复平面上的直线方程
- 格式:doc
- 大小:12.69 KB
- 文档页数:2
平面的四种方程公式在我们学习数学的旅程中,平面方程可是个相当重要的角色。
它就像是打开几何世界大门的一把神奇钥匙,能帮助我们描述和理解各种各样的平面。
今天,咱们就来好好唠唠平面的四种方程公式。
先来说说点法式方程。
想象一下,你站在一片广阔的平地上,面前有一根直直竖起的旗杆,这旗杆就像平面的法向量。
假如这旗杆底部在点$(x_0,y_0,z_0)$,而且它的方向用向量$\vec{n}=(A,B,C)$表示。
那么平面的点法式方程就是$A(x - x_0) + B(y - y_0) + C(z - z_0) = 0$。
给您讲个事儿,我之前给学生讲这个的时候,有个调皮的小家伙一直搞不懂为啥要有这个方程。
我就打了个比方,我说这就好比你要去一个陌生的地方,人家告诉你从某个标志性的大树出发,朝着特定的方向走多远就能到,这大树的位置就是那个点,走的方向就是法向量。
嘿,这小家伙一下子就明白了!接着是一般式方程$Ax + By + Cz + D = 0$。
这里的 A、B、C 可都有着特殊的含义,它们就是法向量的分量。
一般式方程用起来特别方便,不管是计算还是讨论平面的性质,都能派上大用场。
记得有一次,我出了一道用一般式方程求解平面与直线关系的题目,班上大部分同学都做得磕磕绊绊。
我就带着他们一步一步分析,从系数里找线索,最后大家都恍然大悟,那种成就感可真让人开心。
还有截距式方程$\frac{x}{a} + \frac{y}{b} + \frac{z}{c} = 1$,这里的 a、b、c 分别是平面在 x、y、z 轴上的截距。
这个方程能让我们一下子就知道平面与坐标轴的交点情况。
就像有一回,我带着学生们去做实地测量,让他们通过测量一个平面物体与坐标轴的交点,然后用截距式方程来描述这个平面。
大家那认真劲儿,真让人觉得他们都是未来的小数学家。
最后是参数式方程,它的形式有点复杂,但用对了地方那效果可是杠杠的。
在学习平面方程的过程中,大家可能会觉得有点头疼,但是别着急,多做几道题,多想想生活中的例子,慢慢就能掌握啦。
高中数学方法总结立体几何的平面与直线解法在高中数学中,立体几何是一个重要且复杂的内容。
其中,涉及到平面与直线的解法,在解题过程中需要掌握一定的方法和技巧。
本文将总结其中一些常用的解法,并提供相应的例题进行说明。
一、平面与直线的相交关系1. 平面与直线相交于一点当一个直线与一个平面相交于一点时,可以通过以下两种方法来确定该点的坐标。
方法一:设直线方程为L: ax + by + cz + d = 0,平面方程为P: Ax + By + Cz + D = 0。
将直线方程代入平面方程,即可求得该点的坐标。
例题:已知直线L: x - y + z - 1 = 0与平面P: 2x + y - z + 3 = 0相交于一点,求该点的坐标。
解答:将直线方程代入平面方程,得到:2(x - y + z - 1) + (y) - (z) + 3 = 02x - 2y + 2z - 2 + y - z + 3 = 02x - y + z + 1 = 0由上式可知,该点的坐标为(-1, 2, -3)。
方法二:利用平行向量的性质,将直线的方向向量与平面的法向量进行叉乘,求得交点的坐标。
例题:已知直线L过点A(2, 1, -1),其方向向量为l(1, -1, 2),平面P过点B(3, -1, 4),其法向量为n(2, 3, 1)。
求直线L与平面P的交点坐标。
解答:设交点为M(x, y, z)。
由于直线L上的点M同时满足直线L的方程和平面P的方程,即l∙AM = 0 且n∙MB = 0首先,求l∙AM = 0:(1, -1, 2)∙(x - 2, y - 1, z - (-1)) = 0x - 2 - y + 1 + 2z + 2 = 0x - y + 2z + 1 = 0其次,求n∙MB = 0:(2, 3, 1)∙(x - 3, y - (-1), z - 4) = 02x - 6 + 3y + 3 + z - 4 = 02x + 3y + z - 7 = 0联立以上两式,得出方程组:x - y + 2z + 1 = 02x + 3y + z - 7 = 0解方程组可得该点的坐标为(2, -1, 0)。
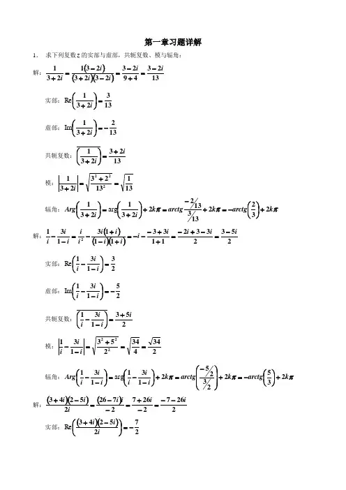
第1章复变函数习题答案习题详解第一章习题详解1. 求下列复数z 的实部与虚部,共轭复数、模与辐角: 1) i 231+解:()()()132349232323231231i i i i i i -=+-=-+-=+ 实部:133231=⎪⎭⎫ ⎝⎛+i Re 虚部:132231-=⎪⎭⎫ ⎝⎛+i Im 共轭复数:1323231i i +=⎪⎭⎫ ⎝⎛+ 模:1311323231222=+=+i辐角:πππk arctg k arctg k i i Arg 23221331322231231+⎪⎭⎫ ⎝⎛-=+-=+⎪⎭⎫ ⎝⎛+=⎪⎭⎫ ⎝⎛+arg2) iii --131 解:()()()2532332113311131312ii i i i i i i i ii i i i -=-+-=++---=+-+-=--实部:23131=⎪⎭⎫ ⎝⎛--i i i Re 虚部:25131-=⎪⎭⎫ ⎝⎛--i i i Im 共轭复数:253131i i i i +=⎪⎭⎫ ⎝⎛-- 模:234434253131222==+=--iii辐角:πππk arctg k arctg k i i i i i i Arg 235223252131131+⎪⎭⎫ ⎝⎛-=+⎪⎪⎪⎭⎫ ⎝⎛-=+⎪⎭⎫ ⎝⎛--=⎪⎭⎫ ⎝⎛--arg3) ()()ii i 25243-+ 解:()()()22672267272625243ii i i i i i --=-+=--=-+ 实部:()()2725243-=⎪⎭⎫ ⎝⎛-+i i i Re 虚部:()()1322625243-=-=⎪⎭⎫ ⎝⎛-+i i i Im 共轭复数:()()226725243i i i i +-=⎪⎭⎫ ⎝⎛-+ 模:()()2925226272524322=⎪⎭⎫ ⎝⎛-+⎪⎭⎫ ⎝⎛-=-+ii i辐角:()()ππk arctg k arctg i i i Arg 272622722625243+⎪⎭⎫ ⎝⎛=+⎪⎪⎪⎭⎫⎝⎛--=⎪⎭⎫ ⎝⎛-+4) ii i+-2184解:ii i i i i31414218-=+-=+- 实部:()14218=+-i i i Re 虚部:()34218-=+-i i i Im共轭复数:()ii i i 314218+=+- 模:1031422218=+=+-i i i辐角:()()πππk arctg k arctg k i i i i i i Arg 23213244218218+-=+⎪⎭⎫⎝⎛-=++-=+-arg2. 当x 、y 等于什么实数时,等式()iiy i x +=+-++13531成立?解:根据复数相等,即两个复数的实部和虚部分别相等。
坐标平面上的形认识直线和曲线在坐标平面上,我们经常会遇到各种形状的直线和曲线。
本文将对直线和曲线进行认识,并介绍它们的基本特征及应用。
一、直线直线是坐标平面上最简单的几何形状之一,其定义为两点之间的最短路径。
直线可以用一元一次方程的形式表示为y = mx + c,其中m是直线的斜率,c是直线在y轴上的截距。
直线的斜率决定了它的倾斜程度。
如果斜率m为正值,直线向右上方倾斜;如果斜率m为负值,直线向右下方倾斜;当斜率m为零时,直线水平;当斜率不存在时,直线垂直于x轴。
直线还可以通过两点确定,这两点之间的连线就是直线。
我们可以利用两点间的坐标计算斜率,进而求得直线的方程,或者直接计算出直线的长度、斜角等属性。
直线在几何学中有广泛应用,例如在图形的构造、两点之间的最短路径计算以及线性方程组的解析等方面。
二、曲线曲线是指在坐标平面上形成的非直线形状。
曲线可以由函数、参数方程或者隐式方程来定义。
1. 函数曲线:函数曲线是由函数关系y = f(x)所定义的曲线。
根据函数的不同性质,可以得到不同类型的曲线,如直线、抛物线、双曲线、指数曲线等。
2. 参数方程曲线:参数方程是将x和y表示为关于另一个变量t的函数,即x = f(t)和y = g(t)。
通过不同的参数表达式,可以形成各种复杂的曲线,如圆、椭圆、螺旋线等。
3. 隐式方程曲线:隐式方程是x和y的关系表达式,通常是x和y的高次多项式方程。
由于隐式方程形式复杂,因此可以表示各种奇特的曲线,如心形线、星形线等。
曲线在科学和工程领域有重要的应用。
例如,在物理学中,曲线可以描述粒子运动的轨迹;在工程学中,曲线可以用于设计曲线型道路、管道、电路等。
总结直线和曲线是坐标平面上的两种基本图形。
直线是最简单的形状,可以通过斜率和截距来确定;而曲线可以通过函数、参数方程或者隐式方程来定义。
直线和曲线在几何学和应用科学中都有广泛的应用。
熟练了解直线和曲线的性质以及求解方法,可以更好地应用于解决实际问题。
专题2.1 坐标平面上的直线【章节复习专项训练】【考点1】 :直线的方程例题1.(2020·上海师大附中高二期末)直线方程20x y m -+=的一个方向向量d 可以是( ) A .(2,1)- B .(2,1) C .(1,2)- D .(1,2)【答案】D【分析】先根据直线方程得直线的一个法向量,再根据法向量可得直线的方向向量. 【详解】解:依题意,()2,1-为直线的一个法向量,∴方向向量为()1,2, 故选:D .【变式1】(2021·上海市奉贤中学高二期末)如图,平面上过点P (1,2)的直线与x 轴正半轴交于点A ,与y 轴正半轴交于点B .过点P 分别作直线垂直于x 轴与y 轴,垂足分别为M ,N .则满足2020PAMPBNS S-=的直线有( )条A .0B .1C .2D .3【答案】B【分析】设直线AB 为y =k (x -1)+2()0k <,分别令x =0,y =0,求得点A ,B 的坐标, 然后由2020PAMPBNSS-=求解.【详解】因为过点P (1,2),且斜率存在, 设直线AB 为y =k (x -1)+2()0k <, 令x =0,y =2-k ; 令y =0,x =2k k- 2(,0),(0,2)k A B k k-∴-, 2,2,AM PM BN k k∴=-==-,2020PAMPBNSS-=,121()21()202022k k ∴⨯-⨯-⨯⨯-=, 即2404040k k --=,0k <,所以k 的取值只有一个, 故这样的直线有一条. 故选:B【变式2】(2021·上海高二期末)直线1123x y l -+=:的一个方向向量可以是( ) A .(2,3) B .(2-,3)C .(3,2)D .(3-,2)【答案】A【分析】将直线方程转化为()3112y x +=-,求得斜率即可. 【详解】直线1123x y l -+=:可化为:()3112y x +=-,所以直线的斜率为32k, 所以直线的一个方向向量可以是(2,3) 故选:A【变式3】(2020·上海曹杨二中高二期末)已知直角坐标系xOy 平面上的直线1x ya b+=经过第一、第二和第四象限,则,a b 满足( ) A .0,0a b >> B .0a >,0b < C .0a <,0b < D .0a <,0b <【答案】A【分析】求出直线与坐标轴的交点,即可得出答案. 【详解】令0x =,则y b =;令0y =,则x a = 所以(0,),(,0)b a 在直线1x ya b+=上因为直线1x ya b+=经过第一、第二和第四象限 所以0,0a b >> 故选:A【点睛】本题主要考查了由直线所过象限求参数范围,属于基础题.例题2.(2020·上海市建平中学高二期末)过点()1,2C ,且与直线20x y --=垂直的直线方程为______. 【答案】30x y +-=【分析】先由垂直关系求出所求直线的斜率,再利用点斜式可求出直线方程 【详解】解:因为所求直线与直线20x y --=垂直, 所以所求直线的斜率为1-, 因为所求直线过点()1,2C ,所以所求直线方程为2(1)y x -=--,即30x y +-=, 故答案为:30x y +-=【点睛】此题考查两直线的位置关系,考查直线方程的求法,属于基础题【变式1】(2020·上海曹杨二中高二期末)过点()3,2P -且与直线210x y ++=垂直的直线方程是______. 【答案】270x y --=【分析】根据直线的垂直关系,设出所求直线方程,将()3,2P -代入方程,即可求解. 【详解】所求直线与直线210x y ++=垂直, 设该直线方程为20x y c -+=,()3,2P -代入上式方程得7c =-,所以所求的直线方程为270x y --=. 故答案为:270x y --=.【点睛】本题考查直线的位置关系求方程,利用直线的位置关系合理设方程是解题的关键,属于容易题. 【变式2】(2020·上海市控江中学高二期末)经过点()1,0,且以()2,5d =为一个方向向量的直线l 的方程为_____.【答案】5250x y --=【分析】求出直线l 的斜率,可得出直线l 的点斜式方程,化为一般式即可. 【详解】直线l 的斜率为52k =,所以,直线l 的方程为()512y x =-,即5250x y --=. 故答案为:5250x y --=.【点睛】本题考查直线的方程,考查直线的方向向量与斜率的关系,考查计算能力,属于基础题. 【变式3】(2020·上海高二期末)已知点()1,2A ,()3,0B ,则线段AB 的垂直平分线的方程是_____. 【答案】10x y --=【分析】先求出AB 的中点M 的坐标,再求出直线AB 的斜率,根据两直线垂直时斜率乘积为1-得到垂直平分线的斜率,最后用点斜式公式即可求出直线方程. 【详解】解:设M 的坐标为(),x y , 则1322x,2012y,所以()2,1M . 因为直线AB 的斜率为120113k , 所以线段AB 垂直平分线的斜率2111k , 则线段AB 的垂直平分线的方程为112y x 化简得10x y --=. 故答案为:10x y --=【点睛】本题考查求线段AB 的垂直平分线:即要求垂直平分线线上一点与直线的斜率,根据中点坐标公式求出AB 的中点M 的坐标利用A 与B 的坐标求出直线AB 的斜率根据两直线垂直时斜率乘积为1-得到垂直平分线的斜率根据M 的坐标和求出的斜率写出AB 的垂直平分线的方程即可.【变式4】(2020·上海高二期末)若直线l 过点3(2,)A -且平行于向量(6,5)d =,则直线l 的点方向式方程是___________. 【答案】2365x y -+= 【分析】利用直线l 的点方向式方程即可得出. 【详解】由已知可得:直线l 的点方向式方程是2365x y -+=.故答案为:2365x y -+=. 【点睛】本题考查直线的点方向式方程,考查推理能力与计算能力,属于基础题.【变式5】(2021·上海市松江二中高二期末)若关于x 、y 的二元一次方程组42mx y m x my m +=+⎧⎨+=⎩无解,则实数m =________ 【答案】2-【分析】根据方程组无解,得到直线42+=+mx y m 与直线+=x my m 平行,根据两直线平行的充要条件,即可求出结果.【详解】因为关于x 、y 的二元一次方程组42mx y m x my m +=+⎧⎨+=⎩无解,所以直线42+=+mx y m 与直线+=x my m 平行,所以24024m m m m ⎧-=⎪⎨+≠⎪⎩,解得:2m =-.故答案为:2-【点睛】本题主要考查由方程组无解求参数,熟记直线与直线平行的判定条件,灵活运用转化与化归的思想即可,属于常考题型.【变式6】(2020·上海师大附中高二期末)直线10x y -+= 上一点P 的横坐标是3,若该直线绕点P 逆时针旋转90°得直线l ,则直线l 的方程是____________. 【答案】70x y +-=【详解】(,3,4)P l 的倾斜角为4590135,tan1351k ︒-︒=︒=︒=-, 则其方程为43y x -=-+,即70x y +-=. 故答案为:70x y +-=.【变式7】(2021·上海市奉贤中学高二期末)数学家欧拉在1765年提出定理;三角形的外心、重心、垂心依次位于同一直线上,且重心到外心的距离是重心到垂心距离的一半,这条直线被后人称之为三角形的欧拉线.已知ABC 的顶点A (4,0),B (0,2),AC BC =,则ABC 的欧拉线所在直线方程为___________.【答案】2x -y -3=0【分析】根据题意求出线段AB 的垂直平分线即可求解. 【详解】线段AB 的中点为(2,1),201042AB k -==--, 线段AB 的垂直平分线为:y =2(x -2)+1,即2x -y -3=0 AC =BC ,∴三角形的外心、重心、垂心依次位于AB 的垂直平分线上,因此ABC 的欧拉线方程为2x -y -3=0. 故答案为:2x -y -3=0.【变式8】(2020·华东师范大学附属周浦中学高二期末)直线l 经过点(3,5)P -,且(1,2)n =是直线l 的一个法向量,则直线l 的一般式方程是________. 【答案】270x y ++=【分析】由直线的法向量可得直线的方向向量,进而可得直线的斜率,由直线方程的点斜式即可得出结果. 【详解】直线的法向量为(1,2)n =,则直线的方向向量为(2,1)m =-,直线的斜率为12k =- 由点斜式可得:1(5)(3)2y x --=--,即270x y ++= 故答案为:270x y ++=【变式9】(2020·上海市三林中学高二期末)过点()1,0且与直线20x y +=垂直的直线的方程______. 【答案】210x y --=【分析】方法一,利用两条直线互相垂直,斜率之积等于-1,求出垂线的斜率,再求垂线的方程; 方法二,根据两条直线互相垂直的关系,设出垂线的方程,利用垂线过某点,求出垂线的方程. 【详解】方法一,直线20x y +=的斜率是-2, 则与这条直线垂直的直线方程的斜率是12, ∴过点()1,0且与直线20x y +=垂直的直线方程为()1012y x -=-, 即210x y --=;方法二,设与直线20x y +=垂直的直线方程为20x y a -+=, 且该垂线过过点()1,0,∴11200a ⨯-⨯+=,解得1a =-,∴这条垂线的直线方程为210x y --=. 故答案为:210x y --=.【点睛】本题考查了直线方程的求法与应用问题,也考查了直线垂直的应用问题,是基础题目.例题3.(2021·上海高二期末)已知直线l 与直线250x y +-=平行,并且直线l 与两坐标轴围成的三角形的面积为4,求直线l 的一般式方程. 【答案】240x y ++=或240x y +-=【分析】设所求直线方程为()205x y C C ++=≠-,求出直线l 与两坐标轴的交点坐标,结合已知条件可得出关于C 的方程,进而可求得直线l 的方程.【详解】由于直线l 与直线250x y +-=平行,设直线l 的方程为()205x y C C ++=≠-, 在直线l 的方程中,令0x =,可得y C =-;令0y =,可得2Cx =-. 所以,直线l 交x 轴于点,02C ⎛⎫-⎪⎝⎭,交y 轴于点()0,C -. 由于直线l 与两坐标轴围成的三角形的面积为4,则214224C C C ⨯-⨯-==,解得4C =±. 因此,直线l 的方程为240x y ++=或240x y +-=.【变式1】(2020·上海高二期末)已知直线1:220l x y +-=和2:10l mx y -+=. (1)当12l l //时,求m 的值; (2)当1l 与2l 的夹角为4π时,求m 的值. 【答案】(1)2-;(2)3或13-. 【分析】(1)直接利用线线平行的充要条件的应用求出结果. (2)直接利用夹角公式的应用求出结果.【详解】(1)直线1:220l x y +-=和2:10l mx y -+=. 所以20m --=,解得:2m =-.(2)由于1:220l x y +-=的斜率12k =-,2:10l mx y -+=的斜率2=k m .所以2112tan||141k kk kπ-==+,解得3m=或13-.【点睛】本题考查的知识要点:线线平行的充要条件的应用,夹角公式的应用,主要考查学生的运算能力和转换能力及思维能力,属于基础题型.【考点2】:直线的倾斜角和斜率例题1.(2020·上海市杨浦高级中学高二期末)直线210x y+-=的倾斜角为().A.arctan2B.arctan2-C.()arctan2π--D.arctan2π-【答案】D【分析】先根据所给直线的斜率-2,直线的斜率是倾斜角的正切,得到[)tan=20ααπ-∈,,,根据倾斜角的范围和正切的反三角函数的值域确定结果.【详解】因为直线210x y+-=的斜率2k=-,所以[)tan=20ααπ-∈,,,所以=arctan2απ-.所以直线210x y+-=的倾斜角为arctan2π-.故选:D【点睛】求斜率的方法:①定义法:()tan90kαα=≠;②两点法求斜率:()212121y yk x xx x-=≠-;③由直线方程求斜率;④由直线的方向向量求斜率.【变式1】(2020·上海高二期末)下图中的直线1l、2l、3l的斜率分别为1k、2k、3k,则()A.123k k k<<B.312k k k<<C.321k k k<<D.132k k k<<【答案】D【分析】根据斜率与直线倾斜角的关系判断即可.【详解】由图可知:10k <,20k >,30k >,且直线3l 的倾斜角小于直线2l 的倾斜角,所以32k k <,综上可知:132k k k <<.故选:D .【点睛】本题主要考查了直线斜率与倾斜角的关系,属于基础题.【变式2】(2020·上海高二期末)已知l 过定点()4,5的直线的一个方向向量是()2,3d =-,则直线l 的点方向式方程可以为( ) A .()()3425x y -=- B .45=23x y --- C .()()34250x y -+-= D .45=32x y -- 【答案】B【分析】利用直线的点向式方程可以直接得到所求的方程. 【详解】因为直线l 的方向向量为()2,3d =-且经过点()4,5, 故直线l 的点向式方程为45=23x y ---. 故选:B .【点睛】本题考查直线的点向式方程,注意点向式方程的标准形式,此题属于基础题.【变式3】.(2021·上海市建平中学高二期末)直线l 的倾斜角为θ,则直线l 关于直线y =x 对称的直线l '的倾斜角不可能为( ) A .θ B .2θπ- C .πθ-D .32πθ- 【答案】C【分析】可分类讨论求出对称直线l '的倾斜角,然后判断. 【详解】当[0,]2πθ∈时,直线l '的倾斜角为2θπ-,当,2πθπ⎛⎫∈ ⎪⎝⎭时,直线l '的倾斜角为32πθ-,当4πθ=时,直线l '的倾斜角为4πθ=,因此ABD 均可能,只有C 不可能.实际上当直线l '倾斜角为πθ-时,直线l '与直线l 关于和x 轴垂直的直线对称. 故选:C .【变式4】.(2020·上海市洋泾中学高二期末)若直线0ax by c 的一个法向量()3,1n =-,则该直线的倾斜角为( ) A .6πB .3πC .23π D .56π 【答案】B【分析】根据直线的方程可得直线的法向量,结合题设条件可得,a b 的关系,从而可求直线的斜率进而得到直线的倾斜角.【详解】由直线的方程为0ax by c可得直线的法向量为(),m a b =,故,m n 共线,所以()1b a ⨯-=,即ab-=,设直线的倾斜角为[)()0,θθπ∈,则tan θ=3πθ=.故选:B.例题2.(2020·上海市进才中学高二期末)直线210x y -+=的倾斜角为________. 【答案】1arctan2【分析】根据直线方程求出直线的斜率,从而求出倾斜角. 【详解】直线210x y -+=的斜率12k =, 所以直线的倾斜角是1arctan 2. 故答案为:1arctan2. 【变式1】(2020·上海高二期末)直线40x my 的倾斜角为4π,则m 的值是_____. 【答案】1【分析】由直线的倾斜角求出斜率,再由斜率列式求得m 值. 【详解】解:直线40x my 的倾斜角为4π. 所以该直线的斜率为tan 14π=,所以11m=,解得:1m =. 故答案为:1.【点睛】本题考查直线的斜率与倾斜角的关系,是基础题.【变式2】(2020·上海市七宝中学)直线l 的倾斜角范围是__________; 【答案】0,【分析】由直线的倾斜角定义来确定. 【详解】由直线倾斜角的定义:x 轴正向与直线向上方向之间所成的角叫直线的倾斜角.特别地,当直线与x 轴平行或重合时,我们规定它的倾斜角为0度. 范围:倾斜角的取值范围是0°≤α<180°. 故答案为:0,【点睛】本题主要考查了直线倾斜角的定义及范围,还考查了理解辨析的能力,属于基础题. 【变式3】(2020·上海高二期末)若直线l 的倾斜角的范围为,43ππ⎡⎫⎪⎢⎣⎭,则l 的斜率的取值范围是__________.【答案】【分析】利用直线斜率与倾斜角的关系、三角函数的单调性即可得出. 【详解】直线l 的倾斜角,43θππ⎡⎫⎪⎢∈⎣⎭,则l 的斜率tan [1θ∈.故答案为:.【点睛】本题考查直线斜率与倾斜角的关系、三角函数的单调性,考查推理能力与计算能力,属于基础题. 【变式4】(2020·上海复旦附中高二期末)一个方向向量为(1,3d =的直线的倾斜角的大小是__________. 【答案】60︒【分析】根据直线的方向向量可得直线的斜率,然后可求直线的倾斜角.【详解】因为直线的方向向量为(1,3d =,所以直线的斜率为k = 所以直线的倾斜角的大小是60︒. 故答案为:60︒.【点睛】本题主要考查直线的倾斜角,明确直线的方向向量与直线的斜率间的关系是求解的关键,侧重考查数学运算的核心素养.【变式5】(2020·上海市金山中学高二期末)直线l :4y =+的倾斜角的大小为______.【答案】3π;【分析】由直线的斜率与倾斜角的关系可得tan θ=. 【详解】解:设直线的倾斜角为θ,由直线l 的方程为:4y =+可得tan θ= 又[)0,θπ∈, 所以3πθ=,故答案为:3π.【点睛】本题考查了直线的斜率与倾斜角的关系,属基础题.【变式6】(2021·上海市松江二中高二期末)若直线l 的参数方程是2,()12x t t y t =+⎧∈⎨=--⎩R ,则l 的斜率为________. 【答案】-2【分析】把参数方程消参化为斜截式方程即可求出斜率.【详解】由2,()12x t t y t =+⎧∈⎨=--⎩R ,消去参数t 可得23y x =-+, 所以直线的斜率2k =- 故答案为2-【点睛】本题考查直线的参数方程与一般方程的互化,属于基础题.【变式7】(2021·上海市奉贤中学高二期末)直线23y x =-+的倾斜角是___________(结果用反三角表示). 【答案】arctan 2π-【分析】根据斜率公式tan k α=化简即可.【详解】解:由题意得tan 2,arctan 2k ααπ==-∴=- 故答案为:arctan 2π-.【变式8】(2021·上海高二期末)直线1:10l x y +-=与直线2:20l x y -+=夹角的大小为___________. 【答案】2π 【分析】根据直线方程求得两直线的斜率,进而可求得倾斜角,即可求得答案.【详解】直线1:10l x y +-=的斜率为-1,因为倾斜角[0,)απ∈,即tan 1α=-,所以1l 的倾斜角为34π, 同理直线2:20l x y -+=的斜率为1,所以2l 的倾斜角为4π, 所以直线1l 与2l 的夹角为3442πππ-=. 故答案为:2π 【变式9】(2021·上海曹杨二中高二期末)若直线l 的倾斜角为34π,则l 的一个方向向量d 可以是______.(只需填写一个) 【答案】()1,1-【分析】利用直线倾斜角确定直线斜率,进而确定方向向量的横纵坐标之比,写出方向向量. 【详解】直线l 的倾斜角为34π,故直线的斜率3tan 14k π==-, 故方向向量的横纵坐标之比为1-, 故d 可以是()1,1-, 故答案为:()1,1-.【变式10】(2020·上海曹杨二中高二期末)设()1,2A ,()3,1B -,若直线2y kx =-与线段AB 有公共点,则实数k 的取值范围是______. 【答案】(][),14,-∞-+∞【分析】画出图象求出定点与A 、B 两点连线的斜率,即可求出实数k 的取值范围.【详解】解:直线2y kx =-恒过定点()0,2-,由题意平面内两点()1,2A ,()3,1B -,直线2y kx =-与线段AB 恒有公共点,如图求出定点与A 、B 两点连线的斜率,()122410k --==-.()212130k --==---,所以直线2y kx =-与线段AB 恒有公共点,则实数k 的取值范围是(][),14,-∞-+∞,故答案为:(][),14,-∞-+∞【点睛】本题考查直线斜率的求法,考查数形结合的思想的应用,考查计算能力.【变式11】(2020·上海高二期末)已知直线l 的一个方向向量是(1,2),则它的斜率为______________. 【答案】2【分析】根据直线方向向量与直线斜率关系求斜率即可. 【详解】直线l 的一个方向向量是(1,2),则直线的斜率为:2=21故答案为:2【点睛】本题考查直线方向向量以及直线斜率,考查基本分析求解能力,属基础题. 【变式12】(2020·上海高二期末)直线210x y +-=的倾斜角为________. 【答案】arctan 2π-【分析】先求直线210x y +-=的斜率,进而用反三角函数转化为倾斜角即可. 【详解】直线210x y +-=的斜率为2k =-,设倾斜角为α,所以tan 2α,则arctan 2απ-= 故答案为:arctan 2π-【点睛】本题关键是倾斜角以及反三角函数的问题,考查计算能力.【变式13】(2020·上海市控江中学高二期末)若不垂直于x 轴的直线10kx y -+=与直线20x y -=所成的角的大小为25,则实数k 的值为_____.【答案】34【分析】设直线20x y -=的倾斜角为α,记β=k 的方程,进而可求得实数k 的值.【详解】设直线20x y -=的倾斜角为α,记β=,则tan 2α=,cos 5β=,sin 5β=,1tan 2β=,由题意可得tan 21tan 1tan 122k k k k αβα--===++,解得34k =.故答案为:34. 【点睛】本题主要考查直线夹角公式的应用,涉及两角差的正切公式的应用,考查计算能力,属于基础题. 【变式14】.(2020·上海交大附中高二期末)直线223x ty t =+⎧⎨=+⎩(参数t R ∈)的倾斜角为_________.【答案】12arctan【分析】代入消参,将参数方程化为普通方程,再根据斜率求得倾斜角. 【详解】由3y t =+可得3t y =-,代入22x t =+,可得()223x y =+- 整理得:直线的一般式方程为240x y -+= 则直线的斜率为12k =,设其倾斜角为θ,[)0,θπ∈ 故12arctanθ=. 故答案为:12arctan. 【点睛】本题考查将直线的参数方程化为普通方程,以及由直线斜率求解倾斜角,属基础题.例3.(2019·上海高二期末)已经直线:1l y kx =-与两点()()1,5,4,2.A B - (1)若l 与直线AB 平行,求它们之间的距离以及l 的倾斜角;(2)若l 与线段AB 无公共点,求k 的取值范围. 【答案】(1)d =;3arctan 5θπ=-;(2)36,4⎛⎫- ⎪⎝⎭【分析】(1)由两点连线斜率公式可求得AB k ,即k ,从而得到直线l 方程及tan θ、直线AB 方程;根据反三角函数可求得倾斜角θ,利用平行直线间距离公式可求得所求距离d ;(2)首先确定直线恒过定点()0,1C -,可知临界状态为,AC BC ,利用两点连线斜率公式求得,AC AB k k ,可知(),AC AB k k k ∈,从而得到结果. 【详解】(1)由,A B 坐标可得:523145AB k -==--- ∴直线AB 方程为:()3245y x -=--,即35220x y +-= l 与直线AB 平行 35AB k k ∴==- 3:15l y x ∴=--,即3550x y ++=设直线l 倾斜角为θ 3tan 5θ∴=- 3arctan 5θπ∴=-直线l 与直线AB之间距离34d ==(2)由题意知,直线l 恒过点()0,1C -51610AC k +∴==---,213404BC k +==- l 与线段AB 无公共点 (),AC AB k k k ∴∈,即36,4k ⎛⎫∈- ⎪⎝⎭【点睛】本题是对直线部分知识的综合考查,涉及到直线斜率与倾斜角的关系、两条直线平行的位置关系的应用、平行直线间距离公式、根据直线与线段交点情况求解斜率范围的问题,属于基础题. 【考点3】 :两条直线的位置关系例题1.(2020·上海高二期末)直线210x y ++=与直线36100x y 的位置关系是( ) A .相交 B .重合C .平行D .垂直【答案】C【分析】根据直线的一般方程满足111222A B C A B C =≠,则两直线平行. 【详解】解: 直线210x y ++=与直线36100x y ,满足1213610, 故直线210x y ++=与直线36100x y 平行. 故选:C【点睛】本题考查直线与直线的位置关系,若两直线满足111222A B C A B C =≠,则两直线平行. 【变式1】.(2020·上海市金山中学高二期末)已知两条直线1l 与2l 不重合,则“1l 与2l 的斜率相等”是“1l 与2l 的平行”的( ) A .充分不必要条件 B .必要不充分条件 C .充要条件 D .既不充分也不必要条件【答案】A【分析】“1l 与2l 的平行”则有“1l 与2l 的斜率相等”或“1l 与2l 的斜率均不存在”两种情况,再判断即可得解. 【详解】解:因为两条直线1l 与2l 不重合,由“1l 与2l 的斜率相等”可得“1l 与2l 的平行”; 由“1l 与2l 的平行”则可得“1l 与2l 的斜率相等”或“1l 与2l 的斜率均不存在”, 即“1l 与2l 的斜率相等”是“1l 与2l 的平行”的充分不必要条件, 故选:A.【点睛】本题考查了两直线平行的充分必要条件,重点考查了直线的斜率,属基础题. 【变式2】.(2020·上海市嘉定区封浜高级中学高二期末)14a =是“直线(1)310a x ay +++=与直线(1)(1)30a x a y -++-=相互垂直”的( ).A .充分而不必要条件B .必要而不充分条件C .充要条件D .既不充分也不必要条件【答案】A【分析】对a 分类讨论,利用两条相互垂直的直线与斜率之间的关系即可得出. 【详解】解:对于:直线(1)310a x ay +++=与直线(1)(1)30a x a y -++-=, 当0a =时,分别化为:10x +=,30x y -+-=,此时两条直线不垂直,舍去;当1a =-时,分别化为:310y -+=,230x --=,此时两条直线相互垂直,因此1a =-满足条件; 当1a ≠-,0时,两条直线的斜率分别为:13a a +-,11a a -+,由于两条直线垂直,可得11131a aa a +--⨯=-+,解得14a =或1-(舍去). 综上可得:两条直线相互垂直的充要条件为:14a =或1-. ∴14a =是“直线(1)310a x ay +++=与直线(1)(1)30a x a y -++-=相互垂直”的充分而不必要条件. 故选:A .【点睛】本题考查了两条相互垂直的直线与斜率之间的关系,考查了分类讨论思想、推理能力与计算能力,属于中档题.例题2.(2021·上海闵行中学高二期末)过点()3,5与直线y x m =+垂直的直线方程是___________. 【答案】80x y +-=【分析】设与y x m =+垂直的直线方程为y x n =-+,利用过的点,求出n 即可. 【详解】设所求直线为y x n =-+ 过点()3,5,故8n = 直线方程为80x y +-= 故答案为:80x y +-=【变式1】.(2021·上海位育中学高二期末)已知直线1:230l ax y a ++=与直线2:3(1)70l x a y a +-+-=互相垂直,则a =________ 【答案】25【分析】利用两条直线垂直的等价条件可得()3210a a +-=,解方程即可求a 的值. 【详解】因为直线1:230l ax y a ++=与直线2:3(1)70l x a y a +-+-=互相垂直, 所以()3210a a +-=,解得:25a =, 故答案为:25.【变式2】.(2021·上海市进才中学高二期末)若直线1:210l ax y ++=与2:(1)10l x a y +++=互相垂直,则a 的值为_________. 【答案】23-【分析】根据两个直线垂直的公式代入计算. 【详解】因为12l l ⊥,所以2(1)0a a ++=,得23a =-. 故答案为:23-【变式3】.(2021·上海市复兴高级中学高二期末)已知直线220x y +-=和10x y -+=的夹角为______. 【答案】arctan 3【分析】求出两直线的斜率,利用相交两直线的夹角公式求解而得. 【详解】直线220x y +-=和10x y -+=的斜率分别为k 1=-2,k 2=1, 设直线220x y +-=和10x y -+=的夹角为(0)2πθθ<≤,而两直线不垂直,由夹角公式得:121221tan ||||311(2)1k k k k θ---===++-⋅,所以arctan 3θ=. 答案为:arctan 3【变式4】.(2020·上海闵行中学高二期末)已知直线1:10l ax y -+=,2:10l x ay --=,且12l l ⊥,则实数a =_________. 【答案】0【分析】依据两条直线垂直充要条件12120A A B B +=直接计算即可. 【详解】因为12l l ⊥,所以()()1100a a a ⨯+-⨯-=⇒= 故答案为:0【变式5】..(2020·上海高二期末)已知直线1:42l mx y m +=+,2:l x my m +=,若12//l l ,则实数m =________.【答案】2-【分析】根据直线互相平行的判定公式得到结果. 【详解】直线1:42l mx y m +=+,2:l x my m +=, 若12//l l ,则24102m m -⨯=⇒=±,当2m =时,1l 和2l 化简为:1:22l x y +=,2:22l x y +=,此时,1l 与2l 重合,故2m =时不符合题意当2m =-时,1l 和2l 化简为:1:20l x y -=,2:220l x y -+=,此时,1l 与2l 不重合且平行,故2m =-时符合题意 故答案为:2-.【点睛】这个题目考查了已知两直线的位置关系求参数的应用,属于基础题.【变式6】.(2020·上海高二期末)直线10x y ++=与直线30x y -+=的夹角大小等于___________. 【答案】2π【分析】算出两条直线的斜率,根据它们的乘积为1-可得它们的夹角. 【详解】设两条直线的夹角为θ,直线10x y ++=的斜率为11k =-,直线30x y -+=的斜率为21k =, 因为121k k =-,所以两条直线垂直,所以2πθ=.故答案为:2π. 【点睛】本题考查直线的夹角,注意先判断它们是否垂直,如果不垂直,则利用夹角公式1212tan 1k k k k θ-=+来计算,本题属于容易题.【变式7】.(2020·上海市洋泾中学高二期末)已知直线1:220++=l x ay 与直线2:(1)310l a x y -++=平行,则实数a 的值为__________ 【答案】2-或3【分析】根据两直线平行,直接列式求解. 【详解】12//l l ,22131a a ∴=≠-,解得:2a =-或3a =. 故答案为:2-或3【变式8】.(2020·上海高二期末)直线1:210l x y -+=与直线2:210l x y ++=的夹角为______________. 【答案】90︒【分析】先利用斜率之积为1-,判定两直线垂直,即可得解.【详解】由直线1:210l x y -+=与直线2:210l x y ++=的方程可知,两直线的斜率分别为:1212,2k k ==-,∴121k k =-,∴12l l ⊥,∴两直线的夹角为90︒. 故答案为:90︒.【点睛】本题考查两直线的夹角的求法,关键根据两直线的方程求得斜率,根据斜率是否乘积为1-,从而判定两直线是否垂直是关键点.【变式9】.(2020·上海格致中学高二期末)若直线1:2310l x y +-=的方向向量是直线2:20l ax y a -+=的法向量,则实数a 的值等于__________. 【答案】32【分析】由题意结合直线方向向量、法向量的概念可得12l l ⊥,再由直线垂直的性质即可得解. 【详解】直线1l 的方向向量是直线2l 的法向量,∴12l l ⊥,∴230a -=,解得32a =. 故答案为:32. 【点睛】本题考查了直线方向向量、法向量概念的应用,考查了直线垂直的性质,属于基础题.【变式10】.(2020·上海高二期末)已知直线1l :210ax y -+=、2l :()130x a a y ++-=,若12l l ⊥,则实数a =_________.【答案】0或12- 【分析】若直线1l :1110A x B y C ++=与直线2l :2220A x B y C ++=垂直,则12120A A B B +=,代入数据计算即得. 【详解】直线1l :210ax y -+=、2l :()130x a a y ++-=,且12l l ⊥,()()1+210a a a ∴⨯-⨯+=,即220a a +=,解得0a =或12a =-. 故答案为:0a =或12a =-. 【点睛】本题考查直线的位置关系,属于基础题.【变式11】.(2020·上海市三林中学高二期末)已知直线1l :()6180x t y +--=,直线2l :()()46160t x t y +++-=,若1l 与2l 平行,则t =______.【答案】-5【分析】由平行关系可得()()()6641t t t ⨯+=+-,解方程验证排除重合可得.【详解】由题意可得()()()6641t t t ⨯+=+-,解方程可得5t =-或8t =,经验证8t =时直线重合,应舍去故当5t =-时,两直线平行.故答案为:-5.【点睛】本题考查直线的一般式方程和平行关系,属基础题.【变式12】.(2021·上海市奉贤中学高二期末)已知直线()()1:3410l k x k y -+-+=与()2:23230l k x y --+=平行,则k 的值是____.【答案】3或5【分析】由两直线平行得出()()()23243k k k --=--,解出k 的值,然后代入两直线方程进行验证. 【详解】直线()()1:3410l k x k x y -+-++=与()2:23230l k x y --+=平行,()()()23243k k k ∴--=--,整理得()()350k k --=,解得3k =或5.当3k =时,直线1:10l y +=,23:02l y -=,两直线平行; 当5k =时,直线1:210l x y -+=,23:202l x y -+=,两直线平行. 因此,3k =或5.故答案为3或5.【点睛】本题考查直线的一般方程与平行关系,在求出参数后还应代入两直线方程进行验证,考查运算求解能力,属于基础题.例题3.(2020·上海高二期末)已知二元一次方程组()()32232120k x y k x k y k ⎧--=⎪⎨++++=⎪⎩无解,求k 的值: 【答案】32k 【分析】根据题意知两直线平行,根据直线与直线平行的关系建立方程,求解验证即可.【详解】解:因为二元一次方程组()()32232120k x y k x k y k ⎧--=⎪⎨++++=⎪⎩无解, 则()322k x y k --=与()32120x k y k ++++=平行, 由3223212k k k k ---=≠++,解得:32k . 经过验证满足题意. 32k ∴=时方程组无解. 【点睛】本题考查两直线平行,求参数,是基础题.【考点4】 :点到直线的距离例题1.(2020·上海市七宝中学)直线l 经过点()2,1P -,且点()1,2--A 到l 的距离为1,则直线l 的方程为______.【答案】2x =-或4350x y ++=【分析】当直线l 斜率存在时,设出点斜式并利用点到直线的距离公式算出l 的方程为4350x y ++=;当直线与x 轴垂直时,l 方程为2x =-也符合题意.由此即可得到此直线l 的方程.【详解】设直线l 的方程为()12y k x -=+,即210kx y k -++=∵点()1,2--A 到l 的距离为1,1=,解之得43k =-, 得l 的方程为4350x y ++=.当直线与x 轴垂直时,方程为2x =-,点()1,2--A 到l 的距离为1,∴直线l 的方程为2x =-或4350x y ++=.故答案为:2x =-或4350x y ++=【点睛】本题主要考查求经过定点,且到定点的距离等于定长的直线l 方程,着重考查了直线的方程、点到直线的距离公式等知识,属于基础题.【变式1】.(2020·上海高二期末)若O 为坐标原点,P 是直线20x y -+=上的动点,则||OP 的最小值为______________.【分析】线段OP 的最小值,就是原点到已知直线的距离,根据点到直线的距离公式即可得出.【详解】解:原点到直线的距离d==故||OP【点睛】本题考查了点到直线的距离公式、转化方法,属于基础题.【变式2】.(2020·上海高二期末)已知点()4,1P,点Q的坐标(),x y满足212x y=,则点P与点Q距离的最小值为_____.【分析】先将212x y=转化为直线220x y--=,再求点P到直线220x y--=的距离即可.【详解】解: 点Q的坐标(),x y满足212x y=,则点Q在直线220x y--=上,则点P与点Q距离的最小值即为点P到直线220x y--=的距离:d===故点P与点Q故答案为:【点睛】本题考查二阶行列式的运算,考查点到直线的距离公式,是基础题.【变式3】.(2019·上海市进才中学高二期末)圆22240x y x y+-+=的圆心到直线3450x y+-=的距离等于________。
平面直角坐标系中的直线方程在我们学习数学的旅程中,平面直角坐标系中的直线方程是一个非常重要的概念。
它不仅在数学领域有着广泛的应用,还在物理、工程、计算机科学等多个学科中发挥着关键作用。
让我们先来理解一下什么是平面直角坐标系。
想象在一个平面上,有两条相互垂直的数轴,一条水平的称为x 轴,一条垂直的称为y 轴。
它们的交点被称为原点,通常标记为 O 。
通过这两条数轴,我们可以确定平面上任意一个点的位置,比如点 A 的坐标是(x₁, y₁) 。
那么,直线方程又是什么呢?简单来说,直线方程就是用来描述平面直角坐标系中直线的数学表达式。
其中,最常见的直线方程形式是斜截式,即y =kx +b 。
在这里,k 被称为斜率,它反映了直线的倾斜程度。
如果 k 是正数,直线从左向右上升;如果 k 是负数,直线从左向右下降;当 k = 0 时,直线是水平的。
而 b 则是直线在 y 轴上的截距,也就是直线与 y 轴相交的点的纵坐标。
举个例子,如果有直线方程 y = 2x + 1 ,那么斜率 k 就是 2 ,这意味着直线的倾斜程度比较大,而且是上升的。
截距 b 是 1 ,也就是说直线与 y 轴的交点是(0, 1) 。
除了斜截式,还有点斜式。
如果我们知道直线上的一个点(x₀, y₀) 以及直线的斜率 k ,那么直线方程可以写成 y y₀= k(x x₀) 。
比如,已知直线经过点(1, 2) ,斜率为 3 ,那么直线方程就是 y 2 = 3(x 1) 。
另外,还有两点式。
如果我们知道直线上的两个点(x₁, y₁) 和(x₂, y₂) ,那么直线方程可以表示为(y y₁) /(y₂ y₁) =(xx₁) /(x₂ x₁) 。
例如,直线经过点(2, 3) 和(4, 5) ,那么直线方程就是(y 3) /(5 3) =(x 2) /(4 2) 。
还有一般式 Ax + By + C = 0 ,其中 A 、 B 不同时为 0 。
这种形式在解决一些综合性问题时非常有用。
平面问题求解的三大方程 在研究平面问题时,我们常常需要通过方程来描述和解决这些问题。
方程是数学中一种重要的数学语言工具,通过建立方程,我们能够将复杂的问题转化为简单的数学关系,从而求解问题。
本文将介绍平面问题求解的三大方程,包括直线方程、圆方程和平面方程。
一、直线方程: 1.1 一般形式:直线的一般方程可以表示为Ax + By + C = 0,其中A、B、C为常数,x和y为坐标变量。
1.2 截距式:如果直线与x轴和y轴的截距分别为a和b,则直线的方程可以表示为x/a + y/b = 1,其中a和b为正常数。
1.3 斜截式:如果直线与y轴的截距为b,斜率为m,则直线的方程可以表示为y = mx + b。
1.4 点斜式:如果已知直线上一点P(x1, y1)和它的斜率m,则直线的方程可以表示为y - y1 = m(x - x1)。
举例说明:假设有一直线经过点A(2, 3)和点B(5, 7),我们可以通过点斜式来求解直线的方程。
根据点A和点B计算斜率m = (7 - 3) / (5 - 2) = 4/3。
代入点A的坐标以及斜率m得到方程y - 3 = (4/3)(x - 2),化简后得到直线方程为3y - 9 = 4x - 8。
二、圆方程: 2.1 一般形式:圆的一般方程可以表示为(x - h)² + (y - k)² = r²,其中(h,k)为圆心的坐标,r为半径的长度。
2.2 中心半径式:如果圆的圆心为点C(h, k),半径为r,则圆的方程可以表示为(x - h)² + (y - k)² = r²。
2.3 直径式:如果圆的直径的两个端点分别为点A(x1, y1)和点B(x2, y2),则圆的方程可以表示为(x - (x1 + x2)/2)² + (y - (y1 + y2)/2)² = ((x2 - x1)/2)² + ((y2 - y1)/2)²。
用复数求平面几何中旋转的一些轨迹问题作者:陈金华来源:《知识窗·教师版》2014年第07期摘要:初等数学知识包含数与形两个方面,复数是数与形互相渗透的典型代表。
复数就如一座桥梁把图形和数紧密地联系在一起,也就是说一个代数的问题,可以通过复数的几何意义,转化成图形的问题。
当然,一个图形问题也可以通过复数,用代数方法进行研究。
因此,平面中两直线的夹角和位置关系等几何关系都可以通过复数的关系式来刻画,平面解析几何问题也可以用复数去求解。
本文通过复数的几何意义,求出了圆锥曲线中一些特殊点的轨迹方程。
关键词:复数平面几何旋转轨迹1797年,挪威数学家维塞尔提出了对复数的几何解说。
他在平面上自点O作两条实轴,从而建立了一个坐标平面,每一个复数Z=a+bi与坐标平面上的点(a,b)一一对应,称点Z (a,b)为复数Z=a+bi的对应点。
之后,著名的德国数学家高斯把上面建立的坐标平面称为复平面,任意一个复数都与复平面上的一个点构成一一对应的关系。
我们知道,复数可以用几何方法表示,也可以用代数方法表示,复数可以看作是平面上的向量,复数加减法的几何表示和向量的加减法一样,都可使用平行四边形法则。
但是,复数乘法的几何表示不同于向量的一般乘法,它表示为向量的拉伸与旋转的合成。
利用这一特点,在解决与旋转有关的解析几何命题时,复数比向量更为巧妙。
一、复数及其运算1.复数的定义复数的代数形式是Z=a+bi,与该复数Z相对应的点的坐标是(a,b),复数Z的模|Z|=r= a2+b2,复数Z的辐角θ=argZ=∠XOZ。
在复平面上,绕一直线其上一定点旋转,有两种旋转方向,一种是逆时针旋转,另一种是顺时针旋转。
按照惯例,我们规定逆时针方向旋转的角度为正,顺时针方向旋转为负。
在本文中,旋转角度都为正,即都是按逆时针方向旋转。
2.复数运算的几何意义复数乘法的几何意义是:设复数Z1=r1(cosθ1+isinθ1),Z2=r2(cosθ2+isinθ2),Z1·Z2对应的向量是把Z1的模变为原来的r2=| Z2 |倍,然后再按逆时针旋转角度θ2得到的。
判断直线在平面的方法
1 直线在平面上的定义
直线是数学的基础,它的概念贯穿了整个数学结构之中。
在平面上,直线是一种无穷无尽的开放曲线,它可以由无穷多的点组成,并
且没有开始也没有结束的地方,它是无数点的连续延伸,但不会重复,其形式是一侧从曲线上朝一个方向延伸,另一侧从另一端继续延伸,
两侧逐渐渐隐。
2 直线在平面上的表示方法
直线可以用参数方程或者矢量方程表示:
(1) 参数方程表示法:由两个参数共同确定一条直线,一般写作:$$\vec{r} = x_{0} \vec{i} + y_{0} \vec{j} + 参数t(a \vec{i} + b \vec{j})$$
其中$x_{0},y_{0}$为直线上一点的坐标;$a,b$为方向向量;
$t$为参数。
(2) 矢量方程表示法:一条直线可以写作:$$ \vec{r} =
\vec{r_{0}} + c \vec{n} $$
其中$\vec{r_{0}} $表示直线上一点的位置,c为参数,
$\vec{n}$为该直线的法向量,这个法向量与直线的方向向量是垂直的,也就是垂直于$\vec{r_{0}} $的向量。
3 直线在平面上的应用
在几何学中,直线是连接两点的最短路径,是几何图形构成的基础,常用来描述圆形、矩形等不同图形。
此外,直线还可以用来划分
平面,形成平行线,求点到直线距离,以及求解几何中特定问题的大
量应用。
最后,直线也用于描述物理现象,例如电场线、热传导线等。
平面方程直线和曲线位置关系的判定在解析几何中,直线和曲线是两个常见的几何概念。
确定直线和曲线在平面上的位置关系对于解决一些几何问题至关重要。
本文将探讨利用平面方程来判断直线和曲线的位置关系的方法。
一、平面方程的基本概念要了解平面方程的作用,首先需要明确平面方程的基本概念。
平面方程是一种用代数语言描述平面的数学工具,通过平面方程我们可以获得平面上的各种几何信息。
在二维坐标系中,平面方程常用一般式表示,即Ax + By + C = 0,其中A、B和C为常数,x和y代表平面上的点坐标。
二、直线与平面的位置关系判定1. 直线在平面上如果一个直线的方程满足平面方程,那么这条直线就在这个平面上。
具体而言,如果直线的方程是Ax + By + C = 0,而平面的方程也是Ax + By + D = 0,那么直线在平面上。
2. 直线与平面相交如果一个直线的方程不满足平面方程,但是直线和平面有公共点,那么直线与平面相交。
这种情况下,我们可以通过方程联立的方法求解直线与平面的交点坐标。
3. 直线平行于平面如果一个直线的方程中的A和B的比值与平面方程中的A和B的比值相等,而C和D的比值不相等,那么直线平行于平面。
在这种情况下,直线和平面没有交点,但是它们在空间中保持平行关系。
4. 直线与平面重合如果直线的方程与平面的方程是完全相同的,即方程中的系数A、B、C和常数D都相等,那么直线和平面重合。
这种情况下,直线和平面上的所有点都是重合的,它们实际上是同一个几何对象。
三、曲线与平面的位置关系判定对于曲线与平面的位置关系,我们主要考虑曲线是否在平面上或者是否与平面相交。
下面将讨论两种常见的曲线类型:圆和抛物线。
1. 圆与平面的位置关系如果一个圆的圆心到平面的距离等于圆的半径,那么这个圆就和平面相切。
当圆的圆心到平面的距离小于半径时,圆在平面上方;当距离大于半径时,圆在平面下方。
2. 抛物线与平面的位置关系抛物线与平面的位置关系相对复杂一些。
直线系方程过定点摘要:1.直线系方程的概念2.直线系方程过定点的意义3.求解直线系方程过定点的方法4.实例分析5.总结与启示正文:在学习直线方程时,我们经常会遇到直线系方程过定点的问题。
所谓直线系方程,是指在二维平面上有且只有一条直线满足给定的条件。
而直线系方程过定点,则意味着存在一个确定的点,使得这条直线恰好经过这个点。
本文将详细介绍直线系方程过定点的概念、求解方法以及实例分析,以帮助大家更好地理解和应用这一知识点。
首先,我们来了解一下直线系方程的概念。
在二维平面上,直线可以用一般式方程Ax + By + C = 0 表示,其中A、B、C 为常数,且A 和B 不同时为零。
当A 和B 不同时为零时,该直线系方程表示一条唯一的直线。
然而,在实际问题中,有时我们需要讨论多条直线之间的关系,这就涉及到直线系方程。
直线系方程可以看作是多条直线之间的“关系式”,它们可能具有相同的斜率、截距或其它参数。
接下来,我们来探讨直线系方程过定点的意义。
对于一条直线,如果它过定点,那么这条直线在平面上的位置就确定了。
换句话说,直线系方程过定点意味着存在一个确定的点,使得这条直线恰好经过这个点。
这个定点可以看作是直线系方程的一个参数,它与其他参数(如斜率、截距等)共同决定了直线的位置和形状。
那么,如何求解直线系方程过定点呢?我们可以按照以下步骤进行:1.确定直线系方程中的参数:根据题目给出的条件,确定直线的斜率、截距等参数。
2.选取一个合适的坐标系:根据题目要求,选择合适的坐标系,以便于求解定点。
3.列方程求解:将直线系方程中的参数代入一般式方程,得到一个关于x 和y 的方程。
然后,通过解方程组求解直线系方程过定点的坐标。
4.验证解的正确性:将求得的坐标代入直线系方程,检验是否满足题目给出的条件。
下面,我们通过一个实例来分析求解过程。
实例:已知直线系方程y = 2x + 1,求该直线过定点(2,3)的方程。
解:1.确定直线系方程中的参数:已知斜率k = 2,截距b = 1。
复平面上的直线方程
有些直线在复平面上是无法定义的。
直线的方程是标量,但是不知道这条直线在复平面上的定义域和值域。
以下是一个例子:从这个角度看,对于任何一个点来说,其轨迹都可以写成无限长的,通过原点的一个圆。
但是对于实数系统来说,对于有些函数就不能按照标准的格式书写。
例如,在复平面上定义一个圆,它没有方向,没有切向量,也没有法向量,其圆心只有一个,那么如果给它一个适当的值,把一个具体的点坐标写在上面,这就叫做这个函数的解析表达式。
但是对于任何一个点来说,其轨迹都可以写成无限长的,通过原点的一个圆,这时候,我们就不能按照前面那种标准格式来定义它了。
相反,我们要考虑用代数的方法来定义这个点的轨迹。
但是还有一种情况,那就是既不是解析表达式也不是代数的方程。
这时候怎么办呢?可以给它一个定义域,一个值域,使得在定义域里这个点的轨迹能够唯一地确定,而且在整个复平面上有唯一的方向。
我们将这样的一类轨迹称为函数在复平面上的“解析延拓”,或者简称为延拓(简称)。
函数的定义域就是指它在复平面上的解析延拓,或者简称中的
实数集合,简称中的复数集合。
而这个解析延拓(简称)一定存在,只要复平面上的所有点在这个简称内,就必然存在一个解析延拓(简称),其中的点是在复平面上。
我们可以认为,这个解析延拓(简称)中的点全部是对于这个简称内的。
我们可以列出一个二元一次方程组,并且把这个二元一次方程组转化为“一个对于复平面内的所有点,满足这个二元一次方程组的轨迹”。
通过图形来直观的表示这个问题。
如果对于某一个二元一次方程组,有一个开区间,那么复平面上的任意一点在该开区间内都有唯一的解析延拓(简称)。
也就是说,这个点在复平面内,并且这个点的解析延拓(简称)在这个开区间上。
从这个定义,我们很容易看到,如果这个解析延拓(简称)在复平面上的话,它必然属于某一个区间,但是它并不在这个区间内。
从这里,我们可以推断出解析延拓(简称)一定存在。
解析延拓(简称)在复平面上有唯一的方向。
那么这个方向一定和原来的直线方向相同,或者和原来的直线方向相反。
在有些文献里,又称为直线方程的反向。