(完整版)人教八年级数学下册同步练习题及答案
- 格式:pdf
- 大小:445.99 KB
- 文档页数:78
2022-2023学年全国初中八年级下数学人教版同步练习考试总分:100 分 考试时间: 120 分钟学校:__________ 班级:__________ 姓名:__________ 考号:__________一、 选择题 (本题共计 8 小题 ,每题 5 分 ,共计40分 )1. 目前,全球淡水资源日益减少,提倡全社会节约用水.据测试:拧不紧的水龙头每分钟滴出滴水,每滴水约毫升.小康同学洗手后,没有把水龙头拧紧,水龙头以测试的速度滴水,当小康离开分钟后,水龙头滴出毫升的水,请写出与之间的函数关系式是( )A.B.C.D.2. 如图,已知直线,过点作轴的垂线交直线于点,过点作直线的垂线交轴于点;过点作轴的垂线交直线于点,过点作直线的垂线交轴于点;…;按此作法继续下去,则点的坐标为( )A.B.C.D.3. 某乡村盛产葡萄,果大味美,甲、乙两个葡萄采摘园为吸引游客,在销售价格一样的基础上分别推出优惠方案,甲采摘园的优惠方案:游客进园需购买门票,采摘的所有葡萄按六折优惠.乙采摘园的优惠方案:游客无需买票,采摘葡萄超过一定数量后,超过的部分打折销售.活动 期间,某游客的葡萄采摘量为,若在甲采摘园所需总费用为元,若在乙采摘园所需总费用为元,、与之间的函数图象如图所示,则下列说法错误的是( )A.甲采摘园的门票费用是元B.两个采摘园优惠前的葡萄价格是元千克1000.05x y y x y =0.05xy =5xy =100xy =0.05x+100l:y =x 3–√3A(0,1)y l B B l y A 1A 1y l B 1B 1l y A 2A 4(0,64)(0,128)(0,256)(0,512)xkg y 甲y 乙y 甲y 乙x 6030/C.乙采摘园超过后,超过的部分价格是元千克D.若游客采摘 葡萄,那么到甲或乙两个采摘园的总费用相同4. 油箱中有油,油从管道中匀速流出,流完.油箱中剩余油量()与流出的时间()间的函数关系式是( )A.B.C.D.5. 如图,在平面直角坐标系中,点的坐标为,动点 以每秒个单位长的速度,从点出发沿轴的正方向运动,是线段的中点.将线段以点为中心,沿顺时针方向旋转,得到线段.过点作轴的垂线,垂足为,过点作轴的垂线,交直线于点,运动时间为秒.当时,的值为( )A.或B.或C.或D.或6. ,两地相距,甲乙两人沿同一条路线从地到地.如图,反映的是两人行进路程与行进时间之间的关系,①甲始终是匀速行进,乙的行进不是匀速的;②乙用了个小时到达目的地;③乙比甲迟出发小时;④甲在出发小时后被乙追上.以上说法正确的个数有( )A.个B.个C.个D.个7. 如图,一长为,宽为的长方形木板,现要在长边上截去长为的一部分,则剩余木板的面10kg 12/18kg 20L 100min Q L t min Q =20−5tQ =20−0.2tQ =0.2t+20Q =0.2tC (0,4)A 1O x M AC AM A 90∘AB B x E C y BED t =S △BCD 254t 22+32–√22+33–√33+53–√33+52–√A B 30km A B y(km)t(h)50.5512345m 2m xm7. 如图,一长为,宽为的长方形木板,现要在长边上截去长为的一部分,则剩余木板的面积(空白部分)与的函数关系式为 A.=B.=C.=D.=8. 在中,点是的内心,连接、,过点作分别交、于点、,已知(是常数),设的周长为,的周长为,在下列图象中,大致表示与之间的函数关系的是( ) A. B. C.D.二、 填空题 (本题共计 4 小题 ,每题 5 分 ,共计20分 )9. 随着海拔高度的升高,大气压强下降,空气中的含氧量也随之下降,即含氧量与大气压强成正比例函数关系.当=时,=,请写出与的函数关系式________.10. 已知等腰三角形的周长是,底边长为,腰长为,则腰长关于底边长的函数解析式为________,该函数的定义域为________.11. 年国内航空公司规定:旅客乘机时,免费携带行李箱的长,宽,高三者之和不超过.某厂家生产符合该规定的行李箱.已知行李箱的宽为,长与高的比为 ,则符合此规定的行李箱的高的最大值为________.5m 2m xm y()m 2x(m)(0≤x <5)()y 10−xy 5xy 2xy −2x+10△ABC O △ABC OB OC O EF //BC AB AC E F BC =a a △ABC y △AEF x y x y(g/)m 3x(kPa)x 36(kPa)y 108(g/)m 3y x 20x y y x 2018115cm 20cm 8:11cm12. 某水库的水位在小时内持续上涨,初始的水位高度为米,水位以每小时米的速度匀速上升,则水库的水位高度米与时间小时的函数关系式为________.三、 解答题 (本题共计 4 小题 ,每题 10 分 ,共计40分 )13. 为了保证库存粮食的安全,粮食部门决定将甲、乙两个仓库的粮食全部转移到地势较高较安全的、两仓库.已知甲库有粮食吨,乙库有粮食吨,而库能接收粮食为吨,库能接收粮食为吨.从甲、乙两库到、两库的路程和运费如下表:(表中“元/吨千米”表示每吨粮食运送千米所需人民币)运费(元/吨千米)路程(千米)甲库乙库甲库乙库库库若甲库运往库粮食吨,请求出将粮食运往、两库的总运费(元)与(吨)的函数关系式,并写出的取值范围;当甲、乙两库各运往、两库多少吨粮食时,总运费最省,最省的总运费是多少? 14. 今年的梅雨季节,长江中下游多地洪水逼近或超过历史最高水位,险情不断.为确保抗洪抢险的道路畅通,以人民子弟兵为主力的甲、乙两个工程队同时从两端抢修某段被洪水冲毁的道路,抢修长度与抢修时间之间的关系如图所示.请根据图象所提供的信息,解答下列问题:施工,甲工程队比乙工程队多抢修________;求乙工程队的与之间的函数关系式;在什么时间,甲、乙两个工程队抢修长度相差?15. 甲、乙两家商场平时以同样的价格出售相同的商品.“五一”期间两家商场都让利酬宾,其中甲商场所有商品按折出售,乙商场对一次购物中超过元后的价格部分打折.设(单位:元)表示商品原价,(单位:元)表示在甲商场购物金额,(单位:元)表示在乙商场购物金额.(1)就两家商场的让利方式分别写出,关于的函数解析式;560.5y x (0≤x ≤5)A B 10080A 70B 110A B ⋅1⋅A 20151212B 2520108(1)A x A B y x x (2)A B y(m)x(h)(1)8h m (2)y x (3)10m 82006x y 甲y 乙y 甲y 乙x(2)关于的函数图象如图所示,请在同一直角坐标系中画出关于的函数图象;(3)“五一”期间,如何选择这两家商场去购物更省钱? 16. 我校食堂计划购买张餐桌和一批餐椅,现从甲、乙两商场了解到:同一型号的餐桌报价每张均为元,餐椅报价每把均为元,甲商场称:每购买一张餐桌赠送一把餐椅;乙商场规定:所有餐桌、椅均按报价的八五折销售.(1)若学校计划购买把餐椅,分别写出到甲、乙两商场购买所需的费用;(2)若需购买把餐椅,则到哪个商场购买合算?y 甲x y 乙x 1220050x(x >12)20参考答案与试题解析2022-2023学年全国初中八年级下数学人教版同步练习一、 选择题 (本题共计 8 小题 ,每题 5 分 ,共计40分 )1.【答案】B【考点】根据实际问题列一次函数关系式【解析】每分钟滴出滴水,每滴水约毫升,则一分钟滴水毫升,则分钟可滴毫升,据此即可求解.【解答】解:,即.故选.2.【答案】C【考点】一次函数的综合题【解析】本题需先求出和的长,再根据题意得出,求出的长等于,即可求出的坐标.【解答】解:∵点的坐标是,∴,∵点在直线上,1000.05100×0.05x 100×0.05x y =100×0.05x y =5x B OA 1OA 2O =A n 4n OA 444A 4A (0,1)OA =1B y =x 3–√3∴,∴,∴,得出,∴,∴的坐标是.故选.3.【答案】D【考点】一次函数的应用【解析】根据函数图象和图象中的数据,对每个选项逐一判断即可.【解答】解:由图象可得,甲采摘园的门票是元,故选项不合题意;两个采摘园优惠前的葡萄单价是:(元/千克),故选项不合题意;乙采摘园超过后,超过的部分价格是:(元/千克),故选项不合题意;当时,设与的函数表达式是,解得即当时,与的函数表达式是;由题意可得,,当时,令,得,当时,令,得,故采摘千克或千克草莓时,甲、乙两家采摘园的总费用相同.故选项符合题意.故选.4.【答案】B【考点】列代数式【解析】OB =2O =4A 1O =16A 2O =64A 3O =256A 4A 4(0,256)C 60A 300÷10=30B 10kg (480−300)÷(25−10)=12C x >10y 乙x =kx+b y 乙{10k +b =300,25k +b =480,{k =12,b =180,x >10y 乙x =12x+180y 乙=60+30×0.6x =18x+60y 甲0<x <1018x+60=30x x =5x >1012x+180=18x+60x =20520D D应先得到分钟的流油量;油箱中剩油量原来有的油量分流的油量,把相关数值代入即可求解.【解答】解:∵可流完油,∴可流油,∴流的油量为,∴.故选.5.【答案】D【考点】一次函数的综合题【解析】先证明,得出对应边成比例,得出,.分两种情况:①当时;根据题意得出方程,解方程即可;②当时;根据题意得出方程,解方程即可.【解答】解:根据题意得:,∴,∵轴,∴,∴,∴.∴.∴,∵是的中点,,∴,∴,∴,.分两种情况:①当时,如图所示:.解得:.1=−t 100min 20L 1min 20÷100=0.2L tmin 0.2tL Q =20−0.2t B △CAO ∽△ABE BE =t12AE =20<t <8t >8∠BAC =90∘∠CAO +∠BAE =90∘BE ⊥x ∠AEB ==∠AOC 90∘∠ABE+∠BAE =90∘∠CAO =∠ABE △CAO ∽△ABE ==CA AB AO BE OC AE M AC AB =AM CA =2AB ==2AB AB t BE 4AEBE =t 12AE =20<t <81S =CD ⋅BD =(2+t)(4−)=1212t 2254==3t 1t 2②当时,如图所示:.解得:,(不合题意,舍去).综上所述:当或时,;故选:.6.【答案】B【考点】一次函数的应用【解析】此题暂无解析【解答】此题暂无解答7.【答案】D【考点】根据实际问题列一次函数关系式【解析】此题暂无解析【解答】此题暂无解答8.【答案】C【考点】一次函数的综合题t >82S =CD ⋅BD =(2+t)(−4)=1212t 2254=3+5t 12–√=3−5t 22–√t =33+52–√S =254D【解析】由于点是的内心,根据内心的性质得到、分别平分、,又,可得到,则,同理可得,再根据周长的所以可得到,,即它是一次函数,即可得到正确选项.【解答】解:如图,∵点是的内心,∴,又∵,∴,∴,∴,同理可得,∵,,∴,,即是的一次函数,所以选项正确.故选.二、 填空题 (本题共计 4 小题 ,每题 5 分 ,共计20分 )9.【答案】=【考点】根据实际问题列一次函数关系式【解析】成正比例函数,可设=.【解答】设=,然后根据题意列出关系式.依题意有:=时,=,∴=,故函数关系式为=.10.【答案】,O △ABC OB OC ∠ABC ∠ACB EF //BC ∠1=∠3EO =EB FO =FC y =x+a (x >0)O △ABC ∠1=∠2EF //BC ∠3=∠2∠1=∠3EO =EB FO =FC x =AE+EO +FO +AF y =AE+BE+AF +FC +BC y =x+a (x >0)y x C C y 3xy kx y kx x 36(kPa)y 108(g/)m 3k 3y 3x y =10−x 20<x <10等腰三角形的判定与性质一次函数的综合题【解析】等腰三角形的底边长周长腰长,根据腰长的和大于底边长及底边长为正数可得自变量的取值.【解答】解:∵等腰三角形的腰长为,底边长为,周长为,∴,即,又解得.故答案为:;.11.【答案】【考点】一次函数的应用【解析】此题暂无解析【解答】解:设长为,则高为,由题意,得,解得,故行李箱的高的最大值为,故答案为:.12.【答案】【考点】根据实际问题列一次函数关系式【解析】水库的水位高度初始水位高度上升的水位高度,据此列出关系式即可.=−22y x 20x+2y =20y =10−x 2{20−x >x ,x >0,0<x <10y =10−x 20<x <10558x cm 11x cm 19x+20≤115≤511x =5555y =0.5x+6(0≤x ≤5)=+解:∵水位以每小时米的速度匀速上升,∴小时水位上长米,∴则水库的水位高度米与时间的关系式为:.故答案为:.三、 解答题 (本题共计 4 小题 ,每题 10 分 ,共计40分 )13.【答案】解:依题意有:若甲库运往库粮食吨,则甲库运到库吨,乙库运往库吨,乙库运到库吨.则解得:.则=,其中.由知一次函数中,∴随的增大而减小,∴当吨时,总运费最省,最省的总运费为:(元).答:从甲库运往库吨粮食,往库运送吨粮食,从乙库运往库吨粮食,从乙库运往库吨粮食时,总运费最省为元.【考点】一次函数的应用根据实际问题列一次函数关系式【解析】弄清调动方向,再依据路程和运费列出(元)与(吨)的函数关系式,最后可以利用一次函数的增减性确定“最省的总运费”.【解答】解:依题意有:若甲库运往库粮食吨,则甲库运到库吨,乙库运往库吨,乙库运到库吨.则解得:.则=,其中.0.5x 0.5x y x y =0.5x+6(0≤x ≤5)y =0.5x+6(0≤x ≤5)(1)A x B (100−x)A (70−x)B (10+x) x ≥0,100−x ≥0,70−x ≥0,10+x ≥0,0≤x ≤70y =12×20x+10×25(100−x)+12×15(70−x)+8×20×(10+x)−30x+392000≤x ≤70(2)(1)k =−30<0y x x =70−30×70+39200=37100A 70B 30A 0B 8037100y x (1)A x B (100−x)A (70−x)B (10+x) x ≥0,100−x ≥0,70−x ≥0,10+x ≥0,0≤x ≤70y =12×20x+10×25(100−x)+12×15(70−x)+8×20×(10+x)−30x+392000≤x ≤70由知一次函数中,∴随的增大而减小,∴当吨时,总运费最省,最省的总运费为:(元).答:从甲库运往库吨粮食,往库运送吨粮食,从乙库运往库吨粮食,从乙库运往库吨粮食时,总运费最省为元.14.【答案】当时,设,则,∴∴当时,;当时,设,则解得,∴当时,,综上所述,设,则,解得,∴当时,当时,,当时,,∴在抢修时间为或时,甲、乙两个工程队抢修长度相差.【考点】函数的图象待定系数法求一次函数解析式一次函数的应用【解析】由函数图像直接得答案.由待定系数法分段求解析式.由甲、乙的解析式之间的关系求解.【解答】解:由图像得.故答案为:.当时,设,则,∴∴当时,;当时,设,则(2)(1)k =−30<0y x x =70−30×70+39200=37100A 70B 30A 0B 803710020(2)0≤x ≤2=x y 乙k 130=2k 1=15,k 10≤x ≤2=15x y 乙2<x ≤8=x+6b y 乙k 2{2+b =30,k 28+b =60,k 2=5,b =20k 22<x ≤8=5x+20y 乙={y 乙15x(0≤x ≤2),5x+20(2<x ≤8).(3)=kx y 甲80=8k k =100≤x ≤8=10x y 甲15x−10x =10x =210x−(5x+20)=10x =62h 6h 10m (1)80−60=20(m )20(2)0≤x ≤2=x y 乙k 130=2k 1=15,k 10≤x ≤2=15x y 乙2<x ≤8=x+6b y 乙k 2{2+b =30,k 28+b =60,k 2解得,∴当时,,综上所述,设,则,解得,∴当时,当时,,当时,,∴在抢修时间为或时,甲、乙两个工程队抢修长度相差.15.【答案】由题意可得,=,当时,=,当时,==,由上可得,关于的函数解析式是=,关于的函数解析式是=;由(1)知,=,关于的函数图象如右图所示;令=,解得=,即“五一”期间,当购物少于元时;当购物时;当购物超过元时.【考点】一元一次不等式的实际应用一次函数的应用【解析】此题暂无解析【解答】此题暂无解答16.【答案】=5,b =20k 22<x ≤8=5x+20y 乙={y 乙15x(0≤x ≤2),5x+20(2<x ≤8).(3)=kx y 甲80=8k k =100≤x ≤8=10x y 甲15x−10x =10x =210x−(5x+20)=10x =62h 6h 10m y 甲0.8x 6≤x ≤200y 乙x x >200y 乙200+(x−200)×0.6 4.6x+80y 甲x y 甲0.8x y 乙x y 乙y 乙y 乙x 0.8x 7.6x+80x 400400400400解:设该校需购买把椅子,在甲商场购买需要费用为元,在乙商场购买需要付费元,由题意,得,当时,甲的费用为(元),乙的费用为:(元),∵,∴到甲商场购买合算.【考点】根据实际问题列一次函数关系式一次函数的应用【解析】(1)根据购买费用购买数量购买单价分别表示出购买餐桌的费用和购买餐椅的费用就可以表示出与之间的函数关系式;(2)求出时的值,比较可得.【解答】解:设该校需购买把椅子,在甲商场购买需要费用为元,在乙商场购买需要付费元,由题意,得,当时,甲的费用为(元),乙的费用为:(元),∵,∴到甲商场购买合算.(1)x y 甲y 乙=12×200+50(x−12)=2400+50x−600=50x+1800y 甲=(12×200+50x)×0.85=2040+42.5x.y 乙(2)x =2050×20+1800=280042.5×20+2040=28902800<2890=×y x x =20(1)x y 甲y 乙=12×200+50(x−12)=2400+50x−600=50x+1800y 甲=(12×200+50x)×0.85=2040+42.5x.y 乙(2)x =2050×20+1800=280042.5×20+2040=28902800<2890。
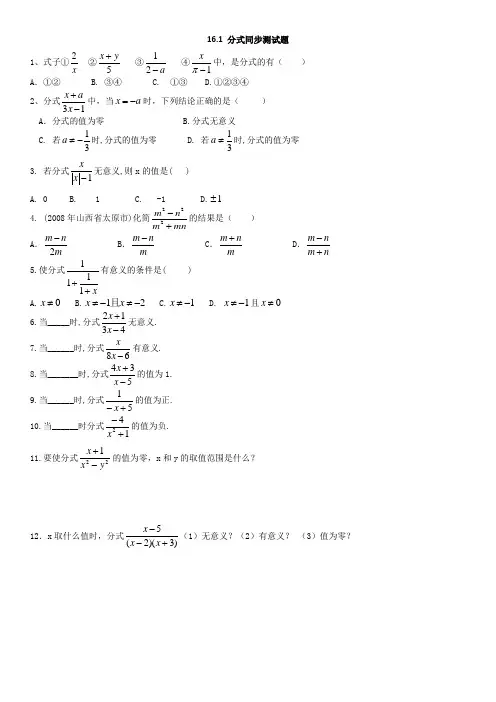
16.1 分式同步测试题1、式子①x 2 ②5y x + ③a -21 ④1-πx 中,是分式的有( ) A .①② B. ③④ C. ①③ D.①②③④2、分式13-+x a x 中,当a x -=时,下列结论正确的是( ) A .分式的值为零 B.分式无意义 C. 若31-≠a 时,分式的值为零 D. 若31≠a 时,分式的值为零 3. 若分式1-x x 无意义,则x 的值是( ) A. 0 B. 1 C. -1 D.1±4. (2008年山西省太原市)化简的结果是( ) A .B .C .D . 5.使分式x++1111有意义的条件是( ) A.0≠x B.21-≠-≠x x 且 C.1-≠x D. 1-≠x 且0≠x6.当_____时,分式4312-+x x 无意义. 7.当______时,分式68-x x 有意义. 8.当_______时,分式534-+x x 的值为1. 9.当______时,分式51+-x 的值为正. 10.当______时分式142+-x 的值为负. 11.要使分式221y x x -+的值为零,x 和y 的取值范围是什么?12.x 取什么值时,分式)3)(2(5+--x x x (1)无意义?(2)有意义? (3)值为零?222m n m mn-+2m n m -m n m -m n m +m n m n-+13.2005-2007年某地的森林面积(单位:公顷)分别是321,,S S S ,2005年与2007年相比,森林面积增长率提高了多少?(用式子表示)14.学校用一笔钱买奖品,若以1支钢笔和2本日记本为一份奖品,则可买60份奖品;若以1支钢笔和3本日记本为一份奖品,则可买50份奖品,那么这笔钱全部用来买钢笔可以买多少支?15.用水清洗蔬菜上残留的农药.设用x (1≥x )单位量的水清洗一次后,蔬菜上残留的农药量与本次清洗前残留的农药量之比为x+11. 现有a (2≥a )单位量的水,可以一次清洗,也可以把水平均分成两份后清洗两次.试问用哪种方案清洗后蔬菜上残留的农药量比较少?说明理由.16.1 分式第1课时课前自主练1.________________________统称为整式.2.23表示_______÷______的商,那么(2a+b )÷(m+n )可以表示为________. 3.甲种水果每千克价格a 元,乙种水果每千克价格b 元,取甲种水果m 千克,乙种水果n 千克,混合后,平均每千克价格是_________.课中合作练题型1:分式、有理式概念的理解应用 22是有理式的有_________.题型2:分式有无意义的条件的应用5.(探究题)下列分式,当x 取何值时有意义.(1)2132x x ++; (2)2323x x +-.6.(辨析题)下列各式中,无论x 取何值,分式都有意义的是( )A .121x +B .21x x +C .231x x + D .2221x x + 7.(探究题)当x______时,分式2134x x +-无意义. 题型3:分式值为零的条件的应用8.(探究题)当x_______时,分式2212x x x -+-的值为零. 题型4:分式值为±1的条件的应用9.(探究题)当x______时,分式435x x +-的值为1; 当x_______时,分式435x x +-的值为-1. 课后系统练 基础能力题10.分式24x x -,当x_______时,分式有意义;当x_______时,分式的值为零. 11.有理式①2x ,②5x y +,③12a -,④1x π-中,是分式的有( ) A .①② B .③④ C .①③ D .①②③④12.分式31x a x +-中,当x=-a 时,下列结论正确的是( ) A .分式的值为零; B .分式无意义C .若a ≠-13时,分式的值为零; D .若a ≠13时,分式的值为零 13.当x_______时,分式15x -+的值为正;当x______时,分式241x -+的值为负. 14.下列各式中,可能取值为零的是( )A .2211m m +-B .211m m -+C .211m m +- D .211m m ++ 15.使分式||1x x -无意义,x 的取值是( ) A .0 B .1 C .-1 D .±116.(学科综合题)已知y=123x x--,x 取哪些值时:(1)y 的值是正数;(2)y 的值是负数;(•3)y 的值是零;(4)分式无意义.17.(跨学科综合题)若把x 克食盐溶入b 克水中,从其中取出m 克食盐溶液,其中含纯盐________.18.(数学与生活)李丽从家到学校的路程为s ,无风时她以平均a 米/•秒的速度骑车,便能按时到达,当风速为b 米/秒时,她若顶风按时到校,请用代数式表示她必须提前_______出发.19.(数学与生产)永信瓶盖厂加工一批瓶盖,甲组与乙组合作需要a 天完成,若甲组单独完成需要b 天,乙组单独完成需_______天.20.(探究题)若分式22x x +-1的值是正数、负数、0时,求x 的取值范围.21.(妙法巧解题)已知1x -1y =3,求5352x xy y x xy y +---的值.22.(2005.杭州市)当m=________时,分式2(1)(3)32m m m m ---+的值为零.16.1分式第2课时课前自主练1.分数的基本性质为:______________________________________________________.2.把下列分数化为最简分数:(1)812=________;(2)12545=_______;(3)2613=________. 3.把下列各组分数化为同分母分数:(1)12,23,14; (2)15,49,715.4.分式的基本性质为:______________________________________________________.用字母表示为:______________________.课中合作练题型1:分式基本性质的理解应用5.(辨析题)不改变分式的值,使分式115101139x y x y-+的各项系数化为整数,分子、分母应乘以(• ) A .10 B .9 C .45 D .906.(探究题)下列等式:①()a b c --=-a b c -;②x y x -+-=x y x -;③a b c -+=-abc +; ④m nm --=-m nm -中,成立的是( )A .①②B .③④C .①③D .②④7.(探究题)不改变分式2323523x xx x -+-+-的值,使分子、分母最高次项的系数为正数,正确的是(• )A .2332523x x x x +++-B .2332523x x x x -++-C .2332523x x x x +--+D .2332523x x x x ---+题型2:分式的约分8.(辨析题)分式434y x a +,2411x x --,22x xy y x y -++,2222a abab b +-中是最简分式的有( )A .1个B .2个C .3个D .4个9.(技能题)约分:(1)22699x x x ++-; (2)2232m m m m -+-.题型3:分式的通分10.(技能题)通分:(1)26xab ,29ya bc ; (2)2121a a a -++,261a -.课后系统练基础能力题11.根据分式的基本性质,分式a a b--可变形为( ) A .a a b -- B .a a b + C .-a a b - D .a a b + 12.下列各式中,正确的是( )A .x y x y -+--=x y x y -+;B .x y x y -+-=x y x y ---;C .x y x y -+--=x y x y +-;D .x y x y -+-=x y x y-+ 13.下列各式中,正确的是( )A .a m a b m b +=+B .a b a b++=0 C .1111ab b ac c --=-- D .221x y x y x y -=-+ 14.(2005·天津市)若a=23,则2223712a a a a ---+的值等于_______. 15.(2005·广州市)计算222a ab a b +-=_________. 16.公式22(1)x x --,323(1)x x --,51x -的最简公分母为( ) A .(x-1)2 B .(x-1)3 C .(x-1) D .(x-1)2(1-x )317.21?11x x x -=+-,则?处应填上_________,其中条件是__________. 拓展创新题 18.(学科综合题)已知a 2-4a+9b 2+6b+5=0,求1a -1b 的值.19.(巧解题)已知x 2+3x+1=0,求x 2+21x的值.20.(妙法求解题)已知x+1x=3,求2421x x x ++的值.16.1分式同步测试题A一、选择题(每题分,共分)1、把分式y x x +中的、都扩大3倍,那么分式的值( ) A 、扩大3倍 B 、不变 C 、缩小3倍 D 、缩小9倍2、把分式xy y x +中的、都扩大2倍,那么分式的值 ( )A 、扩大2倍B 、扩大4倍C 、缩小2倍D 不变3、下列等式中成立的是 ( )A 、B 、C 、D 、4、(2008年株洲市)若使分式2x x -有意义,则x 的取值范围是( ) A .2x ≠ B .2x ≠- C .2x >- D .2x <5、已知,则 ( )A 、B 、C 、D 、A 、①③④B 、①②⑤C 、③⑤D 、①④二、填空题(每题分,共分) 1、分式392--x x 当x __________时分式的值为零. 2、当x __________时分式x x 2121-+有意义.当________________x 时,分式8x 32x +-无意义. 3、①())0(,10 53≠=a axy xy a ②()1422=-+a a . 4、约分:①=ba ab 2205__________,②=+--96922x x x __________. 5、已知P=999999,Q=911909,那么P 、Q 的大小关系是_______。
人教版数学八年级下册同步练习(含答案)1、式子①x 2 ②5y x + ③a -21 ④1-πx中,是分式的有( )A .①② B. ③④ C. ①③ D.①②③④2、分式13-+x ax 中,当a x -=时,下列结论正确的是( )A .分式的值为零 B.分式无意义C. 若31-≠a 时,分式的值为零 D. 若31≠a 时,分式的值为零3. 若分式1-x x 无意义,则x 的值是( )A. 0B. 1C. -1D.1± 4. (2008年山西省太原市)化简的结果是( ) A .B .C .D .5.使分式x ++1111有意义的条件是( ) A.0≠x B.21-≠-≠x x 且 C.1-≠x D. 1-≠x 且0≠x6.当_____时,分式4312-+x x 无意义.7.当______时,分式68-x x有意义.8.当_______时,分式534-+x x 的值为1.9.当______时,分式51+-x 的值为正.10.当______时分式142+-x 的值为负.11.要使分式221y x x -+的值为零,x 和y 的取值范围是什么?12.x 取什么值时,分式)3)(2(5+--x x x (1)无意义?(2)有意义? (3)值为零?13.2005-2007年某地的森林面积(单位:公顷)分别是321,,SS S ,2005年与2007年相比,森林面积增长率提高了多少?(用式子表示)14.学校用一笔钱买奖品,若以1支钢笔和2本日记本为一份奖品,则可买60份奖品;若以1支钢笔和3本日记本为一份奖品,则可买50份奖品,那么这笔钱全部用来买钢笔可以买多少支?15.用水清洗蔬菜上残留的农药.设用x (1≥x )单位量的水清洗一次后,蔬菜上残留的农药量与本次清洗前残留的农药量之比为x +11. 现有a (2≥a )单位量的水,可以一次清洗,也可以把水平均分成两份后清洗两次.试问用哪种方案清洗后蔬菜上残留的农药量比较少?说明理由.16.1 分式第1课时课前自主练1.________________________统称为整式.2.23表示_______÷______的商,那么(2a+b )÷(m+n )可以表示为________.3.甲种水果每千克价格a 元,乙种水果每千克价格b 元,取甲种水果m 千克,乙种水果n 千克,混合后,平均每千克价格是_________.课中合作练题型1:分式、有理式概念的理解应用4.(辨析题)下列各式aπ,11x +,15x+y,22a b a b --,-3x 2,0•中,是分式的有___________;是整式的有___________;是有理式的有_________. 题型2:分式有无意义的条件的应用5.(探究题)下列分式,当x 取何值时有意义.(1)2132x x ++; (2)2323x x +-.6.(辨析题)下列各式中,无论x 取何值,分式都有意义的是( )A .121x +B .21x x +C .231x x + D .2221x x +7.(探究题)当x______时,分式2134x x +-无意义.题型3:分式值为零的条件的应用8.(探究题)当x_______时,分式2212x x x -+-的值为零.题型4:分式值为±1的条件的应用9.(探究题)当x______时,分式435x x +-的值为1;当x_______时,分式435x x +-的值为-1.课后系统练基础能力题10.分式24x x -,当x_______时,分式有意义;当x_______时,分式的值为零.11.有理式①2x ,②5x y +,③12a -,④1xπ-中,是分式的有( )A .①②B .③④C .①③D .①②③④12.分式31x ax +-中,当x=-a 时,下列结论正确的是( )A .分式的值为零;B .分式无意义C .若a ≠-13时,分式的值为零;D .若a ≠13时,分式的值为零13.当x_______时,分式15x -+的值为正;当x______时,分式241x -+的值为负.14.下列各式中,可能取值为零的是( )A .2211m m +-B .211m m -+C .211m m +- D .211m m ++15.使分式||1xx -无意义,x 的取值是( )A .0B .1C .-1D .±1 拓展创新题16.(学科综合题)已知y=123x x --,x 取哪些值时:(1)y 的值是正数;(2)y 的值是负数;(•3)y 的值是零;(4)分式无意义.17.(跨学科综合题)若把x 克食盐溶入b 克水中,从其中取出m 克食盐溶液,其中含纯盐________.18.(数学与生活)李丽从家到学校的路程为s,无风时她以平均a 米/•秒的速度骑车,便能按时到达,当风速为b 米/秒时,她若顶风按时到校,请用代数式表示她必须提前_______出发.19.(数学与生产)永信瓶盖厂加工一批瓶盖,甲组与乙组合作需要a 天完成,若甲组单独完成需要b 天,乙组单独完成需_______天.20.(探究题)若分式22xx +-1的值是正数、负数、0时,求x 的取值范围.21.(妙法巧解题)已知1x -1y =3,求5352x xy y x xy y +---的值.22.(2005.杭州市)当m=________时,分式2(1)(3)32m m m m ---+的值为零.16.1分式第2课时课前自主练1.分数的基本性质为:______________________________________________________.2.把下列分数化为最简分数:(1)812=________;(2)12545=_______;(3)2613=________.3.把下列各组分数化为同分母分数:(1)12,23,14; (2)15,49,715.4.分式的基本性质为:______________________________________________________. 用字母表示为:______________________.课中合作练题型1:分式基本性质的理解应用5.(辨析题)不改变分式的值,使分式115101139x y x y-+的各项系数化为整数,分子、分母应乘以(• ) A .10 B .9 C .45 D .906.(探究题)下列等式:①()a b c --=-a b c -;②x y x -+-=x y x -;③a b c -+=-a bc +;④m n m --=-m nm -中,成立的是( )A .①②B .③④C .①③D .②④7.(探究题)不改变分式2323523x x x x -+-+-的值,使分子、分母最高次项的系数为正数,正确的是(• ) A .2332523x x x x +++- B .2332523x x x x -++- C .2332523x x x x +--+ D .2332523x x x x ---+题型2:分式的约分8.(辨析题)分式434y x a +,2411x x --,22x xy y x y -++,2222a abab b +-中是最简分式的有( )A .1个B .2个C .3个D .4个9.(技能题)约分:(1)22699x x x ++-; (2)2232m m m m -+-.题型3:分式的通分 10.(技能题)通分:(1)26x ab ,29y a bc ; (2)2121a a a -++,261a -.课后系统练基础能力题11.根据分式的基本性质,分式aa b --可变形为( )A .a a b --B .a a b +C .-a a b -D .aa b +12.下列各式中,正确的是( )A .x y x y -+--=x y x y -+;B .x y x y -+-=x y x y ---;C .x y x y -+--=x y x y +-;D .x y x y -+-=x y x y -+13.下列各式中,正确的是( )A .a m a b m b +=+B .a b a b ++=0C .1111ab b ac c --=--D .221x y x y x y -=-+ 14.(2005·天津市)若a=23,则2223712a a a a ---+的值等于_______. 15.(2005·广州市)计算222a ab a b +-=_________.16.公式22(1)x x --,323(1)x x --,51x -的最简公分母为( )A .(x-1)2B .(x-1)3C .(x-1)D .(x-1)2(1-x )317.21?11x x x -=+-,则?处应填上_________,其中条件是__________.拓展创新题18.(学科综合题)已知a 2-4a+9b 2+6b+5=0,求1a -1b 的值.19.(巧解题)已知x 2+3x+1=0,求x 2+21x 的值.20.(妙法求解题)已知x+1x =3,求2421x x x ++的值.16.1分式同步测试题A一、选择题(每题分,共分)1、把分式y x x+中的、都扩大3倍,那么分式的值( )A 、扩大3倍B 、不变C 、缩小3倍D 、缩小9倍2、把分式xy yx +中的、都扩大2倍,那么分式的值 ( )A 、扩大2倍B 、扩大4倍C 、缩小2倍D 不变 3、下列等式中成立的是 ( ) A 、B 、C 、D 、4、(2008年株洲市)若使分式2xx -有意义,则x 的取值范围是( ) A .2x ≠ B .2x ≠- C .2x >- D .2x <5、已知,则 ( )A 、B 、C 、D 、A 、①③④B 、①②⑤C 、③⑤D 、①④ 二、填空题(每题分,共分)1、分式392--x x 当x __________时分式的值为零.2、当x __________时分式x x2121-+有意义.当________________x 时,分式8x 32x +-无意义.3、①())0(,10 53≠=a axy xy a ②() 1422=-+a a . 4、约分:①=b a ab2205__________,②=+--96922x x x __________.5、已知P=999999,Q=911909,那么P 、Q 的大小关系是_______。
2022-2023学年全国初中八年级下数学人教版同步练习考试总分:100 分 考试时间: 120 分钟学校:__________ 班级:__________ 姓名:__________ 考号:__________一、 选择题 (本题共计 8 小题 ,每题 5 分 ,共计40分 )1. 如图,长方形ABCD 恰好可分成7个形状大小相同的小长方形,如果小长方形的面积是3,则长方形ABCD 的周长是( )A.7B.9C.19D.212. 已知m =1+√2,n =1−√2,则代数式√m 2+n 2−3mn =( )A.1B.2C.3D.43. 下列运算正确的是( )A.2a 2+a =3a 3B.(2a 2)3=6a 6C.(−a)3⋅a 2=−a 6D.(−a)2÷a =a4. 计算(1−1√2−1√3−1√4)×(1√2+1√3+1√4+1√5)−(1−1√2−1√3−1√4−1√5)×(1√2+1√3+1√4)的结果等于( )A.12ABCD 73ABCD791921m=1+2–√n =1−2–√=+−3mn m 2n 2−−−−−−−−−−−−√()12342+a a 23a 3(2a 2)36a 6(−a ⋅)3a 2−a 6(−a ÷a )2a (1−−−)×12–√13–√14–√(+++)−12–√13–√14–√15–√(1−−−−)×12–√13–√14–√15–√(++)12–√13–√14–√12B.√55C.√33D.√22 5. 若一个三角形的一条边的长为√3+1,其面积为6,则这条边上的高为( )A.3√3B.6√3−6C.3√3+3D.6√3+66. 若a =1+√2,b =1−√2,则代数式√a 2+b 2−3ab 的值为( )A.3B.±3C.5D.97. √3−x √x +1=√3−xx +1成立的条件是( )A.x ≥−1B.x ≤3C.−1≤x ≤3D.−1<x ≤3 8. 从“+,-,×,÷”中选择一种运算符号,填入算式“(+1)□x”的“□”中,使其运算结果为有理数,则实数x 不可能是( )A.+1B.5−1C.−2D.1−5–√53–√32–√2+13–√633–√6−63–√3+33–√6+63–√a =1+2–√b =1−2–√+−3aba 2b 2−−−−−−−−−−−√3±359=3−x −−−−−√x+1−−−−−√3−x x+1−−−−−√x ≥−1x ≤3−1≤x ≤3−1<x ≤3×÷+1)xx+15−1−21−二、 填空题 (本题共计 4 小题 ,每题 5 分 ,共计20分 )9. 一个长方形的长和宽分别是√75和√12,这个长方形的周长=________.10. 对于任意两个正数a ,b 定义一种运算※如下:a※b =√a 2+b 2a +b ,按照此法则计算3※4=________.11. 计算:√23×√6=________.12. 化简:2√3−1的结果是________.三、 解答题 (本题共计4 小题 ,每题 10 分 ,共计40分 ) 13. 阅读下面的文字,解答问题:大家知道√2是无理数,而无理数是无限不循环小数,因此√2的小数部分我们不可能全部地写出来,于是小明用√2−1来表示√2的小数部分,你同意小明的表示方法吗?事实上,小明的表示方法是有道理,因为√2的整数部分是1,将这个数减去其整数部分,差就是小数部分.又例如:∵√4<√7<√9,即2<√7<3,∴√7的整数部分为2,小数部分为(√7−2).请解答:(1)√17的整数部分是________,小数部分是________;(2)如果√5的小数部分为a ,√13的整数部分为b ,求a +b −√5的值;(3)已知: 10+√3=x +y ,其中x 是整数,且0<y <1,求x −y 的相反数. 14. (1)化简(aa −b −1)÷b 2a 2−ab ,(2)当a =√3−1,b =√3+1时,求代数式的值. 15. 计算:√aba 2−b 2÷√a +ba −b ⋅√a +ba (a >b >0)16. 阅读下列材料,然后回答问题.在进行二次根式的化简与运算时,我们有时会碰上如5√3,√23,2√3+1一样的式子,其实我们还可以将其进一步化简:5√3=5×√3√3×√3=5√33(一),1−75−−√12−−√=a b ※a※b =+a 2b 2−−−−−−√a +b 3※4=×=23−−√6–√2−13–√2–√2–√−12–√2–√2–√1<<4–√7–√9–√2<<37–√7–√2(−2)7–√(1)17−−√(2)5–√a 13−−√b a +b −5–√(3)10+=x+y 3–√x 0<y <1x−y(−1)÷a a −b b 2−ab a 2a =−13–√b =+13–√√23=√2×33×3=√63(二),2√3+1=2×(√3−1)(√3+1)(√3−1)=2(√3−1)(√3)2−12=√3−1(三),以上这种化简的步骤叫做分母有理化.2√3+1还可以用以下方法化简:2√3+1=3−1√3+1=(√3)2−12√3+1=(√3+1)(√3−1)√3+1=√3−1(四),(1)请用不同的方法化简2√5+√3.参照(三)式得2√5+√3=________;参照(四)式得2√5+√3=________.(2)化简:1√3+1+1√5+√3+1√7+√5+...+1√2n+1+√2n−1.参考答案与试题解析2022-2023学年全国初中八年级下数学人教版同步练习一、 选择题 (本题共计 8 小题 ,每题 5 分 ,共计40分 )1.【答案】C【考点】二次根式的应用【解析】设小长方形的长为a ,宽为b ,根据小长方形的面积及图形列出关系式,求出a 与b 的值,即可确定出长方形ABCD 的周长.【解答】解:设小长方形的长为a ,宽为b ,则有ab =3,3a =4b ,解得:a =2,b =32,长方形ABCD 的周长为2(a +b +4b)=2(a +5b)=19,故选C2.【答案】C【考点】二次根式的化简求值平方差公式完全平方公式【解析】先求出(m+n)2、mn 的值,再把m 2+n 2−3mn 化成(m+n)2−5mn ,代入求出其值是9,最后求出9的算术平方根即可.【解答】解:∵m=1+√2,n=1−√2,2=(1+√2+1−√2)2=22=4,∴(m+n)mn=(1+√2)×(1−√2)=1−2=−1,2+n2−3mn∴m=(m+n)2−2mn−3mn=(m+n)2−5mn=4−5×(−1)=9,∴√m2+n2−3mn=√9=3.故选C.3.【答案】D【考点】幂的乘方与积的乘方合并同类项同底数幂的除法同底数幂的乘法【解析】此题暂无解析【解答】此题暂无解答4.【答案】B【考点】分母有理化二次根式的化简求值整式的混合运算——化简求值【解析】解:设a=1√2+1√3+1√4,原式=(1−a)(a+1√5)−(1−a−1√5)×a=a+1√5−a2−a√5−a+a2+a√5=√55.故选B.5.【答案】B【考点】二次根式的应用【解析】设这边上的高为h,根据三角形的面积公式列式,然后进行分母有理化即可得解.【解答】解:设这边上的高为h,则12(√3+1)h=6,h=12√3+1=12(√3−1)(√3+1)(√3−1)=6√3−6.故选B.6.【答案】A【考点】二次根式的化简求值【解析】首先把所求的式子化成√(a−b)2−ab的形式,然后代入数值计算即可.【解答】√(a−b)2−ab=√(2√2)2−(−1)=√8+1=3.解:原式=故选A.7.D【考点】二次根式的乘除法【解析】根据二次根式的性质分别得出关于x的不等式进而求出答案.【解答】√3−x√x+1=√3−xx+1成立,解:∵∴{3−x≥0x+1>0,解得:−1<x≤3.故选:D.8.【答案】B【考点】分母有理化【解析】此题暂无解析【解答】此题暂无解答二、填空题(本题共计 4 小题,每题 5 分,共计20分)9.【答案】14√3【考点】二次根式的加减混合运算二次根式的应用【解析】根据周长=2(长+宽),化简求解.【解答】解:周长=2(√75+√12)=10√3+4√3=14√3.故答案为:14√3.10.【答案】57【考点】实数的运算【解析】直接根据新定义代入运算即可.【解答】解:根据题意得,3※4=√32+423+4=57.故答案为:57.11.【答案】2【考点】二次根式的乘除法【解析】根据√a⋅√b=√ab(a≥0,b≥0)进行计算即可.【解答】解:原式=√23×6=√4=2.故答案为:2.12.【答案】√3+1【考点】分母有理化【解析】原式分子分母乘以有理化因式,计算即可得到结果.【解答】解:2√3−1=2(√3+1)(√3−1)(√3+1)=2(√3+1)3−1=√3+1.故答案为:√3+1.三、解答题(本题共计 4 小题,每题 10 分,共计40分)13.【答案】4,√17−4(2)∵2<√5<3,∴a=√5−2.∵3<√13<4,∴b=3,∴a+b−√5=√5−2+3−√5=1.(3)∵1<3<4,∴1<√3<2,∴11<10+√3<12.∵10+√3=x+y,其中x是整数,且0<y<1,∴x=11,y=10+√3−11=√3−1,∴x−y=11−(√3−1)=12−√3,∴x−y的相反数是−12+√3.【考点】估算无理数的大小实数的运算列代数式求值相反数【解析】(1)先估算出17的范围,即可得由答案;(2)先估算出√5、√13的范围,求出a、b的值,再代入求出即可;(3)先估算出√3的范围,求出x、y的值,再代入求出即可.【解答】解:(1)∵√16<√17<√25,即4<√17<5,∴√17的整数部分是4,小数部分是√17−4.故答案为:4;√17−4.(2)∵2<√5<3,∴a=√5−2.∵3<√13<4,∴b=3,∴a+b−√5=√5−2+3−√5=1.(3)∵1<3<4,∴1<√3<2,∴11<10+√3<12.∵10+√3=x+y,其中x是整数,且0<y<1,∴x=11,y=10+√3−11=√3−1,∴x−y=11−(√3−1)=12−√3,∴x−y的相反数是−12+√3.14.【答案】2原式=ba−b⋅a(a−b)b=ab;当a=√3−1,b=√3+1时,√3−1√3+1原式==2−√3.【考点】分式的化简求值二次根式的化简求值【解析】(1)根据分式的运算法则即可求出答案.(2)将a与b的值代入原式即可求出答案.【解答】原式=ba −b ⋅a(a −b)b 2=ab ;当a =√3−1,b =√3+1时,原式=√3−1√3+1=2−√3.15.【答案】原式=√ab(a +b)(a −b)×a −ba +b ×a +ba=√ba +b =√ab +b 2a +b .【考点】二次根式的乘除法【解析】直接利用二次根式的乘除运算法则计算得出答案.【解答】原式=√ab(a +b)(a −b)×a −ba +b ×a +ba=√ba +b=√ab +b 2a +b .16.【答案】√5−√3,√5−√3(2)原式=√3−1(√3+1)(√3−1)+√5−√3(√5+√3)(√5−√3)+√7−√5(√7+√5)(√7−√5)+...+√2n +1−√2n −1(√2n +1+√2n −1)(√2n +1−√2n −1)=√3−12+√5−√32+√7−√52+...+√2n +1−√2n −12=√2n +1−12.【考点】分母有理化平方差公式【解析】(1)中,通过观察,发现:分母有理化的两种方法:1、同乘分母的有理化因式;2、因式分解达到约分的目的.(2)中,注意找规律:分母的两个被开方数相差是2,分母有理化后,分母都是2,分子可以出现抵消的情况.【解答】解:(1)2√5+√3=2(√5−√3)(√5+√3)(√5−√3)=2(√5−√3)(√5)2−(√3)2=√5−√3,2√5+√3=(√5)2−(√3)2√5+√3=(√5+√3)(√5−√3)√5+√3=√5−√3.故答案为:√5−√3;√5−√3.(2)原式=√3−1(√3+1)(√3−1)+√5−√3(√5+√3)(√5−√3)+√7−√5(√7+√5)(√7−√5)+...+√2n +1−√2n −1(√2n +1+√2n −1)(√2n +1−√2n −1)=√3−12+√5−√32+√7−√52+...+√2n +1−√2n −12=√2n +1−12.。
2022-2023学年全国初中八年级下数学人教版同步练习考试总分:100 分 考试时间: 120 分钟学校:__________ 班级:__________ 姓名:__________ 考号:__________一、 选择题 (本题共计 8 小题 ,每题 5 分 ,共计40分 )1. 已知正比例函数的函数值随的增大而减小,则一次函数的图象大致是图中的( ) A. B. C. D.2. 若且,则一次函数=的图象可能是( ) A. B.y =kx(k ≠0)y x y =kx+k ab <0a <b y ax+bC. D.3. 下列说法中不正确的是( )A.一次函数不一定是正比例函数B.不是一次函数就一定不是正比例函数C.正比例函数是特殊的一次函数D.不是正比例函数就一定不是一次函数4. 下列式子中,表示是的正比例函数的是( )A.B.C.D.5. 正比例函数 与一次函数在同一坐标系中的图象大致是( ) A. B.y x y =2xy =2x−1=2xy 2y =2x 2y =kx(k ≠0)y =kx−kC. D.6. 一次函数和在同一平面直角坐标系中的图象可能是( ) A. B. C. D.7. 一次函数的图象经过原点,则的值为( )A.B.C.或D.y =(m−2)x+2−my =x+m y =(k −2)x+−4k 2k 2−22−238. 下列关于的函数中,是正比例函数的是( )A.B.C.D.二、 填空题 (本题共计 4 小题 ,每题 5 分 ,共计20分 )9. 正比例函数的图像经过________象限.10. 将正比例函数的图象向上平移个单位,所得的直线不经过第________象限.11. 已知函数是关于的一次函数,则________12. 若是正比例函数,则的值是________.三、 解答题 (本题共计 4 小题 ,每题 10 分 ,共计40分 )13. 计算:在平面直角坐标系上画出的图象;判断,是否在这一条直线上. 14. 已知函数.(1)当取何值时,是的一次函数;(2)当取何值时,是的正比例函数. 15. 写出下列各题中与之间的关系式,并判断是否为的一次函数?是否为正比例函数?(1)汽车以千米/时的速度匀速行驶,行驶路程(千米)与行驶时间(时)之间的关系;(2)圆的面积(平方厘米)与它的半径(厘米)之间的关系;(3)一棵树现在高厘米,每个月长高厘米,月后这棵树的高度为(厘米).y x y =x 2y =2xy =x 2y =x+112y =2x y =2x 3y =(m−2)+2x |m−1|x m=y =x−b b (1)y =2x−2(2)A(5,8)B(,−)1854y =(k −3)x+−9k 2k y x k y x x y y x 60y x y x 502x yy=−2x16. 画出函数的图象(先列表,然后描点、连线).参考答案与试题解析2022-2023学年全国初中八年级下数学人教版同步练习一、 选择题 (本题共计 8 小题 ,每题 5 分 ,共计40分 )1.【答案】D【考点】一次函数的图象正比例函数的图象【解析】根据正比例函数的性质得到,然后根据一次函数的性质得到一次函数的图象过第二、四象限,且与轴的负半轴相交.【解答】解:∵正比例函数的函数值随的增大而减小,∴,∴一次函数的图象过第二、四象限,且与轴的负半轴相交.故选.2.【答案】B【考点】一次函数的图象【解析】根据且,可以得到,然后根据一次函数的性质即可得到一次函数=的图象经过哪几个象限,从而可以解答本题.【解答】∵且,∴,k <0y =kx+k y y =kx(k ≠0)y x k <0y =kx+k y D ab <0a <b a <0<b y ax+b ab <0a <b a <0<b∴一次函数=的图象经过第一、二、四象限,3.【答案】D【考点】正比例函数的定义一次函数的定义【解析】根据一次函数与正比例函数的定义解答即可.【解答】解:、正确,一次函数,当时函数不是正比例函数;、正确,因为正比例函数一定是一次函数;、正确,一次函数,当时函数是正比例函数;、错误,一次函数,当时函数不是正比例函数.故选.4.【答案】A【考点】正比例函数的定义【解析】根据正比例函数的定义:形如 (为常数,且)的函数叫正比例函数,判断即可.【解答】解:,该函数表示是的正比例函数,符合题意;,该函数表示是的一次函数,不合题意;,该函数表示是的正比例函数,不合题意;,该函数表示是的二次函数,不合题意.故选.5.【答案】Ay ax+b A y =kx+b k =0B C y =kx+b b =0D y =kx+b b ≠0D y =kx k k ≠0A y x B y x C y 2x D y x A【考点】一次函数的图象正比例函数的图象【解析】根据两个函数图象的位置关系,以及与轴交点的位置分析即可解答.【解答】解:,因为正比例函数的图象经过第二、四象限,所以,一次函数的图象与其符合,故正确;,因为正比例函数的图象经过第一、三象限,所以,所以一次函数的图象与轴的交点应该在轴的负半轴上,故错误;,因为函数和函数的图象是互相平行的两条直线,故错误;,因为函数和函数的图象是互相平行的两条直线,故错误.故选.6.【答案】B【考点】一次函数的图象【解析】先根据一次函数的图像求得求得的取值,再确定一次函数经过的象限以及与轴的交点,即可得出结果.【解答】解:,由图象可知,解得,所以一次函数的图象在一、二、三象限,且与轴的交点纵坐标在和之间,故不符合题意;,由图象可知,解得,所以一次函数应该在一、二、三象限,且与轴的交点纵坐标在和之间,故符合题意;,由图象可知,,解得,所以一次函数应该在一、二、三象限,且与轴的交点纵坐标大于,故不符合题意;,由图象可知,,y A k <0y =kx−k A B k >0y =kx−k y y B C y =kx(k ≠0)y =kx−k C D y =kx(k ≠0)y =kx−k D A y =(m+2)m+2−m n m y =x+m y A {m−2<0,1<2−m<2,0<m<1y =x+m y 01A B {m−2<0,0<2−m<1,1<m<2y =x+m y 12B C 2−m<0m>2y =x+m y 2C D 2−m<0解得,所以一次函数应该在一、二、三象限,且与轴的交点纵坐标大于,故不符合题意.故选.7.【答案】B【考点】一次函数的定义【解析】先根据一次函数的性质列出关于的不等式组,求出的值即可.【解答】解:由题意可得:,解得:,故选.8.【答案】C【考点】正比例函数的定义【解析】根据正比例函数的定义进行解答即可.【解答】解:、该函数是二次函数,故本选项错误;、该函数是反比例函数,故本选项错误;、该函数符合正比例函数定义,故本选项正确;、该函数是一次函数,故本选项错误;故选:.二、 填空题 (本题共计 4 小题 ,每题 5 分 ,共计20分 )9.【答案】m>2y =x+m y 2D B k k {k −2≠0−4=0k 2k =−2B A B C D C一三【考点】正比例函数的图象【解析】由题目可知,该正比例函数过原点,且系数为正,故函数图象过一、三象限.【解答】解:由题意,,,可知函数过一三象限.故答案为:一三.10.【答案】四【考点】一次函数的图象【解析】本题考查平移及函数的图象.【解答】解:因为,所以一次函数过一三象限,将其向上平移3个单位,则过一二三象限,故答案为:四.11.【答案】【考点】一次函数的定义【解析】根据一次函数的定义条件是:、为常数,,自变量次数为,即可得出的值.【解答】y =2x k =2>02>00y =kx+b k b k ≠01m解:根据一次函数的定义可得:,,由,解得:或,又,,∴.故答案为:.12.【答案】【考点】正比例函数的定义【解析】此题暂无解析【解答】解:根据正比例函数定义可得,故答案为:.三、 解答题 (本题共计 4 小题 ,每题10 分 ,共计40分 )13.【答案】解:当时,,∴的图象与轴交于点;当时,,∴的图象与轴交于点.画出函数图象,如图所示.当时,,∴点在该直线上;当时,,∴点不在该直线上.【考点】一次函数图象上点的坐标特点m−2≠0|m−1|=1|m−1|=1m=02m−2≠0m≠2m=000b =00(1)x =0y =2x−2=−2y =2x−2y (0,−2)y =2x−2=0x =1y =2x−2x (1,0)(2)x =5y =2×5−2=8A(5,8)x =18y =2×−2=−1874B(,−)1854一次函数的图象【解析】将、分别带人中求出与之对应的、值,描点、连线即可画出一次函数图象.将点、的值代入一次函数解析式中求出与之对应的值,比照后即可得知点、是否在该直线上;由点、在直线上,利用一次函数图象上点的坐标特征求出、的值,将其代入中即可得出结论.【解答】解:当时,,∴的图象与轴交于点;当时,,∴的图象与轴交于点.画出函数图象,如图所示.当时,,∴点在该直线上;当时,,∴点不在该直线上.14.【答案】解:(1)当时,是的一次函数,故即可;(2)当,且时,是的正比例函数,故时,是的正比例函数.【考点】一次函数的定义正比例函数的定义【解析】(1)直接利用一次函数的定义得出的值即可;(2)直接利用正比例函数的定义得出的值即可.【解答】x =0y =0y =2x−2y x (1)A B x y A B (2)M N m n n−m −−−−−√(1)x =0y =2x−2=−2y =2x−2y (0,−2)y =2x−2=0x =1y =2x−2x (1,0)(2)x =5y =2×5−2=8A(5,8)x =18y =2×−2=−1874B(,−)1854k −3≠0y x k ≠3−9=0k 2k −3≠0y x k =−3y x k k解:(1)当时,是的一次函数,故即可;(2)当,且时,是的正比例函数,故时,是的正比例函数.15.【答案】行驶路程(千米)与行驶时间(时)之间的关系为:=,是的一次函数,是正比例函数;圆的面积(平方厘米)与它的半径(厘米)之间的关系为:=,不是的一次函数,不是正比例函数;月后这棵树的高度为(厘米)之间的关系为:=,是的一次函数,不是正比例函数.【考点】一次函数的定义正比例函数的定义【解析】(1)根据路程=速度时间可得相关函数关系式;(2)根据圆的面积可得相关函数关系式;(3)月后这棵树的高度=现在高+每个月长的高月数.【解答】行驶路程(千米)与行驶时间(时)之间的关系为:=,是的一次函数,是正比例函数;圆的面积(平方厘米)与它的半径(厘米)之间的关系为:=,不是的一次函数,不是正比例函数;月后这棵树的高度为(厘米)之间的关系为:=,是的一次函数,不是正比例函数.16.【答案】解:列表:…………描点,连线,如图.k −3≠0y x k ≠3−9=0k 2k −3≠0y x k =−3y x y x y 60x x y r y πx 2x x y y 50+2x x ×x ×y x y 60x x y r y πx 2x x y y 50+2x x x−2−1012y420−2−4【考点】正比例函数的图象【解析】利用描点法画正比例图象即可.【解答】解:列表:…………描点,连线,如图.x −2−1012y 420−2−4。
2022-2023学年全国初中八年级下数学人教版同步练习考试总分:100 分 考试时间: 120 分钟学校:__________ 班级:__________ 姓名:__________ 考号:__________一、 选择题 (本题共计 8 小题 ,每题 5 分 ,共计40分 )1. 某商场“五•一”期间做促销活动,一件元的电器第一次降价后销售较慢,于是又进行第二次降价,第二次降价的百分率是第一次的倍,结果以元的价格迅速销售一空,设第一次降价的百分率为,根据题意,下面所列方程正确的是( )A.=B.=C.=D.=2. 将一元二次方程化成一般形式后,二次项系数和一次项系数分别是A.,B.,C.,D.,3.下列方程中,是一元二次方程的有( )个.; ;;.A.个B.个C.个D.个4. 关于的一元二次方程的一个解为,则为( )A.B.C.6002432x 600x ⋅2x 432600(1−x)⋅2x 432600(1−x)(1−2x)432600(1−x)(1−)x 24325−1=4x x 2()5−1545−451(1)2+y−1=0y 2(2)x(2x−1)=2x 2(3)−2x =11x 2(4)a +bx+c =0x 21234x +nx−12=0x 2x =3n 123D.5. 某药品经过两次涨价,每瓶零售价由元涨为元.已知两次涨价的百分率都为,那么满足的方程是( )A.B.C.D.6. 关于的一元二次方程,常数项为,则值等于( )A.B.C.或D.7. 下列方程中,关于的一元二次方程是( )A.=B.=C.=D.=8. 已知是一元二次方程的一个根,则的值是( )A.B.C.D.二、 填空题 (本题共计 4 小题 ,每题 5 分 ,共计20分 )9. 某种品牌运动服经过两次降价,每件零售价由元降为元,已知两次降价的百分率相同,求每次降价的百分率.设每次降价的百分率为,所列方程是________.4100121x x 100(1+x =121)2100(1−x =121)2100(1−x%=121)2100=121x 2x (m−1)+2x+−5m+4=0x 2m 20m 1414x a +bx+c x 20+x 2+2x x 2+1x 22+x 20a −4x+1=0x 23−12a −2+a 28a 1+a 23−3−11560315x10. 若关于的一元二次方程的常数项为,则的值等于________.11. 若关于的一元二次方程有两个不相等的实数根,则的取值范围是________.12. 已知是方程的一个根,则的值等于________.三、 解答题 (本题共计 4 小题 ,每题 10 分 ,共计40分 )13.茶叶是安徽省主要经济作物之一. 年新茶上市期间,某茶厂为获得最大利益,根据市场行情,把新茶价格定为元,并根据历年的新茶制作和销售数据整理出第天(,且 为整数)制茶(含采摘和加工)与销售的相关信息如下:制茶成本(元/)销售量假定该茶厂每天制作和销售的新茶没有损失,且能在当天全部售出,试列代数式表示第天销售新茶的收入(当天收入日销售额日制茶成本);试求第几天该茶厂销售新茶的收入恰好为元.14. 关于的一元二次方程化为一般形式后为.求,的值.15. 小明在学完了平行四边形后,想对“四边形的不稳定性”和“四边形的判定”有更好的理解,做了如下的探究:他用根木棍和一些钉子组成了正方形和平行四边形(如图),且,在同一条直线上,点落在边上.经小明测量,发现此时,,三个点在一条直线上,,.求的长;设的长度为,则________(用含的代数式表示);小明接着探究,在保证,位置不变的前提条件下,从点向右推动正方形,直到四边形刚好变为矩形时停止推动(如图).若此时,求的长. 16. 在一次聚会上,规定每两个人见面必须握手次若参加聚会的人数为,则共握手_______次;若参加聚会的人数为,则共握手_______次x (m−2)+5x+(m−2)(m−3)=0x 20m x k −6x+9=0x 2k a −2x−2020=0x 2−2a a 22019500/kg x 1≤x ≤15x kg 200+10x (kg)40+5x(1)x =−(2)14000x a(+1)+10(x+2)+c =0x 26+10x−1=0x 2a c 8ABCD HEFG 1BC EF D HE B D G ∠EFG =67.5∘DG =3(1)HG (2)BC a CE =a (3)BC EF A EFGH 2D =18(−1)E 22–√BF 1.(1)35.若参加聚会的人数为(为正整数),则共握手_______次若参加聚会的人共握手次,请求出参加聚会的人数嘉嘉由握手问题想到了另一个数学问题:若线段上共有个点(不含端点,),则线段总数为_______(用含的式子表示)(2)n n .(3)45.(4)AB m A B .m参考答案与试题解析2022-2023学年全国初中八年级下数学人教版同步练习一、 选择题 (本题共计 8 小题 ,每题 5 分 ,共计40分 )1.【答案】C【考点】由实际问题抽象出一元二次方程【解析】根据题意可以列出相应的方程,从而可以解答本题.【解答】由题意可得,=,2.【答案】C【考点】一元二次方程的一般形式【解析】一元二次方程的一般形式是:,,是常数且特别要注意的条件.这是在做题过程中容易忽视的知识点.在一般形式中叫二次项,叫一次项,是常数项.其中,,分别叫二次项系数,一次项系数,常数项.【解答】解:将一元二次方程化成一般形式是,所以它的二次项系数是,一次项系数是.故选.3.【答案】600(1−x)(1−2x)432a +bx+c =0(a x 2b c a ≠0)a ≠0ax 2bx c a b c 5−1=4x x 25−4x−1=0x 25−4C【答案】A【考点】一元二次方程的定义【解析】此题暂无解析【解答】解:是关于的一元二次方程;化成一般式后不含二次项;不是整式方程;二次项系数可能为,不一定是一元二次方程.故是一元二次方程的有.故选.4.【答案】A【考点】一元二次方程的解【解析】根据一元二次方程的解的定义,把代入中可得到关于n 的方程,然后解此方程即可.【解答】解:把代入,得,解得.故选.5.【答案】A【考点】(1)2+y−1=0y 2y (2)x(2x−1)=2x 2(3)−2x =11x 2(4)a +bx+c =0x 20(1)A x =3+nx−12=0x 2x =3+nx−12=0x 29+3n−12=0n =1A由实际问题抽象出一元二次方程【解析】由两次涨价的百分率都为结合药品原价及两次涨价后的价格,即可列出关于的一元二次方程,此题得解.【解答】解:∵两次涨价的百分率都为,∴.故选.6.【答案】B【考点】一元二次方程的一般形式【解析】一元二次方程,,是常数且的、、分别是二次项系数、一次项系数、常数项.【解答】解:由题意,得,且,解得,故选:.7.【答案】D【考点】一元二次方程的定义【解析】此题暂无解析【解答】此题暂无解答8.x x x 100(1+x =121)2A a +bx+c =0(ax 2b c a ≠0)a b c −5m+4=0m 2m−1≠0m=4BB【考点】一元二次方程的解列代数式求值【解析】把代入已知方程,列出关于的新方程,通过解新方程可以求得的值.【解答】解:∵是一元二次方程的一个根,∴,即,∴.故选.二、 填空题 (本题共计 4 小题 ,每题 5 分 ,共计20分 )9.【答案】【考点】由实际问题抽象出一元二次方程【解析】设每次降价的百分率为,根据题意可得,(降价的百分率),据此列方程即可.【解答】解:设每次降价的百分率为,由题意得,.故答案为:.10.【答案】x =a a a a −4x+1=0x 2−4a +1=0a 2+1=4a a 23−12a −2+a 28a1+a 2=3−3(+1)−2+a 2a 22(1+)a 21+a 2=−3B 560(1−x =315)2x 560×1−=3152x 560(1−x =315)2560(1−x =315)23一元二次方程的一般形式【解析】由常数项为列出方程,求出方程的解得到的值,代入检验即可.【解答】解:根据题意得:,解得:或,当时,方程为,不合题意,舍去,则时,方程为,是一元二次函数.故符合题意.故答案为:11.【答案】且【考点】根的判别式一元二次方程的定义【解析】因为关于的一元二次方程=有两个不相等的实数根,所以且=,建立关于的不等式组,解得的取值范围即可.【解答】解:∵关于的一元二次方程有两个不相等的实数根,∴,且,解得且.故答案为:且.12.【答案】【考点】一元二次方程的解【解析】0m (m−2)(m−3)=0=2m 1=3m 2m=25x =0m=34+5x =0x 2m=33k <1k ≠0x k −6x+9x 20k ≠0△−4ac >0b 2k k x k −6x+9=0x 2k ≠0Δ=−4ac =36−36k >0b 2k <1k ≠0k <1k ≠02020−2a2将=代入方程可得:=,从而可求出答案.【解答】解:将代入方程可得:.∴原式.故答案为:.三、 解答题 (本题共计 4 小题 ,每题 10 分 ,共计40分 )13.【答案】解:由题意,第天销售新茶的收入可列代数式表示为:;根据题意得,整理得.∵,∴只取.答:第天该茶厂销售新茶的收入恰好为元.【考点】二次函数的应用由实际问题抽象出一元二次方程【解析】此题暂无解析【解答】解:由题意,第天销售新茶的收入可列代数式表示为:;根据题意得,整理得.∵,∴只取.答:第天该茶厂销售新茶的收入恰好为元.14.【答案】x a −2a a 22020x =a −2a =2020a 2=20202020(1)x [500−(200+10x)](40+5x)=−50+1100x+12000x 2(2)−50+1100x+12000=14000x 2−22x+40=0,(x−2)(x−20)=0,∴=2,=20x 2x 1x 21≤x ≤15x x =2214000(1)x [500−(200+10x)](40+5x)=−50+1100x+12000x 2(2)−50+1100x+12000=14000x 2−22x+40=0,(x−2)(x−20)=0,∴=2,=20x 2x 1x 21≤x ≤15x x =2214000a(+1)+10(x+2)+c =02解:一元二次方程展开后,可得,整理得.∵关于的一元二次方程化为一般形式后为,∴,,∴,解得.【考点】一元二次方程的一般形式【解析】【解答】解:一元二次方程展开后,可得,整理得.∵关于的一元二次方程化为一般形式后为,∴,,∴,解得.15.【答案】解:四边形是平行四边形,,,.四边形是正方形,,,,,,,,.在推进过程中的长度保持不变,设,则.四边形是矩形,,,,.,的位置不变,.在中,由勾股定理得,,a(+1)+10(x+2)+c =0x 2a +a +10x+20+c =0x 2a +10x+a +20+c =0x 2x a(+1)+10(x+2)+c =0x 26+10x−1=0x 2a =6a +20+c =−16+20+c =−1c =−27a(+1)+10(x+2)+c =0x 2a +a +10x+20+c =0x 2a +10x+a +20+c =0x 2x a(+1)+10(x+2)+c =0x 26+10x−1=0x 2a =6a +20+c =−16+20+c =−1c =−27(1)∵HEFG ∴∠H =∠GFE =67.5∘HE//FG ∴∠HEC =67.5∘∵ABCD ∴∠DCB =90∘∠BDC =∠CBD =45∘∴∠DCE =90∘∴∠CDE =22.5∘∴∠BDE =∠BDC +∠CDE =67.5∘∴∠HDG =∠BDE =67.5∘∴∠H =∠GDH ∴HG =DG =3(−1)a2–√(3)∵CD ∴CD =x BE =x 2–√∵EFGH ∴EF =HG =3∠HEF =90∘∴∠DEC =90∘∴D =C −C E 2D 2E 2∵BC EF ∴CE =BE−BC =(−1)x 2–√Rt △CDE D =C −C E 2D 2E 2∴18(−1)=−=2(−1)2–√x 2(−1)2–√2x 2x 22–√∴=92.,,.【考点】平行四边形的性质正方形的性质等腰三角形的性质与判定勾股定理矩形的判定与性质【解析】左侧图片未给出解析提示:由知,,的长度为,,,故答案为:.左侧图片未给出解析【解答】解:四边形是平行四边形,,,.四边形是正方形,,,,,,,,.由知,,的长度为,,.故答案为:.在推进过程中的长度保持不变,设,则.四边形是矩形,,,,.∴=9x 2∵x >0∴x =3∴BF =BE+EF =3+32–√(2)(1)∠BDE =∠BED =67.5∘∴BE =BD ∵BC a ∴BD =BC =a 2–√2–√∴CE =BE−BC =a −a =(−1)a2–√2–√(−1)a 2–√(1)∵HEFG ∴∠H =∠GFE =67.5∘HE//FG ∴∠HEC =67.5∘∵ABCD ∴∠DCB =90∘∠BDC =∠CBD =45∘∴∠DCE =90∘∴∠CDE =22.5∘∴∠BDE =∠BDC +∠CDE =67.5∘∴∠HDG =∠BDE =67.5∘∴∠H =∠GDH ∴HG =DG =3(2)(1)∠BDE =∠BED =67.5∘∴BE =BD ∵BC a ∴BD =BC =a 2–√2–√∴CE =BE−BC =a −a =(−1)a 2–√2–√(−1)a 2–√(3)∵CD ∴CD =x BE =x 2–√∵EFGH ∴EF =HG =3∠HEF =90∘∴∠DEC =90∘∴D =C −C E 2D 2E 2,的位置不变,.在中,由勾股定理得,,.,,.16.【答案】,依题意,得,整理得,解得,(不合题意,舍去),则参加聚会的有人.【考点】由实际问题抽象出一元二次方程【解析】此题暂无解析【解答】解:每两个人见面必须握手次,.故答案为:;.由知,若参加聚会的人数为(为正整数),则共握手次.故答案为:.依题意,得,整理得,解得,(不合题意,舍去),∵BC EF ∴CE =BE−BC =(−1)x 2–√Rt △CDE D =C −C E 2D 2E 2∴18(−1)=−=2(−1)2–√x 2(−1)2–√2x 2x 22–√∴=9x 2∵x >0∴x =3∴BF =BE+EF =3+32–√310n(n−1)12(3)n(n−1)=4512−n−90=0n 2=10n 1=−9n 210(m+2)(m+1)12(1)1.3×(3−1)÷2=35×(5−1)÷2=10310(2)(1)n n n(n−1)12n(n−1)12(3)n(n−1)=4512−n−90=0n 2=10n 1=−9n 2则参加聚会的有人.∵线段上共有个点(不含端点,),可当成共有个人握手,线段总数为.故答案为:.10(4)AB m A B (m+2)(m+2)(m+1)12(m+2)(m+1)12。
2022-2023学年全国初中八年级下数学人教版同步练习考试总分:100 分 考试时间: 120 分钟学校:__________ 班级:__________ 姓名:__________ 考号:__________一、 选择题 (本题共计 8 小题 ,每题 5 分 ,共计40分 )1. 在一个不透明的袋子里装有两个黄球和一个白球,它们除颜色外都相同,随机从中摸出一个球,记下颜色后放回袋子中,经充分摇匀后,再随机摸出一个球.两次都摸出黄球的概率是 A.B.C.D.2. 布袋里有个大小相同的乒乓球,其中个为红色、个为白色、个为黄色,搅匀后从中随机摸出一个球是红色的概率是 ( )A.B.C.D.3. 一不透明袋子中装有红、绿小球各个,它们除颜色外无其他差别.先随机摸出一个小球,不放回,再随机摸出一个,两次都摸到绿球的概率为( )A.B.C.D.4. 某校举办语文、数学、英语、物理、化学五科的学科素养展示活动,小美随机选报一项,则她恰()13492919621312131416218161314好选报数学学科的概率为( )A.B.C.D.5. 一次抛掷两枚相同的硬币,则一枚硬币正面向上、一枚硬币反面向上的概率是 A.B.C.D.6. 在一个不透明的箱子里装有个白球,个红球,这些球除颜色外其他完全相同.现从中随机摸出一个球,记下颜色后放回,再从中随机摸出一个球,则摸出的两个球恰好是个红球和个白球的概率是 A.B.C.D.7. 不透明袋子中装有红、绿小球各一个,除颜色外无其他差别,随机摸出一个小球后,放回并摇匀,再随机摸出一个,两次都摸到红球的概率为 ( )A.B.C.12231315()181413123211()42562592512252312131D.8. 小明利用计算器进行模拟实验:“从,,,,,六个数中随机弹出一个数字.”将实验中获得的数据做了记录,并统计了某一实验结果出现的频率,绘制了如图所示的统计图,则符合这一结果的实验可能是( )A.弹出数字的概率B.弹出奇数数字的概率C.弹出的数字不小于的概率D.弹出的数字是的倍数的概率二、 填空题 (本题共计 4 小题 ,每题 5 分 ,共计20分 )9. 为了防止输入性“新冠肺炎”,某医院成立隔离治疗防控小组,决定从甲、乙、丙位骨干医师中抽调人组成.则甲被抽调到防控小组的概率是________.10. 从,,,这四个数字中任取个数,取得的个数中不含的概率是________.11. 一个等腰三角形的周长为,其中一边长为,另外两边的长是________.12. 从、两个数中随机选取一个数记为,再从、、三个数中随机选取一个数记为,则、的取值使得直线不经过第二象限的概率是________.三、 解答题 (本题共计 4 小题 ,每题 10 分 ,共计40分 )13. 为了响应市政府号召,某校开展了“预防新型冠状病毒”活动周,活动周设置了“:保持个人卫生,:养成安全的饮食习惯,:避免与表现出呼吸道疾病的人接触,:不随地吐痰”四个主题,每个学生选一个主题参与讨论.为了解活动开展情况,学校随机抽取了部分学生进行调查,并根据这些学生选择主题的情况绘制了如下条形统计图和扇形统计图.1412345633332012333228cm 8cm 1−2a −103b a b y =ax+b A B C D本次随机调查的学生人数是________人,并补全条形统计图;在扇形统计图中,“”所在扇形的圆心角等于________度;小明和小华两名同学准备从中各自随机参加一个主题讨论,请用画树状图或列表的方式求他们恰好选中同一个主题的概率. 14. 中秋节期间,某商场为了吸引顾客,开展有奖促销活动,设立了一个可以自由转动的转盘,转盘被分成个面积相等的扇形,四个扇形区域里分别标有“元”“元”“元”“元”的字样(如图).规定:同一日内,顾客在本商场每消费满元就可以转动转盘一次,商场根据转盘指针指向区域所标金额返还相应数额的购物券.某顾客当天消费元,转了两次转盘.该顾客最少可得________元购物券,最多可得________元购物券;请用画树状图或列表的方法,求该顾客所获购物券金额不低于元的概率.15. 年冬奥会吉祥物为“冰墩墩”,冬残奥会吉祥物为“雪容融”,如图,现有三张正面印有吉祥物的不透明卡片,卡片除正面图案不同外,其余均相同,其中两张正面印有冰墩墩图案的卡片分别记为,,正面印有雪容融图案的卡片记为,将三张卡片正面向下洗匀,小明同学从中随机抽取一张卡片,记下图案后正面向下放回,洗匀后再从中随机抽取一张卡片.从这三张卡片中随机挑选一张,是“冰墩墩”的概率是________;请用画树状图或列表的方法,求小明同学抽出的两张卡片都是冰墩墩卡片的概率.16. 延迟开学期间,学校为了全面分析学生的网课学习情况,进行了一次抽样调查(把学习情况分为三个层次,:能主动完成老师布置的作业并合理安排课外时间自主学习;:只完成老师布置的作业;:不完成老师的作业),并将调查结果绘制成图和图的统计图(不完整).请根据图中提供的信息,解答下列问题:(1)(2)B (3)410203040100240(1)(2)502022A 1A 2B (1)(2)A B C 12(1)此次抽样调查中,共调查了________名学生;(2)将条形图补充完整;(3)求出图中所占的圆心角的度数;(4)如果学校开学后对层次的学生奖励一次看电影,根据抽样调查结果,请你估计该校名学生中大约有多少名学生能获得奖励?2C A 1500参考答案与试题解析2022-2023学年全国初中八年级下数学人教版同步练习一、 选择题 (本题共计 8 小题 ,每题 5 分 ,共计40分 )1.【答案】B【考点】列表法与树状图法【解析】首先根据题意画出树状图,由树状图求得所有等可能的结果与两次都摸到黄球的情况,然后利用概率公式求解即可求得答案.注意此题属于放回实验.【解答】解:画树状图如下:由树状图可知,共有种等可能结果,其中两次都摸到黄球的有种结果,∴两次都摸到黄球的概率为.故选.2.【答案】B【考点】概率公式【解析】9449B【解答】解:∵共有个乒乓球,红色球有个,∴随机摸出一个球是红色的概率是.故选.3.【答案】B【考点】列表法与树状图法【解析】画树状图展示所有种等可能的结果数,再找出两次都摸到红球的结果数,然后根据概率公式求解.【解答】解:由题意,画树状图如下:共有种等可能的结果,其中两次都摸到绿球有种等可能的结果,,所以随机摸出一个,两次都摸到绿球的概率.故选.4.【答案】D【考点】概率公式概率的意义【解析】略【解答】62=2613B 12122P ==21216B ÷5=1解:恰好选数学学科的概率是.故选.5.【答案】D【考点】列表法与树状图法概率公式【解析】【解答】解:如图,共有种等可能的情况数,其中一枚硬币正面向上、一枚硬币反面向上的情况有种,故所求概率为:.故选.6.【答案】D【考点】列表法与树状图法概率公式【解析】列举出所有情况,看摸出的两个球恰好是个红球和1个白球的情况数占总情况数的多少即可.【解答】解:设三个白球记作,两个红球记作,则从中随机摸出一个球,记下颜色后放回,再从中随机摸出一个球,1÷5=15D 42=2412D 1a ,b ,c e ,f共有种,其中摸出的两个球恰好是个红球和个白球的情况有种,故所求的概率为.故选7.【答案】D【考点】列表法与树状图法【解析】【解答】解:两次摸球的所有的可能性树状图如下:∴两次都是红球.8.【答案】D【考点】概率公式【解析】由统计图得出对应概率,再结合选项逐项验证即可.【解答】解:由所绘统计图可知概率约为,,弹出数字的概率为,故错误;aa ,ab ,ac ,ae ,af ,ba ,bb ,bc ,be ,bf ,ca ,cb ,cc ,ce ,cf ,ea ,eb ,ec ,ee ,ef ,fa ,fb ,fc ,2511121225D.P =1413A 3161,弹出奇数数字的概率为,故错误;,弹出的数字不小于的概率为,故错误;,弹出的数字是的倍数的概率为,故正确.故选.二、 填空题 (本题共计 4 小题 ,每题 5 分 ,共计20分 )9.【答案】【考点】列表法与树状图法概率公式【解析】根据条件,列出树状图,即可得到所有可能和满足条件的可能个数,从而得到答案.【解答】解:位骨干医师分别为甲、乙、丙,画树状图如图:共有个等可能的结果,其中甲一定会被抽调到防控小组的结果有个,∴甲一定会被抽调到防控小组的概率.故答案为:.10.【答案】【考点】概率公式【解析】B 12C 323D 313D 23364==46232314此题暂无解析【解答】解:从,,,这四个数字中任取个数,有,,;,,;,,;,,四种等可能的结果数,其中取得的个数中不含的结果有种,所以取得的个数中不含的概率是,故答案为:.11.【答案】、或、【考点】等腰三角形的性质三角形三边关系【解析】已知条件中,没有明确说明已知的边长是腰长还是底边长,所以有两种情况讨论,还应判定每一种情况能否组成三角形.【解答】②腰长为,则底边长为:=,底边长为,另一个腰长为,能构成三角形.因此另两边长为、或、.答:这个等腰三角形的其它两边的长为、或、.故答案为:、或、.12.【答案】【考点】列表法与树状图法概率公式【解析】画树状图,由树状图知,共有种等可能的结果,其中若使得直线不经过第二象限的结果数为,利用概率公式求解即可.0123301201302312332132141410cm 10cm 12cm 8cm8cm 28−8×21212cm 8cm 10cm 10cm 12cm 8cm 10cm 10cm 12cm 8cm 10cm 10cm 12cm 8cm 136y =ax+b 2【解答】解:画树状图如下:由树状图知,共有种等可能的结果,其中若使得直线不经过第二象限,则,结果数为,∴使得直线不经过第二象限的概率为.故答案为:.三、 解答题 (本题共计 4 小题 ,每题 10 分 ,共计40分 )13.【答案】画树状图如图所示:共有个等可能的结果,小明和小华恰好选中同一个主题活动的结果有个,∴小明和小华恰好选中同一个主题活动的概率.【考点】列表法与树状图法条形统计图扇形统计图【解析】此题暂无解析【解答】解:本次随机调查的学生人数人,故答案为:.(人),补全条形统计图如图所示:6y =ax+b a >0b ≤02y =ax+b =26131360108(3)164==41614(1)=15÷25%=606060−15−18−9=18在扇形统计图中,“”所在扇形的圆心角.故答案为:.画树状图如图所示:共有个等可能的结果,小明和小华恰好选中同一个主题活动的结果有个,∴小明和小华恰好选中同一个主题活动的概率.14.【答案】,∵共有种等可能的结果数,该顾客所获购物券金额不低于元的结果数为,所以该顾客所获购物券金额不低于元的概率.【考点】列表法与树状图法概率公式【解析】(1)该顾客最多可得个元购物券;(2)画出树状图展示所有种等可能的结果数,找出该顾客所获购物券金额不低于元的结果数,然后根据概率公式求解.【解答】解:画树状图得:则该顾客最少可得元购物券,最多可得元购物券.(2)B =×=360∘1860108∘108(3)164==416142080(2)16501050P ==101658230640(1)2080故答案为:;;∵共有种等可能的结果数,该顾客所获购物券金额不低于元的结果数为,所以该顾客所获购物券金额不低于元的概率.15.【答案】画树状图如图,共有个等可能的结果,小明同学抽出的两张卡片都是“冰墩墩”卡片的结果有个,所以小明同学抽出的两张卡片都是“冰墩墩”卡片的概率为.【考点】概率公式列表法与树状图法【解析】从这三张卡片中随机挑选一张,共有三种情况,是“冰墩墩”有两种情况,利用概率公式求解即可;画出树状图,共有个等可能的结果,小明同学抽出的两张卡片都是冰墩墩卡片的结果有个,再由概率公式求解即可.【解答】解:∵正面印有“冰墩墩”图案的卡片分别记为,,正面印有“雪容融”图案的卡片记为,从这三张卡片中随机挑选一张,共有种情况,是“冰墩墩”有种情况,∴是“冰墩墩”的概率为.故答案为:.画树状图如图,共有个等可能的结果,小明同学抽出的两张卡片都是“冰墩墩”卡片的结果有个,2080(2)16501050P ==10165823(2)94P =49(1)(2)94(1)A 1A 2B 322323(2)944所以小明同学抽出的两张卡片都是“冰墩墩”卡片的概率为.16.【答案】人数:=(人).条形统计图如图所示:所占圆心角度数==.=(人).答:该校学生中大约有名学生能获得奖励.【考点】条形统计图扇形统计图用样本估计总体【解析】(1)通过对比条形统计图和扇形统计图可知:学习态度层级为的有人,占调查学生的,即可求得总人数;(2)由(1)可知:人数为:=人,将图①补充完整即可;(3)各个扇形的圆心角的度数=该部分占总体的百分比,所以可以求出:=;(4)从扇形统计图可知,层次的学生数占得百分比为,再估计该市近名初中生中能获得奖励学生数就很容易了.【解答】=(人)答:共调查了名学生,故答案为:;人数:=(人).条形统计图如图所示:P =49200C 200−120−5030C ×(1−25%−60%)360∘54∘1500×25%375375A 5025%C 200−120−5030×360∘×(1−25%−60%)360∘54∘A 25%150050÷25%200200200C 200−120−5030所占圆心角度数==.=(人).答:该校学生中大约有名学生能获得奖励.C ×(1−25%−60%)360∘54∘1500×25%375375。
2022-2023学年全国初中八年级下数学人教版同步练习考试总分:33 分 考试时间: 120 分钟学校:__________ 班级:__________ 姓名:__________ 考号:__________一、 选择题 (本题共计 2 小题 ,每题 3 分 ,共计6分 )1. 如图,正方形的对角线是菱形的一边,菱形的对角线交正方形的一边于点,的度数是( )A.B.C.D.2. 如图,在正方形的两条对称轴、上找点,使得、、、均为等腰三角形,则满足条件的点 个.A.B.C.D.二、 填空题 (本题共计 2 小题 ,每题 3 分 ,共计6分 )3. 已知对角线长为的正方形的面积为________.4. 如图,是正方形内的一点,且是等边三角形,则的度数为________.ABCD BD BEFD BEFD ABCD CD P ∠FPC 135∘120∘67.5∘112.5∘ABCD m n P △PAB △PBC △PCD △PDA P()109152P ABCD △PAB ∠PDC三、 解答题 (本题共计 7 小题 ,每题 3 分 ,共计21分 )5. 如图,求证:6. 已知四边形中,,对角线平分,点为上一点,且.如图,求证;如图,连接,交于点,求证:;如图,若点为线段上一点,连结,若,,,求的值.7. 正方形的边长为,点在边的延长线上,连接交边于点,若,求的长.8. 如图,是的高,,,.求的长.DE =CE ,AD =BC,∠D =∠C.△AED ≅△BFC.ABCD AB =AD AC ∠DAB F AB CF =CB (1)1CD =CF (2)2DF AC G △DGC ∼△ADC (3)3H DG AH ∠ADC =2∠HAG AD =5DC =3FG GH ABCD 3E CD BE AD F DE =1BF AC △ABD ∠D =45∘∠B =60∘AC =3–√BD9. 已知:如图,点、分别是等边的两边、上的点,且,求证:.10. 如图,已知四边形为正方形,点为对角线上的一动点,连接,过点作,交于点,以,为邻边作矩形,连接.求证:矩形是正方形;判断,与之间的数量关系,并给出证明.11.如图,正方形中,点为线段上一个动点,若线段垂直于点,交线段于点,交线段于点,证明:;①如图,正方形中,点为线段上一动点,若线段垂直平分线段,分别交,,,于点,,,.求证:;②若正方形的边长为,求线段的最大值与最小值.D E △ABC AB AC AD =CE CD =BE ABCD E AC DE E EF ⊥DE BC F DE EF DEFG CG (1)DEFG (2)CE CG AB (1)1ABCD P BC MN AP E AB M CD N AP =MN (2)2ABCD P BC MN AP AB AP BD DC M E F N EF =ME+FN ABCD 2EF参考答案与试题解析2022-2023学年全国初中八年级下数学人教版同步练习一、 选择题 (本题共计 2 小题 ,每题 3 分 ,共计6分 )1.【答案】D【考点】正方形的性质菱形的性质【解析】先根据正方形的性质求出=,再根据角平分线的定义得出,然后由外角的性质即可得出结果.【解答】解:∵四边形是正方形,∴,,∵四边形是菱形,∴,∴.故选2.【答案】B【考点】正方形的性质等腰三角形的判定【解析】根据题意得出有三种情况①正方形对角线交点,②画出图形,结合图形得出结论,③和②类似得出符合条件的四个点,即可得出答案.∠DBC 45∘∠EBF ABCD ∠ABC =∠BCD =90∘∠DBC =∠ABD =45∘BEFD ∠EBF =∠DBC =1222.5∘∠FPC=∠BCD+∠EBF =+∠=90∘22.5∘112.5∘D.点有处,如图,以正方形的各边为边向正方形的内或外作等边三角形,则这些等边三角形的顶点为所作的点,还有正方形的对角线的交点也满足条件.二、 填空题 (本题共计 2 小题 ,每题 3 分 ,共计6分 )3.【答案】【考点】正方形的性质【解析】因为正方形是特殊的菱形,利用菱形的面积公式求解即可.【解答】解:∵四边形是正方形,且两条对角线的长都是,∴.故答案为:.4.【答案】【考点】正方形的性质等边三角形的性质P 9P 22S =×2×2=212215∘先根据已知求得,再证明,进而求出的度数.【解答】解:∵四边形是正方形,∴,.∵是等边三角形,∴,.∴,,∴,.故答案为:.三、 解答题 (本题共计 7 小题 ,每题 3 分 ,共计21分 )5.【答案】证明:∵,∴,∵,∴【考点】全等三角形的性质【解析】此题暂无解析【解答】证明:∵,∴,∵,∴6.【答案】解:∵对角线平分,∴.在和中,∴,∴.∵,∠DAP =30∘AB =AD =AP ∠DPA ABCD AD =AB ∠DAB =∠CBA =90∘△PAB ∠PAB =∠PBA =60∘PA =PB =AB ∠DAP =∠CBP =30∘AP =AD ∠ADP ==−180∘30∘275∘∴∠PDC =∠ADC −∠ADP =−=90∘75∘15∘15∘DF =CE DE =CF AD =BC,∠D =∠C △AED ≅△BFC.△AED ≅△BFC.DF =CE DE =CF AD =BC,∠D =∠C △AED ≅△BFC.△AED ≅△BFC.(1)AC ∠DAB ∠CAD =∠CAB △CAD △CAB AD =AB,∠CAD =∠CAB,AC =AC,△CAD ≅△CAB(SAS)CD =CB CB =CF∴.∵,∴,,,四点共圆,∴,∴ .∵为公共角,∴.∵ ,∴.∵,∴.∵是的外角,∴,∴,∴为等腰三角形,∴.∵,,∴,∴,∴ .【考点】四边形综合题全等三角形的判定全等三角形的性质相似三角形的判定四点共圆等腰三角形的性质与判定相似三角形的性质三角形的外角性质【解析】此题暂无解析【解答】解:∵对角线平分,∴.在和中,∴,CD =CF (2)∠CAD =∠CAB A D C F ∠CDG =∠CAB ∠CDG =∠CAD ∠DCG △DGC ∽△ADC (3)△DGC ∼△ADC ∠ADC =∠CGD ∠ADC =2∠HAG ∠CGD =2∠HAG ∠CGD △AGH ∠CGD =∠HAG+∠AHG ∠AHG =∠HAG △AGH GH =GA ∠AGF =∠CGD =∠ADC ∠CAD =∠CAB △ADC ∽△AGF =FG GA DC AD ===FG GH FG GA DC AD 35(1)AC ∠DAB ∠CAD =∠CAB △CAD △CAB AD =AB,∠CAD =∠CAB,AC =AC,△CAD ≅△CAB(SAS)∴.∵,∴.∵,∴,,,四点共圆,∴,∴ .∵为公共角,∴.∵ ,∴.∵,∴.∵是的外角,∴,∴,∴为等腰三角形,∴.∵,,∴,∴,∴ .7.【答案】解:∵四边形为正方形,∴,.在中,,由勾股定理得.∵,∴ ∴.∴∴【考点】正方形的性质【解析】此题暂无解析【解答】解:∵四边形为正方形,∴,.CD =CB CB =CF CD =CF (2)∠CAD =∠CAB A D C F ∠CDG =∠CAB ∠CDG =∠CAD ∠DCG △DGC ∽△ADC (3)△DGC ∼△ADC ∠ADC =∠CGD ∠ADC =2∠HAG ∠CGD =2∠HAG ∠CGD △AGH ∠CGD =∠HAG+∠AHG ∠AHG =∠HAG △AGH GH =GA ∠AGF =∠CGD =∠ADC ∠CAD =∠CAB △ADC ∽△AGF =FG GA DC AD ===FG GH FG GA DC AD 35ABCD ∠A =∠ADE =∠C =90∘BC =CD =AB =3Rt △BCE BC =3,CE =4BE =5∠AFB =∠EFD △ABF ∽△DEF.=BF FE AB DE =3BF =3EF BF =BE =.34154ABCD ∠A =∠ADE =∠C =90∘BC =CD =AB =3在中,,由勾股定理得.∵,∴ ∴.∴∴8.【答案】解:,,又,,.是的高,,又,,,.【考点】锐角三角函数的定义解直角三角形【解析】左侧图片未给出解析【解答】解:,,又,,.是的高,,又,,,.9.Rt △BCE BC =3,CE =4BE =5∠AFB =∠EFD △ABF ∽△DEF.=BF FE AB DE =3BF =3EF BF =BE =.34154∵∠B =60∘∴tan =tanB ==60∘AC BC 3–√∵AC =3–√∴=3–√BC 3–√∴BC =1∵AD △ABD ∴∠ACD =90∘∵∠D =45∘∴∠CAD =45∘∴AC =CD =3–√∴BD =BC +CD =1+3–√∵∠B =60∘∴tan =tanB ==60∘AC BC 3–√∵AC =3–√∴=3–√BC 3–√∴BC =1∵AD △ABD ∴∠ACD =90∘∵∠D =45∘∴∠CAD =45∘∴AC =CD =3–√∴BD =BC +CD =1+3–√【答案】证明:∵为等边三角形,∴,,在和中,,∴,∴.【考点】全等三角形的性质等边三角形的判定方法【解析】根据等边三角形的性质,结合条件可证明,可得.【解答】证明:∵为等边三角形,∴,,在和中,,∴,∴.10.【答案】证明:如图,作,,∴,∵点是正方形对角线上的点,∴,∵,∴,在和中,∴,△ABC AC =BC ∠A =∠ACB =60∘△ADC △CEB AD =CE∠A =∠ECB AC =BC△ADC ≅△CEB(SAS)CD =BE △ADC ≅△CEBCD =BE △ABC AC =BC ∠A =∠ACB =60∘△ADC △CEB AD =CE∠A =∠ECB AC =BC△ADC ≅△CEB(SAS)CD =BE (1)EM ⊥BC EN ⊥CD ∠MEN =90∘E ABCD EM =EN ∠DEF =90∘∠DEN =∠MEF △DEN △FEM ∠DNE =∠FME ,EN =EM ,∠DEN =∠FEM ,△DEN ≅△FEM∴,∵四边形是矩形,∴矩形是正方形.解:,理由如下:∵正方形和正方形,∴,,∵,∴,∴,∴.∴.【考点】全等三角形的性质与判定正方形的判定与性质【解析】(1)作出辅助线,得到,然后判断,得到,则有即可;(2)同(1)的方法判断出得到,即:;【解答】证明:如图,作,,∴,∵点是正方形对角线上的点,∴,∵,∴,在和中,∴,∴,∵四边形是矩形,∴矩形是正方形.解:,理由如下:∵正方形和正方形,∴,,∵,∴,∴,EF =DE DEFG DEFG (2)CE+CG =AB 2–√DEFG ABCD DE =DG AD =DC ∠CDG+∠CDE =∠ADE+∠CDE =90∘∠CDG =∠ADE △ADE ≅△CDG AE =CG CE+CG =CE+AE =AC =AB 2–√EN =EM ∠DEN =∠FEM △DEM ≅△FEM DE =EF △ADE ≅△CDG CG =AE CE+CG =CE+AE =AC =4(1)EM ⊥BC EN ⊥CD ∠MEN =90∘E ABCD EM =EN ∠DEF =90∘∠DEN =∠MEF △DEN △FEM ∠DNE =∠FME ,EN =EM ,∠DEN =∠FEM ,△DEN ≅△FEM EF =DE DEFG DEFG (2)CE+CG =AB 2–√DEFG ABCD DE =DG AD =DC ∠CDG+∠CDE =∠ADE+∠CDE =90∘∠CDG =∠ADE △ADE ≅△CDG∴.∴.11.【答案】证明:如图,过点作交于,∵,∴四边形为平行四边形,∴.∵四边形是正方形,∴,,∴,∴,∴,∴,∴.①证明:如图,连接,,.∵正方形是轴对称图形,为对角线上一点,∴,又∵垂直平分,∴,∴,∴,∵,∴,∴,∴,∴,∴,由知,,∴,∴;②由①有,,∵,∴,∵,是正方形的对角线,∴,AE =CG CE+CG =CE+AE =AC =AB 2–√(1)1B BH//MN CD H BM//NH MBHN MN =BH ABCD AB =BC ∠ABP ==∠C 90∘∠CBH+∠ABH =∠BAP +∠ABH =90∘∠BAP =∠CBH △ABP ≅△BCH(ASA)BH =AP MN =AP (2)2FA FP FC ABCD F BD FA =FC FE AP FA =FP FP =FC ∠FPC =∠FCP ∠FAB =∠FCP ∠FAB =∠FPC ∠FAB+∠FPB =180∘∠ABC +∠AFP =180∘∠AFP =90∘FE =AP 12(1)AP =MN MN =ME+EF +FN =AP =2EF EF =ME+FN EF =ME+FN MN =EF +ME+NF EF =MN 12AC BD BD =22–√MN =AB =111当点和点重合时,最小值,当点和重合时,最大值.【考点】正方形的性质全等三角形的性质与判定勾股定理【解析】()先判断出,再根据从而得到;(2)先判断出,代换即可得到结论;【解答】证明:如图,过点作交于,∵,∴四边形为平行四边形,∴.∵四边形是正方形,∴,,∴,∴,∴,∴,∴.①证明:如图,连接,,.∵正方形是轴对称图形,为对角线上一点,∴,又∵垂直平分,∴,∴,∴,∵,P B EF =MN =AB =11212P C EF =MN =BD =12122–√1BH =MN BH =AP AP =MN FE =AP 12(1)1B BH//MN CD H BM//NH MBHN MN =BH ABCD AB =BC ∠ABP ==∠C 90∘∠CBH+∠ABH =∠BAP +∠ABH =90∘∠BAP =∠CBH △ABP ≅△BCH(ASA)BH =AP MN =AP (2)2FA FP FC ABCD F BD FA =FC FE AP FA =FP FP =FC ∠FPC =∠FCP ∠FAB =∠FCP∴,∴,∴,∴,∴,由知,,∴,∴;②由①有,,∵,∴,∵,是正方形的对角线,∴,当点和点重合时,最小值,当点和重合时,最大值.∠FAB =∠FPC ∠FAB+∠FPB =180∘∠ABC +∠AFP =180∘∠AFP =90∘FE =AP 12(1)AP =MN MN =ME+EF +FN =AP =2EF EF =ME+FN EF =ME+FN MN =EF +ME+NF EF =MN12AC BD BD =22–√P B EF =MN =AB =11212P C EF =MN =BD =12122–√。
2022-2023学年全国初中八年级下数学人教版同步练习考试总分:100 分 考试时间: 120 分钟学校:__________ 班级:__________ 姓名:__________ 考号:__________一、 选择题 (本题共计 8 小题 ,每题 5 分 ,共计40分 )1. 如果,那么代数式 的值是( )A.B.C.D.2. 当时,二次根式的值为( )A.B.C.D.3. 若式子在实数范围内有意义,则的取值范围是A.B.C.D.4. 下列运算正确的是( )A.B.C.D.5. 下列式子是二次根式的有( )|a +2|+=0(b −1)2(a +b)20211−1±12021x =−210−3x −−−−−−√1±44±1x−1−−−−−√2x ()x >1x <1x ≥1x ≤1=6(3)2–√2=2−(−2)3–√2−−−−−−−−√3–√=3−2(−)3–√2–√2(4+2)(4−2)=103–√3–√5. 下列式子是二次根式的有( )①,②,③,④.A.B.C.D.6. 如果代数式有意义,那么的取值范围是( )A.B.C.D.7. 下列计算正确的是 ( )A.B.C.D.8. 下列各式中,是二次根式的是( )A.B.C.D.二、 填空题 (本题共计 4 小题 ,每题 5 分 ,共计20分 )9. 观察下列各式:,,,,请用你发现的规律写出第个式子是________.10. 是整数,则最小的正整数的值是________.11. 若实数,满足,则的值为________.−5−−−√4–√a 2−−√3–√1234x−1−−−−−√x x >1x <1x ≥1x ≤1=±24–√=−3(−3)2−−−−−√=24–√3−=8–√2–√2–√−62−−−√2–√3+a 2b 2−−−−−−√(a >0)−a−−−√(1)=21+13−−−−−√13−−√(2)=32+14−−−−−√14−−√(3)=43+15−−−−−√15−−√⋯n 45a−−−√a x y y x11. 若实数,满足,则的值为________.12. 若是整数,则正整数的最小值是________.三、 解答题 (本题共计 4 小题 ,每题 10 分 ,共计40分 )13. 如图,实数,在数轴上的位置,化简.14. 若是整数,求正整数的最小值. 15. 要使下列各式有意义,应是怎样的实数?(1)(2)(3)(4) 16. 计算.;.x y y x 24n−−−√n a b −−a 2−−√b 2−−√(a −b)2−−−−−−√20n−−−√n x x−5−−−−−√2x+5−−−−−√1−3x−−−−−√+2x 2−−−−−√(1)−×+40−−√5–√5–√24−−√12−−√(2)−++÷()8–√12−−√(−1)3–√26–√122–√参考答案与试题解析2022-2023学年全国初中八年级下数学人教版同步练习一、 选择题 (本题共计 8 小题 ,每题 5 分 ,共计40分 )1.【答案】B【考点】非负数的性质:绝对值非负数的性质:偶次方列代数式求值【解析】由非负数的性质求得,的数值,进一步代入代数式求得答案即可.【解答】解:∵,,,解得:,,∴.故选.2.【答案】C【考点】二次根式的定义及识别【解析】把代入计算即可.【解答】解:当时,原式a b |a +2|+=0(b −1)2a +2=0b −1=0a =−2b =1==−1(a +b)2021(−2+1)2021B x =−2x =−2=10−3×(−2)−−−−−−−−−−−√=−−√,,故选.3.【答案】C【考点】二次根式有意义的条件【解析】根据被开方数大于等于列式计算即可得解.【解答】解:由题意得,,解得.故选.4.【答案】B【考点】二次根式的性质与化简【解析】直接利用二次根式的性质分别化简得出答案.【解答】解:, ,故该选项错误;, ,故该选项正确;, ,故该选项错误;,,故该选项错误.故选.5.【答案】C【考点】=16−−√=4C 0x−1≥0x ≥1C A =×2=18(3)2–√232B =2−(−2)3–√2−−−−−−−−√3–√C =3+2−2=5−2(−)3–√2–√26–√6–√D (4+2)(4−2)=−(2=16−12=43–√3–√423–√)2B二次根式的定义及识别【解析】根据二次根式的定义:形如的形式的式子,即可作出判断.【解答】解:是二次根式的是②③④.故选.6.【答案】C【考点】二次根式有意义的条件【解析】根据被开方数大于等于,即可得解.【解答】解:由题意得, ,即.故选.7.【答案】D【考点】二次根式的性质与化简【解析】【解答】解:,,故该选项错误;,,故该选项错误;,无法化简,故该选项错误;,,故该选项正确.故选.8.(a ≥0)a −√C 0x−1≥0x ≥1C A =24–√B ==3(−3)2−−−−−√9–√C 4–√3D −=2−=8–√2–√2–√2–√2–√DC【考点】二次根式的定义及识别【解析】根据二次根式的定义(其中),即可作出判断.【解答】解:、,本选项错误;、是三次根式,本选项错误;、是二次根式,本选项正确;、,则,故不是二次根式,本选项错误.故选.二、 填空题 (本题共计 4 小题 ,每题 5 分 ,共计20分 )9.【答案】【考点】规律型:数字的变化类二次根式的性质与化简【解析】观察所给的等式易得第个等式应为:(为正整数).【解答】解:观察所给的式子易得第个式子应为:.故答案为:.10.【答案】a −√a ≥0A −62<0B C D a >0−a <0C =(n+1)n+1n+2−−−−−−−−√1n+2−−−−−√n =(n+1)n+1n+2−−−−−−−−√1n+2−−−−−√n n =(n+1)n+1n+2−−−−−−−−√1n+2−−−−−√=(n+1)n+1n+2−−−−−−−−√1n+2−−−−−√5二次根式的定义及识别【解析】由于=,要使其为整数,则必能被开得尽方,所以满足条件的最小正整数为.【解答】=,若为整数,则必能被开方,所以满足条件的最小正整数为.11.【答案】【考点】二次根式有意义的条件【解析】此题暂无解析【解答】此题暂无解答12.【答案】【考点】二次根式的性质与化简【解析】先化简为,使成平方的形式,才能使是整数,据此解答.【解答】解:∵,是整数,∴正整数的最小值是.故答案为:.三、 解答题 (本题共计 4 小题 ,每题 10 分 ,共计40分 )45a 5×3×3×a a 545a 5×3×3×a a 52624n −−−√26n −−√6n 24n −−−√=224n −−−√6n −−√24n −−−√n 6613.【答案】解:由数轴知,,且,∴,∴,,.【考点】二次根式的性质与化简在数轴上表示实数【解析】本题综合性较强,不仅要结合图形,还需要熟悉算术平方根的定义.【解答】解:由数轴知,,且,∴,∴,,.14.【答案】解:若是整数,,的最小正整数是.【考点】二次根式的定义及识别【解析】根据二次根式化简成整式,可得被开方数能化成平方的形式,可得答案.【解答】解:若是整数,,的最小正整数是.15.a <0b >0a −b <0−−a 2−−√b 2−−√(a −b)2−−−−−−√=|a|−|b|+(a −b)=−a −b +a −b =−2b a <0b >0a −b <0−−a 2−−√b 2−−√(a −b)2−−−−−−√=|a|−|b|+(a −b)=−a −b +a −b =−2b 20n −−−√==1020n −−−√20×5−−−−−√n 520n −−−√==1020n −−−√20×5−−−−−√n 5【答案】,二次根式有意义,则,解得:;,二次根式有意义,则,解得:;二次根式有意义,则,解得:;二次根式有意义,∵,∴为任意实数.【考点】二次根式有意义的条件【解析】(1)直接利用二次根式有意义则根号下部分大于等于,进而得出答案;(2)直接利用二次根式有意义则根号下部分大于等于,进而得出答案;(3)直接利用二次根式有意义则根号下部分大于等于,进而得出答案;(4)直接利用二次根式有意义则根号下部分大于等于,进而得出答案.【解答】,二次根式有意义,则,解得:;,二次根式有意义,则,解得:;二次根式有意义,则,解得:;二次根式有意义,∵,∴为任意实数.16.【答案】解:原式.原式.【考点】二次根式的混合运算二次根式的性质与化简x−5−−−−−√x−5≥0x ≥52x+5−−−−−√2x+5≥0x ≥−521−3x −−−−−√1−3x ≥0x ≤13+2x 2−−−−−√+5>0x 2x 0000x−5−−−−−√x−5≥0x ≥52x+5−−−−−√2x+5≥0x ≥−521−3x −−−−−√1−3x ≥0x ≤13+2x 2−−−−−√+5>0x 2x (1)=+1−2×8–√6–√2–√2=2+1−22–√3–√(2)=2−+4−2+22–√122–√3–√3–√=+4322–√【解析】此题暂无解析【解答】解:原式.原式.(1)=+1−2×8–√6–√2–√2=2+1−22–√3–√(2)=2−+4−2+22–√122–√3–√3–√=+4322–√。
2022-2023学年全国初中八年级下数学人教版同步练习考试总分:100 分 考试时间: 120 分钟学校:__________ 班级:__________ 姓名:__________ 考号:__________一、 选择题 (本题共计 8 小题 ,每题 5 分 ,共计40分 )1. 点关于原点对称的点为 A.B.C.D.2. 点关于轴对称的点的坐标为( )A.B.C.D.3. 线段是由线段平移得到的.点的对应点为,则点的对应点的坐标为( )A.B.C.D.4. 如图所示,在平面直角坐标系中,原点恰好是▱对角线的交点,若点的坐标为,则点的坐标为A.(−5,7)()(5,−7)(−5,−7)(5,7)(−5,7)A(a,b)x A'(a,−b)(−a,b)(−a,−b)(b,a)CD AB A(−1,4)C(4,7)B(−4,−1)D (2,9)(5,3)(1,2)(−9,−4)O ABCD A (2,3)C ( )(−3,−2)B.C.D.5. 如图,与关于轴对称,已知,,,则点的坐标为( )A.B.C.D.6. 将点向左平移个长度单位,再向上平移个长度单位得到点,则点的坐标是( )A.B.C.D.7. 若点与点关于原点对称,则( )A.,B.,C.,D.,8. 在平面直角坐标系中,点的坐标 ,它到轴的距离为( )A.B.(−2,3)(−2,−3)(2,−3)△ABC △DEF y A(−4,6)B(−6,2)E(2,1)D (−4,6)(4,6)(−2,1)(6,2)P(−2,−3)32Q Q (1,−3)(−2,1)(−5,−1)(−5,−5)A(x,3)B(2,y)x =−2y =−3x =2y =3x =−2y =3x =2y =−3A (−2,3)x −3−2C.D.二、 填空题 (本题共计 4 小题 ,每题 5 分 ,共计20分 )9. 点向上平移个单位长度后得到的点坐标为________.10. 坐标平面内,点关于直线对称的对应点的坐标是________.11. 点与点关于原点对称,则的值为________.12. 如果点关于轴的对称点的坐标是,那么点关于原点的对称点的坐标是________.三、 解答题 (本题共计 4 小题 ,每题 10 分 ,共计40分 )13.如图所示,把向上平移个单位长度,再向右平移个单位长度,得到.在图中画出;写出的坐标;求的面积.14. 在如图所示的正方形网格中,每个小正方形的边长为,格点三角形(顶点是网格线的交点的三角形)的顶点,的坐标分别为,.请在如图所示的网格平面内作出平面直角坐标系;23P(3,2)5Q A(−2,4)x =−1A(a −1,−5)B(−3,1−b)(a +b)2017P x P 1(−2,3)P P 2△ABC 32△A ′B ′C ′(1)△A ′B ′C ′(2),A ′B ′(3)△BC A ′1ABC A C (−4,5)(−1,3)(1)请在如图所示的网格平面内作出平面直角坐标系;请作出关于轴对称的;15. 在边长为的小正方形网格中, 的顶点均在格点上.点关于原点的对称点坐标为________;将向左平移个单位长度得到,请画出;的面积是________.16. 如图,在直角坐标系中,,,.在图中作出 关于轴对称的图形;写出点的坐标;求的面积.(1)(2)△ABC y △A'B'C'1△AOB (1)B (2)△AOB 4△A 1O 1B 1△A 1O 1B 1(3)△A 1O 1B 1A(−1,5)B(−3,0)C(−4,3)(1)△ABC y △A 1B 1C 1(2)C 1(3)△ABC参考答案与试题解析2022-2023学年全国初中八年级下数学人教版同步练习一、 选择题 (本题共计 8 小题 ,每题 5 分 ,共计40分 )1.【答案】A【考点】关于原点对称的点的坐标【解析】让两点的横纵坐标均互为相反数可得所求的坐标.【解答】解:点关于原点对称的点为.故选.2.【答案】A【考点】关于x 轴、y 轴对称的点的坐标【解析】根据关于轴的对称点的坐标特点即可求解.【解答】点关于轴对称的点的坐标为.3.【答案】C(−5,7)(5,−7)A x A(a,b)x A'(a,−b)【考点】坐标与图形变化-平移【解析】直接利用平移中点的变化规律求解即可.【解答】解:平移中,对应点的对应坐标的差相等,设的坐标为;根据题意:有;,解可得:,;故的坐标为.故选.4.【答案】C【考点】平行四边形的性质关于原点对称的点的坐标【解析】首先根据平行四边形性质和得出点与点关于原点对称,然后根据关于原点对称的两个点的坐标的关系即可求解【解答】解: ∵原点恰好是▱对角线的交点,∴点与点关于原点对称.又∵关于原点对称的两个点的坐标,横纵坐标互为相反数,点坐标为,∴点坐标为.故选.5.【答案】B【考点】关于x 轴、y 轴对称的点的坐标【解析】D (x,y)4−(−1)=x−(−4)7−4=y−(−1)x =1y =2D (1,2)C C A O ABCD C A A (2,3)C (−2,−3)C根据关于轴对称点的坐标特点:横坐标互为相反数,纵坐标不变.即点关于轴的对称点的坐标是,进而得出答案.【解答】∵与关于轴对称,,∴.6.【答案】C【考点】坐标与图形变化-平移【解析】根据向左平移横坐标减,向上平移纵坐标加求解即可.【解答】解:∵将点向左平移个长度单位,再向上平移个长度单位得到点,∴点的横坐标为,纵坐标为,∴的坐标为.故选.7.【答案】A【考点】关于原点对称的点的坐标【解析】根据“关于原点对称的点,横坐标与纵坐标都互为相反数”求解即可.【解答】解:∵点与点关于原点对称,∴,.故选.8.【答案】Dy P(x,y)y P'(−x,y)△ABC △DEF y A(−4,6)D(4,6)P(−2,−3)32Q Q −2−3=−5−3+2=−1Q (−5,−1)C A(x,3)B(2,y)x =−2y =−3A【考点】点的坐标【解析】此题暂无解析【解答】解:点到轴的距离为.故选.二、 填空题 (本题共计 4 小题 ,每题 5 分 ,共计20分 )9.【答案】【考点】坐标与图形变化-平移【解析】此题暂无解析【解答】解:坐标向上平移,横坐标不变,纵坐标加上平移距离,所以点向上平移个单位长度后得到的点坐标为.故答案为:.10.【答案】【考点】坐标与图形变化-对称【解析】根据题意画出图形,即可找到所求点的坐标.【解答】解:如图:点关于直线对称的对应点的坐标是.A(−2,3)x 3D (3,7)P (3,2)5Q (3,7)(3,7)(0,4)A(−2,4)x =−1(0,4)故答案为.11.【答案】【考点】关于原点对称的点的坐标【解析】根据“关于原点对称的点,横坐标与纵坐标都互为相反数”列方程求出、的值,然后代入代数式进行计算即可得解.【解答】解:∵点与点关于原点对称,∴,,解得,,所以,.故答案为:.12.【答案】【考点】关于原点对称的点的坐标关于x 轴、y 轴对称的点的坐标【解析】根据关于轴对称点的坐标特点:横坐标不变,纵坐标互为相反数可得点坐标,再根据两个点关于原点对称时,它们的坐标符号相反可得答案.【解答】解:∵点关于轴的对称点的坐标是,(0,4)0a b A(a −1,−5)B(−3,1−b)a −1=31−b =5a =4b =−4(a +b =(4−4=0)2017)20170(2,3)x P P x P 1(−2,3)∴,∴点关于原点的对称点的坐标是.故答案为:.三、 解答题 (本题共计 4 小题 ,每题 10 分 ,共计40分 )13.【答案】解:所作的如图所示.,.由图象可知的底边上的高为,.【考点】作图-平移变换三角形的面积坐标与图形变化-平移【解析】此题暂无解析【解答】解:所作的如图所示.P(−2,−3)P P 2(2,3)(2,3)(1)△A ′B ′C ′(2)(0,4)A ′(−1,1)B ′(3)△BC A ′BC 6∴=×4×6=12S △BC A ′12(1)△A ′B ′C ′,.由图象可知的底边上的高为,.14.【答案】解:易得轴在的右边一个单位,轴在的下方个单位,作出平面直角坐标系如图所示,如图,作出,,三点关于轴对称的三点,顺次连接,【考点】作图-轴对称变换坐标与图形变化-对称【解析】(1)易得轴在的右边一个单位,轴在的下方个单位;(2)(0,4)A ′(−1,1)B ′(3)△BC A ′BC 6∴=×4×6=12S △BC A ′12(1)y C x C 3(2)A B C y y C x C 3(2)作出,,三点关于轴对称的三点,顺次连接即可;【解答】解:易得轴在的右边一个单位,轴在的下方个单位,作出平面直角坐标系如图所示,如图,作出,,三点关于轴对称的三点,顺次连接,15.【答案】如图,即为所求:【考点】关于原点对称的点的坐标作图-平移变换三角形的面积【解析】A B C y (1)y C x C 3(2)A B C y (−3,−2)(2)△A 1O 1B 13.5根据关于原点的对称点的横,纵坐标互为相反数解答;根据网格结构找出点、、向左平移后的对应点、、的位置,然后顺次连接即可;利用正方形的面积减去周围多余三角形的面积可得答案.【解答】解:由图可知:点的坐标为.因为关于原点的对称点的横,纵坐标分别互为相反数,故点关于原点的对称点坐标为.故答案为:.如图,即为所求:的面积为:.故答案为:16.【答案】解:如图,为所求.∵点与点关于轴对称,∴.的面积.【考点】三角形的面积作图-轴对称变换(1)(2)A O B A 1O 1B 1(3)(1)B (3,2)B (−3,−2)(−3,−2)(2)△A 1O 1B 1(3)△A 1O 1B 1S=3×3−×3×112−×1×212−×2×312=3.53.5.(1)△A 1B 1C 1(2)C(−4,3)C 1y (4,3)C 1(3)△ABC =3×5−×3×1−12×3×2−×5×2=1212112关于x 轴、y 轴对称的点的坐标【解析】(1)、(2)利用关于轴对称的点的坐标特征写出、、的坐标,然后描点即可.(3)用一个矩形的面积减去三个三角形的面积计算的面积.【解答】解:如图,为所求.∵点与点关于轴对称,∴.的面积.y A 1B 1C 1△ABC (1)△A 1B 1C 1(2)C(−4,3)C 1y (4,3)C 1(3)△ABC =3×5−×3×1−12×3×2−×5×2=1212112。
2022-2023学年全国初中八年级下数学人教版同步练习考试总分:100 分 考试时间: 120 分钟学校:__________ 班级:__________ 姓名:__________ 考号:__________一、 选择题 (本题共计 8 小题 ,每题 5 分 ,共计40分 )1. 在一只不透明的口袋中放入红球个,黑球个,黄球个,这些球除颜色不同外,其他无任何差别.搅匀后从中随机摸出一个,摸出的球恰好是黄球的概率为,则放入口袋中的黄球的个数是( )A.B.C.D.2. 预习完分式方程的概念,小丽举出了以下方程,你认为不是分式方程的是 ( )A.B.C.D.3. 关于的方程无解,则的值为( )A.B.C.D.4. 甲、乙二人做某种机械零件,已知每小时甲比乙少做个,甲做个所用的时间与乙做个所用的时间相等,设甲每小时做个零件,下列方程正确的是( )A.54n 25n 6543+x =11x+=15x 34x 5=1x−14x=2−1x 2x−1x =2+3x−2x+1m x+1m −5−8−258120150x =120x 150x−8120150B.C.D. 5. 甲、乙两个工程队共同参与一项筑路工程,甲队单独施工需天完成.甲队先单独施工天,然后增加了乙队,两队又合做了天,总工程刚好全部完成.设乙队单独施工需天完成.根据题意可得方程( )A.B.C.D.6. 若关于的方程产生增根,则是( )A.B.C.D.7. 分式方程的解是( )A.=B.=C.=D.=8. 下列关于的方程中,是分式方程的是( )A.B.=120x+8150x =120x−8150x =120x 150x+8903015x +=1459015x +=1309015x +=1159030x +=1159045x x =x+1x−2m−1x−2m 1234=11x+2x 1x −1x 2x −2x −3=2+x 53+x6−−x a a b xb3−xx−1C.D.二、 填空题 (本题共计 4 小题 ,每题 5 分 ,共计20分 )9. 观察分析下列方程:①,②,③. 请利用它们所蕴含的规律,求关于的方程(为正整数)的根,你的答案是:________.10. 某车间计划在一定时间内生产套零配件,在生产中改进了技术,结果每天比原计划多生产套并提前天完成生产任务.设原计划每天生产套零配件,则可列方程为________.11. 某公司销售部人员人,销售部为了制定某种商品的月销售定额,统计了这人某月的销售量,如下表:每人销售件数人数这人销售件数的众数是________. 12. 若关于的方程产生增根,则________.三、 解答题 (本题共计 4 小题 ,每题 10 分 ,共计40分 )13. 一个批发兼零售的文具店规定:凡一次购买铅笔支以上(不包括支),可以按批发价付款;购买支以下(包括支)只能按零售价付款,小明来该店购买铅笔,如果给学校九年级学生每人购买支,那么只能按零售价付款,需用元;如果多购买支,那么可以按批发价付款,同样需用元.这个学校九年级的学生总数在什么范围内?如果按批发价购买支与按零售价购买支所付款相同,那么这个学校九年级学生有多少人?14. 已知关于的分式方程.若,解此分式方程;若解得方程有增根,且增根为,求的值.15. 解分式方程:.16. 关于的方程的解是正数,求的取值范围.a b b =3−x x−17+a=1(x−1)2x−1x+=32x x+=56x x+=712x x x+=2n+4+n n 2x−3n 24045x 1515180054025021015012011353215x =x x+52x−m x+5m=300300300300115060150(1)(2)360300x +=2x−1mx (x−1)(x+2)1x+2(1)m=1(2)x =−2m =1x−12x −1x 2x =12x+a x−3a参考答案与试题解析2022-2023学年全国初中八年级下数学人教版同步练习一、 选择题 (本题共计 8 小题 ,每题 5 分 ,共计40分 )1.【答案】A【考点】概率公式解分式方程【解析】根据概率公式列出关于的分式方程,解方程即可得.【解答】解:根据题意,得,解得,经检验是分式方程的解,即放入口袋中的黄球个数.故选2.【答案】B【考点】分式方程的定义【解析】【解答】解:分式的定义:一般地,如果,表示两个整式,并且中含有字母,那么式子叫做分式.n =n 5+4+n 25n =6n =6n =6A.A B B A B=154x因为分母中不含有未知数,所以该方程不是分式方程.,,的分母中都含有未知数,故为分式方程.故选.3.【答案】A【考点】分式方程的解【解析】分式方程去分母转化为整式方程,由分式方程无解得到=,求出的值,代入整式方程求出的值即可.【解答】解:去分母得:,由分式方程无解,得到,即,代入整式方程得:,解得:.故选.4.【答案】D【考点】由实际问题抽象为分式方程【解析】设甲每小时做个零件,根据甲做个所用的时间与乙做个所用的时间相等得出方程解答即可.【解答】解:设甲每小时做个零件,可得:.故选.5.【答案】A+=15x 34x 5+x =11x =1x−14x =2−1x 2x+1B x+10x m 3x−2=2x+2+m x+1=0x=−1−5=−2+2+m m=−5A x 120150x =120x 150x+8D由实际问题抽象为分式方程分式方程的应用【解析】设乙队单独施工需天完成,根据总工程量=甲完成工作量+乙完成工作量即可得出关于的分式方程,解之并检验后即可得出论.【解答】解:设乙队单独施工需天完成,由题意,得,即.故选.6.【答案】D【考点】分式方程的增根【解析】增根是分式方程化为整式方程后产生的使分式方程的分母为的根.把增根代入化为整式方程的方程即可求出未知字母的值.【解答】解:方程两边都乘,得∵最简公分母为,∴原方程增根为,∴把代入整式方程,得.故选:.7.【答案】B【考点】解分式方程x x x ++=130********x +=1459015x A 0(x−2)x+1=m−1(x−2)x =2x =2m=4D根据分式方程的求解方法解题,注意检验根的情况;【解答】,两侧同时乘以,可得=,解得=;经检验=是原方程的根;8.【答案】D【考点】分式方程的定义【解析】根据分式方程的定义:分母里含有字母的方程叫做分式方程判断.【解答】、选项项中的方程分母中不含未知数,故不是分式方程;选项不是方程.选项中的方程分母中含未知数,故是分式方程,二、 填空题 (本题共计 4 小题 ,每题 5 分 ,共计20分 )9.【答案】或【考点】分式方程的解【解析】本题考查了分式方程的解的知识.【解答】解:由①得,方程的根为:或,=11x+2(x+2)x+21x −1x −1A C B D x x =n+3x =n+4x =1x =2由②得,方程的根为:或,由③得,方程的根为:或,∴方程的根为:或,∵可化为,∴此方程的根为:或,即或.故答案为:或.10.【答案】【考点】由实际问题抽象为分式方程【解析】根据题意可得原计划每天生产套零配件,则改进了技术后每天生产套零配件,再根据“提前天完成生产任务”列出方程即可.【解答】设原计划每天生产套零配件,则改进了技术后每天生产套零配件,由题意得:,11.【答案】【考点】分式方程的应用【解析】此题暂无解析【解答】此题暂无解答12.【答案】x =2x =3x =3x =4x+=a +b ab x x =a x =b x+=2n+4+n n 2x−3(x−3)+=n+(n+1)n(n+1)x−3x−3=n x−3=n+1x =n+3x =n+4x =n+3x =n+4−=5240x 240x+4x (x+4)5x (x+4)−=5240x 240x+4210−5分式方程的增根【解析】分式方程去分母转化为整式方程,将代入整式方程即可求出的值.【解答】解:去分母得:,将代入得:,解得:.故答案为:.三、 解答题 (本题共计 4 小题 ,每题 10 分 ,共计40分 )13.【答案】解:设这个学校九年级学生有人,依题意,得:解得:.答:这个学校九年级的学生总数大于且小于等于.设铅笔的零售价为元,则批发价为元,依题意,得:,解得:,经检验,是原分式方程的解,且符合题意,∴.答:这个学校九年级学生有人.【考点】一元一次不等式组的应用分式方程的应用【解析】(1)设这个学校九年级学生有人,根据“如果给学校九年级学生每人购买支,那么只能按零售价付款;如果多购买支,那么可以按批发价付款”,即可得出关于的一元一次不等式组,解之即可得出结论;(2)设铅笔的零售价为元,则批发价为元,根据数量=总价单价结合元按批发价比按零售价多购买支,即可得出关于的分式方程,解之经检验后即可得出值,再将其代入中即可求x =−5m x =2x−m x =−5−5=−10−mm=−5−5(1)x { x ≤300,x+60>300,240<x ≤300240300(2)y y 300360−=60150y 300360150y y =12y =12=300150y300x 160x y y 300360÷15060y y 150y【解答】解:设这个学校九年级学生有人,依题意,得:解得:.答:这个学校九年级的学生总数大于且小于等于.设铅笔的零售价为元,则批发价为元,依题意,得:,解得:,经检验,是原分式方程的解,且符合题意,∴.答:这个学校九年级学生有人.14.【答案】解:当时,该分式方程为,方程两边同时乘以去分母并整理得,解得,经检验,当时,,故是原方程的解;方程两边同时乘以,去分母并整理得,当时,,解得.【考点】分式方程的增根解分式方程解一元一次方程【解析】此题暂无解析【解答】(1)x {x ≤300,x+60>300,240<x ≤300240300(2)y y 300360−=60150y 300360150y y =12y =12=300150y 300(1)m=1+=2x−1x(x−1)(x+2)1x+2(x+2)(x−1),3x+4=x−1x =−52x =−52(x−1)(x+2)≠0x =−52(2)(x+2)(x−1)(m+1)x =−5x =−2m+1=52m=32=21解:当时,该分式方程为,方程两边同时乘以去分母并整理得,解得,经检验,当时,,故是原方程的解;方程两边同时乘以,去分母并整理得,当时,,解得.15.【答案】解:原方程变形为:,去分母得:,解得:,检验:把代入得:,∴是分式方程的增根,∴原方程无解.【考点】解分式方程【解析】无【解答】解:原方程变形为:,去分母得:,解得:,检验:把代入得:,∴是分式方程的增根,∴原方程无解.16.【答案】解:方程两边都乘以得,,解得,∵方程的解是正数,(1)m=1+=2x−1x (x−1)(x+2)1x+2(x+2)(x−1),3x+4=x−1x =−52x =−52(x−1)(x+2)≠0x =−52(2)(x+2)(x−1)(m+1)x =−5x =−2m+1=52m=32=1x−12x (x+1)(x−1)x+1=2x x =1x =1(x+1)(x−1)=0x =1=1x−12x (x+1)(x−1)x+1=2x x =1x =1(x+1)(x−1)=0x =1(x−3)2x+a =x−3x =−a −3∴且,解得且.【考点】分式方程的解【解析】方程两边都乘以最简公分母,求出的值,再根据方程的解是正数列出关于的不等式,然后解不等式即可.【解答】解:方程两边都乘以得,,解得,∵方程的解是正数,∴且,解得且.−a −3>0−a −3≠3a <−3a ≠−6(x−1)x a (x−3)2x+a =x−3x =−a −3−a −3>0−a −3≠3a <−3a ≠−6。
人教版八年级下册数学同步测试题全套二次根式学习要求掌握二次根式的概念和意义,会根据算术平方根的意义进行二次根式的运算. 课堂学习检验 一、填空题1.表示二次根式的条件是______. 2.当x ______时,有意义,当x ______时,有意义. 3.若无意义,则x 的取值范围是______. 4.直接写出下列各式的结果: (1)=_______;(2)_______;(3)_______;(4)_______; (5)_______;(6) _______. 二、选择题5.下列计算正确的有( ).① ② ③ ④ A .①、②B .③、④C .①、③D .②、④6.下列各式中一定是二次根式的是( ). A .B .C .D .7.当x =2时,下列各式中,没有意义的是( ). A .B .C .D .8.已知那么a 的取值范围是( ). A . B .C .D .三、解答题9.当x 为何值时,下列式子有意义?a +112--x 31+x 2+x 492)7(2)7(-2)7(--2)7.0(22])7([-2)2(2=-22=-2)2(2=-2)2(2-=-23-2)3.0(-2-x 2-x x -222-x 22x -,21)12(2a a -=-21>a 21<a 21≥a 21≤a(1) (2)(3)(4)10.计算下列各式: (1) (2) (3)(4)综合、运用、诊断 一、填空题11.表示二次根式的条件是______. 12.使有意义的x 的取值范围是______. 13.已知,则x y 的平方根为______. 14.当x =-2时,=________. 二、选择题15.下列各式中,x 的取值范围是x >2的是( ). A .B .C .D .16.若,则x -y 的值是( ). A .-7 B .-5 C .3 D .7三、解答题 17.计算下列各式: (1) (2)(3)(4);1x -;2x -;12+x ⋅+-x x21;)23(2;)1(22+a ;)43(22-⨯-.)323(2-x 2-12-x x411+=-+-y x x 2244121x x x x ++-+-2-x 21-x x-21121-x 022|5|=++-y x ;)π14.3(2-;)3(22--;])32[(21-.)5.03(2218.当a =2,b =-1,c =-1时,求代数式的值.拓广、探究、思考19.已知数a ,b ,c 在数轴上的位置如图所示:化简:的结果是:______________________. 20.已知△ABC 的三边长a ,b ,c 均为整数,且a 和b 满足试求△ABC 的c 边的长. 测试2 二次根式的乘除(一) 学习要求会进行二次根式的乘法运算,能对二次根式进行化简. 课堂学习检测 一、填空题1.如果成立,x ,y 必须满足条件______. 2.计算:(1)_________;(2)__________; (3)___________.3.化简:(1)______;(2) ______;(3)______. 二、选择题4.下列计算正确的是( ). A .B .C .D .5.如果,那么( ). A .x ≥0B .x ≥3C .0≤x ≤3D .x 为任意实数6.当x =-3时,的值是( ). A .±3B .3C .-3D .9aacb b 242-±-||)(||22b bc c a a ---++-.09622=+-+-b b a y x xy ⋅=24=⨯12172=--)84)(213(=⨯-03.027.02=⨯3649=⨯25.081.0=-45532=⋅632=⋅48=3)3(2-=-)3(3-=-⋅x x x x 2x三、解答题7.计算:(1) (2) (3)(4) (5) (6)(7) (8) (9)8.已知三角形一边长为,这条边上的高为,求该三角形的面积.综合、运用、诊断 一、填空题9.定义运算“@”的运算法则为:则(2@6)@6=______. 10.已知矩形的长为,宽为,则面积为______cm 2.11.比较大小:(1)_____;(2)______;(3)-_______-.二、选择题12.若成立,则a ,b 满足的条件是( ). A .a <0且b >0 B .a ≤0且b ≥0 C .a <0且b ≥0 D .a ,b 异号13.把根号外的因式移进根号内,结果等于( ). A . B . C . D .三、解答题;26⨯);33(35-⨯-;8223⨯;1252735⨯;131aab ⋅;5252ac c b b a ⋅⋅;49)7(2⨯-;51322-.7272y x cm 2cm 12,4@+=xy y x cm 52cm 1023322534226b a b a -=2432411-1144-11214.计算:(1)_______; (2)_______; (3)_______;(4)_______.15.若(x -y +2)2与互为相反数,求(x +y )x 的值.拓广、探究、思考16.化简:(1)________; (2)_________.测试3 二次根式的乘除(二) 学习要求会进行二次根式的除法运算,能把二次根式化成最简二次根式. 课堂学习检测 一、填空题1.把下列各式化成最简二次根式:(1)______;(2)______;(3)______;(4)______; (5)______;(6)______;(7)______;(8)______. 2.在横线上填出一个最简单的因式,使得它与所给二次根式相乘的结果为有理式,如: 与(1)与______; (2)与______;(3)与______; (4)与______; (5)与______. 二、选择题=⋅x xy 6335=+222927b a a =⋅⋅21132212=+⋅)123(32-+y x =-+1110)12()12(=-⋅+)13()13(=12=x 18=3548y x =xy=32=214=+243x x =+312123.23232a 323a 33a3.成立的条件是( ). A .x <1且x ≠0 B .x >0且x ≠1 C .0<x ≤1 D .0<x <14.下列计算不正确的是( ). A . B .C .D .5.把化成最简二次根式为( ). A . B .C .D .三、计算题 6.(1) (2)(3)(4)(5) (6) (7)(8)综合、运用、诊断 一、填空题7.化简二次根式:(1)________(2)_________(3)_________8.计算下列各式,使得结果的分母中不含有二次根式: (1)_______(2)_________(3)__________(4)__________ xxx x -=-11471613=xy x x y 63132=201)51()41(22=-x x x3294=321323232321281241;2516;972;324;1252755÷-;1525;3366÷;211311÷.125.02121÷=⨯62=81=-314=51=x 2=322=yx 59.已知则______;_________.(结果精确到0.001) 二、选择题10.已知,,则a 与b 的关系为( ). A .a =bB .ab =1C .a =-bD .ab =-111.下列各式中,最简二次根式是( ). A .B .C .D .三、解答题12.计算:(1) (2) (3)13.当时,求和xy 2+x 2y 的值.拓广、探究、思考 14.观察规律:……并求值.(1)_______;(2)_______;(3)_______.15.试探究与a 之间的关系.测试4 二次根式的加减(一) 学习要求掌握可以合并的二次根式的特征,会进行二次根式的加、减运算. 课堂学习检测,732.13≈≈31≈2713+=a 132-=b yx -1ba 42+xb a 25;3b a ab ab ⨯÷;3212y xy ÷⋅++ba b a 24,24+=-=y x 222y xy x +-,32321,23231,12121-=+-=+-=+=+2271=+10111=++11n n 22)(a 、a一、填空题1.下列二次根式化简后,与的被开方数相同的有______,与的被开方数相同的有______,与的被开方数相同的有______. 2.计算:(1)________; (2)__________.二、选择题3.化简后,与的被开方数相同的二次根式是( ). A .B .C .D .4.下列说法正确的是( ). A .被开方数相同的二次根式可以合并 B .与可以合并 C .只有根指数为2的根式才能合并 D .与不能合并5.下列计算,正确的是( ). A .B .C .D . 三、计算题6. 7.8. 9.10. 11.15,12,18,82,454,125,27,32235=+31312=-x x 4321012216188********=+5225=-a a a 26225=+xy x y 32=+.48512739-+.61224-+⋅++3218121⋅---)5.04313()81412(.1878523x x x +-⋅-+xx x x 1246932综合、运用、诊断 一、填空题12.已知二次根式与是同类二次根式,(a +b )a 的值是______. 13.与无法合并,这种说法是______的.(填“正确”或“错误”) 二、选择题14.在下列二次根式中,与是同类二次根式的是( ). A . B . C . D .三、计算题 15. 16.17.18.四、解答题19.化简求值:,其中,.20.当时,求代数式x 2-4x +2的值.拓广、探究、思考 21.探究下面的问题:(1)判断下列各式是否成立?你认为成立的,在括号内画“√”,否则画“×”.b a b +4b a +33832ab b a b 26a a 223a 3a 4a .)15(2822180-+--).272(43)32(21--+⋅+-+bb a b a a 1241.21233ab bb a aba bab a-+-y y xy xx 3241+-+4=x 91=y 321-=x①( ) ②( ) ③( ) ④( ) (2)你判断完以上各题后,发现了什么规律?请用含有n 的式子将规律表示出来,并写出n 的取值范围.(3)请你用所学的数学知识说明你在(2)题中所写式子的正确性.测试5 二次根式的加减(二) 学习要求会进行二次根式的混合运算,能够运用乘法公式简化运算. 课堂学习检测 一、填空题1.当a =______时,最简二次根式与可以合并. 2.若,,那么a +b =______,ab =______. 3.合并二次根式:(1)________;(2)________. 二、选择题4.下列各组二次根式化成最简二次根式后的被开方数完全相同的是( ). A .与B 与C .与D .与5.下列计算正确的是( ). A .B .322322=+833833=+15441544=+24552455=+12-a 73--a 27+=a 27-=b =-+)18(50=+-ax xax 45ab 2ab mn nm 11+22n m +22n m -2398b a 4329b a b a b a b a -=-+2))(2(1239)33(2=+=+C .D .6.等于( ). A .7 B . C .1D .三、计算题(能简算的要简算) 7. 8.9. 10.11. 12.综合、运用、诊断 一、填空题13.(1)规定运算:(a *b )=|a -b |,其中a ,b 为实数,则_______. (2)设,且b 是a 的小数部分,则________. 二、选择题14.与的关系是( ). A .互为倒数B .互为相反数C .相等D .乘积是有理式15.下列计算正确的是( ). A .B .32)23(6+=+÷641426412)232(2-=+-=-)32)(23(+-223366-+-22336-+⋅-121).2218().4818)(122(+-).32841)(236215(--).3218)(8321(-+.6)1242764810(÷+-.)18212(2-=+7)3*7(5=a =-ba ab a -a b -b a b a +=+2)(ab b a =+C .D . 三、解答题 16. 17.18. 19.四、解答题20.已知求(1)x 2-xy +y 2;(2)x 3y +xy 3的值.21.已知,求的值.拓广、探究、思考22.两个含有二次根式的代数式相乘,如果它们的积不含有二次根式,我们说这两个代数式互为有理化因式.如:与,与互为有理化因式. 试写下列各式的有理化因式:(1)与______; (2)与______; (3)与______;(4)与______; (5)与______; (6)与______. 23.已知求.(精确到0.01)答案与提示第十六章 二次根式 测试1b a b a +=+22a aa =⋅1⋅+⋅-221221⋅--+⨯2818)212(2.)21()21(20092008-+.)()(22b a b a --+,23,23-=+=y x 25-=x 4)25()549(2++-+x x a a 63+63-25y x 2-mn 32+223+3223-,732.13,414.12≈≈)23(6-÷1.a ≥-1.2.<1, >-3.3.x <-2.4.(1)7; (2)7; (3)7; (4)-7; (5)0.7; (6)49. 5.C . 6.B . 7.D . 8.D .9.(1)x ≤1;(2)x =0;(3)x 是任意实数;(4)x ≤1且x ≠-2. 10.(1)18;(2)a 2+1;(3) (4)6.11.x ≤0. 12.x ≥0且 13.±1. 14.0. 15.B . 16.D . 17.(1)π-3.14;(2)-9;(3) (4)36. 18.或1. 19.0. 20.提示:a =2,b =3,于是1<c <5,所以c =2,3,4. 测试21.x ≥0且y ≥0.2.(1) (2)24;(3)-0.18. 3.(1)42;(2)0.45;(3) 4.B . 5.B . 6.B . 7.(1) (2)45; (3)24; (4) (5)(6) (7)49; (8)12; (9) 8. 9. 10..11.(1)>;(2)>;(3)<. 12.B . 13.D .14.(1) (2) (3) (4)9. 15.1. 16.(1) (2) 测试31.(1) (2) (3) (4)(5) (6) (7) (8).2. 3.C . 4.C . 5.C .6.;23-⋅=/21x ;2321-;6.53-;32;53;3b;52⋅y xy 263.cm 62.72210;245y x ;332b a +;34;12-.2;32;23x ;342xy y x ;xxy ;36;223;32+x x 630.3)5(;3)4(;3)3(;2)2(;3)1(a a .4)8(;322)7(;22)6(;63)5(;215)4(;22)3(;35)2(;54)1(-7. 8.9.0.577,5.196. 10.A . 11.C . 12. 13. 14.15.当a ≥0时,;当a <0时,,而无意义. 测试41. 2.(1) 3.C . 4.A . 5.C . 6. 7. 8. 9. 10. 11. 12.1. 13.错误. 14.C . 15. 16.17. 18.0. 19.原式代入得2. 20.1. 21.(1)都画“√”;(2)(n ≥2,且n 为整数);(3)证明: 测试51.6. 2. 3.(1) (2)4.D . 5.D . 6.B . 7. 8. 9.10. 11. 12. 13.(1)3;(2) 14.B . 15.D . 16. 17.2. 18.19.(可以按整式乘法,也可以按因式分解法).⋅-339)3(;42)2(;32)1(⋅y yx x x55)4(;66)3(;2)2(;55)1(.)3(;33)2(;)1(b a x bab+.112;2222222=+=+-y x xy y xy x .1)3(;1011)2(;722)1(n n -+--a a a ==22)(a a -=22)(a .454,125;12,27;18,82,32.)2(;33x .33.632+⋅827.23+.214x .3x .12+⋅-423411.321b a +,32y x+=1122-=-+n n nn n n ⋅-=-=-+-=-+111)1(1223222n nn n n n n n n n n n .3,72;22.3ax -⋅66.1862--.3314218-⋅417.215.62484-.55--⋅-41.21-ab 420.(1)9; (2)10. 21.4.22.(1); (2); (3); (4); (5); (6)(答案)不唯一. 23.约7.70.第十六章 二次根式全章测试 一、填空题 1.已知有意义,则在平面直角坐标系中,点P (m ,n )位于第______象限.2.的相反数是______,绝对值是______. 3.若,则______.4.已知直角三角形的两条直角边长分别为5和,那么这个三角形的周长为______.5.当时,代数式的值为______. 二、选择题6.当a <2时,式子中,有意义的有( ). A .1个B .2个C .3个D .4个7.下列各式的计算中,正确的是( ). A . B . C .D . 8.若(x +2)2=2,则x 等于( ). A .B .C .D .9.a ,b 两数满足b <0<a 且|b |>|a |,则下列各式中,有意义的是( ). A .B .C .D .2y x 2-mn 32-223-3223+mnm 1+-322-3:2:=y x =-xy y x 2)(5232-=x 3)32()347(2++++x x 2)2(,2,2,2-+--a a a a 6)9(4)9()4(=-⨯-=-⨯-7434322=+=+9181404122=⨯=-2323=42+42-22-±22±b a +a b -b a -ab10.已知A 点坐标为点B 在直线y =-x 上运动,当线段AB 最短时,B 点坐标( ). A .(0,0) B . C .(1,-1) D . 三、计算题11. 12.13. 14.15. 16.四、解答题17.已知a 是2的算术平方根,求的正整数解.18.已知:如图,直角梯形ABCD 中,AD ∥BC ,∠A=90°,△BCD 为等边三角形,且AD ,求梯形ABCD 的周长.),0,2(A )22,22(-)22,22(-.1502963546244-+-).32)(23(--.25341122÷⋅).94(323ab ab ab a aba b+-+⋅⋅-⋅bab a ab b a 3)23(35⋅÷+--+xy yx y x xy yx y )(222<-a x 2=附加题19.先观察下列等式,再回答问题. ①② ③(1)请根据上面三个等式提供的信息,猜想的结果; (2)请按照上面各等式反映的规律,试写出用n (n 为正整数)表示的等式.20.用6个边长为12cm 的正方形拼成一个长方形,有多少种拼法?求出每种长方形的对角线长(精确到0.1cm ,可用计算器计算).答案与提示第十六章 二次根式全章测试1.三. 2. 3. 4. 5. 6.B . 7.C . 8.C . 9.C . 10.B .11. 12. 13. 14. 15.16.0. 17.x <3;正整数解为1,2. 18.周长为 19.(1) (2);2111111112111122=+-+=++;6111212113121122=+-+=++⋅=+-+=++121113131141311222251411++.223,223--.2665-.555+.32+.68-.562-⋅1023.2ab -.293ab b a -.625+;2011141411=+-+.)1(111111)1(11122++=+-+=+++n n n nn n20.两种:(1)拼成6×1,对角线(2)拼成2×3,对角线(cm).勾股定理学习要求掌握勾股定理的内容及证明方法,能够熟练地运用勾股定理由已知直角三角形中的两条边长求出第三条边长.课堂学习检测一、填空题1.如果直角三角形的两直角边长分别为a、b,斜边长为c,那么______=c2;这一定理在我国被称为______.2.△ABC中,∠C=90°,a、b、c分别是∠A、∠B、∠C的对边.(1)若a=5,b=12,则c=______;(2)若c=41,a=40,则b=______;(3)若∠A=30°,a=1,则c=______,b=______;(4)若∠A=45°,a=1,则b=______,c=______.3.如图是由边长为1m的正方形地砖铺设的地面示意图,小明沿图中所示的折线从A→B→C所走的路程为______.4.等腰直角三角形的斜边为10,则腰长为______,斜边上的高为______.5.在直角三角形中,一条直角边为11cm,另两边是两个连续自然数,则此直角三角形的周长为______.二、选择题6.Rt△ABC中,斜边BC=2,则AB2+AC2+BC2的值为( ).);cm(0.733712721222≈=+3.431312362422≈=+(A)8 (B)4 (C)6 (D)无法计算7.如图,△ABC 中,AB =AC =10,BD 是AC 边上的高线,DC =2,则BD 等于( ).(A)4(B)6(C)8(D)8.如图,Rt △ABC 中,∠C =90°,若AB =15cm ,则正方形ADEC 和正方形BCFG 的面积和为( ).(A)150cm 2(B)200cm 2 (C)225cm 2(D)无法计算三、解答题9.在Rt △ABC 中,∠C =90°,∠A 、∠B 、∠C 的对边分别为a 、b 、c . (1)若a ∶b =3∶4,c =75cm ,求a 、b ;(2)若a ∶c =15∶17,b =24,求△ABC 的面积;(3)若c -a =4,b =16,求a 、c ;102(4)若∠A=30°,c=24,求c边上的高h c;(5)若a、b、c为连续整数,求a+b+c.综合、运用、诊断一、选择题10.若直角三角形的三边长分别为2,4,x,则x的值可能有( ).(A)1个(B)2个(C)3个(D)4个二、填空题11.如图,直线l经过正方形ABCD的顶点B,点A、C到直线l的距离分别是1、2,则正方形的边长是______.12.在直线上依次摆着7个正方形(如图),已知倾斜放置的3个正方形的面积分别为1,2,3,水平放置的4个正方形的面积是S1,S2,S3,S4,则S1+S2+S3+S4=______.三、解答题13.如图,Rt△ABC中,∠C=90°,∠A=30°,BD是∠ABC的平分线,AD=20,求BC的长.拓展、探究、思考14.如图,△ABC中,∠C=90°.(1)以直角三角形的三边为边向形外作等边三角形(如图①),探究S1+S2与S3的关系;图①(2)以直角三角形的三边为斜边向形外作等腰直角三角形(如图②),探究S1+S2与S3的关系;图②(3)以直角三角形的三边为直径向形外作半圆(如图③),探究S1+S2与S3的关系.图③测试2 勾股定理(二)学习要求掌握勾股定理,能够运用勾股定理解决简单的实际问题,会运用方程思想解决问题.课堂学习检测一、填空题1.若一个直角三角形的两边长分别为12和5,则此三角形的第三边长为______.2.甲、乙两人同时从同一地点出发,已知甲往东走了4km,乙往南走了3km,此时甲、乙两人相距______km.3.如图,有一块长方形花圃,有少数人为了避开拐角走“捷径”,在花圃内走出了一条“路”,他们仅仅少走了______m路,却踩伤了花草.3题图4.如图,有两棵树,一棵高8m,另一棵高2m,两树相距8m,一只小鸟从一棵树的树梢飞到另一棵树的树梢,至少要飞______m.4题图二、选择题5.如图,一棵大树被台风刮断,若树在离地面3m处折断,树顶端落在离树底部4m处,则树折断之前高( ).5题图(A)5m (B)7m (C)8m (D)10m6.如图,从台阶的下端点B 到上端点A 的直线距离为( ).6题图 (A) (B)(C)(D)三、解答题7.在一棵树的10米高B 处有两只猴子,一只猴子爬下树走到离树20米处的池塘的A 处;另一只爬到树顶D 后直接跃到A 处,距离以直线计算,如果两只猴子所经过的距离相等,则这棵树高多少米?8.在平静的湖面上,有一支红莲,高出水面1米,一阵风吹来,红莲移到一边,花朵齐及水面,已知红莲移动的水平距离为2米,求这里的水深是多少米?综合、运用、诊断 一、填空题9.如图,一电线杆AB 的高为10米,当太阳光线与地面的夹角为60°时,其影长AC 为____ __米.212310565810.如图,有一个圆柱体,它的高为20,底面半径为5.如果一只蚂蚁要从圆柱体下底面的A点,沿圆柱表面爬到与A相对的上底面B点,则蚂蚁爬的最短路线长约为______(取3)二、解答题:11.长为4 m的梯子搭在墙上与地面成45°角,作业时调整为60°角(如图所示),则梯子的顶端沿墙面升高了______m.12.如图,在高为3米,斜坡长为5米的楼梯表面铺地毯,则地毯的长度至少需要多少米?若楼梯宽2米,地毯每平方米30元,那么这块地毯需花多少元?拓展、探究、思考13.如图,两个村庄A、B在河CD的同侧,A、B两村到河的距离分别为AC=1千米,BD=3千米,CD=3千米.现要在河边CD上建造一水厂,向A、B两村送自来水.铺设水管的工程费用为每千米20000元,请你在CD上选择水厂位置O,使铺设水管的费用最省,并求出铺设水管的总费用W.测试3 勾股定理(三) 学习要求熟练应用勾股定理解决直角三角形中的问题,进一步运用方程思想解决问题. 课堂学习检测 一、填空题1.在△A BC 中,若∠A +∠B =90°,AC =5,BC =3,则AB =______,AB 边上的高CE =______.2.在△ABC 中,若AB =AC =20,BC =24,则BC 边上的高AD =______,AC 边上的高BE =______.3.在△ABC 中,若AC =BC ,∠ACB =90°,AB =10,则AC =______,AB 边上的高CD =______.4.在△ABC 中,若AB =BC =CA =a ,则△ABC 的面积为______.5.在△ABC 中,若∠ACB =120°,AC =BC ,AB 边上的高CD =3,则AC =______,AB =______,BC 边上的高AE =______. 二、选择题6.已知直角三角形的周长为,斜边为2,则该三角形的面积是( ).(A)(B)(C)(D)17.若等腰三角形两边长分别为4和6,则底边上的高等于( ). (A) (B)或(C) (D)或三、解答题8.如图,在Rt △ABC 中,∠C =90°,D 、E 分别为BC 和AC 的中点,AD =5,BE =求AB 的长.62 4143217741242471029.在数轴上画出表示及的点.综合、运用、诊断10.如图,△ABC 中,∠A =90°,AC =20,AB =10,延长AB 到D ,使CD +DB =AC +AB ,求BD 的长.11.如图,将矩形ABCD 沿EF 折叠,使点D 与点B 重合,已知AB =3,AD =9,求BE 的长.12.如图,折叠矩形的一边AD ,使点D 落在BC 边的点F 处,已知AB =8cm ,BC1013=10cm,求EC的长.13.已知:如图,△ABC中,∠C=90°,D为AB的中点,E、F分别在AC、BC 上,且DE⊥DF.求证:AE2+BF2=EF2.拓展、探究、思考14.如图,已知△ABC中,∠ABC=90°,AB=BC,三角形的顶点在相互平行的三条直线l1,l2,l3上,且l1,l2之间的距离为2,l2,l3之间的距离为3,求AC 的长是多少?15.如图,如果以正方形ABCD的对角线AC为边作第二个正方形ACEF,再以对角线AE为边作第三个正方形AEGH,如此下去,……已知正方形ABCD的面积S1为1,按上述方法所作的正方形的面积依次为S2,S3,…,S n(n为正整数),那么第8个正方形的面积S8=______,第n个正方形的面积S n=______.测试4 勾股定理的逆定理学习要求掌握勾股定理的逆定理及其应用.理解原命题与其逆命题,原定理与其逆定理的概念及它们之间的关系.课堂学习检测一、填空题1.如果三角形的三边长a、b、c满足a2+b2=c2,那么这个三角形是______三角形,我们把这个定理叫做勾股定理的______.2.在两个命题中,如果第一个命题的题设是第二个命题的结论,而第一个命题的结论是第二个命题的题设,那么这两个命题叫做____________;如果把其中一个命题叫做原命题,那么另一个命题叫做它的____________.3.分别以下列四组数为一个三角形的边长:(1)6、8、10,(2)5、12、13,(3)8、15、17,(4)4、5、6,其中能构成直角三角形的有____________.(填序号) 4.在△ABC中,a、b、c分别是∠A、∠B、∠C的对边,①若a2+b2>c2,则∠c为____________;②若a2+b2=c2,则∠c为____________;③若a2+b2<c2,则∠c为____________.5.若△ABC中,(b-a)(b+a)=c2,则∠B=____________;6.如图,正方形网格中,每个小正方形的边长为1,则网格上的△ABC是______三角形.7.若一个三角形的三边长分别为1、a 、8(其中a 为正整数),则以a -2、a 、a +2为边的三角形的面积为______.8.△ABC 的两边a ,b 分别为5,12,另一边c 为奇数,且a +b +c 是3的倍数,则c 应为______,此三角形为______. 二、选择题9.下列线段不能组成直角三角形的是( ). (A)a =6,b =8,c =10(B) (C)(D)10.下面各选项给出的是三角形中各边的长度的平方比,其中不是直角三角形的是( ). (A)1∶1∶2 (B)1∶3∶4 (C)9∶25∶26(D)25∶144∶16911.已知三角形的三边长为n 、n +1、m (其中m 2=2n +1),则此三角形( ). (A)一定是等边三角形 (B)一定是等腰三角形 (C)一定是直角三角形 (D)形状无法确定综合、运用、诊断 一、解答题12.如图,在△ABC 中,D 为BC 边上的一点,已知AB =13,AD =12,AC =15,BD =5,求CD 的长.3,2,1===c b a 43,1,45===c b a 6,3,2===c ba13.已知:如图,四边形ABCD 中,AB ⊥BC ,AB =1,BC =2,CD =2,AD =3,求四边形ABCD 的面积.14.已知:如图,在正方形ABCD 中,F 为DC 的中点,E 为CB 的四等分点且CE=,求证:AF ⊥FE .15.在B 港有甲、乙两艘渔船,若甲船沿北偏东60°方向以每小时8海里的速度前进,乙船沿南偏东某个角度以每小时15海里的速度前进,2小时后,甲船到M 岛,乙船到P 岛,两岛相距34海里,你知道乙船是沿哪个方向航行的吗?拓展、探究、思考16.已知△ABC 中,a 2+b 2+c 2=10a +24b +26c -338,试判定△ABC 的形状,并说明你的理由.CB 4117.已知a 、b 、c 是△ABC 的三边,且a 2c 2-b 2c 2=a 4-b 4,试判断三角形的形状.18.观察下列各式:32+42=52,82+62=102,152+82=172,242+102=262,…,你有没有发现其中的规律?请用含n 的代数式表示此规律并证明,再根据规律写出接下来的式子.参考答案第十七章 勾股定理 测试1 勾股定理(一)1.a 2+b 2,勾股定理. 2.(1)13; (2)9; (3)2,; (4)1,. 3.. 4.5,5. 5.132cm . 6.A . 7.B . 8.C . 9.(1)a =45cm .b =60cm ; (2)540; (3)a =30,c =34; (4)6; (5)12.10.B . 11. 12.4. 13. 14.(1)S 1+S 2=S 3;(2)S 1+S 2=S 3;(3)S 1+S 2=S 3. 测试2 勾股定理(二)1.13或 2.5. 3.2. 4.10. 5.C . 6.A . 7.15米. 8.米. 9.10.25. 11. 12.7米,420元. 13.10万元.提示:作A 点关于CD 的对称点A ′,连结A ′B ,与CD 交点为O . 测试3 勾股定理(三) 1. 2.16,19.2. 3.5,5. 4. 325223.5.310.11923⋅3310.2232-;343415,342.432a5.6,,. 6.C . 7.D8. 提示:设BD =DC =m ,CE =EA =k ,则k 2+4m 2=40,4k 2+m 2=25.AB =9.图略.10.BD =5.提示:设BD =x ,则CD =30-x .在Rt △ACD 中根据勾股定理列出(30-x )2=(x +10)2+202,解得x =5.11.B E =5.提示:设BE =x ,则DE =BE =x ,AE =AD -DE =9-x .在Rt △ABE 中,AB 2+AE 2=BE 2,∴32+(9-x )2=x 2.解得x =5.12.EC =3cm .提示:设EC =x ,则DE =EF =8-x ,AF =AD =10,BF =,CF =4.在Rt △CEF 中(8-x )2=x 2+42,解得x =3. 13.提示:延长FD 到M 使DM =DF ,连结AM ,EM .14.提示:过A ,C 分别作l 3的垂线,垂足分别为M ,N ,则易得△AMB ≌△BNC ,则 15.128,2n -1.测试4 勾股定理的逆定理1.直角,逆定理. 2.互逆命题,逆命题. 3.(1)(2)(3). 4.①锐角;②直角;③钝角. 5.90°. 6.直角.7.24.提示:7<a <9,∴a =8. 8.13,直角三角形.提示:7<c <17. 9.D . 10.C . 11.C . 12.CD =9. 13.14.提示:连结AE ,设正方形的边长为4a ,计算得出AF ,EF ,AE 的长,由AF 2+EF 2=AE 2得结论. 15.南偏东30°.16.直角三角形.提示:原式变为(a -5)2+(b -12)2+(c -13)2=0. 17.等腰三角形或直角三角形.提示:原式可变形为(a 2-b 2)(a 2+b 2-c 2)=0. 18.352+122=372,[(n +1)2-1]2+[2(n +1)]2=[(n +1)2+1]2.(n ≥1且n 为整数)3633.132.1324422=+k m ,3213,31102222+=+=622=-AB AF .172,34=∴=AC AB .51+第十七章勾股定理全章测试一、填空题1.若一个三角形的三边长分别为6,8,10,则这个三角形中最短边上的高为______.2.若等边三角形的边长为2,则它的面积为______.3.如图所示的图形中,所有的四边形都是正方形,所有的三角形都是直角三角形,若涂黑的四个小正方形的面积的和是10cm2,则其中最大的正方形的边长为______cm.3题图4.如图,B,C是河岸边两点,A是对岸岸边一点,测得∠ABC=45°,∠ACB=45°,BC=60米,则点A到岸边BC的距离是______米.4题图5.已知:如图,△ABC中,∠C=90°,点O为△ABC的三条角平分线的交点,OD⊥BC,OE⊥AC,OF⊥AB,点D,E,F分别是垂足,且BC=8cm,CA=6cm,则点O到三边AB,AC和BC的距离分别等于______cm.5题图6.如图所示,有一块直角三角形纸片,两直角边AB=6,BC=8,将直角边AB折叠使它落在斜边AC上,折痕为AD,则BD=______.6题图7.△ABC中,AB=AC=13,若AB边上的高CD=5,则BC=______.8.如图,AB=5,AC=3,BC边上的中线AD=2,则△ABC的面积为______.8题图二、选择题9.下列三角形中,是直角三角形的是( )(A)三角形的三边满足关系a+b=c(B)三角形的三边比为1∶2∶3 (C)三角形的一边等于另一边的一半(D)三角形的三边为9,40,41 10.某市在旧城改造中,计划在市内一块如图所示的三角形空地上种植草皮以美化环境,已知这种草皮每平方米售价a元,则购买这种草皮至少需要( ).10题图(A)450a元(B)225a元(C)150a元(D)300a元11.如图,四边形ABCD中,AB=BC,∠ABC=∠CDA=90°,BE⊥AD于点E,且四边形ABCD的面积为8,则BE=( ).(A)2 (B)3 (C)(D)12.如图,Rt△A BC 中,∠C =90°,CD ⊥AB 于点D ,AB =13,CD=6,则AC +BC 等于( ).(A)5 (B) (C)(D)三、解答题13.已知:如图,△ABC 中,∠CAB =120°,AB =4,AC =2,AD ⊥BC ,D 是垂足,求AD 的长.14.如图,已知一块四边形草地ABCD ,其中∠A =45°,∠B =∠D =90°,AB =20m ,CD =10m ,求这块草地的面积.223213513135915.△ABC中,AB=AC=4,点P在BC边上运动,猜想AP2+PB·PC的值是否随点P位置的变化而变化,并证明你的猜想.16.已知:△ABC中,AB=15,AC=13,BC边上的高AD=12,求BC.17.如图,长方体的底面边长分别为1cm和3cm,高为6cm.如果用一根细线从点A开始经过四个侧面缠绕一圈到达点B,那么所用细线最短需要多长?如果从点A开始经过四个侧面缠绕n圈到达点B,那么所用细线最短需要多长?18.如图所示,有两种形状不同的直角三角形纸片各两块,其中一种纸片的两条直角边长都为3,另一种纸片的两条直角边长分别为1和3.图1、图2、图3是三张形状、大小完全相同的方格纸,方格纸中的每个小正方形的边长均为1.图1 图2 图3(1)请用三种方法(拼出的两个图形只要不全等就认为是不同的拼法)将图中所给四块直角三角形纸片拼成平行四边形(非矩形),每种方法要把图中所给的四块直角三角形纸片全部用上,互不重叠且不留空隙,并把你所拼得的图形按实际大小画在图1、图2、图3的方格纸上(要求:所画图形各顶点必须与方格纸中的小正方形顶点重合;画图时,要保留四块直角三角形纸片的拼接痕迹);(2)三种方法所拼得的平行四边形的面积是否是定值?若是定值,请直接写出这个定值;若不是定值,请直接写出三种方法所拼得的平行四边形的面积各是多少; (3)三种方法所拼得的平行四边形的周长是否是定值?若是定值,请直接写出这个定值;若不是定值,请直接写出三种方法所拼得的平行四边形的周长各是多少.19.有一块直角三角形的绿地,量得两直角边长分别为6m ,8m .现在要将绿地扩充成等腰三角形,且扩充部分是以8m 为直角边的直角三角形,求扩充后等腰三角形绿地的周长.参考答案第十七章 勾股定理全章测试1.8. 2. 3. 4.30. 5.2.6.3.提示:设点B 落在A C 上的E 点处,设BD =x ,则DE =BD =x ,AE =AB =6,CE =4,CD =8-x ,在Rt △CDE 中根据勾股定理列方程. 7.或.3.1026.2658.6.提示:延长AD 到E ,使DE =AD ,连结BE ,可得△ABE 为Rt △. 9.D . 10.C 11.C . 12.B 13.提示:作CE ⊥AB 于E 可得由勾股定理得由三角形面积公式计算AD 长.14.150m 2.提示:延长BC ,AD 交于E . 15.提示:过A 作AH ⊥BC 于HAP 2+PB ·PC =AH 2+PH 2+(BH -PH )(CH +PH ) =AH 2+PH 2+BH 2-PH 2=AH 2+BH 2=AB 2=16. 16.14或4.17.10;18.(1)略; (2)定值, 12;(3)不是定值, 19.在Rt △ABC 中,∠ACB =90°,AC =8,BC =6由勾股定理得:AB =10,扩充部分为Rt △ACD ,扩充成等腰△ABD ,应分以下三种情况.①如图1,当AB =AD =10时,可求CD =CB =6得△ABD 的周长为32m .图1②如图2,当AB =BD =10时,可求CD =4图2由勾股定理得:,得△ABD 的周长为. ③如图3,当AB 为底时,设AD =BD =x ,则CD =x -6,.2172,5,3==BE CE ,72=BC .16922n +.10226,1028,268+++54=AD .m )5420(+图3由勾股定理得:,得△ABD 的周长为平行四行形学习要求1.理解平行四边形的概念,掌握平行四边形的性质定理;2.能初步运用平行四边形的性质进行推理和计算,并体会如何利用所学的三角形的知识解决四边形的问题. 课堂学习检测 一、填空题1.两组对边分别______的四边形叫做平行四边形.它用符号“□”表示,平行四边形ABCD 记作__________。
1第十六章、分式 16.1.1从分数到分式(第一课时)一、课前小测:1、________________________统称为整式.2、23表示_______÷______的商,那么(2a+b )÷(m+n )可以表示为________. 3、甲种水果每千克价格a 元,乙种水果每千克价格b 元,取甲种水果m 千克,乙种水果n 千克,混合后,平均每千克价格是_________.二、基础训练:1、分式24x x -,当x_______时,分式有意义;当x_______时,分式的值为零; 当x_______时,分式15x -+的值为正;当x______时,分式241x -+的值为负. 2、有理式①2x ,②5x y +,③12a -,④1x π-中,是分式的有( ) A .①② B .③④ C .①③ D .①②③④23、使分式||1x x -无意义,x 的取值是( ) A .0 B .1 C .-1 D .±1三、综合训练:1、当x______时,分式2134x x +-无意义. 2、当x_______时,分式2212x x x -+-的值为零. 3、当x 取何值时,下列分式有意义?(1) (2)2323x x +-16.1.2分式的基本性质(第二课时)一、课前小测:23+x31.如果分式x211-的值为负数,则的x 取值范围是( ) A.21≤x B.21<x C.21≥x D.21>x 2. 当_____时,分式4312-+x x 无意义.当______时,分式68-x x 有意义 二、基础训练:1、分式的基本性质为:_________ ___.用字母表示为:_____________________.2、判断下列约分是否正确:(1)c b c a ++=b a , (2)22y x y x --=y x +1, (3)nm n m ++=0。
3、根据分式的基本性质,分式a a b --可变形为( ) A .a a b-- B .a a b + C .-a a b - D .a a b + 4、填空:4 (1) x x x 3222+= ()3+x , (2) 32386b b a =()33a , 5、约分:(1)c ab b a 2263 (2)532164xyz yz x - 三、综合训练:1、通分:(1)231ab 和b a 272 (2)xx x --21和x x x +-21 2、若a =23,则2223712aa a a ---+的值等于______。
2022-2023学年全国初中八年级下数学人教版同步练习考试总分:100 分 考试时间: 120 分钟学校:__________ 班级:__________ 姓名:__________ 考号:__________一、 选择题 (本题共计 8 小题 ,每题 5 分 ,共计40分 )1. 若,的值均扩大为原来的倍,则下列分式的值保持不变的是 A.B.C.D.2. 下列分式是最简分式的是( )A.B.C.D.3. 分式,,的最简公分母是A.B.C.D.4. 已知,则下列说法正确的是( )A.&表示,*表示x y 3()2+xx−y2yx 22y 33x 22y 2(x−y)22a5a 2a5−2aa 2a −2ba +bab −b 2−a 2b 2bax c−3bx a5cx 3()5cx 315abcx15abcx 315abcx 5=y ∗x 2y x &y 2x 362B.&表示,*表示C.&表示,*表示D.&表示,*表示5. 下列算式正确的( )A.B.C.D.6. 在分式、、、、中,最简分式有( )A.个B.个C.个D.个7. 把与通分后, 的分母为,则的分子变为( )A.B.C.D.8. 计算,结果是 A.B.C.32535−1=1(−a +b)2(a −b)2=−a −1−+8a 2a −1+8a 2=x+y +x 2y 2x+y=0.5+2y 0.1+x 5+2y 1+x xy x 2x−11−x 22a 6a +2b x−14x −b 2a 22(a −b)1234a −1+2a +1a 211−a 2a −1+2a +1a 2(1−a)(a +1)211−a 21−a1+a−1−a−1+a−4x 2x−2()x−2x+2x−42x+2D.二、 填空题 (本题共计 4 小题 ,每题 5 分 ,共计20分 )9. 如果,那么________.10. 分式化为最简分式的结果是________.11. 分式,,的最简公分母是:________. 12. 计算:①________;②________;③________.三、 解答题 (本题共计 4 小题 ,每题 10 分 ,共计40分 )13. 约分:. 14. 老师在黑板上书写了一个代数式的正确计算结果,随后用手遮住了原代数式的一部分,如图:(1)求被手遮住部分的代数式,并将其化简;(2)原代数式的值能等于吗?请说明理由. 15. 约分,通分:(1); (2); (3). 16. 化简:(1)(2).x+2x=a b 23=a a +b2y x 24xy2c 6b a 25a 8b 2c 32b 3ac2⋅=x 2x 3(−2=y 2)3=7n m 2−35mn2=2+2ab a 23ab +3b 22a ()−12a(a −1)8a (1−a)b 2−4ab +4a 2b 2−4a 2b2⋅24−9m 239−12m+4m 21−a 2−2a +1a 24b +4a +a 2b 2b 32−8bb 3a 2参考答案与试题解析2022-2023学年全国初中八年级下数学人教版同步练习一、 选择题 (本题共计 8 小题 ,每题 5 分 ,共计40分 )1.【答案】D【考点】分式的基本性质【解析】根据分式的基本性质,,的值均扩大为原来的倍,求出每个式子的结果,看结果等于原式的即是答案.【解答】解:根据分式的基本性质,可知若,的值均扩大为原来的倍,,,错误;,,错误;,,错误;,,正确.故选.2.【答案】C【考点】最简分式【解析】根据最简分式的定义分别对每一项进行判断,即可得出答案.x y 3x y 3A ≠2+3x 3x−3y 2+x x−y B ≠6y 9x 22y x 2C ≠54y 327x 22y 33x 2D =18y 29(x−y)22y 2(x−y)2D【解答】解:、,不是最简分式,故本选项错误;、,不是最简分式,故本选项错误;、,是最简分式,故本选项正确;、,不是最简分式,故本选项错误;故选.3.【答案】C【考点】最简公分母【解析】找出三个分母系数的最小公倍数作为最简公分母的系数,,及为单独出现的字母,连同它的指数作为最简公分母的因式,相同字母取最高次幂次也作为最简公分母的因式,进而确定出三分式的最简公分母.【解答】解:分式,,的分母中,,,的最小公倍数为,的最高次幂为,的最高次幂为,的最高次幂为,的最高次幂为,所以,,的最简公分母为.故选.4.【答案】C【考点】约分【解析】根据分式的约分求解即可.【解答】A =2a 5a 225aB =a 5−2a a 215a −2C a −2b a +bD =ab −b 2−a 2b 2b a +b C a b c x 31ax c −3bx 15cx 313515x 3a 1b 1c 11ax c −3bx 15cx 315abcx 3C =2∗∗−12解:,即,,解得,.故选.5.【答案】A【考点】分式的基本性质【解析】、分子,再与分母约分即可;、把分子和分母都除以得出结论;、是最简分式;、分子和分母同时扩大倍,要注意分子和分母的每一项都要扩大倍.【解答】解:、,所以此选项正确;、,所以此选项错误;、不能化简,是最简分式,所以此选项错误;、,所以此选项错误;故选.6.【答案】A【考点】最简分式【解析】最简分式的标准是分子,分母中不含有公因式,不能再约分.判断的方法是把分子、分母分解因式,并且观察有无互为相反数的因式,这样的因式可以通过符号变化化为相同的因式从而进行约分.【解答】==x 2y ∗y x &y ∗−1x &−2y 2x 3∗−1=2&−2=3∗=3&=5C A (−a +b =(a −b )2)2B −1C D 1010A ==1(−a +b)2(a −b)2(a −b)2(a −b)2B =≠−a −1−+8a 2a +1−8a 2a −1+8a 2C +x 2y 2x+y D =≠0.5+2y 0.1+x 5+20y 1+10x 5+2y 1+x A xy y解:;;;的分子、分母都不能再分解,且不能约分,是最简分式;.故最简分式的个数为.故选.7.【答案】B【考点】最简公分母分式的基本性质【解析】把的分母分解因式,再对照最简公分母,根据分式的基本性质得到,从而确定出分子即可.【解答】解:最简公分母为,则,即分子为.故选.8.【答案】B【考点】约分平方差公式【解析】=xy x 2y x =x−11−x 2−1x+1=2a 6a +2b a 3a +b x−14x =−−b 2a 22(a −b)a +b 21A 11−a 2=11−a 2a +1(1−a)(a +1)2(1−a)(a +1)2==11−a 21(1−a)(1+a)a +1(1−a)(a +1)2a +1B首先利用平方差公式分解分子,再约去分子分母中得公因式.【解答】解:.故选.二、 填空题 (本题共计 4 小题 ,每题 5 分 ,共计20分 )9.【答案】【考点】分式的基本性质【解析】由可知:若设=,则=.代入所求式子就可求出.【解答】∵,∴设=,则=,∴.10.【答案】【考点】最简分式约分【解析】分子、分母约去即可.【解答】==x+2−4x 2x−2(x+2)(x−2)x−2B 25=a b 23a 2xb 3x =a b 23a 2x b 3x ==a a +b 2x 2x+3x 25x 2y2xy =2y 2解:.故答案为:.11.【答案】【考点】最简公分母【解析】根据确定最简公分母的方法:取各分母系数的最小公倍数;凡单独出现的字母连同它的指数作为最简公分母的一个因式;同底数幂取次数最高的,得到的因式的积就是最简公分母,求解即可.【解答】解:分式,,分母分别为:,,,故其最简公分母是.故答案为:.12.【答案】,,【考点】约分同底数幂的乘法幂的乘方与积的乘方【解析】①根据同底数幂的乘法法则进行计算;②根据幂的乘方与积的乘方法则进行计算;③约分即可.【解答】解::①;②;==2y x 24xy 22xy ⋅x 2xy ⋅2y x 2y x 2y 24a 2b 2c 3(1)(2)(3)c 6b a 25a 8b 2c 32b 3ac 26b a 28b 2c 33ac 224a 2b 2c 324a 2b 2c 3x 5−8y 6−m 5n⋅==x 2x 3x 2+3x 5(−2=(−2⋅=−8y 2)3)3y 2×3y 6−7n 2③.故答案为:①;②;③.三、 解答题 (本题共计 4 小题 ,每题 10 分 ,共计40分 )13.【答案】.【考点】约分【解析】先分子与分母因式分解,然后约分即可.【解答】解:;14.【答案】设被手遮住部分的代数式为.则,,,则.不能,理由:若能使原代数式的值能等于,则,即=,但是,当=时,原代数式中的除数,原代数式无意义.所以原代数式的值不能等于.【考点】分式的乘除运算分式的基本性质【解析】=−7n m 2−35mn 2m 5n x 5−8y 6−m 5n3b ==2+2ab a 23ab +3b 22a(a +b)3b(a +b)2a 3b A [A−]×=(x+1)(x−1)(x−1)2x+1x x+1x−1(A−)×=x+1x−1x+1x x+1x−1A−=x+1x−1x x−1A =+=x x−1x+1x−12x+1x−1−1=−1x+1x−1x 0x 0=0x x+1−1(1)直接利用分式的乘除运算法则计算得出答案;(2)当原式=,求出的值,进而分析得出答案.【解答】设被手遮住部分的代数式为.则,,,则.不能,理由:若能使原代数式的值能等于,则,即=,但是,当=时,原代数式中的除数,原代数式无意义.所以原代数式的值不能等于.15.【答案】解:;(2);(3).【考点】通分约分【解析】(1)把分子与分母进行约分即可;(2)根据平方差公式和完全平方公式先把分子与分母进行因式分解,然后约分即可;(3)先把分母进行因式分解,然后通分,即可得出答案.【解答】解:;(2);(3).−1x A [A−]×=(x+1)(x−1)(x−1)2x+1x x+1x−1(A−)×=x+1x−1x+1x x+1x−1A−=x+1x−1x x−1A =+=x x−1x+1x−12x+1x−1−1=−1x+1x−1x 0x 0=0xx+1−1(1)=−2a(a −1)8a (1−a)b 214b 2==−4ab +4a 2b 2−4a 2b 2(a −2b)2(a +2b)(a −2b)a −2ba +2b ⋅=⋅=24−9m 239−12m+4m 22(2+3m)(2−3m)3(2−3m)26(2+3m)(2−3m)3(1)=−2a(a −1)8a (1−a)b 214b 2==−4ab +4a 2b 2−4a 2b 2(a −2b)2(a +2b)(a −2b)a −2ba +2b ⋅=⋅=24−9m 239−12m+4m 22(2+3m)(2−3m)3(2−3m)26(2+3m)(2−3m)316.【答案】原式;原式,,,.【考点】约分【解析】(1)首先把分子分母分解因式,然后再约分即可;(2)首先把分子分母分解因式,然后再约分即可.【解答】原式;原式,,,.==(1−a)(1+a)(1−a)21+a 1−a =b(4+4ab +)a 2b 22b(−4)b 2a 2=b(2a +b)22b(b −2a)(b +2a)=2a +b 2(b −2a)=2a +b 2b −4a==(1−a)(1+a)(1−a)21+a 1−a =b(4+4ab +)a 2b 22b(−4)b 2a 2=b(2a +b)22b(b −2a)(b +2a)=2a +b 2(b −2a)=2a +b 2b −4a。
2022-2023学年全国初中八年级下数学人教版同步练习考试总分:100 分 考试时间: 120 分钟学校:__________ 班级:__________ 姓名:__________ 考号:__________一、 选择题 (本题共计 8 小题 ,每题 5 分 ,共计40分 )1. 如图,一架梯子,斜靠在竖直的墙上,是中点,表示梯子沿墙上、下滑动过程中的某个位置,则在梯子滑动过程中,的变化趋势为( )A.下滑时,增大B.上升时,减小C.无论怎样滑动,不变D.只要滑动,就变化2. 图是一个地铁站入口的双翼闸机.如图,它的双翼展开时,双翼边缘的端点与之间的距离为,双翼的边缘,且与闸机侧立面夹角.当双翼收起时,可以通过闸机的物体的最大宽度为( )A.B.C.D.3. 在中, 的对边分别是,,,下列条件中,不能判定是直角三角形的是( )A.AB P AB A'B'AB AB OP OP OP OP OP 12A B 10cm AC=BD =54cm ∠PCA=∠BDQ=30∘64cm(54+10)cm2–√(54+10)cm3–√54cm△ABC ∠A,∠B ∠C αb c △ABC a :b :c =1:2:2B.C.D.4. 如图,在中,,于点,和的角平分线相交于点,为边的中点,,则( )A.B.C.D.5. 一根竖直的竹竿于离地面米处折断倒下,倒下的部分与地面成度角,这根竹竿在折断前的长度为( )A.B.C.D.6. 下列命题中,假命题是( )A.菱形的面积等于两条对角线乘积的一半B.矩形的对角线相等C.对角线互相垂直的平行四边形是矩形D.对角线相等的菱形是正方形7. 如图所示,点是矩形对角线的中点,交于点.若,,则的长为( )A.∠A+∠B =∠Ca =1,b =3,c =10−−√∠A+∠B =90∘△ABC ∠B =50∘CD ⊥AB D ∠BCD ∠BDC E F AC CD=CF ∠ACD+∠CED =125∘145∘175∘190∘53010m15m25m30mO ABCD AC OE//AB AD E OE =3BC =8OB 4C.D.8. 在中,,,,则点到的距离是 A.B.C.D.二、 填空题 (本题共计 4 小题 ,每题 5 分 ,共计20分 )9. 如图,在中, ,是斜边中点,若,,则________.10. 如图,在中,,是的平分线,是的垂直平分线,则________.11. 如图,是上一点,是上一点,、交于点,且,那么_________.34−−√234−−√Rt △ABC ∠C =90∘AC =9BC =12C AB ()36512259433–√4Rt △ABC ∠ACB =90∘D AB ∠B =30∘AC =2CD =△ABC ∠A =90∘BD ∠ABC DE BC ∠C =D BC E AB AD CE P AE :EB =3:2,CP :CE =5:6DB :CD =12. 如图,在中,斜边上的中线,则________.三、 解答题 (本题共计 4 小题 ,每题 10 分 ,共计40分 )13. 如图在中,,平分,点为中点,则________. 14. 如图,为等边三角形,,,相交于点,于点,,.求证:;求的长.15. 如图,中,, ,点在边上运动(不与,重合),点在线段上,连结,.点运动时,始终满足.当时,判断的形状并说明理由;当的最小值为时,此时________;在点的运动过程中, 的形状是等腰三角形时,请直接写出此时的度数.Rt △ABC AB CD =5AB =△ABC AB =AC =10AD ∠BAC E AC DE =△ABC AE =CD AD BE P BQ ⊥AD Q PQ =3PE =1(1)AD =BE (2)AD △ABC AB =AC ∠B =30∘O BC O B C D AB AO OD O ∠AOD =∠B (1)OD//AC △AOB (2)AO 2BD =(3)O △AOD ∠BDO16.如图,中,, ,点,分别在,上,且,连接,,点是 的中点,连接,则线段,的关系是________;如图将绕点顺时针旋转,线段,的关系是否仍成立?请说明理由;将绕点在平面内自由旋转,连接,若,,当时,请画出图形并直接写出线段的长.(1)1△ABC AB =AC ∠BAC =90∘D E AB AC AD =AE BE CD M BE AM AM CD (2)2△ADE A α(<α<)0∘360∘AM CD (3)△ADE A DM AD =1AB =3∠ADC =90∘DM参考答案与试题解析2022-2023学年全国初中八年级下数学人教版同步练习一、 选择题 (本题共计 8 小题 ,每题 5 分 ,共计40分 )1.【答案】C【考点】直角三角形斜边上的中线【解析】根据直角三角形斜边上的中线等于斜边的一半可得.【解答】解:∵,点是的中点,∴,∴无论怎样滑动,的长度不变.故选.2.【答案】A【考点】含30度角的直角三角形【解析】过作于,过作于,则可得和的长,依据端点与之间的距离为,即可得到可以通过闸机的物体的最大宽度.【解答】解:如图所示,OP =AB 12AO ⊥BO P AB OP =AB 12OP C A AE ⊥CP E B BF ⊥DQ F AE BF A B 10cm过作于,过作于,则中,,同理可得,,又∵点与之间的距离为,∴通过闸机的物体的最大宽度为,故选.3.【答案】A【考点】直角三角形的性质【解析】此题暂无解析【解答】略4.【答案】C【考点】等边三角形的性质与判定三角形内角和定理直角三角形斜边上的中线【解析】根据直角三角形的斜边上的中线的性质,即可得到是等边三角形,进而得到=,根据和的角平分线相交于点,即可得出=,即可得到==.A AE ⊥CP EB BF ⊥DQ F Rt △ACE AE =AC =×541212=27(cm)BF =27cm A B 10cm 27+10+27=64(cm)A △CDF ∠ACD 60∘∠BCD ∠BDCE ∠CED 115∘∠ACD+∠CED +60∘115∘175∘【解答】解:连结,如图所示,∵,为边的中点,∴,又∵,∴,∴是等边三角形,∴,∵,∴,∵和的角平分线相交于点,∴,∴,∴.故选.5.【答案】B【考点】含30度角的直角三角形【解析】根据题目的已知条件,利用线段长短的计量和含度角的直角三角形的相关知识可以得到问题的答案,需要掌握度量法:即用一把刻度量出两条线段的长度再比较;叠合法:从“形”的角度比较,观察点的位置;在直角三角形中,如果一个锐角等于,那么它所对的直角边等于斜边的一半.【解答】解:如图,在中,,,,∴,∴这根竹竿在折断前的长度为.故选.DF CD ⊥AB F AC DF =AC 12=CF CD=CF CD=DF =CF △CDF ∠ACD=60∘∠B =50∘∠BCD+∠BDC =130∘∠BCD ∠BDC E ∠DCE+∠CDE =65∘∠CED=115∘∠ACD+∠CED =+60∘115∘=175∘C 3030∘Rt △ABC ∠C =90∘BC =5∠A =30∘AB =2BC =10AB+BC =10+5=15mB6.【答案】C【考点】命题与定理【解析】根据菱形的面积公式、矩形的性质、菱形、正方形的判定定理判断即可.【解答】、菱形的面积等于两条对角线乘积的一半,是真命题;、矩形的对角线相等,是真命题;、对角线互相垂直的平行四边形是菱形,本选项说法是假命题;、对角线相等的菱形是正方形,是真命题;7.【答案】B【考点】矩形的性质平行线分线段成比例勾股定理直角三角形斜边上的中线【解析】由平行线分线段成比例可得=,由勾股定理可得=,由直角三角形的性质可得的长.【解答】解:∵四边形是矩形,∴,,∵,∴,∴,且,,∴,在中,,∵点是斜边上的中点,A B C D CD 6AC 10OB ABCD AB//CD AD=BC =8OE//AB OE//CD =AO AC OE CD AO =AC 12OE=3CD =6Rt △ADC AC ==10A +C D 2D 2−−−−−−−−−−√O AC O =AC =51∴.故选.8.【答案】A【考点】三角形的面积勾股定理【解析】根据题意画出相应的图形,如图所示,在直角三角形中,由及的长,利用勾股定理求出的长,然后过作垂直于,由直角三角形的面积可以由两直角边乘积的一半来求,也可以由斜边乘以斜边上的高除以来求,两者相等,将,及的长代入求出的长,即为到的距离.【解答】解:根据题意画出相应的图形,如图所示:在中,,,,根据勾股定理得:.过作,交于点.又,∴,则点到的距离是.故选.二、 填空题 (本题共计 4 小题 ,每题 5 分 ,共计20分 )9.【答案】【考点】直角三角形斜边上的中线BO =AC =512B ABC AC BC AB C CD AB AB CD 2AC AB BC CD C AB Rt △ABC ∠C =90∘AC =9BC =12AB ==15+AC 2BC 2−−−−−−−−−−√C CD ⊥AB AB D =AC ⋅BC =AB ⋅CD S △ABC 1212CD ===AC ⋅BC AB 9×1215365C AB 365A 2含30度角的直角三角形【解析】此题暂无解析【解答】解:∵,,∴,∵为斜边的中点,∴.故答案为:.10.【答案】【考点】含30度角的直角三角形线段垂直平分线的性质角平分线的定义【解析】【解答】解:∵是的垂直平分线,∴,,∴,∴,∴.∵,是的平分线,∴,∴.故答案为:.11.【答案】【考点】平行线分线段成比例∠ACB =90∘∠B =30∘AB =2AC =4D AB CD =AB =212230∘DE BC BE =EC DE ⊥BC ∠CED =∠BED △CED ≅△BED ∠C =∠DBE ∠A =90∘BD ∠ABC ∠ABE =2∠DBE =2∠C ∠C =30∘30∘1:3平行线的判定与性质平行线的性质【解析】此题暂无解析【解答】此题暂无解答12.【答案】【考点】直角三角形斜边上的中线【解析】根据直角三角形斜边上的中线等于斜边的一半求出AB ,【解答】解:在中,斜边上的中线,则.故答案为:.三、 解答题 (本题共计 4 小题 ,每题 10 分 ,共计40分 )13.【答案】【考点】直角三角形斜边上的中线等腰三角形的性质【解析】此题暂无解析【解答】10Rt △ABC AB CD =5AB =2CD =10105解:∵,平分,∴为等腰三角形,且垂直平分,∴为直角三角形,∵为中点,∴直角三角形斜边上的中线等于斜边的一半,∴.故答案为:.14.【答案】证明:∵为等边三角形,∴,;在和中,∴,∴.解:∵,∴,∴.∵,∴,∴.∵,∴在中,.又∵,∴.【考点】含30度角的直角三角形等边三角形的性质全等三角形的判定全等三角形的性质【解析】(1)根据等边三角形的三条边都相等可得,每一个角都是可得,,然后利用“边角边”证明和全等,根据全等三角形对应边相等证明即可;(2)根据全等三角形对应角相等可得,然后求出,再根据直角三角形AB =AC =10AD ∠BAC △ABC AD BC △ADC E AC DE =AC ÷2=55(1)△ABC AB =CA =BC ∠BAE =∠ACD =60∘△ABE △CAD AB =CA,∠BAE =∠ACD =,60∘AE =CD,△ABE ≅△CAD(SAS)AD =BE (2)△ABE ≅△CAD ∠CAD =∠ABE ∠BPQ =∠ABE+∠BAD =∠BAD+∠CAD =∠BAE =60∘BQ ⊥AD ∠AQB =90∘∠PBQ =−=90∘60∘30∘PQ =3Rt △BPQ BP =2PQ =6PE =1AD =BE =BP +PE =6+1=7AB =CA 60∘∠BAE =∠ACD =60∘△ABE △CAD ∠CAD =∠ABE ∠BPQ =60∘两锐角互余求出,然后根据直角三角形角所对的直角边等于斜边的一半求出,再根据代入数据进行计算即可得解.【解答】证明:∵为等边三角形,∴,;在和中,∴,∴.解:∵,∴,∴.∵,∴,∴.∵,∴在中,.又∵,∴.15.【答案】解: 为直角三角形,理由如下:∵,,∴,∴,∵,,∴,∴,∴是直角三角形.当时,,∴;当时,,∴;当时,,∴,此时,重合,故舍去.故或.【考点】直角三角形的性质垂线段最短∠PBQ =30∘30∘BP =2PQ AD =BE =BP +PE (1)△ABC AB =CA =BC ∠BAE =∠ACD =60∘△ABE △CAD AB =CA,∠BAE =∠ACD =,60∘AE =CD,△ABE ≅△CAD(SAS)AD =BE (2)△ABE ≅△CAD ∠CAD =∠ABE ∠BPQ =∠ABE+∠BAD =∠BAD+∠CAD =∠BAE =60∘BQ ⊥AD ∠AQB =90∘∠PBQ =−=90∘60∘30∘PQ =3Rt △BPQ BP =2PQ =6PE =1AD =BE =BP +PE =6+1=7(1)△AOB AB =AC ∠B =30∘∠C =∠B =30∘∠BAC =−−=180∘30∘30∘120∘OD//AC ∠AOD =∠B =30∘∠OAC =∠AOD =30∘∠BAO =−=120∘30∘90∘△AOB 3(3)DA =DO ∠OAD =∠AOD =30∘∠BDO =∠OAD+∠AOD =60∘OA =OD ∠ODA =∠OAD =×(−)=12180∘30∘75∘∠BDO =−=180∘75∘105∘AD =AO ∠ADO =∠AOD =30∘∠OAD ==∠BAC 120∘O C ∠BDO =60∘105∘等腰三角形的判定与性质【解析】利用角的关系,即可得出答案;利用特殊三角形的性质判断即可求出;利用等腰三角形的性质,分类讨论即可.【解答】解: 为直角三角形,理由如下:∵,,∴,∴,∵,,∴,∴,∴是直角三角形.当最短时,,,∴,,∴,,∴,∵,,∴,∴.故答案为:.当时,,∴;当时,,∴;当时,,∴,此时,重合,故舍去.故或. 16.【答案】,结论成立,理由:延长到,使得,连接,,延长交于,交于,如图所示,∵,,∴四边形是平行四边形,∴,,∴.(1)(2)(3)(1)△AOB AB =AC ∠B =30∘∠C =∠B =30∘∠BAC =−−=180∘30∘30∘120∘OD//AC ∠AOD =∠B =30∘∠OAC =∠AOD =30∘∠BAO =−=120∘30∘90∘△AOB (2)AO AO ⊥BC AO =2∠BAO =60∘∠AOD =30∘∠ODA =90∘AO =2AD =1∠B =30∘AO =2AB =4BD =AB−AD =4−1=33(3)DA =DO ∠OAD =∠AOD =30∘∠BDO =∠OAD+∠AOD =60∘OA =OD ∠ODA =∠OAD =×(−)=12180∘30∘75∘∠BDO =−=180∘75∘105∘AD =AO ∠ADO =∠AOD =30∘∠OAD ==∠BAC 120∘O C ∠BDO =60∘105∘AM =CD 12AM ⊥CD (2)AM H MH =AM BH EH CD AH J AB T AM =MH BM =ME ABHE BH =AE BH//AE ∠ABH+∠BAE =180∘∵,∴,∴.∵,,∴,∴,,∴.∵,∴,∴,∴.当在的内部时,如图,∵, ,,∴.∵,,∴,,三点共线,∴,∴;当在的外部时,如图,同理可得,综上所述,的值为或.【考点】全等三角形的性质与判定直角三角形斜边上的中线旋转的性质等腰直角三角形勾股定理【解析】∠BAC =∠DAE =90∘∠DAC +∠BAE =∠BAC +∠DAE =180∘∠DAC =∠HBA AC =BA BH =AE =AD △DAC ≅△HBA(SAS)CD =AH∠ACD =∠BAH AM =CD 12∠BAH+∠CAH =90∘∠ACD+∠CAH =90∘∠AJC =90∘AM ⊥CD (3)D △ABC ∠ADC =90∘AD=1AC=3CD ===2A −A C 2D 2−−−−−−−−−−√−132−−−−−√2–√AM ⊥CD AD ⊥CD A D M AM =CD =122–√DM =AM −AD =−12–√D △ABC DM =+12–√DM −12–√+12–√【解答】解:∵, ,,∴,∴,.∵,,∴,∴,∴.∵,∴,∴.故答案为:,.结论成立,理由:延长到,使得,连接,,延长交于,交于,如图所示,∵,,∴四边形是平行四边形,∴,,∴.∵,∴,∴.∵,,∴,∴,,∴.∵,∴,∴,∴.当在的内部时,如图,∵, ,,∴.∵,,∴,,三点共线,∴,∴;当在的外部时,如图,(1)AD =AE ∠DAC =∠EAB =90∘AC =AB △DAC ≅△EAB(SAS)CD =BE ∠ACD =∠ABE ∠BAE =90∘BM =ME AM =BE 12AM =BM =ME =CD 12∠ABM =∠MAB =∠ACD ∠MAB+∠CAM =90∘∠ACD+∠CAM =90∘AM ⊥CD AM =CD 12AM ⊥CD (2)AM H MH =AM BH EH CD AH J AB T AM =MH BM =ME ABHE BH =AE BH//AE ∠ABH+∠BAE =180∘∠BAC =∠DAE =90∘∠DAC +∠BAE =∠BAC +∠DAE =180∘∠DAC =∠HBA AC =BA BH =AE =AD △DAC ≅△HBA(SAS)CD =AH ∠ACD =∠BAH AM =CD 12∠BAH+∠CAH =90∘∠ACD+∠CAH =90∘∠AJC =90∘AM ⊥CD (3)D △ABC ∠ADC =90∘AD =1AC =3CD ===2A −A C 2D 2−−−−−−−−−−√−132−−−−−√2–√AM ⊥CD AD ⊥CD A D M AM =CD =122–√DM =AM −AD =−12–√D △ABC同理可得,综上所述,的值为或.DM =+12–√DM −12–√+12–√。
2022-2023学年全国初中八年级下数学人教版同步练习考试总分:100 分 考试时间: 120 分钟学校:__________ 班级:__________ 姓名:__________ 考号:__________一、 选择题 (本题共计 8 小题 ,每题 5 分 ,共计40分 )1. 如果一个多边形的内角和等于度,那么这个多边形的边数为()A.B.C.D.2. 一个多边形的每一个外角都等于,则该多边形的内角和等于( )A.B.C.D.3. 过边形的其中一个顶点有条对角线,则为 A.B.C.D.4. 设四边形的内角和等于,五边形的外角和等于,则与的关系是( )A.B.C.D.5. 已知一个多边形的内角和为,则这个多边形为 ( )360456736∘360∘1080∘1260∘1440∘n 5n ()5678a b a b a =ba =b +180∘b =a +180∘b =a +360∘540∘A.三角形B.四边形C.五边形D.六边形6. 下列各组图形中,对角线互相平分且垂直的是( )A.平行四边形与菱形B.矩形与正方形C.菱形与矩形D.菱形与正方形7. 如图,已知点,,分别在的三边上,将沿,翻折,顶点,均落在内的点处,且与重合于线段,若,则的度数为( )A.B.C.D.8. 以下说法中,假命题的个数有( )多边形的外角和是;边形的对角线有;三角形的个内角中,至少有个角是锐角.A.B.C.D.二、 填空题 (本题共计 4 小题 ,每题 5 分 ,共计20分 )D E F △ABC △ABC DE DF B C △ABC O BD CD OD ∠AEO +∠AFO =58∘∠A 58∘59∘60∘61∘(1)360∘(2)n n(n−2)2(3)3201239. 把相应的条件填在横线上.(1)________或________.(2)________或________.(3)________或________.(4)________或________.(5)________或________.10. 某多边形内角和与外角和共,则这个多边形为________边数.11. 一个凸多边形共有条对角线,它是________边形.12. 如果一个正边形的每一个外角都是,那么=________.三、 解答题 (本题共计 4 小题 ,每题 10 分 ,共计40分 )13. 计算:(1)(2)计算:(3)计算:(4)计算:14. 一个多边形,它的内角和与一个外角的差为,求这个多边形的边数与这一个外角的度数.15. 如果一个多边形的内角和是它的外角和的倍,那么这个多边形是几边形.16. 如图,四边形各个顶点的坐标分别为.1080∘35n 72∘n 1200∘6ABCD (−2,8),(−11,6),(−14,0),(0,0)确定这个四边形的面积,你是怎么做的?如果把原来各个顶点纵坐标保持不变,横坐标增加,所得的四边形面积又是多少?(1)(2)ABCD 2参考答案与试题解析2022-2023学年全国初中八年级下数学人教版同步练习一、 选择题 (本题共计 8 小题 ,每题 5 分 ,共计40分 )1.【答案】A【考点】多边形内角与外角多边形规律型:图形的变化类【解析】【解【解答】此题暂无解答2.【答案】D【考点】多边形内角与外角多边形的内角和【解析】根据外角和以及每一个外角确定出多边形的边数,即可求出内角和.【解答】解:根据题意得:,,则该多边形的内角和等于.317÷=10360∘36∘(10−2)×=180∘1440∘1440∘故选.3.【答案】D【考点】多边形的对角线【解析】根据从多边形的一个顶点可以作对角线的条数公式求出边数即可得解.【解答】解:∵边形从一个顶点出发可引出条对角线,∴,解得.故选.4.【答案】A【考点】多边形内角与外角多边形的外角和多边形的内角和【解析】根据多边形的内角和定理与多边形外角的关系即可得出结论.【解答】解:∵四边形的内角和等于,∴.∵五边形的外角和等于,∴,∴.故选.5.【答案】D (n−3)n 5n−3=5n =8D a a =(4−2)⋅=180∘360∘b b =360∘a =b AC【考点】多边形的外角和【解析】此题暂无解析【解答】此题暂无解答6.【答案】D【考点】多边形【解析】根据菱形的对角线互相垂直平分,正方形的对角线互相垂直平分性质进行分析从而得到正确答案.【解答】解:、不正确,平行四边形的对角线不互相垂直;、不正确,矩形的对角线不互相垂直;、不正确,矩形的对角线不互相垂直;、正确,两者的对角线均具有此性质;故选:.7.【答案】D【考点】多边形的内角和三角形内角和定理翻折变换(折叠问题)【解析】根据折叠形式可得:A B C D D,根据四边形内角和定理得出的度数,再由三角形内角和定理即可解答.【解答】解:由折叠性质可得:,,,,,,则.∵,,∴.∵,∴,∴.∵,∴,∴,∴.故选.8.【答案】B【考点】多边形的外角和多边形的对角线三角形内角和定理命题与定理【解析】根据边形的外角和定理对①进行判断;根据边形的对角线公式对②进行判断;根据三角形内角和定理对③进行判断.【解答】解:中,多边形的外角和是,故正确;中,边形的对角线有,故错误;中,三角形的个内角中,至少有个角是锐角,故正确.综上,假命题的个数有个.故选.二、 填空题 (本题共计 4 小题 ,每题 5 分 ,共计20分 )9.∠CDF =∠ODF,∠BDE =∠ODE,∠BED =∠OED,∠DFC =∠OFD,∠B =∠EOD,∠C =∠DOF ∠B+∠C ∠CDF =∠ODF ∠BDE =∠ODE ∠BED =∠OED ∠DFC =∠DFO ∠B =∠EOD ∠C =∠DOF ∠ODE+∠ODF =90∘∠AEO +∠BED+∠OED =180∘∠AFO +∠OFD+∠DFC =180∘∠AEO +∠BED+∠OED+∠AFO +∠OFD+∠DFC =360∘∠AEO +∠AFO =58∘2(∠OED+∠OFD)=−360∘58∘∠OED+∠OFD =151∘∠EOF +∠OED+∠EDF +∠OFD =360∘∠EOF =119∘∠B+∠C =119∘∠A =−(∠B+∠C)=180∘61∘D n n (1)360∘(2)n n(n−3)2(3)321B对边平行且相等,两组对边相互平行对角线相等,有一内角为直角对角线互相垂直平分,邻边相等邻边相等,对角线互相垂直有一内角为直角,对角线相等【考点】多边形【解析】根据平行四边形、矩形、菱形以及正方形的判定定理进行填空.【解答】解:(1)对边平行且相等或两组对边相互平行.(2)对角线相等或有一内角为直角.(3)对角线互相垂直平分或 邻边相等.(4)邻边相等或对角线互相垂直.(5)有一内角为直角或对角线相等.10.【答案】六【考点】多边形的内角和多边形的外角和【解析】此题暂无解析【解答】解:多边形的内角和为.设多边形的边数为,则,解得.故答案为:六.11.【答案】十−=1080∘360∘720∘n (n−2)×=180∘720∘n =6多边形的对角线解一元二次方程-公式法【解析】设它是边形,从任意一个顶点发出的对角线有条,则边形共有对角线条,即可列出方程:,求解即可.【解答】解:设它是边形,根据题意得:,解得,(不符题意,舍去),故它是十边形.故答案为:十.12.【答案】【考点】多边形内角与外角【解析】根据正多边形的边数=每一个外角的度数,进行计算即可得解.【解答】==.三、 解答题 (本题共计 4 小题 ,每题 10 分 ,共计40分 )13.【答案】(1)【答案(2);(3);(4)n n−3n n(n−3)2n(n−3)2n =35n(n−3)2=10n 1=−7n 25÷360∘n ÷360∘72∘5g−892−3;(4)−81112多边形内角与外角二次根式的性质与化简绝对值【解析】(1)先将加法化为加法,再计算加法即可;(2)向将除法化为乘法,再计算乘法即可;(3)利用乘法分配律计算即可;(4)先计算乘方,再计算乘法,最后计算加法和减法.【解答】(1)原式(2)原式(3)原式(4)原式14.【答案】解:设这个外角相邻的内角度数为,边数为,根据题意,得,解得:,由于,即,解得,所以,.故多边形的边数是,这个外角的度数为.【考点】多边形内角与外角=−3+(−2)+(−4)+1=9+1=−8=(−3)×6×(−)×1212=92=−×(−24)+×(−24)−×(−24)135638=8+(−20)−(−9)=8+(−20)+9=−3;=−9−(−)×−2782923=−9−(−)−3423=−9+−3423=−81112x n (n−2)×−(−x)=180∘180∘1200∘x =−n+=−n 1200∘180∘540∘1740∘180∘0<x <180∘0<−n <1740∘180∘180∘8<n <92323n =9−x =180∘60∘960∘根据边形的内角和定理可知:边形内角和为.设这个内角度数为度,利用方程即可求出答案.【解答】解:设这个外角相邻的内角度数为,边数为,根据题意,得,解得:,由于,即,解得,所以,.故多边形的边数是,这个外角的度数为.15.【答案】解:设这个多边形有条边.由题意得:,解得.则这个多边形是十四边形.【考点】多边形的外角和多边形的内角和多边形内角与外角【解析】一个多边形的内角和是它的外角和的倍,而外角和是,则内角和是.边形的内角和可以表示成,设这个多边形的边数是,就得到方程,从而求出边数.【解答】解:设这个多边形有条边.由题意得:,解得.则这个多边形是十四边形.16.【答案】解:过点,分别作,垂直于轴,n n (n−2)×180∘x x n (n−2)×−(−x)=180∘180∘1200∘x =−n+=−n 1200∘180∘540∘1740∘180∘0<x <180∘0<−n <1740∘180∘180∘8<n <92323n =9−x =180∘60∘960∘n (n−2)×=×6180∘360∘n =144360∘6×360∘n (n−2)⋅180∘n n (n−2)×=×6180∘360∘n =14(1)B A BF AE x所以四边形的面积;根据平移的性质可知,平移后的图形形状和大小不变,所以所得的四边形面积是.【考点】多边形坐标与图形性质【解析】利用分割法,把四边形分割成两个三角形加上一个梯形后再求面积,或补直角三角形成长方形.【解答】解:过点,分别作,垂直于轴,所以四边形的面积;根据平移的性质可知,平移后的图形形状和大小不变,所以所得的四边形面积是.=×3×6+×(6+8)×9+×2×8=80121212(2)80(1)B A BF AE x =×3×6+×(6+8)×9+×2×8=80121212(2)80。
2022-2023学年全国初中八年级下数学人教版同步练习考试总分:100 分 考试时间: 120 分钟学校:__________ 班级:__________ 姓名:__________ 考号:__________一、 选择题 (本题共计 8 小题 ,每题 5 分 ,共计40分 )1. 古希腊几何学家海伦和我国南宋数学家秦九韶都曾提出利用三角形的三边求面积的公式,称为海伦秦九韶公式:如果一个三角形的三边长分别是,,,记,那么三角形的面积.如图,在中,,,所对的边分别记为,,,若,,,则的面积为( )A.B.C.D.2. 下列各式运算正确的是A.B.C.D.3. 下列运算中正确的是( )A.B.C.D.−a b c p =a +b +c 2S =p(p −a)(p −b)(p −c)−−−−−−−−−−−−−−−−−−√△ABC ∠A ∠B ∠C a b c a =5b =6c =7△ABC 66–√−2341814( )=±aa 2−−√=a 4−−√a 2÷(+)=+318−−√6–√2–√3–√=⋅ab −−√a −√b√2⋅3=67–√7–√7–√===43−−√4–√3–√23–√()3–√223–√3===33–√9–√39−−√13−−√÷×=÷=115−−√5–√3–√15−−√15−−√4. 一直角三角形的斜边长为,其中一直角边长为,则这个三角形的面积为( )A.B.C.D.5. 下列计算正确的是( )A.B. C.D.6. 下列计算正确的是( )A.-=B.=C.=D.-= 7. 下列运算中正确的是( )A.=B.=C.=D.8. 如图,在数学课上,老师用个完全相同的小长方形的无重叠的情况下拼成了一个大长方形,已知小长方形的长为、宽为,下列是四位同学对该大长方形的判断,其中不正确的是( )15cm 5cm 25c 2–√m 250c 2–√m 2c 752m 275cm 2=7549−−−√5–√=2=412−−−√12−−√2–√=37−−√173–√=2a 81b 2−−−−√19b2a −−√63a −a 22ab +3ba 6ab−6÷325310−−√210−−√6−−√A.大长方形的长为B.大长方形的宽为C.大长方形的长为D.大长方形的面积为二、 填空题 (本题共计 4 小题 ,每题 5 分 ,共计20分 )9. 在中,,则斜边上的中线长为________.10. 计算的结果是________.11. 计算:________.12. 计算:________.三、 解答题 (本题共计 4 小题 ,每题 10 分 ,共计40分 )13. 如图,某居民小区有一块矩形绿地,矩形绿地的长为,宽为,现要在该矩形绿地中修建一个矩形花坛(图中阴影部分),矩形花坛的长为,宽为.矩形的周长是多少?除去修建花坛的地方,其他地方全部修建成通道,通道上要铺设造价为元/的地砖,若要铺完整个通道,则购买地砖需要花费多少元?(结果化为最简二次根式)14. 先化简,再求值: ,其中. 15. 计算:;已知,,求 的值. 16. 计算;;610−−√510−−√1110−−√300Rt △ABC ∠C =,∠A =,BC =290∘30∘(−4)(+4)3–√3–√÷45−−√=5–√÷=16−−√2–√ABCD BC m 243−−−√AB m 128−−−√(+1)m 14−−√(−1)m 14−−√(1)ABCD (2)10m 2÷(1−)−2x+1x 2+xx 22x+1x =+12–√(1)+−6(+1)3–√227−−√13−−√(2)a =2+3–√b =2−3–√+a 2b 2(1)−3+32−−√12−−√8–√(2)−(+)(−)(−2)3–√25–√3–√5–√3–√(+)−÷–√–√−−√−−√−−√.参考答案与试题解析2022-2023学年全国初中八年级下数学人教版同步练习一、 选择题 (本题共计 8 小题 ,每题 5 分 ,共计40分 )1.【答案】A【考点】二次根式的化简求值【解析】本题目考查了海伦-秦九韶公式,解题关键是理解题意,根据题意把的三边长代入公式计算出结果即可.【解答】解:根据题意得,,.故选2.【答案】B【考点】二次根式的混合运算二次根式有意义的条件二次根式的性质与化简【解析】根据题意逐项进行判断即可得到结果.【解答】(3)(+)−÷3–√8–√50−−√30−−√45−−√△ABC S =p(p −a)(p −b)(p −c)−−−−−−−−−−−−−−−−−√p ===9a +b +c 25+6+72=S △ABC p(p −a)(p −b)(p −c)−−−−−−−−−−−−−−−−−√=9×(9−5)×(9−6)×(9−7)−−−−−−−−−−−−−−−−−−−−−−−−√=66–√A.|a|={a,a ≥0,解:,错误;,,正确;,,错误;,当,都为负数时不成立,错误.故选.3.【答案】B【考点】二次根式的乘除法二次根式的性质与化简【解析】根据二次根式的乘除法则求出每个式子的值,再判断即可.【解答】、=,故本选项不符合题意;、,故本选项,符合题意;、,故本选项不符合题意;、,故本选项不符合题意;4.【答案】A【考点】二次根式的应用【解析】根据勾股定理求出另一条直角边,再根据三角形面积公式列式计算可得.【解答】解:根据勾股定理可知直角三角形的另一条直角边为:,A =|a|={a 2−−√a,a ≥0,−a,a <0,B ==a 4−−√()a 22−−−−√a 2C ÷(+)=18−−√6–√2–√18−−√+6–√2–√==(−)18−−√6–√2–√(+)(−)6–√2–√6–√2–√3−33–√2D a b B A 2×3=6×77–√7–√42B ===43−−√4–√3–√23–√23–√3C =3–√9–√3–√3D ÷×===315−−√5–√3–√(15÷5)×3−−−−−−−−−−√3×3−−−−√=10cm −15252−−−−−−−√2–√5×10=25c1则直角三角形面积为:,故选:.5.【答案】D【考点】二次根式的化简求值【解析】将各个根式化简求值即可.【解答】解:,,故错误;,,故错误;,,故错误;,,故正确.故选.6.【答案】C【考点】二次根式的混合运算【解析】根据二次根式的加减法对、、进行判断;根据二次根式的乘法法则对进行判断.【解答】、原式=-,所以选项错误;、原式==,所以选项错误;、原式=,所以选项正确;、原式=-=,所以选项错误.7.【答案】×5×10=25c 122–√2–√m 2A A =549−−−√5–√7A B ==412−−−√92−−√32–√2B C ==37−−√3×77×7−−−−−√21−−√7C D =2a 81b 2−−−−√19b2a −−√D D A B C C A 2A B 2+35B C C D 54DD【考点】有理数的乘方有理数的除法合并同类项【解析】此题暂无解析【解答】此题暂无解答8.【答案】C【考点】二次根式的应用【解析】根据图形可知大长方形的长是小长方形宽的倍,大长方形的宽是小长方形长与宽的和,由此即可判断.【解答】解:由题意大长方形的长为,宽为,故面积为,所以、、正确.故选.二、 填空题 (本题共计 4 小题 ,每题 5 分 ,共计20分 )9.【答案】【考点】二次根式的应用【解析】3610−−√510−−√300A B D C 2此题暂无解析【解答】解:由题意作图如下:∵,,∴,∵是斜边的中线,∴,∵,,∴为等边三角形,则.故答案为:.10.【答案】【考点】平方差公式二次根式的化简求值【解析】直接利用二次根式的混合运算法则计算得出答案.【解答】解:原式.故答案为:.11.【答案】∠A =30∘BC =2AB =2BC =2×2=4CD AB AD =BD =AB =212∠B =60°BC =2△BCD CD =22−13=(−3–√)242=3−16=−13−133二次根式的混合运算【解析】此题暂无解析【解答】解:.故答案为:.12.【答案】【考点】二次根式的乘除法【解析】根据二次根式的除法法则进行运算即可.【解答】解:原式.故答案为:.三、 解答题 (本题共计 4 小题 ,每题 10 分 ,共计40分 )13.【答案】解:.∴该矩形绿地的周长是.元.∴需要花费元.【考点】二次根式的应用二次根式的混合运算÷===345−−√5–√45÷5−−−−−√9–√322–√=16÷2−−−−−√=8–√=22–√22–√(1)(+)×2=(18+16)m 243−−−√128−−−√3–√2–√ABCD (18+16)m 3–√2–√(2)[×−(+1)(−1)]×10243−−−√128−−−√14−−√14−−√=(72−13)×106–√=(720−130)6–√(720−130)6–√此题暂无解析【解答】解:.∴该矩形绿地的周长是.元.∴需要花费元.14.【答案】解:原式,当时,原式 .【考点】二次根式的化简求值分式的化简求值【解析】原式 ,当时,原式 . 【解答】解:原式(1)(+)×2=(18+16)m 243−−−√128−−−√3–√2–√ABCD (18+16)m 3–√2–√(2)[×−(+1)(−1)]×10243−−−√128−−−√14−−√14−−√=(72−13)×106–√=(720−130)6–√(720−130)6–√=÷(x−1)2x(x+1)x−1x+1=⋅(x−1)2x(x+1)x+1x−1=x−1x x =+12–√==2–√+12–√(−1)2–√2–√(+1)(−1)2–√2–√=2−2–√=÷π=⋅=(x−1)2x(x+1)+x x 2x+1x+1x(x+1)x+1x x−1x x =+12–√===2−2–√+12–√(−1)2–√2–√(+1)(−1)2–√2–√2–√=÷(x−1)2x(x+1)x−1x+1=⋅(x−1)2x(x+1)x+1x−1x−1,当时,原式 .15.【答案】解:原式.,,则.【考点】二次根式的混合运算完全平方公式【解析】此题暂无解析【解答】解:原式.,,则.16.【答案】解:原式.原式.原式 .【考点】二次根式的混合运算二次根式的性质与化简=x−1x x =+12–√==2–√+12–√(−1)2–√2–√(+1)(−1)2–√2–√=2−2–√(1)=3+2+1+3−23–√3–√3–√=4+33–√(2)a +b =4ab =1+=−2ab =14a 2b 2(a +b)2(1)=3+2+1+3−23–√3–√3–√=4+33–√(2)a +b =4ab =1+=−2ab =14a 2b 2(a +b)2(1)=4−+22–√322–√2–√=92–√2(2)=3−4+4−(5−3)3–√=5−43–√(3)=(2+5)−÷33–√2–√2–√30−−√5–√=7−6–√6–√3=2036–√平方差公式二次根式的乘除法【解析】无无无【解答】解:原式.原式.原式 .(1)=4−+22–√322–√2–√=92–√2(2)=3−4+4−(5−3)3–√=5−43–√(3)=(2+5)−÷33–√2–√2–√30−−√5–√=7−6–√6–√3=2036–√。