高中数学函数最值问题的常见求解方法
- 格式:doc
- 大小:571.00 KB
- 文档页数:2
解题秘诀二次函数最值的4种解法二次函数是高中数学中的一个重要知识点,掌握了解题的秘诀和方法,就可以更好地解决与二次函数相关的各种问题。
本文将介绍四种解法来求解二次函数的最值问题。
一、二次函数的最值根据导数解法要求解二次函数的最值,可以通过求导数的方法来解决。
具体步骤如下:1. 将二次函数表示为一般式:f(x) = ax^2 + bx + c。
2. 对函数进行求导,得到导函数:f'(x) = 2ax + b。
3.导函数表示了二次函数的斜率,要求函数的最值,就是要求导函数为零点时的x值。
4. 解方程2ax + b = 0,求得x = -b / 2a。
5.将求得的x值代入二次函数,计算得到对应的y值。
6.x和y的值就是二次函数的最值。
二、二次函数的最值根据顶点法解法顶点法也是求解二次函数的最值的一种方法,具体步骤如下:1. 将二次函数表示为一般式:f(x) = ax^2 + bx + c。
2.求出二次函数的顶点坐标,顶点的x值为-x/2a。
3.将求得的x值代入二次函数,计算得到对应的y值。
4.x和y的值就是二次函数的最值。
三、二次函数的最值根据平移法解法平移法是一种通过平移变换求解二次函数最值的方法,具体步骤如下:1. 将二次函数表示为一般式:f(x) = ax^2 + bx + c。
2.将二次函数表示为顶点形式:f(x)=a(x-h)^2+k,其中(h,k)为顶点坐标。
3.根据函数的几何性质,二次函数的最值就是顶点的纵坐标k。
四、二次函数的最值根据因式分解解法因式分解是一种求解二次函数最值的常用方法,具体步骤如下:1. 将二次函数表示为一般式:f(x) = ax^2 + bx + c。
2.将二次函数进行因式分解:f(x)=a(x-x1)(x-x2),其中x1和x2为二次函数的两个零点。
3.根据函数的几何性质,二次函数的最值为x轴与二次函数的拐点处的纵坐标。
通过以上四种解法,我们可以灵活地解决二次函数的最值问题。
求最值方法 -- 高考数学复习一问一答 -------- 最值问题方法总论1高中数学求最值有哪些方法?答:有 9 种方法: 1)配方法 2)鉴别式法; 3)不等式法; 4)换元法; 5)函数单一性法; 6)三角函数性质法; 7)导数法; 8)数形联合发;9)向量法2如何将恒成立问题转变为最值问题?答:1) a f ( x)恒成立,则a f (x)max 2)a f ( x)恒成立,则 a f (x)min一元整式函数最值1、二次函数张口方向、对称轴、所给区间均确立,如何求最值 ?答:1)确立对称轴与x轴交点的横坐标能否在所给区间。
2)假如在所给区间,一个最值在极点处获得,另一个最值在与极点横坐标较远的端点处获得。
3)若不在所给区间,利用函数的单一性确立其最值。
2、二次函数所给区间确立,对称轴地点变化,如何求最值 ?答: 1)挪动对称轴,将对称轴平移到定区间的左边、右边及区间内议论, 2)在区间内,只考虑对称轴与区间端点的距离即可。
3、二次函数所给区间变化,对称轴地点确立,如何求最值 ?答:分类议论,分为四种状况: 1)对称轴在闭区间左边;2)对称轴在闭区间右边3)对称轴在闭区间内且在中点的左边; 4)对称轴在闭区间内且在中点的右边(或过中点);4、二次函数所给区间、对称轴地点都不确立,如何求最值 ?答:将此中一个看作是“定”的,另一个看作是“动”的,而后如上分四种状况进行议论。
5、什么状况下运用基本不等式求最值?答:当两个变量的和或积为定值时运用,有时需要变形。
即两个正数的积为定值时,它们的和有最小值,两个正数的和为定值时,它们的积有最大值。
6、对于多项式乘积的最值问题,如何求解答:能够考虑睁开后,利用基本不等式求解7、如何求复合型函数的最值答:若函数f ( x), g( x) 在 [ mn.] 上单调性相同,则h( x) f (x)g(x) 在 [m.n] 上与 f ( x), g( x) 有同样的单一性,可利用单一性求h( x) 在[ mn.] 上的最值。
二次函数的最值问题与问题解决技巧二次函数是高中数学中一个重要的概念,它有许多实际应用并且涉及到最值问题。
解决这类问题需要一定的技巧和方法。
本文将介绍二次函数的最值问题以及解决这些问题的技巧。
一、二次函数的最值问题最值问题在数学中非常常见,它代表了在一定条件下,函数的最大值或最小值。
对于二次函数而言,最值问题可以通过确定二次函数的开口方向以及顶点位置来解决。
1. 二次函数的开口方向对于二次函数y=ax²+bx+c,其中a,b,c为常数,a不等于0。
通过a的正负可以判断二次函数的开口方向。
当a大于0时,二次函数的开口是向上的,形状像一个U;当a小于0时,二次函数的开口是向下的,形状像一个倒U。
2. 顶点的横坐标和纵坐标二次函数的最值就出现在顶点处,因此需要确定顶点的横坐标和纵坐标。
对于一般形式的二次函数y=ax²+bx+c,顶点的横坐标为x=-b/2a,可以通过对称轴求得;顶点的纵坐标为y=f(-b/2a),即将x=-b/2a代入函数中计算得到。
3. 最值问题的解答根据二次函数的开口方向和顶点的位置,可以得到最值问题的解答。
当二次函数开口向上时,顶点是函数的最小值;当二次函数开口向下时,顶点是函数的最大值。
二、解决二次函数最值问题的技巧解决二次函数最值问题的技巧主要包括图像法、配方法、导数法等。
1. 图像法通过绘制二次函数的图像,可以直观地找出函数的最值。
根据二次函数的开口方向和顶点的位置,可以判断最值是最小值还是最大值。
2. 配方法当二次函数的系数a不为1时,可以使用配方法将其转化为完全平方的形式,从而更容易找到最值。
例如对于二次函数y=ax²+bx+c,可以将x²+bx转化为(x+b/2a)²-b²/4a,然后再根据顶点的位置判断最值。
3. 导数法通过对二次函数求导,可以得到导函数,进而求出极值点。
导数为0处的x值就是函数的极值点,通过计算可以得到相应的y值。
求函数值域的解题方法总结(16种)一、 观察法:通过对函数定义域、性质的观察,结合函数的解析式,求得函数的值域。
例:求函数()x 323y -+=的值域。
点拨:根据算术平方根的性质,先求出()x 3-2的值域。
解:由算术平方根的性质知()0x 3-2≥,故()3x 3-23≥+。
点评:算术平方根具有双重非负性,即:(1)、被开方数的非负性,(2)、值的非负性。
本题通过直接观察算术平方根的性质而获解,这种方法对于一类函数的值域的求法,简捷明了,不失为一种巧发。
练习:求函数()5x 0x y ≤≤=的值域。
(答案:{}5,4,3,2,1,0)二、反函数法:当函数的反函数存在时,则其反函数的定义域就是原函数的值域。
例:求函数2x 1x y ++=的值域。
点拨:先求出原函数的反函数,再求出其定义域。
解:显然函数2x 1x y ++=的反函数为:y y --=112x ,其定义域为1y ≠的实数,故函数y 的值域为{}R y 1,y |y ∈≠。
点评:利用反函数法求原函数的定义域的前提条件是原函数存在反函数。
这种方法体现逆向思维的思想,是数学解题的重要方法之一。
练习:求函数x-x -xx 10101010y ++=的值域。
(答案:{}1y 1-y |y 或)。
三、配方法:当所给函数是二次函数或可化为二次函数的复合函数时,可利用配方法求函数的值域。
例:求函数()2x x-y 2++=的值域。
点拨:将被开方数配方成平方数,利用二次函数的值求。
解:由02x x -2≥++可知函数的定义域为{}2x 1-|x ≤≤。
此时2x x -2++=4921-x -2+⎪⎭⎫ ⎝⎛()232x x-02≤++≤∴,即原函数的值域为⎭⎬⎫⎩⎨⎧≤23y 0|y点评:求函数的值域的不但要重视对应关系的应用,而且要特别注意定义域对值域的制约作用。
配方法是数学的一种重要的思想方法。
练习:x 4-155-x 2y +=的值域。
(答案:{}3y |y ≤)四、判别式法:若可化为关于某变量的二次方程的分式函数或无理数,可用判别式法求函数的值域。
高中数学根据导数求函数的最值问题解题技巧总结在高中数学中,求函数的最值问题是经常出现的一类问题,对于这类问题我们可以通过求导数的方法来解决。
下面是一些关于根据导数求函数最值问题的解题技巧的总结。
1. 确定函数的定义域在解决函数的最值问题之前,我们需要确定函数的定义域。
定义域是指函数在实数范围内的取值范围。
确定定义域的同时,我们也要考虑函数是否连续以及是否存在间断点等因素。
2. 求函数的一阶导数为了求函数的最值,我们需要先求出函数的一阶导数。
对于一元函数而言,我们可以使用导数的定义或者常见的求导法则来求出一阶导数。
一阶导数能够反映函数的变化趋势以及函数的增减性质。
3. 找出导数为零的点接下来,我们需要找出函数的一阶导数为零的点,即导数为零的临界点。
这些点也称为函数的驻点。
通过求解导数为零的方程,我们可以得到函数取得极值的可能点。
4. 判断临界点的性质在找出函数的驻点之后,我们需要进一步判断这些点的性质。
根据导数的符号变化,我们可以判断驻点是极大值点还是极小值点。
通常我们可以通过求解导数的二阶导数,来判断驻点的性质。
5. 极值与最值的关系在有限闭区间上,函数的极大值和极小值统称为最值。
通过比较极值点的函数值,我们可以确定函数的最大值和最小值。
同时,我们还需要考虑函数在定义域的两端是否存在最值。
6. 综合应用求解问题除了在抽象的函数图像上求解最值问题,我们还可以将最值问题与实际问题相结合。
通过建立函数模型,并利用导数的知识来解决实际问题。
这样可以提升我们对于求解最值问题的能力和灵活性。
通过以上的技巧,我们能够更加高效地解决高中数学中根据导数求函数最值问题。
同时,在实际应用中,我们也需要不断的进行练习和思考,熟练掌握这些技巧,从而更好地应对各种求解最值问题的场景。
高中数学中的函数最值求解问题是学习中的难点,在解决函数最值问题的时候要经过全方位的考虑,结合函数的定义域,将各种可能出现的结果进行分析,最终求得准确的计算结果。
在数学学习的过程中活跃的数学思维非常重要,它不仅可以改善学习方法,而且可以帮助学生掌握更多的解题技巧,进而提高解题速度和学习效率。
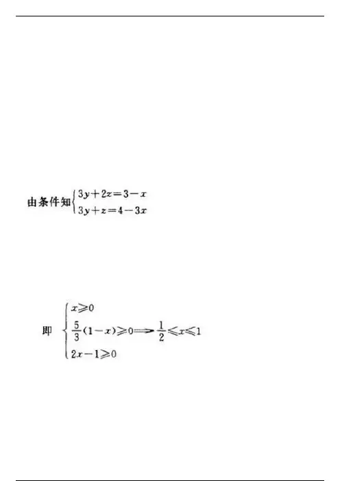
本文总结了一些求函数最值的常用方法如下:一、利用一次函数的单调性【例题1】 已知 x , y , z 是非负实数,且 x + 3y + 2z = 3 , 3x + 3y + z = 4 ,求函数 w = 2x - 3y + z 的最值 .解:得 y = 5/3 (1 - x), z = 2x - 1∴ w = 9x - 6又 x , y , z 非负,依一次函数 w = 9z - 6 的单调性可知当 x = 1/2 时,Wmin = -3/2 ,当 x= 1 时,Wmax = 3 .注:再求多元函数的条件最值时,通常是根据已知条件消元,转化为一元函数来解决问题.对于一次函数 y = kx + b ( k ≠ 0 ) 的最值,关键是指出自变量的取值范围,即函数的定义域,当一次函数的定义域是闭区间时,其最值在闭区间的端点处取得 .二、利用二次函数的性质【例题2】 设 α , β 是方程 4x^2 - 4kx + k + 2 = 0 的两个实数根,当 k 为何值时 α^2 + β^2 有最小值?解:∵ α , β 为方程的两个实数根,∴ α + β = k , αβ = 1/4 ( k + 2 ) ,令 y = α^2 + β^2 , 则有又由原方程由实数根可知,∴ k ≤ -1 或 k ≥ 2 .而二次函数的顶点 (1/4,-17/16)不在此范围内,根据二次函数的性质知,y 是以 k = 1/4 为对称轴,开口向上的,定义域为 (-∞,-1]∪[2,+∞)的抛物线,比较 k = -1 及 k = 2 时 y 的值知,当 k = -1 时,有 ymin = 1/2 .注:利用二次函数的性质求最值时,不能机械地套用最值在顶点处取得 . 首先要求出函数的定义域,然后在看顶点是否在函数的定义域内,最后再根据函数的单调性来判定 . 【例题3】 如图所示,抛物线 y = 4 - x^2 与直线 y = 3x 交于 A , B 两点,点 P 在抛物线上由 A 运动到 B,求 △APB 的面积最大时点 P 的坐标 .分析:由于 A , B 为定点,所以 AB 长为定值,欲使 △APB 的面积最大,须使 P 到 AB的距离最大 .解:设 P 点坐标为 (x0 , y0),∵ A , B 在直线 y = 3x 上,∴联立抛物线与直线方程,可得xA = -4 , xB = 1 ,∴ -4 ≤ x0 ≤ 1 ,则有∴当 x = -3/2 时,d 取最大值,△APB 面积最大,此时 P 点坐标为 (-3/2 , 7/4).注:在解决实际问题时要注意确定自变量取值范围的方法,本题是由直线与抛物线的交点来确定的,这样才能确定定义域内的最值 .三、利用二次方程的判别式欲求函数 y = f(x) ( x ∈ R ) 的极值,如果可以把函数式整理成关于 x 的二次方程, 注意到 x 在其定义域内取值,即方程有实根,所以可以通过二次方程的判别式 △ ≥ 0 来探求 y 的极大值与极小值 .【例题4】 已知 0 ≤ x ≤ 1 , 求的最值 .解: 原式可化为∵ x ∈ R ,∴解得 y ≤ 1/4 或 y ≥ 9/16 ,即函数 y 的值域为 y ≤ 1/4 或 y ≥ 9/16 ,∴ y极大 = 1/4,y极小 = 9/16 .当 y = 1/4 时,代入原函数解析式得 x = 1 ∈ [ 0 , 1 ] ;当 y = 9/16 时,代入原函数解析式得 x = -1 [ 0 , 1 ] .又 x = 0 时 , y = 2/3 ,∴ 当 x = 0 时,y 取极大值 2/3 .注:① 由判别式确定的是函数的值域,由值域得到的是函数的极值而不是最值;② 对有些函数来说,极值与最值相同,而有的函数就不一定,如本题中的极大值比极小值还小,这是因为极值是就某局部而言;③ 若要求函数在给定的定义域内的最值,一定要注意极值是否在此定义域内取得, 即要注意验根 .四、利用重要不等式【例题5】 设 x , y , z ∈ R+ , 且 2x + 4y + 9z = 16 .求 6√x + 4√y + 3√z 的最大值 .解:令 u = 6√x + 4√y + 3√z ,∴ u ≤ 4√23 ,( 其中当 9/x = 1/y = 1/9z 时,即当 x = 144/23 , y = 16/23 , z = 16/207 时取等号) 故注:这里是应用柯西不等式,在应用公式时,如何构造出已知条件等式 2x + 4y + 9z = 16,颇具技巧性和解题意义 .五、利用三角函数的有界性对于三角函数的极值,通常是利用三角函数的有界性来求解问题的,如正、余弦函数的最大(小)值很明显:y = asinx + bcosx (a , b ≠ 0)引入辅助角 θ,则其最值也一目了然 . 而对于其它的类型或用同角关系式、或用万能公式、或用正余弦定理作转化,变为二次函数问题来求解 .【例题6】 求的最值 .解法一: (利用降幂公式)解法二: (用判别式法)注: 本例还可以用万能公式等方法来求解 .六、利用参数换元对于有些函数而言,直接求极值比较复杂或不方便,这时可根据题目的特点作变量代换,然后运用前面的几种方法来解决问题.在换元时,一定要注意新的变量的取值范围 . 【例题7】 求函数 y = x + √( 1 - x ) 的极值 .解:原函数变为∵ t = 1/2 ∈ [ 0 , +∞ ) ,∴ 当 t = 1/2 ,即 x = 3/4 时,ymax = 5/4 .注: 这种换元虽然十分简单,但具有代表性 .七、利用复数的性质【例题8】 已知复数 z 满足 | z | = 2 , 求 | 1 + √3 i + z | 的极值 . 解法一:设 z = 2(cosθ + isinθ) (∵ | z | = 2)故 | 1 + √3 i + z |max = 4 , | 1 + √3 i + z |min = 0 .解法二:依据 | z1 | - | z2 | ≤ | z1 + z2 | ≤ | z1 | + | z2 | ,有 | 1 + √3 i | - | z | ≤ | 1 + √3 i + z | ≤ | 1 + √3 i | + | z | ,即 2 - 2 ≤ | 1 + √3 i + z | ≤ 2 + 2 ,∴ | 1 + √3 i + z |max = 4 , | 1 + √3 i + z |min = 0 .注:求复数模的最值通常可用代数法,三角法(解法一),复数模的性质及其公式 | z1 | - | z2 | ≤ | z1 + z2 | ≤ | z1 | + | z2 | , 此外还有数形结合方法等,但以上两种方法最为简捷.八、利用数形结合有些代数和三角问题,若能借助其几何背景,予以几何直观,这时求其最值常能收到直观、明快,化难为易得功效.【例题9】 求的最值 .解: 将函数式变形为其几何意义是在直角坐标系中,动点 P(cosx , sinx)和定点 A(-2 ,-1)连线的斜率,动点 P 的轨迹为单位圆,如下图所示:知 kAB 最小,kAC 最大,显然 kAB = 0 ,又 tgθ = |OB|/|AB| = 1/2 ,tg∠A = tg2θ = 2tgθ/(1 - tg^2 θ)= 4/3 ,即 kAC = 4/3 ,故 ymin = 0 , ymax = 4/3 .注:形如 [f(x) - a] / [g(x) - b] 的函数式,通常都可视作点 (g(x) ,f(x) ) 与点 (b , a)的连线的斜率 .运用数形结合的思想解题,关键是要进行合理的联想和类比,将代数式通过转化、变形、给予几何解释,通常这种转化与变形的过程常是一种挖掘和发现的过程,如本例需要挖掘 .。
高中数学根据导数求函数的最值问题解题技巧总结在高中数学中,根据导数求函数的最值是一个常见的考点。
这类问题要求我们通过求函数的导数,找到函数的极大值或极小值点,从而确定函数的最值。
下面我将总结一些解题技巧,帮助高中学生和他们的父母更好地应对这类问题。
一、寻找函数的极值点在解决根据导数求函数最值问题时,首先需要找到函数的极值点。
一般来说,函数的极值点就是函数的导数等于零的点,即函数的驻点。
我们可以通过以下步骤来找到函数的极值点:1. 求函数的导数。
根据问题给出的函数,我们可以先对其求导数。
例如,对于函数f(x),我们可以求得它的导函数f'(x)。
2. 解方程f'(x) = 0。
将求得的导函数f'(x)置零,解方程求得函数的驻点。
这些驻点就是函数的极值点。
需要注意的是,有时候函数的极值点可能还存在于函数的定义域的边界处,所以我们还需要将边界处的点也考虑进去。
二、判断极值点的性质找到函数的极值点后,我们需要进一步判断这些点的性质,即确定它们是极大值点还是极小值点。
这里有两种常见的方法:1. 使用导数的符号表。
我们可以通过绘制导数的符号表来判断极值点的性质。
具体做法是,在函数的定义域上选择几个代表性的点,代入导数f'(x)的值,然后根据导数的正负确定函数在这些点附近的增减性。
如果导数从正变负,那么这个点就是极大值点;如果导数从负变正,那么这个点就是极小值点。
2. 使用二阶导数。
二阶导数可以帮助我们更准确地判断极值点的性质。
具体做法是,求得函数的二阶导数f''(x),然后将极值点代入二阶导数。
如果二阶导数大于零,那么这个点就是极小值点;如果二阶导数小于零,那么这个点就是极大值点。
三、举一反三根据导数求函数的最值问题不仅仅局限于求解极值点,还可以应用到其他类型的函数中。
下面举一个例子来说明。
例题:求函数f(x) = x^3 - 3x^2 + 2x的最大值和最小值。
求函数值域(最值)方法汇总一.单调性法例1.求函数x 53x y ---=的值域 例2.求函数11--+=x x y 的值域例3.求函数x x y -+-=53的值域解一:例4.已知函数.2]2,0[34)(2的值,求实数上有最大值在区间a x ax x f -+= 解:(1)当0=a 时,max ()(2)4232,f x f ==⨯-≠舍去; (2)当↑⇒〈-=〉上在时,对称轴方程为]2,0[)(020x f ax a 舍去,043254)2(〈-=⇒=+=⇒a a f ;(3)当时,0〈a 02〉-=ax 对称轴方程为, ①]1,(]0,1[1]2,0[2--∞∈⇒-∈⇒∈-a a a 1542384)2(-〉-=⇒=--=-⇒a a a a f ,舍去②122-〉⇒〉-a a ↑⇒上在]2,0[)(x f 43-=⇒a纵上,43-=a例5.已知函数f (x )对任意实数x ,y ,均有f (x +y )=f (x )+f (y ),且当x >0时,f (x )>0,f (-1)=-2,求f (x )在区间[-2,1]上的值域。
解:0)0()0()0()00(=⇒+=+f f f f为奇函数则令)()()()()()(,x f x f x f x f x f x x f x y ⇒-=-⇒-+=--= )()()()()(0)(0,121112121221x f x f x f x f x x f x x f x x x x 〉⇒〉+-⇒〉-⇒〉-〈则令422)1()1()11()2(-=--=-+-=--=-f f f f ,2)1()1(=--=f f()[-2,1][-4,2]f x ⇒在上的值域为:二.判别式(∆)法:用于自然定义域下的二次分式形式的函数,变形为关于x 的方程,讨论2x 的系数,当系数为0时,判断方程左边是否等于0;当系数不为0时,得0≥∆。
综上,求出y 的范围。
如:,,222211221121c x b x a b x a y b x a c x b x a y +++=+++=22221121c x b x a c x b x a y ++++=等。
高中数学-基本不等式---求最值的常见技巧【理论解析】一个技巧:222a b ab+≥逆用就是222a bab+≤,2a b+≥(0,0)a b>>逆用就是2()2a bab+≤等.两个变形:(1) 2112a ba b+≤≤≤+(,)a b R+∈,即调和平均数≤几何平均数≤算术平均数≤平方平均数;(当且仅当a b=时取等号)(2)222()22a b a bab++≤≤(,)a b R∈(当且仅当a b=时取等号).三个注意“一正、二定、三相等”的忽视.【解题方法技巧举例】1、添、减项(配常数项)例1 求函数221632y xx=++的最小值.222221620,32163(2)6266x y xxxx+>=++=++-+≥=解:当且仅当22163(2)2xx+=+,即22x=时,等号成立. 所以y的最小值是6.2、配系数(乘、除项)例2 已知0,0x y>>,且满足3212x y+=,求lg lgx y+的最大值.分析lg lg lg()x y xy+=, xy是二项“积”的形式,但不知其“和”的形式x y+是否定值,而已知是3x与2y的和为定值12,故应先配系数,即将xy变形为326x y⋅,再用均值不等式.220,032lg lg lg()lg6132112lg lg 6262lg 6x y x y x y xy x y >>⋅+==⎡⎤⎡⎤+⎛⎫⎛⎫≤=⎢⎥⎢⎥⎪ ⎪⎝⎭⎝⎭⎢⎥⎢⎥⎣⎦⎣⎦=解: 当且仅当32x y =,即2,3x y ==时,等号成立. 所以lg lg x y +的最大值是lg 6.3、 裂项例3已知1x >-,求函数()()521x x y x ++=+的最小值.分析 在分子的各因式中分别凑出1x +,借助于裂项解决问题.()()141110,14(1)5519x x x y x x x ++++⎡⎤⎡⎤⎣⎦⎣⎦+>=+=+++≥+=解:当且仅当411x x +=+,即1x =时,取等号.所以min 9y =.4、 取倒数例4 已知102x <<,求函数2(1)(12)x y x x +=-的最小值. 分析 分母是x 与(12)x -的积,可通过配系数,使它们的和为定值;也可通过配系数,使它们的和为(1)x + (这是解本题时真正需要的).于是通过取倒数即可解决问题.解 由102x <<,得10x +>,120x ->.221(12)1312(1)31131211113212x x x x y x x x x x x x --==⋅⋅+++-⎡⎤+⎢⎥++≤=⎢⎥⎢⎥⎣⎦当且仅当31211x xxx -=++,即15x =时,取等号. 故y 的最小值是12.5、 平方例5 已知0,0x y >>且22283y x +=求.分析 条件式中的x 与y 都是平方式,而所求式中的x 是一次式,y 是平方式但带根号.初看似乎无从下手,但若把所求式平方,则解题思路豁然开朗,即可利用均值不等式来解决.222222222((62)32(1)32(1)9333()22y x y x y x =+=⋅+⎡⎤++⎢⎥≤=⎢⎥⎢⎥⎢⎥⎣⎦解:当且仅当222(1)3y x =+,即32x =,2y =时, 等号成立.故的最大值是评注 本题也可将x纳入根号内,即将所求式化为.6、 换元(整体思想)例6求函数y =的最大值.分析t =,进行换元,再使分子常数化,然后运用均值不等式来解决.22,0,2,(0)2100;1014212=.23,2t t x t t y t t t y t y t t t t t x =≥=-=≥+==>=≤=+==-则当时,当时,当且仅当,即所以时7、 逆用条件例7 已知191(0,0)x y x y +=>>,则x y +的最小值是( ) .分析 直接利用均值不等式,只能求xy 的最小值,而无法求x y +的最小值.这时可逆用条件,即由191x y =+,得19()()x y x y x y +=++,然后展开即可解决问题.190,0,1199()()1010169,4,12.16.x y x y y xx y x y x y x yy x x y x yx y >>+=+=++=++≥====+解:由,得当且仅当即时,等号成立故的最小值是 评注 若已知0,0,x y >>1x y += (或其他定值),要求19x y +的最大值,则同样可运用此法. 8、 巧组合 例8 若,,0a b c >且()4a a b c bc +++=-求2a b c ++的最小值 .分析 初看,这是一个三元式的最值问题,无法利用a b +≥来解决.换个思路,可考虑将2a b c ++重新组合,变成()()a b a c +++,而()()a b a c ++等于定值4-,于是就可以利用均值不等式了.,,0,2()()2,,1.2 2.a b c a b c a b a c b c b c a a b c >++=+++≥======-++解:由知当且仅当即时,等号成立故的最小值为9、 消元例9、设,,x y z 为正实数,230x y z -+=,则2y xz 的最小值.分析 本题也是三元式的最值问题.由题意得32x zy +=,则可对2y xz 进行消元,用,x z 表示,即变为二元式,然后可利用均值不等式解决问题.22223,0,,29666=3,443,,=33.x zx z y y x z xz xz xz xz xz xzyx z x y z y xz +>=+++≥====解:由可得当且仅当即时,取“”.故的最小值为【例题解析】 例1 求函数()()yx x x=++49的最值.解: (1)当x >0时,25362133613=⋅+≥++=xx x x y , 当且仅当xx=36即6=x 时取等号.所以当x =6时,y min =25. (2)当x <0时,->->xx0360,, ()()-+-⎛⎝ ⎫⎭⎪≥--⎛⎝ ⎫⎭⎪=x x x x 3623612, 11213)]36()[(13=-≤-+--=∴xx y .当且仅当-=-x x 36,即x =-6时取等号,所以当x =-6时,y max =-=13121.例2已知0,0x y >>,且191x y+=,求x y +的最小值. 解:190,0,1x y x y >>+=,()1991061016y x x y x y x y x y⎛⎫∴+=++=++≥+= ⎪⎝⎭当且仅当9y x x y =时,上式等号成立,又191x y+=,可得4,12x y ==时,()min 16x y += . 例3 当04x <<时,求(82)y x x =-的最大值.解析:此题为两个式子积的形式,但其和不是定值.注意到2(82)8x x +-=为定值,故只需将(82)y x x =-凑上一个系数即可.211282(82)[2(82)]()8222x x y x x x x +-=-=-≤=当282x x =-,即2x =时取等号 ,所以当2x =时,(82)y x x =-的最大值为8.例4 已知54x <,求函数14245y x x =-+-的最大值. 解析:因450x -<,所以首先要“调整”符号,又1(42)45x x --不是常数,所以对42x -要进行拆、凑项,5,5404x x <∴->,11425434554y x x x x ⎛⎫∴=-+=--++ ⎪--⎝⎭231≤-+=当且仅当15454x x-=-,即1x =时,上式等号成立,故当1x =时,max 1y =.例5已知x,y为正实数,且2212yx+=,求的最大值.解析:因条件和结论分别是二次和一次,故采用公式222a bab+≤.12,==下面将x=2212222yx++≤4=当且仅当x=2212yx+=,即2x=,2y=时,等号成立.所以的最大值为4.评注:本题注意到适当添加常数配凑后,两项的平方和为常数,故而进行变形利用基本不等式链解决问题.【基本不等式课堂练习】一、选择题1.已知0,0a b >>,则112ab a b++的最小值是( )A .2 B .22 C .4 D .5 2.当0<x <2π时,函数f (x )=x x x 2sin sin 82cos 12++的最小值为( )A.2B.23C.4D.433.设y=x 2+2x+5+2125x x ++,则此函数的最小值为()A .174B .2C .265D .以上均不对 4,若,下列不等式恒成立的是( )A .B .C .D .5,若且,则下列四个数中最大的是 ( )A. B. C.2ab D.a6. 设x>0,则的最大值为 ( )A.3 B.C.D.-1 7,设的最小值是( ) A. 10 B.C.D.8. 若x, y 是正数,且,则xy 有( )A最大值16 B.最小值 C.最小值16 D.最大值9. a,b 是正数,则三个数的大小顺序是( )A. B.C. D.10.下列函数中最小值为4的是( )A B C D11、已知二次函数f(x)=ax 2-(a +2)x +1(a ∈Z),且函数f(x)在(-2,-1)上恰有一个零点,则不等式f(x)>1的解集为( )A .(-∞,-1)∪(0,+∞)B .(-∞,0)∪(1,+∞)C .(-1,0)D .(0,1)12、已知M 是△ABC 内的一点,且AB →·AC →=23,∠BAC =30°,若△MBC ,△MCA 和△MAB 的面积分别为12,x ,y ,则1x +4y 的最小值是( )A .20B .18C .16D .913.设x,y 为正数, 则(x+y)(1x + 4y)的最小值为 ( )A.6 B.9 C.12 D.1514. 已知定义域为R 的偶函数在上是增函数,且,则不等式的解集为( )A .B .C .D .15.若,则的最小值为( )A .8 B .C .2D .417.若正数x ,y 满足x+3y=5xy ,则3x+4y 的最小值是( ) A. 245 B. 285C.5D.6 18.下列不等式一定成立的是( )A .21lg()lg (0)4xx x +>> B .1sin 2(,)sin x x k k Z xπ+≥≠∈ C .212||()x x x R +≥∈D .211()1x R x >∈+ 19若点(,)A x y 在第一象限且在236x y +=上移动,则3322log log x y + ( )A 、最大值为1B 、最小值为1C 、最大值为2D 、没有最大、小值 20、 已知01x <<,求函数411y x x=+-的最小值.21、已知0,0a b >>,328a b +=,求函数的最大值.。
高中数学解题方法系列:函数求极值问题的6种方法对于一个给定的函解析式,我们如果能大致作出其对应的函数图像,那么函数的许多性质都可以通过图像客观地反应出来。
因此,只要我们做出了函数图像,那么我们就可以根据图像找到极值点,从而求出函数的极值。
下面,我就从几个方面讨论一下,函数图象在求极值问题中的应用。
一、函数解析式中含有绝对值的极值问题。
我们给出问题的一般形式,设a≤x≤b,求函数∑=+=n i bi x ai y 1的极值。
很容易判断该函数为分段函数,其对应的图像是折线,因此只要做出函数的图像那么就可以准确的找出函数的极值点。
例1 设-2≤x≤3,求函数12+++-=x x x y 的最值。
解:若将函数示为分段函数形式。
作出函数图像根据图像我们可以判断:当x=0,min y 3=;当x=3,max y 8=,对此类型问题的思考:当函数解析式含有较多绝对值符号的时候,如果我们仍然通过做出函数图像来求解极值,那么过程就非常复杂。
那么是否有更简单的方法呢?经过对问题的分析,我们发现函数的极值点要么出现在函数定义域的端点,要么出在函数图像的拐点(使函数中某一个绝对值部分为零的点)因此我们只需将这些点求出来并代入函数解析式求出其所对应的值。
经过比较就得出了极值例如上题:f(-2)=7、f(-1)=4、f(0)=3、f(2)=5、f(3)=8、3min =y 、max y =8,据此我们下面给出解决这一类问题更一般的方法。
max y =max {f(bi)、i=1、2、3……n }, min y =min {f(-bi),i=1、2、3……n }.二、将极值问题转化为几何问题。
运用此方法解决极值问题关键在于深刻理解,挖掘解析式所蕴含的几何意义。
1. 转化为求直线斜率的最值。
例2 求函数θθsin 3cos 2-+=y 的最值 分析 函数解析式非我们常见的函数模型。
通过分析我们发现该函数可以看做过点A (3、2)与B (sin θ、-cos θ)两点直线的斜率。
高中数学求函数值域解题方法大全高中数学求函数值域解题方法大全一、观察法:从自变量x的范围出发,推出y=f(x)的取值范围。
例1:求函数y=x+1的值域。
解析:由于x≥-1,所以x+1≥0,因此函数y=x+1的值域为[1,+∞)。
例2:求函数y=1/x的值域。
解析:显然函数的定义域为(-∞,0)∪(0,+∞),当x>0时,y>0;当x<0时,y<0.因此函数的值域是:例3:已知函数y=(x-1)-1,x∈{-1,1,2},求函数的值域。
解析:因为x∈{-1,1,2},而f(-1)=f(3)=3,f(2)=-1,f(1)=-∞,所以:y∈{-1,3}。
注意:求函数的值域时,不能忽视定义域,如果该题的定义域为x∈R,则函数的值域为{y|y≥-1}。
二、配方法:配方法式求“二次函数类”值域的基本方法。
形如F(x)=af2(x)+bf(x)+c的函数的值域问题,均可使用配方法。
例1:求函数y=x2-2x+5,x∈[-1,2]的值域。
解析:将函数配方得:y=(x-1)2+4,当x=1∈[-1,2]时,y取得最小值4,当x=-1或x=2时,y取得最大值8,因此函数的值域是:[4,8]。
变式:已知f(x)=ax2+bx+c,其中a>0,且在区间[-1,1]内的最小值为1,求函数在[-2,2]上的最值。
解析:由已知,可得a>0,且f(x)在x=0处取得最小值1,即b=0.又因为在区间[-1,1]内的最小值为1,所以a≤4.将f(x)配方得:f(x)=a(x-1)2+1,当x=-2或x=2时,f(x)取得最大值5a+1;当x=1时,f(x)取得最小值1.因此,当a=4时,函数在[-2,2]上的最值分别为9和17.当a<4时,函数在[-2,2]上的最值分别为1和5a+1.三、其他方法:对于一些特殊的函数,可以采用其他方法求解。
例:已知函数f(x)=sinx+cosx,求函数的值域。
高中数学函数最值问题的解题思路与举例在高中数学中,函数最值问题是一个常见且重要的考点。
解决这类问题需要运用一定的解题思路和技巧。
本文将介绍一些常见的函数最值问题及其解题思路,并通过具体的例子来说明。
一、函数最值问题的基本概念和解题思路函数最值问题是指在一定的条件下,求函数的最大值或最小值。
解决这类问题的基本思路是找到函数的极值点,然后比较这些极值点的函数值,得出最值。
对于一元函数,我们可以通过求导数的方法来求解极值点。
具体步骤如下:1. 求函数的导数;2. 令导数等于零,解方程得到极值点;3. 比较这些极值点的函数值,得出最值。
对于二元函数,我们可以通过偏导数的方法来求解极值点。
具体步骤如下:1. 求函数的偏导数;2. 令偏导数等于零,解方程得到极值点;3. 比较这些极值点的函数值,得出最值。
二、函数最值问题的举例及解析1. 求函数 y = x^2 在区间 [0, 2] 上的最大值和最小值。
解析:首先,我们求函数的导数:y' = 2x。
令导数等于零,得到 x = 0。
将 x = 0 代入函数,得到 y = 0。
所以函数在 x = 0 处取得最小值 0。
然后,我们比较区间的两个端点和极值点的函数值。
将 x = 0、x = 2 代入函数,得到 y(0) = 0,y(2) = 4。
所以函数在区间 [0, 2] 上的最大值为 4。
综上所述,函数 y = x^2 在区间 [0, 2] 上的最大值为 4,最小值为 0。
2. 求函数 y = x^3 - 3x 在区间 [-2, 2] 上的最大值和最小值。
解析:首先,我们求函数的导数:y' = 3x^2 - 3。
令导数等于零,解方程得到 x = ±1。
将 x = ±1 代入函数,得到 y(1) = -2,y(-1) = 2。
所以函数在 x = ±1 处取得极值。
然后,我们比较区间的两个端点和极值点的函数值。
将 x = -2、x = 2 代入函数,得到 y(-2) = -14,y(2) = 10。
高中数学解题方法系列:函数求极值问题的6种方法对于一个给定的函解析式,我们如果能大致作出其对应的函数图像,那么函数的许多性质都可以通过图像客观地反应出来。
因此,只要我们做出了函数图像,那么我们就可以根据图像找到极值点,从而求出函数的极值。
下面,我就从几个方面讨论一下,函数图象在求极值问题中的应用。
一、函数解析式中含有绝对值的极值问题。
我们给出问题的一般形式,设a≤x≤b,求函数∑=+=ni bi x ai y 1的极值。
很容易判断该函数为分段函数,其对应的图像是折线,因此只要做出函数的图像那么就可以准确的找出函数的极值点。
例1 设-2≤x≤3,求函数12+++-=x x x y 的最值。
解:若将函数示为分段函数形式。
作出函数图像根据图像我们可以判断:当x=0,min y 3=;当x=3,max y 8=,对此类型问题的思考:当函数解析式含有较多绝对值符号的时候,如果我们仍然通过做出函数图像来求解极值,那么过程就非常复杂。
那么是否有更简单的方法呢?经过对问题的分析,我们发现函数的极值点要么出现在函数定义域的端点,要么出在函数图像的拐点(使函数中某一个绝对值部分为零的点)因此我们只需将这些点求出来并代入函数解析式求出其所对应的值。
经过比较就得出了极值例如上题:f(-2)=7、f(-1)=4、f(0)=3、f(2)=5、f(3)=8、3min =y 、max y =8,据此我们下面给出解决这一类问题更一般的方法。
max y =max {f(bi)、i=1、2、3……n }, min y =min {f(-bi),i=1、2、3……n }.二、将极值问题转化为几何问题。
运用此方法解决极值问题关键在于深刻理解,挖掘解析式所蕴含的几何意义。
1. 转化为求直线斜率的最值。
例2 求函数θθsin 3cos 2-+=y 的最值 分析函数解析式非我们常见的函数模型。
通过分析我们发现该函数可以看做过点A (3、2)与B (sin θ、-cos θ)两点直线的斜率。
高中数学函数的最大值和最小值怎么求函数的最值问题是考试中经常出现的题型,那么遇到这类问题时我们应该怎么做呢?高中函数求最值的方法1、配方法:形如的函数,根据二次函数的极值点或边界点的取值确定函数的最值。
2、判别式法:形如的分式函数,将其化成系数含有y的关于x的二次方程。
由于,∴≥0,求出y的最值,此种方法易产生增根,因而要对取得最值时对应的x值是否有解检验。
3、利用函数的单调性:首先明确函数的定义域和单调性,再求最值。
4、利用均值不等式,形如的函数,及≥≤,注意正,定,等的应用条件,即:a,b均为正数,是定值,a=b的等号是否成立。
5、换元法:形如的函数,令,反解出x,代入上式,得出关于t的函数,注意t的定义域范围,再求关于t的函数的最值。
还有三角换元法,参数换元法。
6、数形结合法形:如将式子左边看成一个函数,右边看成一个函数,在同一坐标系作出它们的图象,观察其位置关系,利用解析几何知识求最值。
求利用直线的斜率公式求形如的最值。
7、利用导数求函数最值:首先要求定义域关于原点对称然后判断f(x)和f(-x)的关系:若f(x)=f(-x),偶函数;若f(x)=-f(-x),奇函数。
函数最值简介一般的,函数最值分为函数最小值与函数最大值。
最小值设函数y=f(x)的定义域为I,如果存在实数M满足:①对于任意实数x∈I,都有f(x)≥M,②存在x0∈I。
使得f(x0)=M,那么,我们称实数M是函数y=f(x)的最小值。
最大值设函数y=f(x)的定义域为I,如果存在实数M满足:①对于任意实数x∈I,都有f(x)≤M,②存在x0∈I。
使得f(x0)=M,那么,我们称实数M是函数y=f(x)的最大值。
高中数学中函数的最大值和最小值求解方法
在高中数学中,函数的最大值和最小值是关于函数在定义域内取得的最大和最小值。
为了求解函数的最大值和最小值,我们需要掌握一些方法和技巧,下面将介绍几种常见的方法:
寻找导数为零点
对于连续可导的函数,其极值点通常出现在导数为零的点。
因此,我们可以通过对函数求导并解方程找到函数的最大值和最小值。
具体步骤如下:
1.求出函数的导数。
2.解方程求出导数为零的点。
3.确定这些点中哪些是最大值,哪些是最小值。
利用一元二次函数的性质
当函数为一元二次函数时,可以利用一元二次函数的性质来求得最大值和最小值。
一元二次函数通常具有一个顶点,顶点处即为函数的最大值或最小值。
求解方法如下:
1.将一元二次函数表示为标准形式。
2.根据顶点公式,求出顶点的横坐标。
3.将横坐标代入函数中,求出最大值或最小值。
利用函数的性质
有些函数具有特定的性质,例如指数函数、对数函数等。
针对这些特定函数,我们可以利用其性质来求解最大值和最小值。
以指数函数为例,指数函数具有非负性,因此最小值为0。
对数函数则要求底数大于1才有定义,因此最小值为正数。
综上所述,求解函数的最大值和最小值是高中数学中的一个重要知识点。
通过掌握导数为零点、一元二次函数的性质以及函数的特性,我们可以灵活应用不同的方法来解决函数最大值和最小值的问题。
希望通过这些方法的介绍,读者能够更好地理解和掌握这一知识点。
高中求最值的方法总结三角函数的最值或相关量的取值范围的确定始终是三角函数中的热点问题之一。
以下是小编整理的高中求最值的方法总结,欢迎大家前来查阅。
高中求最值的方法总结篇1方法一:利用单调性求最值学习导数以后,为讨论函数的性质开发了前所未有的前景,这不只局限于基本初等函数,凡是由几个或多个基本初等函数加减乘除而得到的新函数都可以用导数作为工具讨论函数单调性,这需要熟练掌握求导公式及求导法则,以及函数单调性与导函数符号之间的关系,还有利用导数如何求得函数的极值与最值。
例1 已知函数,当x∈[-2,2]时,函数f(x)的图象总在直线y=a-e2的上方,求实数a的取值范围。
分析:此题属于恒成立问题,恒成立问题大都转化为最值问题。
解:原问题等价于f(x)>a-e2恒成立,即x2+ex-xex>a-e2在[-2,2]上恒成立,即x2+ex-xex+e2>a在[-2,2]上恒成立。
令g(x)=x2+ex-xex+e2>a-e2,x∈[-2,2],原问题等价于a 下面利用导数讨论g(x)的最小值,求导可得g'(x)=x(1-ex)。
当x∈[-2,0]时,g'(x)≤0,从而g(x)在[-2,0]上单调递减;当x∈(0,2]时,g'(x)<0可知g(x)在(0,2]上也单调递减。
所以g(x)在[-2,2]上单调递减,从而g(x)min=g(2)=2即a∈(-∞,2)评注:本题是求参数的取值范围问题,利用等价转化的思想可化为不等式恒成立问题,进而化为最值问题,再借助于导数讨论函数的单调性求出的最值。
其实高中阶段接触到的最值问题大都可以运用单调性法求得最值。
方法二:利用不等式求最值掌握和灵活运用,│a│+│b│≥│a±b│≥││a│-│b││这一类型的基本不等式,在求一些函数最值问题时通常十分便捷,在解题时务必注意考虑利用不等式求最值的条件限制。
例2 若x∈R,且0 分析:本题可以运用单调性法求最值,但是较麻烦,下面介绍一种新的方法。
1
2
高中数学函数最值问题的常见求解方法
一、配方法
例1.当01≤≤-x 时,求函数x x y 4322
⋅-=+的最大值和最小值.
解析:34)3
22(32
+
--=x
y ,当01≤≤-x 时,1221≤≤x
.可得1min =y ,3
4max =y . 二、判别式法:若能将问题转化为一元二次方程有无实根的问题,则常利用判别式求得函数的最值. 例2.若x 、R y ∈且满足:022
2
=-+++y x xy y x ,则m ax x = , min y = . 解析:由已知,变形得:0)()12(2
2
=++-+x x y x y ,R y ∈,则0≥∆,即有
0)(4)12(22≥+--x x x ,于是018≥+-x ,即 81≤
x .即 8
1max =x . 同理,0)()12(2
2
=-+++y y x y x ,R x ∈,则0≥∆,即有
0)(4)12(22≥--+y y y ,于是018≥+y ,即 81-≥y .即 8
1
min -=y .
例3.在2
0π
≤
≤x 条件下,求2
)sin 1()
sin 1(sin x x x y +-=
的最大值.
解:设x t sin =,因0(∈x ,)2
π
,故 10≤≤t ,则2
)
1()1(t t t y +-=
,即 0)12()1(2
=+-++y t y t y 因为 10≤≤t ,故01≠+y ,于是0)1(4)12(2
≥+--=∆y y y 即 8
1
≤y 。
将81=
y 代入方程得 0[31∈=t ,]1,所以8
1max =y . 注意:因0≥∆仅为方程0)12()1(2
=+-++y t y t y 有实根0[∈t ,]1的必要条件,因此,必须
将8
1
=y 代入方程中检验,看等号是否可取.
练习:已知函数)(1
2
R x x b
ax y ∈++=的值域为]4,1[-,求常数b a ,.(答案: 3=b ,4±=a ) 三、换元法 (一)局部换元法
例4.求函数x x y 21-+=的最值.
解析:设x t 21-= (0≥t ),则由原式得11)1(2
1
2≤+--
=t y 当且仅当1=t 即0=x 时取等号.故1max =y ,无最小值. 例5.已知20≤
≤a ,求函数))(cos (sin a x a x y ++=的最值.
解析:2
)cos (sin cos sin a x x a x x y +++= 令t x x =+cos sin
则 22≤≤-t 且21cos sin 2-=t x x ,于是]1)[(2
12
2-++=a a t y
当2=
t 时,2122max +
+=a a y ;当a t -=时,)1(2
12
min -=a y . 注意:若函数含有x x cos sin 和x x cos sin +,可考虑用换元法解.
(二)三角代换法(有时也称参数方程法)
例6.已知x 、y R ∈,412
2≤+≤y x .求2
2
y xy x u ++=的最值.
解析:设θcos t x =,θsin t y =,(t 为参数),因 412
2≤+≤y x ,故 412
≤≤t
)2sin 2
1
1()sin sin cos (cos 2222θθθθθ+=++=∴t t u
故当42
=t 且12sin =θ时,6max =u ;当12=t 且12sin -=θ时,2
1max =
u . 练习1:实数x 、y 适合:545422=+-y xy x ,设2
2y x S +=,则
max
1S +
m in
1S =____。
练习2:已知x 、y R ∈且x y x 6232
2=+,求y x +的最值.
解析:化x y x 6232
2
=+为123)1(22
=+-y x ,得参数方程为⎪⎩
⎪
⎨
⎧=+=θθsin 26cos 1y x )sin(2101sin 26cos 1ϕθθθ++=+
+=+∴y x , 故 2101)(max +=+y x ,2
101)(min -=+y x . (三)均值换元法
例7.已知1=+b a ,求证:4
4b a +的最小值为
8
1
. 解析:由于本题中a 、b 的取值范围为一切实数,故不能用三角换元,但根据其和为1,我们可
3 4
以令t a +=
21,t b -=2
1
,(R t ∈),则 222222222244)2
1
()21(2])21()21[(2)(t t t t b a b a b a -+--++=-+=+
2222)41(2)221(t t --+=)281()4241(4242t t t t +--++= 8
1238142≥++=t t ∴4
4b a +的最小值为81.在0=t 即2
1==b a 时取等号.
四、三角函数有界法:对于R x ∈,总有1|sin |≤x ,1|cos |≤x 例8.求函数x x y 2
cos 22sin -=的最值. 解析:1)42sin(212cos 2sin cos 22sin 2
--=--=-=πx x x x x y ,因为 1|)4
2sin(|≤-π
x ,
故当1)42sin(=-
π
x 时,12max -=y ;当1)4
2sin(-=-π
x 时,12min --=y .
五、均值不等式法
例9:已知1sin sin sin 2
2
2
=++γβα(α、β、γ均为锐角),那么γβαcos cos cos 的最大值等于__________.
解析:因α、β、γ均为锐角,所以γβαcos cos cos γβα2
22cos cos cos =
9
6
2)3sin 1sin 1sin 1()3cos cos cos (32223222=
-+-+-=++≤γβαγβα 当且仅当31sin sin sin
222
===γβα时取等号,故γβαcos cos cos 的最大值为
9
6
2. 例10.求函数x b x a y 2
2cos sin +=的最小值(a 、b +
∈R ). 解析: x b x a y 2
2sin sin +=x x ab b a x b b x a a 2
222cot tan 2tan cot ++≥+++= ab b a 2++=当且仅当x btg x actg 22= 即 b
a
x tg =
2时,函数y 取得最小值ab b a 2++ 四、单调性法
例11.求函数x
x
x y sin 1cos sin 22+-=的最大值.
解析:y )1
sin 2
()1(sin 1sin 2)1(sin 1sin 1sin 2sin 22+-++=+-+=+-+=
x x x x x x x 令t x =+1sin ,则20≤<t ,函数t
t y 2
-+=在0(,)∞+内递增.所以在0(,]2内也是递增的.当2=t ,即1sin =x 时,1max =y . 五、平方开方法
例12.若a 、b 是不相等的正数,求函数++=
x b x a y 22sin cos x b x a 22cos sin +的最值.
解析:因a 、b 是不相等的正数,x cos 与x sin 不能同时为0,故0>y .
ab x b a b a y +-++=∴2sin 4
)(222
2
当12sin 2=x 时,)(2max
2
b a y
+=,)(2max b a y += 当02sin 2
=x 时,ab b a y
2min
2
++=,b a y +=min
六、数形结合法:借助几何背景和几何直观而求其最值,常能受到直观明快,化难为易的功效. 例13.求函数6
cos 31
sin 4--=
x x y 的最值.
解析:将函数式变形为)2(cos 3)
41
(sin 4--=
x x y ,看成两点2(A ,)4
1,x B (cos ,)sin x 连线的斜率, 七、利用二次函数的性质
例14.求函数x x m y 2cos sin 42--=的最值.
解析:2
2
2
21)(sin 2)sin 21(sin 42m m x x x m y -+-=---=,因为1|sin |≤x , 当-∞∈(m ,]1-时,m y 43max -=,m y 43min +=.
当1[-∈m ,]0时,m y 43max -=,2
min 21m y -=. 当0[∈m ,]1时,m y 43max +=,2
min 21m y -=.
当1[∈m ,)∞+时,m y 43max +=,m y 43min -=.。