《坐标系与参数方程》练习题(含详解)
- 格式:doc
- 大小:888.36 KB
- 文档页数:12
各省市坐标系与参数方程习题(2012.三河模考)1.点()3,1-P ,则它的极坐标是 ⎪⎭⎫ ⎝⎛-3,2π(2011.吴忠入门练习)2.点M的直角坐标是(1-,则点M 的极坐标为( 2(2,)3π) (2012.合肥模拟)3.若直线的参数方程为12()23x t t y t =+⎧⎨=-⎩为参数,则直线的斜率为( 32- )(2009.宁夏模拟)4.将参数方程222sin ()sin x y θθθ⎧=+⎪⎨=⎪⎩为参数化为普通方程为( 2(23)y x x =-≤≤ )5.化极坐标方程2cos 0ρθρ-=为直角坐标方程为( 201y +==2x 或x ) 6.极坐标方程cos 2sin 2ρθθ=表示的曲线为( 一条直线和一个圆 )7.极坐标方程⎪⎭⎫⎝⎛-=θπρ4cos 表示的曲线是 圆8.参数方程()2()t tt tx e et y e e --⎧=+⎪⎨=-⎪⎩为参数的普通方程为_______221,(2)416x y x -=≥___________。
9.极坐标方程52sin 42=θρ化为直角坐标方程是 42552+=x y (2009.陕西模拟)10、直线:3x-4y-9=0与圆:⎩⎨⎧==θθsin 2cos 2y x ,(θ为参数)的位置关系是( 相交但直线不过圆心 )11.已知直线113:()24x tl t y t=+⎧⎨=-⎩为参数与直线2:245l x y -=相交于点B ,又点(1,2)A ,则AB =________52_______。
12.直线122()112x t t y t ⎧=-⎪⎪⎨⎪=-+⎪⎩为参数被圆224x y +=截得的弦长为。
(2011.贵阳联考)13.直线c o s s i n x y αα+=的极坐标方程为_________2πθα=+___________。
14、曲线的参数方程为⎩⎨⎧-=+=12322t y t x (t 是参数),则曲线是(射线 ) 15、在参数方程⎩⎨⎧+=+=θθsin cos t b y t a x (t 为参数)所表示的曲线上有B 、C 两点,它们对应的参数值分别为t 1、t 2,则线段BC 的中点M 对应的参数值是( 221t t + )16、实数x 、y 满足3x 2+2y 2=6x ,则x 2+y 2的最大值为( 4 )17、若A 33,π⎛⎝ ⎫⎭⎪,B ⎪⎭⎫ ⎝⎛-64π,,则|AB|=_____5 ______,S AOB ∆=_____6______。
数学选修4-4 坐标系与参数方程[基础训练A组]选择题1 •若直线的参数方程为<A. 333C.-2 为参数),则直线的斜率为(y = 2-3/2 B. ---33 D.一一22•下列衽曲线<gm 7 .,&为参数)上的点是( v = cos&+sin&k *1 3 1A. (-.->/2) C. (2,73) D. (tVS)乙厶x = 2+jn &(8为参数)化为普通方程为(y = siir&3.将参数方程A. y = x-2 B・y = x + 2 C. y = x-2(2<x<3) D・y = x + 2(0<y<l) 4•化极坐标方程Q2COS&-Q =0为直角坐标方程为(A. X- + y- = OsK}'= 1B. % = IC.x- + y- = 0»Kx = 1D.y = 15 •点M的亶角坐标是(-1・厲),则点M的极坐标为(A. (2,-)B. (2,--)C.(2,—)D.(2,2£;r + -),(ReZ)3 3 3 36.极坐标方程Qcos& = 2sin2&表示的曲线为(A・一条射线和一个圆B,两条宜线 C. 一条直线和一个圆 D.—个圆二.填空题y = 3 + 4/円/为参数)的斜率为.I X = ” +2.参数方程L = 2(一严参数咖通方程为3 •已知直线/]X 1一•(f为参数)与直线人:2—4y = 5相交于点又点>4(12), [y = 2-4t -则仙=X = 2 —f2 (f为参数)被圆.V- + y-=4截得的弦长为,y = — 1 —t25.亶线xcosa + ysina = 0的极坐标方程为1.S知点P(x,y)是圆x-+y-=2y±的动点, (1)求2x+y的取值范围;(2)若x+y + a>0恒成立,求实数a的取值范围。
《坐标系与参数方程》专项练习一、知识梳理. 1.极坐标与直角坐标的互化.设 M 是平面内任意一点,它的直角坐标是(x,y),极坐标是(ρ,θ),则它们之间的关系为:(1)x y cos sin, 2 x2 y2(2) tany x2.参数方程x y f g(t) (t)(t为参数)化为普通方程的常用方法.(1)代入法/加减法消参. (2)借助三角恒等式 sin2θ+cos2θ=1(θ 为参数)消参.3.直角坐标方程,极坐标方程和参数方程的转化关系.y Mρ θy O x Ax极坐标方程 (ρ,θ)⇔直角坐标方程(普通方程) (x,y)⇔参数方程 (t 为参数)二、练习专项. 【题型 1】①极坐标方程 ⇔ 直角坐标方程.②参数方程 ⇔ 直角坐标方程.1.(2016全国Ⅲ卷,文科23,10分)在直线坐标系xOy中,曲线C1的参数方程为x 3 cosy sin(α 为参数).以坐标原点为极点,x 轴正半轴为极轴,建立极坐标系,曲线 C2 的极坐标方程为 ρsin(θ+ )=2 2 .4(Ⅰ)写出 C1 的普通方程和 C2 的直角坐标方程;(Ⅱ)设点 P 在 C1 上,点 Q 在 C2 上,求∣PQ∣的最小值及此时 P 的直角坐标.解:(Ⅰ)由x y 3 cos sin消去参数α得……………………1分(此处为消参的计算过程,可省略)变形得 x 3 cos y sin x2两边平方,得 3 cos2 ①y2 sin2 ②①+②,得 x2 +y2=13C1 的普通方程为 x2 +y2=1……………………2 分3∵ρsin(θ+ )=2 24∴ρ(sinθcos +cosθsin )=2 2 ……………………3 分44ρ( 2 sinθ+ 2 cosθ)=2 2222 ρsinθ+ 2 ρcosθ=2 222ρsinθ+ρcosθ=4……………………4 分∵ρcosθ=x,ρsinθ=y1 / 13∴x+y=4……………………5 分 (Ⅱ)由题意,可设点 P 的直角坐标为 ( 3 cos,sin ) ……………………6 分∵C2 是直线 ∴ | PQ | 的最小值即为 P 到 C2 的距离 d ( ) 的最小值d ( ) | 3 cos sin 4 | 2 | sin( ) 2 | ………………8 分23当且仅当 2k (k Z ) 时, d ( ) 取得最小值,最小值为 2 ………………9 分6此时 P 的直角坐标为 ( 3 , 1) ………………10 分 222.(2009全国卷,文/理23,10分)已知曲线C1:x y 4 3scos intt(t为参数),C2: x y 8cos 3sin(θ为参数).(Ⅰ)化 C1,C2 的方程为普通方程,并说明它们分别表示什么曲线;(Ⅱ)若C1 上的点P对应的参数为t= 2,Q为C2 上的动点,求PQ中点M到直线C3:x y 3 2t 2 t(t 为参数)距离的最小值.解:(Ⅰ)由C1:x y 4 3scost int消去参数t得……………………1分(此处为消参的计算过程,可省略)变形得x y 4 3 cost sint两边平方,得( (x y 4) 3) cos2 t 2 sin2 t① ②①+②,得(x+4)2+(y-3)2=1∴C1 的普通方程为(x+4)2+(y-3)2=1……………………2 分 ∴C1 为圆心是(-4,3),半径是 1 的圆由C2:x y 8cos 3sin消去参数θ得……………………1分(此处为消参的计算过程,可省略)变形得 x 8 y 3 co s sin两边平方,得 x2 64 y2 9 cos2 sin2 ① ② ①+②,得 x2 + y2 =1 64 9∴C2 的普通方程为 x2 + y2 =1……………………2 分64 9∴C2 为焦点在 x 轴上的椭圆(Ⅱ)当 t 时, P(4, 4) , Q(8cos,3sin )2故 M (2 4 cos , 2 3 sin ) 2C3 为直线 x 2y 7 02 / 13M 到 C3 的距离 d 5 | 4cos 3sin 13 | 5从而当 cos 4 ,sin 3 时, d 取得最小值 8 5555【题型 2】①直角坐标方程 ⇔ 极坐标方程. ②直角坐标方程 ⇔ 参数方程.3.(2016 全国Ⅱ卷,文科 23,10 分)在直角坐标系 xOy 中,圆 C 的方程为(x+6)2+y2=25.(Ⅰ)以坐标原点为极点,x 轴正半轴为极轴建立极坐标系,求 C 的极坐标方程;(Ⅱ)直线l的参数方程是x y t tcos sin(t为参数),l与C交于A,B两点,|AB|=10 .求 l 的斜率.解:(Ⅰ)由圆 C 的方程 x 62 y2 25可得……………………1 分x2+12x+36+y2=25 x2+y2+12x+11=0……………………2 分 把 x2+y2=ρ2,x=ρcosθ 代入上式得……………………3 分 ρ2+12ρcosθ+11=0……………………4 分 ∴圆 C 的极坐标方程为 ρ2+12cosθ+11=0……………………5 分(Ⅱ)在(Ⅰ)中建立的极坐标系中,直线 l 的极坐标方程为 θ=α(ρ∈R) 由 A,B 所对应的极径分别为 ρ1,ρ2……………………8 分 将 l 的极坐标方程代入 C 的极坐标方程得 ρ2+12ρcosα+11=0……………………7 分于是 1 2 12cos, 12 11,| AB || 1 2 | (1 2 )2 412 144 cos2 44, ……………………8 分由|AB|= 10 得cos2 3 , tan 15 ……………………9 分83∴l 的斜率为 15 或 15 ……………………10 分334.(2015 全国Ⅰ卷,文/理 23,10 分)在直角坐标系 xOy 中,直线 C1:x=-2,圆 C2:(x-1)2 +(y-2)2=1,以坐标原点为极点,x 轴的正半轴为极轴建立极坐标系. (Ⅰ)求 C1,C2 的极坐标方程; (Ⅱ)若直线 C3 的极坐标方程为 θ=(ρ∈R),设 C2 与 C3 的交点为 M,N,求△C2MN 的面积.解:(Ⅰ)把 x=ρcosθ 代入 C1:x=-2 得 ρcosθ=-2……………………1 分 ∴C1 的极坐标方程为 ρcosθ=-2………………2 分 由 C2:(x-1)2+(y-2)2=1 得 (x2-2x+1)+(y2-4y+4)=1 x2+y2-2x-4y+1+4=1 x2+y2-2x-4y+4=0………………3 分 把 ρ2=x2+y2,x=ρcosθ,y=ρsinθ 代入上式得………………4 分 C2 的极坐标方程为 ρ2-2ρcosθ-4ρsinθ+4=0………………5 分(Ⅱ)将 θ= 代入 ρ2-2ρcosθ-4ρsinθ+4=0,得3 / 13ρ2-3 ρ+4=0………………6 分 解得 ρ1=2 ,ρ2= ………………7 分 故 ρ1-ρ2= ,即|MN|= ………………8 分 由于 C2 的半径为 1∴△C2MN 的面积为 ………………10 分5.(2014全国Ⅰ卷,文/理23,10分)已知曲线C:x2 4y2 9 1,直线l:x y 2 2 t 2t(t为参数).(Ⅰ)写出曲线 C 的参数方程,直线 l 的普通方程;(Ⅱ)过曲线 C 上任意一点 P 作与 l 夹角为 30°的直线,交 l 于点 A,求|PA|的最大值与最小值.解:(Ⅰ)∵曲线 C: =1∴ ( x)2 ( y)2 1 23又∵sin2θ+cos2θ=1∴ x =cosθ, y =sinθ23∴x=2cosθ,y=3sinθ曲线C的参数方程为x y 2 cos 3sin(θ为参数).由直线 l:消去参数 t 得(此处为消参的计算过程,可省略) 把③代入②,得y=2-2(x-2)由①得 t=x-2 ③整理得 2x+y-6=0直线 l 的普通方程为 2x+y-6=0.(Ⅱ)曲线 C 上任意一点 P(2cosθ,3sinθ)到 l 的距离为d= |4cosθ+3sinθ-6|则|PA|=|5sin(θ+α)-6|,其中 α 为锐角,且 tanα=当 sin(θ+α)=-1 时,|PA|取得最大值,最大值为当 sin(θ+α)=1 时,|PA|取得最小值,最小值为6.(2014 全国Ⅱ卷,文/理 23,10 分)在直角坐标系 xOy 中,以坐标原点为极点,x 轴正半轴为 极轴建立极坐标系,半圆 C 的极坐标方程为 ρ=2cosθ,θ∈[0, ]. 2 (Ⅰ)求 C 的参数方程; (Ⅱ)设点 D 在 C 上,C 在 D 处的切线与直线 l:y= 3 x+2 垂直,根据(Ⅰ)中你得到的 参数方程,确定 D 的坐标.解:(Ⅰ)∵ρ=2cosθ4 / 13∴ρ2=2ρcosθ 把 x2+y2=ρ2,x=ρcosθ 代入上式得5 / 13x2+y2=2x ∴C 的普通方程为(x-1)2+y2=1(0≤y≤1) ∴半圆 C 的圆心为(1,0),半径为 1可得 C 的参数方程为(t 为参数,0≤t≤π)(Ⅱ)设 D(1+cost,sint)由(Ⅰ)知 C 是以 G(1,0)为圆心,1 为半径的上半圆∵C 在点 D 处的切线与 l 垂直∴直线 GD 与 l 的斜率相同.tant= ,t=故 D 的直角坐标为,即【题型 3】极坐标方程 ⇔ 参数方程.7.(2016全国Ⅰ卷,文/理23,10分)在直角坐标系xOy中,曲线C1的参数方程为x y a 1cos t asint(t 为参数,a>0).在以坐标原点为极点,x 轴正半轴为极轴的极坐标系中,曲线 C2:ρ=4cosθ.(Ⅰ)说明 C1 是哪一种曲线,并将 C1 的方程化为极坐标方程;(Ⅱ)直线 C3 的极坐标方程为 θ=α0,其中 α0 满足 tanα0=2,若曲线 C1 与 C2 的公共点都在 C3 上,求 a.解:(Ⅰ)解法一:C1 是圆的方程…………1 分由x y a 1cos t asint消去参数t得…………2分(此处为消参的计算过程,可省略)移项,得x y a cost 1 a sint即x 2 ( y a2 1) 2cos2 a2t sin2t① ②①+②,得两边平方,得x 2 ( y (a 1) 2cost)2 (a sint)2x2+(y-1)2=a2cos2t+a2sin2t x2+(y-1)2=a2(cos2t+sin2t) x2+(y-1)2=a2x2 y 12 a2 ①整理得 x2 y2 2y 1 a2 0 …………3 分∴把 x2 y2 2 ,y sin 代入上式得…………4 分2 2 sin 1 a2 0∴ C1 的极坐标方程为 2 2 sin 1 a2 0 …………5 分 (Ⅱ)由 C2:ρ=4cosθ 得两边同乘 ρ 得 ρ2=4ρcosθ ∵ρ2=x2+y2,ρcosθ=xx2 y2 4x …………6 分即 x 22 y2 4 ②…………7 分C3:化为普通方程为 y 2x …………8 分由题意: C1 和 C2 的公共方程所在直线即为 C3 ①-②得: 4x 2y 1 a2 0 ,即为 C3 …………9 分5 / 13∴1 a2 0 6 / 13∴ a 1 …………10 分8.(2013全国Ⅰ卷,文/理23,10分)已知曲线C1的参数方程为x y 4 5 5 cos t 5sint(t为参数),以坐标原点为极点,x 轴的正半轴为极轴建立极坐标系,曲线 C2 的极坐标方程为 ρ=2sinθ.(Ⅰ)把 C1 的参数方程化为极坐标方程;(Ⅱ)求 C1 与 C2 交点的极坐标(ρ≥0,0≤θ<2π).解:(Ⅰ)将x y 4 5 5 cos t 5sint消去参数t得C1 的普通方程为(x-4)2+(y-5)2=25即 C1:x2+y2-8x-10y+16=0将x y cos sin代入上式得ρ2-8ρcosθ-10ρsinθ+16=0∴C1 的极坐标方程为 ρ2-8ρcosθ-10ρsinθ+16=0 (Ⅱ)∵C2 的极坐标方程为 ρ=2sinθ∴C2 的普通方程为 x2+y2-2y=0由x x2 2 y2 y28x 10y 16 0 2y 0① ②(此处为解方程的过程,可省略)提取 x,得 x(x-1)=0②-①,得 8x+8y-16=0∴x=0 或 x-1=0整理,得 y=2-x③解得 x=0 或 x=1把③代入②,得把 x=0 代入③,得 y=2x2+(2-x)2-2(2-x)=0把 x=1 代入③,得 y=1整理,得 x2-x=0(特别注意,x 是未知数,不能约去的)解得x y 0 2或x y 1 1C1 与 C2 交点的直角坐标分别为(0,2),(1,1)对于点(0,2)有:ρ= x2 y2 = 02 22 =2,θ= 2对于点(1,1)有:ρ= x2 y2 = 12 12 = 2 ,tanθ= y =1,θ= x4∴C1 与 C2 交点的极坐标分别为(2, ),( 2 , )24【题型 4】其它题型:.求交点坐标,求点的坐标,求轨迹方程等.9.(2015全国Ⅱ卷,文/理23,10分)在直角坐标系xOy中,曲线C1: x y t tcos sin(t为参数,t≠0),其中 0≤α<π.在以 O 为极点,x 轴正半轴为极轴的极坐标系中,曲线 C2:ρ=2sinθ,C3:ρ=2 3 cosθ. (Ⅰ)求 C2 与 C3 交点的直角坐标; (Ⅱ)若 C1 与 C2 相交于点 A,C1 与 C3 相交于点 B,求|AB|的最大值. 解:(Ⅰ)∵C2:ρ=2sinθ6 / 13∴ρ2=2ρsinθ 把 ρ2=x2+y2,y=ρsinθ 代入上式得 曲线 C2 的直角坐标方程为 x2+y2-2y=0 ①………………1 分∵C3:ρ=2 cosθ∴ρ2=2 ρcosθ 把 ρ2=x2+y2,x=ρcosθ 代入上式得曲线 C3 的直角坐标方程为 x2+y2-2 3 x=0 ②………………2 分联立①②得x 2x 2 y2 y22y 0 2 3x 0① ………………3 分②(此处为解方程的过程,可省略)提取 x,得 x(2x- 3 )=0①-②,得 -2y+2 3 x=0∴x=0 或 2x- 3 =0整理,得 y= 3 x③ 把③代入①,得 x2+3x2-2 整理,得 2x2- 3 x=03 x=0解得 x=0 或 x= 32把 x=0 代入③,得 y=0(特别注意,x 是未知数,不能约去的) 把 x= 3 代入③,得 y= 322解得x y 0或 0x y 3 2 3 2………………4分∴C2 与 C3 交点的直角坐标为(0,0)和………………5 分(Ⅱ)曲线 C1 的极坐标方程为 θ=α(ρ∈R,ρ≠0),其中 0≤α<π因此 A 的极坐标为(2sinα,α),B 的极坐标为(2 cosα,α)∴|AB|=|2sinα-2 cosα|=4 当 α= 时,|AB|取得最大值,最大值为 410.(2013全国Ⅱ卷,文/理23,10分)已知动点P,Q都在曲线C:x y 2 cos t 2sint(t为参数)上,对应参数分别为 t=α 与 t=2α(0<α<2π),M 为 PQ 的中点.(Ⅰ)求 M 的轨迹的参数方程;(Ⅱ)将 M 到坐标原点的距离 d 表示为 α 的函数,并判断 M 的轨迹是否过坐标原点.解:(Ⅰ)∵动点 P,Q 都在曲线 C:(t 为参数)上∴P(2cosα,2sinα),Q(2cos2α,2sin2α)∵M 为 PQ 的中点∴xM= 2cos 2cos2 =cosα+cos2α 2yM= 2sin 2sin2 =sinα+sin2α 2∴M(cosα+cos2α,sinα+sin2α).∴M 的轨迹的参数方程为(α 为参数,0<α<2π). 7 / 13(Ⅱ)M 点到坐标原点的距离 d=(0<α<2π).8 / 13当α=π时,d =0,故M 的轨迹过坐标原点11.(2012全国卷,文/理23,10分)已知曲线C 1的参数方程是⎩⎨⎧==ϕϕsin 3cos 2y x (φ为参数),以坐标原点为极点,x 轴的正半轴为极轴建立极坐标系,曲线C 2的极坐标方程是ρ=2.正方形ABCD 的顶点都在C 2上,且A ,B ,C ,D 依逆时针次序排列,点A 的极坐标为(2,3π). (Ⅰ)求点A ,B ,C ,D 的直角坐标; (Ⅱ)设P 为C 1上任意一点,求|PA |2+|PB |2+|PC |2+|PD |2的取值范围.解:(Ⅰ)∵点A 的极坐标为 ∴点B 的极坐标为点C 的极坐标为点D 的极坐标为∴x A ==1,y A == x B =2cos =-,y B =2sin=1 x C =2cos +π=-1,y C =2sin +π=-x D =2cos =,y D =2sin =-1即A(1,),B(-,1),C(-1,-),D(,-1)(Ⅱ)设P(2cos φ,3sin φ),令S =|PA|2+|PB|2+|PC|2+|PD|2则S =16cos 2φ+36sin 2φ+16=32+20sin 2φ∵0≤sin 2φ≤1∴S 的取值范围是[32,52]12.(2011全国卷,文/理23,10分)在直角坐标系xOy 中,曲线C 1的参数方程为⎩⎨⎧+==ααsin 22cos 2y x (α为参数),M 是C 1上的动点,P 点满足OP =2OM ,P 点的轨迹为曲线C 2. (Ⅰ)求C 2的方程;(Ⅱ)在以O 为极点,x 轴的正半轴为极轴的极坐标系中,射线θ=3π与C 1的异于极点的交点为A ,与C 2的异于极点的交点为B ,求|AB |.解:(Ⅰ)设P (x ,y ),则由条件知M (2x ,2y ). 由于M 点在C 1上∴⎪⎪⎩⎪⎪⎨⎧+==ααsin 222cos 22y x 即⎩⎨⎧+==ααsin 44cos 4y x 从而C 2的参数方程为⎩⎨⎧+==ααsin 44cos 4y x (α为参数)(Ⅱ)曲线C 1的极坐标方程为ρ=4sin θ曲线C 2的极坐标方程为ρ=8sin θ射线θ=3π与C 1的交点A 的极径为ρ1=4sin 3π 射线θ=3π与C 2的交点B 的极径为ρ2=8sin 3π ∴|AB |=|ρ2-ρ1|=2313.(2010全国卷,文/理23,10分)已知直线C 1:⎩⎨⎧=+=ααsin cos 1t y t x (t 为参数),圆C 2:⎩⎨⎧==θθsin cos y x (θ为参数). (Ⅰ)当α=3π时,求C 1与C 2的交点坐标; (Ⅱ)过坐标原点O 做C 1的垂线,垂足为A ,P 为OA 的中点,当α变化时,求P 点轨迹的参数方程,并指出它是什么曲线.解:(Ⅰ)当α=3π时 C 1的普通方程为1)y x -C 2的普通方程为221x y += 联立方程组⎪⎩⎪⎨⎧=+-=1)1(322y x x y 解得C 1与C 2的交点为(1,0),1(,2 (Ⅱ)C 1的普通方程为sin cos sin 0x y ααα--=.A 点坐标为2(sin ,cos sin )a a a -,故当a 变化时,P 点轨迹的参数方程为21sin 21sin cos 2x a y a a ==-⎧⎨⎩(a 为参数) P 点轨迹的普通方程为2211()416x y -+= 故P 点是圆心为1(,0)4,半径为14的圆(注:文档可能无法思考全面,请浏览后下载,供参考。
坐标系与参数方程基础巩固强化1.(文)极坐标方程ρ=cos θ和参数方程⎩⎪⎨⎪⎧x =-1-t ,y =2+t .(t 为参数)所表示的图形分别是( )A .直线、直线B .直线、圆C .圆、圆D .圆、直线[答案] D[解析] 由ρ=cos θ得ρ2=ρcos θ,∴x 2+y 2-x =0.此方程所表示的图形是圆.消去方程⎩⎪⎨⎪⎧x =-1-t ,y =2+t .中的参数t 可得,x +y -1=0,此方程所表示的图形是直线.(理)(2011·皖中地区示范高中联考)在平面直角坐标系xOy 中,直线l 的参数方程为⎩⎪⎨⎪⎧ x =t ,y =t +1.(t ∈R ),圆的参数方程为⎩⎪⎨⎪⎧x =cos θ+1y =sin θ(θ∈[0,2π)),则圆心C 到直线l 的距离为( )A .0B .2 C. 2 D.22[答案] C[解析] 化直线l 的参数方程⎩⎪⎨⎪⎧x =ty =t +1(t ∈R )为普通方程为x -y+1=0,化圆的参数方程⎩⎪⎨⎪⎧x =cos θ+1,y =sin θ.(θ∈[0,2π))为普通方程为(x-1)2+y 2=1,则圆心C (1,0)到直线l 的距离为|1-0+1|12+(-1)2= 2.2.若直线的参数方程为⎩⎪⎨⎪⎧x =1+3t ,y =2+3t .(t 为参数),则直线的倾斜角为( )A .30°B .60°C .120°D .150°[答案] A[解析] 由直线的参数方程知,斜率k =y -2x -1=3t 3t =33=tan θ,θ为直线的倾斜角,所以该直线的倾斜角为30°.3.(文)(2011·北京市西城区高三模拟)在极坐标系中,过点(1,0)并且与极轴垂直的直线方程是( )A .ρ=cos θB .ρ=sin θC .ρcos θ=1D .ρsin θ=1 [答案] C[解析] 过点(1,0)且与极轴垂直的直线,在直角坐标系中的方程为x =1,所以其极坐标方程为ρcos θ=1,故选C.(理)在极坐标系中,过点(2,π3)且与极轴平行的直线的方程是( )A .ρcos θ= 3B .ρsin θ= 3C .ρ=3cos θD .ρ=3sin θ [答案] B[解析] 设P (ρ,θ)是所求直线上任意一点,则ρsin θ=2sin π3,∴ρsin θ=3,故选B.4.在平面直角坐标系中,经伸缩变换后曲线方程x 2+y 2=16变换为椭圆方程x ′2+y ′216=1,此伸缩变换公式是( )A.⎩⎨⎧x =14x ′y =y ′B.⎩⎪⎨⎪⎧x =4x ′y =y ′ C.⎩⎪⎨⎪⎧ x =2x ′y =y ′ D.⎩⎪⎨⎪⎧x =4x ′y =8y ′ [答案] B[解析] 设此伸缩变换为⎩⎪⎨⎪⎧x ′=λx (λ>0),y ′=μy (μ>0),代入x ′2+y ′216=1, 得(λx )2+(μy )216=1,即16λ2x 2+μ2y 2=16,与x 2+y 2=16比较得⎩⎪⎨⎪⎧16λ2=1(λ>0),μ2=1(μ>0),故⎩⎨⎧λ=14,μ=1,故所求变换为⎩⎨⎧x ′=14x ,y ′=y .故选B.5.设极坐标系的极点与平面直角坐标系的原点重合,极轴为x轴正半轴,则直线⎩⎪⎨⎪⎧x =1+2t ,y =2+t (t 为参数)被圆ρ=3截得的弦长为( )A.125 B.125 5 C.95 5 D.9510[答案] B[解析] 圆的直角坐标方程为x 2+y 2=9,直线的参数方程化为普通方程为x -2y +3=0,则圆心(0,0)到直线的距离d =35.所以弦长为232-d 2=1255.6.抛物线x 2-2y -6x sin θ-9cos 2θ+8cos θ+9=0的顶点的轨迹是(其中θ∈R )( )A .圆B .椭圆C .抛物线D .双曲线[答案] B[解析] 原方程变形为:y =12(x -3sin θ)2+4cos θ.设抛物线的顶点为(x ,y ),则⎩⎪⎨⎪⎧x =3sin θy =4cos θ,消去参数θ得轨迹方程为x 29+y 216=1.它是椭圆.7.(文)极坐标系中,点A 在曲线ρ=2sin θ上,点B 在曲线ρcos θ=-2上,则|AB |的最小值为________.[答案] 1[解析] ρ=2sin θ⇒ρ2=2ρsin θ ∴x 2+y 2-2y =0,即x 2+(y -1)2=1; ∵ρcos θ=-2,∴x =-2,易知圆心(0,1)到直线x =-2的距离为2,圆半径为1,故|AB |min=1.(理)(2011·安徽“江南十校”联考)在极坐标系中,直线ρsin(θ-π4)=22与圆ρ=2cos θ的位置关系是________.[答案] 相离[解析] 直线的直角坐标方程为x -y +1=0,圆的直角坐标方程为(x -1)2+y 2=1,其圆心C (1,0),半径r =1.因为圆心到直线的距离d =22=2>1,故直线与圆相离.8.(文)已知曲线C 1,C 2的极坐标方程分别为ρcos θ=3,ρ=4cos θ(ρ≥0,0≤θ<π2),则曲线C 1与C 2交点的极坐标为________.[答案] ⎝ ⎛⎭⎪⎫23,π6[解析] 化为直角坐标方程为x =3和x 2+y 2=4x (y ≥0),故交点为(3,3),其极坐标为⎝ ⎛⎭⎪⎫23,π6.[点评] 可直接解⎩⎪⎨⎪⎧ρcos θ=3,ρ=4cos θ,得⎩⎨⎧ρ=23,θ=π6.(理)在极坐标系(ρ,θ)(0≤θ<2π)中,曲线ρ(cos θ+sin θ)=1与ρ(sin θ-cos θ)=1的交点的极坐标为__________.[答案] (1,π2)[解析] 曲线ρ(cos θ+sin θ)=1化为直角坐标方程为x +y =1,ρ(sin θ-cos θ)=1化为直角坐标方程为y -x =1.联立方程组⎩⎪⎨⎪⎧ x +y =1y -x =1,得⎩⎪⎨⎪⎧x =0y =1,则交点为(0,1),对应的极坐标为(1,π2). [点评] 可直接由两方程联立解出交点坐标,∵⎩⎪⎨⎪⎧ ρcos θ+ρsin θ=1,ρsin θ-ρcos θ=1,∴⎩⎪⎨⎪⎧ρcos θ=0,ρsin θ=1.∵ρ≠0,∴cos θ=0,∴θ=π2+k π (k ∈Z ), ∴sin θ=±1,∵ρ>0,∴sin θ=1, ∴θ=π2+2n π(n ∈Z ),ρ=1,令n =0得,交点的一个极坐标为(1,π2).9.(文)直线⎩⎪⎨⎪⎧x =1+4t ,y =-1-3t .(t 为参数)被曲线ρ=2cos(θ+π4)所截的弦长为________.[答案] 75[解析] 由⎩⎪⎨⎪⎧x =1+4t ,y =-1-3t .得直线方程为3x +4y +1=0,∵ρ=2cos(θ+π4)=cos θ-sin θ, ∴ρ2=ρcos θ-ρsin θ,∴x 2+y 2=x -y ,即(x -12)2+(y +12)2=12. 圆心到直线的距离d =110, ∴弦长=2×12-1100=75.(理)已知直线l 的参数方程是⎩⎨⎧x =-1+12t ,y =32t ,(t 为参数),以原点O 为极点,x 轴正半轴为极轴建立极坐标系,圆C 的极坐标方程为ρ=23-cos2θ,则直线l 被曲线C 截得的弦长等于________.[答案] 827[解析] 由ρ=23-cos2θ得,ρ=22+2sin 2θ,∴ρ2(1+sin 2θ)=2,∴x 2+2y 2=2,将⎩⎨⎧x =-1+12t ,y =32t ,代入并化简得,7t 2-4t -4=0,∴t 1+t 2=47,t 1t 2=-47,∴|t 1-t 2|=(t 1+t 2)2-4t 1t 2=(47)2+167=827.10.(文)(2012·山西高考联合模拟)已知在平面直角坐标系xOy 中,圆C 的参数方程为⎩⎪⎨⎪⎧x =3+3cos θ,y =1+3sin θ.(θ为参数),以Ox 为极轴建立极坐标系,直线l 的极坐标方程为ρcos(θ+π6)=0.(1)写出直线l 的直角坐标方程和圆C 的普通方程; (2)求圆C 截直线l 所得的弦长.解析:(1)消去参数得圆C 的普通方程为(x -3)2+(y -1)2=9, 由ρcos(θ+π6)=0得32ρcos θ-12ρsin θ=0, 直线l 的直角坐标方程3x -y =0. (2)圆心(3,1)到l 的距离d =|3×3-1|(3)2+(-1)2=1.设圆心截直线l 所得弦长为m ,则m2=r 2-d 2=22,∴m =4 2. (理)(2012·银川一中二模)平面直角坐标系中,直线l 的参数方程是⎩⎪⎨⎪⎧x =t ,y =3t .(t 为参数),以坐标原点为极点,x 轴的正半轴为极轴,建立极坐标系,已知曲线C 的极坐标方程为ρ2cos 2θ+ρ2sin 2θ-2ρsin θ-3=0.(1)求直线l 的极坐标方程;(2)若直线l 与曲线C 相交于A 、B 两点,求|AB |. [解析] (1)消去参数得直线l 的直角坐标方程:y =3x将⎩⎪⎨⎪⎧x =ρcos θy =ρsin θ代入得ρsin θ=3ρcos θ⇒θ=π3或θ=4π3(ρ≥0). (也可以是:θ=π3(ρ∈R ))(2)由⎩⎨⎧ρ2cos 2θ+ρ2sin 2θ-2ρsin θ-3=0θ=π3得,ρ2-3ρ-3=0 设A (ρ1,π3),B (ρ2,π3),则|AB |=|ρ1-ρ2|=(ρ1+ρ2)2-4ρ1ρ2=15. [点评] 也可化为直角坐标方程求解.能力拓展提升11.(2011·西安检测)已知直线l :⎩⎨⎧x =1-22t ,y =1+22t .(t 为参数)与圆C :⎩⎪⎨⎪⎧x =1+2cos θ,y =1+2sin θ.(θ为参数),它们的公共点个数为________个.[答案] 2[解析] 直线l 的普通方程为x +y -2=0,⊙C 的圆心(1,1),半径r =2,圆心C 在直线l 上,∴l 与⊙C 相交.12.(文)(2011·咸阳模拟)若直线3x +4y +m =0与圆⎩⎪⎨⎪⎧x =1+cos θ,y =-2+sin θ.(θ为参数)没有公共点,则实数m 的取值范围是____. [答案] (-∞,0)∪(10,+∞)[解析] 由条件知,圆心C (1,-2)到直线3x +4y +m =0的距离大于圆的半径1,∴|3-8+m |5>1,∴m <0或m >10. (理)已知直线l 的参数方程:⎩⎪⎨⎪⎧x =2t ,y =1+4t .(t 为参数),曲线C 的极坐标方程:ρ=22sin ⎝ ⎛⎭⎪⎫θ+π4,求直线l 被曲线C 截得的弦长为_______.[答案] 2305[分析] 可将参数方程和极坐标方程化为直角坐标方程求解;也可将曲线C 的方程化为直角坐标方程后,将l 方程代入利用t 的几何意义求解.[解析] 将直线l 的参数方程化为普通方程为y =2x +1,将圆C 的极坐标方程化为普通方程为(x -1)2+(y -1)2=2,从圆方程中可知:圆心C (1,1),半径r =2,所以圆心C 到直线l 的距离d =|2×1-1+1|22+(-1)2=25<2=r .所以直线l 与圆C 相交.所以直线l 被圆C 截得的弦长为 2r 2-d 2=22-45=2305.13.(2011·天津理,11)已知抛物线C 的参数方程为⎩⎪⎨⎪⎧x =8t 2,y =8t ,(t为参数),若斜率为1的直线经过抛物线C 的焦点,且与圆(x -4)2+y 2=r 2(r >0)相切,则r =________.[答案]2[解析] 根据抛物线C 的参数方程⎩⎪⎨⎪⎧x =8t2y =8t,得出y 2=8x ,得出抛物线焦点坐标为(2,0),所以直线方程:y =x -2,利用圆心到直线距离等于半径,得出r =22= 2.14.(文)(2012·江西理,15)曲线C 的直角坐标方程为x 2+y 2-2x =0,以原点为极点,x 轴的正半轴为极轴建立极坐标系,则曲线C 的极坐标方程为________.[答案] ρ=2cos θ[解析] 将⎩⎪⎨⎪⎧x =ρcos θ,y =ρsin θ,代入x 2+y 2-2x =0中得,ρ2-2ρcos θ=0,∵ρ≠0,∴ρ=2cos θ.(理)(2012·湖北理,16)在直角坐标系xOy 中,以原点O 为极点,x 轴的正半轴为极轴建立极坐标系.已知射线θ=π4与曲线⎩⎪⎨⎪⎧x =t +1,y =(t -1)2.(t 为参数)相交于A ,B 两点,则线段AB 的中点的直角坐标为________.[答案] (52,52)[解析] 由⎩⎪⎨⎪⎧x =t +1,y =(t -1)2,化为普通方程y =(x -2)2① 由θ=π4化为直角坐标方程y =x (x ≥0)② 联立①②,∴(x -2)2=x ,即x 2-5x +4=0, ∴x 1+x 2=5,∴中点坐标为(52,52).15.(2011·课标全国文,23)在直角坐标系xOy 中,曲线C 1的参数方程为⎩⎪⎨⎪⎧x =2cos α,y =2+2sin α.(α为参数).M 是C 1上的动点,P 点满足OP→=2OM →,P 点的轨迹为曲线C 2. (1)求C 2的方程;(2)在以O 为极点,x 轴的正半轴为极轴的极坐标系中,射线θ=π3与C 1的异于极点的交点为A ,与C 2的异于极点的交点为B ,求|AB |.[解析] (1)设P (x ,y ),则由条件知M (x 2,y2).由于M 点在C 1上,所以⎩⎪⎨⎪⎧x 2=2cos α,y 2=2+2sin α.即⎩⎪⎨⎪⎧x =4cos α,y =4+4sin α.从而C 2的参数方程为⎩⎪⎨⎪⎧x =4cos α,y =4+4sin α.(α为参数)(2)曲线C 1的极坐标方程为ρ=4sin θ,曲线C 2的极坐标方程为ρ=8sin θ.射线θ=π3与C 1的交点A 的极径为ρ1=4sin π3=23, 射线θ=π3与C 2的交点B 的极径为ρ2=8sin π3=4 3. 所以|AB |=|ρ2-ρ1|=2 3.16.(文)(2011·大连市模拟)已知直线l 经过点P (12,1),倾斜角α=π6,圆C 的极坐标方程为ρ=2cos(θ-π4).(1)写出直线l 的参数方程,并把圆C 的方程化为直角坐标方程; (2)设l 与圆C 相交于两点A 、B ,求点P 到A 、B 两点的距离之积.[解析](1)直线l 的参数方程为⎩⎪⎨⎪⎧x =12+t cos π6,y =1+t sin π6,(t 为参数),即⎩⎨⎧x =12+32t ,y =1+12t .(t 为参数).由ρ=2cos(θ-π4)得ρ=cos θ+sin θ,所以ρ2=ρcos θ+ρsin θ,得(x -12)2+(y -12)2=12.(2)把⎩⎨⎧x =12+32ty =1+12t代入(x -12)2+(y -12)2=12中得t 2+12t -14=0.由根与系数的关系得t 1t 2=-14,由参数t 的几何意义得:|P A |·|PB |=|t 1t 2|=14.(理)(2012·乌鲁木齐地区诊断)在直角坐标系xOy 中,曲线C 的参数方程为⎩⎪⎨⎪⎧x =2cos αy =sin α(α为参数),经过变换⎩⎨⎧x ′=12x +1,y ′=y .后曲线C变换为曲线C ′.(1)在以O 为极点,x 轴的非负半轴为极轴(单位长度与直角坐标系相同)的极坐标系中,求C ′的极坐标方程;(2)求证:直线x -2y -2=0与曲线C ′的交点也在曲线C 上. [解析] (1)设曲线C ′上任意一点P (x ′,y ′),由变换⎩⎨⎧x ′=12x +1,y ′=y .得⎩⎪⎨⎪⎧x =2x ′-2,y =y ′.代入C 得 ⎩⎪⎨⎪⎧x ′=1+cos α,y ′=sin α. 所以曲线C ′是以(1,0)为圆心,半径为1的圆. ∴C ′的极坐标方程为ρ=2cos θ.(2)曲线C ′的直角坐标方程为(x -1)2+y 2=1,由⎩⎪⎨⎪⎧ x -2y -2=0,(x -1)2+y 2=1.得⎩⎪⎨⎪⎧x =2,y =0.或⎩⎨⎧x =23,y =-223.所以交点为(2,0)或(23,-223),两点的坐标均满足曲线C 的直角坐标方程x 24+y 2=1.∴直线x -2y -2=0与曲线C ′的交点也在曲线C 上.1.直线的参数方程为⎩⎪⎨⎪⎧x =t sin50°-1y =-t cos50°(t 为参数),则直线的倾斜角为( )A .40°B .50°C .140°D .130°[答案] C[解析] 将直线的参数方程变形得,⎩⎪⎨⎪⎧x =-1-t cos140°y =-t sin140°,∴倾斜角为140°.2.在极坐标系下,直线ρcos ⎝ ⎛⎭⎪⎫θ-π4=2与曲线ρ=2的公共点个数为( )A .0B .1C .2D .2或0 [答案] B[分析] 讨论极坐标方程表示的曲线的位置关系,交点个数等问题,一般是化为直角坐标方程求解.对于熟知曲线形状、位置的曲线方程,也可以直接画草图,数形结合讨论.[解析] 方程ρcos ⎝ ⎛⎭⎪⎫θ-π4=2化为ρcos θ+ρsin θ=2,∴x +y =2,方程ρ=2,即x 2+y 2=2,显然直线与圆相切,∴选B.3.已知点P (x ,y )满足(x -4cos θ)2+(y -4sin θ)2=4(θ∈R ),则点P (x ,y )所在区域的面积为( )A .36πB .32πC .20πD .16π[答案] B[解析] 圆心坐标为(4cos θ,4sin θ),显然圆心在以原点为圆心、半径等于4的圆上,圆(x -4cos θ)2+(y -4sin θ)2=4(θ∈R )绕着上述圆旋转一周得到的图形是一个圆环,圆环的外径是6,内径是2,∴选B.4.(2011·广州)设点A 的极坐标为(2,π6),直线l 过点A 且与极轴所成的角为π3,则直线l 的极坐标方程为________.[答案] 填ρcos(θ+π6)=1、3ρcos θ-ρsin θ-2=0、 ρsin(π3-θ)=1、ρsin(θ-4π3)=1中任意一个均可[解析] ∵点A 的极坐标为(2,π6),∴点A 的平面直角坐标为(3,1),又∵直线l 过点A 且与极轴所成的角为π3,∴直线l 的方程为y -1=(x -3)tan π3,即3x -y -2=0,∴直线l 的极坐标方程为3ρcos θ-ρsin θ-2=0,可整理得ρcos(θ+π6)=1或ρsin(π3-θ)=1或ρsin(θ-4π3)=1.[点评] 一般地,在极坐标系下,给出点的坐标,曲线的方程,讨论某种关系或求某些几何量时,通常都是化为直角坐标(方程)求解.如果直接用极坐标(方程)求解,通常是解一个斜三角形.5.(2012·河南六市联考)曲线C 1的极坐标方程为ρ=4cos θ,直线C 2的参数方程为⎩⎪⎨⎪⎧x =3+4t ,y =2+3t(t 为参数).(1)将C 1化为直角坐标方程;(2)曲线C 1与C 2是否相交?若相交,求出弦长,若不相交,请说明理由.[解析] (1)∵ρ=4cos θ,∴ρ2=4ρcos θ,∴x 2+y 2=4x , 所以C 1的直角坐标方程为x 2+y 2-4x =0. (2)C 2的直角坐标方程为3x -4y -1=0, C 1表示以(2,0)为圆心,2为半径的圆. 圆心C 1(2,0)到直线C 2的距离 d =|3×2-4×0-1|32+42=1<2.所以C 1与C 2相交.相交弦长|AB |=222-12=2 3.6.(2012·包头市一模)在平面直角坐标系xOy 中,曲线C 1的参数方程为⎩⎪⎨⎪⎧x =a cos φ,y =b sin φ,(a >b >0,φ为参数),在以O 为极点,x 轴的正半轴为极轴的极坐标系中,曲线C 2是圆心在极轴上,且经过极点的圆.已知曲线C 1上的点M (1,32)对应的参数φ=π3,射线θ=π3与曲线C 2交于点D (1,π3).(1)求曲线C 1、C 2的方程;(2)若点A (ρ1,θ),B (ρ2,θ+π2)在曲线C 1上,求1ρ21+1ρ22的值.[解析] (1)将M (1,32)及对应的参数φ=π3,代入⎩⎪⎨⎪⎧x =a cos φ,y =b sin φ,得⎩⎨⎧1=a cos π3,32=b sin π3.∴⎩⎪⎨⎪⎧a =2b =1, 所以曲线C 1的方程为⎩⎪⎨⎪⎧x =2cos φ,y =sin φ.(φ为参数),或x 24+y 2=1.设圆C 2的半径为R ,由题意,圆C 2的方程为ρ=2R cos θ(或(x -R )2+y 2=R 2).将点D (1,π3)代入ρ=2R cos θ, 得1=2R cos π3,即R =1.(或由D (1,π3),得点D 的直角坐标(12,32),代入(x -R )2+y 2=R 2,得R =1),所以曲线C 2的方程为ρ=2cos θ(或(x -1)2+y 2=1). (2)因为点A (ρ1,θ),B (ρ2,θ+π2)在曲线C 1上,所以ρ21cos 2θ4+ρ21sin 2θ=1,ρ22sin 2θ4+ρ22cos 2θ=1,所以1ρ21+1ρ22=(cos 2θ4+sin 2θ)+(sin 2θ4+cos 2θ)=54.。
坐标系与参数方程专题⏹ 温故知新1.坐标系 (1)坐标变换设点P (x ,y )是平面直角坐标系中的任意一点,在变换φ:⎩⎪⎨⎪⎧x ′=λ·x (λ>0)y ′=μ·y (μ>0)的作用下,点P (x ,y )对应到点(λx ,μy ),称φ为坐标系中的伸缩变换. (2)极坐标系在平面内取一个定点O ,叫做极点;自极点O 引一条射线Ox ,叫做极轴;再选一个长度单位,一个角度单位(通常取弧度)及其正方向(通常取逆时针方向),这样就建立了一个极坐标系.设M 是平面内任意一点,极点O 与点M 的距离|OM |叫做点M 的极径,记为ρ;以极轴Ox 为始边,射线OM 为终边的角xOM 叫做点M 的极角,记为θ,有序数对(ρ,θ)叫做点M 的极坐标,记为M (ρ,θ).2.直角坐标与极坐标的互化把直角坐标系的原点作为极点,x 轴正半轴作为极轴,且在两坐标系中取相同的长度单位.设M 是平面内的任意一点,它的直角坐标、极坐标分别为(x ,y )和(ρ,θ),则⎩⎪⎨⎪⎧x =ρcos θy =ρsin θ,⎩⎪⎨⎪⎧ρ2=x 2+y 2tan θ=yx (x ≠0). 3.直线的极坐标方程若直线过点M (ρ0,θ0),且极轴到此直线的角为α,则它的方程为:ρsin(θ-α)=ρ0sin(θ0-α). 几个特殊位置的直线的极坐标方程: (1)直线过极点:θ=θ0和θ=π+θ0;(2)直线过点M (a ,0)且垂直于极轴:ρcos_θ=a ;(3)直线过M (b ,π2)且平行于极轴:ρsin_θ=b .4.圆的极坐标方程若圆心为M (ρ0,θ0),半径为r ,则该圆的方程为:ρ2-2ρ0ρcos(θ-θ0)+ρ20-r 2=0.几个特殊位置的圆的极坐标方程: (1)当圆心位于极点,半径为r :ρ=r ;(2)当圆心位于M (a ,0),半径为a :ρ=2a cos_θ; (3)当圆心位于M (a ,π2),半径为a :ρ=2a sin_θ.⏹ 举一反三考点一、平面直角坐标系中的伸缩变换 例1、 求双曲线C :x 2-y 264=1经过φ:⎩⎪⎨⎪⎧x ′=3x ,2y ′=y变换后所得曲线C ′的焦点坐标. [解] 设曲线C ′上任意一点P ′(x ′,y ′),由上述可知,将⎩⎪⎨⎪⎧x =13x ′,y =2y ′,代入x 2-y 264=1,得x ′29-4y ′264=1,化简得x ′29-y ′216=1,即x 29-y 216=1为曲线C ′的方程,可见仍是双曲线,则焦点F 1(-5,0),F 2(5,0)为所求. 变式练习 1.在同一平面直角坐标系中,将直线x -2y =2变成直线2x ′-y ′=4,求满足图象变换的伸缩变换.解:设变换为⎩⎪⎨⎪⎧x ′=λx (λ>0),y ′=μy (μ>0),代入第二个方程,得2λx -μy =4,与x -2y =2比较系数得λ=1,μ=4,即⎩⎪⎨⎪⎧x ′=x ,y ′=4y .因此,经过变换⎩⎪⎨⎪⎧x ′=x ,y ′=4y 后,直线x -2y =2变成直线2x ′-y ′=4.考点二、极坐标与直角坐标的互化例2、 (2014·高考天津卷改编)在以O 为极点的极坐标系中,圆ρ=4sin θ和直线ρsin θ=a 相交于A ,B 两点.若△AOB 是等边三角形,求a 的值.[解] 由ρ=4sin θ,可得x 2+y 2=4y ,即x 2+(y -2)2=4. 由ρsin θ=a ,可得y =a .设圆的圆心为O ′,y =a 与x 2+(y -2)2=4的两交点A ,B 与O 构成等边三角形,如图所示. 由对称性知∠O ′OB =30°,OD =a . 在Rt △DOB 中,易求DB =33a , ∴B 点的坐标为⎝⎛⎭⎫33a ,a .又∵B 在x 2+y 2-4y =0上,4.在同一平面直角坐标系中,已知伸缩变换φ:⎩⎪⎨⎪⎧x ′=3x ,2y ′=y .(1)求点A ⎝⎛⎭⎫13,-2经过φ变换所得的点A ′的坐标;(2)点B 经过φ变换得到点B ′⎝⎛⎭⎫-3,12,求点B 的坐标; (3)求直线l :y =6x 经过φ变换后所得到的直线l ′的方程.解:(1)设A ′(x ′,y ′),由伸缩变换φ:⎩⎪⎨⎪⎧x ′=3x ,2y ′=y得到⎩⎪⎨⎪⎧x ′=3x ,y ′=12y ,由于点A 的坐标为⎝⎛⎭⎫13,-2,于是x ′=3×13=1,y ′=12×(-2)=-1,∴A ′(1,-1)即为所求. (2)设B (x ,y ),由伸缩变换φ:⎩⎪⎨⎪⎧x ′=3x ,2y ′=y 得到⎩⎪⎨⎪⎧x =13x ′,y =2y ′.由于点B ′的坐标为⎝⎛⎭⎫-3,12,于是x =13×(-3)=-1,y =2×12=1,∴B (-1,1)即为所求. (3)由伸缩变换φ:⎩⎪⎨⎪⎧x ′=3x ,2y ′=y ,得⎩⎪⎨⎪⎧x =x ′3,y =2y ′.代入直线l :y =6x ,得到经过伸缩变换后的方程y ′=x ′,因此直线l ′的方程为y =x .5.(2015·福建泉州质检)已知圆O 1和圆O 2的极坐标方程分别为ρ=2,ρ2-22ρcos ⎝⎛⎭⎫θ-π4=2. (1)把圆O 1和圆O 2的极坐标方程化为直角坐标方程;(2)求经过两圆交点的直线的极坐标方程. 解:(1)由ρ=2知ρ2=4,所以x 2+y 2=4;因为ρ2-22ρcos ⎝⎛⎭⎫θ-π4=2,所以ρ2-22ρ⎝⎛⎭⎫cos θcos π4+sin θsin π4=2, 所以x 2+y 2-2x -2y -2=0.(2)将两圆的直角坐标方程相减,得经过两圆交点的直线方程为x +y =1. 化为极坐标方程为ρcos θ+ρsin θ=1,即ρsin ⎝⎛⎭⎫θ+π4=22. 6.求证:过抛物线的焦点的弦被焦点分成的两部分的倒数和为常数.证明:建立如图所示的极坐标系,设抛物线的极坐标方程为ρ=p1-cos θ(p >0).PQ 是抛物线的弦,若点P 的极角为θ,则点Q 的极角为π+θ, 因此有|FP |=p1-cos θ,|FQ |=p 1-cos (π+θ)=p1+cos θ.所以1|FP |+1|FQ |=1-cos θp +1+cos θp =2p(常数).原命题得证.大试牛刀1.(2015·唐山市统一考试)已知圆C :x 2+y 2=4,直线l :x +y =2.以O 为极点,x 轴的正半轴为极轴,取相同的单位长度建立极坐标系.(1)将圆C 和直线l 的方程化为极坐标方程;(2)P 是l 上的点,射线OP 交圆C 于点R ,又点Q 在OP 上且满足|OQ |·|OP |=|OR |2,当点P 在l 上移动时,求点Q 轨迹的极坐标方程.解:(1)将x =ρcos θ,y =ρsin θ代入圆C 和直线l 的直角坐标方程得其极坐标方程为 C :ρ=2,l :ρ(cos θ+sin θ)=2.(2)设P ,Q ,R 的极坐标分别为(ρ1,θ),(ρ,θ),(ρ2,θ),则由|OQ |·|OP |=|OR |2,得ρρ1=ρ22. 又ρ2=2,ρ1=2cos θ+sin θ,所以2ρcos θ+sin θ=4,故点Q 轨迹的极坐标方程为ρ=2(cos θ+sin θ)(ρ≠0).2.(2013·高考课标全国卷Ⅰ)已知曲线C 1的参数方程为⎩⎪⎨⎪⎧x =4+5cos t ,y =5+5sin t (t 为参数),以坐标原点为极点,x 轴的正半轴为极轴建立极坐标系,曲线C 2的极坐标方程为ρ=2sin θ.(1)把C 1的参数方程化为极坐标方程; (2)求C 1与C 2交点的极坐标(ρ≥0,0≤θ<2π).解:(1)将⎩⎪⎨⎪⎧x =4+5cos t ,y =5+5sin t 消去参数t ,化为普通方程(x -4)2+(y -5)2=25,即C 1:x 2+y 2-8x -10y +16=0.将⎩⎪⎨⎪⎧x =ρcos θy =ρsin θ,代入x 2+y 2-8x -10y +16=0,得 ρ2-8ρcos θ-10ρsin θ+16=0.所以C 1的极坐标方程为ρ2-8ρcos θ-10ρsin θ+16=0. (2)C 2的普通方程为x 2+y 2-2y =0.由⎩⎪⎨⎪⎧x 2+y 2-8x -10y +16=0,x 2+y 2-2y =0, 解得⎩⎪⎨⎪⎧x =1,y =1或⎩⎪⎨⎪⎧x =0,y =2.所以C 1与C 2交点的极坐标分别为(2,π4),(2,π2).3.在直角坐标系xOy 中,以O 为极点,x 轴的正半轴为极轴建立极坐标系.曲线C 的极坐标方程为ρcos ⎝⎛⎭⎫θ-π3=1,。
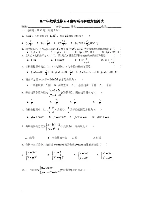
高二年数学选修4-4坐标系与参数方程测试班级:__________________ 座号:______ :___________________成绩:___________ 一、选择题〔共12题,每题5分〕1、点M的直角坐标是(1-,那么点M 的极坐标为〔 〕 A .(2,)3πB .(2,)3π-C .2(2,)3πD .(2,2),()3k k Z ππ+∈ 2、极坐标系中,以下各点与点P 〔ρ,θ〕〔θ≠k π,k ∈Z 〕关于极轴所在直线对称的是 〔 〕A .〔-ρ,θ〕B .〔-ρ,-θ〕C .〔ρ,2π-θ〕D .〔ρ,2π+θ〕 3.点P 的极坐标为〔1,π〕,那么过点P 且垂直于极轴的直线的极坐标方程是 〔 〕A .ρ=1B .ρ=cosθC .ρ=-θcos 1D .ρ=θcos 14.以极坐标系中的点〔1,1〕为圆心,1为半径的圆的方程是 〔 〕A .ρ=2cos(θ-4π) B .ρ=2sin(θ-4π) C .ρ=2cos(θ-1) D .ρ=2sin(θ-1) 5.极坐标方程cos 2sin 2ρθθ=表示的曲线为〔 〕A .一条射线和一个圆B .两条直线C .一条直线和一个圆D .一个圆 6.假设直线的参数方程为12()23x tt y t=+⎧⎨=-⎩为参数,那么直线的斜率为〔 〕A .23 B .23- C .32 D .32- 7.在极坐标系中,以〔2,2πa 〕为圆心,2a为半径的圆的方程为〔 〕A .θρcos a =B .θρsin a =C .a =θρcosD .a =θρsin8.曲线的参数方程为⎩⎨⎧-=+=12322t y t x (t 是参数),那么曲线是〔 〕A .线段B .双曲线的一支 C.圆 D.射线 9、在同一坐标系中,将曲线y=2sin3x 变为曲线y=sinx 的伸缩变换是〔 〕A .⎪⎩⎪⎨⎧==//213y y x xB .⎪⎩⎪⎨⎧==y y xx 213//C .⎩⎨⎧==//23y y x xD .⎩⎨⎧==y y x x 23// 10.以下在曲线sin 2()cos sin x y θθθθ=⎧⎨=+⎩为参数上的点是〔 〕A .1(,2B .31(,)42-C .D . 11、直线:3x-4y-9=0与圆:⎩⎨⎧==θθsin 2cos 2y x ,(θ为参数)的位置关系是( )A.相切B.相离C.直线过圆心D.相交但直线不过圆心12、设P(x ,y)是曲线C :⎩⎨⎧θ=θ+-=sin y ,cos 2x 〔θ为参数,0≤θ<2π〕上任意一点,那么yx的取值范围是 〔 〕A .[-3,3]B .〔-∞,3〕∪[3,+∞]C .[-33,33]D .〔-∞,33〕∪[33,+∞]二、填空题〔共8题,各5分〕1、点A 的直角坐标为〔1,1,1〕,那么它的球坐标为 ,柱坐标为2、曲线的1cos 3sin --=θθρ直角坐标方程为____________________3、直线3()14x att y t=+⎧⎨=-+⎩为参数过定点_____________4、设()y tx t =为参数那么圆2240x y y +-=的参数方程为__________________________。
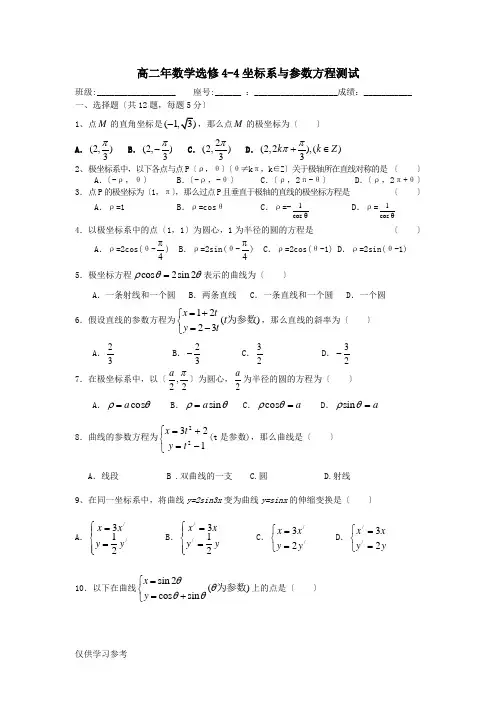
高二年数学选修4-4坐标系与参数方程测试班级:__________________ 座号:______ 姓名:___________________成绩:___________ 一、选择题(共12题,每题5分)1、点M的直角坐标是(-,则点M 的极坐标为( ) A .(2,)3πB .(2,)3π-C .2(2,)3πD .(2,2),()3k k Z ππ+∈2、极坐标系中,下列各点与点P (ρ,θ)(θ≠k π,k ∈Z )关于极轴所在直线对称的是 ( )A .(-ρ,θ)B .(-ρ,-θ)C .(ρ,2π-θ)D .(ρ,2π+θ) 3.已知点P 的极坐标为(1,π),那么过点P 且垂直于极轴的直线的极坐标方程是 ( )A .ρ=1B .ρ=cos θC .ρ=-θcos 1D .ρ=θcos 14.以极坐标系中的点(1,1)为圆心,1为半径的圆的方程是 ( )A .ρ=2cos(θ-4π) B .ρ=2sin(θ-4π) C .ρ=2cos(θ-1) D .ρ=2sin(θ-1) 5.极坐标方程cos 2sin 2ρθθ=表示的曲线为( )A .一条射线和一个圆B .两条直线C .一条直线和一个圆D .一个圆 6.若直线的参数方程为12()23x tt y t=+⎧⎨=-⎩为参数,则直线的斜率为( )A .23 B .23- C .32 D .32- 7.在极坐标系中,以(2,2πa )为圆心,2a为半径的圆的方程为( )A .θρcos a =B .θρsin a =C .a =θρcosD .a =θρsin8.曲线的参数方程为⎩⎨⎧-=+=12322t y t x (t 是参数),则曲线是( ) A .线段 B .双曲线的一支 C.圆 D.射线 9、在同一坐标系中,将曲线y=2sin3x 变为曲线y=sinx 的伸缩变换是( )A .⎪⎩⎪⎨⎧==//213y y x xB .⎪⎩⎪⎨⎧==y y xx 213//C .⎩⎨⎧==//23y y x xD .⎩⎨⎧==y y x x 23// 10.下列在曲线sin 2()cos sin x y θθθθ=⎧⎨=+⎩为参数上的点是( )A .1(,2B .31(,)42- C . D .11、直线:3x-4y-9=0与圆:⎩⎨⎧==θθsin 2cos 2y x ,(θ为参数)的位置关系是( )A.相切B.相离C.直线过圆心D.相交但直线不过圆心12、设P(x ,y)是曲线C :⎩⎨⎧θ=θ+-=sin y ,cos 2x (θ为参数,0≤θ<2π)上任意一点,则yx的取值范围是 ( )A .[-3,3]B .(-∞,3)∪[3,+∞]C .[-33,33]D .(-∞,33)∪[33,+∞]二、填空题(共8题,各5分)1、点A 的直角坐标为(1,1,1),则它的球坐标为 ,柱坐标为2、曲线的1cos 3sin --=θθρ直角坐标方程为____________________3、直线3()14x att y t=+⎧⎨=-+⎩为参数过定点_____________4、设()y tx t =为参数则圆2240x y y +-=的参数方程为__________________________。
数学选修4-4 坐标系与参数方程[基础训练A 组]一、选择题1.若直线的参数方程为12()23x tt y t =+⎧⎨=-⎩为参数,则直线的斜率为( )A .23 B .23-C .32 D .32- 2.下列在曲线sin 2()cos sin x y θθθθ=⎧⎨=+⎩为参数上的点是( )A.1(,2B .31(,)42-C. D. 3.将参数方程222sin ()sin x y θθθ⎧=+⎪⎨=⎪⎩为参数化为普通方程为( ) A .2y x =- B .2y x =+ C .2(23)y x x =-≤≤ D .2(01)y x y =+≤≤ 4.化极坐标方程2cos 0ρθρ-=为直角坐标方程为( )A .201y y +==2x 或B .1x =C .201y +==2x 或xD .1y = 5.点M的直角坐标是(1-,则点M 的极坐标为( )A .(2,)3πB .(2,)3π-C .2(2,)3πD .(2,2),()3k k Z ππ+∈6.极坐标方程cos 2sin 2ρθθ=表示的曲线为( )A .一条射线和一个圆B .两条直线C .一条直线和一个圆D .一个圆二、填空题 1.直线34()45x tt y t=+⎧⎨=-⎩为参数的斜率为______________________。
2.参数方程()2()t tt tx e et y e e --⎧=+⎪⎨=-⎪⎩为参数的普通方程为__________________。
3.已知直线113:()24x tl t y t=+⎧⎨=-⎩为参数与直线2:245l x y -=相交于点B ,又点(1,2)A ,则AB =_______________。
4.直线122()112x t t y t ⎧=-⎪⎪⎨⎪=-+⎪⎩为参数被圆224x y +=截得的弦长为______________。
5.直线cos sin 0x y αα+=的极坐标方程为____________________。
坐标系与参数方程1.点()3,1-P ,则它的极坐标是 ⎪⎭⎫ ⎝⎛-3,2π 2.点M的直角坐标是(1-,则点M 的极坐标为( 2(2,)3π ) 3.若直线的参数方程为12()23x t t y t=+⎧⎨=-⎩为参数,则直线的斜率为( 32- ) 4.将参数方程222sin ()sin x y θθθ⎧=+⎪⎨=⎪⎩为参数化为普通方程为( 2(23)y x x =-≤≤ ) 5.化极坐标方程2cos 0ρθρ-=为直角坐标方程为( 201y +==2x 或x )6.极坐标方程cos 2sin 2ρθθ=表示的曲线为( 一条直线和一个圆 )7.极坐标方程⎪⎭⎫ ⎝⎛-=θπρ4cos 表示的曲线是 圆 8.参数方程()2()t t t t x e e t y e e --⎧=+⎪⎨=-⎪⎩为参数的普通方程为_______221,(2)416x y x -=≥___________。
9.极坐标方程52sin 42=θρ化为直角坐标方程是 42552+=x y 10、直线:3x-4y-9=0与圆:⎩⎨⎧==θθsin 2cos 2y x ,(θ为参数)的位置关系是( 相交但直线不过圆心 )11.已知直线113:()24x t l t y t =+⎧⎨=-⎩为参数与直线2:245l x y -=相交于点B ,又点(1,2)A , 则AB =________52_______。
12.直线122()112x t t y t ⎧=-⎪⎪⎨⎪=-+⎪⎩为参数被圆224x y +=截得的弦长为。
13.直线cos sin 0x y αα+=的极坐标方程为_________2πθα=+___________。
14、曲线的参数方程为⎩⎨⎧-=+=12322t y t x (t 是参数),则曲线是(射线 )15、在参数方程⎩⎨⎧+=+=θθsin cos t b y t a x (t 为参数)所表示的曲线上有B 、C 两点,它们对应的参数值分别为t 1、t 2,则线段BC 的中点M 对应的参数值是( 221t t + ) 16、实数x 、y 满足3x 2+2y 2=6x ,则x 2+y 2的最大值为( 4 )17、若A 33,π⎛⎝ ⎫⎭⎪,B ⎪⎭⎫ ⎝⎛-64π,,则|AB|=_____5 ______,S AOB ∆=_____6______。
坐标系与参数方程练习附答案1.在直角坐标系xOy 中,以O 为极点,x 轴的正半轴为极轴建立极坐标系.曲线C 的极坐标方程为ρcos ⎝⎛⎭⎫θ-π3=1,M ,N 分别为曲线C 与x 轴,y 轴的交点. (1)写出曲线C 的直角坐标方程,并求点M ,N 的极坐标;(2)设MN 的中点为P ,求直线OP 的极坐标方程.解:(1)由ρcos ⎝⎛⎭⎫θ-π3=1,得ρ⎝⎛⎭⎫12cos θ+32sin θ=1, 从而曲线C 的直角坐标方程为12x +32y =1, 即x +3y =2.θ=0时,ρ=2,所以M (2,0).θ=π2时,ρ=233,所以N ⎝⎛⎭⎫233,π2. (2)由(1)得点M 的直角坐标为(2,0),点N 的直角坐标为⎝⎛⎭⎫0,233. 所以点P 的直角坐标为⎝⎛⎭⎫1,33, 则点P 的极坐标为⎝⎛⎭⎫233,π6, 所以直线OP 的极坐标方程为θ=π6,ρ∈(-∞,+∞). 2.在直角坐标系xOy 中,以O 为极点,x 轴非负半轴为极轴建立极坐标系,设⊙C 的极坐标方程为ρ=2sin θ,点P 为⊙C 上一动点,点M 的极坐标为⎝⎛⎭⎫4,π2,点Q 为线段PM 的中点.(1)求点Q 的轨迹C 1的方程;(2)试判定轨迹C 1和⊙C 的位置关系,并说明理由.解:(1)由⊙C 的极坐标方程为ρ=2sin θ得ρ2=2ρsin θ,所以⊙C 的直角坐标方程为x 2+y 2-2y =0,又点M 的极坐标为⎝⎛⎭⎫4,π2, 所以点M 的直角坐标为(0,4).设点P (x 0,y 0),点Q (x ,y ),则有x 20+(y 0-1)2=1.(*)因为点Q 为线段PM 的中点,所以⎩⎪⎨⎪⎧x 0=2x ,y 0=2y -4, 代入(*)得轨迹C 1的方程为x 2+⎝⎛⎭⎫y -522=14. (2)因为⊙C 的直角坐标方程为x 2+(y -1)2=1,圆心为(0,1),半径为1,而轨迹C 1是圆心为⎝⎛⎭⎫0,52,半径为12的圆, 所以两圆的圆心距为32,等于两圆半径和,所以两圆外切. 3.在极坐标系中,圆C 是以点C ⎝⎛⎭⎫2,-π6为圆心,2为半径的圆. (1)求圆C 的极坐标方程;(2)求圆C 被直线l :θ=-5π12(ρ∈R )所截得的弦长. 解:法一:(1)设所求圆上任意一点M (ρ,θ),如图,在Rt △OAM 中,∠OMA =90°,∠AOM =2π-θ-π6,|OA |=4. 因为cos ∠AOM =|OM ||OA |, 所以|OM |=|OA |·cos ∠AOM ,即ρ=4cos ⎝⎛⎭⎫2π-θ-π6=4cos ⎝⎛⎭⎫θ+π6, 验证可知,极点O 与A ⎝⎛⎭⎫4,-π6的极坐标也满足方程, 故ρ=4cos ⎝⎛⎭⎫θ+π6为所求. (2)设l :θ=-5π12(ρ∈R )交圆C 于点P , 在Rt △OAP 中,∠OP A =90°,易得∠AOP =π4, 所以|OP |=|OA |cos ∠AOP =22.法二:(1)圆C 是将圆ρ=4cos θ绕极点按顺时针方向旋转π6而得到的圆,。
高中数学《坐标系与参数方程》练习题(附答案解析)一、单选题1.在极坐标系中,圆2cos ρθ=的垂直于极轴的一条切线方程为( ) A .cos 2ρθ=B .cos 1ρθ=C .sin 2ρθ=D .sin 1ρθ=2.参数方程2x t y t ⎧=⎨=⎩(其中t ∈R )表示的曲线为( )A .圆B .椭圆C .双曲线D .抛物线3.极坐标方程2sin 0ρθρ-=的直角坐标方程为( ) A .220x y +=或1y = B .1x =C .220x y +=或1x =D .1y =4.在极坐标系中,下列方程表示圆的是( ) A .tan 1θ= B .sin 1ρθ= C .π6θ=D .π6ρ=5.已知点P 的直角坐标为12⎛- ⎝⎭,则P 的极坐标为( )A .21,3π⎛⎫ ⎪⎝⎭B .21,3π⎛⎫- ⎪⎝⎭C .41,3π⎛⎫ ⎪⎝⎭D .41,3π⎛⎫- ⎪⎝⎭6.已知实数a ,b 满足226a b +=,则ab 的取值范围是( ) A .(]0,3B .(],3-∞C .(][),33,∞∞--⋃+D .[]3,3-7.P 是椭圆4sin x y αα⎧=⎪⎨=⎪⎩(α为参数)上一点,且在第一象限,OP (O 为原点)的倾斜角为6π,则点P的坐标为( )A .()3,2B .⎝⎭C .()D .()4,38.在极坐标系中,直线sin 4πρθ⎛⎫-= ⎪⎝⎭4ρ=截得的弦长为( )A BC D .9.已知复数1z ,2z 满足1111z z ++-=,22i 2z -=,(其中i 是虚数单位),则12z z -的最大值为( )A .3B .5 C.D.210.在平面直角坐标系xOy 中,圆x 2+y 2=4上三点A (x 1,y 1),B (x 2,y 2),C (x 3,y 3)构成正三角形ABC ,那么222123x x x ++=( )A .0B .2C .3D .6二、填空题11.在同一平面直角坐标系中,已知伸缩变换φ:3,2,x x y y ''=⎧⎨=⎩则点A 1(,2)3-经过变换后所得的点A ′的坐标为________.12.在直角坐标系xOy 中,曲线C的参数方程为,sin x y αα⎧=⎪⎨=⎪⎩(其中α为参数),则曲线C 的普通方程为______.13.参数方程12?33x t y t =+⎧⎨=-+⎩(t 为参数,[]0,1t ∈)对应曲线的长度为______.14.变量x 、y满足x y ⎧⎪⎨⎪⎩=t 为参数),则代数式22y x ++的取值范围是___________.三、解答题15.将下列曲线的极坐标方程化为直角坐标方程 (1)4sin ρθ= (2)sin 2cos ρθθ=+ (3)6πθ=16.(1)我们知道,以原点为圆心,r 为半径的圆的方程是222x y r +=,那么cos sin x r y r θθ=⎧⎨=⎩表示什么曲线?(其中r 是正常数,θ在0,2π内变化)(2)在直角坐标系中,cos sin x a r y b r θθ=+⎧⎨=+⎩,表示什么曲线?(其中a 、b 、r 是常数,且r 为正数,θ在0,2π内变化)17.在直角坐标系xOy 中,直线l的参数方程为cos sin x t y t αα⎧=⎪⎨=⎪⎩(t 为参数).以坐标原点为极点,x 轴的正半轴为极轴建立坐标系,曲线C 的极坐标方程为2853cos 2ρθ=-,直线l 与曲线C 相交于A ,B 两点,)M.(1)求曲线C 的直角坐标方程; (2)若2AM MB =,求直线l 的斜率.18.在直角坐标系xOy 中,曲线1C 的方程为()2211x y +-=.P 为曲线1C 上一动点,且2OQ OP =,点Q 的轨迹为曲线2C .以坐标原点为极点,x 轴正半轴为极轴建立极坐标系. (1)求曲线1C ,2C 的极坐标方程; (2)曲线3C 的极坐标方程为2221sin ρθ=+,点M 为曲线3C 上一动点,求MQ的最大值.参考答案与解析:1.A【分析】利用圆的极坐标方程,结合直线的极坐标方程进行求解即可. 【详解】在极坐标系中,圆2cos ρθ=的圆心为(1,0),半径为1,如图所示:所以该圆的垂直于极轴的切线方程为:2πθ=,或cos 2ρθ=,故选:A 2.D【分析】将参数方程化为普通方程即可得到结果.【详解】由参数方程可得曲线普通方程为:2y x =,∴曲线为抛物线. 故选:D. 3.A【分析】利用直角坐标与极坐标的互化公式222cos sin x y x y ρρθρθ⎧+=⎪=⎨⎪=⎩,即可得到答案.【详解】由曲线的极坐标方程2sin 0ρθρ-=,两边同乘ρ,可得()2sin 10ρρθ-=,再由222cos sin x y x y ρρθρθ⎧+=⎪=⎨⎪=⎩,可得:()()2222100x y y x y +-=⇔+=或1y =,故选:A 4.D【分析】将极坐标方程化为直角坐标方程,根据直角坐标方程可得答案. 【详解】由tan 1θ=及tan yxθ=,可得0x y -=,该方程表示直线;故A 不正确; 由sin 1ρθ=及sin y ρθ=,可得1y =,该方程表示直线;故B 不正确; 由π6θ=及tan ,0y x x θ=>,得,0y x =>,该方程表示射线;故C 不正确;由π6ρ=及222x y ρ+=,得222π6x y ⎛⎫+= ⎪⎝⎭,该方程表示圆;故D 正确.故选:D 5.A【分析】极径OP ρ=,极角θ满足tan yxθ=,但要注意点P 所在的象限. 【详解】∵1OP =,∵1ρ=, ∵极角θ满足tan y x θ==12⎛- ⎝⎭在第二象限,∵23πθ=, 点P 的极坐标为21,3π⎛⎫⎪⎝⎭.故选:A . 6.D【分析】根据圆的参数方程可设a θ=,b θ=,再用二倍角公式整理计算. 【详解】∵226a b +=,不妨设a θ=,b θ= 则[]6sin cos 3sin 23,3b a θθθ==∈-故选:D . 7.B【分析】设点(),4sin 02P πααα⎛⎫<< ⎪⎝⎭,由已知条件可得出关于sin α、cos α的方程组,解出sin α、cos α的值,即可得出点P 的坐标.【详解】设点(),4sin 02P πααα⎛⎫<< ⎪⎝⎭,OP k α==所以,1tan 2α=, 所以,22sin 1tan cos 2sin cos 1sin 0αααααα⎧==⎪⎪+=⎨⎪>⎪⎩,解得sin cos αα⎧=⎪⎪⎨⎪=⎪⎩因此,点P的坐标为⎝⎭.故选:B. 8.D【分析】根据题意,将极坐标方程化为直角坐标方程,然后利用直线与圆的位置关系,直接列公式求出弦长即可【详解】由已知,sin 4πρθ⎛⎫-= ⎪⎝⎭20x y -+=和2216x y +=,圆心到直线的距离d ==L ==故选:D 9.B【分析】转化椭圆与圆上的动点的距离的最大值即可【详解】复数1z 在复平面的对应点的轨迹为焦点分别在()1,0-,()1,0的椭圆,方程为2212x y +=;复数2z 在复平面的对应点的轨迹为圆心在()0,2,半径为2的圆,方程为()2224x y +-=,12z z - 即为椭圆 2212x y += 上的点A 与圆22(2)4x y +-= 上的点B 的距离. 12z z -的最大值即为点A 到圆心 (0,2)C 的距离的最大值加半径.设,sin )A θθ.22222||2cos (sin 2)2cos sin 4sin 4OC θθθθθ=+-=+-+ 226sin 4sin (sin 2)10[1,9]θθθ=--=-++∈所以 ||[1,3]OC ∈.12max 325z z -=+=故选:B 10.D【分析】分别设()22442cos ,2sin ,2cos ,2sin ,2cos ,2sin 3333A B C ππππθθθθθθ⎛⎫⎛⎫⎛⎫⎛⎫⎛⎫⎛⎫++++ ⎪ ⎪ ⎪ ⎪ ⎪ ⎪⎝⎭⎝⎭⎝⎭⎝⎭⎝⎭⎝⎭,计算222123x x x ++,利用三角函数化简即可.【详解】因为三角形ABC 为正三角形,所以设()222cos ,2sin ,2cos ,2sin 33A B ππθθθθ⎛⎫⎛⎫⎛⎫++ ⎪ ⎪ ⎪⎝⎭⎝⎭⎝⎭,442cos ,2sin 33C ππθθ⎛⎫⎛⎫⎛⎫++ ⎪⎪ ⎪⎝⎭⎝⎭⎝⎭, 故222222123244cos 4cos 4cos 33x x x ππθθθ⎛⎫⎛⎫++=++++ ⎪ ⎪⎝⎭⎝⎭222114cos 4cos 4cos 22θθθθθ⎛⎫⎛⎫=+-+- ⎪ ⎪ ⎪ ⎪⎝⎭⎝⎭222224cos cos 3sin cos 3sin θθθθθ=++++()226cos sin 6θθ=+=,故选:D【点睛】关键点点睛:根据A,B,C 在圆上且构成正三角形ABC ,设三点坐标为()222cos ,2sin ,2cos ,2sin 33A B ππθθθθ⎛⎫⎛⎫⎛⎫++ ⎪⎪ ⎪⎝⎭⎝⎭⎝⎭,442cos ,2sin 33C ππθθ⎛⎫⎛⎫⎛⎫++ ⎪⎪ ⎪⎝⎭⎝⎭⎝⎭,是解题的关键. 11.(1,-1)【解析】由伸缩变换得312x x y y ='='⎧⎪⎨⎪⎩即可求出.【详解】设A ′(x ′,y ′),由伸缩变换φ:32x x y y ''=⎧⎨=⎩得到312x xy y ='='⎧⎪⎨⎪⎩,由于点A 的坐标为1,23⎛⎫- ⎪⎝⎭,于是1131,(2)132x y =⨯='=⨯-=-',所以A ′的坐标为(1,-1). 故答案为:(1,1)-. 12.2215x y +=【分析】根据22sin cos 1αα+=消去参数,即可得到曲线的普通方程; 【详解】解:因为曲线C的参数方程为sin x y αα⎧=⎪⎨=⎪⎩(其中α为参数),又22sin cos 1αα+=,所以曲线C 的普通方程为2215x y +=;故答案为:2215x y +=13【分析】把参数方程化为普通方程,并判断曲线形状,进而得出曲线的长度.【详解】参数方程12?33x t y t=+⎧⎨=-+⎩(t 为参数,[]0,1t ∈),消去t 得3290x y --=,[]1,3x ∈,其表示一条线段,线段的两个端点分别为(1,3)-,(3,0),14.2,23⎡⎤⎢⎥⎣⎦【分析】根据参数方程求出动点(x ,y )的轨迹方程,()()2222y y x x --+=+--可看成点(-2,-2)与点(x ,y )连线斜率,数形结合即可求解.【详解】由x y ⎧⎪⎨⎪⎩=t 可得221(0,0)4y x x y +=≥≥,则M (x ,y )的轨迹为椭圆在第一象限的部分(包含与坐标轴的交点),()()2222y y x x --+=+--可看成点A (-2,-2)与点M (x ,y )连线斜率,如图,B (1,0),C (0,2),()()[]222,,2223AB AC y y k k x x --+⎡⎤=∈=⎢⎥+--⎣⎦, 故答案为:2,23⎡⎤⎢⎥⎣⎦.15.(1)()2224x y +-=;(2)()2215124x y ⎛⎫-+-= ⎪⎝⎭;(3)y =.【分析】由极坐标与直角坐标之间的转化关系求解即可.【详解】(1)()222224sin 4sin 424x y y x y ρθρρθ=⇒=⇒+=⇒+-=;(2)()2222215sin 2cos sin 2cos 2124x y y x x y ρθθρρθρθ⎛⎫=+⇒=+⇒+=+⇒-+-= ⎪⎝⎭;(3)6y x πθ=⇒=【点睛】本题考查将极坐标方程转化为直角坐标方程,属于基础题.16.(1)表示以原点为圆心,r 为半径的圆;(2)表示以(),a b 为圆心,r 为半径的圆.【分析】消参法:同角三角函数的平方关系消去cos ,sin θθ,将参数方程化为一般方程,即可判断方程所代表的曲线.【详解】(1)cos sin x r y r θθ=⎧⎨=⎩化为222x y r +=,∵cos sin x r y r θθ=⎧⎨=⎩(其中r 是正常数,θ在0,2π内变化)表示以原点为圆心,r 为半径的圆. (2)cos sin x a r y b r θθ=+⎧⎨=+⎩,化为()()222x a y b r -+-=,∵cos sin x a r y b r θθ=+⎧⎨=+⎩,表示以(),a b 为圆心,r 为半径的圆.17.(1)2214x y +=(2)【分析】(1)根据极坐标与直角坐标直角的转化222cos sin x y x y ρθρθρ=⎧⎪=⎨⎪=+⎩,运算求解;(2)联立直线l 的参数方程和曲线C 的直角坐标方程,根据参数的几何意义结合韦达定理运算求解.【详解】(1)∵()()222222288453cos 2cos 4sin 5cos sin 3cos sin ρθθθθθθθ===-++--,则2222cos 4sin 4ρθρθ+=,∵2244x y +=,即2214x y +=,故曲线C 的直角坐标方程为2214x y +=.(2)将直线l的参数方程为cos sin x t y t αα⎧=⎪⎨=⎪⎩(t 为参数)代入曲线C 的直角坐标方程为2214x y +=,得)()22cossin14ttαα+=,整理得()()222cos4sin10t tααα++-=,设A,B两点所对应的参数为12,t t,则1212221cos4sint t t tαα+==-+,∵2AM MB=,则122t t=-,联立12122t tt t=-⎧⎪⎨+=⎪⎩12tt⎧=⎪⎪⎨⎪=⎪⎩,将12,t t代入12221cos4sint tαα=-+得221cos4sinαα⎛=-+⎝⎭⎝⎭,解得2223tan4kα==,故直线l的斜率为.18.(1)2sinρθ=;4sinρθ=(2)5【分析】(1)利用直角坐标和极坐标的互化关系求1C的极坐标方程,利用代入法求2C的极坐标方程;(2)M为2212xy+=上一点,Q为()2224x y+-=上一点,可知max max2MQ MN=+,即可求解.(1)由题意可知,将cossinxyρθρθ=⎧⎨=⎩代入()2211x y+-=得2sinρθ=,则曲线1C的极坐标方程为2sinρθ=,设点P的极坐标为()00,ρθ,则2sinρθ=,点Q的极坐标为(),ρθ,由2OQ OP=得02ρρθθ=⎧⎨=⎩,即012ρρθθ⎧=⎪⎨⎪=⎩,将012ρρθθ⎧=⎪⎨⎪=⎩代入02sinρθ=得4sinρθ=,所以点Q轨迹曲线2C的极坐标方程为4sinρθ=;第 11 页 共 11 页 (2)曲线3C 直角坐标方程为2212x y +=,设点),sin M ϕϕ, 曲线2C 的直角坐标方程为()2224x y +-=,则圆心为()0,2N ,max max 2MQ MN =+, 即MN =当sin 1ϕ=-时,max 3MN = ,所以max 325MQ =+=.。
坐标系与参数方程习题精选坐标系和参数方程是数学中的重要概念。
在解析几何和曲线研究中,我们常常需要通过坐标系和参数方程来描述点的位置和曲线的运动。
本文将为你精选一些与坐标系和参数方程相关的习题,帮助你更好地理解和掌握这些概念。
1. 给定直线L:x + y = 5,求与该直线的距离为3的所有点的坐标。
解析:可以通过参数方程表示直线L:x = ty = 5 - t其中t为参数。
设点P(x, y)为与直线L距离为3的点,根据点到直线的距离公式可得:[(x + y) - 5] / √(1^2 + 1^2) = 3化简后得到:x + y = 14将参数方程代入该方程,消去t,可得点的坐标为P(7, 7)。
2. 给定椭圆C:(x - 2)^2 / 3 + (y + 1)^2 / 4 = 1,求椭圆上离点A(5, -2)最近的点的坐标。
解析:可以通过参数方程表示椭圆C:x = 2 + 3cosθy = -1 + 2sinθ其中θ为参数。
设点P(x, y)为椭圆C上离点A最近的点,根据点到点之间的距离公式可得:√[(x - 5)^2 + (y + 2)^2] = d化简后得到:[(x - 5)^2] / 9 + [(y + 2)^2] / 16 = 1将参数方程代入该方程,消去θ,可得点的坐标为P(3, -2)。
3. 给定抛物线P:y = x^2 + 2,求抛物线上与直线L:y = 2x - 4相交的点的坐标。
解析:将直线L的方程代入抛物线P的方程,可得:x^2 + 2 = 2x - 4移项整理得:x^2 - 2x + 6 = 0该二次方程无实数解,说明抛物线P和直线L没有交点。
4. 给定双曲线H:x^2 / a^2 - y^2 / b^2 = 1,其中a > b > 0,求双曲线上的顶点和焦点坐标。
解析:可以通过参数方程表示双曲线H:x = asecθy = btanθ其中θ为参数。
设点P(x, y)为双曲线H上的点。
坐标系与参数⽅程练习(含答案)坐标系与参数⽅程(巩固训练)1.(2016·全国卷Ⅱ)在直⾓坐标系xOy中,圆C的⽅程为(x+6)2+y2=25.(1)以坐标原点为极点,x轴正半轴为极轴建⽴极坐标系,求C的极坐标⽅程.(2)直线l的参数⽅程是(t为参数),l与C交于A,B两点,|AB|=,求l的斜率.2.(2016·合肥⼆模)在直⾓坐标系xOy中,曲线C:(α为参数),在以O为极点,x轴的⾮负半轴为极轴的极坐标系中,直线l:ρsinθ+ρcosθ=m.(1)若m=0,判断直线l与曲线C的位置关系.(2)若曲线C上存在点P到直线l的距离为,求实数m的取值范围.3.(2016·全国卷Ⅲ)在直⾓坐标系xOy中,曲线C1的参数⽅程为(α为参数).以坐标原点为极点,以x轴的正半轴为极轴建⽴极坐标系,曲线C2的极坐标⽅程为ρsin=2.(1)写出C1的普通⽅程和C2的直⾓坐标⽅程.(2)设点P在C1上,点Q在C2上,求∣PQ∣的最⼩值及此时P的直⾓坐标.4.(2016·安庆⼆模)在平⾯直⾓坐标系中,以原点为极点,x轴正半轴为极轴建⽴极坐标系,并在两坐标系中取相同的长度单位.已知曲线C的极坐标⽅程为ρ=2cosθ,直线l的参数⽅程为(t为参数,α为直线的倾斜⾓).(1)写出直线l的普通⽅程和曲线C的直⾓坐标⽅程.(2)若直线l与曲线C有唯⼀的公共点,求⾓α的⼤⼩.5.(2016·郑州⼆模)平⾯直⾓坐标系xOy中,曲线C:(x-1)2+y2=1.直线l经过点P(m,0),且倾斜⾓为.以O为极点,以x轴正半轴为极轴,建⽴极坐标系.(1)写出曲线C的极坐标⽅程与直线l的参数⽅程.(2)若直线l与曲线C相交于A,B两点,且|PA|·|PB|=1,求实数m的值.6.(2016·武汉⼆模)在平⾯直⾓坐标系xOy中,曲线C1的参数⽅程为(α为参数),以坐标原点为极点,x轴的正半轴为极轴建⽴极坐标系,直线l的极坐标⽅程为ρsin(θ+)=,曲线C2的极坐标⽅程为ρ=2acos(a>0).(1)求直线l与曲线C1的交点的极坐标(ρ,θ)(ρ≥0,0≤θ<2π).(2)若直线l与C2相切,求a的值.7.(2016·哈尔滨⼀模)在直⾓坐标系xOy中,直线l的⽅程是y=8,圆C的参数⽅程是(φ为参数).以O为极点,x轴的⾮负半轴为极轴建⽴极坐标系.(1)求直线l和圆C的极坐标⽅程.(2)射线OM:θ=α与圆C交于O,P两点,与直线l交于点M,射线ON:θ=α+与圆C交于O,Q两点,与直线l交于点N,求·的最⼤值.8.已知参数⽅程为(t为参数)的直线l经过椭圆+y2=1的左焦点F1,且交y轴正半轴于点C,与椭圆交于两点A,B(点A位于点C 上⽅).(1)求点C对应的参数t C(⽤θ表⽰).(2)若|F1B|=|AC|,求直线l的倾斜⾓θ的值.9.将圆x2+y2=1上每⼀点的横坐标变为原来的2倍,纵坐标变为原来的3倍,得曲线C.(1)写出Γ的参数⽅程.(2)设直线l:3x+2y-6=0与曲线C的交点为P1,P2,以坐标原点为极点,x轴正半轴为极轴建⽴极坐标系,求过线段P1P2的中点且与l垂直的直线的极坐标⽅程.10.已知曲线C1的参数⽅程为(θ参数),以坐标原点为极点,x轴的正半轴为极轴建⽴极坐标系,曲线C2极坐标⽅程为ρ=4sinθ.(1)把C1的参数⽅程化为极坐标⽅程.(2)求C1与C2交点所在直线的极坐标⽅程.11.在直⾓坐标系xOy中,曲线C1的参数⽅程为(t为参数),以原点O为极点,以x轴正半轴为极轴,建⽴极坐标系,曲线C2的极坐标⽅程为ρ=2cos.(1)判断曲线C1与曲线C2的位置关系.(2)设点M(x,y)为曲线C2上任意⼀点,求2x+y的最⼤值.12.已知曲线C的极坐标⽅程为2ρsinθ+ρcosθ=10.曲线C1:(α为参数).(1)求曲线C1的普通⽅程.(2)若点M在曲线C1上运动,试求出M到曲线C的距离的最⼩值.坐标系与参数⽅程(巩固训练)答案1、(1)整理圆的⽅程得x2+y2+12x+11=0,由可知圆C的极坐标⽅程为ρ2+12ρcosθ+11=0.(2)由题意可得直线过原点且斜率存在.记直线的斜率为k,则直线的⽅程为kx-y=0,由垂径定理及点到直线距离公式知:=,即=,整理得k2=,则k=±.2、(1)曲线C的直⾓坐标⽅程为:(x-1)2+(y-1)2=2,是⼀个圆;直线l的直⾓坐标⽅程为:x+y=0,圆⼼C到直线l的距离d===r, 所以直线l与圆C相切.(2)由已知可得:圆⼼C到直线l的距离d=≤,解得-1≤m≤5.3、(1)由得+y2=1.(2)由题意,可设点P的直⾓坐标为,因为C2是直线,所以的最⼩值即为P到C2的距离d(α)的最⼩值,d(α)==.当且仅当α=2kπ+(k∈Z)时,d(α)取得最⼩值,最⼩值为,此时P的直⾓坐标为.4、(1)当α=时,直线l的普通⽅程为x=-1;当α≠时,直线l的普通⽅程为y=(x+1)tanα.由ρ=2cosθ,得ρ2=2ρcosθ,所以x2+y2=2x,即为曲线C的直⾓坐标⽅程.(2)把x=-1+tcosα,y=tsinα代⼊x2+y2=2x,整理得t2-4tcosα+3=0.由Δ=16cos2α-12=0,得cos2α=,所以cosα=或cosα=-,故直线l倾斜⾓α为或.5、(1)曲线C的普通⽅程为:(x-1)2+y2=1,即x2+y2=2x,即ρ2=2ρcosθ,即曲线C的极坐标⽅程为:ρ=2cosθ.直线l的参数⽅程为(t为参数).(2)设A,B两点对应的参数分别为t1,t2,将直线l的参数⽅程代⼊x2+y2=2x 中,t2+(m-)t+m2-2m=0.所以t1t2=m2-2m,由题意得|m2-2m|=1,得m=1,1+或1-.6、(1)曲线C1的普通⽅程为y=x2,x∈[-,],直线l的普通⽅程为x+y=2,联⽴解得或(舍去),故直线l与曲线C1的交点的直⾓坐标为(1,1),其极坐标为. (2)曲线C2的直⾓坐标⽅程为x2+y2+2ax-2ay=0,即(x+a)2+(y-a)2=2a2(a>0),由直线l与C2相切,得=a,故a=1.7、(1)直线l的极坐标⽅程是ρsinθ=8.圆C的普通⽅程是x2+(y-2)2=4, 所以圆C的极坐标⽅程是ρ=4sinθ.(2)依题意得,点P,M的极坐标分别为和所以|OP|=4sinα,|OM|=,从⽽==.同理,=.所以·==·==,故当α=时,·的值最⼤,该最⼤值是.8、(1)在椭圆+y2=1中,因为a2=3,b2=1,所以c==,即F1(-,0),故x0=-,在直线l的参数⽅程中,令x=0,解得t C=.(2)⽅法⼀:把代⼊椭圆⽅程,并整理得:(1+2sin2θ)t2-2tcosθ-1=0,设点A,B对应的参数为t A,t B,由|F1B|=|AC|结合参数t的⼏何意义得:t A+t B=t C,即=,解得sin2θ=,依题意知θ∈,所以θ=.⽅法⼆:设A,B两点的横坐标分别为x A,x B,将直线l的普通⽅程y=tanθ(x+)代⼊椭圆⽅程并整理得:(1+3tan2θ)x2+6tan2θx+6tan2θ-3=0,则x A+x B=-,因为|F1B|=,|AC|=,所以x A+x B=-=-,解得tanθ=±,依题意知θ∈,得θ=.9、(1)设(x1,y1)为圆上的点,在已知变换下变为Γ上点(x,y).依题意,得即由+=1,得+=1,即曲线Γ的⽅程为+=1.故Γ的参数⽅程为(t为参数).(2)由解得或不妨设P1(2,0),P2(0,3),则线段P1P2的中点坐标为.所求直线的斜率k=,于是所求直线⽅程为y-=(x-1),即4x-6y+5=0,化为极坐标⽅程,得4ρcosθ-6ρsinθ+5=0.10、(1)由消去θ得:(x-3)2+(y-4)2=16,即x2+y2-6x-8y+9=0,将x=ρcosφ,y=ρsinφ代⼊得极坐标⽅程为ρ2-6ρcosφ-8ρsinφ+9=0.(2)由ρ=4sinθ得C2的普通⽅程为:x2+y2-4y=0,由得:6x+4y-9=0,所以C1,C2的交点所在直线的⽅程为6x+4y-9=0,所以其极坐标⽅程为:6ρcosθ+4ρsinθ-9=0.11、(1)消去t得C1的⽅程为x+y-1=0.由ρ=2cos得ρ=cosθ-sinθ,所以ρ2=ρcosθ-ρsinθ,即x2-x+y2+ y=0,化为标准⽅程为+=1,所以d==<1,故曲线C1与曲线C2相交.(2)由M(x,y)为曲线C2上任意⼀点,可设则2x+y=+2cosθ+sinθ=+sin(θ+φ),所以2x+y的最⼤值是+.12、(1)曲线C1的普通⽅程是:+=1(2)曲线C的普通⽅程是:x+2y-10=0, 设点M(3cosα,2sinα),由点到直线的距离公式得d==|5cos(α-φ)-10|,其中cosφ=,sinφ=,所以α-φ=0时,d min=,此时M.欢迎您的下载,资料仅供参考!致⼒为企业和个⼈提供合同协议,策划案计划书,学习资料等等打造全⽹⼀站式需求。
坐标系与参数方程专题训练1、在直角坐标系xOy 中,直线1l 的参数方程为,(t 为参数),直线2l 的参数方程为,(m 为参数).设1l 与2l 的交点为P ,当k 变化时,P 的轨迹为曲线C .(1)写出C 的普通方程;(2)以坐标原点为极点,x 轴正半轴为极轴建立极坐标系,设3l :02)sin (cos =-+θθρ,M 为3l 与C 的交点,求M 的极径.2.在直角坐标系xOy 中,以坐标原点为极点,x 轴的正半轴为极轴建立极坐标系,曲线1C 的极坐标方程为4cos =θρ.(1)M 为曲线1C 上的动点,点P 在线段OM 上,且满足|OM|•|OP|=16,求点P 的轨迹2C 的直角坐标方程;(2)设点A 的极坐标为(2,),点B 在曲线2C 上,求△OAB 面积的最大值.3.在直角坐标系xOy 中,曲线C 的参数方程为,sin cos 3⎩⎨⎧==θθy x (θ为参数),直线l 的参数方程为,14⎩⎨⎧-=+=ty ta x (t 为参数). (1)若1-=a ,求C 与l 的交点坐标;(2)若C 上的点到l 距离的最大值为,求a .4.在平面直角坐标系xOy 中,已知直线l 的参数方程为(t 为参数),曲线C 的参数方程为(s 为参数).设P 为曲线C 上的动点,求点P 到直线l 的距离的最小值.5.在平面直角坐标系xOy 中,O 的参数方程为cos sin x y ,θθ=⎧⎨=⎩(θ为参数),过点(02,且倾斜角为α的直线l 与O 交于A B ,两点.(1)求α的取值范围;(2)求AB 中点P 的轨迹的参数方程.6.在直角坐标系xOy 中,曲线C 的参数方程为2,4x cos y sin θθ=⎧⎨=⎩(θ为参数),直线l 的参数方程为1,2x tcos y tsin αα=+⎧⎨=+⎩(t 为参数). (1)求C 和l 的直角坐标方程; (2)若曲线C 截直线l 所得线段的中点坐标为()1,2,求l 的斜率.7.在极坐标系中,已知两点3,,2,42A B ππ⎛⎫⎫ ⎪⎪⎝⎭⎭,直线l 的方程为sin 34ρθπ⎛⎫+= ⎪⎝⎭. (1)求A ,B 两点间的距离;(2)求点B 到直线l 的距离.8、在直角坐标系xOy 中,曲线C 的参数方程为2221141t x t t y t ⎧-=⎪⎪+⎨⎪=⎪+⎩,(t 为参数).以坐标原点O 为极点,x 轴的正半轴为极轴建立极坐标系,直线l 的极坐标方程为2cos 3sin 110ρθρθ+=. (1)求C 和l 的直角坐标方程;(2)求C 上的点到l 距离的最小值.9. 在极坐标系中,已知两点3,,2,42A B ππ⎛⎫⎫ ⎪⎪⎝⎭⎭,直线l 的方程为sin 34ρθπ⎛⎫+= ⎪⎝⎭. (1)求A ,B 两点间的距离;(2)求点B 到直线l 的距离.10.在极坐标系中,O 为极点,点000(,)(0)M ρθρ>在曲线:4sin C ρθ=上,直线l 过点(4,0)A 且与OM 垂直,垂足为P . (1)当03πθ=时,求0ρ及l 的极坐标方程;(2)当M 在C 上运动且P 在线段OM 上时,求P 点轨迹的极坐标方程.11、已知曲线C 1,C 2的参数方程分别为C 1:224cos 4sin x y θθ⎧=⎨=⎩,(θ为参数),C 2:1,1x t ty t t ⎧=+⎪⎪⎨⎪=-⎪⎩(t 为参数). (1)将C 1,C 2的参数方程化为普通方程;(2)以坐标原点为极点,x 轴正半轴为极轴建立极坐标系.设C 1,C 2的交点为P ,求圆心在极轴上,且经过极点和P 的圆的极坐标方程。
数学选修4-4 坐标系与参数方程[基础训练A 组]一、选择题1.若直线的参数方程为12()23x t t y t =+⎧⎨=-⎩为参数,则直线的斜率为( ) A .23 B .23- C .32 D .32- 2.下列在曲线sin 2()cos sin x y θθθθ=⎧⎨=+⎩为参数上的点是( ) A.1(,2 B .31(,)42- C. D.3.将参数方程222sin ()sin x y θθθ⎧=+⎪⎨=⎪⎩为参数化为普通方程为( ) A .2y x =- B .2y x =+ C .2(23)y x x =-≤≤ D .2(01)y x y =+≤≤4.化极坐标方程2cos 0ρθρ-=为直角坐标方程为( )A .201y y +==2x 或B .1x =C .201y +==2x 或xD .1y =5.点M的直角坐标是(-,则点M 的极坐标为( )A .(2,)3πB .(2,)3π-C .2(2,)3πD .(2,2),()3k k Z ππ+∈ 6.极坐标方程cos 2sin 2ρθθ=表示的曲线为( )A .一条射线和一个圆B .两条直线C .一条直线和一个圆D .一个圆二、填空题1.直线34()45x t t y t=+⎧⎨=-⎩为参数的斜率为______________________。
2.参数方程()2()t t t t x e e t y e e --⎧=+⎪⎨=-⎪⎩为参数的普通方程为__________________。
3.已知直线113:()24x t l t y t=+⎧⎨=-⎩为参数与直线2:245l x y -=相交于点B ,又点(1,2)A ,则AB =_______________。
4.直线122()112x t t y t ⎧=-⎪⎪⎨⎪=-+⎪⎩为参数被圆224x y +=截得的弦长为______________。
5.直线cos sin 0x y αα+=的极坐标方程为____________________。
三、解答题1.已知点(,)P x y 是圆222x y y +=上的动点,(1)求2x y +的取值范围;(2)若0x y a ++≥恒成立,求实数a 的取值范围。
2.求直线11:()5x t l t y =+⎧⎪⎨=-⎪⎩为参数和直线2:0l x y --=的交点P 的坐标,及点P 与(1,5)Q -的距离。
3.在椭圆2211612x y +=上找一点,使这一点到直线2120x y --=的距离的最小值。
数学选修4-4 坐标系与参数方程[综合训练B 组]一、选择题1.直线l 的参数方程为()x a t t y b t =+⎧⎨=+⎩为参数,l 上的点1P 对应的参数是1t ,则点1P 与(,)P a b 之间的距离是( )A .1tB .12t C1 D1 2.参数方程为1()2x t t t y ⎧=+⎪⎨⎪=⎩为参数表示的曲线是( )A .一条直线B .两条直线C .一条射线D .两条射线3.直线112()2x t t y ⎧=+⎪⎪⎨⎪=-⎪⎩为参数和圆2216x y +=交于,A B 两点,则AB 的中点坐标为( )A .(3,3)- B.( C.3)- D.(3,4.圆5cos ρθθ=-的圆心坐标是( )A .4(5,)3π-- B .(5,)3π- C .(5,)3π D .5(5,)3π- 5.与参数方程为)x t y ⎧=⎪⎨=⎪⎩为参数等价的普通方程为( ) A .214y +=2x B .21(01)4y x +=≤≤2x C .21(02)4y y +=≤≤2x D .21(01,02)4y x y +=≤≤≤≤2x 6.直线2()1x t t y t=-+⎧⎨=-⎩为参数被圆22(3)(1)25x y -++=所截得的弦长为( ) AB .1404 CD二、填空题1.曲线的参数方程是211()1x t t y t ⎧=-⎪≠⎨⎪=-⎩为参数,t 0,则它的普通方程为__________________。
2.直线3()14x at t y t=+⎧⎨=-+⎩为参数过定点_____________。
3.点P(x,y)是椭圆222312x y +=上的一个动点,则2x y +的最大值为___________。
4.曲线的极坐标方程为1tan cos ρθθ=⋅,则曲线的直角坐标方程为________________。
5.设()y tx t =为参数则圆2240x y y +-=的参数方程为__________________________。
三、解答题1.参数方程cos (sin cos )()sin (sin cos )x y θθθθθθθ=+⎧⎨=+⎩为参数表示什么曲线?2.点P 在椭圆221169x y +=上,求点P 到直线3424x y -=的最大距离和最小距离。
3.已知直线l 经过点(1,1)P ,倾斜角6πα=,(1)写出直线l 的参数方程。
(2)设l 与圆422=+y x 相交与两点,A B ,求点P 到,A B 两点的距离之积。
数学选修4-4 坐标系与参数方程.[提高训练C 组]一、选择题1.把方程1xy =化为以t 参数的参数方程是( )A .1212x t y t -⎧=⎪⎨⎪=⎩B .sin 1sin x t y t =⎧⎪⎨=⎪⎩C .cos 1cos x t y t =⎧⎪⎨=⎪⎩D .tan 1tan x t y t =⎧⎪⎨=⎪⎩ 2.曲线25()12x t t y t =-+⎧⎨=-⎩为参数与坐标轴的交点是( ) A .21(0,)(,0)52、 B .11(0,)(,0)52、 C .(0,4)(8,0)-、 D .5(0,)(8,0)9、 3.直线12()2x t t y t =+⎧⎨=+⎩为参数被圆229x y +=截得的弦长为( ) A .125 BCD4.若点(3,)P m 在以点F 为焦点的抛物线24()4x t t y t ⎧=⎨=⎩为参数上, 则PF 等于( )A .2B .3C .4D .55.极坐标方程cos 20ρθ=表示的曲线为( )A .极点B .极轴C .一条直线D .两条相交直线6.在极坐标系中与圆4sin ρθ=相切的一条直线的方程为( )A .cos 2ρθ=B .sin 2ρθ=C .4sin()3πρθ=+D .4sin()3πρθ=-二、填空题 1.已知曲线22()2x pt t p y pt ⎧=⎨=⎩为参数,为正常数上的两点,M N 对应的参数分别为12,t t 和,120t t +=且,那么MN =_______________。
2.直线2()3x t y ⎧=-⎪⎨=+⎪⎩为参数上与点(2,3)A -的点的坐标是_______。
3.圆的参数方程为3sin 4cos ()4sin 3cos x y θθθθθ=+⎧⎨=-⎩为参数,则此圆的半径为_______________。
4.极坐标方程分别为cos ρθ=与sin ρθ=的两个圆的圆心距为_____________。
5.直线cos sin x t y t θθ=⎧⎨=⎩与圆42cos 2sin x y αα=+⎧⎨=⎩相切,则θ=_______________。
三、解答题1.分别在下列两种情况下,把参数方程1()cos 21()sin 2t t t t x e e y e e θθ--⎧=+⎪⎪⎨⎪=-⎪⎩化为普通方程:(1)θ为参数,t 为常数;(2)t 为参数,θ为常数;2.过点P 作倾斜角为α的直线与曲线22121x y +=交于点,M N , 求PM PN ⋅的值及相应的α的值。
新课程高中数学训练题组参考答案数学选修4-4 坐标系与参数方程 [基础训练A 组]一、选择题1.D 233122y t k x t --===-- 2.B 转化为普通方程:21y x =+,当34x =-时,12y = 3.C 转化为普通方程:2y x =-,但是[2,3],[0,1]x y ∈∈4.C (cos 1)0,0,cos 1x ρρθρρθ-=====或5.C 2(2,2),()3k k Z ππ+∈都是极坐标 6.C 2cos 4sin cos ,cos 0,4sin ,4sin ρθθθθρθρρθ====或即则,2k πθπ=+或224x y y += 二、填空题1.54- 455344y t k x t --===-- 2.221,(2)416x y x -=≥ 22()()422222t t t t t t y x e x e e y y x x y y e e x e ---⎧⎧+==+⎪⎪⎪⇒⇒+-=⎨⎨=-⎪⎪-=⎩⎪⎩ 3.52 将1324x t y t=+⎧⎨=-⎩代入245x y -=得12t =,则5(,0)2B ,而(1,2)A ,得52AB = 4直线为10x y +-=,圆心到直线的距离2d ==,2=,5.2πθα=+ cos cos sin sin 0,cos()0ρθαρθαθα+=-=,取2πθα-=三、解答题1.解:(1)设圆的参数方程为cos 1sin x y θθ=⎧⎨=+⎩,22cos sin 1)1x y θθθϕ+=++=++121x y ≤+≤(2)cos sin 10x y a a θθ++=+++≥(cos sin )1)141a a πθθθ∴≥-+-=+-∴≥ 2.解:将15x t y =+⎧⎪⎨=-⎪⎩代入0x y --=得t =,得(1P +,而(1,5)Q -,得PQ ==3.解:设椭圆的参数方程为4cos x y θθ=⎧⎪⎨=⎪⎩,d =3)33θθθθ=-=+- 当cos()13πθ+=时,min d =,此时所求点为(2,3)-。
新课程高中数学训练题组参考答案数学选修4-4 坐标系与参数方程 [综合训练B 组]一、选择题1.C1=2.D 2y =表示一条平行于x 轴的直线,而2,2x x ≥≤-或,所以表示两条射线3.D221(1)()162t ++-=,得2880t t --=,12128,42t t t t ++==中点为114324x x y y ⎧=+⨯⎪=⎧⎪⎪⇒⎨⎨=⎪⎩⎪=-⎪⎩4.A圆心为5(,2 5.D 22222,11,1,0,011,0244y y x t t x x t t y ==-=-+=≥≤-≤≤≤而得6.C222112x x t y t y ⎧=-⨯⎪=-+⎧⎪⇒⎨⎨=-⎩⎪=⨯⎪⎩,把直线21x t y t =-+⎧⎨=-⎩代入 22(3)(1)25x y -++=得222(5)(2)25,720t t t t -++-=-+=12t t -==12t -二、填空题1.2(2)(1)(1)x x y x x -=≠- 111,,1x t t x-==-而21y t =-, 即221(2)1()(1)1(1)x x y x x x -=-=≠-- 2.(3,1)- 143y x a+=-,(1)4120y a x -++-=对于任何a 都成立,则3,1x y ==-且 3椭圆为22164x y +=,设,2sin )P θθ,24sin )x y θθθϕ+=+=+≤4.2x y = 22221sin tan ,cos sin ,cos sin ,cos cos θρθρθθρθρθθθ=⋅===即2x y = 5.2224141t x t t y t ⎧=⎪⎪+⎨⎪=⎪+⎩22()40x tx tx +-=,当0x =时,0y =;当0x ≠时,241t x t =+; 而y tx =,即2241t y t =+,得2224141t x t ty t ⎧=⎪⎪+⎨⎪=⎪+⎩三、解答题1.解:显然tan y x θ=,则222222111,cos cos 1y y x x θθ+==+ 2222112tan cos sin cos sin 2cos cos 221tan x θθθθθθθθ=+=+=⨯++即222222222111,(1)12111y y y y x x x x y y y x x x x x +=⨯+=+=++++ 得21y y x x x+=+,即220x y x y +--= 2.解:设(4cos ,3sin )P θθ,则12cos 12sin 245d θθ--=即d = 当cos()14πθ+=-时,max 12(25d =; 当cos()14πθ+=时,min 12(25d =。