第十章曲线曲面积分(习题及解答)
- 格式:doc
- 大小:2.75 MB
- 文档页数:37
第十章曲线积分与曲面积分§ 1对弧长地曲线积分计算公式:无论是对弧长还是对坐标地曲线积分重要地是写出曲线地参数方程x =x t L :y =y tx = x(t ) L:<y = y(t )"z(t )Lf x,y,z ds - 注意:上限一定要大于下限1.计算下列对弧长地曲线积分<1) \(x 2y 2)2ds ,其中 L 为圆周 x 2y 2=a 2; 解:法一:Q|jx2+y 2)2ds = |J L (a 2)2ds二玄仁 ds =a 4(2二a) =2二a 5法二:_L x =acosv L: 0 心::2二,匸(x 2 y 2)2ds2二 2 2 2 2 2[a cos : a si n ] -asi na cos d :2二 5 . 5ad^ - 2「a<2) \e x yds ,其中L 为圆周x 2■ y 2=a 2,直线y=x 及x 轴在第一象限内所围成地扇形ba 兰t 兰b ,则(f (x, y ps= f a f(x (t ), y(tddbafxt ,y t ,zt解:忆e 拧%s = ( & +廟+ J BO 卅“ ds ,其中故口 e^iyds=e a(2+ — a) -2匕 4<3) L xds ,其中L 为抛物线y =2x 2-1上介于x =0与x=1之间地一段弧;「X =x解:由 L:20<x<1,得、y=2x -1l xds 二 ° x 1亠〔4x 2dx2 3_2(1+16x)2o_17用-1 -32-48<4) L y 2ds ,其中 L 为摆线地一拱 x =a(t - si nt), y =a(1 - cost)(0 — t — 2二); 解: .L y 2ds = :0〔a(1-cost)『」a 1-cost ]2a si nt^dt2TI 5=V2a 3「(1 —cost)2dtx = x x = a cos—— x = x 、2 OA: ,0_x_a ,AB:,0, BO: 0_x a y =0 y =as in 4 y = x 2f e x 旳 ds =『少尺 J 12 +02 dxoA-0aoa二ABey ds 二ABe ds二 e ABds4<或]e x 七ds■AB=[4 e ' 严"巧塔“巧 J (一 a sin 盯 + (acos日 j d 日JI4 e a ad ) 4a 二 BO-a-2-2匸2a 一2 2 -------- ■ 2 e x 2 x 2,12 12dx 0-1 a二5二 迈a 3 : (2sin 2*)2dt =8a 3J6a 3siJI353= 32a 2sin 如-32a」0x 2+y 2+z 2=22 2]x = cosT解:由」 丫,得2X 2+Z2=2,令 < 厂 0兰日兰2兀y = xz = \ 2 sin 71x= cos 日sin 5 -dt <令—-v4 2 256 3a5 3 15<5) “L xyds ,其中L 为圆周x 2 y 2 =a 2 ; 解:利用对称性J |xyds = 4jJxyds ,其中 Lix = a cos 日 0<6y = a sinJI< 一2[xy ds = 4『xy ds = 4 fxyds迟,=4 02 (acos R(asin v) (-asin v)2 (acosv)2dv"a 3jcosrsin=2a 3sin =-2a 3<6)-x 2y 22ds ,其中-为曲线 z 2X =e t cost ,y =e t si nt ,z =e t 上相应于 t 从 0 变到 2 地------ 2 -- 1 ---- 2 ---- cost )]2 +[(£ sin t )]2 +e 2t dte tcost ]亠[d sin t ]亠[d =—fe^dt =^(1 —e‘) 2 02<7)广yds ,其中-为空间圆周:x 2 + y 2 + z 2 =2』=x弧段; 解:故丫: * y = cos日0兰日乞2兀.故z = J2s in。
第十章曲线积分与曲面积分§10-11.设L为下半圆周y=22()________.Lx y ds+=⎰解:(方法一)L的参数方程为:cos,2.sinxyθπθπθ=⎧≤≤⎨=⎩则.ds dθθ==于是,222().Lx y ds dππθπ+==⎰⎰(方法二) ππ=⋅⋅==+⎰⎰≤=+12211)()0(1:2222dsdsyxLyyxLL.2.xyzdsΓ⎰,其中Γ为2cos2sin,0.4x ty t tz tπ=⎧⎪=≤≤⎨⎪=⎩解:由已知,得.ds==于是,§10-21.(2)La y dx xdy-+⎰,其中L为摆线(sin),(1cos)x a t t y a t=-=-上对应于t从0到2π的一段弧.解:由已知,(sin):,02.(1cos)x a t tL ty a tπ=-⎧⎨=-⎩从变到那么,§10-31.设L为1x y+=的反时针方向,则2(2)()_.y xLxy e dy y y e dx-+-+=⎰解:记L所围的区域为D,易知D的正方形区域.由已知,2,2.x yP y y e Q xy e=-+=-则,221 1.Q P y y x y∂∂-=-+=∂∂ 由格林公式,得2(2)()1 2.y x LDxy e dy y y e dx dxdy -+-+==⎰⎰⎰故,选(B).2.22L xdy ydxx y-+⎰,L 经上半椭圆221(0)4x y y +=≥从(2,0)(2,0)A B -→.(方法一) 解:选适当的0r >,构造上半圆周222(0)x y r y +=≥,设它与x 轴的两个交点为(,0),(,0),C r D r -其方向为从D 到C.则L BD DC CA +++构成分段光滑封闭曲线,记其所围成的区域为Ω.由已知,22222222222222,. 0.()()y x Q P y x y x P Q x y x y x y x y x y -∂∂--==-=-=++∂∂++则,由格林公式,得220.L BD DC CA xdy ydxQ P dxdy x y x y +++Ω⎛⎫-∂∂=--= ⎪+∂∂⎝⎭⎰⎰⎰ 则,22222222.LBD DC CA xdy ydx xdy ydx xdy ydx xdy ydx x y x y x y x y ⎛⎫---- ⎪++++⎝⎭⎰⎰⎰⎰ =-++ 而,cos :,2:,0:,--2.0sin 0x x x r x x BD x r DC CA x r y y r y θθπθ===⎧⎧⎧→→→⎨⎨⎨===⎩⎩⎩从;从;从 于是,2222222000; 0; .r BD CA DC xdy ydx xdy ydx xdy ydxdx d x y x y x yπθπ---=====+++⎰⎰⎰⎰⎰故,.π原式=-(方法二) 解:x y Q P = ,∴该曲线积分与路径无关,选择路径上半圆4:22=+y x l .πθθθθππ-==+=+-=+-⎰⎰⎰⎰d d y x ydxxdy y x ydx xdy lL0022222214sin 4cos 4. 3.22321(1)L y x ydx dy x x++-⎰,L 沿2241x y y +-=的反时针方向从(1,0)(2,1)A B →.解:构造辅助折线BCA ,其中点C(1,1). 则L BCA +为一分段光滑的封闭曲线,记其所围成的区域为D.由已知,2232331(1)22,. 0.y x y Q P y yP Q x x x y x x ++∂∂==-=-=∂∂则- 由格林公式得:22321(1)0.L BCA y x ydx dy x x +++-=⎰ 于是,22321(1)L y x y dx dy x x ++-⎰=22321(1)BCA y x y dx dy x x++--⎰. 对于22132321(1)23:,2 1. .14BC x x y x y BC x dx dy dx y x x x =⎧++∴-==-⎨=⎩⎰⎰从变到 对于22032111(1):,10. (2) 1.CA x y x y CA y dx dy y dy y y x x =⎧++∴-=-=⎨=⎩⎰⎰从变到 4.设L 为222x y a +=的反时针方向,则22()()__.Lx y dx x y dyx y+--=+⎰ 解:取适当的0r >,构造222:l x y r +=,为顺时针方向.记L 与l 围成的区域为D. 由已知,2222(),. 0.x y x y Q PP Q x y x y x y+--∂∂==-=++∂∂则 由格林公式得:22()()0.L l x y dx x y dyx y ++--=+⎰于是,222220()()()()(1)2.Ll x y dx x y dy x y dx x y dyd x y x yπθπ+--+--=-=-=-++⎰⎰⎰ 方法二:π2)2()()()()(2222-=-=--+=+--+⎰⎰⎰⎰dxdy aadyy x dx y x yx dyy x dx y x DL L . §10-4解:记右半柱面为1:y ∑==1∑在xoz 面上的投影区域为:{}(,),0.xz D x z R x R z H =-≤≤≤≤记左半柱面为2:y ∑==2∑在xoz 面上的投影区域为也是xz D .那么,1222222222222222212()122arctan .xz D RHdS dS dS x y z x y z x y z x R x z HR dz R z Rπ∑∑∑-=+=+++++++-+=⋅=+⎰⎰⎰⎰⎰⎰⎰⎰⎰⎰§10-51.2222,.zdxdy x y z a ∑∑++=⎰⎰为的外侧解:记上半球面为1:z ∑=取上侧.记下半球面为2:z ∑=取下侧.它们在xoy 面上的投影区域均为:{}222(,).xy D x y x y a =+≤12320422.3xyD a zdxdy zdxdy zdxdy d d ππθρ∑∑∑+==⎰⎰⎰⎰⎰⎰⎰⎰⎰⎰于是,==2.(),0(0).x y dxdy z z z h h ∑-∑==>⎰⎰为圆锥面与之间的下侧 解:∑在xoy 面上的投影区域均为:{}222(,).xy D x y x y h =+≤ §10-61.2(2)-2,z x dydz zdxdy ∑+⎰⎰其中∑为221()2z x y =+介于0z =与2z =之间部分的下侧.解:构造辅助平面2212(4)z x y ∑=+≤:,取上侧.则1∑+∑构成分片光滑的封闭曲面,记其所围成的空间区域为Ω.由已知,22, 0, 2.P z x Q R z =+==-于是,0.P Q R x y z∂∂∂++=∂∂∂ 由高斯公式,得 :12(2)-200.z x dydz zdxdy dv ∑+∑Ω+==⎰⎰⎰⎰⎰于是,2.333x dydz y dzdx z dxdy ∑++⎰⎰,其中∑为2222(0)x y z a a ++=>的外侧.解:记∑所围成的空间区域为Ω. 由已知,333, , .P x Q y R z ===于是,2223().P Q R x y z x y z∂∂∂++=++∂∂∂ 由高斯公式,得。
第十章曲线积分曲面积分练习题A 组一.填空题1. 设L 是 122=+y x 上从)0,1(A 经)1,0(E 到)0,1(-B 的曲线段,则⎰Lydy e 2=2.设⋂MN 是从M(1,3) 沿圆 2)2()2(22=-+-y x 至点 )1,3(N 的半圆,则积分⎰⋂+MNxdy ydx =3. L 是从)6,1(A 沿6=xy 至点)2,3(B 的曲线段,则⎰++Ly x xdy ydx e )( =4. 设L 是从)0,1(A 沿1222=+y x 至点2,0(B )的曲线段,则⎰+Ly x y x dy ye dx xe 222 =5. 设L 是 2x y = 及 1=y 所围成的区域D 的正向边界,则⎰+Ldx y x xy )(33 + dy y x x )(242+ = 6. 设L 是任意简单闭曲线,b a ,为常数,则⎰++L bdy adx )( =7. 设L 是xoy 平面上沿逆时针方向绕行的简单闭曲线,且9)34()2(=++-⎰dy y x dx y x L,则L 所围成的平面区域D 的面积等于8. 常数 k = 时, 曲线积分⎰+Ldy x kxydx 2与路径无关。
9.设是球面 1222=++z y x ,则对面积的曲面积分⎰⎰∑++ds z y x 222 =10.设L 为)0,0(o , )0,1(A 和)1,0(B 为顶点的三角形围成的线, 则对弧长的曲线积分⎰Lds =11. 设L 是从点)1,1(到)3,2(的一条线,则⎰-++Ldy y x dx y x )()(=12. 设L 是圆周 t a x cos =, t a y sin = )20(π≤≤t ,则⎰+LdS y x 322)(=13. 设为曲面2222a z y x =++, 则⎰⎰∑dS z y x222=二、选择题1.设→→+=j y x Q i y x P A ),(),(,D y x ∈),(且P,Q 在域D 内具有一阶连续偏导数,又L :⋂AB 是D 内任一曲线,则以下四个命题中,错误的是( )A .若⎰+LQdy Pdx 与路径无关,则在D 内必有yPx Q ∂∂≡∂∂ B .若⎰⋅Lds A 与路径无关,则在D 内必有单值函数),(y x u ,使得dy y x Q dx y x P y x du ),(),(),(+=C .若在D 内yPx Q ∂∂≡∂∂,则必有⎰L ds A ·与路径无关。
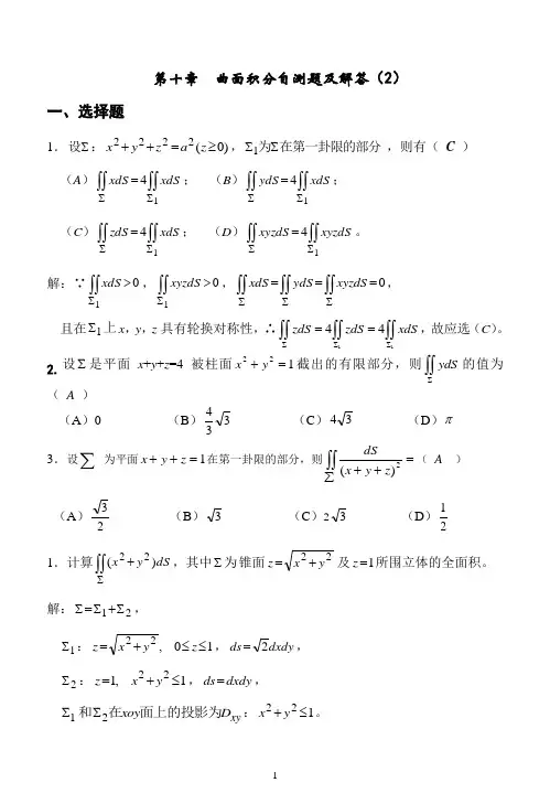
第十曲面积分自测题及解答(2)一、选择题1.∑设:)0(2222≥=++z a z y x ,在第一卦限的部分为∑∑1,则有( C ) (A )⎰⎰⎰⎰∑∑=14xdS xdS ; (B )⎰⎰⎰⎰∑∑=14xdS ydS ;(C )⎰⎰⎰⎰∑∑=14xdS zdS ; (D )⎰⎰⎰⎰∑∑=14xyzdS xyzdS 。
解:∵01>⎰⎰∑xdS ,01>⎰⎰∑xyzdS ,0===⎰⎰⎰⎰⎰⎰∑∑∑xyzdS ydS xdS ,且在上1∑x ,y ,z 具有轮换对称性,∴1144zdS zdS xdS ∑∑∑==⎰⎰⎰⎰⎰⎰,故应选(C )。
2.设∑是平面x +y +z =4被柱面122=+y x 截出的有限部分,则ydS ∑⎰⎰的值为( A )(A )0 (B )334(C )34 (D )π 3.设∑为平面1=++z y x 在第一卦限的部分,则⎰⎰∑=++2)(z y x dS( A ) (A )23(B )3 (C )23 (D )211.计算⎰⎰∑+dS y x )(22,其中为 ∑锥面1 22=+=z y x z 及所围立体的全面积。
解:21∑+∑=∑,1∑:10 ,22≤≤+=z y x z ,dxdy ds 2=,2∑:1 ,122≤+=y x z ,dxdy ds =,xy D xoy 21面上的投影为在和∑∑:122≤+y x 。
⎰⎰⎰⎰⎰⎰∑∑∑+=+21)(22dS y x dxdy y x dxdy y x xyxyD D ⎰⎰⎰⎰+++=)(2)(2222 dxdy y x xyD ⎰⎰++=)()21(22).21(2)21(10320+π=ρρϕ+=⎰⎰πd d 2.已知物质球面上每点的面密度等于该点到球的某一直径的距离的平方,求其质量。
解:设球面方程为∑:2222R z y x =++, 取某一直径的z 轴上,则面密度为22y x +=μ。
∵∑关于x ,y ,z 具有轮换对称性, ∴⎰⎰⎰⎰⎰⎰∑∑∑==dS z dS y dS x 222,∴⎰⎰⎰⎰∑∑++=+=dS z y x dS y x m )(32)(22222.38432324222R R R dS R π=π⋅==⎰⎰∑3.证明:53108)3(a dS a z y x π≥+++⎰⎰∑,其中∑是球面022222222=+---++a az ay ax z y x 。
第10章课后习题详解 曲线积分与曲面积分例题分析★★1. 计算ds y x L⎰+)(,其中L 为连接)0,0(O ,)0,1(A ,)1,0(B 的闭折线。
知识点:第一类曲线积分.思路: L 由三段直线段组成,故要分段积分.解: 如图L OA =AB +BO +则=+⎰ds y x L)(⎰+OA(⎰+AB⎰+BOds y x ))(10,0:≤≤=x y OA ,dx dx y ds ='+=2)(1,2121)0()(1021==+=+∴⎰⎰x dx x ds y x OA10,1:≤≤-=x x y AB ,dx dx y ds 2)(12='+=, 2221)(1010==⋅=+∴⎰⎰x dx ds y x AB注:利用被积函数定义在AB 上,故总有1),(=+=y x y x f10,0:≤≤=y x BO ,dy dy x ds ='+=2)(12121)0()(1021==+=+∴⎰⎰y dy y ds y x BO2121221)(+=++=+⎰ds y x L. 注:1)⎰⎰+=+BAABds y x ds y x )()(,⎰⎰+=+OBBOds y x ds y x )()(对弧长的曲线积分是没有方向性的,积分限均应从小到大. 2)对AB 段的积分可化为对x 的定积分,也可化为对y 的定积分,但OA 段,OB 段则只能化为对x (或对y )的定积分.★★2.计算⎰L yds ,其中L 为圆周4)2(222a a y x =-+.知识点:第一类曲线积分.思路: L 为圆周用极坐标表示较简单.解:L 的极坐标方程:πθθ≤≤=0,sin a rθθθθθad d a a d r r ds =+='+=2222)cos ()sin ()(θθ2sin sin a r y ==∴22020222212212sin 2sin a a d aad a yds Lππθθθθππ=⋅⋅==⋅=⎰⎰⎰.★3. 计算曲线积分⎰Γ++ds z y x 2221,其中Γ为曲线tt t e z t e y t e x ===,sin ,cos ,应于t 从0到2的一段弧.知识点:第一类曲线积分.思路: Γ空间曲线,用空间间曲线第一类曲线积分公式. 解:dt e dt e t e t e dt z y x ds t t t t 3 )sin ()cos ()()()(222222=+'+'='+'+'=∴原式=dt e dt e e tt t-⎰⎰=+⋅2222t 2331e 1)1(2323220---=-=e e t . ★★★1. 计算曲线积分⎰Γ++ds xz z x 22,其中Γ为球面2222R z y x =++与平面0=++z y x 的交线。
第十章 曲线积分与曲面积分答案一、选择题 1.曲线积分()sin ()cos xL f x e ydx f x ydy ⎡⎤--⎣⎦⎰与路径无关,其中()f x 有一阶连续偏导数,且(0)0f =,则()f x = BA.1()2x x e e -- B. 1()2x x e e -- C. 1()2x x e e -+ D.0 2.闭曲线C 为1x y +=的正向,则Cydx xdyx y -+=+⎰Ñ C A.0 B.2 C.4 D.6 3.闭曲线C 为2241x y +=的正向,则224Cydx xdyx y -+=+⎰Ñ D A.2π- B. 2π C.0 D. π 4.∑为YOZ 平面上221y z +≤,则222()xy z ds ∑++=⎰⎰ DA.0B. πC.14π D. 12π 5.设222:C x y a +=,则22()Cx y ds +=⎰Ñ CA.22a πB. 2a πC. 32a πD. 34a π 6. 设∑为球面2221x y z ++=,则曲面积分∑[ B ]A.4πB.2πC.πD.12π7. 设L 是从O(0,0)到B(1,1)的直线段,则曲线积分⎰=Lyds [ C ]A. 21B. 21- C. 22 D. 22-8. 设I=⎰Lds y 其中L 是抛物线2x y =上点(0, 0)与点(1, 1)之间的一段弧,则I=[D ]A.655 B.1255 C.6155- D. 12155- 9. 如果简单闭曲线 l 所围区域的面积为 σ,那么 σ 是( D ) A.⎰-l ydy xdx 21; B. ⎰-l xdx ydy 21;C.⎰-l xdy ydx 21; D. ⎰-lydx xdy 21。
10.设2222:(0)S x y z R z ++=≥,1S 为S 在第一卦限中部分,则有 CA.14SS xds xds =⎰⎰⎰⎰ B.14SS yds yds =⎰⎰⎰⎰C.14SS zds zds =⎰⎰⎰⎰ D.14SS xyzds xyzds =⎰⎰⎰⎰二、填空题1. 设L 是以(0, 0), (1, 0), (1, 1), (0, 1)为顶点的正方形边界正向一周,则曲线积分⎰=+-L y dy x eydx )(2-22.S 为球面2222a z y x =++的外侧,则⎰⎰=-+-+-sdxdy y x dzdx x z dydz z y )()()(03.⎰=++-12222y x yx xdyydx =π2-4.曲线积分22()Cx y ds +⎰Ñ,其中C 是圆心在原点,半径为a 的圆周,则积分值为32a π 5.设∑为上半球面)0z z =≥,则曲面积分()222ds y x z ∑++⎰⎰= 32π6. 设曲线C 为圆周221x y +=,则曲线积分()223d Cxy x s +-⎰Ñ 2π .7. 设C 是以O(0,0),A(1,0),B(0,1)为顶点的三角形边界,则曲线积分⎰=+C ds )yx (8. 设∑为上半球面z=,则曲面积分∑的值为 83π。
第十章 曲线积分与曲面积分第一节 第一类曲线积分1.设xOy 平面内有一分布着质量的曲线弧L ,在点(,)x y 处它的线密度为(,)x y ρ,用对弧长的曲线积分表示:(1)这曲线弧L 的长度_______S =; (2)这曲线弧L 的质量_______M =;(3)这曲线弧L 的重心坐标:___x =;___y =;(4)这曲线弧L 对x 轴,y 轴及原点的转动惯量____x I =;____y I =;0____I =. 解 (1)d LS s =⎰;(2)(,)d LM x y s μ=⎰;(3)(,)d (,)d L Lx x y s x x y s μμ=⎰⎰, (,)d (,)d LLy x y s y x y sμμ=⎰⎰, (4)2(,)d x LI y x y s μ=⎰, 2(,)d y LI x x y s μ=⎰, 220()(,)d LI x y x y s μ=+⎰2.(1)设L 为椭圆22143x y +=,其周长为a ,求⎰+L s y x d )43(22. (2)设L 为圆周2264x y +=,求⎰+Ls y x d 22.解 (1)L :22143x y +=,即223412x y +=, 从而⎰+Ls y x d )43(22=⎰Ls d 12=⎰Ls d 12=12a .(2)L :2264x y +=, 从而⎰+Ls y x d 22=⎰Ls 8d =⎰Ls d 8=8π28⋅⋅=128π.3.计算22()d Lx y s +⎰,其中L 是以(0,0),(2,0),(0,1)为顶点的三角形. 解 如图10.1所示,1L :0y =,x 从02→,2L :0x =,y 从01→,图 10.13L :22x y =-,y 从01→,d s y y ==. 从而22()d Lx y s +⎰=122()d L x y s +⎰+222()d L x y s +⎰+322()d L x y s +⎰=21122220d d [(22)]d x x y y y y y +-+⎰⎰=12081(485)d 33y y y +-+=3+4.计算s ⎰,其中L 为曲线222x y x +=.解1 L 的参数方程为 L :1cos ,sin ,x y θθ=+⎧⎨=⎩02πθ≤≤. 计算出d d s θ=,于是s ⎰=20θ⎰=2π02cos d 2θθ⎰2u θ=π04cos d u u ⎰=π208cos d u u ⎰=8.解2 在极坐标系下,L :2cos ,r θ= ππ22θ-≤≤.计算出d s θ==2d θ,于是s ⎰=222cos 2d ππθθ-⋅⎰=208cos d πθθ⎰=8.5.求空间曲线e cos tx t -=,e sin ty t -=,e (0)tz t -=<<+∞的弧长.解 d s t =td tt -,从而 0e d t s t +∞-==.6.有一铁丝成半圆形cos x a t =,sin y a t =,0t π≤≤,其上每一点处的密度等于该点的纵坐标,求铁丝的质量.解 d s t =t =d a t . d L m s ρ=⎰=d L y s ⎰=πsin d a t a t ⋅⎰=π2sin d a t t ⎰=22a .7.计算22()d Lxy z s +-⎰,其中L 为球面222x y z a ++=与平面0x y z ++=的交线.解 由于222x y z a ++=与0x y z ++=对x ,y ,z 都具有轮换对称性,故 2d Lx s ⎰=2d Ly s ⎰=2d Lz s ⎰,d Lx s ⎰=d Ly s ⎰=d Lz s ⎰.于是2d L x s ⎰=2221(d d d )3L L L x s y s z s ++⎰⎰⎰ =2221()d 3Lx y z s ++⎰=2d 3L a s ⎰=22π3a a ⋅=32π3a . 其中d Ls ⎰为圆周2222x y z a x y z ⎧++=⎨++=⎩的周长,显然平面0x y z ++=过球面2222x y z a ++=的球心(0,0,0)O ,所以L 为该球面上的大圆,即半径为a ,故周长为2a π.又因为()d Ly z s -⎰=d d LLy s z s -⎰⎰=0,所以22()d Lx y z s +-⎰=32π3a .第二节 第二类曲线积分1.计算⎰+--+Lyx y y x x y x 22d )(d )(,其中L 为圆周222x y a +=(按逆时针方向绕行). 解 L :cos ,sin x a t y a t ==,t 由0到2π, 从而I =⎰+--+L yx yy x x y x 22d )(d )( =20[(cos sin )(sin )(cos sin )cos ]d t t t t t t t π+---⎰=20d t π-⎰=2π-.2.计算22()d Lxy x -⎰,其中L 是抛物线2y x =上从点(0,0)到点(2,4)的一段弧.解 I =22()dLx y x -⎰=2240()d x x x -⎰=5615-. 3.计算(2)d d La y x x y -+⎰,其中L 为摆线(sin )x a t t =-,(1cos )y a t =-上对应t 从0到π2的一段弧(图10.2). 解 I =(2)d d La y x x y -+⎰=20{[2(1cos )](1cos )(sin )sin }d a a t a t a t t a t t π---+-⎰=22sin d at t t π⎰=22πa -.4.计算22[1()sin ]d [()sin ]d Lxy y x x xxy y y ++++⎰,其中L 为上半椭圆221(0)x xy y y ++=≥,从点(1,0)-到点(1,0)的一段弧.解 由221x xy y ++=可得221xy y x +=-,221x xy y +=-,代入积分式,得22[1()sin ]d [()sin ]d Lxy y x x x xy y y ++++⎰=22[1(1)sin ]d (1)sin d Lx x x y y y +-+-⎰=10221[1(1)sin ]d (1)sin d x x x y y y -+-+-⎰⎰=2.5.计算222d d d x x y y z z Γ++⎰,其中Γ是从点(1,1,1)到点(2,3,4)的直线段.解 Γ的点向式方程为:111123x y z ---==,从而Γ得参数方程为 1x t =+,12y t =+,13z t =+,t 由0到1.I =12220[(1)2(12)3(13)]d t t t t +++++⎰=111333000111(1)(12)(13)333t t t +++++=32.6.计算⎰Γ+-z y y x d d d ,其中Γ为有向闭折线ABCA ,这里的A ,B ,C 依次为点(1,0,0),(0,1,0),(0,0,1).解 如图10.3,AB :1x y =-,0z =,y 由0到1.d d d ABx y y z -+⎰=12d y -⎰=2-;BC :1y z =-,0x =,z 由0到1;d d d BC x y y z -+⎰=10(2)d z z -⎰=32; 图 10.3图 10.2CA :1z x =-,0y =,x 由0到1;d d d CAx y y z -+⎰=1d x ⎰=1,故 I =()d d d AB BC CAx y y z ++-+⎰⎰⎰=3212-++=12. 7.有一质量为m 的质点,除受重力的作用外,还受到一个大小等于该质点到原点的距离,方向指向原点的力f 的作用,设该质点沿螺旋线:cos L x t =,sin y t =,z t =从点π(0,1,)2A 移动到点(1,0,0)B 移动到点,求重力与力f 的合力所作的功.解 依据题意,力f =x y z ---i j k ,故质点所受的合力 ()mg x y z mg =-=---+F f k i j k 在螺旋线L 上,起点A 对应于π2t =,终点B 对应于0t =,即π:02t →. 因此,力F 所作的功 d d ()d LW x x y y z mg z =---+⎰=0π2[cos (sin )sin cos ()]d t t t t t mg t ----+⎰ =π20()d t mg t +⎰=2ππ82mg +.第三节 格林公式1.设xOy 平面上闭曲线L 所围成的闭区域为D ,将给定的二重积分与其相应的曲线积分用线连接起来. (1)d d Dx y ⎰⎰ (a) ⎰-Lx y y x d d(2) 2d d D x y ⎰⎰ (b)⎰-Ly x x x d d 21(3)d d Dx y -⎰⎰ (c)⎰-L x y y x d d 212.利用曲线积分计算星形线3cos x a t =,3sin y a t=所围成图形的面积.解 如图10.4,因为33cos sin x a tx a t ⎧=⎨=⎩t 由0到2π. 图 10.4从而S =d Dσ⎰⎰=⎰-L x y y x d d 21=2π32321[cos 3sin cos sin (3cos sin )]d 2a t a t t a t a t t t ⋅--⎰=2π22203sin cos d 2a t t t ⎰=2π2203sin 2d 8a t t ⎰=2π231cos 4d 82t a t -⎰=23π8a .3.证明2322(6)d (63)d Lxy y x x y xy y -+-⎰只与L 的起始点有关,而与所取路径无关,并计算积分(3,4)2322(1,2)(6)d (63)d xy y x x y xy y -+-⎰.解 236P xy y =-,2263Q x y xy =-,2123P Qxy y y x∂∂=-=∂∂,所以积分与路径无关, 故(3,4)2322(1,2)(6)d (63)d xy y x x y xy y -+-⎰=34212(248)d (549)d x x y y y -+-⎰⎰=2323412[128][273]x x y y -+-=80156236+=. 或者 (3,4)2322(1,2)(6)d (63)d xy y x x y xy y -+-⎰ =(3,4)2232(1,2)(6d 6d )(d 3d )xy x x y y y x xy y +-+⎰=(3,4)223(1,2)d(3)x y xy -⎰=223(3,4)(1,2)[3]x y xy -=236. 4.计算e (1cos )d e (sin )d x x LI y x y y y =-+-⎰,其中L 为从(0,0)O 到(,0)A π的正弦曲线sin y x =. 解 如图10.5所示,由格林公式 I =e (1cos )d e (sin )d x xLy x y y y -+-⎰=y y y x y x x AO AOL d )(sin e d )cos 1(e )(-+--⎰⎰+=(e )d d 0x Dy x y ---⎰⎰=πsin 0e d d x xx y y ⎰⎰图 10.5=π201e sin d 2x x x ⎰=π01e (1cos 2)d 4xx x -⎰=ππ0011e d e cos 2d 44x x x x x -⎰⎰=ππ11(e 1)(e 1)420---=π1(e 1)5-.其中π0e cos 2d x x x ⎰=πcos 2de x x ⎰=ππ00e cos 2|e dcos 2x x x x -⎰=π0e 12sin 2d x e x x π-+⎰=ππ0e 12sin 2de x x -+⎰=πππ00e 12e sin 2|2e dsin 2x x x x -+-⎰=ππ0e 14e cos2d x x x --⎰.移项解之,得ππ01e cos 2d (e 1)5x x x =-⎰.注意 本题易犯两个错误: (1)I =y y y x y x x AO AOL d )(sin e d )cos 1(e )(-+--⎰⎰+=(e )d d x Dy x y -⎰⎰.产生错误的原因是,没有注意格林公式使用时的条件:⎰⎰⎰+=∂∂-∂∂DL y Q x P y x yPx Q d d d d )(,其中C 是D 的取正向的边界曲线.而本题的闭曲线L AO +是D 的取负向的边界曲线,所以二重积分()d d DQ Px y x y∂∂-∂∂⎰⎰前面必须添加负号. (2)计算定积分π0e cos 2d x x x ⎰是连续两次使用部分积分法后移项解出来的.对此积分有些同学束手无策,有些则在连续使用分布积分法d d u v uv v u =-⎰⎰时,每次选取函数()u x ,不注意必须是同类函数(如选三角函数作为()u x 就一直选三角函数,如选e x 作为()u x 就一直选e x ),结果就出现了恒等式d d u v u v =⎰⎰,即前进一步又倒退一步,致使积不出来.5. 已知()x ϕ'连续,且(0)(1)0ϕϕ==,(0,0)A ,(1,1)B ,计算⎰-'+-=AMBx x y y x y y I d ]1e )([d ]e )([ϕϕ其中AMB 是以AB 线段为直径的上半圆周.解 如图10.6所示⎰-'+-=AMBx x y y x y y I d ]1e )([d ]e )([ϕϕ=⎰⎰+-'+--BABA x x y y x y y d ]1e )([d ]e )(][[ϕϕ=d d [()e ]d [()e 1]d x xABDx y y y x y y ϕϕ'-+-+-⎰⎰⎰ =10π[(()())e (1)]d 4x x x x x ϕϕ'-++-+⎰ =111000π()e d ()e d (1)d 4x xx x x x x x ϕϕ'-++-+⎰⎰⎰=1100π3()e d e d ()42x xx x x ϕϕ-++-⎰⎰=111000π3()e d e ()|()e d 42x x x x x x x x ϕϕϕ--++-⎰⎰ =π342--=π3()42-+. 本题需注意两点:(1)同上题一样,使用格林公式时要注意边界曲线的方向,本题因是负向,故二重积分前必须添上负号;(2)因()x ϕ是抽象函数,不可能直接将11()e d ()e d xx x x x x ϕϕ'+⎰⎰积出来,请不要先急于积分,先用分布积分法将10()e d xx x ϕ'⎰表示为111e d ()e ()|()e d xxx x x x x ϕϕϕ=-⎰⎰,则两项抽象函数的定积分就抵消了,问题就可得到解决,因此在解题过程中一定要善于思考,从中 发现解题技巧.6.证明22()d ()d x y x x y yx y -+++在右半平面(0)x >内为某一函数(,)u x y 的全微分,并求出一个这样的函数(,)u x y .解 22x y P x y -=+,22x yQ x y+=+,由于222222()P y xy x Q y x y x ∂--∂==∂+∂,所以 22()d ()d x y x x y yx y-+++ 为某一函数(,)u x y 的全微分.取定点0(1,0)M ,对于右半平面上任一点(,)M x y ,令 (,)u x y =(,)22(1,0)()d ()d x y x y x x y yx y -+++⎰=222100d d 0x y x x y x y x x y-++++⎰⎰ 图 10.6=22221001d d d x y y x y x y y xx y x y ++++⎰⎰⎰ =221ln arctan ln()ln 2y x x y x x +++- =221arctanln()2y x y x ++. 7.已知曲线积分⎰-++Ly x x x y d )9(d )1(33,其中L 为圆周222()x a y a -+= (0)a >,取逆时针方向,求a 的值,使得对应曲线积分的值最大.解 显然31P y =+,39Q x x =-在区域:D 222()x a y a -+≤内有一阶连续的偏导数,由格林公式()I a =⎰+Ly Q x P d d =()d d DQ Px y x y ∂∂-∂∂⎰⎰=22(933)d d Dx y x y --⎰⎰ =229d d 3()d d DDx y x y x y -+⎰⎰⎰⎰=2cos 232029π3d d a a r r πθπθ--⎰⎰=244229π34cos d a a ππθθ--⎰=2442924cos d a aππθθ-⎰=2431π9π24422a a -⋅⋅⋅=2499ππ2a a -. 2()18π(1)I a a a '=-,令()0I a '=,解得1a =(依题意设0a >,故将0a =和1a =-舍去),因为1a =是()I a 在(0,)+∞内唯一的驻点,且()18π54πI a ''=-=36π0-<,故()I a 在1a =处取得最大值,因此1a =,即当积分路径为22(1)1x y -+=时,对应曲线积分 的值最大.8.求⎰+---Ly x yx x y 22)1(d )1(d ,其中(1)L 为圆周2220x y y +-=的正向;(2)L 为椭圆22480x y x +-=的正向.解 令22(,)(1)y P x y x y =-+,22(1)(,)(1)x Q x y x y--=-+,则当22(1)0x y -+≠时,有22222(1)[(1)]Q x y Px x y y∂--∂==∂-+∂, 记L 所围成的闭区域为D ,(1)L :2220x y y +-=,即22(1)1x y +-=,此时(1,0)D ∉,(如图10.7(a)所示). 由于Q Px y∂∂=∂∂,由格林公式, 0)1(d )1(d 22=+---⎰L y x y x x y . (2)L :22480x y x +-=,即22(1)14y x -+=,此时(1,0)D ∈,以(1,0)为圆心,以充分小的0ε>为半径作圆周1cos :sin x C y εθεθ-=⎧⎨=⎩,θ由0到2π,取逆时针方向(如图10.7(b)所示).记L 和C 所围成的闭区域为1D ,对复连通区域1D 应用格林公式,得 0)1(d )1(d 22=+---⎰-+C L yx yx x y , 从而I =⎰+---Ly x y x x y 22)1(d )1(d =⎰+---C yx yx x y 22)1(d )1(d =2π2sin (sin )cos cos d εθεθεθεθθε--⋅⎰=2π0d θ-⎰=2π-.注意 (2)中由于点(1,0)位于L 所围成的闭区域D 内,需用复连通域上的格林公式,以避开(1,0)点,考虑到被积函数的分母为22(1)x y -+,故取圆周1cos :sin x C y εθεθ-=⎧⎨=⎩,有同学不考虑“洞”,即点(1,0),直接用格林公式,得到0)1(d )1(d 22=+---⎰Lyx yx x y 是错误的. 9.求[esin ()]d (e cos )d xx LI y b x y x y ax y =-++-⎰,其中a 、b 为正常数,L 为从点(2,0)A a沿曲线y =(0,0)O 的弧.图 10.7(a)图 10.7(b)解 添加从点(0,0)O 沿0y =到点(2,0)A a 的有向直线段1L ,则⎰⎰-++---++-=+11d )cose (d )](sin e [d )cos e (d )](sin e [L x x L L x x yax y x y x b y y ax y x y x b y I =20[(e cos )(e cos )]d d d a x x Dy a y b x y bx x -----⎰⎰⎰=20()d d d a Db a x y b x -+⎰⎰⎰=22π()(2)22bb a a a -+=23ππ(2)22a b a +-.第四节 第一类曲面积分1.设有一分布着质量的曲面∑,在点(,,)x y z 处它的面密度为(,,)x y z ρ.用曲面积分表示:(1)这曲面∑的面积A =______; (2)这曲面∑的质量M =______;(3)这曲面∑的重心坐标为x =______,y =______,z =______; (4)这曲面∑对于x 轴,y 轴,z 轴及原点的转动惯量x I =__,y I =__,z I =______,0I =______.解 (1)A =d S ∑⎰⎰.(2)M =(,,)d x y z S μ∑⎰⎰.(3)x =(,,)d (,,)d x x y z Sx y z Sμμ∑∑⎰⎰⎰⎰,y =(,,)d (,,)d y x y z Sx y z Sμμ∑∑⎰⎰⎰⎰,z =(,,)d (,,)d z x y z Sx y z Sμμ∑∑⎰⎰⎰⎰.(4)x I =22()(,,)d y z x y z S μ∑+⎰⎰, y I =22()(,,)d x z x y z S μ∑+⎰⎰, z I =22()(,,)d x y x y z S μ∑+⎰⎰, 0I =222()(,,)d x y z x y z S μ∑++⎰⎰. 2.计算4(2)d 3z x y S ∑++⎰⎰,其中∑为平面1234x y z++=在第一卦限中的部分.解 如图10.8所示,∑:1234x y z ++=,2zx ∂=-∂,43z y ∂=-∂,d d S x y ==d d 3x y , 在积分曲面上,被积函数423z x y ++=4()4234x y z++=, 303:202xy y xD x ⎧≤≤-⎪⎨⎪≤≤⎩,从而4(2)d 3z x y S ∑++⎰⎰=4d xyD x y ⎰⎰d d xyD x y ⎰⎰3=3.计算⎰⎰∑+S y x d )(22,其中∑是锥面z 及平面1z =所围成的区域的整个边界曲面. 解 如图10.9所示,1∑:z =,z x∂=∂,z y∂=∂d d S x y =d x y ,22:1xy D x y +≤. 2∑:1z =,d d d S x y =,22:1xy D x y +≤,⎰⎰∑+S y xd )(22=122222()d ()d x y S x y S ∑∑+++⎰⎰⎰⎰=2π12π12000d ρd ρd ρρd ρθθ+⎰⎰⎰⎰=113300ρd ρ2πρd ρ+⎰⎰=π1)2. 4.计算I =()d xy yz zx S ∑++⎰⎰,其中∑为锥面z =被柱面222x y ax +=所截成的部分(0)a >.解 因为积分曲面∑关于zOx 坐标面(即0y =平面)对称,xy yz +()y x z =+是关于y 的奇函数,所以x图 10.8图 10.9I =()d d y x z S zx S ∑∑++⎰⎰⎰⎰=0d zx S ∑+⎰⎰此外,在∑上,z =,d d S x y =,且∑在xOy 面上的投影为22:2xy D x y ax +≤,因此I =d zx S ∑⎰⎰=S ∑⎰⎰d xyD x yπ2cos 32π02d cos d a r r θθθ-⎰=4520cos d πθθ⎰=44253⋅⋅=415a . 5.计算d S ∑⎰⎰,其中∑为抛物面222()z xy =-+在xOy 面上方的部分.解 如图10.10所示,222()z x y =-+,2zx x∂=-∂,2z y y ∂=-∂,d d S x y =d x y , 22:2xy D x y +≤,d S ∑⎰⎰=d xyD x y ⎰⎰=2π0d d ρθ⎰⎰=1222012π4ρ)d(14ρ)8++⋅⎰=223π2(14ρ)43⋅+13π3. 6.计算()d x y z S ∑++⎰⎰,其中∑为球面2222xy z a ++=上(0)z h h a ≥<<的部分.解 ∑在xOy 面上的投影为圆域:2222:xy D x y a h +≤-, d Sd x yd x y,图 10.10故()d x y z S ∑++⎰⎰=(d xyD x y x y +⎰⎰由积分区域的对称性可得:d xy D x x y ⎰⎰=0,d xyD y x y ⎰⎰=0,又积分区域xy D 的面积为22π()a h -,故()d x y z S ∑++⎰⎰=d d xyD a x y ⎰⎰=22π()a ah -.7.求柱面220x y ax +-=在球面2222x y z a ++=内部的部分的表面积(0)a >. 解 由对称性,所求面积A 为其位于第一卦限部分面积的4倍,即4d A S ∑=⎰⎰,其中曲面∑为y =求得面积元素d d S x z =d x z ,由22z x y ax⎧⎪=⎨+=⎪⎩,消去y ,得z =由此得∑在zOx 坐标面上的投影为::0xz D z ≤≤0x a ≤≤,因此,曲面∑的面积 4d A S ∑=⎰⎰=4d xzD x z ⎰⎰=02d a ax ⎰⎰=02ax ⎰=02ax ⎰=24a . 8.设S 为椭球面222122x y z ++=的上半部分,点(,,)P x y z S ∈,π为S 在点P 处的切平面,(,,)f x y z 为点(0,0,0)O 到平面π的距离,求d (,,)SzS f x y z ⎰⎰解 设(,,)X Y Z 为π上任意一点,则π的方程为122xX yY zZ ++=,从而知 (,,)f x y z =12222()44x y z -++,由z =有z x ∂∂,z y∂∂d Sd x yd x y ,从而d (,,)Sz S f x y z ⎰⎰=221(4)d d 4Dx y x y --⎰⎰=2π201d ρ)ρd ρ4θ-⎰⎰=3π2.第五节 第二类曲面积分1.当∑是xOy 面内的一个闭区域D 时,(,,)d f x y z S ∑⎰⎰与二重积分的关系为(1)(,,)d f x y z S ∑⎰⎰=____d d D x y ⎰⎰,(2)(,,)d R x y z S ∑⎰⎰=____d d Dx y ⎰⎰.解 (1)(,,0)f x y , (2)(,,0)R x y ±.注意 因第一类曲面积分与所给曲面的侧无关,所以(1)中应填(,,0)f x y ;而第二类曲面积分与曲面的侧有关,所以(2)中应填(,,0)R x y ±,有个别同学常疏忽这一点,只填(,,0)R x y ,这是不对的.2.计算222d d d d d d x y z y z x z x y ∑++⎰⎰,其中∑为半球面z =. 解 记1∑:x =取前侧,2∑:x =,1∑与2∑在yoz 面的投影区域相同,记为yz D .2d d x y z ∑⎰⎰=12d d x y z ∑⎰⎰+22d d x y z ∑⎰⎰=222222()d d ()d d yzyzD D ay z y z a y z y z -----⎰⎰⎰⎰=0.同理2d d y z x ∑⎰⎰=0,而 2d d z x y ∑⎰⎰=222222()d d x y a a x y x y +≤--⎰⎰=2220d (ρ)ρd ρaa πθ-⎰⎰=4π2a . 从而I =222d d d d d d x y z y z x z x y ∑++⎰⎰=2d d x y z ∑⎰⎰+2d d y z x ∑⎰⎰+2d d z x y ∑⎰⎰ =0+0+4π2a =4π2a .注意 常见的错误是:2d d x y z ∑⎰⎰=12d d x y z ∑⎰⎰+22d d x y z ∑⎰⎰=2222()d d yzD ay z y z --⎰⎰或2d d y z x ∑⎰⎰=2222()d d zxD a x z z x --⎰⎰. 产生错误的原因是忽视了将第二类曲面积分化为二重积分时,应根据积分曲面的侧选择二重积分前的正、负号.(,,)d d f x y z x y ∑⎰⎰=[,,(,)]d d xyD f x y z x y x y ±⎰⎰,(,,)d d g x y z y z ∑⎰⎰=[(,),,]d d yzD g x y z y z y z ±⎰⎰,(,,)d d R x y z z x ∑⎰⎰=[,(,),]d d zxD R x y z x z z x ±⎰⎰.将第二类曲面积分化为二重积分时,究竟什么时候二重积分前面写正号,什么时候写负号,这与所给曲面的侧有关.切记:上侧取正,下侧取负; 前侧取正,后侧取负; 右侧取正,左侧取负;3.计算⎰⎰∑y x xz d d ,其中∑是平面0x =,0y =,0z =,1x y z ++=所围成的空间区域的整个边界曲面的外侧.解 如图10.11所示,1234∑=∑+∑+∑+∑,其中1234,,,∑∑∑∑各自对应于四面体的一个表面,可表示为1∑:0z = 下侧; 2∑:0y = 左侧;3∑:0x = 后侧; 4∑:1x y z ++= 上侧.1z2∑3∑4∑∑4∑由4∑得方程得1z x y =--,4∑在xoy 面上的投影域为:01xy D y x ≤≤-,01x ≤≤, 于是⎰⎰∑y x xz d d =4d d xz x y ∑⎰⎰=4(1)d d x x y x y ∑--⎰⎰=(1)d d xyD x x y x y --⎰⎰=110d (1)d x x x x y y ---⎰⎰=124. 4.计算d d d d d d x y z y z x z x y ∑++⎰⎰,其中∑为球面2222xy z R ++=的外侧.解 由题设,∑的单位法向量 n =(cos ,cos ,cos )αβγ,2,2)x y z =1(,,)x y z R. 由两类曲面积分的关系,可得d d d d d d x y z y z x z x y ∑++⎰⎰=(cos cos cos )d x y z S αβγ∑++⎰⎰=2221()d x y z S R ∑++⎰⎰=21d R S R ∑⎰⎰ =d RS ∑⎰⎰几何意义24πR R ⋅=34πR . 5.计算I =y x z h x z y g z y x f d d )(d d )(d )d (++⎰⎰∑,其中,,f g h 为连续函数,∑为平行六面体:0,0,0x a y b z c Ω≤≤≤≤≤≤表面的外侧. 解⎰⎰∑y x z h d d )(=()d d (0)d d xyxyD D h c x y h x y -⎰⎰⎰⎰=[()(0)]ab h c h -,⎰⎰∑x z y g d d )(=()d d (0)d d xzxzD D g b z x g z x -⎰⎰⎰⎰=[()(0)]ac g b g -,⎰⎰∑z y x f d d )(=()d d (0)d d yzyzD D f a y z f y z -⎰⎰⎰⎰=[()(0)]bc f a f -,从而 I =()(0)()(0)()(0)[]f a f g b g h c h abc a b c---++.注意 本题易犯的错误是利用高斯公式来解,题目中仅告诉我们,,,f g h 为连续函数,又如何对,,f g h 求导呢?6.计算[(,,)]d d [2(,,)]d d [(,,)]d d f x y z x y z f x y z y z x f x y z z x y ∑+++++⎰⎰,其中(,,)f x y z 为连续函数,∑是平面1x y z -+=在第四卦限部分的上侧.解 平面1x y z -+=的法线向量为n ={1,1,1}-,方向余弦为cos α=cos β=cos γ=, 则 I =[(,,)]d d [2(,,)]d d [(,,)]d d f x y z x y z f x y z y z x f x y z z x y ∑+++++⎰⎰=[()cos (2)cos ()cos ]d f x f y f z S αβγ∑+++++⎰⎰=[((2)((f x f y f z S ∑++++⎰⎰()d x y z S ∑-+=1d 3S ∑⎰⎰d xy x y ⎰⎰d xy x y ⎰⎰=d d xyD x y ⎰⎰=12.第六节 高斯公式 通量与散度1.设计y x xy z x z zx y z y yz x d d )(d d )(d )d (222-+-+-⎰⎰∑,其中∑为平面 0x =,0,0,,,y z x a y a z a =====所围成的立体的表面的外侧. 解 由高斯公式, I =y x xy z x z zx y z y yz x d d )(d d )(d )d (222-+-+-⎰⎰∑=(222)d x y z v Ω++⎰⎰⎰=2()d x y z v Ω++⎰⎰⎰设该正方体的形心坐标为(,,)x y z ,则2ax y z ===,而 d d d x v x vx vvΩΩΩ==⎰⎰⎰⎰⎰⎰⎰⎰⎰,d y vy vΩ=⎰⎰⎰,d z vz vΩ=⎰⎰⎰,所以d ,x v xv Ω=⎰⎰⎰ d ,y v yv Ω=⎰⎰⎰ d ,z v zv Ω=⎰⎰⎰.从而 I =2()x y z v ++=31112()222a a a a ++=43a . 本题巧妙地利用了重心坐标公式,将利用高斯公式后得到的三重积分()d x y z vΩ++⎰⎰⎰的计算转化为计算()x y z v ++,从而使问题得到解决.2.计算24d d d d 2d d xz y z y z x yz x y ∑-+⎰⎰,其中∑是球面2222xy z a ++=外侧的上半部分(0)a >.解 补充平面2221:0()z x y a ∑=+≤取下侧,I =y x yz x z y z y xz d d 2d d d d 4)(211+--⎰⎰⎰⎰∑+∑∑=(422)d 0z y y v Ω-+-⎰⎰⎰=4d z v Ω⎰⎰⎰=2π04d ρd ρd az θ⎰⎰⎰=22ρρ8πρd ρ2aa -⋅⎰=4πa . 注意 易犯的错误是 (1)I =24d d d d 2d d xz y z y z x yz x y ∑-+⎰⎰=(422)d z y y v Ω-+⎰⎰⎰=4zdv Ω⎰⎰⎰=…产生错误的原因是,没有注意到∑仅是球面的上半部分,∑并非封闭曲面,不能直接用高斯公式.尽管本题中沿曲面1∑的积分:124d d d d 2d d 0xz y z y z x yz x y ∑-+=⎰⎰,致使题目答案未受任何影响,但对不封闭的曲面直接用高斯公式,显然是不对的.(2)有同学在补充平面2221:0()z x y a ∑=+≤时,不写取什么侧,这也不妥.3.计算y x z x z y x f x z y )y x f(y d d d d )(1d d 1++⎰⎰∑,其中()f u 具有一阶连续导数,∑为柱面222()()()2ax a y a -+-=及平面0,1(0)z z a ==>所围成立体的表面外侧.解 利用高斯公式,有I =y x z x z yxf x z y )y x f(y d d d d )(1d d 1++⎰⎰∑=2211[()()1]d x xf f v y y y y Ω''-+⎰⎰⎰=d v Ω⎰⎰⎰ =2π()12a ⋅⋅=2π4a . 4.计算y x z x z y z y x d d d d d d 333++⎰⎰∑,其中∑为球面2222x y z a ++=的内侧. 解y x z x z y z y x d d d d d d 333++⎰⎰∑=2223()d x y z v Ω-++⎰⎰⎰ =2ππ403d sin d ρd ρaθϕϕ-⎰⎰⎰=512π5a -. 注意 易犯的错误是y x z x z y z y x d d d d d d 333++⎰⎰∑=2223()d xy z v Ω++⎰⎰⎰=23d a v Ω⎰⎰⎰=2343π3a a ⋅=54πa . 这里有两个错误:(1) 不注意高斯公式使用的条件:∑应是空间闭区域Ω的整个边界曲面的外侧. 本题所 给的闭曲面是球面的内侧. 因此在将闭曲面上的曲面积分y x z x z y z y x d d d d d d 333++⎰⎰∑化成三重积分2223()x y z dv Ω++⎰⎰⎰时,前面必须写上负号. (2) 将曲面积分与三重积分的计算法混为一谈. 计算三重积分222()d xy z v Ω++⎰⎰⎰时,因为Ω为球体:2222x y z a ++≤,因此不能将三重积分中的被积函数222x y z ++用2a 代入,这种做法是常犯的错误. 只有计算曲面积分时,才能将曲面方程代入被积函数.5.计算322d d 2d d 3d d I x y z xz z x y z x y ∑=++⎰⎰,其中积分曲面∑为抛物面 z =22(01)x y z +≤≤的上侧.解 令221:1(1)z x y ∑=+≤,取下侧,则1∑+∑构成封闭曲面,取内侧. 于是y x y x z xz z y x d zd 3d d 2d d 2231++⎰⎰∑+∑=()d P Q Rv x y zΩ∂∂∂-++∂∂∂⎰⎰⎰ =223()d d d xy x y z Ω-+⎰⎰⎰=221223d d ()d xyx yD x y x y z +-+⎰⎰⎰=22π11203d d d r r r r z θ-⎰⎰⎰=13206π(1)d r r r --⎰=π2-.由于1∑在平面1z =上,1∑在,zOx yOz 坐标面上的投影为直线段,故d d z x =d d y z =0,1∑在xOy 坐标面上的投影域为22:1xy D x y +≤,于是322d d 2d d 3d d x y z xz z x y z x y ∑++⎰⎰=123d d y x y ∑⎰⎰=23d d xyD y x y -⎰⎰ =21223d ρρsin d ρπθθ-⋅⎰⎰=212303sin d ρd ρπθθ-⎰⎰=3π4-. 所以11322322d d 2d d 3d d d d 2d d 3d d I x y z xz z x y z x y x y z xz z x y z x y ∑+∑∑=++-++⎰⎰⎰⎰=π3π()24---=π4. 6.计算⎰⎰∑++S z y x d )cos cos cos (222γβα,其中∑是由222x y z +=及z h = (0)h >所围成的闭曲面的外侧,cos ,cos ,cos αβγ是此曲面的外法线的方向余弦.解 ∑在xOy 平面上的投影区域为:222x y h +≤. I =⎰⎰∑++S z y xd )cos cos cos (222γβα=⎰⎰∑++y x z x z y z y x d d d d d d 222=(222)d x y z v Ω++⎰⎰⎰=2d d )d xyh D x y x y z z ++⎰⎰=2()d d 2d d d xyxyh h D D x y x y z x y z ++⎰⎰⎰⎰=222()2()(d 2d d 2xy xyD D h x y x y h x y x y -+++⎰⎰⎰⎰=2π2π22202(cos sin )d (ρ)ρd ρd (ρ)ρd ρh hh h θθθθ+-+-⎰⎰⎰⎰=23002π(ρρ)d ρhh +-⎰=442π[]24h h -=4π2h .7.已知向量场22xz x y y z =i +j +k A ,求A 的散度以及A 穿过∑流向∑指定侧的通量,其中∑为2222,1z x y x y =++=以及三个坐标面在第一卦限所围立体全表面的外侧. 解 令22,,P xz Q x y R y z ===,则A 的散度22div P Q R A z x y x y z∂∂∂=++=++∂∂∂. 通量⎰⎰∑⋅=ΦS d n A =div d v Ω⎰⎰⎰A =22()d z x y v Ω++⎰⎰⎰=22220d d ()d xyx y D x y z x y z +++⎰⎰⎰22(:1,0,0)xy D x y x y +≤≥≥=2223()d d 2xyD x y x y +⎰⎰=142003d d 2r r r πθ⋅⎰⎰=π31226⋅⋅=π8.第七节 斯托克斯公式 环量与旋度1.利用斯托克斯公式计算⎰Γ++z x y z x y d d d ,这里Γ为曲线2222x y z a x y z ⎧++=⎨++=⎩ 从x 轴正向看去,Γ为逆时针方向.解 平面0x y z ++=的上侧法线的方向余弦为cos cos cos αβγ===设∑为平面0x y z ++=上由圆周Γ所围成的面域,取上侧,相应的单位法向量. 于是⎰Γ++z x y z x y d d d =cos cos cos d S x y z yzxαβγ∑∂∂∂∂∂∂⎰⎰=(cos cos cos )d S αβγ∑-++⎰⎰=d S ∑=2a . 2.求向量场(sin )(-cos )z y z x y +A =i -j 的旋度.解 rot sin cos 0x y z z y z x y∂∂∂∂∂∂+-+ij kA ==+i j . 3.求平面向量场22()2x y xy -A =i +j 沿闭曲线L 的环流量,其中L 是0x =,,0,x a y y b ===所围成的正向回路. 解 环向量⎰+-Ly xy x y x d 2d )(22=4d d xyD y x y ⎰⎰=004d d a bx y y ⎰⎰=22ab .4.利用斯托克斯公式计算⎰Lz xyz d ,其中Γ是用平面y z =截球面22x y +21z +=所得的截痕,若逆z 轴正向看去,取逆时针的方向. 解 由斯托克斯公式⎰Lz xyz d =d d d d d d 00y z z x x yx y z xyz∂∂∂∂∂∂=d d d d xz y z yz z x ∑-⎰⎰, 其中∑是平面y z =上以圆Γ为边界的平面,其侧与Γ的正向符合右手规则.显然,∑在yoz 坐标面上的投影为一线段,所以d d 0xz y z ∑=⎰⎰.∑在xoz 坐标面上的投影为一椭圆域22:21D x z +≤,且∑的法向量与y 轴成钝角, 从而2d d d d Dyz z x z z x ∑-=⎰⎰⎰⎰=2d z z x ⎰⎰=π22204sin sin cos d zz t t t =⎰π2420(sin sin )d t t t -1π31π2()22422⋅-⋅⋅π.第十章 曲线积分与曲面积分(总习题)1.填空.(1)设平面曲线L为下半圆周y =则曲线积分22()d Lxy s +⎰的值是π;(2)向量场22(,,)ln(1)zx y z xy ye x z =+++u i j k 在点(1,1,0)P 处的散度div 2=u .(3)设L 为取正向的圆周229x y +=,则曲线积分⎰-+-Ly x xx y xy d )4(d )22(2的值是18π-.解 (1)22()d L x y s +⎰=d L s ⎰=12π12⋅⋅=π. (2)div u =P Q R x y z ∂∂∂++∂∂∂=222e 1Z zy x z ++⋅+, 从而 2(1,1,0)22div |e |21zP xzy z =++=+u . (3)⎰-+-Ly x x x y xy d )4(d )22(2=(2422)d d D x x x y --+⎰⎰=2d d Dx y -⎰⎰=22π3-⋅⋅=18π-. 2.计算⎰++ABCDA y x yx d d ,ABCDA 是以点(1,0),(0,1),(1,0),(0,1)A B C D --位顶点的正方形正向边界. 解 法1 ⎰⎰+=++=ABCDA ABCDA y x y x yx I d d d d (00)d d 0Dx y =-=⎰⎰.此法是先将正方形的边界1x y +=代入被积函数后,再用格林公式求解. 法2 因 :1,AB x y += :1,BC y x -= :1,CD x y --=:1DA x y -=. 从而d d ()ABBCCDDAx yI x y+=++++⎰⎰⎰⎰=()d d ABBCCDDAx y ++++⎰⎰⎰⎰=01111(11)d (11)d (11)d (11)d x x x x ---+++-++⎰⎰⎰⎰=112d 2d x x -+⎰⎰=0.法2是分段分别计算,比较一下还是法1简便.但切记不可直接对⎰++ABCDA y x yx d d 用格林公式.请同学们动脑筋想一下,这是为什么?3.计算⎰-+-+-=ABz xy z y zx y x yz x I d )(d )(d )(222,B A 为螺线cos x ϕ=,y =sin ϕ,z ϕ=由点(1,0,0)到点(1,0,2π)的弧段. 解 ⎰-+-+-=ABz xy z y zx y x yz x I d )(d )(d )(222=22220[(cos sin )(sin )(sin cos )cos (sin cos )]d πϕϕϕϕϕϕϕϕϕϕϕϕ--+-+-⎰ =22222222cos dcos cos2d sin dsin d sin dsin πππππϕϕϕϕϕϕϕϕϕϕϕ-++-⎰⎰⎰⎰⎰=33322π2π2π2π0000cos sin sin |0|||3332ϕϕϕϕ-++- =31000(2π)03-++-=38π3. 4.设B A 为连接点(1,2)A 与(2,3)B 的某曲线弧,又设B A与直线段AB 所包围图形的面积等于k ,计算曲线积分y xx x x y B A d )1(d 2⎰-+ .(直线段AB 与曲线弧B A 除点,A B 外无其它交点,曲线弧B A不与y 轴相交,且自身不相交).解 2(,)y P x y x =, 1(,)Q x y x x=-,则 221111Q P x y x x∂∂-=+-=∂∂, 直线段:1BA y x =+,x 由2到1,记B A与BA 所围成的闭区域为D ,由于要用到格林公式,所以要分两种情况讨论: B A取逆时针方向(如图10.12(a))(1)y x x x x y I B A d )1(d 2⎰-+==y xx x x y BA BA d )1(d )(2-+-⎰⎰+ 图10.12=21d d d ()d BA Dy x y x x y x x -+-⎰⎰⎰=12211()d x k x x x x +-+-⎰ =1221()d k x x x -+⎰=2k +. (2)B A取顺时针方向(如图10.12(b )所示). y x x x xy I BA d )1(d 2⎰-+==y x x x x y BA AB BA d )1(d )(2-+-⎰⎰+ =21d d d ()d BA Dy x y x x y x x--+-⎰⎰⎰=1221()d k x x x --+⎰=2k -+.注意 常见错误是不讨论B A是取逆时针方向,还是取顺时针方向,就直接利用了格林公式,这是不对的.5.计算曲线积分⎰++-L y x y x x y 22d d .(1)L 是圆周22(1)(1)1x y -+-=的正向; (2)L 是曲线1x y +=的正向.解 22(,)y P x y x y -=+, 22(,)x Q x y x y=+,当220x y +≠时, 22222()P y x Qy x y x∂-∂==∂+∂, 记曲线L 所围成的闭区域为D .(1) 如图10.13(a )所示,此时(0,0),(,),(,)D P x y Q x y ∉在L 所围成的闭区域D 内有一阶连续偏导数,由格林公式: ⎰⎰⎰==++-=L Dy x y x yx x y I 0d d 0d d 22.c(2)如图10.13(b )所示,此时(0,0),(,),(,)D P x y Q x y ∈在L 所围成的闭区域D 上有不连续点(0,0),以(0,0)为圆心,以充分小0ε>的为半径作圆周:cos ,sin ,02πC x y εθεθθ==≤≤,C 取逆时针方向,记L 和C 所围成的闭区域为1D ,对复连通域1D 应用格林公式,有0d d 22=++-⎰-+C L y x yx x y从而⎰++-L y x y x x y 22d d =⎰++-C y x y x x y 22d d=2π2sin (sin )cos cos d εθεθεθεθθε--+⋅⎰=20d πθ⎰=2π.6.计算曲线积分⎰+-Cyx xy y x 224d d ,其中C 是(1,0)以为中心,(1)R R ≠为半径的圆周,逆时针方向.解 22(,)4y P x y x y -=+, 22(,)4xQ x y x y=+, 当2240x y +≠时,22224P y x Qy x y x∂-∂==∂+∂,C 所围成的闭区域记为D ,(0,0)究竟在不在以为(1,0)中心,R 为半径的圆内,要分两种情况讨论: (1)1R <时,(0,0)D ∉(图10-14(a)),则⎰=+-Cyx xy y x 04d d 22; (2)1R >时,(0,0)D ∈,作足够小的椭圆cos :2sin x L y εθεθ=⎧⎨=⎩,02πθ≤≤,L 取逆时针方向(图10.14(b))图 10.13于是由格林公式,有04d d 22=+-⎰-+L C y x xy y x ,从而⎰+-Cy x x y y x 224d d =⎰+-L yx xy y x 224d d =2π22220cos 2cos )2sin (sin )d 4cos 4sin εθεθεθεθθεθεθ--+⎰=2π01d 2θ⎰=π. 注意 易犯错误是不分1,1R R <>两种情况讨论,未注意闭曲线L 所围成的闭区域D 内有无“洞”,即D 是否为“单连通域”?7.设曲线积分2d ()d Lxy x y x y ϕ+⎰与路径无关,其中()x ϕ具有连续的导数,且(0)0ϕ=,计算(1,1)2(0,0)d ()d xy x y x y ϕ+⎰的值.解 2(,)P x y xy =,(,)()Q x y y x ϕ=,因曲线积分与路径无关,P Qy x∂∂=∂∂, 22(),()2,()xy y x x x x x C ϕϕϕ''===+, 由(0)0ϕ=,则0C =,从而2()x x ϕ=. (1,1)2(0,0)d ()d I xy x y x y ϕ=+⎰=(1,1)22(0,0)d d xy x x y y +⎰=10d y y ⎰=12. 8.质点P 沿着以AB 为直径的圆周,从点(1,2)A 运动到点(3,4)B 的过程中受变力F 的作用,F 的大小等于点P 到原点O 之间的距离,其方向垂直于线段OP 且与y 轴正向的夹角小于2π,求变力F 对质点P 所做的功. 解 圆弧AB 的方程为22(2)(3)2x y -+-=,其参数方程为23x ty t⎧=⎪⎨=+⎪⎩, 3π(π)44t -≤≤y x =-+i j F ,所以434()d d )sin )cos ]d LW y x x y t t t t t ππ-=-+=⎰⎰(a )1R <(b )1R >图 10.14。
第十章 曲线积分与曲面积分(第六部分)曲面积分习题解答一、对面积的曲面积分1.计算曲面积分⎰⎰∑++dS y x z )342(,其中∑为平面1432=++zy x 在第一卦限中的部分. 分析 因为∑:1432=++z y x ,可恒等变形为∑:y x z 3424--=,又因被积函数y x z 342++与∑形式相同,故可利用曲面方程来简化被积函数,即将4342=++y x z 代入,从而简化计算。
解 平面∑方程的为)321(4yx z --=(如图), ∑在xoy 面上的投影区域xy D :0,0,132≥≥≤+y x yx ;34,2-=∂∂-=∂∂y z x z ,面积元素 dxdy dxdy y z x z dS 361122=⎪⎪⎭⎫⎝⎛∂∂+⎪⎭⎫ ⎝⎛∂∂+= 从而⎰⎰⎰⎰⋅=++∑xyD dxdy dS y x z 3614)342( 61432213614=⋅⋅⋅=. 2. 计算曲面积分⎰⎰∑+dS y x |)|(,其中∑为1||||||=++z y x .解 由对称性可知,0=⎰⎰∑xd S ,由轮换对称性和代入技巧知,⎰⎰⎰⎰⎰⎰∑∑∑=++=dS dS z y x dS y 31|)||||(|31||,再由曲面积分的几何意义知,34238=⋅=⎰⎰∑dS ,所以,334|)|(=+⎰⎰∑dS y x .y二、对坐标的曲面积分1.计算曲面积分⎰⎰∑dydz x 2.其中∑为球面2222R z y x =++在第一卦限部分的上侧。
分析 由于∑不是封闭曲面,且只是对坐标z y ,的曲面积分,故直接计算即可。
解 因∑:222z y R x --=取前侧,且∑在yoz 面上的投影区域为0 ,0 , :222≥≥≤+z y R z y D yz .于是得 ⎰⎰∑dydz x 2dydz z y R yzD ⎰⎰--=)(222⎰⎰⋅-θ=πRrdr r R d 02220 )(402228141212R r r R Rπ=⎥⎦⎤⎢⎣⎡-π=. 2. 计算曲面积分⎰⎰∑++=ydzdx xdydz zdxdy I .其中∑是柱面122=+y x 被平面0=z 及3=z 所截得的在第一卦限内的部分的前侧。
十 曲线积分及曲面积分习题(一) 对弧长的曲线积分1. 计算ds y x L ⎰+)(22,其中L 为圆周t a y t a x sin ,cos == )20(π≤≤t . 解 32032222202222222cos sin )sin cos ()(a dt a dt t a t a t a t a ds y x L πππ==++=+⎰⎰⎰.2. 计算ds x L ⎰,其中L 为由直线x y =及抛物线2x y =所围成的区域的整个边界.解 )12655(12141210210-+=++=⎰⎰⎰dx x x dx x ds x L . 3.计算⎰L yds ,其中L 是抛物线x y 42=上从)0,0(O 到)2,1(A 的一段弧. 解⎰L yds =dy y y dy y y ⎰⎰+=+202202421)2(1 4.计算⎰+L ds y x )(,其中L 为从点)0,0(O 到)1,1(A 的直线段. 解 ⎰+L ds y x )(=23211)(10=++⎰x x . 5.计算⎰L xyzds ,其中L 是曲线2321,232,t z t y t x ===)10(≤≤t 的一段. 解 ⎰L xyzds =⎰⎰+=++13102223)1(232)2(121232dt t t t dt t t t t t6.计算22x y Leds +⎰,其中L 为圆周222x y a +=,直线y x =及x 轴在第一象限所围成的扇形的整个边界. 解22x y Leds +⎰=⎰1L +⎰2L +⎰3L7.设在xoy 面内有一分布着质量的曲线L ,在点(),x y 处它的线密度为(),x y μ,试用对弧长的曲线积分分别表达(1)这条曲线弧对x 轴,y 轴的转动惯量,x y I I ; (2) 这条曲线弧的质心坐标,x y .解 〔1〕⎰=L x dS y I 2μ ⎰=L y dS x I 2μ〔2〕⎰⎰=LL dSy x dS y x x x ),(),(μμ ⎰⎰=LL dSy x dS y x y y ),(),(μμ (二) 对坐标的曲线积分1.计算⎰+L xdy ydx ,其中L 为圆周t R y t R x sin ,cos ==上对应t 从0到2π的一段弧. 解⎰+Lxdy ydx =0]cos cos )sin (sin [20=+-⎰dt t tR R t R t R π2.计算⎰+L ydx xdy ,其中L 分别为〔1〕沿抛物线22x y =从)0,0(O 到)2,1(B 的一段; 〔2〕沿从)0,0(O 到)2,1(B 的直线段.; 〔3〕沿封闭曲线OABO ,其中)0,1(A ,)2,1(B . 解 〔1〕⎰=+=1022)24(dx x x x I .〔2〕2)22(1=+=⎰dx x x I .〔3〕⎰+L ydx xdy =⎰⎰⎰++BO AB OA3.计算⎰-+++L dz y x zdy xdx )1(,其中Γ是从点)1,1,1(到点)4,3,2(的一段直线.解 直线方程为312111-=-=-z y x ,其参数方程为13,12,1+=+=+=t z t y t x ,t 从0变到1.4.计算2()L xydx x y dy x dz +-+⎰,其中L 是螺旋线bt z t a y t a x ===,sin ,cos 从0=t 到π=t 上的一段.解 dt t b a t a t a t a t a t a t a I ⎰+-+-•=π22]cos cos )sin cos ()sin (sin cos [5.设Γ为曲线23,,x t y t z t ===上相应于t Pdx Qdy Rdz Γ++⎰化成对弧长的曲线积分. 解 由于)3,2,1()3,2,1(),,(2y x t t dt dz dt dy dt dx ==,故229411cos yx ++=α,229412cos yx x ++=β,229413cos yx y ++=γ.(三) 格林公式及应用1.计算⎰-L ydy x dx xy 22,其中L 为圆周222a y x =+,取逆时针方向. 解⎰-Lydy x dx xy 22=0)22(=--⎰⎰Ddxdy xy xy2.计算⎰+--L dy y x dx y x )sin ()(22,其中L 是在圆周22x x y -=上由点)0,0(到点)1,1( 的一段弧.解 y x P -=2,)sin (2y x Q +-=3. 计算(1)()xxL ye dx x e dy +++⎰,其中L 为椭圆22221x y a b+=的上半周由点(,0)A a 到(,0)B a -的弧段.解 x ye P +=1,x e x Q +=4. 计算3222(2cos )(12sin 3)L xy y x dx y x x y dy -+-+⎰,其中L 为在抛物线22x y π=上由点(0,0)到,12π⎛⎫⎪⎝⎭的一段弧.解 322cos P xy y x =-,2212sin 3Q y x x y =-+5. 计算⎰+-L y x xdy ydx )(222,其中L 为圆周2)1(22=+-y x ,L 的方向为逆时针方向. 解 )(222y x y P +=,)(222y x x Q +-=,当022≠+y x 时, L 所围区域为D ,由于D ∈)0,0(0>r ,作位于D 内的小圆周222:r y x l =+.记L 及l 所围区域为1D ,在1D 上应用格林公式,得⎰+-L y x xdyydx )(222-⎰+-l y x xdy ydx )(222=0其中l6. 计算星形线t a y t a x 33sin ,cos ==,)20(π≤≤t 所围成区域的面积.解 ⎰-=L ydx xdy A 21=2024224283)cos sin 3sin cos 3(a dt t t a t t a ππ=+⎰7. 证明曲线积分(2,1)423(1,0)(2)(4)xy y dx x xy dy -+-⎰在整个xoy 面内及路径无关,并计算积分值.解 〔1〕42y xy P -=,324xy x Q -=xQ y x y P ∂∂=-=∂∂342在整个xoy 面上成立 故曲线积分(2,1)423(1,0)(2)(4)xy y dx x xy dy -+-⎰在整个xoy 面内及路径无关.〔2〕⎰⎰+=21L L I =8.验证dy x xydx 22+在整个xoy 平面内是某一函数),(y x u 的全微分,并求这样的一个),(y x u . 解 〔1〕验证略;〔2〕y x dy x y x u yABOA2020),(=+=+=⎰⎰⎰9.试用曲线积分求dy y x dx y x )cos ()sin 2(++的原函数. 解 y x P sin 2+=,y x Q cos =,xQ y y P ∂∂==∂∂cos 在整个xoy 面上成立 所以 ⎰++=),()0,0()cos ()sin 2(),(y x dy y x dx y x y x u(四) 对面积的曲面积分1.计算⎰⎰∑+dS y x )(22,其中∑是锥面22y x z +=及平面1=z 所围成的区域的整个边界曲面. 解⎰⎰∑+dS y x )(22=⎰⎰⎰⎰∑∑+212. 计算⎰⎰∑++dS z y x )223(,其中∑为平面1432=++z y x在第一卦限的局部.解 dxdy y x y x I xyD ⎰⎰-+-+--++=22)34()2(1))321(223(,3.计算⎰⎰∑dS z 2,其中∑为球面2222a z y x =++.解⎰⎰∑dS z 2=⎰⎰⎰⎰--=++--xyxy D D y x dxdy y x a a dxdy z z y x a 2222222221)(2 4.计算⎰⎰∑++dS z y x )(,∑是球面0,222≥=++z a z y x .有问题解 ⎰⎰----++=xyD dxdy y x a y x a y x I 222222)(5.求抛物面壳221()(01)2z x y z =+≤≤的质量,此壳的面密度为z μ=.解 ⎰⎰∑=zdS M =dxdy y x y x xyD 22221)(21+++⎰⎰=2012d d πρ⎰(五) 对坐标的曲面积分1.计算⎰⎰∑zdxdy y x 22,其中∑是球面2222R z y x =++的下半局部的下侧.解⎰⎰∑zdxdy y x 22=dxdy y x R y x xyD ⎰⎰--2222 2.计算⎰⎰∑++yzdzdxxydydz xzdxdy ,其中∑是平面1,0,0,0=++===z y x z y x 所围成的空间区域的整个边界曲面的外侧.解 4321∑+∑+∑+∑=∑3.计算⎰⎰∑++=dxdy z h dxdz y g dydz x f I )()()(,其中h g f ,,为连续函数,∑为平行六面体c z b y a x ≤≤≤≤≤≤Ω0,0,0:外表的外侧. 解 654321∑+∑+∑+∑+∑+∑=∑ 所以321I I I I ++=4.计算⎰⎰∑++dxdy z dzdx y dydz x 222,其中∑为半球面222y x a z --=的上侧. 解⎰⎰⎰⎰⎰⎰∑∑∑+=21222dydz x dydz x dydz x同理:02=⎰⎰∑dzdx y故⎰⎰∑++dxdy z dzdx y dydz x 222=42a π.5.计算⎰⎰∑++zdxdy ydzdx xdydz ,其中∑是柱面122=+y x 被0=z 及3=z 所截得的在第一卦限内的局部的前侧. 解⎰⎰∑=0zdxdy同理:π43=⎰⎰∑ydzdx故⎰⎰∑++zdxdy ydzdx xdydz =π23.6.设∑为平面x z a +=在柱面222x y a +=内那一局部的上侧,下面两个积分的解法是否正确?如果不对,给出正确解法. 〔1〕3()()x z dS a dS a a ∑∑+==⨯∑=⎰⎰⎰⎰的面积;〔2〕3()()x z dxdy a dxdy a a ∑∑+==⨯∑=⎰⎰⎰⎰的面积.解 〔1〕正确;〔2〕错误.正确解法是:(六) 高斯公式利用高斯公式计算:1.计算⎰⎰∑++dxdy z dzdx y dydz x 333,其中∑为球面2222a z y x =++的内侧.解 2223()I x y z dv Ω=-++⎰⎰⎰ 240003sin Rd d r dr ππθϕϕ=-⎰⎰⎰5125R π=-2.计算⎰⎰∑++zdxdy ydzdx xdydz ,其中∑是曲面22y x z +=在第一卦限中10≤≤z 局部的下侧.解 补充曲面:)0,0,1(,1:221≥≥≤+=∑y x y x z ,取上侧; )1,10(,0:22≤≤≤≤=∑z x x y ,取左侧;)1,10(,0:23≤≤≤≤=∑z y y x ,取后侧.∑,1∑,2∑与3∑构成闭曲面,所围的空间闭区域记为Ω,由高斯公式,得3.计算⎰⎰∑+++-dxdy xz y dzdx x dydz z x y )()(22,∑为正方体Ω的外表并取外侧,其中解 ()I y x dv Ω=+⎰⎰⎰=4000)(a dz y x dy dx aa a =+⎰⎰⎰4.计算⎰⎰∑++dS z y x )cos cos cos (222γβα,其中∑是由222z y x =+及)0(>=h h z 所围成的闭曲面的外侧,γβαcos ,cos ,cos 是此曲面的外法线的方向余弦.解 2()2()2I x y z dxdydz x y dxdydz zdxdydz ΩΩΩ=++=++⎰⎰⎰⎰⎰⎰⎰⎰⎰(七) 斯托克斯公式1.计算⎰-+-++L dz z y dy z x dx z y )()()2(,其中L 为平面1=++z y x 及各坐标面的交线,取逆时针方向为正向. 解 由斯托克斯公式,得 =1.2.计算⎰-+-+-L dz x y dy z x dx y z )()()(,其中L 是从)0,0,(a 经)0,,0(a 与),0,0(a 回到)0,0,(a 的三角形.解 由斯托克斯公式,得(八) 曲线积分及曲面积分自测题1.计算曲线积分 (1)ds y x L⎰+22,其中L 为圆周ax y x =+22;解 :cos (-)22L r a ππθθ=≤≤(2) ⎰L zds ,其中Γ为曲线)0(,sin ,cos 0t t t z t t y t t x ≤≤===; 解ds == (3)⎰+-Lxdy dx y a )2(,其中L 为摆线)cos 1(),sin (t a y t t a x -=-=上对应t 从0到π2的一段弧;解⎰+-Lxdy dx y a )2(=20{[(2(1cos ))](1cos )(sin )sin }a a t a t a t t a t dt π---+-⎰(4)⎰Γ-+-dz x yzdy dx z y 2222)(,其中Γ是曲线32,,t z t y t x ===上由01=t 到12=t 的一段弧;解⎰Γ-+-dz x yzdy dx z y 2222)((5)⎰-+-Lx xdy y e dx y y e)2cos ()2sin (,其中L 为上半圆周0,)(222≥=+-y a y a x 沿逆时针方向;解 补充积分路径1:0L y =,x从0到2a.sin 2,cos 2x x P e y y Q e yy =-=-2.计算曲面积分 (1)⎰⎰∑++222z y x dS,其中∑是介于平面0=z 及H z =之间的圆柱面222R y x =+;解x =dS ==(2)⎰⎰∑-+-+-dxdy y x dzdx x z dydz z y)()()(222,其中∑为锥面)0(22h z y x z ≤≤+=的外侧;解 11I ∑+∑∑=-⎰⎰⎰⎰(3) ⎰⎰∑++zdxdy ydzdx xdydz ,其中∑为半球面22y x R z --=的上侧;解11I ∑+∑∑=-⎰⎰⎰⎰(4)⎰⎰∑++++3222)(z y x zdxdyydzdx xdydz ,其中∑为曲面)0(9)1(16)2(5122≥-+-=-z y x z 的上侧; 解 0I = 〔利用高斯公式〕(5) ⎰⎰∑xyzdxdy ,其中∑为球面)0,0(1222≥≥=++y x z y x 外侧. 解⎰⎰∑xyzdxdy =12xyzdxdy xyzdxdy ∑∑+⎰⎰⎰⎰3.证明:22yx ydyxdx ++在整个xoy 平面除去y 的负半轴及原点的区域G 内是某个二元函数的全微分,并求出一个这样的二元函数. 解 在整个xoy 平面除去y 的负半轴及原点的区域G G 内, 所以存在(,)u x y ,使22xdx ydydu x y+=+. 取积分路径:(1,0)(,0)(,)x x y →→ 4.计算其中Γ为平面1=++z y x 及各坐标面的交线,从z 轴正向看取逆时针方向.解 由斯托克斯公式,得 =1.5.求均匀曲面222y x a z --=的质心的坐标. 解 设面密度为ρ,重心(,,)x y z 由对称性:0x y == 故重心的坐标为(0,0,)2a.。
第十章曲线积分与曲面积分习题简答习题10—11 计算下列对弧长的曲线积分: (1)LI xds =⎰,其中L 是圆221x y +=中(0,1)A到B 之间的一段劣弧; 解:(1+.(2)(1)L x y ds ++⎰,其中L 是顶点为(0,0),(1,0)O A 及(0,1)B 所成三角形的边界;解:(1)3Lx y ds -+=+⎰.(3)22Lx y ds +⎰,其中L 为圆周22x y x +=;解:222Lx y ds +=⎰.(4)2 Lx yzds ⎰,其中L 为折线段ABCD ,这里(0,0,0)A ,(0,0,2),B (1,0,2),C(1,2,3)D ;解: 2Lx y z d =⎰2 求八分之一球面2221(0,0,0)x y z x y z ++=≥≥≥度1ρ=。
解 故所求重心坐标为444,,333πππ⎛⎫⎪⎝⎭.习题10—21 设L 为xOy 面内一直线y b =(b 为常数),证明xyoABC(,)0LQ x y dy =⎰。
证明:略.2 计算下列对坐标的曲线积分: (1)Lxydx ⎰,其中L 为抛物线2y x =上从点(1,1)A -到点(1,1)B 的一段弧。
解 :45Lxydx =⎰。
(2)⎰-++Ldy y x dx y x 2222)()(,其中L 是曲线x y --=11从对应于0=x 时的点到2=x 时的点的一段弧;解34)()( 2222=-++⎰Ldy y x dx y x .(3),Lydx xdy +⎰L 是从点(,0)A a -沿上半圆周222x y a +=到点(,0)B a 的一段弧;解 0.Lydx xdy +=⎰(4)22Lxy dy x ydx -⎰,其中L 沿右半圆222x y a +=以点(0,)A a 为起点,经过点(,0)C a 到终点(0,)B a -的路径;解 22Lxy dy x ydx -⎰44a π=-。
(5)3223Lx dx zy dy x ydz +-⎰,其中L 为从点(3,2,1)A 到点(0,0,0)B 的直线段AB ;解 3223Lx dx zy dy x ydz +-⎰3187874t dt ==-⎰。
第十章 曲线积分与曲面积分(第三部分)曲线积分习题解答一、对弧长的曲线积分1.计算⎰=Lyds I ,其中L 为摆线)cos 1( ),sin (t a y t t a x -=-=的一拱)20 ,0(π≤≤>t a .解 由于⎩⎨⎧-=-=)cos 1()sin (:t a y t t a x L ,)20 (π≤≤t ;而dt t a dt y x ds 2122)cos 1(2-='+'=,)20 (π≤≤t故 ⎰⎰π-⋅-==2 021 )cos 1(2)cos 1(dt t a t a yds I L⎰π=232sin 16udu a2232a =. 2.计算曲线积分⎰+Lds y x 22,其中L 为圆周ax y x =+22.解 圆周ax y x =+22在极坐标下的方程为θ=ρcos a )22(π≤θ≤π-,则 θ=θρ'+ρ=ad d ds 22. 故⎰+Lds y x 22⎰ππ-⋅ρ=22 ads ⎰ππ-θ⋅θ=22 cos ad a ⎰πθθ=20 2cos 2d a22a =.3. 计算⎰+=Ly x ds eI 22,其中L 为圆周222a y x =+,直线x y =及x 轴在第一象限内所围成的扇形的整个边界.解积分曲线L 为闭曲线(如右图),可分解为321L L L L ++=,其中)0( ,0 :1a x y OA L ≤≤==;)40( , :2π≤θ≤==a r AB L ; )20( , :3a x x y OB L ≤≤==.故⎰⎰⎰+++++=322222122 L y x L y x L y x ds eds eds eI2)42(-π+=a e a . 4. 设螺旋线弹簧一圈的方程为t a x cos =,t a y sin =,kt z =,其中π≤≤20t ,它的线密度222) , ,(z y x z y x ++=ρ. 求此线关于z 轴的转动惯量z I .分析本题为对弧长的曲线积分在物理中的应用问题,应首先将所求的转动惯量用对弧长的曲线积分⎰ρ+=Lz ds z y x y x I 22) , ,()(表示,然后计算积分即可。
第十章曲线积分与曲面积分习题详解习题10—11 计算下列对弧长的曲线积分: (1)LI xds =⎰,其中L 是圆221x y +=中(0,1)A到B 之间的一段劣弧;解: L AB =的参数方程为:cos ,sin x y θθ==()42ππθ-≤≤,于是2cos I ππθ-=⎰4cos (1d ππθθ-==+⎰.(2)(1)Lx y ds ++⎰ ,其中L 是顶点为(0,0),(1,0)O A 及(0,1)B 所成三角形的边界;解: L 是分段光滑的闭曲线,如图9-2所示,根据积分的可加性,则有(1)Lx y ds ++⎰(1)OAx y ds =++⎰(1)ABx y ds +++⎰ (1)BOx y ds +++⎰,由于OA :0y =,01x ≤≤,于是ds dx ===,故 103(1)(01)2x y ds x dx ++=++=⎰⎰OA, 而:AB 1y x =-,01x ≤≤,于是ds ==. 故10(1)[(1)ABx y ds x x ++=+-+=⎰⎰,同理可知:BO 0x =(01y ≤≤),0d s =,则13(1)[01]2BOx y ds y dy ++=++=⎰⎰. xyoABC综上所述33(1)322Lx y ds -+=+=+⎰ (3)⎰,其中L 为圆周22x y x +=;解 直接化为定积分.1L 的参数方程为11cos 22x θ=+,1sin 2y θ=(02θπ≤≤), 且12ds d θθ==.于是201cos222d πθθ=⋅=⎰⎰.(4)2 Lx yzds ⎰,其中L 为折线段ABCD ,这里(0,0,0)A ,(0,0,2),B (1,0,2),C(1,2,3)D ;解 如图所示, 2222 LABBCCDx yzds x yzds x yzds x yzds =++⎰⎰⎰⎰.线段AB 的参数方程为 0,0,2(01)x y z t t ===≤≤,则ds =2dt ==,故02200 12=⋅⋅⋅=⎰⎰dt t yzds x AB.线段BC 的参数方程为,0,2(01)x t y z t ===≤≤,则,ds dt ==故122 0020BCx yzds t dt =⋅⋅⋅=⎰⎰,线段CD 的参数方程为1,2,2x y t z t===+)10(≤≤t ,则ds ==,故1122012(2))x yzds t t t t dt =⋅⋅+=+=⎰⎰ 2 (2所以2222LBB CC Dx y z d s x y z d sx y z d sd s =++⎰⎰⎰⎰2 求八分之一球面2221(0,0,0)x y z x y z ++=≥≥≥的边界曲线的重心,设曲线的密度1ρ=。
第10章曲线积分和曲⾯积分参考解答1l ()()213122001211418312l xds x ==?+= ()1211212Ll l xds xdsxds =+=+??蜒? (2)()22234Lxy x y ds ++??,L 为椭圆22143x y +=,其周长为a 。
解:()()22222342341212LLy ds xyds x y ds ds a ++=++==蜒蜒注意第⼀类曲线积分的对称性:若曲线关于x (y )轴对称,⽽被积函数关于y (x )为奇函数,则曲线积分为零!(3)L,L 为圆周22x y ax +=(0a >)。
解:圆周之参数⽅程为cos 22sin 2a a x t a y t ?=+=??(02t π≤≤),故22200cos22La tdtππ==2222002cos cos cos2a u du a udu udu aππππ(4)Lzds,L为()0 cossin0x t ty t t t tz t==≤≤=解:()322123tLzds t==+-Lx ds,L圆周为2222x y z ax y z++=++=解:因222L L Lx ds y ds z ds==蜒?,故()222223112333L L Lx ds x y z ds a ds aπ=++==蜒?2、计算下列对坐标的曲线积分:(1)()()2222Lx y dx x y dy++-1,1再到点()2,0的⼆线段。
x解:()1:01L y x x=≤≤,()2:212L y x x=-≤≤()()2222LI x y dx x y dy=++-()()()()1222222222L Lx y dx x y dy x y dx x y dy =++-+++-()()()()1222222=++----()122201222x dx x dx =+-??43=(作代换2t x =-,知第⼆个定积分与第⼀个相等)(2)23Lydx xzdy yz dz -+??,L 是圆周2222x y zz ?+=?=?,从z 轴正向看去,该圆周取逆时针⽅向。
第十章 曲线曲面积分§10.1对弧长的曲线积分一、选择题1. 设曲线弧段AB 为,则曲线积分有关系( ).(A)(,)d (,)d ABBAf x y s f x y s =-⎰⎰; (B )(,)d (,)d A BB Af x y s f x y s =⎰⎰;(C )(,)d (,)d A B B Af x y s f x y s +=⎰⎰;(D)(,)d (,)d AB BAf x y s f x y s =--⎰⎰. 答(B).2. 设有物质曲线23:,,(01),23t t C x t y z t ===≤≤其线密度为ρ=,它的质量M =( ).(A)10t ⎰; (B )1t t ⎰;(C)t ⎰; (D)t ⎰. 答(A).3.设OM 是从(0,0)O 到(1,1)M 的直线段,则与曲线积分OMI s=⎰不相等的积分是( ).(A)10x ⎰; (B)10y ⎰;(C)d r r ⎰; (D)10e r ⎰答(D).4 .设L 是从(0,0)A 到(4,3)B 的直线段,则曲线积分()d Lx y s -=⎰( ).(A)403d 4x x x ⎛⎫- ⎪⎝⎭⎰; (B)303d 4y y y ⎛⎫- ⎪⎝⎭⎰;(C)3034y y y ⎛- ⎝⎰; (D)4034x x x ⎛- ⎝⎰. 答(D).5. 设L 为抛物线2y x =上从点(0,0)到点(1,1)的一段弧,则曲线积分s =⎰( ).(A)x ⎰; (B)y ⎰;(C)10x ⎰; (D)y ⎰. 答(C).6. 设L 是从(1,0)A 到(1,2)B -的直线段,则曲线积分()d Lx y s +=⎰( ).(A); (B)2; (C) (D) 答(D).二、填空题1. 设L 是圆周221x y +=,则31d LI x s =⎰与52d LI x s =⎰的大小关系是.答:12.I I =2. 设L 是连接(1,0)A 与(0,1)B 两点的直线段, 则()d Lx y s +=⎰.3. 设:cos ,sin (02),L x a t y a t t π==≤≤则22()d n Lx y s +=⎰.答:212a a π+.4. 设:cos ,sin (02),L x a t y a t t π==≤≤则22()d Lx y s -=⎰.答:0.5. 设L 是圆周221x y +=,则2d LI x s ==⎰.答:π.6. 设:cos ,sin ,t t t x e t y e t z e Γ===,上相应于t 从0变到2的这段弧,则曲线积分22()d Lx y s -=⎰.答:2)e --. 7. 设L 为曲线24y x =上从点(0,0)A 到点(1,2)B 的弧段,则Ls =⎰.答:3. 三、解答题1.计算下列对弧长的曲线积分: (1)d Lx s ⎰其中为由直线y x =与抛物线2y x =所围区域的整个边界.答: 11)12.(2)22d x y Les +⎰其中L 为圆周222x y a +=,直线y x =及x 轴在第一象限内所围成的扇形的整个边界.答: 2 2.4a a e π⎛⎫+- ⎪⎝⎭(3)2d x yz s Γ⎰,其中Γ为折线ABCD ,这里,,,A B C D 依次为点(0,0,0)、(0,0,2)、(1,0,2)、(1,3,2).答:9. (4)2d Ly s ⎰其中L 为摆线一拱(sin ),(1cos )(02)x a t t y a t t π=-=-≤≤.答: 34232.53a ⋅⋅(5)22()d Lx y s +⎰其中L 为曲线(cos sin )(sin cos )x a t t t y a t t t =+⎧⎨=-⎩(02)t π≤≤. 答: 2322(12).a ππ+§10.2对坐标的曲线积分一、选择题1. 设AB 为由(0,)A π到(,0)B π的直线段,则sin d sin d ABy x x y +=⎰( ).(A)2; (B)1-; (C)0; (D)1. 答(C). 2. 设C 表示椭圆22221x y a b+=,其方向为逆时针,则2()d C x y x +=⎰ ( ).(A)ab π; (B)0; (C)2a b +; (D)1. 答(B). 3. 设C 为由(1,1)A 到(2,3)B 的直线段,则(3)d (2)d Cx y x y x y +++=⎰( ).(A)21[(2)(23)]d x x x x x +++⎰; (B)21[(21)(213)]d x x x x x +-+-+⎰(C)21[(73)2(51)]d x x x -+-⎰; (D)21[(73)(51)]d x x x -+-⎰. 答(C).4. 设曲线C 的方程为x y =(0)2t π≤≤,则22d d Cx y y y x x -=⎰( )(A)20[cos sin t π⎰; (B)2220(cos sin )d t t t π-⎰(C)2200cos sin ππ-⎰⎰(D)201d 2t π⎰.答(D).5. 设()f u 连续可导,L 为以原点为心的单位圆,则必有( ).(A)22()(d d )0Lf x y x x y y ++=⎰;(B)22()(d d )0Lf x y x y y x ++=⎰(C)22()(d d )0Lf x y x y y ++=⎰; (D)22()(d d )0Lf x y x x y ++=⎰.答(A).6. 设C 是从(0,0)O 沿折线11y x =--到(2,0)A 到的折线段,则d d Cx y y x -=⎰( )(A)0; (B)1-; (C)2-; (D)2. 答(C).二、填空题1. L 为xoy 平面内直线x a =上的一段,则(,)d LP x y x =⎰.答:0.2. 设L 为2y x =上从(0,0)O 到(2,4)A 的一段弧,则22()d Lx y x -=⎰.答:5615-. 3. 设L 为2y x =上从(0,0)O 到(2,4)A 的一段弧,则22()d Lx y y -=⎰.答:403-.4.L 为圆弧y (2,2)A 的一段弧,则d Lxy y =⎰ .答:43. 5.设L 为圆周222()(0)x a y a a -+=>及x 轴所围成的在第一象限的区域的整个边界(按逆时针方向绕行),则d Lxy y =⎰.答:32a π-.6.设(2)d (23)d 9Lx y x x y y -++=-⎰,其中L 为xoy 平面上简单闭曲线,方向为逆时针.则L 所围成的平面区域D 的面积等于.答:32. 三、解答题1.计算()d ()d Lx y x y x y ++-⎰,其中L 为:(1) 抛物线2y x =上从(1,1)到(4,2)的一段弧; (2) 从点(1,1)到点(4,2)的一直线段;(3) 先沿直线从点(1,1)到点(1,2),然后再沿直线到点(4,2)的折线; (4) 曲线2221,1x t t y t =++=+上从点(1,1)到点(4,2)的一段弧. 答案:3432(1);(2)11;(3)14;(4).332.计算d d Ly x x y +⎰其中L 为圆周cos ,sin x R t y R t ==上对应t 从0到2π的一段弧.答:0. 3.计算22()d ()d L x y x x y yx y+--+⎰,其中L 为圆周222x y a +=(方向按逆时针). 答:2π-.4.计算d d (1)d x x y y x y z Γ+++-⎰其中Γ为从点(1,1,1)到点(2,3,4)的直线段.答:13.5. 计算22(2)d (2)d Lx xy x y xy y -+-⎰,其中L 是2y x =上从点(1,1)-到点(1,1)的一段弧.答:1415-. §10.3 格林公式一、选择题1. 设C 是圆周222x y R +=,方向为逆时针方向,则22d d Cx y x xy y -+⎰用格林公式计算可化为( ).(A)230d d Rr r πθ⎰⎰; (B)2200d d Rr r πθ⎰⎰;(C)230d 4sin cos d Rr r πθθθ-⎰⎰; (D)220d d RR r r πθ⎰⎰. 答(A).2. 设L 是圆周222x y a +=,方向为负向,则3223()d ()d Lx x y x xy y y -+-⎰= ( ).(A)323a π; (B)4a π-; (C); (D)42a π-. 答(D). 3. 设L 是从(0,0)O 沿折线22y x =--到(4,0)A 到的折线段,则d d Cx y y x -=⎰( )(A)8; (B)8-; (C)4-; (D)4. 答(B).4. 设(,),(,)P x y Q x y 在单连通区域D 内具有一阶连续偏导数,则d d LP x Q y +⎰在D 内与路径无关的充分必要条件是在D 内恒有( ).(A)0Q P x y ∂∂+=∂∂; (B)0Q Px y∂∂-=∂∂; (C)0P Q x y ∂∂-=∂∂; (D)0P Q x y∂∂+=∂∂. 答(B). 5. 设L 为一条不过原点,不含原点在内的简单闭曲线, 则22d d 4L x y y xx y -=+⎰( ).(A)4π; (B)π; (C)2π; (D)0. 答(D).6. 设L 为一条包含原点在内的简单闭曲线,则22d d 4L x y y xI x y -==+⎰( ).(A)因为Q P x y ∂∂=∂∂,所以0I =; (B)因为,Q Px y∂∂∂∂不连续,所以I 不存在; (C)2π; (D)因为Q Px y∂∂≠∂∂,所以沿不同的L ,I 的值不同. 答(C). 7. 表达式(,)d (,)d P x y x Q x y y -为某函数(,)U x y 的全微分的充分心要条件是( ).(A)P Q x y ∂∂=∂∂; (B)P Q y x∂∂=∂∂; (C)P Q x y ∂∂=-∂∂; (D)P Q y x∂∂=-∂∂. 答(D). 8. 已知2()d d ()x ay x y yx y +++为某函数(,)U x y 的全微分,则a =( ).(A)0; (B)2; (C)1-; (D)1. 答(B). 9. 设L 是从点(1,1)A 到点(2,3)B 的直线段,则(3)d (3)d Lx y x y x y +++=⎰( ).(A)2311(3)d (6)d x x y y +++⎰⎰; (B)21[(6)(23)]d x x x x x +++⎰;(C)23111(31)d (3)d 2y x x y y ++++⋅⎰⎰; (D)21[(31)(51)]d x x x -++⎰. 答(A).10*. 设()f x 连续可导,且(0)1f =,曲线积分(,)43(0,0)()tan d ()d I yf x x x f x y ππ=-⎰与路径无关,则()f x =( ).(A)1cos x +; (B)1cos x -; (C)cos x ; (D)sin x . 答(C).二、填空题1. 设区域D 的边界为L ,方向为正向, D 的面积为σ. 则d d Lx y y x -=⎰.答: 2σ.2. 设(,)f x y 在22:14x D y +≤上具有二阶连续偏导数, L 是D 的边界正向,则(,)d [3(,)]d y x Lf x y y y f x y x -+=⎰.答: 6π.3. 设L 是圆周229x y +=,方向为逆时针, 则2(2)d (4)d Lxy y x x x y -+-=⎰.答: 27π-.4. 设L 为闭曲线2x y +=方向为逆时针,,a b 为常数, 则d d L ax y by x x y -+⎰=.答: 4()a b +.5. 设ABCDA 为以点(1,0),(0,1),(1,0),(0,1)A B C D --为顶点的正方形逆时针方向一周,则d d Lx yx y++⎰=.答: 0.6. 设L 为圆周221x y +=上从(1,0)A 到(0,1)B 再到(1,0)C -的曲线段,则2d y Le y =⎰.答: 0. 7.(2,2)2(0,0)2d (3)d xy x x y +-=⎰.答: 2.8. 设L 为直线y x =从(0,0)O 到(2,2)A 的一段, 则22d 2d y y Le x xye y +=⎰.答: 42e .9*. 设L 为抛物线上一段弧,试将积分(,)d (,)d LP x y x Q x y y +⎰化为对弧长的曲线积分,其中(,),(,)P x y Q x y 在L 上连续.答:22d 14L P xQ s x ++⎰.10*. 设()f x 连续可导,且(0)0f =,曲线积分[()]sin d ()cos d x Lf x e y x f x y y --⎰与路径无关,则()f x =.答: 2x xe e --.三、解答题1. 计算22d d 2()L y x x y x y -+⎰,其中L 为圆周22(1)2x y -+=的正向.答:π-. 2. 计算(24)d (536)d Lx y x y x y -+++-⎰,其中L 是顶点分别为(0,0)、(3,0)和(3,2)的三角形正向边界.答:12. 3. 计算3222(2c o s )d (12s i n3)d Lx y y x x y x x y y -+-+⎰,其中L 为抛物线22x y π=上由点(0,0)到,12π⎛⎫⎪⎝⎭的一段弧.答:24π.4. 计算22()d (sin )d Lx y x x y y --+⎰,其中L 是圆周y 上由(0,0)到(1,1)的一段弧. 答:7sin 264-+.5. 证明下列曲线积分与路径无关,并计算积分值:(1) (2,3)(1,1)()d ()d x y x x y y ++-⎰.答:52. (2)(2,1)423(1,0)(23)d (4)d xy y x x xy y -++-⎰.答: 5.6. 验证下列(,)d (,)d P x y x Q x y y +在整个xoy 平面内是某函数(,)u x y 的全微分,并求函数(,)u x y .(1) (2)d (2)d x y x x y y +++. (2) 22d d xy x x y +.(3) 22(2cos cos )d (2sin sin )d x y y x x y x x y y ++-.答: (1) 22222x y xy ++; (2) 2x y ; (3)22cos sin x y y x +. 7. 用格林公式计算223()d (2)d Lx x y x xy y y -+-+⎰,其中L 是圆周y (2,0)A 到(0,0)O 的一段弧.答:324π-.8. 用格林公式计算423(23)d (4)d Lxy y x x x xy y -+++-⎰,其中L 是圆周y (1,0)A 到(1,0)B -的一段弧.答:62π-.§10.4 对面积的曲面积分一、选择题1. 设∑是xoy 平面上的一个有界闭区域xy D ,则曲面积分(,,)d f x y z S ∑⎰⎰与二重积分(,)d d xyD f x y x y ⎰⎰的关系是 ( ).(A)(,,0)d f x y S ∑⎰⎰=(,)d d xyD f x y x y ⎰⎰;(B)(,,0)d f x y S ∑⎰⎰=(,)d d xyD f x y x y -⎰⎰;(C)(,,0)d f x y S ∑<⎰⎰(,)d d xyD f x y x y ⎰⎰;(D)(,,0)d f x y S ∑>⎰⎰(,)d d xyD f x y x y ⎰⎰.答(A).2. 设∑是抛物面22(04)z x y z =+≤≤,则下列各式正确的是( ).(A)(,,)d f x y z S ∑⎰⎰=22224(,,)d d x y f x y x y x y +≤+⎰⎰;(B)(,,)d f x y z S ∑⎰⎰=22224(,,d x y f x y x y x y +≤+⎰⎰;(C)(,,)d f x y z S ∑=⎰⎰22224(,,d x y f x y x y x y +≤+⎰⎰;(D)(,,)d f x y z S ∑=⎰⎰22224(,,d x y f x y x y x y +≤+⎰⎰. 答(D).3.设2222:(0)x y z a z ∑++=≥,1∑是∑在第一卦限中的部分,则有( ).(A)1d 4d x S x S ∑∑=⎰⎰⎰⎰;(B)1d 4d y S x S ∑∑=⎰⎰⎰⎰;(C)1d 4d z S z S ∑∑=⎰⎰⎰⎰;(D)1d 4d xyz S xyz S ∑∑=⎰⎰⎰⎰. 答(C).4. 设∑是锥面1)z z =≤≤,则22()d x y S ∑+=⎰⎰( ).(A)22()d x y S ∑+=⎰⎰2120d d r r r πθ⋅⎰⎰;(B)22()d xy S ∑+=⎰⎰120d d r r r πθ⋅⎰⎰;(C)22()d xy S ∑+=⎰⎰21200d d r r πθ⎰;(D)22()d x y S ∑+=⎰⎰2120d d r r r πθ⋅⎰;. 答(D).5. 设∑为平面1234x y z++=在第一卦限内的部分, 则42d 3z x y S ∑⎛⎫++= ⎪⎝⎭⎰⎰( ).(A)4d d xyD x y ⎰⎰;(B)4d d 3xyD x y ⋅⎰⎰; (C)23004d d x y ⎰; (D)32004d d x y ⎰;. 答(B). 6. 设∑为曲面222()z x y =-+在xoy 平面上方的部分,则d z S ∑=⎰⎰().(A)222200d (2)d r r r r πθ--⋅⎰⎰;(B)2220d (2d r r r πθ-⎰⎰;(C)220d )d r r r πθ-⋅⎰⎰; (D)220d d r r r πθ-⎰⎰. 答(D).7. 设∑为球面2222x y z z ++=,则下列等式错误的是( ).(A)22()d 0x yz S ∑+=⎰⎰; (B )22()d 0y y z S ∑+=⎰⎰;(C)22()d 0z x y S ∑+=⎰⎰; (D)2()d 0x y z S ∑+=⎰⎰. 答(C). 二、填空题1. 设2222:x y z a ∑++=,则222()d x y z S ∑++=⎰⎰.答: 44a π.2. 设∑为球面2222x y za ++=,则222d xy z S ∑=⎰⎰.答: 0.3. 设∑为上半球面z ,则d z S ∑=⎰⎰.答: 3a π.4. 设∑为下半球面z =,则d z S ∑=⎰⎰.答: 3a π.5 设∑为球面2222x y z a ++=,则d z S ∑=⎰⎰.答: 23a π.6. 设∑为上半球面z ,则d x S ∑=⎰⎰.答: 0. 7. 设∑为平面1232x y z ++=在第一卦限部分,则2d 3z y x S ∑⎛⎫++=⎪⎝⎭⎰⎰.答:8. 设∑为平面1x y z ++=在第一卦限部分,则d z S ∑=⎰⎰.答:. 9. 设∑为平面226x y z ++=在第一卦限部分, 则(522)d x y z S ∑---=⎰⎰.答: 272-. 三、解答题1. 计算曲面积分(,,)d f x y z S ∑⎰⎰,其中∑为抛物面222()z x y =-+在xoy 面上方部分,(,,)f x y z 分别如下:(1) (,,)1f x y z =; (2) 22(,,)f x y z x y =+; (3) (,,)2f x y z z =. 答: (1) 136π; (2) 14930π; (3) 11110π. 2. 计算22()d x y S ∑+⎰⎰,其中∑是锥面z =1z =所围成的区域的整个边界曲面.答:.3. 计算22()d x y S ∑+⎰⎰,其中∑是锥面222z x y =+被平面0z =和3z =所截得的部分.答: 9π.4. 计算42d 3z x y S ∑⎛⎫++ ⎪⎝⎭⎰⎰,其中∑为平面1234x y z ++=在第一卦限中的部分.答: 5. 计算()d x y z S ∑++⎰⎰,其中∑为球面2222x y z a ++=上(0)z h h a ≥<<的部分.答: 22()a a h π-.§10.5 对坐标的曲面积分一、选择题1. 设∑是球面2222x y z a ++=外侧,222:xy D x y a +≤,则下列结论正确的是( ).(A) 2d d z x y ∑=⎰⎰222()d d xyD ax y x y --⎰⎰;(B)2d d z x y ∑=⎰⎰2222()d d xyD a x y x y --⎰⎰; (C)2d d z x y ∑=⎰⎰0;(D )(A)(B)(C)都不对. 答(C). 2. 设∑为柱面222x y a +=被平面0z =及3z =所截得的部分外侧,则d d d d d d z x y x y z y x z ∑++=⎰⎰( ).(A) 3d d z x y ∑⎰⎰; (B)3d d x y z ∑⎰⎰;(C)3d d y x z ∑⎰⎰0; (D)d d d d x y z y x z ∑+⎰⎰. 答(D).3. 设∑为柱面222x y a +=被平面0z =及3z =所截得的部分外侧在第一卦限内的部分,则d d d d d d z x y x y z y x z ∑++=⎰⎰( ).(A)303d y x ⎰⎰;(B)302d z y ⎰⎰;(C)30d z x ⎰⎰; (D)30d zx ⎰⎰. 答(B).4. 设2222:x y z a ∑++=,1:z ∑=∑取外侧, 1∑取上侧.下列结论正确的是( ).(A) 12222()d d d d xy z x y a x y ∑∑++=⎰⎰⎰⎰;(B)12222()d d 2d d x y z x y a x y ∑∑++=⎰⎰⎰⎰;(C)2222222()d d 2d d x y a x y z x y a x y ∑+≤++=⎰⎰⎰⎰; (D) 0. 答(D).5. 已知∑为平面1x y z ++=在第一卦限内的下侧,则d d z x y ∑=⎰⎰( ).(A) 1100d (1)d x x x y y ----⎰⎰; (B)110d (1)d x x x y y ---⎰⎰;(C)110d (1)d xy x y x ---⎰⎰; (D) 110d (1)d x y x y x ----⎰⎰. 答(A).6. 曲面积分2d d z x y ∑⎰⎰在数值上等于( ).(A)向量2z i 穿过曲面∑的流量;(B)密度为2z 的曲面∑的质量;(C)向量2z k 穿过曲面∑的流量;(D)向量2z j 穿过曲面∑的流量. 答(C).二、填空题1. 设∑是xoy 平面上的闭区域0101x y ≤≤⎧⎨≤≤⎩的上侧,则()d d x y z y z ∑++=⎰⎰.答: 0.2. 设∑是xoy 平面上的闭区域0101x y ≤≤⎧⎨≤≤⎩的上侧,则()d d x y z x y ∑++=⎰⎰.答: 1.3. 设∑为球面2222x y z a ++=取外侧, 则222()d d xy z x y ∑++=⎰⎰..答: 0.4. 设∑为球面2222x y z a ++=取外侧, 则d d z x y ∑=⎰⎰..答:343a π. 5. 设∑为球面2222()()()x a yb zc R -+-+-=取外侧, 则曲面积分d d z x y ∑=⎰⎰..答:343R π. 6. 设∑为球面2222x y z a ++=取外侧, 则222()d d xy z x y ∑++=⎰⎰.答: 0. 三、解答题1. 计算22d d x y z x y ∑⎰⎰,其中∑是球面2222x y z R ++=的下半部分的下侧.答:77426422453753105R R ππ⎛⎫⋅-⋅⋅= ⎪⎝⎭. 2. 计算d d d d d d z x y x y z y z x ∑++⎰⎰,其中∑是柱面221x y +=被平面0z =及3z =所截得的在第一卦限内的部分的前侧.答: 32π.3. 计算d d d d d d xz x y xy y z yz z x ∑++⎰⎰,其中∑是平面0x =,0y =,0z =,及1x y z ++=所围成的空间区域的整个边界曲面的外侧.答:18. 4*. 把对坐标的曲面积分(,,)d d (,,)d d (,,)d d P x y z y z Q x y z z x R x y z x y∑++⎰⎰化成对面积的曲面积分,其中:(1) ∑是平面326x y ++=在第一卦限部分的上侧. (2) ∑是抛物面228()z x y =-+在xoy 面上方部分的上侧. 答: (1)32d 55P Q S ∑⎛⎫++ ⎪ ⎪⎝⎭⎰⎰; (2) S ∑.§10.6 高斯公式一、选择题1. 设空间闭区域Ω的边界是分片光滑的闭曲面∑围成, ∑取外侧,则Ω的体积V =( ).(A)1d d d d d d 3y y z z z x x x y ∑++⎰⎰; (B )1d d d d d d 3x y z y z x z x y∑++⎰⎰; (C)1d d d d d d 3z y z z z x y x y ∑++⎰⎰; (D) 1d d d d d d 3x y z z z x y x y ∑++⎰⎰.答(B). 2.设∑是长方体{}:(,,)0,0,0,x y z x a y b z c Ω≤≤≤≤≤≤的整个表面的外侧,则222d d d d d d x y z y z x z x y ∑++=⎰⎰( ). (A) 2a bc ; (B)2ab c ; (C)2abc ; (D) ()a b c abc ++. 答(D).3. 在高斯定理的条件下,下列等式不成立的是( ).(A)d d d P Q R x y z x y z Ω⎛⎫∂∂∂++= ⎪∂∂∂⎝⎭⎰⎰⎰(cos cos cos )d P Q R S αβγ∑++⎰⎰;(B)d d d d d d P y z Q z x R x y ∑++=⎰⎰d d d P Q R x y z x y z Ω⎛⎫∂∂∂++ ⎪∂∂∂⎝⎭⎰⎰⎰; (C)d d d d d d P y z Q z x R x y ∑++=⎰⎰d d d R Q P x y z x y z Ω⎛⎫∂∂∂++ ⎪∂∂∂⎝⎭⎰⎰⎰; (D)d d d d d d P y z Q z x R x y ∑++=⎰⎰(cos cos cos )d P Q R S αβγ∑++⎰⎰.答(C).4. 若∑是空间区域Ω的外表面,下述计算用高斯公式正确的是( ).(A) 2d d (2)d d x y z z y x y ∑++=⎰⎰(22)d d d x x y z Ω+⎰⎰⎰;(B)3()d d 2d d d d xyz y z xy z x z x y ∑--+=⎰⎰2(321)d d d xx x y z Ω-+⎰⎰⎰;(C) 2d d (2)d d x y z z y z x ∑++=⎰⎰(21)d d d x x y z Ω+⎰⎰⎰;(D)2d d (2)d d x x y z y y z ∑++=⎰⎰(22)d d d x x y z Ω+⎰⎰⎰. 答(B).二、填空题1. 设∑是球面2222x y z a ++=外侧, 则d d z x y ∑=⎰⎰.答:343a π. 2. 设∑是球面2222x y z a ++=外侧, 则333d d d d d d x y z y z x z x y ∑++=⎰⎰.答:525a π. 3. 设∑是长方体{}:(,,)0,0,0,x y z x a yb zc Ω≤≤≤≤≤≤的整个表面的外侧,则d d d d d d x y z y z x z x y ∑++=⎰⎰.答: 3abc .4. 设∑是长方体{}:(,,)0,0,0,x y z x a y b z c Ω≤≤≤≤≤≤的整个表面的外侧,则222d d d d d d x y z y z x z x y ∑++=⎰⎰.答: ()a b c abc ++.5. 向量A yzi zxj xyk =++穿过圆柱222(0)x y a z h +=≤≤全表面∑流向外侧的通量Φ=.答: 0.6.向量2(23)()(2)A x z i xz y j y z k =+-+++穿过球面222(3)(1)(2)9x y z -+++-=∑流向外侧的通量Φ=.答: 108π.三、解答题1. 计算222d d d d d d x y z y z x z x y ∑++⎰⎰,其中∑为平面0x =,0y =,0z =及x a =,y a =,z a =所围成的立体的表面外侧.答: 43a . 2. 计算333d d d d d d x y z y z x z x y ∑++⎰⎰,其中∑为球面2222xy z a ++=外侧.答:525a π. 3. 计算2232d d ()d d (2)d d xz y z xy z z x xy y z x y ∑+-++⎰⎰,其中∑为上半球体222x y a +≤,0z ≤.答:525a π. 4. 计算d d d d d d x y z y z x z x y ∑++⎰⎰,其中∑是界于0z =和3z =之间的圆柱体223x y +≤的整个表面外侧. 答: 81π.5. 计算24d d d d d d xz y z y z x yz x y ∑-+⎰⎰,其中∑是平面0x =,0y =,0z =与平面1x =,1y =,1z =所围成的立方体的全表面外侧. 答:32. 6. 计算22d d (2)d d d d 2zx y z z xy z x x y ∑+-+⎰⎰,其中∑为曲面22z x y =+与平面1z =所围成的立体的表面外侧. 答:4π. 7. 计算曲面积分3333d d (2)d d ()d d x y z y z x z x x y ∑+++-⎰⎰,其中∑为曲面z =z .答: 326(1cos2)5π⋅⋅-.8. 计算曲面积分222d d d d (1)d d xy y z z z x z xx y ∑++-⎰⎰,其中∑为由曲面z =0z =所围成的空间区域的整个边界表面外侧.答: 322161625335πππ⋅⋅-=. 9*.用Gauss 公式计算曲面积分2()d d d d z x y z z x y ∑+-⎰⎰,其中∑是旋转抛物面221()2z x y =+介于平面0z =及2z =之间部分的下侧. 答: 8π.§10.7 斯托克斯公式一、选择题1. 在斯托克斯定理的条件下,下列等式不成立的是( ).(A) d d d P x Q y R z Γ++=⎰d d d d d d y z z x x y x y z P Q R ∑∂∂∂∂∂∂⎰⎰; (B) d d d P x Q y R z Γ++=⎰cos cos cos d S x y z PQ Rαβγ∑∂∂∂∂∂∂⎰⎰; (C)d d d P x Q y R z Γ++=⎰{}cos ,cos ,cos d i j k S x y z P Q Rαβγ∑∂∂∂⋅∂∂∂⎰⎰; (D)d d d P x Q y R z Γ++=⎰{}d ,d ,d i j k x y z x y z PQR∑∂∂∂⋅∂∂∂⎰⎰. 答(D). 2. 设Γ是从点(,0,0)a 到点(0,,0)a 再到(0,0,)a 最后回到(,0,0)a 的三角形边界(0a >),则()d ()d ()d z y x x z y y x z Γ-+-+-=⎰( ).(A) 23a ; (B )26a ; (C )22a ; (D) 2a . 答(A).3. 设Γ为圆周2229,0x y z z ++==,若从z 轴正向看去, Γ为逆时针方向.则22d 3d d y x x y z z Γ+-=⎰( ).(A) π; (B)6π; 9π; (D) 0. 答(C).二、填空题1. 设Γ为圆周2222,0x y z a z ++==,若从z 轴正向看去, Γ为逆时针方向.22d 2d d y x x y z z Γ+-=⎰.答: 0.2. 设u xy yz zx xyz =+++, 则(1)grad u =.答: {},,y z yz z x xz x y xy ++++++(2) div(grad )u = .答: 0.(3) rot(grad )u = . 答: 0.3. 设向量场(23)(3)(2)A z y i x z j y x k =-+-+-,则rot A =.答: 246i j k ++.4. 设向量场22sin sin()sin(cos )A x yi y xz j xy z k =++, 则rot A =.答: 222[sin(cos )cos()]sin(cos )[cos()cos ]x z xy xz i y z j y z xz x y k --+-. 三、解答题1. 计算d d d y x z y x z Γ++⎰,其中Γ为圆周2222,0x y z a x y z ++=++=,若高等数学 第十章 曲线曲面积分 第 21 页 学院 专业 学号 姓名从z 轴正向看去, Γ为逆时针方向.答: 2a .2*. 计算()d ()d ()d yz x z x y x y z Γ+-+-⎰,其中Γ为椭圆222x y a +=, 1(0,0)x y a b a b+=>>,若从x 轴正向看去, Γ为逆时针方向.答: π3. 计算23d d d y x xz y yz z Γ-+⎰,其中Γ为圆周222,2x y z z +==,若从z 轴正向看去, Γ为逆时针方向.答: 20π-.4. 计算22d 3d d y x x y z z Γ+-⎰,其中Γ为圆周2229,0x y z z ++==,若从z轴正向看去, Γ为逆时针方向.答: 9π.5*. 利用斯托克斯公式把曲面积分rot d A n S ∑⋅⎰⎰化为曲线积分,并计算积分值,其中A 、∑及n 分别如下:(1) 2A y i xyj xzk =++,∑为上半球面z , n 是∑的单位法向量.(2) ()A y z i yzj xzk =-+-,∑为{}(,,)02,02,02x y z x y z ≤≤≤≤≤≤的表面外侧去掉xoy 平面上的那个底面,, n 是∑的单位法向量.答: (1) 0. (2) 4-.。
第十章 曲线积分与曲面积分§10.1 对弧长曲线的积分一、判断题1.若f(x)在(-+∞∞,)内连续,则⎰badx x f )(也是对弧长的曲线积分。
( )2.设曲线L 的方程为x=)(y ϕ在[βα,]上连续可导则⎰⎰'+=Ldyy y y f ds y x f βαϕϕ2)]([1)),((),(( )二、填空题1.将⎰+Lds y x)(22,其中L 为曲线x=a(cost+tsint),y=a(sint-tcost)()20π≤≤t 化为定积分的结果是 。
2.⎰+L ds y x )(= ,其中L 为连接(1,0)和(0,1)两点的直线段。
三、选择题1.⎰+Lds y x )(22=( ),其中L 为圆周122=+y x (A )⎰02πθd (B )⎰πθ2d (C )⎰πθ22d r (D )⎰πθ22d2.⎰Lxds =( ),L 为抛物线2x y =上10≤≤x 的弧段。
(A ))155(121- (B ))155(- (C )121 (D ))155(81-四、计算⎰+Cds y x )(,其中C 为连接点(0,0)、(1,0)、(0,1)的闭折线。
五、计算⎰++L ds z y x )2(22,其中L 为⎩⎨⎧=++=++02222z y x R z y x六、计算⎰+Ln ds y x)(22,L 为上半圆周:)(222N n R y x ∈=+七、计算⎰+Ly x ds e22,其中L 为圆周222a y x =+,直线y=x 和y=0在第一象限内围成扇形的边界。
八、求半径为a ,中心角为ϕ2的均匀圆弧(ρ=1)的重心。
§10.2 对坐标的曲线积分一、判断题1.定积分也是对坐标的曲线积分。
( ) 2.022=+-⎰L y x ydx xdy ,其中L 为圆周122=+y x 按逆时针方向转一周。
( )二、填空题1.ydz x dy y dx x 2233++⎰Γ= ,其中Γ是从点A (1,2,3)到点B (0,0,0)的直线段AB 。
⾼数第⼗章线⾯积分习题和答案第⼗章曲线积分曲⾯积分练习题A 组⼀.填空题1. 设L 是 122=+y x 上从)0,1(A 经)1,0(E 到)0,1(-B 的曲线段,则?Lydy e 2=2.设?MN 是从M(1,3) 沿圆 2)2()2(22=-+-y x ⾄点 )1,3(N 的半圆,则积分+MNxdy ydx =3. L 是从)6,1(A 沿6=xy ⾄点)2,3(B 的曲线段,则++Ly x xdy ydx e )( =4. 设L 是从)0,1(A 沿1222=+y x ⾄点2,0(B )的曲线段,则+Ly x y x dy ye dx xe 222 =5. 设L 是 2x y = 及 1=y 所围成的区域D 的正向边界,则+Ldx y x xy )(33 + dy y x x )(242+ = 6. 设L 是任意简单闭曲线,b a ,为常数,则?7. 设L 是xoy 平⾯上沿逆时针⽅向绕⾏的简单闭曲线,且9)34()2(=++-?dy y x dx y x L,则L 所围成的平⾯区域D 的⾯积等于8. 常数 k = 时,曲线积分?+Ldy x kxydx 2与路径⽆关。
9.设是球⾯ 1222=++z y x ,则对⾯积的曲⾯积分∑++ds z y x 222 =10.设L 为)0,0(o , )0,1(A 和)1,0(B 为顶点的三⾓形围成的线,则对弧长的曲线积分? Lds =11. 设L 是从点)1,1(到)3,2(的⼀条线,则-++Ldy y x dx y x )()(=12. 设L 是圆周 t a x cos =, t a y sin = )20(π≤≤t ,则+LdS y x 322)(=13. 设为曲⾯2222a z y x =++,则??∑dS z y x 222=⼆、选择题1.设→→+=j y x Q i y x P A ),(),(,D y x ∈),(且P ,Q 在域D 内具有⼀阶连续偏导数,⼜L :? AB 是D 内任⼀曲线,则以下四个命题中,错误的是()+LQdy Pdx 与路径⽆关,则在D 内必有yPx Q ??≡?? B .若?Lds A 与路径⽆关,则在D 内必有单值函数),(y x u ,使得dy y x Q dx y x P y x du ),(),(),(+=C .若在D 内yPx Q ??≡??,则必有?L ds A ·与路径⽆关。
第十章 曲线曲面积分§10.1对弧长的曲线积分一、选择题1. 设曲线弧段AB 为,则曲线积分有关系( ).(A)(,)d (,)d ABBAf x y s f x y s =-⎰⎰; (B)(,)d (,)d ABBAf x y s f x y s =⎰⎰;(C)(,)d (,)d 0ABBAf x y s f x y s +=⎰⎰;(D)(,)d (,)d ABBAf x y s f x y s=--⎰⎰.答(B).2. 设有物质曲线23:,,(01),23t t C x t y z t ===≤≤其线密度为ρ它的质量M =( ).(A)10t ⎰; (B)10t t ⎰;(C)t⎰; (D)t⎰.答(A).3.设OM 是从(0,0)O 到(1,1)M 的直线段,则与曲线积分OMI s =⎰不相等的积分是( ).(A)10x ⎰; (B)10y ⎰;(C)d r r⎰;(D)10e r⎰答(D).4 .设L 是从(0,0)A 到(4,3)B 的直线段,则曲线积分()d Lx y s -=⎰( ).(A)403d 4x x x ⎛⎫- ⎪⎝⎭⎰; (B)303d 4y y y ⎛⎫- ⎪⎝⎭⎰;(C)3034y y y⎛- ⎝⎰;(D)4034x x x ⎛- ⎝⎰.答(D).5. 设L 为抛物线2y x =上从点(0,0)到点(1,1)的一段弧,则曲线积分s =⎰( ).(A)x ⎰; (B)y ⎰;(C)10x⎰; (D)y⎰.答(C).6. 设L 是从(1,0)A 到(1,2)B -的直线段,则曲线积分()d L x y s +=⎰( ).(A); (B)2; (C); (D).答(D).二、填空题1. 设L 是圆周221x y +=,则31d L I x s =⎰与52d L I x s =⎰的大小关系是.答:12.I I =2. 设L 是连接(1,0)A 与(0,1)B 两点的直线段, 则()d L x y s +=⎰..3.设:cos ,sin (02),L x a t y a t t π==≤≤则22()d n Lx y s +=⎰. 答:212a aπ+.4. 设:cos ,sin (02),L x a t y a t t π==≤≤则22()d L x y s -=⎰.答:0.5. 设L 是圆周221x y +=,则2d L I x s ==⎰.答:π.6. 设:cos ,sin ,t t t x e t y e t z e Γ===,上相应于t 从0变到2的这段弧,则曲线积分22()d L x y s -=⎰.答2)e --. 7. 设L 为曲线24y x =上从点(0,0)A 到点(1,2)B 的弧段, 则L s =⎰.答:3. 三、解答题1.计算下列对弧长的曲线积分:(1) d L x s ⎰其中为由直线y x =与抛物线2y x =所围区域的整个边界.答:11)12. (2) 22d x y L es +⎰其中L 为圆周222x y a +=,直线y x =及x 轴在第一象限内所围成的扇形的整个边界.答: 2 2.4a a e π⎛⎫+-⎪⎝⎭(3) 2d x yz s Γ⎰,其中Γ为折线ABCD ,这里,,,A B C D 依次为点(0,0,0)、(0,0,2)、(1,0,2)、(1,3,2).答:9. (4)2d Ly s⎰其中L为摆线一拱(sin ),(1cos )(02)x a t t y a t t π=-=-≤≤.答: 34232.53a ⋅⋅(5) 22()d L x y s +⎰其中L 为曲线(cos sin )(sin cos )x a t t t y a t t t =+⎧⎨=-⎩(02)t π≤≤.答: 2322(12).a ππ+§10.2对坐标的曲线积分 一、选择题1. 设AB为由(0,)A π到(,0)B π的直线段,则sin d sin d ABy x x y +=⎰( ).(A)2; (B)1-; (C);(D)1.答(C).2. 设C表示椭圆22221x y a b +=,其方向为逆时针,则2()d Cx y x +=⎰( ).(A)ab π; (B)0; (C)2a b +; (D)1. 答(B).3. 设C 为由(1,1)A 到(2,3)B 的直线段,则(3)d (2)d Cx y x y x y +++=⎰( ).(A)21[(2)(23)]d x x x x x +++⎰; (B)21[(21)(213)]d x x x x x +-+-+⎰(C)21[(73)2(51)]d x x x-+-⎰;(D)21[(73)(51)]d x x x-+-⎰. 答(C).4. 设曲线C 的方程为x y ==(0)2t π≤≤,则22d d C x y y y x x -=⎰( )(A)20[cos sin t π⎰; (B)2220(cos sin )d t t t π-⎰(C)220cos sin ππ⎰⎰;(D)201d 2tπ⎰.答(D).5. 设()f u 连续可导,L 为以原点为心的单位圆,则必有( ).(A)22()(d d )0Lf x y x x y y ++=⎰;(B)22()(d d )0Lf x y x y y x ++=⎰(C)22()(d d )0Lf x y x y y ++=⎰;(D)22()(d d )0Lf x y x x y ++=⎰.答(A).6. 设C 是从(0,0)O 沿折线11y x =--到(2,0)A 到的折线段,则d d C x y y x -=⎰( )(A)0;(B)1-; (C)2-; (D)2.答(C).二、填空题1. L 为xoy 平面内直线x a=上的一段,则(,)d LP x y x =⎰.答:0. 2. 设L 为2y x =上从(0,0)O 到(2,4)A 的一段弧,则22()d Lx y x -=⎰.答:5615-.3. 设L 为2y x =上从(0,0)O 到(2,4)A 的一段弧,则22()d Lx y y -=⎰.答:403-.4.L 为圆弧y =上从原点到(2,2)A 的一段弧,则d Lxy y =⎰.答:43.5.设L 为圆周222()(0)x a y a a -+=>及x 轴所围成的在第一象限的区域的整个边界(按逆时针方向绕行),则d L xy y =⎰.答:32a π-.6.设(2)d (23)d 9L x y x x y y -++=-⎰,其中L 为xoy 平面上简单闭曲线,方向为逆时针.则L 所围成的平面区域D 的面积等于.答:32.三、解答题1.计算()d ()d L x y x y x y ++-⎰,其中L 为: (1) 抛物线2y x =上从(1,1)到(4,2)的一段弧; (2) 从点(1,1)到点(4,2)的一直线段;(3) 先沿直线从点(1,1)到点(1,2),然后再沿直线到点(4,2)的折线;(4) 曲线2221,1x t t y t =++=+上从点(1,1)到点(4,2)的一段弧.答案:3432(1);(2)11;(3)14;(4).332.计算d d L y x x y +⎰其中L 为圆周cos ,sin x R t y R t ==上对应t 从0到2π的一段弧.答:0.3.计算22()d ()d L x y x x y yx y+--+⎰,其中L 为圆周222x y a +=(方向按逆时针).答:2π-.4.计算d d (1)d x x y y x y z Γ+++-⎰其中Γ为从点(1,1,1)到点(2,3,4)的直线段.答:13.5. 计算22(2)d (2)d L x xy x y xy y -+-⎰,其中L 是2y x =上从点(1,1)-到点(1,1)的一段弧.答:1415-.§10.3 格林公式 一、选择题1. 设C是圆周222x y R +=,方向为逆时针方向,则22d d Cx y x xy y -+⎰用格林公式计算可化为( ).(A)230d d Rr r πθ⎰⎰; (B)220d d Rr r πθ⎰⎰;(C)230d 4sin cos d Rr r πθθθ-⎰⎰; (D)220d d RR r r πθ⎰⎰. 答(A).2. 设L 是圆周222x y a +=,方向为负向, 则3223()d ()d L x x y x xy y y -+-⎰= ( ).(A)323a π; (B)4a π-; (C); (D)42a π-. 答(D).3. 设L 是从(0,0)O 沿折线22y x =--到(4,0)A 到的折线段,则d d C x y y x -=⎰( )(A)8;(B)8-; (C)4-;(D)4.答(B).4. 设(,),(,)P x y Q x y 在单连通区域D 内具有一阶连续偏导数,则d d L P x Q y +⎰在D 内与路径无关的充分必要条件是在D 内恒有( ).(A)0Q P x y ∂∂+=∂∂; (B)0Q Px y∂∂-=∂∂; (C)0P Q x y ∂∂-=∂∂; (D)0P Q x y∂∂+=∂∂. 答(B). 5. 设L 为一条不过原点,不含原点在内的简单闭曲线, 则22d d 4L x y y x x y-=+⎰( ).(A)4π; (B)π; (C)2π;(D)0.答(D).6. 设L 为一条包含原点在内的简单闭曲线,则22d d 4L x y y xI x y -==+⎰( ).(A)因为Q P xy∂∂=∂∂,所以0I =; (B)因为,Q P x y∂∂∂∂不连续,所以I 不存在;(C)2π; (D)因为Q P xy∂∂≠∂∂,所以沿不同的L ,I 的值不同. 答(C).7. 表达式(,)d (,)d P x y x Q x y y -为某函数(,)U x y 的全微分的充分心要条件是( ).(A)P Q x y ∂∂=∂∂; (B)P Q y x∂∂=∂∂;(C)P Qx y ∂∂=-∂∂; (D)P Q y x∂∂=-∂∂. 答(D). 8. 已知2()d d ()x ay x y yx y +++为某函数(,)U x y 的全微分,则a =( ).(A)0; (B)2; (C)1-;(D)1.答(B).9. 设L 是从点(1,1)A 到点(2,3)B 的直线段, 则(3)d (3)d L x y x y x y +++=⎰( ).(A)2311(3)d (6)d x x y y+++⎰⎰;(B)21[(6)(23)]d x x x x x +++⎰;(C)23111(31)d (3)d 2y x x y y ++++⋅⎰⎰; (D)21[(31)(51)]d x x x -++⎰. 答(A).10*. 设()f x 连续可导,且(0)1f =,曲线积分(,)43(0,0)()tan d ()d I yf x x x f x y ππ=-⎰与路径无关,则()f x =( ).(A)1cos x+; (B)1cos x -; (C)cos x;(D)sin x.答(C).二、填空题1. 设区域D 的边界为L ,方向为正向, D 的面积为σ. 则d d L x y y x -=⎰.答: 2σ. 2. 设(,)f x y 在22:14x D y +≤上具有二阶连续偏导数, L 是D 的边界正向,则(,)d [3(,)]d y x Lf x y y y f x y x -+=⎰.答: 6π.3. 设L 是圆周229x y +=,方向为逆时针, 则2(2)d (4)d L xy y x x x y -+-=⎰.答: 27π-. 4. 设L 为闭曲线2x y +=方向为逆时针,,a b 为常数,则d d Lax y by xx y-+⎰=.答: 4()a b +.5. 设ABCDA 为以点(1,0),(0,1),(1,0),(0,1)A B C D --为顶点的正方形逆时针方向一周,则d d Lx y x y++⎰=.答: 0.6. 设L 为圆周221x y +=上从(1,0)A 到(0,1)B 再到(1,0)C -的曲线段,则2d y Le y =⎰.答: 0.7. (2,2)2(0,0)2d (3)d xy x x y +-=⎰.答: 2.8. 设L 为直线y x =从(0,0)O 到(2,2)A 的一段, 则22d 2d y y Le x xye y +=⎰.答: 42e .9*. 设L 为抛物线上一段弧,试将积分(,)d (,)d LP x y x Q x y y +⎰化为对弧长的曲线积分,其中(,),(,)P x y Q x y 在L 上连续.答: 22d 14L P xQ s x++⎰.10*. 设()f x 连续可导,且(0)0f =,曲线积分[()]sin d ()cos d x Lf x e y x f x y y --⎰与路径无关,则()f x = .答:2x xe e --.三、解答题1. 计算22d d 2()Ly x x y x y -+⎰,其中L 为圆周22(1)2x y -+=的正向.答:π-.2. 计算(24)d (536)d L x y x y x y -+++-⎰,其中L 是顶点分别为(0,0)、(3,0)和(3,2)的三角形正向边界.答:12.3. 计算3222(2cos )d (12sin 3)d L xy y x x y x x y y -+-+⎰,其中L 为抛物线22x y π=上由点(0,0)到,12π⎛⎫⎪⎝⎭的一段弧. 答:24π.4. 计算22()d (sin )d L x y x x y y --+⎰,其中L 是圆周y上由(0,0)到(1,1)的一段弧.答:7sin 264-+.5. 证明下列曲线积分与路径无关,并计算积分值: (1) (2,3)(1,1)()d ()d x y x x y y ++-⎰. 答:52.(2) (2,1)423(1,0)(23)d (4)d xy y x x xy y -++-⎰. 答: 5.6. 验证下列(,)d (,)d P x y x Q x y y +在整个xoy 平面内是某函数(,)u x y 的全微分,并求函数(,)u x y .(1) (2)d (2)d x y x x y y +++. (2) 22d d xy x x y +.(3) 22(2cos cos )d (2sin sin )d x y y x x y x x y y ++-.答: (1) 22222x y xy ++; (2) 2x y ; (3)22cos sin x y y x +.7. 用格林公式计算223()d (2)d L x x y x xy y y -+-+⎰,其中L 是圆周y (2,0)A 到(0,0)O 的一段弧.答:324π-.8. 用格林公式计算423(23)d (4)d L xy y x x x xy y -+++-⎰,其中L 是圆周y (1,0)A 到(1,0)B -的一段弧.答:62π-.§10.4 对面积的曲面积分 一、选择题1. 设∑是xoy 平面上的一个有界闭区域xy D ,则曲面积分(,,)d f x y z S ∑⎰⎰与二重积分(,)d d xyD f x y x y ⎰⎰的关系是 ( ).(A)(,,0)d f x y S ∑⎰⎰=(,)d d xyD f x y x y ⎰⎰;(B)(,,0)d f x y S ∑⎰⎰=(,)d d xyD f x y x y-⎰⎰;(C)(,,0)d f x y S ∑<⎰⎰(,)d d xyD f x y x y ⎰⎰;(D)(,,0)d f x y S ∑>⎰⎰(,)d d xyD f x y x y⎰⎰.答(A).2. 设∑是抛物面22(04)z x y z =+≤≤,则下列各式正确的是( ).(A)(,,)d f x y z S ∑⎰⎰=22224(,,)d d x y f x y x y x y +≤+⎰⎰;(B)(,,)d f x y z S ∑⎰⎰=22224(,,d x y f x y x y x y +≤+⎰⎰;(C)(,,)d f x y z S ∑=⎰⎰22224(,,d x y f x y x y x y +≤+⎰⎰;(D)(,,)d f x y z S ∑=⎰⎰22224(,,d x y f x y x y x y+≤+⎰⎰. 答(D).3.设2222:(0)x y z a z ∑++=≥,1∑是∑在第一卦限中的部分,则有( ).(A)1d 4d x S x S ∑∑=⎰⎰⎰⎰; (B)1d 4d y S x S ∑∑=⎰⎰⎰⎰;(C)1d 4d z S z S ∑∑=⎰⎰⎰⎰; (D)1d 4d xyz S xyz S ∑∑=⎰⎰⎰⎰. 答(C).4. 设∑是锥面1)z z ≤≤,则22()d xy S ∑+=⎰⎰( ).(A)22()d x y S ∑+=⎰⎰2120d d r r r πθ⋅⎰⎰;(B)22()d x y S ∑+=⎰⎰1200d d r r r πθ⋅⎰⎰;(C)22()d x y S ∑+=⎰⎰21200d d r r πθ⎰;(D)22()d x y S ∑+=⎰⎰21200d d r r r πθ⋅⎰;. 答(D).5. 设∑为平面1234x y z ++=在第一卦限内的部分,则42d 3z x y S ∑⎛⎫++= ⎪⎝⎭⎰⎰( ). (A)4d d xyD x y ⎰⎰;(B)4d d xyD x y ⎰⎰;(C)23004d d x y ⎰;(D)32004d d x y ⎰;. 答(B). 6. 设∑为曲面222()z x y =-+在xoy 平面上方的部分,则d z S ∑=⎰⎰( ).(A)22220d (2)d r r r r πθ--⋅⎰⎰; (B)22200d (2d r r r πθ-⎰⎰;(C)220d )d r r rπθ-⋅⎰; (D)220d d r r rπθ-⎰⎰. 答(D).7. 设∑为球面2222x y z z ++=,则下列等式错误的是( ).(A)22()d 0x y z S ∑+=⎰⎰; (B)22()d 0y y z S ∑+=⎰⎰;(C)22()d 0z x y S ∑+=⎰⎰; (D)2()d 0x y z S ∑+=⎰⎰. 答(C). 二、填空题1. 设2222:x y z a ∑++=,则222()d x y z S ∑++=⎰⎰.答: 44a π.2. 设∑为球面2222x y z a ++=,则222d x y z S ∑=⎰⎰.答: 0.3. 设∑为上半球面z ,则d z S ∑=⎰⎰.答: 3a π.4. 设∑为下半球面z =则d z S ∑=⎰⎰.答: 3a π.5 设∑为球面2222x y z a ++=,则d z S ∑=⎰⎰.答: 23a π.6. 设∑为上半球面z ,则d x S ∑=⎰⎰.答: 0. 7. 设∑为平面1232x y z ++=在第一卦限部分,则2d 3z y x S ∑⎛⎫++= ⎪⎝⎭⎰⎰.答:8. 设∑为平面1x y z ++=在第一卦限部分,则d z S ∑=⎰⎰.答.9. 设∑为平面226x y z ++=在第一卦限部分, 则(522)d x y z S ∑---=⎰⎰.答: 272-.三、解答题1. 计算曲面积分(,,)d f x y z S ∑⎰⎰,其中∑为抛物面222()z x y =-+在xoy 面上方部分,(,,)f x y z 分别如下:(1)(,,)1f x y z =; (2)22(,,)f x y z x y =+; (3)(,,)2f x y z z =.答: (1) 136π; (2) 14930π; (3) 11110π.2. 计算22()d x y S ∑+⎰⎰,其中∑是锥面z =1z =所围成的区域的整个边界曲面.答: 12+.3. 计算22()d x y S ∑+⎰⎰,其中∑是锥面222z x y =+被平面0z =和3z =所截得的部分.答: 9π.4. 计算42d 3z x y S ∑⎛⎫++⎪⎝⎭⎰⎰,其中∑为平面1234x y z++=在第一卦限中的部分.答:5. 计算()d x y z S ∑++⎰⎰,其中∑为球面2222x y z a ++=上(0)z h h a ≥<<的部分.答: 22()a a h π-.§10.5 对坐标的曲面积分 一、选择题1. 设∑是球面2222x y z a ++=外侧,222:xy D x y a +≤,则下列结论正确的是( ).(A) 2d d z x y ∑=⎰⎰222()d d xyD ax y x y --⎰⎰;(B)2d d z x y ∑=⎰⎰2222()d d xyD a x y x y --⎰⎰; (C)2d d z x y ∑=⎰⎰0; (D) (A)(B)(C)都不对. 答(C).2. 设∑为柱面222x y a +=被平面0z =及3z =所截得的部分外侧,则d d d d d d z x y x y z y x z ∑++=⎰⎰( ).(A) 3d d z x y ∑⎰⎰; (B)3d d x y z ∑⎰⎰;(C)3d d y x z ∑⎰⎰0; (D) d d d d x y z y x z ∑+⎰⎰. 答(D).3. 设∑为柱面222x y a +=被平面0z =及3z =所截得的部分外侧在第一卦限内的部分,则d d d d d d z x y x y z y x z ∑++=⎰⎰( ).(A)303d y x ⎰⎰;(B)302d z y ⎰⎰;(C)30d z x ⎰⎰; (D)3d z x ⎰⎰. 答(B).4. 设2222:x y z a ∑++=,1:z ∑=∑取外侧, 1∑取上侧.下列结论正确的是( ).(A) 12222()d d d d x y z x y a x y ∑∑++=⎰⎰⎰⎰;(B)12222()d d 2d d x y z x y a x y ∑∑++=⎰⎰⎰⎰;(C)2222222()d d 2d d x y a x y z x y a x y ∑+≤++=⎰⎰⎰⎰; (D) 0. 答(D).5. 已知∑为平面1x y z ++=在第一卦限内的下侧,则d d z x y ∑=⎰⎰( ).(A) 1100d (1)d x x x y y ----⎰⎰; (B) 110d (1)d x x x y y ---⎰⎰;(C)1100d (1)d xy x y x---⎰⎰; (D) 1100d (1)d xy x y x ----⎰⎰. 答(A).6. 曲面积分2d d z x y ∑⎰⎰在数值上等于( ).(A)向量2z i 穿过曲面∑的流量;(B)密度为2z 的曲面∑的质量;(C)向量2z k穿过曲面∑的流量;(D)向量2z j 穿过曲面∑的流量. 答(C). 二、填空题1. 设∑是xoy 平面上的闭区域0101x y ≤≤⎧⎨≤≤⎩的上侧,则()d d x y z y z ∑++=⎰⎰.答: 0.2. 设∑是xoy 平面上的闭区域0101x y ≤≤⎧⎨≤≤⎩的上侧,则()d d x y z x y ∑++=⎰⎰.答: 1. 3. 设∑为球面2222x y z a ++=取外侧, 则222()d d x y z x y ∑++=⎰⎰..答: 0.4. 设∑为球面2222x y z a ++=取外侧, 则d d z x y ∑=⎰⎰..答: 343a π.5. 设∑为球面2222()()()x a y b z c R -+-+-=取外侧, 则曲面积分d d z x y ∑=⎰⎰..答: 343R π.6. 设∑为球面2222x y z a ++=取外侧, 则222()d d xy z x y ∑++=⎰⎰.答: 0. 三、解答题1. 计算22d d x y z x y ∑⎰⎰,其中∑是球面2222x y z R ++=的下半部分的下侧.答: 77426422453753105R R ππ⎛⎫⋅-⋅⋅=⎪⎝⎭.2. 计算d d d d d d z x y x y z y z x ∑++⎰⎰,其中∑是柱面221x y +=被平面0z =及3z =所截得的在第一卦限内的部分的前侧.答: 32π.3. 计算d d d d d d xz x y xy y z yz z x ∑++⎰⎰,其中∑是平面0x =,0y =,0z =,及1x y z ++=所围成的空间区域的整个边界曲面的外侧.答: 18.4*.把对坐标的曲面积分(,,)d d (,,)d d (,,)d d P x y z y z Q x y z z x R x y z x y ∑++⎰⎰化成对面积的曲面积分,其中:(1) ∑是平面326x y ++=在第一卦限部分的上侧.(2) ∑是抛物面228()z x y =-+在xoy 面上方部分的上侧.答:(1) 32d 55P Q S ∑⎛⎫++ ⎪ ⎪⎝⎭⎰⎰;(2) S ∑.§10.6 高斯公式 一、选择题1. 设空间闭区域Ω的边界是分片光滑的闭曲面∑围成, ∑取外侧,则Ω的体积V =( ).(A)1d d d d d d 3y y z z z x x x y ∑++⎰⎰; (B)1d d d d d d 3x y z y z x z x y ∑++⎰⎰; (C)1d d d d d d 3z y z z z x y x y ∑++⎰⎰; (D) 1d d d d d d 3x y z z z x y x y ∑++⎰⎰.答(B).2.设∑是长方体{}:(,,)0,0,0,x y z x a y b z c Ω≤≤≤≤≤≤的整个表面的外侧,则222d d d d d d x y z y z x z x y ∑++=⎰⎰( ).(A) 2a bc ; (B)2ab c ; (C)2abc ; (D) ()a b c abc ++.答(D).3. 在高斯定理的条件下,下列等式不成立的是( ).(A) d d d P Q R x y z x y z Ω⎛⎫∂∂∂++= ⎪∂∂∂⎝⎭⎰⎰⎰(cos cos cos )d P Q R S αβγ∑++⎰⎰;(B)d d d d d d P y z Q z x R x y ∑++=⎰⎰d d d P Q R x y z x y z Ω⎛⎫∂∂∂++ ⎪∂∂∂⎝⎭⎰⎰⎰; (C)d d d d d d P y z Q z x R x y ∑++=⎰⎰d d d R Q P x y z x y z Ω⎛⎫∂∂∂++ ⎪∂∂∂⎝⎭⎰⎰⎰; (D)d d d d d d P y z Q z x R x y ∑++=⎰⎰(cos cos cos )d P Q R S αβγ∑++⎰⎰.答(C).4. 若∑是空间区域Ω的外表面,下述计算用高斯公式正确的是( ).(A) 2d d (2)d d x y z z y x y ∑++=⎰⎰(22)d d d x x y z Ω+⎰⎰⎰;(B)3()d d 2d d d d x yz y z xy z x z x y ∑--+=⎰⎰2(321)d d d x x x y z Ω-+⎰⎰⎰; (C) 2d d (2)d d x y z z y z x ∑++=⎰⎰(21)d d d x x y z Ω+⎰⎰⎰;(D) 2d d (2)d d x x y z y y z ∑++=⎰⎰(22)d d d x x y z Ω+⎰⎰⎰. 答(B).二、填空题1. 设∑是球面2222x y z a ++=外侧, 则d d z x y ∑=⎰⎰.答: 343a π.2. 设∑是球面2222x y z a ++=外侧, 则333d d d d d d x y z y z x z x y ∑++=⎰⎰.答: 525a π.3. 设∑是长方体{}:(,,)0,0,0,x y z x a y b z c Ω≤≤≤≤≤≤的整个表面的外侧,则d d d d d d x y z y z x z x y ∑++=⎰⎰.答: 3abc .4. 设∑是长方体{}:(,,)0,0,0,x y z x a y b z c Ω≤≤≤≤≤≤的整个表面的外侧,则222d d d d d d x y z y z x z x y ∑++=⎰⎰.答: ()a b c abc ++.5. 向量A yzi zxj xyk =++穿过圆柱222(0)x y a z h +=≤≤全表面∑流向外侧的通量Φ=.答: 0.6.向量2(23)()(2)A x z i xz y j y z k =+-+++穿过球面222(3)(1)(2)9x y z -+++-=∑流向外侧的通量Φ=.答: 108π. 三、解答题1. 计算222d d d d d d x y z y z x z x y ∑++⎰⎰,其中∑为平面0x =,0y =,0z =及x a =,y a =,z a =所围成的立体的表面外侧.答: 43a .2. 计算333d d d d d d x y z y z x z x y ∑++⎰⎰,其中∑为球面2222x y z a ++=外侧.答: 525a π.3. 计算2232d d ()d d (2)d d xz y z x y z z x xy y z x y ∑+-++⎰⎰,其中∑为上半球体222x y a +≤,0z ≤≤.答: 525a π.4. 计算d d d d d d x y z y z x z x y ∑++⎰⎰,其中∑是界于0z =和3z =之间的圆柱体223x y +≤的整个表面外侧. 答: 81π.5. 计算24d d d d d d xz y z y z x yz x y ∑-+⎰⎰,其中∑是平面0x =,0y =,0z =与平面1x =,1y =,1z =所围成的立方体的全表面外侧. 答: 32.6. 计算22d d (2)d d d d 2zx y z z xy z x x y ∑+-+⎰⎰,其中∑为曲面22z x y =+与平面1z =所围成的立体的表面外侧.答: 4π.7. 计算曲面积分 3333d d (2)d d ()d d x y z y z x z x x y ∑+++-⎰⎰,其中∑为曲面z z 外侧.答: 326(1cos2)5π⋅⋅-.8. 计算曲面积分 222d d d d (1)d d xy y z z z x z x x y ∑++-⎰⎰,其中∑为由曲面z =0z =所围成的空间区域的整个边界表面外侧.答: 322161625335πππ⋅⋅-=.9*.用Gauss 公式计算曲面积分2()d d d d z x y z z x y ∑+-⎰⎰,其中∑是旋转抛物面221()2z x y =+介于平面0z =及2z =之间部分的下侧. 答: 8π.§10.7 斯托克斯公式 一、选择题1. 在斯托克斯定理的条件下,下列等式不成立的是( ).(A) d d d P x Q y R z Γ++=⎰d d d d d d y z z x x y x y z P Q R∑∂∂∂∂∂∂⎰⎰;(B) d d d P x Q y R z Γ++=⎰cos cos cos d S x y z P Q Rαβγ∑∂∂∂∂∂∂⎰⎰; (C)d d d P x Q y R z Γ++=⎰{}cos ,cos ,cos d i j k S x y z P Q Rαβγ∑∂∂∂⋅∂∂∂⎰⎰; (D)d d d P x Q y R z Γ++=⎰{}d ,d ,d i j k x y z x y z P Q R∑∂∂∂⋅∂∂∂⎰⎰. 答(D). 2. 设Γ是从点(,0,0)a 到点(0,,0)a 再到(0,0,)a 最后回到(,0,0)a 的三角形边界(a >),则()d ()d ()d z y x x z y y x z Γ-+-+-=⎰( ).(A) 23a ; (B)26a ; (C)22a ; (D) 2a . 答(A).3. 设Γ为圆周2229,0x y z z ++==,若从z 轴正向看去, Γ为逆时针方向.则22d 3d d y x x y z z Γ+-=⎰( ).(A)π;(B)6π; 9π;(D)0.答(C). 二、填空题1. 设Γ为圆周2222,0x y z a z ++==,若从z 轴正向看去, Γ为逆时针方向.22d 2d d y x x y z z Γ+-=⎰.答: 0.2. 设u xy yz zx xyz =+++, 则(1)grad u =.答: {},,y z yz z x xz x y xy ++++++(2) div(grad )u = .答: 0.(3) rot(grad )u = . 答: 0.3. 设向量场(23)(3)(2)A z y i x z j y x k=-+-+-,则rot A =.答: 246i j k ++.4. 设向量场22sin sin()sin(cos )A x yi y xz j xy z k =++, 则rot A =.答:222[sin(cos )cos()]sin(cos )[cos()cos ]x z xy xz i y z j y z xz x y k --+-.三、解答题1. 计算d d d y x z y x zΓ++⎰,其中Γ为圆周2222,0x y z a x y z ++=++=,若从z 轴正向看去, Γ为逆时针方向.答:2a .2*. 计算()d ()d ()d yz x z x y x y z Γ+-+-⎰,其中Γ为椭圆222x y a +=,1(0,0)x ya b a b+=>>,若从x 轴正向看去, Γ为逆时针方向.答: π3. 计算23d d d y x xz y yz z Γ-+⎰,其中Γ为圆周222,2x y z z +==,若从z 轴正向看去, Γ为逆时针方向.答: 20π-.4. 计算22d 3d d y x x y z z Γ+-⎰,其中Γ为圆周2229,0x y z z ++==,若从z 轴正向看去, Γ为逆时针方向.答: 9π.5*. 利用斯托克斯公式把曲面积分rot d A n S ∑⋅⎰⎰化为曲线积分,并计算积分值,其中A 、∑及n 分别如下:(1) 2A y i xyj xzk =++,∑为上半球面z =的上侧,n 是∑的单位法向量.(2)()A y z i yzj xzk=-+-,∑为{}(,,)02,02,02x y z x y z ≤≤≤≤≤≤的表面外侧去掉xoy 平面上的那个底面,, n 是∑的单位法向量.答: (1) 0. (2) 4-.。