考研数学:高数重要公式总结(基本积分表)
- 格式:doc
- 大小:169.04 KB
- 文档页数:5
全国硕士研究生统一入学考试数学公式大全导数公式:基本积分表:三角函数的有理式积分:ax x a a a ctgx x x tgx x x x ctgx x tgx a x x ln 1)(log ln )(csc )(csc sec )(sec csc )(sec )(22='='⋅-='⋅='-='='222211)(11)(11)(arccos 11)(arcsin x arcctgx x arctgx x x x x +-='+='--='-='⎰⎰⎰⎰⎰⎰⎰⎰⎰⎰+±+=±+=+=+=+-=⋅+=⋅+-==+==Ca x x a x dx C shx chxdx C chx shxdx Ca a dx a Cx ctgxdx x Cx dx tgx x Cctgx xdx x dx C tgx xdx x dx xx)ln(ln csc csc sec sec csc sin sec cos 22222222C axx a dx C x a xa a x a dx C a x ax a a x dx C a xarctg a x a dx Cctgx x xdx C tgx x xdx Cx ctgxdx C x tgxdx +=-+-+=-++-=-+=++-=++=+=+-=⎰⎰⎰⎰⎰⎰⎰⎰arcsin ln 21ln 211csc ln csc sec ln sec sin ln cos ln 22222222⎰⎰⎰⎰⎰++-=-+-+--=-+++++=+-===-Cax a x a x dx x a Ca x x a a x x dx a x Ca x x a a x x dx a x I nn xdx xdx I n n nn arcsin 22ln 22)ln(221cos sin 2222222222222222222222ππ222212211cos 12sin u dudx x tg u u u x u u x +==+-=+=, , , 一些初等函数: 两个重要极限:三角函数公式: ·诱导公式:·和差角公式: ·和差化积公式:2sin2sin 2cos cos 2cos2cos 2cos cos 2sin2cos 2sin sin 2cos2sin2sin sin βαβαβαβαβαβαβαβαβαβαβαβα-+=--+=+-+=--+=+αββαβαβαβαβαβαβαβαβαβαβαctg ctg ctg ctg ctg tg tg tg tg tg ±⋅=±⋅±=±=±±=±1)(1)(sin sin cos cos )cos(sin cos cos sin )sin( xxarthx x x archx x x arshx e e e e chx shx thx e e chx e e shx x xxx xx xx -+=-+±=++=+-==+=-=----11ln21)1ln(1ln(:2:2:22)双曲正切双曲余弦双曲正弦...590457182818284.2)11(lim 1sin lim 0==+=∞→→e xxx x x x·倍角公式:·半角公式:ααααααααααααααααααcos 1sin sin cos 1cos 1cos 12cos 1sin sin cos 1cos 1cos 122cos 12cos 2cos 12sin -=+=-+±=+=-=+-±=+±=-±=ctg tg·正弦定理:R CcB b A a 2sin sin sin === ·余弦定理:C ab b a c cos 2222-+= ·反三角函数性质:arcctgx arctgx x x -=-=2arccos 2arcsin ππ高阶导数公式——莱布尼兹(Leibniz )公式:)()()()2()1()(0)()()(!)1()1(!2)1()(n k k n n n n nk k k n k n n uv v u k k n n n v u n n v nu v u v u C uv +++--++''-+'+==---=-∑中值定理与导数应用:拉格朗日中值定理。
高等数学积分公式大全在高等数学中,积分是求解不定积分、定积分和定积分的一种重要方法。
积分公式是指一些常见函数的积分表达式,熟悉和掌握这些公式可以加快求解积分的速度。
下面是一些常见的高等数学积分公式:一、不定积分公式:1. ∫kdx = kx + C (常数函数的积分)2. ∫x^n dx = (x^(n+1))/(n+1) + C (幂函数的积分)其中n不等于-1,C为常数。
3. ∫1/x dx = ln,x, + C (自然对数函数的积分)4. ∫e^x dx = e^x + C (指数函数的积分)5. ∫sinxdx = -cosx + C (正弦函数的积分)6. ∫cosxdx = sinx + C (余弦函数的积分)7. ∫sec^2xdx = tanx + C (正割函数的积分)8. ∫csc^2xdx = -cotx + C (余割函数的积分)9. ∫secxtanxdx = secx + C (正割函数与正切函数的积分)10. ∫cscxcotxdx = -cscx + C (余割函数与余切函数的积分)二、定积分公式:1. ∫[a,b]kdx = k(b-a) (常数函数的定积分)2. ∫[a,b]xdx = (b^2 - a^2)/2 (幂函数的定积分)3. ∫[a,b]1/x dx = ln,b/a,(自然对数函数的定积分)三、定积分计算方法与公式:1.分部积分法∫u(x)v'(x)dx = u(x)v(x) - ∫v(x)u'(x)dx2.代换法(换元积分法)∫f(g(x))*g'(x)dx = ∫f(g(x))d(g(x))3.增广方法当函数的导数是其本身的倍数,例如dy/dx = ky时,可以使用增广方法进行求解,具体公式为∫d(y)e^(-kx) = e^(-kx)y4.牛顿-莱布尼茨公式若F(x)为f(x)的一个原函数,则∫[a,b]f(x)dx = F(b) - F(a)5.分式积分对于形如∫(P(x)/Q(x))dx的分式积分,其中P(x)和Q(x)是多项式函数,可以使用部分分式法进行分解,然后再分别求积分。
考研数学高数重要公式总结高等数学是考研数学中的重要科目之一,公式的掌握对于解题非常重要。
下面是高等数学中一些重要的公式总结:1.导数公式:(1)基本公式:若y=f(x)是可导函数,则有:f'(x)=lim(h→0)[f(x+h)-f(x)]/h(2)常见函数的导数:(仅列举部分)常数函数k'(x)=0幂函数x^n的导数[nx^(n-1)]指数函数a^x的导数[a^x×ln(a)]对数函数log(a)x的导数[1/x×ln(a)](3)导数运算公式:[cf(x)]'=cf'(x)[f(x)+g(x)]'=f'(x)+g'(x)[f(x)×g(x)]'=f'(x)g(x)+f(x)g'(x)[f(g(x))]'=f'[g(x)]×g'(x)2.泰勒公式:设在x=a处进行n阶导数的计算,则:f(x)=f(a)+(x-a)f'(a)+(x-a)^2/2!×f''(a)+⋯+(x-a)^n/n!×f^(n)(a)3.不定积分公式:(1)基本公式:∫f'(x)dx=f(x)+C(2)常见函数的不定积分:(仅列举部分)∫c dx=cx+C∫x^(n)dx=x^(n+1)/(n+1)+C (n≠-1)∫a^xdx=a^x/ln(a)+C∫du/u=ln,u,+C(3)积分运算公式:∫[cf(x)+g(x)]dx=c∫f(x)dx+∫g(x)dx∫f(g(x))g'(x)dx=F(g(x))+C4.定积分公式:(1)基本公式:∫[a, b]f(x)dx=F(b)-F(a)(2)常见函数的定积分:(仅列举部分)∫[a, b]dx=b-a∫[a, b]x^(n)dx=(b^(n+1)-a^(n+1))/(n+1) (n≠-1)∫[a, b]e^xdx=e^b-e^a∫[a, b]sinθdθ=-cosθ,^b_a(3)积分运算公式:∫[a, b][cf(x)+g(x)]dx=c∫[a, b]f(x)dx+∫[a, b]g(x)dx∫[a, b]f(g(x))g'(x)dx=∫[g(a), g(b)]f(u)du (令u=g(x))以上仅是高等数学中的一部分重要公式总结,实际上还有许多其他公式和定理。
高等数学公式篇导数公式: 基本积分表:C kx dx k +=⎰)1a (,C x 1a 1dx x 1a a-≠++=+⎰C x ln dx x 1+=⎰ C e dx e xx +=⎰C a ln a dx a xx+=⎰(1a ,0a ≠>) C x cos xdx sin +-=⎰C x sin dx x cos +=⎰ C x arctan dx x 112+=+⎰C axarcsin x a dx C x a xa ln a 21x a dx C a x ax ln a 21a x dx C a xarctan a 1x a dx Cx cot x csc ln xdx csc C x tan x sec ln xdx sec Cx sin ln xdx cot C x cos ln xdx tan 22222222+=-+-+=-++-=-+=++-=++=+=+-=⎰⎰⎰⎰⎰⎰⎰⎰⎰⎰⎰⎰⎰⎰⎰⎰⎰⎰+±+=±+=+=+=+-=⋅+=⋅+-==+==C)a x x ln(a x dx C shx chxdx C chx shxdx Ca ln a dx a Cx csc xdx cot x csc C x sec dx x tan x sec Cx cot xdx csc x sin dx C x tan xdx sec x cos dx 2222x x2222aln x 1)x (log a ln a )a (x cot x csc )x (csc x tan x sec )x (sec x csc )x (cot x sec )x (tan x cos )x (sin aX )X (0)C (a x x 221a a ='='⋅-='⋅='-='='='='='-2222xx x 11)x cot arc (x 11)x (arctan x 11)x (arccos x 11)x (arcsin x 1)x (ln e )e (x sin )x (cos +-='+='--='-='='='-='C x sin d x cos c ln B Ax dx x sin d x cos c xsin b x cos a +++=++⎰其中,)x sin d x cos c (B )x sin d x cos c (A x sin b x cos a +++=+ a Bd Ac =+B ,A b Bc Ad ⇒=-三角函数的有理式积分:2222u1du2dx 2x tan u u 1u 1x cos u 1u 2x sin +==+-=+=, , , 一些初等函数: 两个重要极限:三角函数公式: ·诱导公式:xxarthx x x archx x x arshx e e e e chx shx thx e e chx e e shx x x xx xx xx -+=-+±=++=+-==+=-=----11ln21)1ln(1ln(:2:2:22)双曲正切双曲余弦双曲正弦...590457182818284.2)11(lim 1sin lim 0==+=∞→→e xxx x x x·和差角公式: ·和差化积公式:·倍角公式:·半角公式:α-α=αα+=α-α+±=αα+α=αα-=α+α-±=αα+±=αα-±=αcos 1sin sin cos 1cos 1cos 12cot cos 1sin sin cos 1cos 1cos 12tan2cos 12cos 2cos 12sin ·正弦定理:R CcB b A a 2sin sin sin === ·余弦定理:C ab b a c cos 2222-+= ·反三角函数性质:x cot arc 2x arctan x arccos 2x arcsin -π=-π= 高阶导数公式——莱布尼兹(Leibniz )公式:)()()()2()1()(0)()()(!)1()1(!2)1()(n k k n n n n nk k k n k n n uv v u k k n n n v u n n v nu v u v u C uv +++--++''-+'+==---=-∑2sin2sin 2cos cos 2cos2cos 2cos cos 2sin2cos 2sin sin 2cos2sin2sin sin βαβαβαβαβαβαβαβαβαβαβαβα-+=--+=+-+=--+=+α±ββ⋅α=β±αβ⋅αβ±α=β±αβαβα=β±αβα±βα=β±αcot cot 1cot cot )cot(tan tan 1tan tan )tan(sin sin cos cos )cos(sin cos cos sin )sin( α-α-α=αα-α=αα-α=α2333tan 31tan tan 33tan cos 3cos 43cos sin 4sin 33sin α-α=αα-α=αα-α=α-=-α=ααα=α222222tan 1tan 22tan cot 21cot 2cot sin cos sin 211cos 22cos cos sin 22sin中值定理与导数应用:拉格朗日中值定理。
考研数学公式及定理整理数学,作为一门严谨而又广泛应用的学科,不可避免地涉及到大量的公式和定理。
对于考研数学而言,掌握相关公式和定理的整理是非常重要的,不仅可以帮助考生快速复习和解题,还能提高解题的效率和准确性。
本文将对考研数学常见的公式和定理进行整理和总结,希望对考生复习备考有所帮助。
1. 高等数学(1) 微积分微积分是数学的基础和核心,包括导数和积分。
重点公式如下:- 导数相关公式:求导法则、基本初等函数求导、复合函数求导、隐函数求导等。
- 积分相关公式:不定积分法则、定积分的基本性质、换元积分法、分部积分法等。
(2) 无穷级数无穷级数是微积分中的重要内容,常见的公式和定理有:- 常数项级数求和公式:算术级数、几何级数。
- 幂级数展开:泰勒级数展开、麦克劳林级数展开。
- 收敛性与发散性判断:比较判别法、根值判别法、狄利克雷判别法等。
(3) 偏微分方程偏微分方程是高等数学中的一个重要分支,常见的公式和定理包括:- 一阶偏导数方程:线性一阶偏微分方程、齐次线性一阶偏微分方程、非齐次线性一阶偏微分方程等。
- 二阶偏导数方程:线性二阶偏微分方程的分类、常系数线性二阶偏微分方程等。
2. 线性代数线性代数是数学中的一个重要分支,涉及到矩阵和线性方程组的理论和应用,常见的公式和定理有:- 行列式相关公式:二阶和三阶行列式、行列式的性质与计算、克拉默法则等。
- 矩阵相关公式:矩阵的性质与运算、线性方程组的解法、特征值和特征向量等。
3. 概率论与数理统计概率论与数理统计是数学中与实际问题联系最紧密的分支,常见的公式和定理包括:- 概率相关公式:概率基本公式、条件概率与贝叶斯公式、全概率公式、期望和方差等。
- 统计学相关公式:抽样分布定理、参数估计与假设检验、相关系数与回归分析等。
以上只是对考研数学常用公式和定理的简要整理,希望可以为考生提供一些复习的参考和方向。
在备考过程中,考生还需结合习题训练和理解概念来进一步掌握数学知识。
考研高数公式在考研数学中,高等数学是一个重要的科目。
而在高等数学中,高数公式是备考考研的关键因素之一。
掌握高数公式不仅有助于解题,还能提升解题效率。
本文将介绍一些考研高数中常用的公式,并对其应用进行简单说明。
一、导数的基本公式1. 基本导数公式(1) 常数导数公式:常数c的导数为0,即d(c)/dx = 0。
(2) 幂函数导数公式:对于 y = x^n,其中n为常数,导数为 dy/dx =n*x^(n-1)。
(3) 指数函数导数公式:对于 y = a^x,其中a为常数且不等于1,导数为 dy/dx = a^x * ln(a)。
(4) 对数函数导数公式:对于 y = log_a(x),其中a为常数且不等于1,导数为 dy/dx = 1 / (x * ln(a))。
(5) 三角函数导数公式:- 正弦函数导数:d(sin(x))/dx = cos(x)。
- 余弦函数导数:d(cos(x))/dx = -sin(x)。
- 正切函数导数:d(tan(x))/dx = sec^2(x)。
(6) 反三角函数导数公式:- 反正弦函数导数:d(arcsin(x))/dx = 1 / sqrt(1 - x^2)。
- 反余弦函数导数:d(arccos(x))/dx = -1 / sqrt(1 - x^2)。
- 反正切函数导数:d(arctan(x))/dx = 1 / (1 + x^2)。
2. 基本函数导数运算法则(1) 线性运算法则:对于函数 f(x) 和 g(x),以及常数 c1 和 c2,有以下公式:- d(c1*f(x) ± c2*g(x))/dx = c1*df(x)/dx ± c2*dg(x)/dx- d(c*f(x))/dx = c*df(x)/dx (其中c为常数)(2) 乘积法则:对于函数 f(x) 和 g(x),有以下公式:- d(f(x) * g(x))/dx = f(x) * dg(x)/dx + g(x) * df(x)/dx(3) 商积法则:对于函数 f(x) 和 g(x),有以下公式:- d(f(x) / g(x))/dx = (g(x) * df(x)/dx - f(x) * dg(x)/dx) / g(x)^2(4) 链式法则:对于复合函数 y = f(g(x)),有以下公式:- dy/dx = df(g(x))/dg(x) * dg(x)/dx二、积分的基本公式1. 基本积分公式(1) 幂函数的积分公式:对于 y = x^n,其中n不等于-1,积分为∫x^n dx = (1 / (n+1)) * x^(n+1) + C。
高数积分公式大全高等数学中的积分是数学分析的重要内容之一,它是求函数面积、定积分、不定积分等的方法,被广泛应用于科学和工程领域。
下面是高等数学中常用的积分公式大全,供大家参考和学习。
一、基本积分公式:1. 常数函数积分公式:∫c dx = cx + C(其中c为常数,C为积分常数)2. 幂函数积分公式:∫x^n dx = (1/(n+1)) * x^(n+1) + C(其中n不等于-1,C 为积分常数)3. 指数函数积分公式:∫e^x dx = e^x + C4. 三角函数积分公式:∫sin(x) dx = -cos(x) + C∫cos(x) dx = sin(x) + C5. 乘方函数积分公式:∫(a^x) dx = (1/log(a)) * (a^x) + C(其中a为正数且不等于1,C为积分常数)6. 对数函数积分公式:∫(1/x) dx = ln|x| + C二、常用积分公式:1. 三角函数的复合积分:∫sin(ax) dx = - (1/a) * cos(ax) + C∫cos(ax) dx = (1/a) * sin(ax) + C2. 反三角函数的积分:∫1/(√(1-x^2)) dx = arcsin(x) + C∫1/(1+x^2) dx = arctan(x) + C3. 指数函数的积分:∫e^(ax) dx = (1/a) * e^(ax) + C4. 对数函数的积分:∫(1/x) dx = ln|x| + C5. 分式函数的积分:∫(1/(x-a)) dx = ln|x-a| + C(其中a不等于0)∫(1/(x^2+a^2)) dx = (1/a) * arctan(x/a) + C(其中a不等于0)6. 三角函数的积分:∫sin^n(x) cos^m(x) dx7. 部分分式的积分:∫(p(x)/q(x)) dx8. 具体函数的特殊积分:∫e^x sin(x) dx∫e^x cos(x) dx∫(sin(x))^n (cos(x))^m dx(其中n和m为正整数)三、数列求和公式:1. 等差数列求和公式:S_n = (n/2)(a_1 + a_n)(其中S_n为前n项和,a_1为首项,a_n为末项)2. 等比数列求和公式:S_n = (a_1(1-q^n))/(1-q)(其中S_n为前n项和,a_1为首项,q为公比)以上是高等数学中一些常见的积分公式,通过掌握和灵活运用这些公式,可以帮助我们更好地解决数学中的问题。
数学知识点背诵高数部分1. 导数公式22(tan )sec (cot )csc (sec )sec tan (csc )csc cot x xx xx x x x x x'='=-'=⋅'=-⋅22(arcsin )(arccos )1(arctan )11(cot )1x x x x arc x x '='='=+'=-+2. 积分公式2222tan ln cos cot ln sin sec ln sec tan csc ln csc cot sec tan cos csc cot sin sec tan sec csc cot csc xdx x C xdx x Cxdx x x C xdx x x Cdx xdx x C x dx xdx x Cx x xdx x Cx xdx x C=-+=+=++=-+==+==-+⋅=+⋅=-+⎰⎰⎰⎰⎰⎰⎰⎰⎰⎰2222221arctan 1ln 21ln 2ln(arcsin dx xC a x a a dx x aC x a a x a dx a xC a x a a x x CxC a=++-=+-++=+--=+=+⎰⎰⎰222ln(2ln 2arcsin 2a x Ca x C a x Ca=+=-++=++22201sin cos nn n n n I xdx xdx I nππ--===⎰⎰3. 和差化积sin sin 2sincos22sin sin 2cos sin22cos cos 2cos cos22cos cos 2sin sin22αβαβαβαβαβαβαβαβαβαβαβαβ+-+=+--=+-+=+--=-4. 积化和差[][][][]1sin cos sin()sin()21cos sin sin()sin()21cos cos cos()cos()21sin sin cos()cos()2αβαβαβαβαβαβαβαβαβαβαβαβ=++-=+--=++-=-+-- 5. 万能公式22tan2sin 1tan 2ααα=+ 221t a n2c o s 1t a n 2ααα-=+ 22t a n2t a n 1t a n2ααα=- 6. 半角公式221cos sin 221cos cos 22αααα-=+= 21c o s t a n 21c o s s i n 1c o s t a n 21c o s s i nαααααααα-=+-==+7. 三倍角公式3332sin 33sin 4sin cos34cos 3cos 3tan tan tan 313tan αααααααααα=-=--=- 8. 三角函数关系图sin costan 1cot sec csc↔↔↔⊗↔↔↔↔↔↔⊗⊗↔↔↔..1.a b c ⊗说明:六边形每个顶点等于两相邻顶点乘积三条对角线上,两端点相乘等于标记的三角形,上面的平方和等于下面的平方9. 等价无穷小33333333222201sin ()61arcsin ()61tan ()31arctan ()31ln(1)()21cos 1()2x x x x o x x x x o x x x x o x x x x o x x x x o x x x o x →=-+=++=++=-++=-+=-+时2011ln 11cos 2(1)1x x x e x a x a x xx x αα→---+-时10. 华里士公式等华里士公式:2200131,222sin cos 132,123n nn n n n n xdx xdx n n n n n πππ--⎧⋅⋅⎪⎪-==⎨--⎪⋅⎪-⎩⎰⎰为正的偶数为大于的奇数20sin 2sin nn xdx xdx ππ=⎰⎰2002c o s ,c o s 0,n nxdx n xdx n ππ⎧⎪=⎨⎪⎩⎰⎰为偶数为奇数2220004sin ,sin =cos 0,n n nxdx n xdx xdx n πππ⎧⎪=⎨⎪⎩⎰⎰⎰为偶数为奇数()()220sin cos f x dx f x dx ππ=⎰⎰ ()()00sin cos f x dx f x dx ππ≠⎰⎰()()()20sin sin sin 2xf x dx f x dx f x dx πππππ==⎰⎰⎰11. 函数展开为幂级数20201+()!2!1(1)1(1)(11)1n nxn n n n nn x x x e x x n n x x x x x x ∞=∞===++++-∞<<+∞=-=-+-+-+-<<+∑∑!20234111213572122011(11)1ln(1)(1)(1)(11)234sin (1)(1)()(21)!3!5!7!(21)!cos (1)1(2)!2!n n n n nn n n n n nnn n nn x x x x x x x x x x x x x x n nx x x x x x x x n n x x x n ∞=∞--=++∞=∞===+++++-<<-+=-=-+-++-+-<≤=-=-+-++-+-∞<<+∞++=-=-+∑∑∑∑()(][]4622(1)()4!6!(2)!(1)(1)(1)(1)12!!(1-1,1;10-1,1;0-1,1)nn nx x x x n n x x x x n αααααααααα-++-+-∞<<+∞---++=+++++≤--<<>时,收敛域为时,收敛域为时,收敛域为12. 幂级数的和函数1211121121212112220(1)11(1)1(1)(1)(1)(1)(1)1(1)1k nn k n n n n n n n n n n n n n n n n n n cx cx x x x nx x x x x x nx x nx x x x nx x nx x x n n x x x x ∞=∞∞-==∞∞-==∞∞+-==∞∞∞-====<-''⎛⎫⎛⎫===< ⎪ ⎪--⎝⎭⎝⎭==<-==<-''''''⎛⎫⎛⎫⎛⎫-=== ⎪ ⎪ ⎪-⎝⎭⎝⎭⎝⎭∑∑∑∑∑∑∑∑∑∑3110001112(1)(1)1ln(1)(11)1n x x x n n n n n x x x t dt t dt dt x x n t ∞∞∞--====<-⎛⎫====---≤< ⎪-⎝⎭∑∑∑⎰⎰⎰13. 狄利克雷收敛定理设()f x 是以2l 为周期的可积函数,如果在[],l l -上()f x 满足: 1)连续或只有有限个第一类间断点; 2)只有有限个极值点;则()f x 的傅里叶级数处处收敛,记其和函数为()S x ,则()01cos sin 2n n n a n x n x S x a b l l ππ∞=⎛⎫=++ ⎪⎝⎭∑,且()()()()()(),00,200,2f x x f x f x S x x f l f l x ⎧⎪⎪-++⎪=⎨⎪⎪-++-⎪⎩为连续点为第一类间断点为端点 14. 周期为2l 的周期函数的傅里叶级数设周期为2l 的周期函数()f x 满足狄利克雷收敛定理的条件,则它的傅里叶级数为()()01cos sin 2n n n a n x n x f x S x a b l l ππ∞=⎛⎫=++ ⎪⎝⎭∑其中系数n a 和n b 分别为:()()1cos (0,1,2,)1sin (1,2,3,)l n l l n l n x a f x dx n l l n x b f x dx n l l ππ--⎧==⎪⎪⎨⎪==⎪⎩⎰⎰ (1)将普通周期函数()f x 在[],l l -上展开为傅里叶级数: 展开系数为()()()01,1cos ,(1,2,3,)1sin ,(1,2,3,)l l l n l l n la f x dx l n x a f x dx n l l n xb f x dx n l l ππ---⎧=⎪⎪⎪==⎨⎪⎪==⎪⎩⎰⎰⎰ (2)将奇偶周期函数()f x 在[],l l -上展开为傅里叶级数:当()f x 为奇函数时,展开为正弦级数()000,0,(1,2,3,)2sin ,(1,2,3,)n l n a a n n x b f x dx n l l π⎧⎪=⎪==⎨⎪⎪==⎩⎰当()f x 为偶函数时,展开为余弦级数()()0002,2cos ,(1,2,3,)0,(1,2,3,)l l nn a f x dx l n x a f x dx n l l b n π⎧=⎪⎪⎪==⎨⎪==⎪⎪⎩⎰⎰ (3)将非对称区间[]0,l 上的函数()f x 展开为正弦级数或余弦级数:将[]0,l 上的函数()f x ,根据要求作奇延拓(若要求展开为正弦级数)或偶延拓(若要求展开为余弦函数),得到[],l l -上的奇函数或偶函数,再根据(2)中的方式展开。
考研数学公式大全数学是考研的核心科目之一,而掌握必要的数学公式则是取得好成绩的关键。
以下是一份考研数学公式大全,涵盖了高等数学、线性代数和概率论与数理统计中的重要公式,希望能对备考研究生入学考试的同学有所帮助。
一、高等数学1、求导法则本文1)链式法则:f(u)f'(u)=f'(u)du本文2)乘积法则:f(u)g(u)=f'(u)g(u)+f(u)g'(u)本文3)指数法则:f(u)^n=nu'f(u)/(n-1)!2、求极值本文1)极值条件:f'(x)=0本文2)极值定理:f(x)在x=a处取得极值,则f'(a)=03、积分公式本文1)牛顿-莱布尼茨公式:∫f(x)dx=F(b)-F(a),其中F'(x)=f(x)本文2)微分定理:d/dx∫f(x)dx=f(x)本文3)积分中值定理:若f(x)在[a,b]上连续,则至少存在一点c∈[a,b],使得∫f(x)dx=f(c)(b-a)4、不定积分公式本文1)幂函数积分:∫x^n dx=(n+1)/n+1 x^(n+1)/n+1+C本文2)三角函数积分:∫sinx dx=cosx+C,∫cosx dx=-sinx+C 5、定积分公式本文1)矩形法:若a<=x<=b,a<=y<=b,则∫(a,b)(x^2+y^2)dx=∫(a,b)x^2 dx+∫(a,b)y^2 dx=(b-a)(x^2+y^2)/2本文2)梯形法:若a<=x<=b,a<=y<=b,则∫(a,b)(x^2+y^2)dx=∫(a,b)x^2 dx+∫(a,b)y^2 dx=(b-a)(x^2+[by]+[ax])/3二、线性代数6、行列式公式本文1)行列式展开式:D=a11A11+a12A12+...+an1An1,其中Aij为行列式中第i行第j列的代数余子式本文2)范德蒙行列式:V=(∏i=1n[(x-a)(i-1)]^(n-i)) / (∏i=1n[(x-a)(i-1)]),其中ai为行列式中第i行第i列的元素7、矩阵公式本文1)矩阵乘法:C=AB,其中Cij=∑AikBkj,k为矩阵乘法的维数本文2)逆矩阵:A^-1=(1/∣A∣)A,其中∣A∣为矩阵A的行列式值,A为矩阵A的伴随矩阵8、向量公式本文1)向量内积:〈a,b〉=a1b1+a2b2+...1、求导法则本文1)链式法则:若f是一个包含x和函数u=u(x),则f' = f'[u(x)] * u'(x)。
考研高数公式总结高等数学是考研数学中的一门重要课程,也是考研数学中需要记住大量公式和定理的科目之一、下面是我总结的一些高等数学中常用的公式和定理,希望对考研学子们的备考能有所帮助。
一、极限和连续1.重要的基本极限公式- $\lim\limits_{x\to0}\frac{\sin{x}}{x}=1$- $\lim\limits_{x\to0}\frac{e^x-1}{x}=1$- $\lim\limits_{x\to+\infty}(1+\frac{1}{x})^x=e$2.微分中的基本极限- $\lim\limits_{\Delta x\to0}\frac{\Delta y}{\Deltax}=\frac{dy}{dx}$- $\lim\limits_{\Delta x\to0}\frac{e^{\Delta x}-1}{\Delta x}=1$3.连续性定理-函数$f(x)$在$x_0$处连续的充分必要条件是:- $\lim\limits_{x\to x_0} f(x)=f(x_0)$- $\lim\limits_{x\to x_0^-} f(x)=\lim\limits_{x\to x_0^+} f(x)=f(x_0)$二、导数和微分1.基本导数公式-$(c)'=0$- $(x^n)'=nx^{n-1}$ (n为自然数)-$(e^x)'=e^x$- $(\ln{x})'=\frac{1}{x}$2.常见运算法则-$(u+v)'=u'+v'$- $(uv)'=u'v+uv'$- $(\frac{u}{v})'=\frac{u'v-uv'}{v^2}$ (v≠0)3.高阶导数-若$f'(x)$存在,则$f''(x)=(f'(x))'$4.微分公式- $dy=f'(x)dx$三、积分与微积分基本定理1.基本积分公式- $\int 0dx=C$- $\int x^ndx=\frac{1}{n+1}x^{n+1}+C$ (n≠-1)2.基本积分的线性运算- $\int kf(x)dx=k\int f(x)dx$- $\int (f(x)+g(x))dx=\int f(x)dx+\int g(x)dx$3.二次换元法- $\int f(g(x))g'(x)dx=\int f(u)du$4.牛顿-莱布尼茨公式- $\int_a^bf(x)dx=F(b)-F(a)$四、级数1.等差数列-$a_n=a_1+(n-1)d$- $S_n=\frac{n}{2}[2a_1+(n-1)d]$- $a_n=\frac{a_{n-1}+a_{n+1}}{2}$2.等比数列-$a_n=a_1q^{n-1}$(q≠0)- $S_n=\frac{a_1(q^n-1)}{q-1}$ (q≠1)3.幂级数- $S_n=\sum\limits_{k=1}^{n} a_k=a_1+a_2+a_3+...+a_n$五、数列和函数的收敛性1.收敛与极限-数列$\{a_n\}$的收敛定义:当无论取多大的正数$ε$,都存在一个正整数$N$,当$n>N$时,总有$,a_n-A,<ε$成立,则称$\{a_n\}$收敛于$A$。
对于考研高等数学,以下是一些常见的必背公式:1. 导数公式:- $(c)'=0$(常数的导数为零)- $(x^n)'=nx^{n-1}$(幂函数的导数)- $(e^x)'=e^x$(指数函数的导数)- $(\ln x)'=\frac{1}{x}$(自然对数函数的导数)- $(\sin x)'=\cos x$(正弦函数的导数)- $(\cos x)'=-\sin x$(余弦函数的导数)- $(\tan x)'=\sec^2 x$(正切函数的导数)2. 积分公式:- $\int k \,dx=kx+C$(常数的积分)- $\int x^n \,dx=\frac{1}{n+1}x^{n+1}+C$(幂函数的积分)- $\int e^x \,dx=e^x+C$(指数函数的积分)- $\int \frac{1}{x} \,dx=\ln |x|+C$(倒数函数的积分)- $\int \sin x \,dx=-\cos x+C$(正弦函数的积分)- $\int \cos x \,dx=\sin x+C$(余弦函数的积分)- $\int \sec^2 x \,dx=\tan x+C$(正切函数的积分)3. 三角函数关系:- $\sin^2 x + \cos^2 x = 1$(三角恒等式)- $\sin (2x) = 2\sin x \cos x$(双角正弦公式)- $\cos (2x) = \cos^2 x - \sin^2 x$(双角余弦公式)- $\tan x = \frac{\sin x}{\cos x}$(正切的定义)这些是考研高等数学中的一些常见公式,但并非全部。
在复习过程中,建议根据自己的教材和课程重点,对相关公式进行系统性的整理和复习。
不仅要记住公式,还要了解其推导和应用方法,以便在解题过程中能够熟练运用。
同时,还要注重理解概念和原理,培养灵活的思维和解题能力。
高等数学公式大全导数公式:基本积分表:三角函数的有理式积分: 222212211cos 12sin udu dx x tg u uu x uu x +==+-=+=, , , ax x a a a x x x x x x x x x x a xxln 1)(logln )(cot csc )(csc tan sec )(sec csc )(cot sec )(tan 22='='⋅-='⋅='-='='222211)(11)(11)(arccos 11)(arcsin xarcctgx xarctgx xx xx +-='+='--='-='⎰⎰⎰⎰⎰⎰⎰⎰⎰⎰+±+=±+=+=+=+-=⋅+=⋅+-==+==Ca x x ax dx Cshx chxdx C chx shxdx Caadx aC x ctgxdx x C x dx tgx x Cctgx xdx xdxC tgx xdx x dxxx)ln(ln csc csc sec sec cscsinsec cos 22222222Cax xa dxCx a x a ax a dx C a x a x a a x dx C ax arctg a x a dxCctgx x xdx Ctgx x xdx Cx ctgxdx C x tgxdx +=-+-+=-++-=-+=++-=++=+=+-=⎰⎰⎰⎰⎰⎰⎰⎰arcsin ln21ln 211csc ln csc sec ln sec sin ln cos ln 22222222⎰⎰⎰⎰⎰++-=-+-+--=-+++++=+-===-Ca x ax a x dx x a Ca x x a a x x dx a x C a x x a a x x dx a x I n n xdx xdx I n nnn arcsin22ln 22)ln(221cos sin22222222222222222222220ππ一些初等函数: 两个重要极限:三角函数公式: ·诱导公式:函数 角A sincostancot-α -sinα cosα -tan α -cot α 90°-α cosα sinαcot αtan α90°+α cosα -sinα -cot α -tan α 180°-α sinα-c osα -tan α -cot α180°+α -sinα -cosα tan α cot α 270°-α -cosα -sinα cot α tan α270°+α -cosα sinα -cot α -tan α 360°-α -sinα cosα -tan α -cot α 360°+αsinαcosαtan αcot α·和差角公式: ·和差化积公式:·倍角公式:2sin2sin 2cos cos 2cos 2cos 2cos cos 2sin2cos 2sin sin 2cos 2sin2sin sin βαβαβαβαβαβαβαβαβαβαβαβα-+-=--+=+-+=--+=+αββαβαβαβαβαβαβαβαβαβαβαcot cot 1cot cot )cot(tan tan 1tan tan )tan(sin sin cos cos )cos(sin cos cos sin )sin(±⋅=±⋅±=±=±±=± xx arthx x x archx x x arshx ee e e chxshx thx ee chx ee shx xxx x xxxx-+=-+±=++=+-==+=-=----11ln 21)1ln(1ln(:2:2:22)双曲正切双曲余弦双曲正弦...590457182818284.2)11(lim 1sin lim==+=∞→→e xx x xx x·半角公式:ααααααααααααααααααcos 1sin sin cos 1cos 1cos 12cos 1sin sin cos 1cos 1cos 122cos 12cos 2cos 12sin -=+=-+±=+=-=+-±=+±=-±=ctgtg·正弦定理:R CcBb Aa 2sin sin sin ===·余弦定理:C ab b a c cos 2222-+=·反三角函数性质:arcctgx arctgx x x -=-=2arccos 2arcsin ππ高阶导数公式——莱布尼兹(Leibniz )公式:)()()()2()1()(0)()()(!)1()1(!2)1()(n k k n n n n nk k k n k nn uvvuk k n n n v un n v nuv uvuCuv +++--++''-+'+==---=-∑中值定理与导数应用:拉格朗日中值定理。
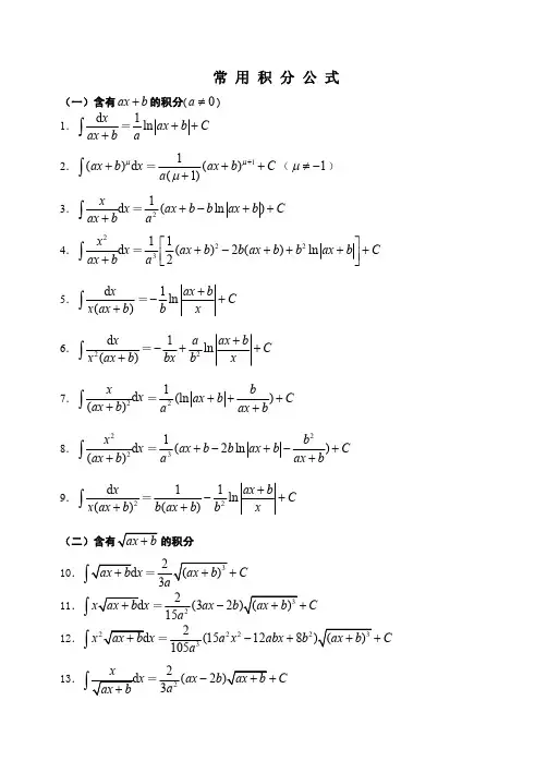
24个高数常用积分表如下:第一个,基本公式。
高数基本24个积分公式:1.∫kdx=kx+C(k是常数)。
2.∫xdx=+1+C,(≠1)+1dx。
3.∫=ln|x|+Cx1。
4.∫dx=arctanx+C21+x1。
5.∫dx=arcsinx+C21x。
6.∫cosxdx=sinx+C。
7.∫sinxdx=cosx+C。
8.∫sec∫csc2xdx=tanx+Cxdx=cotx+C2。
9.∫secxtanxdx=secx+C。
10.∫cscxcotxdx=cscx+C。
11.∫axdx=+Clna。
12.[∫f(x)dx]'=f(x)。
13.∫f'(x)dx=f(x)+c。
14.∫d(f(x))=f(x)+c。
15.∫1/(a^2-x^2)dx=(1/2a)ln|(a+x)/(a-x)|+c。
16.∫secxdx=ln|secx+tanx|+c。
17.∫1/(a^2+x^2)dx=1/a*arctan(x/a)+c。
18.∫1/√(a^2-x^2)dx=arcsin(x/a)+c。
19.∫sec^2xdx=tanx+c。
20.∫shxdx=chx+c。
21.∫chxdx=shx+c。
22.∫thxdx=ln(chx)+c。
23.令u=1x2,即∫u=23u+C3312122=3u+C=3(1x)+C12d(1x)2。
24.令u=cosx=2,即∫u=22+C=u+C=cosx+C。
第二个,定义。
不定积分。
设f(x)是函数f(x)的一个原函数,把函数f(x)的所有原函数f(x)+c(c 为任意常数)成为函数f(x)的不定积分,记作,即∫f(x)dx=f(x)+c.其中∫名为积分号,f(x)名为被积函数,x名为积分变量,f(x)dx名为被积式,c名为积分常数,求已知函数不定积分的过程也就是对这个函数进行积分。
注:∫f(x)dx+c1=∫f(x)dx+c2,不能推出c1=c2。
高数考研重要公式一、导数公式1. 常数的导数公式:若y=k (k为常数),则dy/dx=0。
2. 幂函数的导数公式:若y=x^n(n为正整数),则dy/dx=nx^(n-1)。
3. 指数函数的导数公式:若y=a^x(a>0且a≠1),则dy/dx=a^x * ln(a)。
4. 对数函数的导数公式:若y=log_a(x)(a>0且a≠1),则dy/dx=1/(x * ln(a))。
5. 三角函数的导数公式:若y=sin(x),则dy/dx=cos(x)。
若y=cos(x),则dy/dx=-sin(x)。
若y=tan(x),则dy/dx=sec^2(x)。
若y=cot(x),则dy/dx=-csc^2(x)。
若y=sec(x),则dy/dx=sec(x) * tan(x)。
若y=csc(x),则dy/dx=-csc(x) * cot(x)。
二、积分公式1. 常数的积分公式:∫k dx=kx+C (C为积分常数)。
2. 幂函数的积分公式:∫x^n dx = x^(n+1)/(n+1) + C (n≠-1,C为积分常数)。
3. 指数函数与对数函数的积分公式:∫a^x dx = a^x / ln(a) + C (a>0且a≠1,C为积分常数)。
∫1/x dx = ln|x| + C (C为积分常数)。
4. 三角函数的积分公式:∫sin(x) dx = -cos(x) + C (C为积分常数)。
∫cos(x) dx = sin(x) + C (C为积分常数)。
三、极限公式1. 基本极限:lim(x→∞) [1+1/x]^x = elim(x→0) sin(x)/x = 1lim(x→0) (cos(x) - 1)/x = 02. 已知极限的运算法则:lim(x→a) [f(x)±g(x)] = lim(x→a) f(x) ± lim(x→a) g(x)lim(x→a) [f(x)g(x)] = lim(x→a) f(x) * lim(x→a) g(x)lim(x→a) [f(x)/g(x)] = lim(x→a) f(x) / lim(x→a) g(x) (其中lim(x→a) g(x) ≠ 0)3. 其他常用极限:lim(x→∞) [1 + 1/n]^n = elim(x→0) (e^x - 1)/x = 1l im(x→0) (a^x - 1)/x = ln(a) (a>0且a≠1)四、级数公式1. 等比级数求和公式:若|q|<1,∑(n=0→∞) ar^n=a/(1-r),其中a为首项,r为公比。
凯程考研历史悠久,专注考研,科学应试,严格管理,成就学员!考研数学:高数重要公式总结(基本积分表)考研数学中公式的理解、记忆是最基础的,其次才能针对具体题型进行基础知识运用、正确解答。
凯程小编总结了高数中的重要公式,希望能帮助考研生更好的复习。
其实,考研数学大多题目考查的还是基础知识的运用,难题异题并不多,只要大家都细心、耐心,都能取得不错的成绩。
考研生加油哦!凯程考研历史悠久,专注考研,科学应试,严格管理,成就学员!凯程考研:凯程考研成立于2005年,具有悠久的考研辅导历史,国内首家全日制集训机构考研,一直从事高端全日制辅导,由李海洋教授、张鑫教授、卢营教授、王洋教授、杨武金教授、张释然教授、索玉柱教授、方浩教授等一批高级考研教研队伍组成,为学员全程高质量授课、答疑、测试、督导、报考指导、方法指导、联系导师、复试等全方位的考研服务。
凯程考研的宗旨:让学习成为一种习惯;凯程考研的价值观:凯旋归来,前程万里;信念:让每个学员都有好最好的归宿;使命:完善全新的教育模式,做中国最专业的考研辅导机构;激情:永不言弃,乐观向上;敬业:以专业的态度做非凡的事业;服务:以学员的前途为已任,为学员提供高效、专业的服务,团队合作,为学员服务,为学员引路。
特别说明:凯程学员经验谈视频在凯程官方网站有公布,同学们和家长可以查看。
扎扎实实的辅导,真真实实的案例,凯程考研的价值观:凯旋归来,前程万里。
如何选择考研辅导班:在考研准备的过程中,会遇到不少困难,尤其对于跨专业考生的专业课来说,通过报辅导班来弥补自己复习的不足,可以大大提高复习效率,节省复习时间,大家可以通过以下几个方面来考察辅导班,或许能帮你找到适合你的辅导班。
师资力量:师资力量是考察辅导班的首要因素,考生可以针对辅导名师的辅导年限、辅导经凯程考研历史悠久,专注考研,科学应试,严格管理,成就学员!验、历年辅导效果、学员评价等因素进行综合评价,询问往届学长然后选择。
判断师资力量关键在于综合实力,因为任何一门课程,都不是由一、两个教师包到底的,是一批教师配合的结果。
还要深入了解教师的学术背景、资料著述成就、辅导成就等。
凯程考研名师云集,李海洋、张鑫教授、方浩教授、卢营教授、孙浩教授等一大批名师在凯程授课。
而有的机构只是很普通的老师授课,对知识点把握和命题方向,欠缺火候。
对该专业有辅导历史:必须对该专业深刻理解,才能深入辅导学员考取该校。
在考研辅导班中,从来见过如此辉煌的成绩:凯程教育拿下2015五道口金融学院状元,考取五道口15人,清华经管金融硕士10人,人大金融硕士15个,中财和贸大金融硕士合计20人,北师大教育学7人,会计硕士保录班考取30人,翻译硕士接近20人,中传状元王园璐、郑家威都是来自凯程,法学方面,凯程在人大、北大、贸大、政法、武汉大学、公安大学等院校斩获多个法学和法硕状元,更多专业成绩请查看凯程网站。
在凯程官方网站的光荣榜,成功学员经验谈视频特别多,都是凯程战绩的最好证明。
对于如此高的成绩,凯程集训营班主任邢老师说,凯程如此优异的成绩,是与我们凯程严格的管理,全方位的辅导是分不开的,很多学生本科都不是名校,某些学生来自二本三本甚至不知名的院校,还有很多是工作了多年才回来考的,大多数是跨专业考研,他们的难度大,竞争激烈,没有严格的训练和同学们的刻苦学习,是很难达到优异的成绩。
最好的办法是直接和凯程老师详细沟通一下就清楚了。
凯程考研历年战绩辉煌,成就显著!在考研辅导班中,从来见过如此辉煌的成绩:凯程教育拿下国内最高学府清华大学五道口金融学院金融硕士29人,占五道口金融学院录取总人数的约50%,五道口金融学院历年状元均出自凯程.例如,2014年状元武玄宇,2013年状元李少华,2012年状元马佳伟,2011年状元陈玉倩;考入北大经院、人大、中财、外经贸、复旦、上财、上交、社科院、中科院金融硕士的同学更是喜报连连,总计达到150人以上,此外,还有考入北大清华人大法硕的张博等10人,北大法学考研王少棠,北大法学经济法状元王yuheng等5人成功考入北大法学院,另外有数10人考入人大贸大政法公安大学等名校法学院。
北师大教育学和全日制教育硕士辅导班学员考入15人,创造了历年最高成绩。
会计硕士保录班考取30多人,中传郑家威勇夺中传新闻传播硕士状元,王园璐勇夺中传全日制艺术硕士状元,(他们的经验谈视频在凯程官方网站有公布,随时可以查看播放。
)对于如此优异的成绩,凯程辅导班班主任邢老师说,凯程如此优异的成绩,是与我们凯程严格的管理,全方位的辅导是分不开的,很多学生本科都不是名校,某些学生来自二本三本甚至不知名的院校,还有很多是工作了多年才回来考的,大多数是跨专业考研,他们的难度大,竞争激烈,没有严格的训练和同学们的刻苦学习,是很难达到优异的成绩。
考研路上,拼搏和坚持,是我们成功的必备要素。
凯程考研历史悠久,专注考研,科学应试,严格管理,成就学员!王少棠本科学校:南开大学法学录取学校:北大法学国际经济法方向第一名总分:380+在来到凯程辅导之前,王少棠已经决定了要拼搏北大法学院,他有自己的理想,对法学的痴迷的追求,决定到最高学府北大进行深造,他的北大的梦想一直激励着他前进,在凯程辅导班的每一刻,他都认真听课、与老师沟通,每一个重点知识点都不放过,对于少棠来说,无疑是无比高兴的是,圆梦北大法学院。
在复试之后,王少棠与凯程老师进行了深入沟通,讲解了自己的考研经验,与广大考北大法学,人大法学、贸大法学等同学们进行了交流,录制为经验谈,在凯程官方网站能够看到。
王少棠参加的是凯程考研辅导班,回忆自己的辅导班的经历,他说:“这是我一辈子也许学习最投入、最踏实的地方,我有明确的复习目标,有老师制定的学习计划、有生活老师、班主任、授课老师的管理,每天6点半就起床了,然后是吃早餐,进教室里早读,8点开始单词与长难句测试,9点开始上课,中午半小时吃饭,然后又回到教室里学习了,夏天比较困了就在桌子上睡一会,下午接着上课,晚上自习、测试、答疑之类,晚上11点30熄灯睡觉。
”这样的生活,贯穿了我在辅导班的整个过程,王少棠对他的北大梦想是如此的坚持,无疑,让他忘记了在考研路上的辛苦,只有坚持的信念,只有对梦想的勇敢追求。
龚辉堂本科西北工业大学物理考入:五道口金融学院金融硕士(原中国人民银行研究生部)作为跨地区跨校跨专业的三凯程生,在凯程辅导班里经常遇到的,五道口金融学院本身公平的的传统,让他对五道口充满了向往,所以他来到了凯程辅导班,在这里严格的训练,近乎严苛的要求,使他一个跨专业的学生,成功考入金融界的黄埔军校,成为五道口金融学院一名优秀的学生,实现了人生的重大转折。
在凯程考研辅导班,虽然学习很辛苦,但是每天他都能感觉到自己在进步,改变了自己以往在大学期间散漫的学习状态,进入了高强度学习状态。
在这里很多课程让他收获巨大,例如公司理财老师,推理演算,非常纯熟到位,也是每个学生学习的榜样,公司理财老师带过很多学生,考的非常好。
在学习过程中,拿下了这块知识,去食堂午餐时候加一块鸡翅,经常用小小的奖励激励自己,寻找学习的乐趣。
在辅导班里,学习成绩显著上升。
在暑期,辅导班的课程排得非常满,公共课、专业课、晚自习、答疑、测试,一天至少12个小时及以上。
但是他们仍然特别认真,在这个没有任何干扰的考研氛围里,充实地学习。
在经过暑期严格的训练之后,龚对自己考入五道口更有信心了。
在与老师沟通之后,最终确定了五道口金融学院作为自己最后的抉择,决定之后,让他更加发奋努力。
五道口成绩公布,龚辉堂成功了。
这个封闭的考研集训,优秀的学习氛围,让他感觉有凯程考研历史悠久,专注考研,科学应试,严格管理,成就学员!质的飞跃,成功的喜悦四处飞扬。
另外,在去年,石继华,本科安徽大学,成功考入五道口金融学院,也就是说,我们只要努力,方向正确,就能取得优异的成绩。
师弟师妹们加油,五道口、人大、中财、贸大这些名校等着你来。
黄同学(女生)本科院校:中国青年政治学院报考院校:中国人民大学金融硕士总分:跨专业380+初试成绩非常理想,离不开老师的辛勤辅导,离不开班主任的鼓励,离不开她的努力,离不开所有关心她的人,圆梦人大金融硕士,实现了跨专业跨校的金融梦。
黄同学是一个非常腼腆的女孩子,英语基础算是中等,专业课是0基础开始复习,刚刚开始有点吃力,但是随着课程的展开,完全能够跟上了节奏。
初试成绩公布下来,虽然考的不错,班主任老师没有放松对复试的辅导,确保万无一失,拿到录取通知书才是最终的尘埃落地,开始了紧张的复试指导,反复的模拟训练,常见问题、礼仪训练,专业知识训练,每一个细节都训练好之后,班主任终于放心地让她去复试,果然,她以高分顺利通过复试,拿到了录取通知书。
这是所有凯程辅导班班主任、授课老师、生活老师的成功。
张博,从山东理工大学考入北京大学法律硕士,我复习的比较晚,很庆幸选择了凯程,法硕老师讲的很到位,我复习起来减轻了不少负担。
愿大家在考研中马到成功,也祝愿凯程越办越好。
张亚婷,海南师范大学小学数学专业,考入了北京师范大学教育学部课程与教学论方向,成功实现了自己的北师大梦想。
特别感谢凯程的徐影老师全方面的指导。
孙川川,西南大学考入中国传媒大学艺术硕士,播音主持专业。
在考研辅导班,进步飞快,不受其他打扰,能够全心全意投入到学习中。
凯程老师也很负责,真的很感谢他们。
在凯程考研辅导班,他们在一起创造了一个又一个奇迹。
从河南理工大学考入人大会计硕士的李梦说:考取人大,是我的梦想,我一直努力,肯定能够成功的,只要我们不放弃,不抛弃,并且一直在努力前进创造成功的条件,每个人都能够成功。
正确的方法+不懈的努力+良好的环境+严格的管理=成功。
我相信,每个人都能够成功。