文科高等数学_周明儒_高数二版习题答案与提示
- 格式:pdf
- 大小:119.87 KB
- 文档页数:5
全国卷Ⅱ(文科)第Ⅰ卷一、选择题(本大题共12小题,每小题5分,共60分.在每小题给出的四个选项中,只有一项是符合题目要求的)1.设集合A ={1,2,3},B ={2,3,4},则A ∪B =( ) A .{1,2,3,4} B .{1,2,3} C .{2,3,4} D .{1,3,4}解析:依题意得A ∪B ={1,2,3,4},选A. 答案:A2.(1+i)(2+i)=( ) A .1-i B .1+3i C .3+i D .3+3i解析:依题意得(1+i)(2+i)=2+i 2+3i =1+3i ,选B. 答案:B3.函数f (x )=sin(2x +π3)的最小正周期为( )A .4πB .2πC .π D.π2解析:依题意得,函数f (x )=sin(2x +π3)的最小正周期T =2π2=π,选C.答案:C4.设非零向量a ,b 满足|a +b |=|a -b |,则( ) A .a ⊥b B .|a |=|b | C .a ∥b D .|a |>|b |解析:依题意得(a +b )2-(a -b )2=0,即4a ·b =0,a ⊥b ,选A. 答案:A5.若a >1,则双曲线x 2a 2-y 2=1的离心率的取值范围是( )A .(2,+∞)B .(2,2)C .(1,2)D .(1,2)解析:依题意得,双曲线的离心率e = 1+1a2,因为a >1,所以e ∈(1,2),选C.答案:C6.如图,网格纸上小正方形的边长为1,粗实线画出的是某几何体的三视图,该几何体由一平面将一圆柱截去一部分后所得,则该几何体的体积为( )A .90πB .63πC .42πD .36π解析:依题意,题中的几何体是用一个平面将一个底面半径为3、高为10的圆柱截去一部分后所剩余的部分,可在该几何体的上方拼接一个与之完全相同的几何体,从而形成一个底面半径为3、高为10+4=14的圆柱,因此该几何体的体积等于12×(π×32)×14=63π,选B.答案:B7.设x ,y 满足约束条件⎩⎪⎨⎪⎧2x +3y -3≤0,2x -3y +3≥0,y +3≥0,则z =2x +y 的最小值是( )A .-15B .-9C .1D .9解析:依题意,在坐标平面内画出不等式组表示的平面区域及直线2x +y =0(图略),平移直线y =-2x ,当直线经过点(-6,-3)时,z =2x +y 取得最小值,z min =2×(-6)+(-3)=-15,选A.答案:A8.函数f (x )=ln(x 2-2x -8)的单调递增区间是( ) A .(-∞,-2) B .(-∞,1) C .(1,+∞) D .(4,+∞)解析:由x 2-2x -8>0,得x <-2或x >4.因此,函数f (x )=ln(x 2-2x -8)的定义域是(-∞,-2)∪(4,+∞).注意到函数y =x 2-2x -8在(4,+∞)上单调递增,由复合函数的单调性知,f (x )=ln(x 2-2x -8)的单调递增区间是(4,+∞),选D.答案:D9.甲、乙、丙、丁四位同学一起去向老师询问成语竞赛的成绩.老师说:你们四人中有2位优秀,2位良好,我现在给甲看乙、丙的成绩,给乙看丙的成绩,给丁看甲的成绩.看后甲对大家说:我还是不知道我的成绩.根据以上信息,则()A.乙可以知道四人的成绩B.丁可以知道四人的成绩C.乙、丁可以知道对方的成绩D.乙、丁可以知道自己的成绩解析:依题意,由于甲看后还是不知道自己的成绩,说明乙、丙两人必是一个优秀、一个良好,则甲、丁两人必是一个优秀、一个良好,因此乙看了丙的成绩就可以知道自己的成绩,丁看了甲的成绩就清楚自己的成绩,综合以上信息可知,乙、丁可以知道自己的成绩,选D.答案:D10.执行如图所示的程序框图,如果输入的a =-1,则输出的S =( ) A .2 B .3 C .4 D .5解析:依题意,当输入的a =-1时,执行程序框图,进行第一次循环:S =0+(-1)×1=-1,a =1,K =2;进行第二次循环:S =-1+1×2=1,a =-1,K =3;进行第三次循环:S =1+(-1)×3=-2,a =1,K =4;进行第四次循环:S =-2+1×4=2,a =-1,K =5;进行第五次循环:S =2+(-1)×5=-3,a =1,K =6;进行第六次循环:S =-3+1×6=3,a =-1,K =7.此时K =7>6,结束循环,输出的S =3,选B.答案:B11.从分别写有1,2,3,4,5的5张卡片中随机抽取1张,放回后再随机抽取1张,则抽得的第一张卡片上的数大于第二张卡片上的数的概率为( )A.110B.15 C.310 D.25解析:依题意,记两次取得卡片上的数字依次为a ,b ,则一共有25个不同的数组(a ,b ),其中满足a >b 的数组共有10个,分别为(2,1),(3,1),(3,2),(4,1),(4,2),(4,3),(5,1),(5,2),(5,3),(5,4),因此所求的概率为1025=25,选D.答案:D12.过抛物线C :y 2=4x 的焦点F ,且斜率为3的直线交C 于点M (M 在x 轴的上方),l 为C 的准线,点N 在l 上,且MN ⊥l ,则M 到直线NF 的距离为( )A. 5 B .2 2C .2 3D .3 3 解析:依题意,得F (1,0), 则直线FM 的方程是y =3(x -1).由⎩⎪⎨⎪⎧y =3(x -1),y 2=4x ,得x =13或x =3.由M 在x 轴的上方,得M (3,23),由MN ⊥l ,得|MN |=|MF |=3+1=4,又∠NMF 等于直线FM 的倾斜角,即∠NMF =60°,因此△MNF 是边长为4的等边三角形,点M 到直线NF 的距离为4×32=23,选C. 答案:C第Ⅱ卷本卷包括必考题和选考题两部分.第13~21题为必考题,每个试题考生都必须作答.第22~23题为选考题,考生根据要求作答.二、填空题(本大题共4小题,每小题5分,共20分.把答案填在题中横线上) 13.函数f (x )=2cos x +sin x 的最大值为________. 解析:依题意,得f (x )=5sin(x +θ)(其中sin θ=25,cos θ=15).因此函数f (x )的最大值是 5.答案: 514.已知函数f (x )是定义在R 上的奇函数,当x ∈(-∞,0)时,f (x )=2x 3+x 2,则f (2)=________.解析:依题意得,f (-2)=2×(-2)3+(-2)2=-12,由函数f (x )是奇函数,得f (2)=-f (-2)=12.答案:1215.长方体的长、宽、高分别为3、2、1,其顶点都在球O 的球面上,则球O 的表面积为________.解析:依题意得,长方体的体对角线长为32+22+12=14,记长方体的外接球的半径为R ,则有2R =14,R =142,因此球O 的表面积等于4πR 2=14π. 答案:14π16.△ABC 的内角A ,B ,C 的对边分别为a ,b ,c ,若2b cos B =a cos C +c cos A ,则B =________.解析:依题意得2b ×a 2+c 2-b 22ac =a ×a 2+b 2-c 22ab +c ×b 2+c 2-a 22bc ,即a 2+c 2-b 2=ac ,所以2ac cos B =ac >0,cos B =12.又0<B <π,所以B =π3.答案:π3三、解答题(解答应写出文字说明,证明过程或演算步骤)17.(本小题满分12分)已知等差数列{a n }的前n 项和为S n ,等比数列{b n }的前n 项和为T n ,a 1=-1,b 1=1,a 2+b 2=2.(1)若a 3+b 3=5,求{b n }的通项公式; (2)若T 3=21,求S 3.解析:设{a n }的公差为d ,{b n }的公比为q , 则a n =-1+(n -1)d ,b n =q n -1. 由a 2+b 2=2得d +q =3. ① (1)由a 3+b 3=5得2d +q 2=6. ②联立①和②解得⎩⎪⎨⎪⎧ d =3,q =0(舍去),⎩⎪⎨⎪⎧d =1,q =2.因此{b n }的通项公式为b n =2n -1. (2)由b 1=1,T 3=21得q 2+q -20=0, 解得q =-5,q =4.当q =-5时,由①得d =8,则S 3=21. 当q =4时,由①得d =-1,则S 3=-6. 18.(本小题满分12分)如图,四棱锥P ABCD 中,侧面P AD 为等边三角形且垂直于底面ABCD ,AB =BC =12AD ,∠BAD =∠ABC =90°.(1)证明:直线BC ∥平面P AD ;(2)若△PCD 的面积为27,求四棱锥P ABCD 的体积.解析:(1)证明:在平面ABCD 内,因为∠BAD =∠ABC =90°,所以BC ∥AD . 又BC ⊄平面P AD ,AD ⊂平面P AD ,故BC ∥平面P AD .(2)取AD 的中点M ,连接PM ,CM .由AB =BC =12AD 及BC ∥AD ,∠ABC =90°得四边形ABCM 为正方形,则CM ⊥AD .因为侧面P AD 为等边三角形且垂直于底面ABCD ,平面P AD ∩平面ABCD =AD ,所以PM ⊥AD ,PM ⊥底面ABCD .因为CM ⊂底面ABCD ,所以PM ⊥CM .设BC =x ,则CM =x ,CD =2x ,PM =3x ,PC =PD =2x . 取CD 的中点N ,连接PN ,则PN ⊥CD ,所以PN =142x . 因为△PCD 的面积为27, 所以12×2x ×142x =27,解得x =-2(舍去)或x =2.于是AB =BC =2,AD =4,PM =2 3.所以四棱锥P ABCD 的体积V =13×2×(2+4)2×23=4 3.19.(本小题满分12分)海水养殖场进行某水产品的新、旧网箱养殖方法的产量对比,收获时各随机抽取了100个网箱,测量各箱水产品的产量(单位:kg),其频率分布直方图如下:旧养殖法新养殖法(1)记A 表示事件“旧养殖法的箱产量低于50 kg ”,估计A 的概率;(2)填写下面列联表,并根据列联表判断是否有99%的把握认为箱产量与养殖方法有关;(3) 附:,K 2=n (ad -bc )2(a +b )(c +d )(a +c )(b +d ).解析:(1)旧养殖法的箱产量低于50 kg 的频率为 (0.012+0.014+0.024+0.034+0.040)×5=0.62. 因此,事件A 的概率估计值为0.62. (2)根据箱产量的频率分布直方图得列联表K 2=200×(62×66-34×38)100×100×96×104≈15.705.由于15.705>6.635,故有99%的把握认为箱产量与养殖方法有关.(3)箱产量的频率分布直方图表明:新养殖法的箱产量平均值(或中位数)在50 kg 到55 kg之间,旧养殖法的箱产量平均值(或中位数)在45 kg 到50 kg 之间,且新养殖法的箱产量分布集中程度较旧养殖法的箱产量分布集中程度高,因此,可以认为新养殖法的箱产量较高且稳定,从而新养殖法优于旧养殖法.20.(本小题满分12分)设O 为坐标原点,动点M 在椭圆C :x 22+y 2=1上,过M 作x轴的垂线,垂足为N ,点P 满足NP →= 2 NM →.(1)求点P 的轨迹方程;(2)设点Q 在直线x =-3上,且OP →·PQ →=1,证明:过点P 且垂直于OQ 的直线l 过C 的左焦点F .解析:(1)设P (x ,y ),M (x 0,y 0),则N (x 0,0),NP →=(x -x 0,y ),NM →=(0,y 0), 由NP →= 2 NM →得x 0=x ,y 0=22y .因为M (x 0,y 0)在C 上,所以x 22+y 22=1.因此点P 的轨迹方程为x 2+y 2=2.(2)证明:由题意知F (-1,0).设Q (-3,t ),P (m ,n ),则 OQ →=(-3,t ),PF →=(-1-m ,-n ), OQ →·PF →=3+3m -tn ,OP →=(m ,n ),PQ →=(-3-m ,t -n ),由OP →·PQ →=1得-3m -m 2+tn -n 2=1,又由(1)知m 2+n 2=2,故3+3m -tn =0. 所以OQ →·PF →=0,即OQ →⊥PF →,又过点P 存在唯一直线垂直于OQ ,所以过点P 且垂直于OQ 的直线l 过C 的左焦点F .21.(本小题满分12分)设函数f (x )=(1-x 2)e x . (1)讨论f (x )的单调性;(2)当x ≥0时,f (x )≤ax +1,求a 的取值范围. 解析:(1)f ′(x )=(1-2x -x 2)e x .令f ′(x )=0得x =-1-2或x =-1+ 2. 当x ∈(-∞,-1-2)时,f ′(x )<0;当x ∈(-1-2,-1+2)时,f ′(x )>0; 当x ∈(-1+2,+∞)时,f ′(x )<0.所以f (x )在(-∞,-1-2),(-1+2,+∞)单调递减,在(-1-2,-1+2)单调递增.(2)f (x )=(1+x )(1-x )e x .当a ≥1时,设函数h (x )=(1-x )e x ,h ′(x )=-x e x <0(x >0),因此h (x )在[0,+∞)单调递减,而h (0)=1,故h (x )≤1,所以f (x )=(x +1)h (x )≤x +1≤ax +1.当0<a <1时,设函数g (x )=e x -x -1,g ′(x )=e x -1>0(x >0),所以g (x )在[0,+∞)单调递增,而g (0)=0,故e x ≥x +1.当0<x <1时,f (x )>(1-x )(1+x )2,(1-x )(1+x )2-ax -1=x (1-a -x -x 2),取x 0=5-4a -12,则x 0∈(0,1),(1-x 0)(1+x 0)2-ax 0-1=0,故f (x 0)>ax 0+1. 当a ≤0时,取x 0=5-12,则x 0∈(0,1),f (x 0)>(1-x 0)(1+x 0)2=1≥ax 0+1.综上,a 的取值范围是[1,+∞).请考生在第22~23题中任选一题作答,如果多做,则按所做的第一题计分.作答时请写清题号.22.(本小题满分10分)选修4—4:坐标系与参数方程在直角坐标系xOy 中,以坐标原点为极点,x 轴正半轴为极轴建立极坐标系,曲线C 1的极坐标方程为ρcos θ=4.(1)M 为曲线C 1上的动点,点P 在线段OM 上,且满足|OM |·|OP |=16,求点P 的轨迹C 2的直角坐标方程;(2)设点A 的极坐标为(2,π3),点B 在曲线C 2上,求△OAB 面积的最大值.解析:(1)设P 的极坐标为(ρ,θ)(ρ>0),M 的极坐标为(ρ1,θ)(ρ1>0). 由题设知|OP |=ρ,|OM |=ρ1=4cos θ. 由|OM |·|OP |=16得C 2的极坐标方程ρ=4cos θ(ρ>0). 因此C 2的直角坐标方程为(x -2)2+y 2=4(x ≠0). (2)设点B 的极坐标为(ρB ,α)(ρB >0).2017年普通高等学校招生全国统一考试文科数学Ⅱ卷(大儒诚信教育资源) 由题设知|OA |=2,ρB =4cos α,于是△OAB 面积S =12|OA |·ρB ·sin ∠AOB =4cos α·|sin(α-π3)| =2|sin(2α-π3)-32| ≤2+ 3.当α=-π12时,S 取得最大值2+ 3. 所以△OAB 面积的最大值为2+ 3.23.(本小题满分10分)选修4—5:不等式选讲已知a >0,b >0,a 3+b 3=2.证明:(1)(a +b )(a 5+b 5)≥4;(2)a +b ≤2.证明:(1)(a +b )(a 5+b 5)=a 6+ab 5+a 5b +b 6=(a 3+b 3)2-2a 3b 3+ab (a 4+b 4)=4+ab (a 2-b 2)2≥4.(2)因为(a +b )3=a 3+3a 2b +3ab 2+b 3=2+3ab (a +b )≤2+3(a +b )24(a +b ) =2+3(a +b )34, 所以(a +b )3≤8,因此a +b ≤2.。
高等数学二教材答案
在高等数学二这门课程中,教材中的习题和答案对学生的学习非常
重要。
通过解答教材中的问题,学生可以巩固知识、提高解题能力,
并更好地理解课程的重点。
下面是我为您整理的高等数学二教材答案,希望对您的学习有所帮助。
第一章:多元函数微分学
1.1 函数的极限与连续
1.2 偏导数与全微分
1.3 多元复合函数的导数
1.4 隐函数及其导数
1.5 微分中值定理及其应用
第二章:重积分
2.1 二重积分的概念与性质
2.2 二重积分的计算方法
2.3 三重积分的概念与性质
2.4 三重积分的计算方法
2.5 曲线曲面积分的计算方法
第三章:曲线积分与曲面积分
3.1 曲线积分的概念与性质
3.2 第一类曲线积分和第二类曲线积分的关系3.3 曲线积分的计算方法
3.4 曲面积分的概念与性质
3.5 曲面积分的计算方法
第四章:向量场的微积分
4.1 向量场及其积分
4.2 格林公式
4.3 散度与旋度
4.4 散度定理和斯托克斯定理
4.5 保守场与调和场
第五章:常微分方程
5.1 常微分方程的基本概念
5.2 一阶常微分方程的解法
5.3 高阶常微分方程的解法
5.4 线性方程组的解法
5.5 常微分方程的应用
以上是高等数学二教材中各章节知识点的答案和解析。
通过仔细阅读教材和解答,希望您能更好地理解和掌握数学知识,并能够顺利完成习题。
在解题过程中,建议您思路清晰,注意计算细节,同时注重理论与实际应用的结合。
希望这些答案对您的学习有所帮助。
祝您学习进步!。
第一章 矩阵与行列式习题解答练习1.1 矩阵及其运算1. 已知线性变换x y y y x y y y x y y y 1123212331232235323=++=++=++⎧⎨⎪⎩⎪①②③, 求从变量x 1,x 2,x 3到变量y 1,y 2,y 3的线性变换。
解:由3x (1)–2×(2)得:4y 2–7y 3=3x 1–2x 2 ④ (3)–(2)得:y 2–2y 3=x 3–x 2 ⑤ (4)–4×(5)得:y 3=3x 1+2x 2–4x 3类似运算可得:y 1=–7x 1–4x 2+9x 3, y 2=6x 1+3x 2–7x 3 故由变量x 1,x 2,x 3到变量y 1,y 2,y 3的线性变换为y x x x y x x x y x x x112321233123749637324=--+=+-=+-⎧⎨⎪⎩⎪ 2. 已知两个线性变换x y y x y y y x y y y11321233123223245=+=-++=++⎧⎨⎪⎩⎪ y z z y z z y z z112213323323=-+=+=-+⎧⎨⎪⎩⎪ 求从z 1, z 2, z 3到x 1, x 2, x 3的线性变换。
解:将变换2代入变换1可得:x z z z x z z z x z z z1123212331236312491016=-++=-+=--+⎧⎨⎪⎩⎪3. 设A =111111111--⎛⎝⎫⎭⎪⎪⎪,B =123124051--⎛⎝ ⎫⎭⎪⎪⎪,求3AB –2A 及A T B 解:3AB –2A =3111111111--⎛⎝⎫⎭⎪⎪⎪123124051--⎛⎝ ⎫⎭⎪⎪⎪–2111111111--⎛⎝ ⎫⎭⎪⎪⎪ =3058056290-⎛⎝⎫⎭⎪⎪⎪–2111111111--⎛⎝ ⎫⎭⎪⎪⎪=----⎛⎝ ⎫⎭⎪⎪⎪21322217204292 A T B =111111111--⎛⎝⎫⎭⎪⎪⎪123124051--⎛⎝ ⎫⎭⎪⎪⎪=058056290-⎛⎝ ⎫⎭⎪⎪⎪ 4. 解:(1) (35, 6, 49)T , (2) (10) (3) ---⎛⎝⎫⎭⎪⎪⎪241236 (4) 6782056---⎛⎝ ⎫⎭⎪ (5) a x a x a x a x x a x x a x x 111222223332121213132323222+++++5. 设A =1213⎛⎝⎫⎭⎪,B =1012⎛⎝ ⎫⎭⎪,问 (1) AB =BA 吗? (2) (A +B )2=A 2+2AB +B 2吗? (3) (A +B )(A –B )=A 2–B 2吗? 解:AB =1213⎛⎝⎫⎭⎪1012⎛⎝ ⎫⎭⎪=3446⎛⎝ ⎫⎭⎪, BA =1012⎛⎝ ⎫⎭⎪1213⎛⎝ ⎫⎭⎪=1238⎛⎝ ⎫⎭⎪故 AB ≠BA 。
大学文科高等数学教材答案第一章:函数与极限1. 题目一:求函数的极限解答:在数学中,我们经常需要求解函数在某一点的极限。
以函数$f(x)$为例,当$x$无限接近某一实数$a$时,我们想要求出$f(x)$的极限值。
可以表示为:$$\lim_{x\to a}f(x)$$其中,$\lim$代表极限的意思。
对于常见的函数,我们可以用一些基本的极限公式来计算。
2. 题目二:求函数的导数解答:在微积分中,函数的导数是描述函数变化率的重要工具。
对于函数$f(x)$,它的导数表示为$f'(x)$或者$\frac{df(x)}{dx}$。
导数的计算可以使用多种方法,如求导法则、链式法则等。
3. 题目三:求函数的积分解答:函数的积分是导数的逆运算,可以用于求解函数曲线下的面积、求解定积分等问题。
对于函数$f(x)$,它的不定积分表示为$\int f(x)dx$,定积分表示为$\int_{a}^{b}f(x)dx$。
第二章:微分学1. 题目一:求解微分方程解答:微分方程是描述自变量和其导数之间关系的方程。
常见的微分方程类型包括常微分方程和偏微分方程。
求解微分方程可以使用分离变量法、常数变易法、欧拉法等方法。
2. 题目二:泰勒展开解答:泰勒展开是一种将函数在某一点附近展开成无穷级数的方法。
通常,我们可以使用泰勒展开来近似计算函数的值。
对于函数$f(x)$,其在$x=a$处的泰勒展开公式为:$$f(x)=f(a)+f'(a)(x-a)+\frac{f''(a)}{2!}(x-a)^2+\cdots+\frac{f^{(n)}(a)}{n!}(x-a)^n+R_n(x)$$其中,$f'(a)$表示$f(x)$在$x=a$处的导数,$R_n(x)$为泰勒余项。
第三章:积分学1. 题目一:定积分的计算解答:定积分是对函数在一定区间上的积分运算。
求解定积分可以使用简单的几何方法,也可以使用牛顿-莱布尼茨公式、换元积分法等方法。
高等数学2二课后习题答案高等数学2二课后习题答案高等数学是大学数学的重要组成部分,对于理工科学生来说尤为重要。
而高等数学2二作为高等数学的延伸和深化,对于学生来说难度也相应增加。
在学习过程中,课后习题是巩固知识、提高能力的重要途径。
本文将为大家提供高等数学2二课后习题的答案,希望对大家的学习有所帮助。
一、函数极限与连续1. 设函数f(x) = 3x^2 + 2x - 1,求lim(x→2)f(x)的值。
解:将x代入函数f(x),得到f(2) = 3(2)^2 + 2(2) - 1 = 17。
所以lim(x→2)f(x) = 17。
2. 已知函数f(x) = (x^2 + 1) / (x - 1),求lim(x→1)f(x)的值。
解:将x代入函数f(x),得到f(1) = (1^2 + 1) / (1 - 1) = 2 / 0。
由于0不能作为分母,所以lim(x→1)f(x)不存在。
3. 设函数f(x) = √(x + 1),求lim(x→∞)f(x)的值。
解:将x代入函数f(x),得到f(∞) = √(∞ + 1) = ∞。
所以lim(x→∞)f(x) = ∞。
二、导数与微分1. 求函数f(x) = x^3 - 3x^2 + 2x的导数。
解:对函数f(x)求导,得到f'(x) = 3x^2 - 6x + 2。
2. 求函数f(x) = √x的导数。
解:对函数f(x)求导,得到f'(x) = 1 / (2√x)。
3. 求函数f(x) = e^x的导数。
解:对函数f(x)求导,得到f'(x) = e^x。
三、定积分1. 求函数f(x) = 2x在区间[0, 1]上的定积分。
解:对函数f(x)在区间[0, 1]上进行定积分,得到∫[0, 1]2xdx = [x^2]0^1 = 1。
2. 求函数f(x) = x^2在区间[-1, 1]上的定积分。
解:对函数f(x)在区间[-1, 1]上进行定积分,得到∫[-1, 1]x^2dx = [x^3/3](-1)^1 = 2/3。
高等数学2课后习题答案高等数学2课后习题答案高等数学2作为大学数学课程的一部分,是一门相对较难的课程。
在学习过程中,课后习题是巩固和深化知识的重要手段。
然而,对于许多学生来说,课后习题往往是一个难以逾越的障碍。
因此,为了帮助大家更好地学习和掌握高等数学2,本文将提供一些常见习题的答案及解析。
一、极限与连续1. 计算极限这类题目主要考察对极限的计算能力。
在计算过程中,我们需要运用一些基本的极限性质和运算法则。
例如,当求解形如lim(x→a) (f(x) + g(x))时,我们可以利用极限的加法法则,将其拆分为lim(x→a) f(x) + lim(x→a) g(x)。
2. 判断函数的连续性对于连续性的判断,我们需要掌握连续函数的定义和连续函数的性质。
例如,根据连续函数的定义,如果一个函数在某个点a处连续,那么lim(x→a) f(x) = f(a),这是判断函数连续性的一个重要条件。
二、导数与微分1. 求导函数求导函数是导数与微分章节的重点内容之一。
在求导函数时,我们需要掌握导数的基本定义和运算法则。
例如,当求解f(x) = x^n的导数时,我们可以利用幂函数的导数公式,即f'(x) = n*x^(n-1)。
2. 利用导数求解问题在实际问题中,我们常常需要利用导数来求解一些相关的问题。
例如,求解函数的极值点、判断函数的单调性等。
在这类题目中,我们需要将问题转化为数学模型,然后利用导数的性质来求解。
三、定积分1. 计算定积分计算定积分是定积分章节的核心内容之一。
在计算过程中,我们需要掌握定积分的基本定义和运算法则。
例如,当计算∫[a,b] f(x)dx时,我们可以利用定积分的性质,将其转化为求解不定积分的问题。
2. 利用定积分解决几何问题定积分在解决几何问题中有着广泛的应用。
例如,我们可以利用定积分来计算曲线与坐标轴所围成的面积、计算曲线的弧长等。
在这类题目中,我们需要将几何问题转化为数学模型,然后利用定积分的性质来求解。
普通高等学校招生全国统一考试文科数学(全国Ⅱ卷)本试卷分第I卷(选择题)和第Ⅱ卷(非选择题)两部分。
第I卷1至2页。
第Ⅱ卷3至4页。
考试结束后,将本试卷和答题卡一并交回。
第I卷注意事项: 1.答题前,考生在答题卡上务必用黑色签字笔将自己的姓名、准考号填写清楚,并贴好条形码。
请认真核准条形码上的准考证号、姓名和科目。
2.每小题选出答案后,用2B铅笔把答题卡上对应题目的答案标号涂黑,如需改动,用橡皮擦干净后,再选涂其他答案标号,在试题卷上作答无效。
3.本卷共12小题,每小题5分,共60分。
在每小题给出的四个选项中,只有一项是符合题目要求的。
参考公式 如果事件A、B互斥,那么 球的表面积公式()()()P A B P A P B +=+ 24S R π=如果事件A、B相互独立,那么 其中R 表示球的半径(.)().()P A B P A P B = 球的体积公式343V R π=如果事件A在一次试验中发生的概率是P,那么 其中R 表示球的半径n 次独立重复试验中恰好发生k 次的概率是()(1)k kn kn n P k C P P -=-一.选择题(1)已知向量a =(4,2),向量b =(x ,3),且a //b ,则x = (A )9 (B)6 (C)5 (D)3 (2)已知集合{}2{|3},|log 1M x x N x x =<=>,则M N =(A )∅ (B ){}|03x x <<(C ){}|13x x <<(D ){}|23x x <<(3)函数sin 2cos 2y x x =的最小正周期是(A )2π (B )4π (C )4π (D )2π(4)如果函数()y f x =的图像与函数32y x '=-的图像关于坐标原点对称,则()y f x =的A'B'A B βα表达式为 (A )23y x =- (B )23y x =+(C )23y x =-+ (D )23y x =--(5)已知ABC ∆的顶点B 、C 在椭圆2213x y +=上,顶点A 是椭圆的一个焦点,且椭圆的另外一个焦点在BC 边上,则ABC ∆的周长是(A ) (B )6(C ) (D )12(6)已知等差数列{}n a 中,247,15a a ==,则前10项的和10S = (A )100 (B)210 (C)380 (D)400(7)如图,平面α⊥平面β,,,A B AB αβ∈∈与两平面α、β所成的角分别为4π和6π。
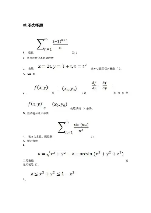
单项选择题1、级数为( )B、条件收敛但不绝对收敛2、曲线在t=2处的切向量是()。
A、(2,1, 4)3、在)处均存在是在处连续的()条件。
D、既不充分也不必要4、设a为常数,则级数( )A、绝对收敛5、二元函数的定义域是()。
A、6、方程表示的曲面是()。
D、球面7、有且仅有一个间断点的函数是()。
B、8、下列级数中,收敛级数是()A、9、按牛顿冷却定律:物体在空气中冷却的速度与物体的温度和空气的温度之差成正比。
已知空气温度为300C,而物体在15分钟内从1000C冷却到700C,求物体冷却到400C所需的时间为()分钟。
C、5210、平面4y-7z=0的位置特点是()D、通过x轴11、若满足,则交错级数。
C、可收敛也可发散12、下列无穷级数中发散的是()。
C、13、下列说法正确的是()。
C、两向量之间的夹角范围在14、级数收敛,则参数a满足条件()A、a>e15、下列方程中( )是表示母线平行于y轴的双曲柱面。
D、16、求点(1,2,3)到平面的距离是()。
D、17、以下各方程以为解的是()。
A、18、,且收敛,则( )。
A、绝对收敛19、当k =()时,平面与互相垂直。
A、020、设,u=cos x, v=sin x,则=()。
C、121、二元函数的定义域是( )。
A、22、方程x=2在空间表示( )D、与yoz面平行的平面23、设的三个线性无关的解,则该方程的通解为()。
D、24、设和是微分方程的解,则()也是微分方程的解。
D、25、设,当a=()时。
B、26、当D是由()围成的区域时,= 2。
D、|x y|=1,|x-y|=127、(),其中L为直线y = x上从点(0,0)到(1,1)的那一段。
A、28、已知某微分方程的通解和初始条件分别为和,则常数和分别等于()。
A、a,029、设,则以下结果正确的是()。
C、30、设,其中(x>y>0),则=()。
A、31、已知级数的部分和,则该级数的通项为()C、32、总长度为2的一根铁丝,可以围成矩形的最大面积是()。
暨南大学考试试卷参考答案及评分一.填空题(共10小题,每小题2分,共20分)1.函数22ln(8)z x y =--的定义域为}{22(,)8x y xy +<2. 1 14x dx -=⎰43.经过点(2,1)且其切线的斜率为2x 的曲线方程为23y x =- 4.差分方程 2113x x x x y y y y ++--+=+是 3 阶的差分方程。
5.若 1()x tF x te dt -=⎰则()F x '=x xe -6.某工厂生产某种洗涤产品,每天生产的产品的总成本C 的变化率(即边际成本)是日产量的函数12C x '=+,已知固定成本为1000元,总成本与日产量的函数关系是21000C x x =++ 7.2(3sin )x x dx +=⎰3cos x x c -+8.已知c x dx x f +=⎰2)(,则=)(x f x 29.微分方程3dy x dx=的通解为:41 (4y x C C =+为任意常数)10.121(23)x dx -=⎰0二.单项选择题(共10小题,每小题2分,共20分)1.sin x 的原函数是( A )(A)cos x - (B)1cos 2x(C )sin x (D)1sin 2x2.以下解答正确的是( B ) (A)21arctan 1xdx c x=-++⎰ (B ) 11(1)1x dx xc αααα+=+≠-+⎰(C )c xxdx +-=⎰211arcsin (D )⎰+=c a a dx a xxln3.若()f x x '=,则=)(x f ( B ) (A) 2x C + (B)212x C +(C)212x (D)22x C +4.21ln dx dx dx=⎰( D )(A) C x x +ln (B) C x x x +-ln (C)C x + (D) 05.若23(,)5f x y x y =,则(1,1)x f '-=( B ) (A) 10 (B) 10-(C) 15 (D) 20 6.设z x y=+,则=dz ( B )(A) ydy xdx + (B) dydx +(C)xdyydx + (D) 07.若化二重积分(,)Df x y dxdy ⎰⎰为先对x积分的二次积分,其中D 是由y轴,1,y =及2y x =在第一象限围成的区域,则所化的二次积分为( C ) (A )1 1 0(,)dy f x y dx ⎰⎰(B )1 1 0(,)dx f x y dy ⎰⎰(C)1 0(,)dy f x y dx ⎰⎰(D)1 1 0(,)xdx f x y dy ⎰⎰8.计算(6)2(3)Γ=Γ( C )(A) 10 (B) 20(C) 30 (D) 409.已知2231dy xy dx ⎛⎫+= ⎪⎝⎭,则该微分方程的阶数是( A ) (A) 1阶 (B) 2阶(C) 3阶 (D) 4阶 10.差分(21)x ∆-=( D )(A) 2x (B) 21x + (C) 21x - (D) 2三.计算题(共4小题,每小题5分,共20分)1.计算不定积分211(cos 2)1xx dx xx-+++⎰解:原式=2arctan sin ln ln 2xx x x C -+++ ………………5分2.计算定积分 8 31⎰解:令1+=x t ,则12-=t x ,tdtdx 2=当3x =时2t =;当8x =时3t =…………………………2分 原式=32121td t t+⎰…………………………3分=321121t dt t +-+⎰=3212(1)1dt t -+⎰=32(22ln 1)|t t -+ =32(1ln )4+ …………………………5分3.计算不定积分tte dt ⎰ 解:()ttte dt td e =⎰⎰ …………………………2分=ttte e dt -⎰ …………………………4分=(1)tttte e e t -=-…………………………5分4.判断广义积分xe dx +∞-⎰的敛散性解:xedx +∞-⎰= 0limb xb e dx -→+∞⎰…………………………2分= 0lim [()]bxb e d x -→+∞--⎰…………………………3分 = 0lim ()|xb b e-→+∞-=0lim [(] 1.bb e e -→+∞-+= ………………………4分xe dx +∞-∴⎰收敛于1…………………………5分四.计算题(共4小题,每小题6分,共24分)1.设2yz x ye =,求z x∂∂和2z x y∂∂∂。
2017年普通高等学校招生全国统一考试文科数学II 卷 答案详解一、选择题:本题共12小题,每小题5分,共60分。
1.设集合{1,2,3},{2,3,4}A B ==,则A B =UA .{}123,4,, B .{}123,, C .{}234,, D .{}134,, 【解析】}4,3,2,1{=B A Y . 【答案】A 2.(1)(2)i i ++= A .1i -B .13i +C .3i +D .33i +【解析】2(1)(2)2313i i i i i ++=++=+.【答案】B3.函数π()sin(2)3f x x =+的最小正周期为 A .4πB .2πC .πD .π2【解析】2π2ππ2T ω===. 【答案】C4.设非零向量a ,b 满足+=-a b a b ,则 A .⊥a bB .=a bC .a b PD .>a b【解析】∵||||a b a b +=-r r r r ,∴22||||a b a b +=-r r r r ,解得0a b ⋅=r r ,即a b ⊥rr .【答案】A5.若1a >,则双曲线2221x y a-=的离心率的取值范围是A .(2,)+∞B .(2,2)C .(1,2)D .(1,2)【解析】双曲线的离心率为22111c a e a a a+===+,∵1a >,∴(1,2)e ∈.【答案】C6.如图,网格纸上小正方形的边长为1,粗实线画出的是某几何体的三视图,该几何体由一平面将一圆柱截去一部分后所得,则该几何体的体积为 A .90πB .63πC .42πD .36π【解析】由三视图可得,直观图为一个高为10的圆柱减去一个高为6的圆柱的一半,其体积为221103π63π=63π2V =⨯-⨯⨯.图A6【答案】B7.设,x y 满足约束条件2+330,2330,30,x y x y y -≤⎧⎪-+≥⎨⎪+≥⎩则2z x y =+的最小值是A .15-B .9-C .1D .9【解析】可行域如图所示,目标函数2z x y =+化为2y x z =-+,当直线2y x z =-+过点A 时,其在y轴上的截距最小,即z 取最小值,所以z max =-15. [A 的坐标联立方程求出:A(-6,-3) ]图A7【答案】A8.函数2()ln(28)f x x x =--的单调递增区间是 A .(,2)-∞-B .(,1)-∞C .(1,)+∞D .(4,)+∞【解析】令2()28(24)t g x x x x x ==--<->或,∵()22g x x '=-,∴()g x 在(,2)-∞-单调递减,在(4,)+∞单调递增.∵()ln f t t =在(0,)+∞单调递增,可得函数2()ln(28)f x x x =--的单调递增区间是(4,)+∞.【答案】D9.甲、乙、丙、丁四位同学一起去向老师询问成语竞赛的成绩,老师说:你们四人中有2位优秀,2位良好,我现在给甲看乙、丙的成绩,给乙看丙的成绩,给丁看甲的成绩.看后甲对大家说:我还是不知道我的成绩,根据以上信息,则 A .乙可以知道四人的成绩 B .丁可以知道四人的成绩 C .乙、丁可以知道对方的成绩D .乙、丁可以知道自己的成绩【解析】已知四人中有2 位优秀、2位良好,而甲知道乙、丙的成绩后仍无法得知自己的成绩,故乙和丙只能一个是优秀、一个是良好,同时甲和丁也只能一个是优秀、一个是良好. 所以当乙知道丙的成绩后,就可以知道自己的成绩,但无法知道甲和丁的成绩;同理,丁知道甲的成绩后,也能够知道自己的成绩,但无法知道乙和丙的成绩. 综上所述,乙、丁可以知道自己的成绩.【答案】D10.执行下面的程序框图,如果输入的1a =-,则输出的S =A .2B .3C .4D .5【解析】由框图可知,0(1)2(3)4(5)6S =+-++-++-++L ,当K =7时跳出循环体输出结果,此时0(1)2(3)4(5)63S =+-++-++-+=.【答案】B11.从分别写有1,2,3,4,5的5张卡片中随机抽取1张,放回后再随机抽取1张,则抽得的第一张卡片上的数大于第二张卡片上的数的概率为 A .110B .15C .310D .25【解析】从5张卡片中随机抽取1张,放回后再随机抽取1张,基本事件总数n =5×5 = 25,抽得的第一张卡片上的数大于第二张卡片上的数包含的基本事件有:(2, 1)、(3, 1)、(3, 2)、(4, 1)、(4, 2)、(4, 3)、(5, 1)、(5, 2)、(5, 3)、(5, 4),共有m = 10个基本事件,所以所求的概率为102=255. 【答案】D12.过抛物线2:4C y x =的焦点F ,且斜率为3的直线交C 于点M (M 在x 的轴上方),l 为C 的准线,点N 在l 上且MN l ⊥,则M 到直线NF 的距离为 A .5B .22C .23D .33【解析】抛物线2:4C y x =的焦点F (1,0),∴过抛物线焦点F 且斜率为3的直线方程为3(1)y x =-.联立23(1)4y x y x⎧=-⎪⎨=⎪⎩,∴(3,23)M ,可得(1,23)N -.∴直线NF 的方程为33=0x y +-,∴M 到直线NF 的距离为|33233|=232⨯+-.【答案】C二、填空题,本题共4小题,每小题5分,共20分. 13.函数()2cos sin f x x x =+的最大值为 .【解析】∵255()2cos sin 5(cos sin )5cos()55f x x x x x x ϕ=+=+=-,其中1tan 2ϕ=, ∴函数()f x 的最大值为5.【答案】514.已知函数()f x 是定义在R 上的奇函数,当(,0)x ∈-∞时,32()2f x x x =+,则(2)f = . 【解析】∵函数()f x 是奇函数,∴32(2)(2)[2(2)(2)]12f f =--=-⨯-+-=. 【答案】1215.长方体的长,宽,高分别为3,2,1,其顶点都在球O 的球面上,则球O 的表面积为 . 【解析】由题意可知,长方体的体对角线就是球O 的直径,所以球O 的半径22211412322r =++=, 球O 的表面积2144π4π14π4V r ==⨯=. 【答案】14π16.ABC △的内角,,A B C 的对边分别为,,a b c ,若2cos cos cos b B a C c A =+,则B = . 【解析】由正弦定理得,2sin cos sin cos sin cos B B A C C A =+,即2sin cos sin()B B A C =+.∵π()B A C =-+,∴2sin cos sin()sin B B A C B =+=. ∵0πB <<,∴sin 0B ≠,1cos 2B =,∴π3B =. 【答案】π3三、解答题:共70分。
河南省正阳县第二高级中学高二文科下期数学周练(二)一.选择题(只有一个选项是正确的,每小题5分,共60分):1.不等式304x x+≥-的解集为( ) A.[-3,4] B. [3,4)- C. D. 2.数列的前n 项和则q=0是为等差数列的( )条件A.充分不必要B.必要不充分C.充要D.既不充分也不必要3.曲线f(x)=在x=e 处的切线方程为( ) A.y=e B.y=x-e+ C.y=x D.y= 4.已知实数x,y 满足约束条件,则的最小值是( )A.-4B.-3C.0D.35.设函数f(x)在R 上可导,其导函数为,且函数f(x)在x=-2处取得极小值。
则函数的图象可能为( )6.在中,内角A 、B 、C 所对的边分别为a,b,c,若,C=60°,则的面积是( ) A.3C.D.7.命题p:方程表示焦点在y 轴上的椭圆,则使命题p 成立的充分不必要条件是( )A.4<m<5 B.3<m<5 C.1<m<5 D.1<m<38.已知动圆P 过定点A (-3,0),并且与定圆B :内切,则动圆的圆心P 的轨迹是( )A.线段 B.直线 C.圆 D.椭圆 (,3)(3,)-∞-+∞(,3](4,)-∞-+∞{}n a 2(0),n S An Bn q A =++≠{}n a ln x x1e 1e 4003x y x y x -+≥⎧⎪+≥⎨⎪≤⎩3z x y =+/()f x /()y xf x =ABC ∆22()6c a b =-+ABC ∆22151x y m m +=--22(3)64x y -+=9.双曲线与椭圆的离心率互为倒数,那么以a,b,m 为边长的三角形一定是( )A.锐角三角形B.直角三角形C.钝角三角形D.等腰三角形10.给出下列四个命题,则真命题的个数是( )①.函数f(x)=lnx-2+x 在区间(1,e)上存在零点②若,则y=f(x)在处取得极值;③已知p:,使cosx=1,q: ,则,则“”为假命题④在中,A<B 是sinA<sinB 的充分不必要条件A.1个B.2个C.3个D.4个11.已知分别为双曲线的左右焦点,P 为双曲线右支上异于顶点的任一点,O 为坐标原点,则下列说法正确的是( )A.的内切圆圆心在直线上B. 的内切圆圆心在直线上C. 的内切圆圆心在直线OP 上D. 的内切圆经过点(a,0)12.已知,过点可作曲线y=f(x)的三条切线,则实数m 的取值范围是( )A.(-1,1)B.(-2,3)C.(-1,2)D.(-3,-2)二.填空题(每小题5分,共20分):13.若实数a,b 满足,则(a+3)(b+2)的最小值为( )14.已知数列,则此数列前2016项之和为( ) 15.已知抛物线的焦点为F ,P 为抛物线上一点,过P 作y 轴垂线,垂足为M ,若,则的面积是( )22221x y a b-=22221(0,0)x y a m b m b +=>>>/0()0f x =0x x =x R ∃∈x R ∀∈210x x -+>()p q ⌝∧ABC ∆12,F F 22221(0,0,)x y a b a b a b-=>>≠12PF F ∆2a x =12PF F ∆xb =12PF F ∆12PF F ∆3()3f x x x =-(1,)(2)A m m ≠-210(1)ab a b a --+=>cos2n n a n π=24y x =4PF =PFM ∆16.设,若函数有大于0的极值点,则a 的取值范围是( )三.解答题:17.(10分)已知两个命题:,若对于任意的,r(x)和s(x)有且仅有一个为真命题,求实数m 的取值范围18.已知抛物线C :的焦点F 到其准线的距离为2,直线与抛物线C 相交于A 、B 两点(1)求出抛物线C 的方程以及焦点坐标,准线方程(2)若直线经过抛物线的焦点F ,当线段AB 的长为5时,求直线的方程a R ∈()xf x e ax =+2():cos sin ,():10r x x x m s x x mx +>++>x R ∈22(0)y px p =>l l l19. (12分)在中,内角A 、B 、C 所对的边分别为)=0 (1)求A (2)若,求b+c 的取值范围20.(12分)已知数列的前n 项和为,, (1)记,求数列的通项公式(2)在(1)成立的条件下,设,求数列的前n 项和ABC ∆B a ={}n a n S 18a =138(2)n n a S n -=+≥2log n n b a ={}n b 11n n n c b b +={}n c n T21.(12分)已知函数(1)若函数f(x)的图象在x=3处的切线与直线24x-y+1=0平行,函数f(x)在x=1处取得极值,求f(x)的解析式和单调区间(2)若a=1,且函数f(x)在区间[-1,1]上是减函数,求实数b 的取值范围22. (12分)在平面直角坐标系XOY 中,过椭圆M :右焦点的直线3()()f x ax bx x R =+∈22221(0)x y a b a b+=>>M 于A 、B 两点,P 为AB 的中点,直线OP 的斜率为0.5(1)求椭圆M 的方程(2)C ,D 为M 上的两点,若四边形ACBD 的对角线,求四边形ACBD 面积的最大值x y +=CD AB ⊥参考答案:1-6.BCDACB 7-12.ADBBDD 13.25 14.1008 15. 16.a<-117.或18.2x-y-2=0或2x+y-2=019.(1)A=60°(2)20.(1)(2)21.(1),f(x)的减区间为(-1,1)(2) 22.(1)2m ≤-2m <21n b n =+69n nT n =+3()3f x x x =-3b ≤-22163x y +=。
高等数学第二版教材答案p201. 解答题:1.1 求函数f(x) = √( 2 - x^2 ) 在区间 [-2,2] 上的图像。
解析:在区间 [-2,2] 上,对于函数f(x) = √( 2 - x^2 ),我们可以先求出定义域。
由于根号下面的表达式必须大于等于0,所以 2 - x^2 ≥ 0,解这个不等式可以得到 -√2 ≤ x ≤ √2。
因此,函数 f(x) 的定义域为闭区间 [-√2, √2]。
接下来,我们可以通过绘制函数的图像来更好地理解函数的性质和行为。
由于文字版无法绘图,我们可以使用适当的软件或工具进行绘制,并将其描述如下:在坐标系中,取 x 轴范围为 [-2,2],y 轴范围根据函数值的大小适当确定。
从定义域中可知,在 [-2,-√2] 和[√2,2] 区间外,函数 f(x) 无定义。
在 [-√2, √2] 区间内,函数 f(x) 的值随着 x 的增大而递减,达到最小值为0,即 f(0) = 0。
由于函数中含有平方根,所以函数图像在两个端点(-√2,0) 和(√2,0) 处不连续,但在这两点附近的近似图像可以很接近于连续。
可以通过计算函数的导数来求得函数 f(x) 的增减性和极值点。
由于篇幅限制,这里不再详细展开。
综上所述,函数f(x) = √( 2 - x^2 ) 在区间 [-2,2] 上的图像大致呈现出一个以原点为中心的半圆形,且在 (-√2, 0) 和(√2, 0) 处有两个不连续点。
1.2 解方程sin(πx) = √2/2。
解析:我们需要求解方程sin(πx) = √2/2。
首先,我们需要确定解方程的定义域。
由于 sin 函数的定义域为全体实数,所以这个方程在所有实数上都有意义,即定义域为全体实数集。
接下来,我们可以使用数学技巧或工具求解方程的解。
由于文字形式限制,这里我们给出解的过程:首先,我们知道sin(π/4) = √2/2。
由于 sin 函数的周期性,sin(π/4) 的解还有无穷多个。
高中数学学科知识与教育能力预测试题〔二〕参考答案一、选择题1.D【解析】根据实系数方程的根的特点知1-2i是该方程的另一个根,所以,1+2i+1-2i= 2=-b,即b=-2,1+2i1-2i=3=c,故答案选择D。
2.C【解析】利用排除法可得选项C是正确的,∵a+b=a-b,那么a,b共线,即存在实数λ,使得a=λb。
选项A:a+b=a-b时,a,b可为异向的共线向量;选项B:假设a⊥b,比方在正方形里,a+b=a-b不成立;选项D:假设存在实数λ,使得a=λb,a,b可为同向的共线向量,此时显然a+b=a-b不成立。
3.C【解析】根据正定矩阵的各级顺序主子式均大于0,可算出答案为C。
4.D【解析】2221(5)1lim()lim()213333x xax ax a x ax x x x→∞→∞-+-++===--,所以a=6.故D正确.5.D【解析】41322315545352410280821021 C C C C C C CC+++==.6.B【解析】设函数f(x)在(,)-∞+∞内单调有序,{nx}单调,那么{f(nx)}单调且有界,所以{f(nx)}一定存在极限,应选C.7.A8.A二、简答题9.【解析】设1B,2B分别表示发出信号“·〞和“—〞,A表示收到信号“·〞,那么P(1B)=0.6,P(2B)=0.4,P(A|1B)=0.8,P(A|2B)=0.1。
〔1〕P(A)=P(1B)P(A|1B)+P(2B)P(A|2B)=0.6×0.8+0.4×0.1=0.52。
〔2〕P(1B|A)=P(1B)P(A|1B)P(A)=0.6×0.80.52=1213。
10,所以在x x . n na ,故1n n a a ,即121,n n a a a a -(0,)2n a π∈<n a <1.而是通过归纳、类比等方法去探索、研究各种对象的一般规律,寻求解决问题的一般方法。
三、教学日历为了规范课程教学,提高教学质量,2010年6月我们曾根据课程教学大纲、实际教学情况和团队的教学实践,制订了《文科高等数学教学进度及基本习题》文件。
对文科所有专业高等数学的教学进度作了统一要求。
由于我校从2011年起每学时缩短为40分钟,总学时仍为36和54学时的两类文科高等数学课程出现了新的更大困难,根据这两年的教学实践,并考虑到由于法定节假日放假致使实际教学课时常常只有34或52学时的情况,2013年8月我们修订该文件(详见上报的基本资源)。
下面是2013年周明儒给历史学专业学生授课的实际教学日历周学时2,每学时40分钟;实际授课十七周共34学时,其中讲授30学时,习题课4学时。
1. 绪论:学习高等数学应成为自觉需求教学目标使学生知道为什么历史专业的大学生也要学习高等数学?学什么?如何学?教学重点数学在科学中的地位和作用;数学为自然科学和人文社会科学提供了一种精确的语言和有力的工具;数学科学体现了一种文化精神;“数学技术”迅速兴起,数学对社会进步所起的作用已从幕后走向了前台;学数学,究竟应当学什么教学难点如何理解数学科学精神和思想方法课后要求阅读教材绪论;复习中学学过的几个初等函数的定义域,值域,以及它们的图形2.第一章极限与连续§1.1初等函数§1.2极限的概念与运算法则教学目标复习初等函数,理解数列极限的概念和严格定义教学重点数列极限的概念教学难点反函数,数列极限的严格定义课外作业习题1.1 1(后半部分),2 ,3(2);习题1.2 4,5(选做)3. §1.2极限的概念与运算法则(函数极限)教学目标理解函数极限的概念和严格定义,掌握极限运算法则,了解无穷小和无穷大的概念教学重点函数极限的概念,应用极限运算法则求极限教学难点函数极限的严格定义,无穷小量与无穷大量课外作业习题1.2 6, 7(2,4), 8V是一个记号,你把它当作是实数就可以了说明——题7(4)中的x4. §1.3极限存在准则与两个重要极限,欧拉教学目标理解两个极限存在准则,掌握两个重要极限,学习欧拉献身科学的精神教学重点两个重要极限,欧拉献身科学的精神教学难点重要极限1,连续复利问题课外作业习题1.3 2,4,5,7;看阅读材料15. §1.4函数的连续性教学目标理解并掌握连续函数的定义及判定,知道所有初等函数在其定义域内均连续;理解闭区间上连续函数的最值定理和介值定理及其应用教学重点函数连续的定义及判定,初等函数的连续性,最值定理和介值定理的应用教学难点函数连续的两种等价定义,分段函数连续性的判定,复合函数连续性的证明课外作业习题1.4 2(2)(4);3(3)(4);4 说明第2题的含意,对于分段函数如何考虑分界点处的连续性;讲习题1.2 第2,3题6. 第二章导数与微分§2.1导数的概念§2.2求导法则(和差)教学目标理解和掌握导数的定义,明确可导与连续的关系,掌握基本初等函数的导数以及和差求导法则教学重点导数的定义,基本初等函数的导数教学难点导数概念课外作业习题2.1 2,4,5(2),67. §2.2求导法则(续)教学目标掌握求导的四则运算法则,明确复合函数求导法则,知道隐函数导数和对数求导法;会导出基本初等函数的求导公式并要求记住教学重点求导的四则运算法则和复合函数求导,基本初等函数的求导公式教学难点复合函数和隐函数的求导,对数求导法课外作业习题2.2 1(1,3,4,6,7,8,9,11) 28. §2.3中值定理§2.4导数的应用(一、研究函数的单调性和极值)教学目标明确中值定理的条件与结论及一些应用,会利用导数判定函数的单调性和求极值教学重点拉格朗日中值定理及其应用,利用导数判定函数的单调性和求极值教学难点理解拉格朗日中值定理和罗尔中值定理本质上一致课外作业习题2.3 1; 2(1);习题2.4 2(1),9. §2.4导数的应用(二、洛必达法则)§2.6微分教学目标学会应用洛必达法则求极限,知道微分的概念并会计算教学重点应用洛必达法则求极限,微分的概念与运算教学难点需要化归标准类型再用洛必达法则求极限的问题,微分的应用课外作业习题2.4:1(1,3,5,7),4习题2.6 1(2,3) 3(2,4) 410.第三章积分§3.1不定积分的概念与性质§3.2换元积分法教学目标明确不定积分的概念,会计算简单的不定积分,能用第一换元法计算一些比较简单的不定积分教学重点不定积分的概念与性质,计算简单的不定积分教学难点第一换元法口答习题3.1 1,课外作业习题3.1 2(1,2,4,6)习题3.2 1,2,4,511 §3.2换元积分法(续)§3.3分部积分法教学目标能用第一换元法和分部积分法计算一些比较简单的不定积分,了解第二换元法,听懂例3.15、3.16教学重点第一换元法和分部积分法教学难点第二换元法)习题3.3 1(1,2,4,6)课外作业习题3.2 7, 10(提示:可令t x12 §3.4定积分的概念和基本性质教学目标明确定积分的概念、几何意义和基本性质教学重点定积分的概念教学难点定积分的定义,基本性质(6)口答习题3.4 1,2,3课外作业认真看书,复习求不定积分习题 413 §3.5微积分学基本定理§3.6定积分的换元公式和分部积分公式教学目标理解微积分学基本定理的意义,听懂定理的证明,会用来计算定积分教学重点微积分基本定理的内容、意义;定积分的计算教学难点微积分学基本定理,连续函数原函数存在定理的证明课外作业习题3.5 (1),(6);习题3.6 1, 2, 614 §3.7定积分的应用教学目标学会运用定积分求面积、旋转体体积、弧长,知道定积分在考古中的应用和碳—14法教学重点运用定积分求面积、旋转体体积教学难点以y为积分变量求面积,绕y轴旋转所得旋转体的体积课外作业习题3.7 1, 415 §3.8反常积分(无穷限积分)第四章无穷级数§4.1数项级数教学目标知道如何求无穷限定积分,明确数项级数收敛与发散的概念,知道如何判定正项级数收敛与发散教学重点无穷限积分的概念与计算,判定正项数项级数收敛准则,比较判别法教学难点(,)-∞+∞上的反常积分的收敛性讨论,证明比较判别法课外作业习题3.8 2(1),习题4.1 1(1,2,3,5)16 §4.1数项级数(续),§4.2幂级数,§4.3幂级数展开简介教学目标知道交错级数收敛的莱布尼茨判别法,了解条件收敛和绝对收敛;会求幂级数的收敛半径和收敛区间,了解收敛域与收敛区间的区别;知道幂x x x 级数的和函数在其收敛区间内连续,并可逐项求导、逐项积分;知道e,sin,cos 的麦克劳林展开式。