高数积分总结doc
- 格式:doc
- 大小:327.00 KB
- 文档页数:4
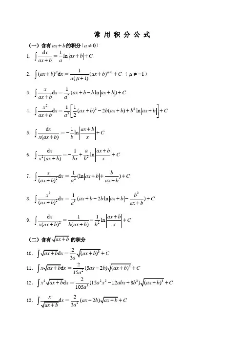
常 用 积 分 公 式(一)含有ax b +的积分(0a ≠) 1.d x ax b +⎰=1ln ax b C a ++2.()d ax b x μ+⎰=11()(1)ax b C a μμ++++(1μ≠-)3.d x x ax b +⎰=21(ln )ax b b ax b C a +-++4.2d x x ax b +⎰=22311()2()ln 2ax b b ax b b ax b C a ⎡⎤+-++++⎢⎥⎣⎦5.d ()xx ax b +⎰=1ln ax b C b x +-+6.2d ()xx ax b +⎰=21ln a ax b C bx b x +-++ 7.2d ()x x ax b +⎰=21(ln )b ax b C a ax b++++ 8.22d ()x x ax b +⎰=231(2ln )b ax b b ax b C a ax b+-+-++ 9.2d ()xx ax b +⎰=211ln ()ax b C b ax b b x +-++的积分10.x C +11.x ⎰=22(3215ax b C a -12.x x ⎰=22232(15128105a x abx b C a-+13.x⎰=22(23ax b Ca -14.2x ⎰=22232(34815a x abx b C a -+ 15.⎰(0)(0)C b C b ⎧+><16.⎰2a b - 17.d x x ⎰=b ⎰18.x ⎰=2a x -+ (三)含有22x a ±的积分 19.22d x x a +⎰=1arctan x C a a+ 20.22d ()n x x a +⎰=2221222123d 2(1)()2(1)()n n x n xn a x a n a x a ---+-+-+⎰ 21.22d xx a -⎰=1ln 2x a C a x a -++(四)含有2(0)ax b a +>的积分22.2d x ax b +⎰=(0)(0)C b C b ⎧+>+<23.2d x x ax b +⎰=21ln 2ax b C a++24.22d x x ax b +⎰=2d x b xa a ax b-+⎰25.2d ()x x ax b +⎰=221ln 2x C b ax b++26.22d ()x x ax b +⎰=21d a xbx b ax b --+⎰27.32d ()x x ax b +⎰=22221ln 22ax b a C b x bx+-+ 28.22d ()x ax b +⎰=221d 2()2x xb ax b b ax b +++⎰(五)含有2ax bx c ++(0)a >的积分29.2d x ax bx c ++⎰=22(4)(4)C b ac Cb ac +<+>30.2d x x ax bx c ++⎰=221d ln 22b x ax bx c a a ax bx c++-++⎰(0)a >的积分 31.⎰=1arshxC a +=ln(x C ++ 32.C +33.x ⎰C34.x=C +35.2x2ln(2a x C +36.2x =ln(x C +++37.⎰1ln aC a x -+38.⎰C +39.x 2ln(2a x C ++40.x =2243(25ln(88x x a a x C ++41.x ⎰C +42.xx ⎰=422(2ln(88x a x a x C +++43.x ⎰a C +44.x ⎰=ln(x C +++(0)a >的积分45.⎰=1arch x xC x a+=ln x C ++ 46.C +47.x ⎰C48.x =C+49.2x 2ln 2a x C +++50.2x =ln x C +++51.⎰1arccos aC a x+52.⎰2C a x +53.x 2ln 2a x C -++54.x =2243(25ln 88x x a a x C -++55.x ⎰C56.xx ⎰=422(2ln 88x a x a x C -+57.x ⎰arccos a a C x -+58.x ⎰=ln x C +++(0)a >的积分 59.⎰=arcsinxC a + 60.C +61.x ⎰=C+62.x C +63.2x =2arcsin 2a x C a + 64.2x arcsinxC a-+65.⎰1C a +66.⎰2C a x -+67.x 2arcsin 2a x C a+68.x =2243(52arcsin 88x x a x a C a-+69.x ⎰=C70.xx ⎰=422(2arcsin 88x a x x a C a-+71.x ⎰ln a a C x ++72.x ⎰=arcsin xC a-+(0)a >的积分73.⎰2ax b C +++74.x22ax b C ++++75.x ⎰2ax b C -+++76.⎰=C +77.x 2C +78.x ⎰=C ++79.x ⎰=((x b b a C --+80.x ⎰=((x b b a C -+-81.⎰=C ()a b <82.x 2()arcsin 4b a C -+ ()a b < (十一)含有三角函数的积分 83.sin d x x ⎰=cos x C-+84.cos d x x ⎰=sin x C + 85.tan d x x ⎰=ln cos x C -+ 86.cot d x x ⎰=ln sin x C +87.sec d x x ⎰=ln tan()42xC π++=ln sec tan x x C ++ 88.csc d x x ⎰=ln tan2xC +=ln csc cot x x C -+ 89.2sec d x x ⎰=tan x C + 90.2csc d x x ⎰=cot x C -+ 91.sec tan d x x x ⎰=sec x C + 92.csc cot d x x x ⎰=csc x C -+93.2sin d x x ⎰=1sin 224x x C -+ 94.2cos d x x ⎰=1sin 224x x C ++95.sin d nx x ⎰=1211sin cos sin d n n n x x x x n n----+⎰ 96.cos d n x x ⎰=1211cos sin cos d n n n x x x x n n---+⎰ 97.d sin n x x ⎰=121cos 2d 1sin 1sin n n x n xn x n x----⋅+--⎰ 98.d cos n x x ⎰=121sin 2d 1cos 1cos n n x n xn x n x---⋅+--⎰ 99.cos sin d m nx x x ⎰=11211cos sin cos sin d m n m n m x x x x x m n m n -+--+++⎰ =11211cos sin cos sin d m n m n n x x x x x m n m n+----+++⎰ 100.sin cos d ax bx x ⎰=11cos()cos()2()2()a b x a b x Ca b a b -+--++-101.sin sin d ax bx x ⎰=11sin()sin()2()2()a b x a b x C a b a b -++-++-102.cos cos d ax bx x ⎰=11sin()sin()2()2()a b x a b x C a b a b ++-++-103.d sin xa b x +⎰tanxa b C ++22()a b >104.d sin x a b x +⎰C+22()a b <105.d cos xa b x +⎰)2x C +22()a b >106.d cos x a b x +⎰C +22()a b <107.2222d cos sin x a x b x +⎰=1arctan(tan )bx C ab a + 108.2222d cos sin xa xb x -⎰=1tan ln 2tan b x a C ab b x a ++-109.sin d x ax x ⎰=211sin cos ax x ax C a a -+ 110.2sin d x ax x ⎰=223122cos sin cos x ax x ax ax C a a a -+++111.cos d x ax x ⎰=211cos sin ax x ax C a a ++112.2cos d x ax x ⎰=223122sin cos sin x ax x ax ax C a a a+-+(十二)含有反三角函数的积分(其中0a >)113.arcsin d x x a ⎰=arcsin x x Ca+114.arcsin d x x x a⎰=22()arcsin 24x a x C a -+115.2arcsin d x x x a ⎰=3221arcsin (239x x x a C a ++116.arccos d xx a ⎰=arccos x x C a-+117.arccos d x x x a⎰=22()arccos 24x a x C a --118.2arccos d x x x a ⎰=3221arccos (239x x x a C a -+ 119.arctand x x a ⎰=22arctan ln()2x a x a x C a -++ 120.arctan d x x x a ⎰=221()arctan 22x a a x x C a +-+ 121.2arctan d x x x a ⎰=33222arctan ln()366x x a a x a x C a -+++ (十三)含有指数函数的积分122.d xa x ⎰=1ln x a C a+ 123.e d ax x ⎰=1e ax C a+ 124.e d ax x x ⎰=21(1)e ax ax C a-+ 125.e d n ax x x ⎰=11e e d n ax n ax n x x x a a --⎰ 126.d x xa x ⎰=21ln (ln )x x x a a C a a -+ 127.d n x x a x ⎰=11d ln ln n x n x n x a x a x a a--⎰ 128.e sin d ax bx x ⎰=221e (sin cos )ax a bx b bx C a b-++ 129.e cos d ax bx x ⎰=221e (sin cos )ax b bx a bx C a b +++130.e sin d ax n bx x ⎰=12221e sin (sin cos )ax n bx a bx nb bx a b n--+ 22222(1)e sin d ax n n n b bx x a b n--++⎰ 131.e cos d ax n bx x ⎰=12221e cos (cos sin )ax n bx a bx nb bx a b n-++ 22222(1)e cos d ax n n n b bx x a b n--++⎰ (十四)含有对数函数的积分132.ln d x x ⎰=ln x x x C -+ 133.d ln x x x ⎰=ln ln x C +134.ln d n x x x ⎰=111(ln )11n x x C n n +-+++ 135.(ln )d n x x ⎰=1(ln )(ln )d n n x x n x x --⎰136.(ln )d m n x x x ⎰=111(ln )(ln )d 11m n m n n x x x x x m m +--++⎰ (十五)含有双曲函数的积分 137.sh d x x ⎰=ch x C +138.ch d x x ⎰=sh x C +139.th d x x ⎰=lnch x C + 140.2sh d x x ⎰=1sh224x x C -++ 141.2ch d x x ⎰=1sh224x x C ++ (十六)定积分142.cos d nx x π-π⎰=sin d nx x π-π⎰=0 143.cos sin d mx nx x π-π⎰=0144.cos cos d mx nx x π-π⎰=0,,m n m n ≠⎧⎨π=⎩ 145.sin sin d mx nx x π-π⎰=0,,m n m n ≠⎧⎨π=⎩146.0sin sin d mx nx x π⎰=0cos cos d mx nx x π⎰=0,,2m n m n ≠⎧⎪⎨π=⎪⎩ 147. n I =20sin d n x x π⎰=20cos d n x x π⎰ n I =21n n I n-- 1342253n n n I n n --=⋅⋅⋅⋅- (n 为大于1的正奇数),1I =1 13312422n n n I n n --π=⋅⋅⋅⋅⋅-(n 为正偶数),0I =2π(注:专业文档是经验性极强的领域,无法思考和涵盖全面,素材和资料部分来自网络,供参考。
《高等数学》中的积分学总结高等数学中涉及的积分类型主要有:定积分(含广义积分)、二重积分、三重积分、曲线积分(对弧长、对坐标)、曲面积分(对面积、对坐标)。
一、符号形式1()baI f x dx =⎰;2(,)DI f x y d σ=⎰⎰;3(,,)I f x y z dV Ω=⎰⎰⎰;4(,,)CI f x y z ds =⎰;5CCI F dr Pdx Qdy Rdz ==++⎰⎰;6(,,)I f x y z dS ∑=⎰⎰;7I F ndS F dS Pdydz Qdzdx Rdxdy ∑∑∑===++⎰⎰⎰⎰⎰⎰二、共同点2.1 定义方法:划分—>微元—>求和—>取极限 2.2 性质:线性性质、可加性、估值三、不同点ds功、流量、环量、通量dS流量、通量四、重要联系及公式4.1 Newton-Leibniz 公式:()()()ba f x dx Fb F a =-⎰4.2 Green 公式: 环量—旋度形式:()CDDQ P x y DPdx Qdy rotF kd F kd d σσσ∂∂∂∂+==∇⨯=-⎰⎰⎰⎰⎰⎰⎰通量—散度形式:()CDDQPx yDPdy Qdx F nd divFd d σσσ∂∂∂∂-===+⎰⎰⎰⎰⎰⎰⎰4.3 Stokes 公式:()()()CQQRP RP y zz x xy Pdx Qdy Rdz rotF ndS F ndSdydz dzdx dxdy∑∑∂∂∂∂∂∂∂∂∂∂∂∂∑++==∇⨯=-+-+-⎰⎰⎰⎰⎰⎰⎰4.4 Gauss 公式:()QPR x yz Pdydz Qdzdx Rdxdy F ndS divFdV FdVdV∑∑ΩΩ∂∂∂∂∂∂Ω++===∇=++⎰⎰⎰⎰⎰⎰⎰⎰⎰⎰⎰⎰⎰五、基本计算方法5.1 定积分方法:凑微分法、换元法、分部积分法 特殊结论:(1)对称性与奇偶性:02(),()()()0,()()aaaf x dx f x f x f x dx f x f x -⎧-=⎪=⎨⎪-=-⎩⎰⎰(2)周期性:0()()a T Taf x dx f x d x +=⎰⎰(3)无界性:(),(),(),()A bb Aaaf x dx f x dx f x dx f x dx -++∞-∞⎰⎰⎰⎰2(,)DI f x y d σ=⎰⎰,其中D 为平面有界区域。
微积分公式cos2n -1x d x =⎰∞+-+01)1(nm m x x d x 希腊字母 (Greek Alphabets)大写 小写读音 大写 小写读音 大写 小写 读音 Α α alpha Ι ι iota Ρ ρ rho Β β beta Κ κ kappa Σ σ, ς sigmaΓ γ gamma Λ λ lambd a Τ τ tau Δ δ delta Μ μ mu Υ υ upsilon Ε ε epsilon Ν ν nu Φ φ phi Ζ ζ zeta Ξ ξ xi Χ χ khi Η η eta Ο ο omicro n Ψ ψ psi ΘθthetaΠπpiΩωomega商数关系: tan θ=θθcos sin ; cot θ= θθsin cos 平方关系: cos 2θ+ sin 2θ=1; tan 2θ+ 1= sec 2θ; 1+ cot 2θ= csc 2θ順位低順位高; ⎰ 顺位高d 顺位低 ;0*∞ =∞1 *∞ = ∞∞ = 0*01 = 0000 = )(0-∞e ; 0∞ = ∞⋅0e ; ∞1 = ∞⋅0e顺位一: 对数; 反三角(反双曲)顺位二: 多项函数; 幂函数 顺位三: 指数; 三角(双曲)算术平均数(Arithmetic mean)nX X X X n+++= (21)中位数(Median) 取排序后中间的那位数字 众数(Mode)次数出现最多的数值几何平均数(Geometric mean)n n X X X G ⋅⋅⋅= (21)调和平均数(Harmonic mean))1...11(1121nx x x n H +++=平均差(Average Deviatoin)nX Xni||1-∑1 000 000 000 000 000 000 000 000 1024 yotta Y 1 000 000 000 000 000 000 000 1021 zetta Z1 000 000 000 000 000 000 1018 exa E1 000 000 000 000 000 1015 peta P1 000 000 000 000 1012 tera T 兆1 000 000 000 109 giga G 十亿1 000 000 106 mega M 百万1 000 103 kilo K 千100 102 hecto H 百10 101 deca D 十0.1 10-1 deci d 分,十分之一0.01 10-2 centi c 厘(或写作「厘」),百分之一0.001 10-3 milli m 毫,千分之一0.000 001 10-6 micro ? 微,百万分之一0.000 000 001 10-9 nano n 奈,十亿分之一0.000 000 000 001 10-12 pico p 皮,兆分之一0.000 000 000 000 001 10-15 femto f 飞(或作「费」),千兆分之一0.000 000 000 000 000 001 10-18 atto a 阿0.000 000 000 000 000 000 001 10-21 zepto z0.000 000 000 000 000 000 000 001 10-24 yocto y。
高数定积分知识点总结一、定积分的定义定积分是微积分中的一个重要概念,它是对一个函数在一个区间上的积分结果进行计算的过程。
在数学上,定积分是用来计算曲线下面的面积或者函数在某一区间上的平均值的方法。
定积分可以写成以下形式:\[ \int_{a}^{b} f(x)dx \]其中,\( f(x) \)是被积函数,\( a \)和\( b \)是积分区间的端点。
定积分的计算过程就是求解被积函数在给定区间上的曲线下面的面积。
定积分在物理学、工程学和经济学等领域都有着广泛的应用,是微积分中不可或缺的重要工具。
二、定积分的性质1. 定积分的可加性如果函数\( f(x) \)在区间\([a, b]\)上是可积的,那么对于任意的\( c \)满足\( a \leq c \leq b \),都有:\[ \int_{a}^{b} f(x)dx = \int_{a}^{c} f(x)dx + \int_{c}^{b} f(x)dx \]这个性质表明了定积分的可加性,即在一个区间上进行积分的结果可以根据任意划分点\( c \)进行分割。
2. 定积分的线性性对于任意的实数\( \alpha, \beta \)和函数\( f(x), g(x) \),如果\( f(x), g(x) \)在区间\([a, b]\)上是可积的,那么有:\[ \int_{a}^{b} (\alpha f(x) + \beta g(x))dx = \alpha \int_{a}^{b} f(x)dx + \beta \int_{a}^{b} g(x)dx \]这个性质表明了定积分的线性性,即在一个区间上进行线性组合的函数的积分等于线性组合的函数的积分的线性组合。
3. 定积分的保号性如果在区间\([a, b]\)上有\( f(x) \geq 0 \),那么有:\[ \int_{a}^{b} f(x)dx \geq 0 \]这个性质表明了定积分的保号性,即当被积函数在一个区间上非负时,其积分结果也是非负的。
高等数学常用积分公式总结大全目录高等数学常用积分公式总结大全 (1)(一)含有ax b +的积分(0a ≠) .............................................................................................. 2 (二)含有ax b +的积分 . (2)(三)含有22x a ±的积分 (3)(四)含有2(0)ax b a +>的积分 (4)(五)含有2ax bx c ++(0)a >的积分 ................................................................................... 4 (六)含有22x a +(0)a >的积分 ........................................................................................ 5 (七)含有22x a −(0)a >的积分 ........................................................................................ 6 (八)含有22a x −(0)a >的积分 ........................................................................................ 7 (九)含有2ax bx c ±++(0)a >的积分 ............................................................................. 8 (十)含有x a x b−±−或()()x a b x −−的积分 .................................................................... 9 (十一)含有三角函数的积分 (9)(十二)含有反三角函数的积分(其中0a >) (11)(十三)含有指数函数的积分 (12)(十四)含有对数函数的积分 (13)(十五)含有双曲函数的积分 (13)(十六)定积分 (14)(一)含有ax b +的积分(0a ≠)1.d x ax b +⎰=1ln ax b C a ++2.()d ax b x μ+⎰=11()(1)ax b C a μμ++++(1μ≠−) 3.d x x ax b +⎰=21(ln )ax b b ax b C a +−++4.2d x x ax b +⎰=22311()2()ln 2ax b b ax b b ax b C a ⎡⎤+−++++⎢⎥⎣⎦5.d ()x x ax b +⎰=1ln ax b C b x +−+6.2d ()x x ax b +⎰=21ln a ax b C bx b x+−++ 7.2d ()x x ax b +⎰=21(ln )b ax b C a ax b ++++ 8.22d ()x x ax b +⎰=231(2ln )b ax b b ax b C a ax b +−+−++ 9.2d ()x x ax b +⎰=211ln ()ax b C b ax b b x+−++ (二)含有ax b +的积分 10.d ax b x +⎰=32()3ax b C a++ 11.d x ax b x +⎰=322(32)()15ax b ax b C a −++12.2d xax b x +⎰=222332(15128)()105a x abx b ax b C a −+++ 13.d x x ax b+⎰=22(2)3ax b ax b C a −++ 14.2d x x ax b+⎰=22232(348)15a x abx b ax b C a −+++ 15.d x x ax b +⎰=1ln (0)2arctan (0)ax b b C b b ax b b ax b C b b b ⎧+−+>⎪++⎪⎨⎪++<⎪−−⎩16.2d x xax b +⎰=d 2ax b a x bx b x ax b +−−+⎰ 17.d ax b x x +⎰=d 2x ax b b x ax b +++⎰ 18.2d ax b x x +⎰=d 2ax b a x x x ax b +−++⎰ (三)含有22xa ±的积分 19.22d x x a +⎰=1arctan x C a a + 20.22d ()n x x a +⎰=2221222123d 2(1)()2(1)()n n x n x n a x a n a x a −−−+−+−+⎰21.22d x x a −⎰=1ln 2x a C a x a −++(四)含有2(0)ax b a +>的积分22.2d x ax b +⎰=1arctan (0)1ln(0)2ax C b b ab ax b C b ab ax b ⎧+>⎪⎪⎨−−⎪+<⎪−+−⎩23.2d x x ax b +⎰=21ln 2ax b C a ++24.22d x x ax b +⎰=2dx b xa a axb −+⎰25.2d ()x x ax b +⎰=221ln 2x C b ax b ++26.22d ()xx ax b +⎰=21d a xbx b ax b −−+⎰27.32d ()x x ax b +⎰=22221ln 22ax b aC b x bx +−+28.22d ()xax b +⎰=221d 2()2xxb ax b b ax b +++⎰(五)含有2ax bx c ++(0)a >的积分29.2d x ax bx c ++⎰=222222222arctan (4)44124ln (4)424ax b Cb ac ac b ac bax b b acCb ac b ac ax b b ac +⎧+<⎪−−⎪⎨+−−⎪+>⎪−++−⎩ 30.2d xx ax bx c ++⎰=221d ln 22b xax bx c a a ax bx c++−++⎰(六)含有22x a +(0)a >的积分 31.22d xx a +⎰=1arsh x C a+=22ln()x x a C +++ 32.223d ()x x a +⎰=222x C a x a ++ 33.22d xx x a +⎰=22x a C ++34.223d ()x x x a +⎰=221C x a −++35.222d x x x a +⎰=22222ln()22x a x a x x a C +−+++ 36.2223d ()x x x a +⎰=2222ln()x x x a C x a −+++++ 37.22d x x x a+⎰=221ln x a a C a x +−+ 38.222d xx x a +⎰=222x a C a x +−+ 39.22d x a x +⎰=22222ln()22x a x a x x a C +++++ 40.223()d x a x +⎰=22224223(25)ln()88x x a x a a x x a C ++++++ 41.22d x x a x +⎰=2231()3x a C ++ 42.222d x x a x +⎰=4222222(2)ln()88x a x a x a x x a C ++−+++43.22d x a x x +⎰=2222ln x a a x a a C x +−+++ 44.222d x a x x +⎰=2222ln()x a x x a C x+−++++ (七)含有22x a −(0)a >的积分 45.22d x x a −⎰=1arch x x C x a +=22ln x x a C +−+ 46.223d ()x x a −⎰=222x C a x a −+− 47.22d xx x a −⎰=22x a C −+48.223d ()x x x a −⎰=221C x a −+−49.222d x x x a −⎰=22222ln 22x a x a x x a C −++−+ 50.2223d ()x x x a −⎰=2222ln x x x a C x a −++−+− 51.22d x x x a −⎰=1arccos a C a x+ 52.222d x xx a −⎰=222x a C a x −+ 53.22d x a x −⎰=22222ln 22x a x a x x a C −−+−+ 54.223()d x a x −⎰=22224223(25)ln 88x x a x a a x x a C −−++−+55.22d x x a x −⎰=2231()3x a C −+ 56.222d x x a x −⎰=4222222(2)ln 88x a x a x a x x a C −−−+−+ 57.22d x a x x −⎰=22arccos a x a a C x −−+ 58.222d x a x x −⎰=2222ln x a x x a C x −−++−+ (八)含有22a x −(0)a >的积分 59.22d xa x −⎰=arcsin x C a+ 60.223d ()x a x −⎰=222x C a a x +− 61.22d xx a x −⎰=22a x C −−+62.223d ()x x a x −⎰=221C a x +−63.222d x x a x −⎰=222arcsin 22x a x a x C a −−++ 64.2223d ()x x a x −⎰=22arcsin x x C a a x −+− 65.22d x x a x−⎰=221ln a a x C a x −−+ 66.222d x x a x −⎰=222a x C a x −−+67.22d a x x −⎰=222arcsin 22x a x a x C a −++ 68.223()d a x x −⎰=222243(52)arcsin 88x x a x a x a C a−−++ 69.22d x a x x −⎰=2231()3a x C −−+ 70.222d x a x x −⎰=42222(2)arcsin 88x a x x a a x C a −−++ 71.22d a x x x −⎰=2222ln a a x a x a C x −−−++ 72.222d a x x x −⎰=22arcsin a x x C x a−−−+ (九)含有2ax bx c ±++(0)a >的积分 73.2d xax bx c ++⎰=21ln 22ax b a ax bx c C a+++++ 74.2d ax bx c x ++⎰=224ax b ax bx c a+++2234ln 228ac b ax b a ax bx c C a −++++++ 75.2d xx ax bx c ++⎰=21ax bx c a++ 23ln 222b ax b a ax bx c C a −+++++ 76.2d xc bx ax +−⎰=212arcsin 4ax b C a b ac−−++77.2d c bx ax x +−⎰=2232242arcsin 484ax b b ac ax b c bx ax C a a b ac −+−+−+++ 78.2d xx c bx ax +−⎰=23212arcsin 24b ax b c bx ax C a a b ac−−+−+++ (十)含有x a x b −±−或()()x a b x −−的积分 79.d x a x x b −−⎰=()()ln()x a x b b a x a x b C x b−−+−−+−+− 80.d x a x b x −−⎰=()()arcsin x a x a x b b a C b x b x −−−+−+−− 81.d ()()x x a b x −−⎰=2arcsin x a C b x −+−()a b < 82.()()d x a b x x −−⎰=22()()()arcsin 44x a b b a x a x a b x C b x−−−−−−++− ()a b < (十一)含有三角函数的积分83.sin d x x ⎰=cos x C −+84.cos d x x ⎰=sin x C +85.tan d x x ⎰=ln cos x C −+86.cot d x x ⎰=ln sin x C +87.sec d x x ⎰=ln tan()42x C π++=ln sec tan x x C ++ 88.csc d x x ⎰=ln tan 2x C +=ln csc cot x x C −+ 89.2sec d x x ⎰=tan x C +90.2csc d x x ⎰=cot x C −+91.sec tan d x x x ⎰=sec x C +92.csc cot d x x x ⎰=csc x C −+ 93.2sin d x x ⎰=1sin 224x x C −+ 94.2cos d x x ⎰=1sin 224x x C ++ 95.sin d n x x ⎰=1211sin cos sin d n n n x x x x n n−−−−+⎰ 96.cos d n x x ⎰=1211cos sin cos d n n n x x x x n n −−−+⎰97.d sin n x x ⎰=121cos 2d 1sin 1sin n n x n x n x n x −−−−⋅+−−⎰ 98.d cos n x x ⎰=121sin 2d 1cos 1cos n n x n x n x n x−−−⋅+−−⎰ 99.cos sin d m n x x x ⎰=11211cos sin cos sin d m n m n m x x x x x m n m n−+−−+++⎰ =11211cos sin cos sin d m n m n n x x x x x m n m n +−−−−+++⎰ 100.sin cos d ax bx x ⎰=11cos()cos()2()2()a b x a b x C a b a b −+−−++− 101.sin sin d ax bx x ⎰=11sin()sin()2()2()a b x a b x C a b a b −++−++− 102.cos cos d ax bx x ⎰=11sin()sin()2()2()a b x a b x C a b a b ++−++−103.d sin x a b x +⎰=2222tan 22arctan x a b C a b a b ++−−22()a b >104.d sin x a b x +⎰=222222tan12ln tan 2x a b b a C x b a a b b a +−−+−++−22()a b < 105.d cos x a b x +⎰=2arctan(tan )2a b a b x C a b a b a b +−++−+22()a b > 106.d cos x a b x +⎰=tan 12ln tan 2x a ba b b a C a b b a x a bb a +++−++−+−−22()a b < 107.2222d cos sin x a x b x +⎰=1arctan(tan )b x C ab a+ 108.2222d cos sin x a x b x −⎰=1tan ln 2tan b x a C ab b x a ++− 109.sin d x ax x ⎰=211sin cos ax x ax C a a−+ 110.2sin d x ax x ⎰=223122cos sin cos x ax x ax ax C a a a−+++ 111.cos d x ax x ⎰=211cos sin ax x ax C a a++ 112.2cos d x ax x ⎰=223122sin cos sin x ax x ax ax C a a a +−+ (十二)含有反三角函数的积分(其中0a >) 113.arcsin d xx a ⎰=22arcsin x x a x C a+−+ 114.arcsin d x x x a⎰=2222()arcsin 244x a x x a x C a −+−+115.2arcsin d x x x a ⎰=322221arcsin (2)39x x x a a x C a ++−+ 116.arccos d xx a ⎰=22arccos x x a x C a−−+ 117.arccos d x x x a⎰=2222()arccos 244x a x x a x C a −−−+ 118.2arccos d x x x a ⎰=322221arccos (2)39x x x a a x C a −+−+ 119.arctand x x a ⎰=22arctan ln()2x a x a x C a −++ 120.arctan d x x x a ⎰=221()arctan 22x a a x x C a +−+ 121.2arctan d x x x a ⎰=33222arctan ln()366x x a a x a x C a −+++ (十三)含有指数函数的积分122.d xa x ⎰=1ln x a C a+ 123.e d ax x ⎰=1e ax C a+ 124.e d ax x x ⎰=21(1)e ax ax C a−+ 125.e d n ax x x ⎰=11e e d n ax n ax n x x x a a −−⎰ 126.d x xa x ⎰=21ln (ln )x x x a a C a a −+ 127.d n x x a x ⎰=11d ln ln n x n x n x a x a x a a−−⎰ 128.e sin d ax bx x ⎰=221e (sin cos )ax a bx b bx C a b−++ 129.e cos d ax bx x ⎰=221e (sin cos )ax b bx a bx C a b +++130.e sin d ax n bx x ⎰=12221e sin (sin cos )ax n bx a bx nb bx a b n−−+ 22222(1)e sin d ax n n n b bx x a b n −−++⎰131.e cos d ax n bx x ⎰=12221e cos (cos sin )ax n bx a bx nb bx a b n−++ 22222(1)e cos d ax n n n b bx x a b n−−++⎰ (十四)含有对数函数的积分 132.ln d x x ⎰=ln x x x C −+ 133.d ln x x x ⎰=ln ln x C +134.ln d n x x x ⎰=111(ln )11n x x C n n +−+++ 135.(ln )d n x x ⎰=1(ln )(ln )d n n x x n x x −−⎰ 136.(ln )d m n x x x ⎰=111(ln )(ln )d 11m n m n n x x x x x m m +−−++⎰(十五)含有双曲函数的积分 137.sh d x x ⎰=ch x C +138.ch d x x ⎰=sh x C +139.th d x x ⎰=lnch x C + 140.2sh d x x ⎰=1sh224x x C −++ 141.2ch d x x ⎰=1sh224x x C ++(十六)定积分 142.cos d nx x π−π⎰=sin d nx x π−π⎰=0 143.cos sin d mx nx x π−π⎰=0 144.cos cos d mx nx x π−π⎰=0,,m n m n≠⎧⎨π=⎩ 145.sin sin d mx nx x π−π⎰=0,,m n m n ≠⎧⎨π=⎩ 146.0sin sin d mx nx x π⎰=0cos cos d mx nx x π⎰=0,,2m n m n ≠⎧⎪⎨π=⎪⎩ 147. n I =20sin d n x x π⎰=20cos d n x x π⎰ n I =21n n I n−− 1342253n n n I n n −−=⋅⋅⋅⋅− (n 为大于1的正奇数),1I =1 13312422n n n I n n −−π=⋅⋅⋅⋅⋅−(n 为正偶数),0I =2π。
高等数学微积分公式大全一、基本导数公式⑴()0c '= ⑵1x x μμμ-= ⑶()sin cos x x '= ⑷()cos sin x x '=- ⑸()2tan sec x x '= ⑹()2cot csc x x '=-⑺()sec sec tan x x x '=⋅ ⑻()csc csc cot x x x '=-⋅ ⑼()xxe e '= ⑽()ln xxa aa '= ⑾()1ln x x'=⑿()1log ln xax a'= ⒀()arcsin x '= ⒁()arccos x '=⒂()21arctan 1x x '=+ ⒃()21arc cot 1x x '=-+⒄()1x '=⒅'=二、导数的四则运算法则()u v u v '''±=± ()uv u v uv '''=+ 2u u v uv v v '''-⎛⎫=⎪⎝⎭三、高阶导数的运算法则(1)()()()()()()()n n n u x v x u x v x ±=±⎡⎤⎣⎦ (2)()()()()n n cu x cu x =⎡⎤⎣⎦(3)()()()()n n nu ax b a uax b +=+⎡⎤⎣⎦(4)()()()()()()()0nn n k k k n k u x v x c u x v x -=⋅=⎡⎤⎣⎦∑四、基本初等函数的n 阶导数公式(1)()()!n nxn = (2)()()n ax b n ax b e a e ++=⋅ (3)()()ln n x x n a a a =(4)()()sin sin 2n n ax b a ax b n π⎛⎫+=++⋅⎡⎤ ⎪⎣⎦⎝⎭ (5) ()()cos cos 2n nax b a ax b n π⎛⎫+=++⋅⎡⎤ ⎪⎣⎦⎝⎭(6)()()()11!1n n nn a n ax b ax b +⋅⎛⎫=- ⎪+⎝⎭+ (7) ()()()()()11!ln 1n n n na n axb ax b -⋅-+=-⎡⎤⎣⎦+五、微分公式与微分运算法则⑴()0d c = ⑵()1d x x dx μμμ-= ⑶()sin cos d x xdx =⑷()cos sin d x xdx =- ⑸()2tan sec d x xdx = ⑹()2cot csc d x xdx =- ⑺()sec sec tan d x x xdx =⋅ ⑻()csc csc cot d x x xdx =-⋅⑼()x x d e e dx = ⑽()ln x xd a a adx = ⑾()1ln d x dx x=⑿()1logln xad dx x a= ⒀()arcsin d x = ⒁()arccos d x =⒂()21arctan 1d x dx x =+ ⒃()21arc cot 1d x dx x =-+六、微分运算法则⑴()d u v du dv ±=± ⑵()d cu cdu = ⑶()d uv vdu udv =+ ⑷2u vdu udvd v v -⎛⎫=⎪⎝⎭七、基本积分公式⑴kdx kx c =+⎰ ⑵11x x dx c μμμ+=++⎰ ⑶ln dx x c x =+⎰⑷ln xxa a dx c a=+⎰ ⑸x x e dx e c =+⎰ ⑹cos sin xdx x c =+⎰ ⑺sin cos xdx x c =-+⎰ ⑻221sec tan cos dx xdx x c x ==+⎰⎰⑼221csc cot sin xdx x c x ==-+⎰⎰ ⑽21arctan 1dx x c x=++⎰ ⑾arcsin x c =+八、补充积分公式tan ln cos xdx x c =-+⎰ cot ln sin xdx x c =+⎰ sec ln sec tan xdx x x c =++⎰ csc ln csc cot xdx x x c =-+⎰2211arctan xdx c a x a a=++⎰ 2211ln 2x adx c x a a x a-=+-+⎰arcsin xc a =+ln x c =++九、下列常用凑微分公式十、分部积分法公式⑴形如n ax x e dx ⎰,令nu x =,ax dv e dx =形如sin n x xdx ⎰令nu x =,sin dv xdx =形如cos n x xdx ⎰令nu x =,cos dv xdx =⑵形如arctan n x xdx ⎰,令arctan u x =,ndv x dx =形如ln n x xdx ⎰,令ln u x =,ndv x dx =⑶形如sin ax e xdx ⎰,cos axe xdx ⎰令,sin ,cos ax u e x x =均可。
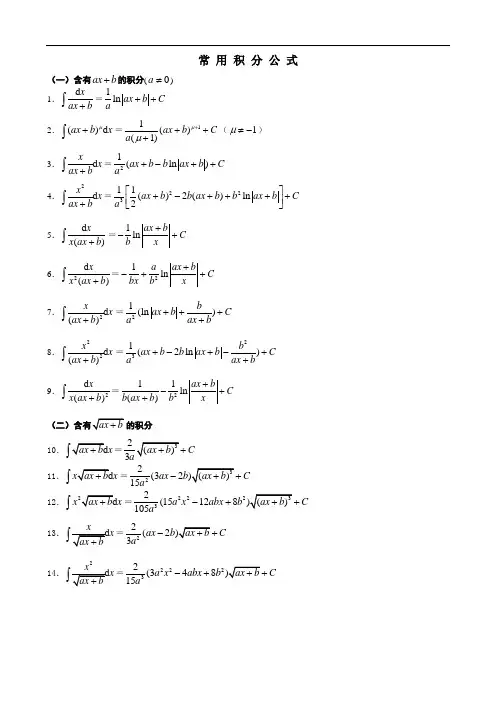
常 用 积 分 公 式(一)含有ax b +的积分(0a ≠) 1.d x ax b +⎰=1ln ax b C a ++2.()d ax b x μ+⎰=11()(1)ax b C a μμ++++(1μ≠-)3.d x x ax b +⎰=21(ln )ax b b ax b C a +-++ 4.2d x x ax b +⎰=22311()2()ln 2ax b b ax b b ax b C a ⎡⎤+-++++⎢⎥⎣⎦5.d ()x x ax b +⎰=1ln ax bC b x +-+6.2d ()x x ax b +⎰=21ln a ax b C bx b x+-++ 7.2d ()xx ax b +⎰=21(ln )b ax b C a ax b++++ 8.22d ()x x ax b +⎰=231(2ln )b ax b b ax b C a ax b +-+-++ 9.2d ()x x ax b +⎰=211ln ()ax b C b ax b b x+-++的积分10.x C +11.x ⎰=22(3215ax b C a -12.x x ⎰=22232(15128105a x abx b C a-+13.x⎰=22(23ax b C a -14.2x=22232(34815a x abx b C a -+15.(0)(0)C b C b ⎧+>+<16.2a bx b -- 17.d x x ⎰=b 18.x=2a +(三)含有22x a ±的积分 19.22d x x a +⎰=1arctan x C a a+ 20.22d ()n xx a +⎰=2221222123d 2(1)()2(1)()n n x n x n a x a n a x a ---+-+-+⎰21.22d x x a -⎰=1ln 2x a C a x a-++ (四)含有2(0)ax b a +>的积分22.2d x ax b +⎰=(0)(0)C b C b ⎧+>+<23.2d x x ax b +⎰=21ln 2ax b C a++ 24.22d x x ax b+⎰=2d x b x a a ax b -+⎰25.2d ()xx ax b +⎰=221ln 2x C b ax b++ 26.22d ()xx ax b +⎰=21d a x bx b ax b --+⎰27.32d ()x x ax b +⎰=22221ln 22ax b a C b x bx+-+ 28.22d ()xax b +⎰=221d 2()2x x b ax b b ax b +++⎰(五)含有2ax bx c ++(0)a >的积分29.2d x ax bx c ++⎰=22(4)(4)C b ac C b ac +<+> 30.2d x x ax bx c ++⎰=221d ln 22b x ax bx c a a ax bx c++-++⎰(0)a >的积分 31.=1arshxC a+=ln(x C ++ 32.C +33.xC34.x=C +35.2x2ln(2a x C ++ 36.2x ⎰=ln(x C +++37.1C a + 38.2C a x -+ 39.x2ln(2a x C ++40.x =2243(25ln(88x x a a x C +++41.x ⎰C42.xx ⎰=422(2ln(88x a x a x C +++43.x a C +44.2d x x ⎰=ln(x C x-+++(0)a >的积分45.=1arch x xC x a+=ln x C ++ 46.C +47.x C48.x =C +49.2x 2ln 2a x C ++50.2x ⎰=ln x C +++51.1arccos aC a x+52.2C a x +53.x 2ln 2a x C +54.x =2243(25ln 88x x a a x C -++55.x ⎰C56.xx ⎰=422(2ln 88x a x a x C -++57.d x x⎰arccos a a C x -+58.x =ln x C +++(0)a >的积分 59.=arcsinxC a+ 60.C +61.x =C +62.x C +63.2x =2arcsin 2a x C a + 64.2x ⎰arcsinxC a-+65.1lna C a x +66.C +67.x 2arcsin 2a x C a+68.x =2243(52arcsin 88x x a x a C a -+69.x ⎰=C70.xx ⎰=422(2arcsin 88x a x x a C a-++71.x a C72.2d x x ⎰=arcsin xC x a--+(0)a >的积分73.2ax b C +++74.x2n 2a x b c C++++75.xn 2a x b c C-+++ 76.=C +77.x 2C ++78.x =C +79.x =((x b b a C --+80.x =((x b b a C --81.C()a b <82.x 2()4b a C -()a b < (十一)含有三角函数的积分 83.sin d x x ⎰=cos x C -+ 84.cos d x x ⎰=sin x C + 85.tan d x x ⎰=ln cos x C -+ 86.cot d x x ⎰=ln sin x C + 87.sec d x x ⎰=ln tan()42xC π++=ln sec tan x x C ++ 88.csc d x x ⎰=ln tan2xC +=ln csc cot x x C -+ 89.2sec d x x ⎰=tan x C + 90.2csc d x x ⎰=cot x C -+ 91.sec tan d x x x ⎰=sec x C + 92.csc cot d x x x ⎰=csc x C -+93.2sin d x x ⎰=1sin 224x x C -+ 94.2cos d x x ⎰=1sin 224x x C ++95.sin d nx x ⎰=1211sin cos sin d n n n x x x x n n----+⎰ 96.cos d nx x ⎰=1211cos sin cos d n n n x x x x n n---+⎰ 97.d sin n x x ⎰=121cos 2d 1sin 1sin n n x n xn x n x ----⋅+--⎰98.d cos n x x ⎰=121sin 2d 1cos 1cos n n x n xn x n x---⋅+--⎰99.cos sin d m nx x x ⎰=11211cos sin cos sin d m n m n m x x x x x m n m n -+--+++⎰ =11211cos sin cos sin d m n m n n x x x x x m n m n +----+++⎰100.sin cos d ax bx x ⎰=11cos()cos()2()2()a b x a b x C a b a b -+--++-101.sin sin d ax bx x ⎰=11sin()sin()2()2()a b x a b x C a b a b -++-++-102.cos cos d ax bx x ⎰=11sin()sin()2()2()a b x a b x C a b a b ++-++-103.d sin xa b x +⎰tan xa b C ++22()a b >104.d sin x a b x +⎰C+22()a b <105.d cos x a b x +⎰)2xC +22()a b >106.d cos x a b x +⎰C +22()a b <107.2222d cos sin x a x b x +⎰=1arctan(tan )bx C ab a + 108.2222d cos sin x a x b x -⎰=1tan ln 2tan b x a C ab b x a ++-109.sin d x ax x ⎰=211sin cos ax x ax C a a -+ 110.2sin d x ax x ⎰=223122cos sin cos x ax x ax ax C a a a -+++111.cos d x ax x ⎰=211cos sin ax x ax C a a ++112.2cos d x ax x ⎰=223122sin cos sin x ax x ax ax C a a a+-+(十二)含有反三角函数的积分(其中0a >)113.arcsin d x x a ⎰=arcsin x x C a114.arcsin d x x x a ⎰=22()arcsin 24x a x C a -+115.2arcsin d x x x a ⎰=3221arcsin (239x x x a C a ++116.arccos d x x a ⎰=arccosxx C a- 117.arccos d x x x a ⎰=22()arccos 24x a x C a --118.2arccos d x x x a ⎰=3221arccos (239x x x a C a -+119.arctand x x a ⎰=22arctan ln()2x a x a x C a -++ 120.arctan d x x x a ⎰=221()arctan 22x a a x x C a +-+121.2arctan d x x x a ⎰=33222arctan ln()366x x a a x a x C a -+++ (十三)含有指数函数的积分122.d xa x ⎰=1ln xa C a + 123.e d axx ⎰=1e ax C a +124.e d axx x ⎰=21(1)e ax ax C a-+125.e d n axx x ⎰=11e e d n ax n ax n x x x a a--⎰126.d xxa x ⎰=21ln (ln )x x x a a C a a -+ 127.d nxx a x ⎰=11d ln ln n x n x nx a x a x a a --⎰ 128.e sin d axbx x ⎰=221e (sin cos )ax a bx b bx C a b -++ 129.e cos d axbx x ⎰=221e (sin cos )ax b bx a bx C a b+++ 130.e sin d ax nbx x ⎰=12221e sin (sin cos )ax n bx a bx nb bx a b n--+ 22222(1)e sin d ax n n n b bx x a b n --++⎰131.e cos d ax nbx x ⎰=12221e cos (cos sin )ax n bx a bx nb bx a b n-++ 22222(1)e cos d axn n n b bx x a b n--++⎰ (十四)含有对数函数的积分 132.ln d x x ⎰=ln x x x C -+133.d ln xx x ⎰=ln ln x C +134.ln d nx x x ⎰=111(ln )11n x x C n n +-+++135.(ln )d nx x ⎰=1(ln )(ln )d n nx x n x x --⎰136.(ln )d m nx x x ⎰=111(ln )(ln )d 11m n m n nx x x x x m m +--++⎰ (十五)含有双曲函数的积分 137.sh d x x ⎰=ch x C + 138.ch d x x ⎰=sh x C + 139.th d x x ⎰=ln ch x C +140.2sh d x x ⎰=1sh224x x C -++ 141.2ch d x x ⎰=1sh224x x C ++(十六)定积分 142.cos d nx x π-π⎰=sin d nx x π-π⎰=0143.cos sin d mx nx x π-π⎰=0144.cos cos d mx nx x π-π⎰=0,,m nm n ≠⎧⎨π=⎩145.sin sin d mx nx x π-π⎰=0,,m nm n≠⎧⎨π=⎩ 146.0sin sin d mx nx x π⎰=0cos cos d mx nx x π⎰=0,,2m n m n ≠⎧⎪⎨π=⎪⎩147. n I =20sin d nx x π⎰=20cos d n x x π⎰n I =21n n I n-- 1342253n n n I n n --=⋅⋅⋅⋅- (n 为大于1的正奇数),1I =1 13312422n n n I n n --π=⋅⋅⋅⋅⋅- (n 为正偶数),0I =2π。
高数积分总结一、不定积分1、不定积分的概念也性质定义1:如果在区间I 上,可导函数F (x )的导函数为f(x),即对任一I x ∈,都有F`(x)=f(x)或dF(x)=f(x)dx,那么函数F(x)就称为f(x)(或f(x)dx)在区间I 上的原函数。
定义2:在区间I 上,函数f (x )的带有任意常数项的原函数称为f (x )(或者f(x)dx )在区间I 上的不定积分,记作⎰dx x f )(。
性质1:设函数f(x)及g(x)的原函数存在,则⎰⎰⎰+=+dx x g dx x f dx x g x f )()()]()([。
性质2:设函数f(x)的原函数存在,k 为非零常数,则⎰⎰=dx x f k dx x kf )()(。
2、换元积分法 (1)第一类换元法:定理1:设f(u)具有原函数,)(x ϕμ=可导,则有换元公式)(])([)(')]([x d f dx x x f ϕμμμϕϕ=⎰⎰=。
例:求⎰xdx 2cos 2 解⎰⎰⎰⎰=•=•=μμd dx x x dx x xdx cos )'2(2cos 22cos 2cos 2将x 2=μ代入,既得⎰+=C x xdx 2sin 2cos 2(2)第二类换元法:定理2:设)(t x ψ=是单调的、可导的函数,并且.0)('≠t ψ又设)(')]([t t f ψψ具有原函数,则有换元公式,])(')]([[)()(1x t dt t t f dx x f -=⎰⎰=ψψψ其中)(1x -ψ是)(t x ψ=的反函数。
例:求⎰>+)0(22a ax dx解 ∵t t 22sec tan 1=+,设⎪⎭⎫ ⎝⎛<<-=22tan ππαt t x ,那么 tdt a dx t a t a t a a a x 2222222sec ,sec tan 1tan ==+=+=+,于是⎰⎰⎰==+tdt dt t a ta a x dx sec sec sec 222 ∴C t t ax dx ++=+⎰tan sec ln 22∵aa x t 22sec +=,且0tan sec >+t t ∴1222222)ln(ln C a x x C aa x a x a x dx+++=+⎪⎪⎭⎫⎝⎛++=+⎰,a C C ln 1-=3、分部积分法定义:设函数)(x μμ=及)(x υυ=具有连续导数。
微積分公式sin x dx = -cos x + C cos x dx = sin x + C tan x dx = ln |sec x | + C cot x dx = ln |sin x | + Csec x dx = ln |sec x + tan x | + C csc x dx = ln |csc x – cot x | + C sin -1(-x) = -sin -1 xcos -1(-x) = - cos -1 x tan -1(-x) = -tan -1 x cot -1(-x) = - cot -1 x sec -1(-x) = - sec -1 x csc -1(-x) = - csc -1 xsin -1 x dx = x sin -1 x+21x -+C cos -1 x dx = x cos -1 x-21x -+C tan -1 x dx = x tan -1 x-½ln (1+x 2)+C cot -1 x dx = x cot -1 x+½ln (1+x 2)+C sec -1 x dx = x sec -1 x- ln |x+12-x |+Ccsc -1 x dx = x csc -1 x+ ln |x+12-x |+Csinh x dx = cosh x + C cosh x dx = sinh x + C tanh x dx = ln | cosh x |+ C coth x dx = ln | sinh x | + C sech x dx = -2tan -1 (e -x ) + C csch x dx = 2 ln |xx ee 211---+| + Cd uv = u d v + v d ud uv = uv = u d v + v d u→ u d v = uv - v d u cos 2θ-sin 2θ=cos2θ cos 2θ+ sin 2θ=1 cosh 2θ-sinh 2θ=1cosh 2θ+sinh 2θ=cosh2θsinh -1 x dx = x sinh -1 x-21x ++ Ccosh -1 x dx = x cosh -1 x-12-x + C tanh -1 x dx = x tanh -1 x+ ½ ln | 1-x 2|+ Ccoth -1 x dx = x coth -1 x- ½ ln | 1-x 2|+ C sech -1 x dx = x sech -1 x- sin -1 x + C csch -1 x dx = x csch -1 x+ sinh -1 x + Ca bcαβγ R希腊字母 (Greek Alphabets)倒数关系: sin θcsc θ=1; tan θcot θ=1; cos θsec θ=1 商数关系: tan θ=θθcos sin ; cot θ= θθsin cos 平方关系: cos 2θ+ sin 2θ=1; tan 2θ+ 1= sec 2θ; 1+ cot 2θ= csc 2θ順位低順位高; 顺位高d 顺位低 ;0*=∞1 * =∞∞ = 0*01 = 00 00 = )(0-∞e ; 0∞ = ∞⋅0e ; ∞1 = ∞⋅0e1 000 000 000 000 000 000 000 000 10 yotta Y1 000 000 000 000 000 000 000 1021 zetta Z1 000 000 000 000 000 000 1018 exa E1 000 000 000 000 000 1015 peta P1 000 000 000 000 1012 tera T 兆1 000 000 000 109 giga G 十亿1 000 000 106 mega M 百万1 000 103 kilo K 千100 102 hecto H 百10 101 deca D 十0.1 10-1 deci d 分,十分之一0.01 10-2 centi c 厘(或写作「厘」),百分之一0.001 10-3 milli m 毫,千分之一0.000 001 10-6 micro ? 微,百万分之一0.000 000 001 10-9 nano n 奈,十亿分之一0.000 000 000 001 10-12 pico p 皮,兆分之一0.000 000 000 000 001 10-15 femto f 飞(或作「费」),千兆分之一0.000 000 000 000 000 001 10-18 atto a 阿0.000 000 000 000 000 000 001 10-21 zepto z0.000 000 000 000 000 000 000 001 10-24 yocto y重点在三方面:一、函数与反函数的关系:(Function and Inverse Function)以前我们学过的相反运算有:加<------->减;乘<------->除;平方<----->开方;指数<----->对数;三角<----->反三角。
1.二重积分 形式:⎰⎰Ddxdy y x f ),( f(x,y)为面密度,dxdy 为面积元素。
解法:①直角坐标 首先是化为X 型或Y 型区域,如化为X 型的则可写成⎰⎰Dd y x f σ),(=⎰⎰)()(21),(x x ba f f dy y x f dx ②极坐标(使用范围:D 为圆或圆的一部分,f(x,y)中含有2x +2y 项)极坐标下二重积分可化为:⎰⎰Ddxdy y x f ),(=⎰⎰Dd d f θρρθρθρ)sin ,cos (2.三重积分 形式:⎰⎰⎰Ωdv z y x f ),,( f(x,y,z)表示点(x,y,z )处的密度,dv 表示体积元素解法:①直角坐标 如往xoy 面投影,Dxy 为X 型区域,y 的范围由平行于y 轴的直线穿过Dxy ,穿入的是下限,穿出的上限;z 的范围沿平行于z 轴的直线穿过立体,穿入的下限,穿出的上限,则有:⎰⎰⎰Ωdxdy z y x f ),,(=⎰⎰⎰),(),()()(2121),,(y x z y x z x y x y badz z y x f dy dx ;②柱面坐标(范围:投影区域为圆或圆的一部分,f (x ,y ,z )中含有2x +2y 项) 直角坐标与极坐标的关系:x=θρcos y=θρsin z=z 。
dxdydz z y x f ⎰⎰⎰Ω),,(=ρρθρd z F ⎰⎰⎰Ω),,(=⎰⎰⎰)()(),(),(212110),,(θρθρθρθρθθθρρρθz z dz z F d d*③ 球面坐标 (范围:立体为球体或球体的一部分)3.重积分的应用:① 求曲面面积:A=⎰⎰⎰⎰⎪⎪⎭⎫⎝⎛∂∂+⎪⎭⎫ ⎝⎛∂∂+=++Dxyy x dxdy y z x z d y x f y x f 22Dxy221),(),(1σ 可以类似的推出区域为Dxy,Dyz 时对应的公式。
② 求质心: ⎰⎰⎰⎰==DD yd y x d y x x M M x σμσμ),(),( ⎰⎰⎰⎰==DDxd y x d y x y M M y σμσμ),(),( 类似的可推广到空间直角坐标系。
高等数学积分知识点总结漫长的学习生涯中,很多人都经常追着老师们要知识点吧,知识点在教育实践中,是指对某一个知识的泛称。
相信很多人都在为知识点发愁,下面是店铺整理的高等数学积分知识点总结,仅供参考,希望能够帮助到大家。
高等数学积分知识点总结1一、不定积分计算方法1. 凑微分法2. 裂项法3. 变量代换法1) 三角代换2) 根幂代换3) 倒代换4. 配方后积分5. 有理化6. 和差化积法7. 分部积分法(反、对、幂、指、三)8. 降幂法二、定积分的计算方法1. 利用函数奇偶性2. 利用函数周期性3.参考不定积分计算方法三、定积分与极限1. 积和式极限2. 利用积分中值定理或微分中值定理求极限3. 洛必达法则4. 等价无穷小四、定积分的估值及其不等式的应用1. 不计算积分,比较积分值的大小1) 比较定理:若在同一区间[a,b]上,总有f(x)>=g(x),则 >=()dx2) 利用被积函数所满足的不等式比较之 a)b) 当0<x<兀 2时,2="" 兀<<1<="" p="">2. 估计具体函数定积分的值积分估值定理:设f(x)在[a,b]上连续,且其最大值为M,最小值为m则M(b-a)<= <=M(b-a)3. 具体函数的定积分不等式证法1) 积分估值定理2) 放缩法3) 柯西积分不等式≤ %4. 抽象函数的定积分不等式的证法1) 拉格朗日中值定理和导数的有界性2) 积分中值定理3) 常数变易法4) 利用泰勒公式展开法五、变限积分的导数方法高等数学积分知识点总结2A.Function函数(1)函数的定义和性质(定义域值域、单调性、奇偶性和周期性等)(2)幂函数(一次函数、二次函数,多项式函数和有理函数)(3)指数和对数(指数和对数的公式运算以及函数性质)(4)三角函数和反三角函数(运算公式和函数性质)(5)复合函数,反函数*(6)参数函数,极坐标函数,分段函数(7)函数图像平移和变换B.Limit and Continuity极限和连续(1)极限的定义和左右极限(2)极限的运算法则和有理函数求极限(3)两个重要的极限(4)极限的应用-求渐近线(5)连续的定义(6)三类不连续点(移点、跳点和无穷点)(7)最值定理、介值定理和零值定理C.Derivative导数(1)导数的定义、几何意义和单侧导数(2)极限、连续和可导的关系(3)导数的求导法则(共21个)(4)复合函数求导(5)高阶导数(6)隐函数求导数和高阶导数(7)反函数求导数*(8)参数函数求导数和极坐标求导数D.Application of Derivative导数的应用(1)微分中值定理(D-MVT)(2)几何应用-切线和法线和相对变化率(3)物理应用-求速度和加速度(一维和二维运动)(4)求极值、最值,函数的增减性和凹凸性*(5)洛比达法则求极限(6)微分和线性估计,四种估计求近似值(7)欧拉法则求近似值E.Indefinite Integral不定积分(1)不定积分和导数的关系(2)不定积分的公式(18个)(3)U换元法求不定积分*(4)分部积分法求不定积分*(5)待定系数法求不定积分F.Definite Integral 定积分(1)Riemann Sum(左、右、中和梯形)和定积分的定义和几何意义(2)牛顿-莱布尼茨公式和定积分的性质*(3)Accumulation function求导数*(4)反常函数求积分H.Application of Integral定积分的应用(1)积分中值定理(I-MVT)(2)定积分求面积、极坐标求面积(3)定积分求体积,横截面体积(4)求弧长(5)定积分的物理应用I.Differential Equation微分方程(1)可分离变量的微分方程和逻辑斯特微分方程(2)斜率场*J.Infinite Series无穷级数(1)无穷级数的定义和数列的级数(2)三个审敛法-比值、积分、比较审敛法(3)四种级数-调和级数、几何级数、P级数和交错级数(4)函数的级数-幂级数(收敛半径)、泰勒级数和麦克劳林级数(5)级数的运算和拉格朗日余项、拉格朗日误差注意:(1)问答题主要考察知识点的综合运用,一般每道问答题都有3-4问,可能同时涵盖导数、积分或者微分方程的内容,解出的答案一般都是保留3位小数。
大学高数定积分知识点总结1. 什么是定积分?定积分是微积分中的一个重要概念,它是描述曲线下面积的一种方法。
定积分可以将曲线分割为无穷多个极小的矩形,然后将这些矩形的面积累加起来,从而得到曲线下的总面积。
2. 定积分的符号表示定积分通常用符号∫表示,被积函数用f(x)表示,积分变量为x。
定积分的一般形式为:∫[a, b] f(x) dx其中,a和b是积分的上下限,表示积分的区间。
3. 定积分的计算方法定积分的计算可以通过多种方法来实现,下面介绍几种常见的计算方法。
3.1. 几何解释法定积分可以通过几何解释法来计算,即将被积函数表示的曲线下的面积分割为无穷多个矩形,然后计算每个矩形的面积,并将这些面积累加起来。
这个方法适用于简单的几何形状,如矩形、三角形等。
3.2. 定积分的性质定积分具有一些重要的性质,利用这些性质可以简化定积分的计算过程。
•定积分的线性性质:∫[a, b] (f(x) + g(x)) dx = ∫[a, b] f(x) dx + ∫[a, b] g(x) dx•定积分的可加性:∫[a, b] f(x) dx + ∫[b, c] f(x) dx = ∫[a, c] f(x) dx•定积分的常数倍性:∫[a, b] k * f(x) dx = k * ∫[a, b] f(x) dx 这些性质可以帮助我们简化复杂的定积分计算。
3.3. 牛顿-莱布尼茨公式牛顿-莱布尼茨公式是定积分的一种重要公式,它将定积分和原函数联系起来。
根据这个公式,若F(x)是f(x)的一个原函数,则有:∫[a, b] f(x) dx = F(b) - F(a)这个公式可以简化定积分的计算,只需要找到被积函数的一个原函数即可。
4. 定积分的应用领域定积分在科学和工程领域有广泛的应用,下面介绍几个常见的应用领域。
4.1. 几何学定积分可以用于计算曲线和曲面的面积。
利用定积分,我们可以求得各种形状的曲线和曲面的面积,从而解决几何学中的一些问题。
第四章 一元函数的积分及其应用第一节 不定积分一、原函数与不定积分的概念定义1.设)(x f 是定义在某区间的已知函数,若存在函数)(x F ,使得)()(x f x F ='或dx x f x dF )()(=,则称)(x F 为)(x f 的一个原函数定义2.函数)(x f 的全体原函数C x F +)(叫做)(x f 的不定积分,,记为: ⎰+=C x F x x f )(d )(其中 )(x f 叫做被积函数 x x f d )(叫做被积表达式 C 叫做积分常数“⎰”叫做积分号 二、不定积分的性质和基本积分公式性质1. 不定积分的导数等于被积函数,不定积分的微分等于被积表达式,即()⎰=='⎰x x f x x f x f x x f d )(d )(d )(d )(;. 性质2. 函数的导数或微分的不定积分等于该函数加上一个任意函数,即⎰+=+=⎰'C x f x f C x f x x f )()(d ,)(d )(或 性质3. 非零的常数因子可以由积分号内提出来,即⎰≠=⎰)0(d )(d )(k x x f k x x kf .性质4. 两个函数的代数和的不定积分等于每个函数不定积分的代数和,即[]⎰⎰±=⎰±x x g x x f x x g x f d )(d )(d )()(基本积分公式 (1)⎰+=C kx x k d (k 为常数) (2)C x x x ++=⎰+111d μμμ(1-≠μ) (3)C x x x +=⎰ln d 1 (4)⎰+=C e dx e x x (5)⎰+=C a a x a x x ln d (6)⎰+=C x x x sin d cos (7)⎰+-=C x x x cos d sin (8)⎰+=C x x x tan d sec 2 (9)⎰+-=C x x x cot d csc 2 (10)⎰+=C x x x x sec d tan sec(11)⎰+-=C x x x x csc d cot csc (12)⎰++=C x x x x tan sec ln d sec三、换元积分法和分部积分法定理1. 设)(x ϕ可导,并且.)(d )(⎰+=C u F u u f 则有Cx F x u C u F u u f x u x x f xx x f +=+⎰=⎰'⎰))(()()(d )()()(d )]([d )()]([ϕϕϕϕϕϕϕ代回令凑微分 该方法叫第一换元积分法(integration by substitution),也称凑微分法.定理 2.设)(t x ϕ=是可微函数且0)(≠'t ϕ,若)())((t t f ϕϕ'具有原函数)(t F ,则()()d x t f x xϕ=⎰换元 ()()()()()11d .t x f t t t F t C F x C ϕϕϕϕ--='⎡⎤⎡⎤++⎣⎦⎣⎦⎰积分回代该方法叫第二换元积分法:)d (的原则或及选取v v u ' 1) v 容易求得 ; x v u x v u d d )2''⎰⎰比 解题技巧: :的一般方法及选取v u '把被积函数视为两个函数之积 ,按 “ 反对幂指三” 的顺序,前者为u 后者为.v '第二节 定积分概念一、原函数与不定积分的概念二、定积分的定义和存在定理三、定积分的几何意义与定积分的性质1.定积分的几何意义2. 定积分的性质性质1.=⎰±dx x g x f b a )]()([±⎰b a dx x f )(⎰ba dx x g )(.性质2.=⎰b a dx x kf )(k ⎰b a dx x f )( (k 是常数). 性质3.=⎰b a dx x f )(⎰+c a dx x f )(⎰b c dx x f )(. 性质4.=⎰b a dx x f )(a b dx b a -=⎰.推论1. 如果在],[b a 上,则),()(x g x f ≤≤⎰b a dx x f )(⎰b a dx x g )( (a <b ).推论2.≤⎰ba dx x f )(⎰b a dx x f )( 性质5. 0)(≥⎰b a dx x f )(b a <.性质6. 设M 与m 分别是函数],[)(b a x f 在上的最大值及最小值,则≤-)(a b m ≤⎰b a dx x f )()(a b M - (b a <). 性质7 .(定积分中值定理) 如果函数)(x f 在闭区间],[b a 上连续,则在积分区间],[b a ]上至少存在一点ξ,使下式成立:))(()(a b f dx x f ba -=⎰ξ (b a ≤≤ξ)可积的充分条件:定理1.上连续在函数],[)(b a x f ,则.],[)(可积在b a x f定理2.,],[)(上有界在函数b a x f 且只有有限个间断点 ,则.],[)(可积在b a x f第三节 微积分基本公式一、微积分基本公式1. 变上限函数定义1. 设函数)(x f 在区间],[b a 上连续,则它在],[b a 任意一个子区间],[x a 上可积,则⎰=Φx a dx t f x )()( ( b x a ≤≤) 是上限变量x 的函数,称此函数为积分上限函数,也称为变上限函数.2. 微积分基本公式定理2.=⎰b a dx x f )(-)(b F )(a F1.定积分的换元积分法定理3.=⎰b a dx x f )([]dt t t f ⎰'βαϕϕ)()(注:设)(x f 在],[a a -上连续,证明(1)若)(x f 在],[a a -为偶函数,则 ⎰-aa dx x f )(=⎰a dx x f 0)(2;(2)若)(x f 在],[a a -上为奇函数,则 ⎰-aa dx x f )(=0.2.定积分的分部积分法定理4.⎰-⎰=b ab a b a vdu uv udv ][第四节 定积分的应用(这点跟高中无异,于是乎就偷懒了=v=~)一、定积分的微元法其实质是找出A 的微元dA 的微分表达式.二、定积分在几何中的应用1. 平面图形的面积 ⎰=badx x f A )(.2. 旋转体的体积x x A V ba d )(⎰=三、定积分在物理上的应用1.变力做功⎰=ba x x F W d )(2.液体静压dx x xf F ba )(g ρ⎰=四、定积分在医学上的应用。
高数积分总结一、不定积分1、不定积分的概念也性质定义1:如果在区间I 上,可导函数F (x )的导函数为f(x),即对任一I x ∈,都有F`(x)=f(x)或dF(x)=f(x)dx,那么函数F(x)就称为f(x)(或f(x)dx)在区间I 上的原函数。
定义2:在区间I 上,函数f (x )的带有任意常数项的原函数称为f (x )(或者f(x)dx )在区间I 上的不定积分,记作⎰dx x f )(。
性质1:设函数f(x)及g(x)的原函数存在,则⎰⎰⎰+=+dx x g dx x f dx x g x f )()()]()([。
性质2:设函数f(x)的原函数存在,k 为非零常数,则⎰⎰=dx x f k dx x kf )()(。
2、换元积分法 (1)第一类换元法:定理1:设f(u)具有原函数,)(x ϕμ=可导,则有换元公式)(])([)(')]([x d f dx x x f ϕμμμϕϕ=⎰⎰=。
例:求⎰xdx 2cos 2解 ⎰⎰⎰⎰=•=•=μμd dx x x dx x xdx cos )'2(2cos 22cos 2cos 2 将x 2=μ代入,既得⎰+=C x xdx 2sin 2cos 2(2)第二类换元法:定理2:设)(t x ψ=是单调的、可导的函数,并且.0)('≠t ψ又设)(')]([t t f ψψ具有原函数,则有换元公式,])(')]([[)()(1x t dt t t f dx x f -=⎰⎰=ψψψ其中)(1x -ψ是)(t x ψ=的反函数。
例:求⎰>+)0(22a ax dx解 ∵t t 22sec tan 1=+,设⎪⎭⎫ ⎝⎛<<-=22tan ππαt t x ,那么 tdt a dx t a t a t a a a x 2222222sec ,sec tan 1tan ==+=+=+,于是⎰⎰⎰==+tdt dt t a ta a x dxsec sec sec 222 ∴C t t ax dx ++=+⎰tan sec ln 22∵aa x t 22sec +=,且0tan sec >+t t ∴1222222)ln(ln C a x x C a ax a x a x dx+++=+⎪⎪⎭⎫⎝⎛++=+⎰,a C C ln 1-=3、分部积分法定义:设函数)(x μμ=及)(x υυ=具有连续导数。
高等数学微积分公式大全一、基本导数公式⑴()0c '=⑵1x x μμμ-=⑶()sin cos x x '=⑷()cos sin x x '=-⑸()2tan sec x x '=⑹()2cot csc x x '=- ⑺()sec sec tan x x x '=⋅⑻()csc csc cot x x x '=-⋅⑼(x e ⑿(⒂((1(3(1(4)(6)⑴()0d c =⑵()1d x x dx μμμ-=⑶()sin cos d x xdx =⑷()cos sin d x xdx =-⑸()2tan sec d x xdx =⑹()2cot csc d x xdx =- ⑺()sec sec tan d x x xdx =⋅⑻()csc csc cot d x x xdx =-⋅ ⑼()x x d e e dx =⑽()ln x x d a a adx =⑾()1ln d x dx x=⑿()1logln x a d dx x a =⒀()arcsin d x =⒁()arccos d x = ⒂()21arctan 1d x dx x =+⒃()21arccot 1d x dx x=-+ 六、微分运算法则⑴()d u v du dv ±=± ⑵()d cu cdu =⑶()d uv vdu udv =+ ⑷2u vdu udvd v v -⎛⎫= ⎪⎝⎭⑴形如n ax x e dx ⎰,令n u x =,ax dv e dx =形如sin n x xdx ⎰令n u x =,sin dv xdx =形如cos n x xdx ⎰令n u x =,cos dv xdx =⑵形如arctan n x xdx ⎰,令arctan u x =,n dv x dx = 形如ln n x xdx ⎰,令ln u x =,n dv x dx =⑶形如sin ax e xdx ⎰,cos ax e xdx ⎰令,sin ,cos ax u e x x =均可。
第四章 一元函数的积分及其应用
第一节 不定积分
一、原函数与不定积分的概念 定义1.设)(x f 是定义在某区间的已知函数,
若存在函数)(x F ,使得)
()(x f x F ='或
dx x f x dF )()(=,则称)(x F 为)(x f 的一个原函数
定义2.函数
)(x f 的全体原函数C x F +)(叫做)(x f 的不定积分,,记为:
⎰+=C x F x x f )(d )(
其中
)(x f 叫做被积函数 x x f d )(叫做被积表达式 C 叫做积分常数
“
⎰”叫做积分号
二、不定积分的性质和基本积分公式
性质1. 不定积分的导数等于被积函数,不定积分的微分等于被积表达式,即
()⎰=='
⎰
x x f x x f x f x x f d )(d )(d )(d )(;.
性质2. 函数的导数或微分的不定积分等于该函数加上一个任意函数,即
⎰+=+=⎰'C x f x f C x f x x f )()(d ,)(d )(或
性质3. 非零的常数因子可以由积分号内提出来,即
⎰≠=⎰)0(d )(d )(k x x f k x x kf .
性质4. 两个函数的代数和的不定积分等于每个函数不定积分的代数和,即
[]⎰⎰±=⎰±x x g x x f x x g x f d )(d )(d )()(
基本积分公式
(1)⎰+=C kx x k d (k 为常数) (2)C x x x ++=
⎰+1
1
1d μμμ(1-≠μ) (3)C x x x
+=⎰ln d 1 (4)⎰
+=C e dx e x x
(5)⎰
+=C a
a x a x
x
ln d
(6)⎰+=C x x x sin d cos (7)⎰
+-=C x x x cos d sin (8)⎰+=C x x x tan d sec 2 (9)⎰+-=C x x x cot d csc 2 (10)⎰+=C x x x x sec d tan sec (11)⎰+-=C x x x x csc d cot csc (12)⎰++=C x x x x tan sec ln d sec
(13)+-=C x x x x cot ln d csc (14)C x x +=arctan d 1
三、换元积分法和分部积分法 定理1. 设)(x ϕ可导,并且.)(d )(⎰
+=C u F u u f 则有
C
x F x u C
u F u
u f x u x x f x x x f +=+⎰=⎰'⎰))(()
()(d )()
()
(d )]([d )()]([ϕϕϕϕϕϕϕ代回令凑微分
该方法叫第一换元积分法(integration by substitution),也称凑微分法. 定理2.设)(t x
ϕ=是可微函数且0)(≠'t ϕ,若)())((t t f ϕϕ'具有原函
数)(t F ,则
()()d x t f x x
ϕ=⎰换元
()()()()()11
d .
t x f t t t
F t C
F x C ϕϕϕϕ--='⎡⎤⎡⎤++⎣⎦⎣⎦⎰
积分
回代
该方法叫第二换元积分法
:
)d (的原则或及选取v v u '
1) v 容易求得 ; x v u x v u d d )2''⎰
⎰比
解题技巧: :的一般方法及选取v u '
把被积函数视为两个函数之积 ,按 “ 反对幂指三” 的顺序,
前者为u 后者为.v '
第二节 定积分概念
一、原函数与不定积分的概念 二、定积分的定义和存在定理
三、定积分的几何意义与定积分的性质 1.定积分的几何意义 2. 定积分的性质 性质1.=⎰±dx x g x f b a
)]()([
±⎰b a dx x f )(⎰b
a dx x g )(.
性质2.
=⎰b a
dx x kf )(k ⎰b
a dx x f )( (k 是常数).
性质3. =⎰b a
dx x f )(⎰+c a dx x f )(⎰b
c dx x f )(.
性质4.
=⎰b a
dx x f )(a b dx b
a -=⎰.
推论1. 如果在],[b a 上,则),()(x g x f ≤≤⎰b a dx x f )(⎰b a dx x g )( (a <b ).
推论2. ≤⎰b a
dx x f )(⎰b
a dx x f )(
性质5.
0)(≥⎰b a
dx x f )(b a <.
性质6. 设M 与m 分别是函数
],[)(b a x f 在上的最大值及最小值,则
≤-)(a b m ≤⎰b a dx x f )()(a b M - (b a <).
性质7 .(定积分中值定理) 如果函数
)(x f 在闭区间],[b a 上连续,
则在积分区间],[b a ]上至少存在一点ξ,使下式成立:
))(()(a b f dx x f b
a
-=⎰ξ (b a ≤≤ξ)
可积的充分条件:
定理1.上连续在函数],[)(b a x f ,则.],[)(可积在b a x f
定理2.,],[)(上有界在函数b a x f 且只有有限个间断点 ,则.],[)(可积在b a x f
第三节 微积分基本公式 一、微积分基本公式 1. 变上限函数
定义1. 设函数)(x f 在区间],[b a 上连续,则它在],[b a 任意一个子区间],[x a 上可积,则
⎰=
Φx
a dx t f x )()( (
b x a ≤≤)
是上限变量x
的函数,称此函数为积分上限函数,也称为变上限函数. 2. 微积分基本公式
定理2.=⎰b a
dx x f )(-)(b F )
(a F
1.定积分的换元积分法
定理3.=⎰b a dx x f )([]
dt t t f ⎰'βα
ϕϕ)()(
注:设
)(x f 在],[a a -上连续,证明
(1)若)(x f 在],[a a -为偶函数,则 ⎰-a a
dx x f )(=⎰a dx x f 0)(2;
(2)若)(x f 在],[a a -上为奇函数,则
⎰-a
a dx x f )(=0.
2.定积分的分部积分法
定理4.⎰-⎰=b a
b a
b a
vdu uv udv ][
第四节 定积分的应用(这点跟高中无异,于是乎就偷懒了=v=~) 一、定积分的微元法 其实质是找出
A 的微元dA 的微分表达式.
二、定积分在几何中的应用 1. 平面图形的面积 ⎰
=b
a
dx
x f A )(.
2. 旋转体的体积x x A V
b
a d )(⎰=
三、定积分在物理上的应用 1.变力做功⎰=b a x x F W d )(
2.液体静压dx x xf F
b
a )(g ρ⎰=
四、定积分在医学上的应用
(注:专业文档是经验性极强的领域,无法思考和涵盖全面,素材和资料部分来自网络,供参考。
可复制、编制,期待你的好评与关注)。