ax xaC50.2223d ()xxxa =2222ln x x xaCxa 51.22dx x xa=1arccos a Cax52.222dx xxa=222xaCa x 53.22d x ax =22222ln 22x ax axxaC54.223()d x a x =22224223(25)ln 88x x a x aa x xaC55.22d x xa x =2231()3x a C56.222d xxax =4222222(2)ln 88x axa x ax xaC57.22d x a x x=22arccosa x aa Cx58.222d xax x=2222ln xa x x aCx(八)含有22ax (0)a的积分59.22dxax=arcsinx Ca 60.223d ()x ax =222x Caax61.22d x xax=22axC62.223d ()x x ax =221Ca x63.222d x x ax=222arcsin22x ax a xCa 64.2223d ()xx ax =22arcsinx x Caa x 65.22dx x ax=221lnaaxCax 66.222dx xax =222axCa x 67.22d a xx =222arcsin22x ax a xCa68.223()d ax x =222243(52)arcsin 88x x a x a x a Ca69.22d x ax x =2231()3a x C70.222d xax x =42222(2)arcsin88x ax xa axCa71.22d a x x x=2222lna a xaxa Cx 72.222d axx x=22arcsin ax x Cxa(九)含有2axbx c (0)a的积分73.2dxaxbx c =21ln 22ax ba axbx c Ca74.2d axbx c x =224ax b axbxca75.2d xxaxbx c=21axbxca 76.2dxcbx ax=212arcsin4ax b Ca bac77.2d c bxax x =2232242arcsin484ax bbacax b c bxaxCaabac78.2d x xcbx ax=23212arcsin24bax b cbxaxCaabac(十)含有x a x b或()()x a bx 的积分79.d xax x b =()()ln()x a x b b a x a xb Cx b 80.d x a x bx=()()arcsinx a x a x b b a Cbxbx 81.d ()()x x a b x =2arcsinx a C b x()ab 82.()()d xa bx x =22()()()arcsin44x a bb a x a x a b x Cbx(十一)含有三角函数的积分83.sin d x x =cos x C84.cos d x x =sin x C85.tan d x x =ln cosxC 86.cot d x x =ln sin xC87.sec d x x =ln tan()42x C =ln sec tan xx C88.csc d x x =ln tan2x C =ln csc cot x x C89.2sec d x x =tan x C 90.2csc d x x =cot xC 91.sec tan d x x x =secx C 92.csc cot d x x x =cscxC93.2sin d x x =1sin224xx C 94.2cos d x x =1sin 224x x C 95.sin d nx x =1211sin cos sin d n n n x x x x nn96.cos d nx x =1211cos sin cos d n n n x x x x n n 97.d sin nxx =121cos 2d 1sin 1sin n n x n xn x n x 98.d cos n x x =121sin 2d 1cos 1cos n n x n xn x n x99.cos sin d m n x x x =11211cos sin cos sin d m n m nm x x x x xm n m n=11211cos sin cos sin d m n m n n x x x x xm n m n100.sin cos d ax bx x =11cos()cos()2()2()ab xab xCa b a b 101.sin sin d ax bx x =11sin()sin()2()2()a b x a b x Ca b a b 102.cos cos d ax bx x =11sin()sin()2()2()a b x a b x Cab ab103.d sin x ab x=2222tan22arctanx a bC abab22()ab 104.d sin x ab x=222222tan12ln tan2x a b b a C x b a a bba22()ab 105.d cos x ab x=2arctan(tan )2a b a bxC abab ab 22()ab 106.d cos x ab x=tan12ln tan2xa b a b b a C a b b a xa b b a 22()ab 107.2222d cos sin x a x b x =1arctan(tan )bx Cab a108.2222d cos sin xa xb x=1tan ln2tan b x a Cabb xa109.sin d x ax x =211sin cos axx ax C a a 110.2sin d x ax x =223122cos sin cos x ax x ax axC a a a 111.cos d x ax x =211cos sin ax x ax Ca a 112.2cos d x ax x =223122sin cos sin x ax x ax axC a a a(十二)含有反三角函数的积分(其中0a )113.arcsin d x x a =22arcsin x x a x Ca114.arcsind x x xa=2222()arcsin244xax x axCa115.2arcsin d x x x a=322221arcsin(2)39x x x a axCa 116.arccos d x x a =22arccos x x axCa117.arccos d x x x a =2222()arccos 244xax x a x Ca118.2arccosd x x x a=322221arccos(2)39xx x a axCa119.arctan d x x a =22arctan ln()2x a x a x Ca 120.arctan d x x x a =221()arctan 22x a a x x Ca 121.2arctand x x xa=33222arctanln()366xx a axax Ca(十三)含有指数函数的积分122.d xa x =1ln xaCa 123.e d axx =1e ax Ca 124.e d ax x x =21(1)e axaxC a125.e d n ax x x =11e e d n ax n axn x x xa a126.d xxa x =21ln (ln )xxx aaCaa 127.d nx x a x =11d ln ln n x n xn x a x a xa a128.e sin d ax bx x =221e (sin cos )axa bxb bx C a b 129.e cos d ax bx x =221e (sin cos )axb bxa bx C a b130.e sin d ax n bx x =12221e sin(sin cos )ax n bx a bx nb bx a b n131.e cos d ax n bx x =12221e cos(cos sin )ax n bx a bx nb bx a b n(十四)含有对数函数的积分132.ln d x x =ln x xx C133.d ln xx x=ln ln x C 134.ln d nx x x =111(ln )11n x xCn n 135.(ln )d nx x =1(ln )(ln )d n nx x n x x136.(ln )d mn x x x=111(ln )(ln )d 11m nm n n xx x x xm m (十五)含有双曲函数的积分137.sh d x x =chx C 138.ch d x x =shxC139.th d x x =lnch x C 140.2sh d x x =1sh224x x C 141.2ch d x x =1sh224x x C(十六)定积分142.cos d nx x =sin d nx x =0143.cos sin d mx nx x =0144.cos cos d mx nx x =0,,m nm n 145.sin sin d mx nx x =0,,m n mn146.sin sin d mx nx x =cos cos d mx nx x =0,,2m n mn147.n I =20sind nx x =20cos d nx xn I =21n n I n 1342253nn n I n n L (n 为大于1的正奇数),1I =113312422nn n I n nL (n 为正偶数),0I =2。
适用标准文档常用积分公式(一)含有 ax b 的积分 ( a0 )1.dx = 1ln ax b Cax b a2. ( ax b) dx =a( 11) (ax b) 1C (1 )3.xb dx = 12 (ax b b ln ax b ) Cax a4.x 2dx = 11(ax b) 2 2b(ax b)b 2 ln ax bCax b a 3 25.dx= 1 ln axb Cx( axb)bx6.2dx b) = 1 a 2 ln ax b Cx (ax bxbx7.( ax x dx = 1(ln ax bax b ) Cb) 2a 2b8.x 22 dx = 13 (ax b 2b ln ax bb 2 ) C(ax b) aax bdx1 1 axb9.x(ax b)2=b( ax b) b 2 lnxC(二)含有ax b 的积分10.axbdx =2(ax b)3C3a211. x axbdx = 2 (3ax 2b)(ax b) 3 C15a12. x2ax bdx =23 (15a 2 x 212 abx 8b 2 ) (ax b)3 C105a13.x dx = 2(ax 2b) ax b Cax b 3a 2适用标准文档14.x 2 =22 22axb dx 15a 3 (3a x 4abx 8b ) ax b C1ax b b C (b0)dxlnax bb15.=bx axb2 arctan ax b C (b 0)b b16.dx=axba dxx 2 axbx2b x axbb17.ax bdx = 2 ax bbdxbxx ax18.ax bdx =ax b a dx bx 2x 2 xax(三)含有 x 2 a 2 的积分19.dx= 1 x C x 2a 2 arctana adxx2n 3dx20. ( x2a 2 )n=2( n 1)a 2 ( x 2a 2 )n 12( n 1)a 2 ( x 2a 2 )n 121.x dx = 1 ln x a C2 a 2 2a x a(四)含有 ax 2 b(a0) 的积分1 arctan a x C( b0)22.dxab bax 2 b =ax b1lnC (b0)2 ab axb23.x dx = 1ln ax 2b Cax 2 b 2a适用标准文档24.x 2dx = x bdxax 2a a2bbax 25.dx = 1ln x 2 b Cx(ax 2 b) 2b ax 226.dx=1 adxx 2(ax 2 b) bxbax2bdxb) = aax 2 b 1 C 27. x 3(ax 2 2b 2 ln x 2 2bx 228.dx=x1 dx(ax 2 b)b) 2b ax 2b22b( ax 2(五)含有 ax 2bx c ( a0) 的积分2arctan 2ax bC(b 24ac )29.dx = 4ac b 24ac b 2ax 2 bx12axbb 24accln(b 24ac )b 24ac 2ax b b 2C4ac30.ax xc dx = 1ln ax 2bx cb ax 2 dx2bx2a2a bx c(六)含有x 2 a 2 (a0) 的积分31.dx a 2 = arshxC 1 = ln( xx 2 a 2 ) Cx 2a32.dx=xC(x2a 2 )3a 2x2a233.x a 2 dx = x 2a 2 Cx 234.xdx =1C(x 2x 2a 2a 2 ) 335.x 2dx = x x 2 a 2 a 2 ln( xx 2a 2 ) Cx 222a 236.x 2a 2 )3dx=x a 2ln( xx 2 a 2 ) C( x 2x 237.dx = 1lnx 2a 2a C x x 2 a 2 ax38.dx=x 2 a 2 C2x 2a 2a 2xx39.x 22dx = x2a 2a 2 x2 a 2 ) Caxln( x2 240.( x2a 2 )3dx = x(2 x 2 5a 2 ) x 2 a 23 a4 ln( xx 2a 2 ) C8841. x x2a 2dx =1(x 2a 2 ) 3 C342. x 2 x2a 2dx = x(2 x8 43.x2a 2dx = x 2 ax2 a 2 ) x 2 a 2a 4 ln( xx 2 a 2 ) C82 a lnx 2a 2 aCx44.x 2 a 2 dx = x 2 a 2 ln( x x 2 a 2 ) Cx 2 x(七)含有x 2a 2 (a 0) 的积分45.dx = x arch xC 1 = ln xx 2 a 2Cx 2 a 2 x a46.dx=xC( x 2a 2 x 2a 2 ) 3a 247.x a 2 dx =x 2 a 2Cx 248.x dx =1C (x2x2a2a2 )349.x2a2dx =xx2a2a2ln x x2a2Cx22250.x 2dx =x ln x x2a2C(x2x2a2 a2 )351.dx=1arccosaCx x2 a 2a x 52.dx=x2a2C2x2a2a2 xx53.x2a2 dx =xx2a2a2ln x x2a2C 2254.( x2a2 )3 dx =x(2 x 25a2 ) x2a23a4 ln x x2a2Ca2 dx =18855.x x2(x2a2 )3C356.x2x2a2dx=x2a2) x2a2a4ln x x2a2C (2 x8857.x2x a2dx = x2a2 a arccosaCx58.x2a2dx=x2x a2ln x x2a2Cx2(八)含有a2x2(a0) 的积分59.dxx2= arcsinxCa2a60.dx=x C(a 2x2x2 ) 3a2 a261.a 2 x dx =a 2 x 2 Cx 262.xdx =1C(a 2 x 2 )3 a 2 x 263.x2dx = x a2x2a 2arcsin xCa 2 x 222 a64.x2dx =x x 2arcsinxC(a 2x 2 )3a 2a65.dx = 1 lnaa 2 x 2Cx a 2x 2ax66.dx=a 2x 2Cx2a2x2a 2x67.a 2 x 2dx =xa 2x 2 a 2 arcsin xC22 a68.(a 2x 2 )3dx = x(5a22x 2 ) a 2x 23a 4arcsinxC88 a69. x a 2x 2 dx = 1 (a 2x 2 )3 C370.x 2 a 2x 2dx = x(2 x2a 2 ) a 2 x 2 a 4 arcsin xC88 a 71.a2xx 2dx = a 2 x2a lnaa 2 x 2Cx 72.a 2 x 2a 2x 2arcsinxx 2dx =xCa(九)含有 ax 2bx c (a0) 的积分73.dx=1ln 2axb 2 a ax 2bx cCax 2 bxc a适用标准文档74.ax2bxcdx =2axb ax 2bx c4a4a c 2b2b xc C8 a3l n 2a x b 2 a a x75.ax 2xdx = 1ax 2 bx c bx c abl n 2a x2b x cC2b 2 a a xa 376.dx = 1arcsin2ax b Ccbx ax 2ab 2 4ac77.c bx ax 2dx =2axb c bx ax 2 b 2 4ac arcsin 2ax b C4a8 a 3 b 2 4ac 78.xdx = 1 c bx ax 2 b arcsin 2ax b Ccbx ax 2a2 a3 b 24ac(十)含有x a 或 ( x a)( b x) 的积分x b79.xa dx = (x b) x a (b a)ln(x ax b )Cx b x b80.xadx = (x b) x a (ba)arcsin x aCb xb xb x81.dx = 2arcsinx aC( a b)(xa)( b bxx)82.( x a)(bx)dx =2 xa b ( x a)( b x) (b a)2 arcsin x a C4 4b x(ab)(十一)含有三角函数的积分适用标准文档83.sin xdx =cos x C84.cos xdx =sin x C85.tan xdx =ln cosx C86.cot xdx =ln sinx C87.sec xdx = ln tan(x ) C =ln secx tan x C4 288.csc xdx = ln tan xC =ln cscx cot x C 289.sec2 xdx =tan x C 90.csc2 xdx =cotx C 91.secx tan xdx =secx C 92.csc x cot xdx =cscx C93.94.95.96.97.98.99.sin2 xdx =x1sin 2x C24cos2 xdx =x1sin 2x C24sin n xdx =1sin n1 xcos x n1sin n2 xdxn ncos n xdx =1cos n 1 x sin x n1cos n 2 xdxn ndx=1cos x n2dxsin n x n1sin n 1 x n1sin n 2 xdx=1sin x n2dxcos n x 1 cos n 1 x n1cos n2 xncos m xsin n xdx =1ncos m 1 xsin n 1 x m1cos m 2 x sin n xdxm m n=1ncos m 1 x sin n 1 x n1cos m x sin n 2 xdxm m n适用标准文档100. sin ax cosbxdx =1cos(a b)x1cos(a b) x C2( ab)2( a b)101. sin ax sin bxdx =1sin( a b) x1sin(a b)x C2( a2(a b)b)102. cosax cosbxdx =1sin( a b)x1sin( a b) xC2( a2(ab)b)dx2a tanxb103.a=a 2b 2 arctan a 2 2 C( a 2 b 2 )bsin x b 2dx1a tanxbb 2 a 22 2104.=ln2C( a )a bsin xb2a2 a tanxbb2a2b2105.dx=2a barctan(a bx C 2 2 a bcos x a bab a tan)( a b )b2dx1 ab tanxa b106.=ln2b aC(a 22)a bcos x ab babtanxa b2b a107.dxsin 2 x = 1 arctan( btan x) Ca 2 cos 2 xb 2 ab a 108.dxsin 2 x = 1ln b tan x a Ca 2 cos 2 xb 2 2ab b tan x a109.xsin axdx =11 x cosaxC 2 sin axaa122110.x 2sin axdx =x 2 cosaxCaa 2x sin ax3 cosaxa111. x cosaxdx = 12 cosax1x sin ax Caa112.x 2cosaxdx = 1x 2 sin ax 2 x cosax 2 sin ax Ca a 2a 0 ) a 3(十二)含有反三角函数的积分(此中适用标准文档113.arcsin xdx = x arcsinxa 2x 2Caa114.x= x 2 a 2xx a2 x 2Cxarcsin dx(4)arcsin4a2 a115.x 2arcsin xdx =x 3arcsinx1 (x2 2a 2 ) a 2 x 2 Ca3a9116. arccos xdx = xarccosxa 2x 2 Caa117.xarccos xdx = ( x2a 2 )arccos xx a 2 x 2 Ca2 4 a4118.x 2arccos xdx =x 3arccosx1 ( x2 2a 2 ) a 2x 2Ca3a9119. arctan xdx = x arctanxaln( a 2 x 2 ) Caa2120.x arctan xdx = 1(a2x 2)arctanxa x Ca 2a 2121.x 2arctan xdx =x 3arctanxa x 2 a 3 ln( a 2 x 2 ) Ca3 a66(十三)含有指数函数的积分122. a xdx =1a x Cln a123. e axdx = 1e axCa124.xe axdx = 12 (ax 1)e ax Ca125.x n e axdx =1x n e ax nx n 1e ax dxaa126.xa x dx =xa x1 2 a x Cln a(ln a)127.x na xdx =1x n a x n x n 1a x dxln a 21ln a128. e axsin bxdx =b 2 eax( a sin bxb cosbx ) Ca适用标准文档129.e ax cosbxdx=212 eax (bsin bx a cosbx)Ca b130.e ax sin n bxdx=212n 2 e ax sin n 1 bx(a sin bx nb cosbx )a bn( n1)b2axsin n2bxdxa2b2n2e131.e ax cos n bxdx=a21ax n1nbsin bx) b2n2ecos bx(a cosbxn( n1)b2axcos n2bxdxa2b2n2e (十四)含有对数函数的积分132.ln xdx=x ln x x C133.dx= ln ln x Cxln x11134.x n ln xdx =nx n1(ln x)C 1n 1135.(ln x)n dx=x(ln x)nn1n (ln x)dx136.x m (ln x)n dx =1x m 1(ln x)nm n x m (ln x)n 1dxm11(十五)含有双曲函数的积分137.shxdx=chx C138.chxdx=shx C139.thxdx =lnch x C140.sh2xdx=x1sh2x C141.ch2xdx=x214sh2x C 24(十六)定积分142.cos nxdx =sin nxdx =0 143.cos mx sin nxdx =0出色文案适用标准文档0, m n144.cos mx cos nxdx =,m n0, m n145.sin mx sin nxdx =,m n0, m n 146.sin mxsin nxdx=cosmx cos nxdx =00, m n2147.I n= 2 sin n xdx=2 cos n xdx00I n=n1I n n2I nn1n342n n25( n 为大于1的正奇数), I1=13I n n1n331( n 为正偶数), I 0=n n24222出色文案。
高等数学积分公式大全在高等数学的学习中,积分是一个非常重要的概念和工具。
积分公式就像是一把把钥匙,能够帮助我们打开解决各种数学问题的大门。
接下来,让我们一起走进这个丰富多彩的积分公式世界。
一、基本积分公式1、常数的积分∫k dx = kx + C (其中 k 为常数,C 为积分常数)这个公式很好理解,对一个常数进行积分,结果就是这个常数乘以自变量再加上积分常数。
2、幂函数的积分∫x^n dx =(1/(n + 1))x^(n + 1) + C (其中n ≠ -1)当 n 为正整数时,这个公式告诉我们幂函数积分后,指数加 1,然后除以新的指数再加积分常数。
3、指数函数的积分∫e^x dx = e^x + C∫a^x dx =(1 / ln a)a^x + C (其中 a > 0 且a ≠ 1)指数函数的积分依然是它本身,只是要加上积分常数。
4、对数函数的积分∫ln x dx = x ln x x + C这是一个比较特殊的公式,需要记住。
5、三角函数的积分∫sin x dx = cos x + C∫cos x dx = sin x + C∫ta n x dx = ln |cos x| + C∫cot x dx = ln |sin x| + C三角函数的积分在解决与周期性和波动性相关的问题中经常用到。
二、换元积分法相关公式1、第一类换元法(凑微分法)如果∫f(u) du = F(u) + C,且 u =φ(x) 可导,则∫f(φ(x))φ'(x) dx =F(φ(x))+ C通过巧妙地凑出合适的微分形式,将复杂的积分转化为已知的积分形式。
2、第二类换元法设 x =φ(t) 是单调的、可导的函数,并且φ'(t) ≠ 0,又设f(φ(t))φ'(t) 具有原函数,则有∫f(x) dx =∫f(φ(t))φ'(t) dt常见的有三角代换、根式代换等。
三、分部积分法公式∫u dv =uv ∫v du这个公式常用于两个函数相乘的积分,通过合理地选择 u 和 dv,将积分转化为更容易求解的形式。
常 用 积 分 公 式(一)含有ax b +的积分(0a ≠) 1.d x ax b +⎰=1ln ax b C a ++2.()d ax b x μ+⎰=11()(1)ax b C a μμ++++(1μ≠-)3.d x x ax b +⎰=21(ln )ax b b ax b C a +-++456.2d ()xx ax b +⎰=21ln a ax b C bx b x +-++ 7.2d ()x x ax b +⎰=21(ln )b ax b C a ax b++++ 8.22d ()x x ax b +⎰=231(2ln )b ax b b ax b C a ax b+-+-++ 9.2d ()xx ax b +⎰=211ln ()ax b C b ax b b x +-++的积分10.x C +11.x ⎰=22(3215ax b C a -12.x x ⎰=22232(15128105a x abx b C a-+13.x⎰=22(23ax b C a -14.2x ⎰=22232(34815a x abx b C a -+ 15.⎰(0)(0)C b C b ⎧+><16.⎰=2a b - 17.d x x ⎰=b ⎰18.2d x x ⎰=2a + (三)含有22x a ±的积分 19.22d x x a +⎰=1arctan xC a a+ 20.22d ()n x x a +⎰=2221222123d 2(1)()2(1)()n n x n xn a x a n a x a ---+-+-+⎰ 21.22d xx a -⎰=1ln 2x a C a x a -++(四)含有2(0)ax b a +>的积分2223.2d x x ax b +⎰=21ln 2ax b C a ++24.22d x x ax b +⎰=2d x b xa a axb -+⎰25.2d ()x x ax b +⎰=221ln 2x C b ax b++26.22d ()x x ax b +⎰=21d a xbx b ax b--+⎰ 27.32d ()x x ax b +⎰=22221ln 22ax b a C b x bx+-+ 28.22d ()x ax b +⎰=221d 2()2x xb ax b b ax b +++⎰(五)含有2ax bx c ++(0)a >的积分29.2d x ax bx c ++⎰=22(4)(4)C b ac Cb ac +<+>30.2d x x ax bx c ++⎰=221d ln 22b x ax bx c a a ax bx c++-++⎰(0)a >的积分 31.⎰=1arshxC a+=ln(x C ++ 32.C +33.x ⎰C34.x=C +35.2x 2ln(2a x C +36.2x =ln(x C +++37.⎰1ln aC a x -+38.⎰C +39.x 2ln(2a x C ++40.x =2243(25ln(88x x a a x C ++41.x ⎰C +42.xx ⎰=422(2ln(88x a x a x C +++43.x ⎰a C +44.x ⎰=ln(x C +++(0)a >的积分45.=1arch x xC x a+=ln x C + 46.C +47.x ⎰C48.x =C +49.2x 2ln 2a x C +++50.2x =ln x C +++51.⎰1arccos aC a x+52.⎰2C a x +53.x 2ln 2a x C -++54.x =2243(25ln 88x x a a x C -++55.x ⎰C56.xx ⎰=422(2ln 88x a x a x C -++57.x ⎰arccos a a C x -+58.x ⎰=ln x C +++(0)a >的积分 59.⎰=arcsinxC a+ 60.C +61.x ⎰=C +62.x C +63.2x =2arcsin 2a x C a + 64.2x arcsinxC a-+65.⎰1C a +66.⎰2C a x -+67.x 2arcsin 2a x C a+68.x =2243(52arcsin 88x x a x a C a-+69.x ⎰=C70.xx ⎰=422(2arcsin 88x a x x a C a-+71.x ⎰ln a a C x ++72.x ⎰=arcsin xC a-+(0)a >的积分73.⎰2ax b C +++74.x75.x ⎰ 76.⎰=C +77.x 2C +78.x ⎰=C ++79.x =((x b b a C --+80.x =((x b b a C -+-81.⎰=C ()a b <82.x 2()arcsin 4b a C -+ (十一)含有三角函数的积分 83.sin d x x ⎰=cos x C -+ 84.cos d x x ⎰=sin x C + 85.tan d x x ⎰=ln cos x C -+ 86.cot d x x ⎰=ln sin x C +87.sec d x x ⎰=ln tan()42xC π++=ln sec tan x x C ++ 88.csc d x x ⎰=ln tan2xC +=ln csc cot x x C -+ 89.2sec d x x ⎰=tan x C + 90.2csc d x x ⎰=cot x C -+ 91.sec tan d x x x ⎰=sec x C + 92.csc cot d x x x ⎰=csc x C -+93.2sin d x x ⎰=1sin 224x x C -+ 94.2cos d x x ⎰=1sin 224x x C ++95.sin d n x x ⎰=1211sin cos sin d n n n x x x x n n----+⎰ 96.cos d n x x ⎰=1211cos sin cos d n n n x x x x n n ---+⎰97.d sin n x x ⎰=121cos 2d 1sin 1sin n n x n xn x n x ----⋅+--⎰ 98.d cos n x x ⎰=121sin 2d 1cos 1cos n n x n xn x n x---⋅+--⎰ 99.cos sin d m n x x x ⎰=11211cos sin cos sin d m n m nm x x x x x m n m n-+--+++⎰ =11211cos sin cos sin d m n m n n x x x x x m n m n+----+++⎰ 100.sin cos d ax bx x ⎰=11cos()cos()2()2()a b x a b x C a b a b -+--++-101.sin sin d ax bx x ⎰=11sin()sin()2()2()a b x a b x C a b a b -++-++-102.cos cos d ax bx x ⎰=11sin()sin()2()2()a b x a b x C a b a b ++-++-103.d sin xa b x +⎰tanxa b C ++22()a b >104.d sin x a b x +⎰C+22()a b <105.d cos xa b x +⎰)2x C +22()a b >106.d cos x a b x +⎰C +22()a b <107.2222d cos sin x a x b x +⎰=1arctan(tan )bx C ab a + 108.2222d cos sin xa xb x -⎰=1tan ln 2tan b x a C ab b x a ++-109.sin d x ax x ⎰=211sin cos ax x ax C a a -+ 110.2sin d x ax x ⎰=223122cos sin cos x ax x ax ax C a a a -+++111.cos d x ax x ⎰=211cos sin ax x ax C a a ++112.2cos d x ax x ⎰=223122sin cos sin x ax x ax ax C a a a+-+(十二)含有反三角函数的积分(其中0a >)113.arcsin d x x a ⎰=arcsin x x C a++114.arcsin d xx x a ⎰=22()arcsin 24x a x C a -+115.2arcsin d x x x a⎰=3221arcsin (239x x x a C a ++116.arccos d x x a ⎰=arccosxx C a117.arccos d xx x a ⎰=22()arccos 24x a x C a -118.2arccos d x x x a⎰=3221arccos (239x x x a C a -+119.arctand x x a ⎰=22arctan ln()2x a x a x C a -++ 120.arctan d x x x a ⎰=221()arctan 22x a a x x C a +-+121.2arctan d xx x a⎰=33222arctan ln()366x x a a x a x C a -+++ (十三)含有指数函数的积分122.d xa x ⎰=1ln xa C a + 123.e d axx ⎰=1e ax C a +124.e d ax x x ⎰=21(1)e axax C a-+125.e d n axx x ⎰=11e e d n ax n ax n x x x a a--⎰126.d xxa x ⎰=21ln (ln )x x x a a C a a -+ 127.d nxx a x ⎰=11d ln ln n x n x nx a x a x a a --⎰ 128.e sin d axbx x ⎰=221e (sin cos )ax a bx b bx C a b -++ 129.e cos d ax bx x ⎰=221e (sin cos )axb bx a bx C a b+++ 130.e sin d ax nbx x ⎰=12221e sin (sin cos )ax n bx a bx nb bx a b n--+ 131.e cos d ax nbx x ⎰=12221e cos (cos sin )ax n bx a bx nb bx a b n-++ (十四)含有对数函数的积分 132.ln d x x ⎰=ln x x x C -+133.d ln x x x ⎰=ln ln x C +134.ln d n x x x ⎰=111(ln )11n x x C n n +-+++ 135.(ln )d n x x ⎰=1(ln )(ln )d n n x x n x x --⎰ 136.(ln )d m n x x x ⎰=111(ln )(ln )d 11m n m n n x x x x x m m +--++⎰ (十五)含有双曲函数的积分 137.sh d x x ⎰=ch x C +138.ch d x x ⎰=sh x C +139.th d x x ⎰=lnch x C + 140.2sh d x x ⎰=1sh224x x C -++ 141.2ch d x x ⎰=1sh224x x C ++ (十六)定积分142.cos d nx x π-π⎰=sin d nx x π-π⎰=0 143.cos sin d mx nx x π-π⎰=0144.cos cos d mx nx x π-π⎰=0,,m n m n ≠⎧⎨π=⎩ 145.sin sin d mx nx x π-π⎰=0,,m n m n ≠⎧⎨π=⎩146.0sin sin d mx nx x π⎰=0cos cos d mx nx x π⎰=0,,2m n m n ≠⎧⎪⎨π=⎪⎩ 147. n I =20sin d n x x π⎰=20cos d n x x π⎰ n I =21n n I n--1342253n n n I n n --=⋅⋅⋅⋅-L (n 为大于1的正奇数),1I =1 13312422n n n I n n --π=⋅⋅⋅⋅⋅-L (n 为正偶数),0I =2π。