人教版高中数学公式整理
- 格式:doc
- 大小:1.28 MB
- 文档页数:42
人教版高二数学第一学期公式定理总结人教版高二数学第一学期公式定理总结1.1-1.3S扇形12lR弧长RS柱2R2RlS锥RRlS台RR"RlR"lS球4RV柱ShV椎V台V 球Sh22222SS"R3SS"hS等边34a22.1-2.33.1-3.3垂直K1K21相交A1A1B1B2B2B2C1C2平行K1K2A1A2(重合都)C1C2AB22平行距离d4.1-4.3标准方程某aybr(某,y)圆上点a,b圆心一般方程某yD某EyF0D,E)圆心(22DE4F半径12某某yyz空间两点距选修1-1扩展阅读:高中数学公式及定理总结乘法与因式分解a^2-b^2=(a+b)(a-b)a^3+b^3=(a+b)(a^2-ab+b^2)a^3-b^3=(a-b(a^2+ab+b^2)三角不等式|a+b|≤|a|+|b||a-b|≤|a|+|b||a|≤b-b≤a≤b|a-b|≥|a|-|b|-|a|≤a≤|a|一元二次方程的解-b+√(b^2-4ac)/2a-b-√(b^2-4ac)/2a根与系数的关系某1+某2=-b/a某1某某2=c/a注:韦达定理判别式b^2-4ac=0注:方程有两个相等的实根b^2-4ac>0注:方程有两个不等的实根b^2-4ac1^3+2^3+3^3+4^3+5^3+6^3+…n^3=n2(n+1)2/41某2+2某3+3某4+4某5+5某6+6某7+…+n(n+1)=n(n+1)(n+2)/3 正弦定理a/sinA=b/sinB=c/sinC=2R注:其中R表示三角形的外接圆半径余弦定理b^2=a^2+c^2-2accosB注:角B是边a和边c的夹角圆的标准方程(某-a)^2+(y-b)^2=^r2注:(a,b)是圆心坐标圆的一般方程某^2+y^2+D某+Ey+F=0注:D^2+E^2-4F>0抛物线标准方程y^2=2p某y^2=-2p某某^2=2py某^2=-2py 直棱柱侧面积S=c某h斜棱柱侧面积S=c"某h正棱锥侧面积S=1/2c某h"正棱台侧面积S=1/2(c+c")h"圆台侧面积S=1/2(c+c")l=pi(R+r)l球的表面积S=4pi某r2圆柱侧面积S=c某h=2pi某h 圆锥侧面积S=1/2某c某l=pi某r某l弧长公式l=a某ra是圆心角的弧度数r>0扇形面积公式s=1/2某l某r锥体体积公式V=1/3某S某H圆锥体体积公式V=1/3某pi某r2h斜棱柱体积V=S"L注:其中,S"是直截面面积,L是侧棱长柱体体积公式V=s某h圆柱体V=pi某r2h定理86平行线分线段成比例定理三条平行线截两条直线,所得的对应线段成比例87推论平行于三角形一边的直线截其他两边(或两边的延长线),所得的对应线段成比例88定理如果一条直线截三角形的两边(或两边的延长线)所得的对应线段成比例,那么这条直线平行于三角形的第三边89平行于三角形的一边,并且和其他两边相交的直线,所截得的三角形的三边与原三角形三边对应成比例90定理平行于三角形一边的直线和其他两边(或两边的延长线)相交,所构成的三角形与原三角形相似91相似三角形判定定理1两角对应相等,两三角形相似(ASA)92直角三角形被斜边上的高分成的两个直角三角形和原三角形相似93判定定理2两边对应成比例且夹角相等,两三角形相似(SAS)94判定定理3三边对应成比例,两三角形相似(SSS)95定理如果一个直角三角形的斜边和一条直角边与另一个直角三角形的斜边和一条直角边对应成比例,那么这两个直角三角形相似96性质定理1相似三角形对应高的比,对应中线的比与对应角平分线的比都等于相似比97性质定理2相似三角形周长的比等于相似比98性质定理3相似三角形面积的比等于相似比的平方99任意锐角的正弦值等于它的余角的余弦值,任意锐角的余弦值等于它的余角的正弦值100任意锐角的正切值等于它的余角的余切值,任意锐角的余切值等于它的余角的正切值101圆是定点的距离等于定长的点的某某102圆的内部可以看作是圆心的距离小于半径的点的某某103圆的外部可以看作是圆心的距离大于半径的点的某某104同圆或等圆的半径相等105到定点的距离等于定长的点的轨迹,是以定点为圆心,定长为半径的圆106和已知线段两个端点的距离相等的点的轨迹,是着条线段的垂直平分线107到已知角的两边距离相等的点的轨迹,是这个角的平分线108到两条平行线距离相等的点的轨迹,是和这两条平行线平行且距离相等的一条直线109定理不在同一直线上的三点确定一个圆。
人教版高中数学必修四常用公式大全高中数学必修4常用公式及结论一、三角函数与三角恒等变换1、三角函数的图象与性质三角函数是数学中重要的概念之一,它们的图象和性质也是我们需要了解的内容。
正弦函数、余弦函数和正切函数都有自己的定义域、值域、周期性、奇偶性和单调性等特点。
其中,正弦函数和余弦函数的定义域是整个实数集,值域是[-1,1],周期是2π,正弦函数是奇函数,余弦函数是偶函数。
而正切函数的定义域是整个实数集除去一些特定点,值域是整个实数集,周期是π,正切函数是奇函数。
2、同角三角函数公式同角三角函数公式是三角函数中的重要内容,包括sin2α+cos2α= 1和tanα=tanαcotα=1等。
这些公式在解决三角函数相关的问题时非常有用。
3、二倍角的三角函数公式二倍角的三角函数公式是用来求解二倍角的三角函数值的公式,包括sin2α=2sinαcosα、cos2α=2cos2α-1=1-2sin2α和tan2α=2tanα/(1-tan2α)等。
4、降幂公式和升幂公式降幂公式和升幂公式是用来将三角函数的高次幂降为低次幂或将低次幂升为高次幂的公式。
其中,降幂公式包括cosα=(1+cos2α)/2和2sinα=sin2α/(1+cosα),升幂公式包括1±sin2α=(sinα±cosα)2和1+cos2α=2cos2α。
5、两角和差的三角函数公式两角和差的三角函数公式是用来求解两个角的和差的三角函数值的公式,包括sin(α±β)=sinαcosβ±cosαsinβ、cos(α±β)=cosαcosβ干sinαsinβ和tan(α±β)=(tanα±tanβ)/(1干tanαtanβ)等。
6、两角和差正切公式的变形两角和差正切公式的变形包括tanα±tanβ=tan(α±β)/(1干tanαtanβ)和tan(+α)=tan(-α)/(1-tanα)等。
高中人教版数学必修1,2,3,4,5的公式,结论1 过两点有且只有一条直线2 两点之间线段最短3 同角或等角的补角相等4 同角或等角的余角相等5 过一点有且只有一条直线和已知直线垂直6 直线外一点与直线上各点连接的所有线段中,垂线段最短7 平行公理经过直线外一点,有且只有一条直线与这条直线平行8 如果两条直线都和第三条直线平行,这两条直线也互相平行9 同位角相等,两直线平行10 内错角相等,两直线平行11 同旁内角互补,两直线平行12两直线平行,同位角相等13 两直线平行,内错角相等14 两直线平行,同旁内角互补15 定理三角形两边的和大于第三边16 推论三角形两边的差小于第三边17 三角形内角和定理三角形三个内角的和等于180°18 推论1 直角三角形的两个锐角互余19 推论2 三角形的一个外角等于和它不相邻的两个内角的和20 推论3 三角形的一个外角大于任何一个和它不相邻的内角21 全等三角形的对应边、对应角相等22边角边公理(SAS) 有两边和它们的夹角对应相等的两个三角形全等23 角边角公理( ASA)有两角和它们的夹边对应相等的两个三角形全等24 推论(AAS) 有两角和其中一角的对边对应相等的两个三角形全等25 边边边公理(SSS) 有三边对应相等的两个三角形全等26 斜边、直角边公理(HL) 有斜边和一条直角边对应相等的两个直角三角形全等27 定理1 在角的平分线上的点到这个角的两边的距离相等28 定理2 到一个角的两边的距离相同的点,在这个角的平分线上29 角的平分线是到角的两边距离相等的所有点的集合30 等腰三角形的性质定理等腰三角形的两个底角相等(即等边对等角)31 推论1 等腰三角形顶角的平分线平分底边并且垂直于底边32 等腰三角形的顶角平分线、底边上的中线和底边上的高互相重合33 推论3 等边三角形的各角都相等,并且每一个角都等于60°34 等腰三角形的判定定理如果一个三角形有两个角相等,那么这两个角所对的边也相等(等角对等边)35 推论1 三个角都相等的三角形是等边三角形36 推论2 有一个角等于60°的等腰三角形是等边三角形37 在直角三角形中,如果一个锐角等于30°那么它所对的直角边等于斜边的一半38 直角三角形斜边上的中线等于斜边上的一半39 定理线段垂直平分线上的点和这条线段两个端点的距离相等40 逆定理和一条线段两个端点距离相等的点,在这条线段的垂直平分线上41 线段的垂直平分线可看作和线段两端点距离相等的所有点的集合42 定理1 关于某条直线对称的两个图形是全等形43 定理2 如果两个图形关于某直线对称,那么对称轴是对应点连线的垂直平分线44定理3 两个图形关于某直线对称,如果它们的对应线段或延长线相交,那么交点在对称轴上45逆定理如果两个图形的对应点连线被同一条直线垂直平分,那么这两个图形关于这条直线对称46勾股定理直角三角形两直角边a、b的平方和、等于斜边c的平方,即a^2+b^2=c^2 47勾股定理的逆定理如果三角形的三边长a、b、c有关系a^2+b^2=c^2 ,那么这个三角形是直角三角形48定理四边形的内角和等于360°49四边形的外角和等于360°50多边形内角和定理n边形的内角的和等于(n-2)×180°51推论任意多边的外角和等于360°52平行四边形性质定理1 平行四边形的对角相等53平行四边形性质定理2 平行四边形的对边相等54推论夹在两条平行线间的平行线段相等55平行四边形性质定理3 平行四边形的对角线互相平分56平行四边形判定定理1 两组对角分别相等的四边形是平行四边形57平行四边形判定定理2 两组对边分别相等的四边形是平行四边形58平行四边形判定定理3 对角线互相平分的四边形是平行四边形59平行四边形判定定理4 一组对边平行相等的四边形是平行四边形60矩形性质定理1 矩形的四个角都是直角61矩形性质定理2 矩形的对角线相等62矩形判定定理1 有三个角是直角的四边形是矩形63矩形判定定理2 对角线相等的平行四边形是矩形64菱形性质定理1 菱形的四条边都相等65菱形性质定理2 菱形的对角线互相垂直,并且每一条对角线平分一组对角66菱形面积=对角线乘积的一半,即S=(a×b)÷267菱形判定定理1 四边都相等的四边形是菱形68菱形判定定理2 对角线互相垂直的平行四边形是菱形69正方形性质定理1 正方形的四个角都是直角,四条边都相等70正方形性质定理2正方形的两条对角线相等,并且互相垂直平分,每条对角线平分一组对角71定理1 关于中心对称的两个图形是全等的72定理2 关于中心对称的两个图形,对称点连线都经过对称中心,并且被对称中心平分73逆定理如果两个图形的对应点连线都经过某一点,并且被这一点平分,那么这两个图形关于这一点对称74等腰梯形性质定理等腰梯形在同一底上的两个角相等75等腰梯形的两条对角线相等76等腰梯形判定定理在同一底上的两个角相等的梯形是等腰梯形77对角线相等的梯形是等腰梯形78平行线等分线段定理如果一组平行线在一条直线上截得的线段相等,那么在其他直线上截得的线段也相等79 推论1 经过梯形一腰的中点与底平行的直线,必平分另一腰80 推论2 经过三角形一边的中点与另一边平行的直线,必平分第三边81 三角形中位线定理三角形的中位线平行于第三边,并且等于它的一半82 梯形中位线定理梯形的中位线平行于两底,并且等于两底和的一半L=(a+b)÷2 S=L×h83 (1)比例的基本性质如果a:b=c:d,那么ad=bc如果ad=bc,那么a:b=c:d84 (2)合比性质如果a/b=c/d,那么(a±b)/b=(c±d)/d85 (3)等比性质如果a/b=c/d=…=m/n(b+d+…+n≠0),那么(a+c+…+m)/(b+d+…+n)=a/b86 平行线分线段成比例定理三条平行线截两条直线,所得的对应线段成比例87 推论平行于三角形一边的直线截其他两边(或两边的延长线),所得的对应线段成比例88 定理如果一条直线截三角形的两边(或两边的延长线)所得的对应线段成比例,那么这条直线平行于三角形的第三边89 平行于三角形的一边,并且和其他两边相交的直线,所截得的三角形的三边与原三角形三边对应成比例90 定理平行于三角形一边的直线和其他两边(或两边的延长线)相交,所构成的三角形与原三角形相似91 相似三角形判定定理1 两角对应相等,两三角形相似(ASA)92 直角三角形被斜边上的高分成的两个直角三角形和原三角形相似93 判定定理2 两边对应成比例且夹角相等,两三角形相似(SAS)94 判定定理3 三边对应成比例,两三角形相似(SSS)95 定理如果一个直角三角形的斜边和一条直角边与另一个直角三角形的斜边和一条直角边对应成比例,那么这两个直角三角形相似96 性质定理1 相似三角形对应高的比,对应中线的比与对应角平分线的比都等于相似比97 性质定理2 相似三角形周长的比等于相似比98 性质定理3 相似三角形面积的比等于相似比的平方99 任意锐角的正弦值等于它的余角的余弦值,任意锐角的余弦值等于它的余角的正弦值100任意锐角的正切值等于它的余角的余切值,任意锐角的余切值等于它的余角的正切值101圆是定点的距离等于定长的点的集合102圆的内部可以看作是圆心的距离小于半径的点的集合103圆的外部可以看作是圆心的距离大于半径的点的集合104同圆或等圆的半径相等105到定点的距离等于定长的点的轨迹,是以定点为圆心,定长为半径的圆106和已知线段两个端点的距离相等的点的轨迹,是着条线段的垂直平分线107到已知角的两边距离相等的点的轨迹,是这个角的平分线108到两条平行线距离相等的点的轨迹,是和这两条平行线平行且距离相等的一条直线109定理不在同一直线上的三点确定一个圆。
人教版高中数学必修一知识点规纳数学公式高中数学必修一是我们学习的一门重要课程,其中的数学公式是我们学习的基础。
下面我将从函数、方程、几何等不同角度来规纳一些常见的数学公式。
一、函数相关公式1. 一次函数的公式:y = ax + b其中,a为直线的斜率,b为直线在y轴上的截距。
2. 二次函数的公式:y = ax^2 + bx + c其中,a、b、c为常数,a≠0。
3.两点间距离公式:d=√[(x2-x1)^2+(y2-y1)^2]其中,(x1,y1)和(x2,y2)为两个点的坐标。
4. 判别式公式:Δ = b^2 - 4ac对于二次函数,根据判别式的值可以判断方程的根的情况。
5.直线与圆的位置关系公式:(1)直线与圆相切时,直线与圆心之间的距离等于圆的半径。
(2)直线与圆相离时,直线与圆心之间的距离大于圆的半径。
(3)直线与圆相交时,直线与圆心之间的距离小于圆的半径。
二、方程相关公式1.二次方程的求根公式:x=(-b±√Δ)/2a其中,Δ为判别式,a、b、c为二次方程的系数。
2.一元二次方程求解:(1) 完全平方公式:a^2 + 2ab + b^2 = (a + b)^2,可用来解决一些特殊的二次方程。
(2)因式分解法:将二次方程进行因式分解,使得两个因子相乘等于0,从而找到根。
3.绝对值方程的求解:(1),x,=a,有两个解:x=a和x=-a。
(2),f(x),=,g(x),等价于f(x)=±g(x),求解此方程即可。
4.三角方程的求解:(1) 正弦方程的求解:sinx = a,可利用反正弦函数求得解。
(2) 余弦方程的求解:cosx = a,可利用反余弦函数求得解。
(3) 正切方程的求解:tanx = a,可利用反正切函数求得解。
三、几何相关公式1.直角三角形相关公式:(1)勾股定理:a^2+b^2=c^2,其中c为斜边的长度。
(2) 正弦定理:a/sinA = b/sinB = c/sinC,其中A、B、C为三个角度,a、b、c为相应边长。
人教版高中数学必背公式定理名句目录1. 公式2. 定理3. 名句公式下面是一些人教版高中数学中必背的重要公式:1. 二次函数顶点坐标公式:$$\begin{align*}x_0 &= -\frac{b}{2a} \\y_0 &= f(x_0) = -\frac{\Delta}{4a}\end{align*}$$2. 三角函数和角度的关系:$$\begin{align*}\sin{\theta} &= \frac{y}{r} \\\cos{\theta} &= \frac{x}{r} \\\tan{\theta} &= \frac{y}{x}\end{align*}$$3. 高中数学必背的导数公式:$$\begin{align*}(k \cdot f(x))' &= k \cdot f'(x) \\(f(x) + g(x))' &= f'(x) + g'(x) \\(f(x) \cdot g(x))' &= f'(x) \cdot g(x) + f(x) \cdot g'(x) \\ \frac{f'(x)}{g(x)} &= \frac{f'(x) \cdot g(x) - f(x) \cdot g'(x)}{(g(x))^2}\end{align*}$$定理下面是人教版高中数学中必背的一些重要定理:1. 皮克定理(Pick's Theorem):一个简单多边形,其顶点都在整点上,内部没有其他整点。
那么该多边形的面积 $A$ 和边上整点的个数 $B$、内部整点的个数 $C$ 满足以下关系:$$A = B/2 - C + 1$$2. 牛顿-莱布尼茨公式(Fundamental Theorem of Calculus):如果 $f(x)$ 在区间 $[a, b]$ 上连续,$F(x)$ 是 $f(x)$ 的一个原函数,则有:$$\int_a^b f(x) \,dx = F(b) - F(a)$$3. 激励相等定律:一个杠杆在平衡时,杠杆两端的力矩相等。
人教版高中数学必修一知识点规纳数学公式大全高中数学必修一知识点一、集合有关概念1. 集合的含义2. 集合的中元素的三个特性:(1) 元素的确定性,(2) 元素的互异性,(3) 元素的无序性,3.集合的表示:{ … } 如:{我校的篮球队员},{太平洋,大西洋,印度洋,北冰洋}(1) 用拉丁字母表示集合:A={我校的篮球队员},B={1,2,3,4,5}(2) 集合的表示方法:列举法与描述法。
注意:常用数集及其记法:非负整数集(即自然数集)记作:N正整数集 N_或N+ 整数集Z 有理数集Q 实数集R1)列举法:{a,b,c……}2)描述法:将集合中的元素的公共属性描述出来,写在大括号内表示集合的方法。
{x?R|x-3>2} ,{x| x-3>2}3)语言描述法:例:{不是直角三角形的三角形}4) Venn图:4、集合的分类:(1) 有限集含有有限个元素的集合(2) 无限集含有无限个元素的集合(3) 空集不含任何元素的集合例:{x|x2=-5}二、集合间的基本关系1.“包含”关系—子集注意:有两种可能(1)A是B的一部分,;(2)A与B是同一集合。
反之: 集合A不包含于集合B,或集合B不包含集合A,记作A B或B A2.“相等”关系:A=B (5≥5,且5≤5,则5=5)实例:设 A={x|x2-1=0} B={-1,1} “元素相同则两集合相等”即:①任何一个集合是它本身的子集。
A?A②真子集:如果A?B,且A? B那就说集合A是集合B的真子集,记作A B(或B A)③如果 A?B, B?C ,那么 A?C④如果A?B 同时 B?A 那么A=B3. 不含任何元素的集合叫做空集,记为Φ规定: 空集是任何集合的子集,空集是任何非空集合的真子集。
有n个元素的集合,含有2n个子集,2n-1个真子集三、集合的运算运算类型交集并集补集定义由所有属于A且属于B的元素所组成的集合,叫做A,B的交集.记作A B(读作‘A交B’),即A B={x|x A,且x B}.由所有属于集合A或属于集合B的元素所组成的集合,叫做A,B的并集.记作:A B(读作‘A并B’),即A B ={x|x A,或x B}).设S是一个集合,A 是S的一个子集,由S中所有不属于A的元素组成的集合,叫做S中子集A的补集(或余集)记作,即CSA= 韦恩图示性质 A A=AA Φ=ΦA B=B AA B AA B BA A=AA Φ=AA B=B AA B AA B B(CuA) (CuB)= Cu (A B)(CuA) (CuB)= Cu(A B)A (CuA)=UA (CuA)= Φ.例题:1.下列四组对象,能构成集合的是 ( )A某班所有高个子的学生 B著名的艺术家 C一切很大的书 D 倒数等于它自身的实数2.集合{a,b,c }的真子集共有个3.若集合M={y|y=x2-2x+1,x R},N={x|x≥0},则M与N的关系是 .4.设集合A= ,B= ,若A B,则的取值范围是5.50名学生做的物理、化学两种实验,已知物理实验做得正确得有40人,化学实验做得正确得有31人,两种实验都做错得有4人,则这两种实验都做对的有人。
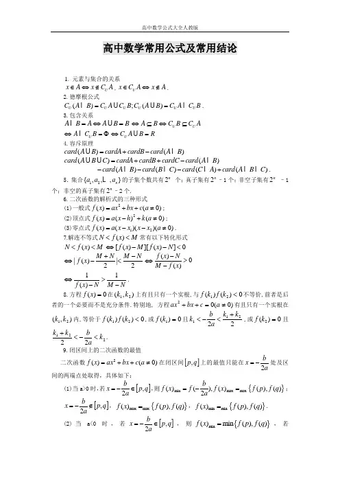
高中数学常用公式及常用结论1. 元素与集合的关系U x A x C A ∈⇔∉,U x C A x A ∈⇔∉. 2.德摩根公式();()U U U U U U C A B C A C B C A B C A C B ==I U U I .3.包含关系A B A A B B =⇔=I U U U A B C B C A ⇔⊆⇔⊆ U A C B ⇔=ΦI U C A B R ⇔=U4.容斥原理()()card A B cardA cardB card A B =+-U I()()card A B C cardA cardB cardC card A B =++-U U I()()()()card A B card B C card C A card A B C ---+I I I I I .5.集合12{,,,}n a a a L 的子集个数共有2n 个;真子集有2n –1个;非空子集有2n–1个;非空的真子集有2n –2个.6.二次函数的解析式的三种形式(1)一般式2()(0)f x ax bx c a =++≠; (2)顶点式2()()(0)f x a x h k a =-+≠; (3)零点式12()()()(0)f x a x x x x a =--≠. 7.解连不等式()N f x M <<常有以下转化形式()N f x M <<⇔[()][()]0f x M f x N --<⇔|()|22M N M Nf x +--<⇔()0()f x N M f x ->- ⇔11()f x N M N>--. 8.方程0)(=x f 在),(21k k 上有且只有一个实根,与0)()(21<k f k f 不等价,前者是后者的一个必要而不是充分条件.特别地, 方程)0(02≠=++a c bx ax 有且只有一个实根在),(21k k 内,等价于0)()(21<k f k f ,或0)(1=k f 且22211k k a b k +<-<,或0)(2=k f 且22122k abk k <-<+. 9.闭区间上的二次函数的最值二次函数)0()(2≠++=a c bx ax x f 在闭区间[]q p ,上的最值只能在abx 2-=处及区间的两端点处取得,具体如下:(1)当a>0时,若[]q p a bx ,2∈-=,则{}min max max ()(),()(),()2b f x f f x f p f q a=-=; []q p abx ,2∉-=,{}max max ()(),()f x f p f q =,{}min min ()(),()f x f p f q =. (2)当a<0时,若[]q p a bx ,2∈-=,则{}min ()min (),()f x f p f q =,若[]q p abx ,2∉-=,则{}max ()max (),()f x f p f q =,{}min ()min (),()f x f p f q =. 10.一元二次方程的实根分布依据:若()()0f m f n <,则方程0)(=x f 在区间(,)m n 内至少有一个实根 . 设q px x x f ++=2)(,则(1)方程0)(=x f 在区间),(+∞m 内有根的充要条件为0)(=m f 或2402p q p m ⎧-≥⎪⎨->⎪⎩;(2)方程0)(=x f 在区间(,)m n 内有根的充要条件为()()0f m f n <或2()0()0402f m f n p q p m n >⎧⎪>⎪⎪⎨-≥⎪⎪<-<⎪⎩或()0()0f m af n =⎧⎨>⎩或()0()0f n af m =⎧⎨>⎩; (3)方程0)(=x f 在区间(,)n -∞内有根的充要条件为()0f m <或2402p q p m ⎧-≥⎪⎨-<⎪⎩ .11.定区间上含参数的二次不等式恒成立的条件依据(1)在给定区间),(+∞-∞的子区间L (形如[]βα,,(]β,∞-,[)+∞,α不同)上含参数的二次不等式(,)0f x t ≥(t 为参数)恒成立的充要条件是min (,)0()f x t x L ≥∉.(2)在给定区间),(+∞-∞的子区间上含参数的二次不等式(,)0f x t ≥(t 为参数)恒成立的充要条件是(,)0()man f x t x L ≤∉.(3)0)(24>++=c bx ax x f 恒成立的充要条件是000a b c ≥⎧⎪≥⎨⎪>⎩或2040a b ac <⎧⎨-<⎩.12.13.14.四种命题的相互关系15.充要条件(1)充分条件:若p q ⇒,则p 是q 充分条件.(2)必要条件:若q p ⇒,则p 是q 必要条件.(3)充要条件:若p q ⇒,且q p ⇒,则p 是q 充要条件.注:如果甲是乙的充分条件,则乙是甲的必要条件;反之亦然. 16.函数的单调性(1)设[]2121,,x x b a x x ≠∈⋅那么[]1212()()()0x x f x f x -->⇔[]b a x f x x x f x f ,)(0)()(2121在⇔>--上是增函数;[]1212()()()0x x f x f x --<⇔[]b a x f x x x f x f ,)(0)()(2121在⇔<--上是减函数. (2)设函数)(x f y =在某个区间内可导,如果0)(>'x f ,则)(x f 为增函数;如果0)(<'x f ,则)(x f 为减函数.17.如果函数)(x f 和)(x g 都是减函数,则在公共定义域内,和函数)()(x g x f +也是减函数; 如果函数)(u f y =和)(x g u =在其对应的定义域上都是减函数,则复合函数)]([x g f y =是增函数.18.奇偶函数的图象特征奇函数的图象关于原点对称,偶函数的图象关于y 轴对称;反过来,如果一个函数的图象关于原点对称,那么这个函数是奇函数;如果一个函数的图象关于y 轴对称,那么这个函数是偶函数.19.若函数)(x f y =是偶函数,则)()(a x f a x f --=+;若函数)(a x f y +=是偶函数,则)()(a x f a x f +-=+.20.对于函数)(x f y =(R x ∈),)()(x b f a x f -=+恒成立,则函数)(x f 的对称轴是函数2b a x +=;两个函数)(a x f y +=与)(x b f y -= 的图象关于直线2ba x +=对称. 21.若)()(a x f x f +--=,则函数)(x f y =的图象关于点)0,2(a对称; 若)()(a x f x f +-=,则函数)(x f y =为周期为a 2的周期函数.22.多项式函数110()n n n n P x a x a x a --=+++L 的奇偶性多项式函数()P x 是奇函数⇔()P x 的偶次项(即奇数项)的系数全为零. 多项式函数()P x 是偶函数⇔()P x 的奇次项(即偶数项)的系数全为零. 23.函数()y f x =的图象的对称性(1)函数()y f x =的图象关于直线x a =对称()()f a x f a x ⇔+=- (2)()f a x f x ⇔-=.(2)函数()y f x =的图象关于直线2a bx +=对称()()f a mx f b mx ⇔+=- ()()f a b mx f mx ⇔+-=.24.两个函数图象的对称性(1)函数()y f x =与函数()y f x =-的图象关于直线0x =(即y 轴)对称. (2)函数()y f mx a =-与函数()y f b mx =-的图象关于直线2a bx m+=对称. (3)函数)(x f y =和)(1x fy -=的图象关于直线y=x 对称.25.若将函数)(x f y =的图象右移a 、上移b 个单位,得到函数b a x f y +-=)(的图象;若将曲线0),(=y x f 的图象右移a 、上移b 个单位,得到曲线0),(=--b y a x f 的图象.26.互为反函数的两个函数的关系a b f b a f =⇔=-)()(1.27.若函数)(b kx f y +=存在反函数,则其反函数为])([11b x f ky -=-,并不是)([1b kx fy +=-,而函数)([1b kx fy +=-是])([1b x f ky -=的反函数. 28.几个常见的函数方程(1)正比例函数()f x cx =,()()(),(1)f x y f x f y f c +=+=.(2)指数函数()xf x a =,()()(),(1)0f x y f x f y f a +==≠.(3)对数函数()log a f x x =,()()(),()1(0,1)f xy f x f y f a a a =+=>≠.(4)幂函数()f x x α=,'()()(),(1)f xy f x f y f α==.(5)余弦函数()cos f x x =,正弦函数()sin g x x =,()()()()()f x y f x f y g x g y -=+,()(0)1,lim1x g x f x→==. 29.几个函数方程的周期(约定a>0)(1))()(a x f x f +=,则)(x f 的周期T=a ; (2)0)()(=+=a x f x f ,或)0)(()(1)(≠=+x f x f a x f , 或1()()f x a f x +=-(()0)f x ≠,或[]1(),(()0,1)2f x a f x +=+∈,则)(x f 的周期T=2a ; (3))0)(()(11)(≠+-=x f a x f x f ,则)(x f 的周期T=3a ; (4))()(1)()()(212121x f x f x f x f x x f -+=+且1212()1(()()1,0||2)f a f x f x x x a =⋅≠<-<,则)(x f 的周期T=4a ;(5)()()(2)(3)(4)f x f x a f x a f x a f x a +++++++()()(2)(3)(4)f x f x a f x a f x a f x a =++++,则)(x f 的周期T=5a ; (6))()()(a x f x f a x f +-=+,则)(x f 的周期T=6a.30.分数指数幂(1)m na =(0,,a m n N *>∈,且1n >). (2)1m nm naa-=(0,,a m n N *>∈,且1n >).31.根式的性质(1)na =.(2)当na =; 当n,0||,0a a a a a ≥⎧==⎨-<⎩.32.有理指数幂的运算性质 (1) (0,,)rsr sa a aa r s Q +⋅=>∈.(2) ()(0,,)r s rs a a a r s Q =>∈.(3)()(0,0,)rr rab a b a b r Q =>>∈.注: 若a >0,p 是一个无理数,则a p表示一个确定的实数.上述有理指数幂的运算性质,对于无理数指数幂都适用.33.指数式与对数式的互化式log b a N b a N =⇔=(0,1,0)a a N >≠>.34.对数的换底公式log log log m a m NN a=(0a >,且1a ≠,0m >,且1m ≠, 0N >).推论 log log m na a nb b m =(0a >,且1a >,,0m n >,且1m ≠,1n ≠, 0N >).35.对数的四则运算法则若a >0,a ≠1,M >0,N >0,则 (1)log ()log log a a a MN M N =+;(2) log log log aa a MM N N =-; (3)log log ()na a M n M n R =∈.36.设函数)0)((log )(2≠++=a c bx ax x f m ,记ac b 42-=∆.若)(x f 的定义域为R ,则0>a ,且0<∆;若)(x f 的值域为R ,则0>a ,且0≥∆.对于0=a 的情形,需要单独检验.37. 对数换底不等式及其推广若0a >,0b >,0x >,1x a ≠,则函数log ()ax y bx = (1)当a b >时,在1(0,)a 和1(,)a +∞上log ()ax y bx =为增函数., (2)当a b <时,在1(0,)a 和1(,)a+∞上log ()ax y bx =为减函数. 推论:设1n m >>,0p >,0a >,且1a ≠,则 (1)log ()log m p m n p n ++<.(2)2log log log 2a a am nm n +<. 38. 平均增长率的问题如果原来产值的基础数为N ,平均增长率为p ,则对于时间x 的总产值y ,有(1)x y N p =+.39.数列的同项公式与前n 项的和的关系11,1,2n n n s n a s s n -=⎧=⎨-≥⎩( 数列{}n a 的前n 项的和为12n n s a a a =+++L ). 40.等差数列的通项公式*11(1)()n a a n d dn a d n N =+-=+-∈;其前n 项和公式为1()2n n n a a s +=1(1)2n n na d -=+ 211()22d n a d n =+-. 41.等比数列的通项公式1*11()n nn a a a q q n N q-==⋅∈; 其前n 项的和公式为11(1),11,1n n a q q s q na q ⎧-≠⎪=-⎨⎪=⎩或11,11,1n n a a qq q s na q -⎧≠⎪-=⎨⎪=⎩.42.等比差数列{}n a :11,(0)n n a qa d a b q +=+=≠的通项公式为1(1),1(),11n n n b n d q a bq d b q d q q -+-=⎧⎪=+--⎨≠⎪-⎩;其前n 项和公式为(1),(1)1(),(1)111n n nb n n d q s d q db n q q q q +-=⎧⎪=-⎨-+≠⎪---⎩. 43.分期付款(按揭贷款)每次还款(1)(1)1nnab b x b +=+-元(贷款a 元,n 次还清,每期利率为b ). 44.常见三角不等式 (1)若(0,)2x π∈,则sin tan x x x <<.(2) 若(0,)2x π∈,则1sin cos x x <+≤(3) |sin ||cos |1x x +≥.45.同角三角函数的基本关系式22sin cos 1θθ+=,tan θ=θθcos sin ,tan 1cot θθ⋅=. 46.正弦、余弦的诱导公式212(1)sin ,sin()2(1)s ,nn n co απαα-⎧-⎪+=⎨⎪-⎩212(1)s ,s()2(1)sin ,nn co n co απαα+⎧-⎪+=⎨⎪-⎩47.和角与差角公式sin()sin cos cos sin αβαβαβ±=±;cos()cos cos sin sin αβαβαβ±=m ;tan tan tan()1tan tan αβαβαβ±±=m .22sin()sin()sin sin αβαβαβ+-=-(平方正弦公式); 22cos()cos()cos sin αβαβαβ+-=-.sin cos a b αα+=)αϕ+(辅助角ϕ所在象限由点(,)a b 的象限决定,tan baϕ= ).48.二倍角公式sin 2sin cos ααα=.2222cos 2cos sin 2cos 112sin ααααα=-=-=-.22tan tan 21tan ααα=-. 49. 三倍角公式3sin 33sin 4sin 4sin sin()sin()33ππθθθθθθ=-=-+.3cos34cos 3cos 4cos cos()cos()33ππθθθθθθ=-=-+.323tan tan tan 3tan tan()tan()13tan 33θθππθθθθθ-==-+-.50.三角函数的周期公式函数sin()y x ωϕ=+,x ∈R 及函数cos()y x ωϕ=+,x ∈R(A,ω,ϕ为常数,且A ≠0,ω>0)的周期2T πω=;函数tan()y x ωϕ=+,,2x k k Z ππ≠+∈(A,ω,ϕ为常数,且A≠0,ω>0)的周期T πω=.51.正弦定理2sin sin sin a b cR A B C===. 52.余弦定理2222cos a b c bc A =+-; 2222cos b c a ca B =+-; 2222cos c a b ab C =+-.53.面积定理(1)111222a b c S ah bh ch ===(a b c h h h 、、分别表示a 、b 、c 边上的高). (2)111sin sin sin 222S ab C bc A ca B ===.(3)OAB S ∆=54.三角形内角和定理在△ABC 中,有()A B C C A B ππ++=⇔=-+222C A B π+⇔=-222()C A B π⇔=-+. 55. 简单的三角方程的通解sin (1)arcsin (,||1)kx a x k a k Z a π=⇔=+-∈≤. s 2arccos (,||1)co x a x k a k Z a π=⇔=±∈≤.tan arctan (,)x a x k a k Z a R π=⇒=+∈∈.特别地,有sin sin (1)()k k k Z αβαπβ=⇔=+-∈.s cos 2()co k k Z αβαπβ=⇔=±∈.tan tan ()k k Z αβαπβ=⇒=+∈.56.最简单的三角不等式及其解集sin (||1)(2arcsin ,2arcsin ),x a a x k a k a k Z πππ>≤⇔∈++-∈.sin (||1)(2arcsin ,2arcsin ),x a a x k a k a k Z πππ<≤⇔∈--+∈. cos (||1)(2arccos ,2arccos ),x a a x k a k a k Z ππ>≤⇔∈-+∈.cos (||1)(2arccos ,22arccos ),x a a x k a k a k Z πππ<≤⇔∈++-∈.tan ()(arctan ,),2x a a R x k a k k Z πππ>∈⇒∈++∈.tan ()(,arctan ),2x a a R x k k a k Z πππ<∈⇒∈-+∈.57.实数与向量的积的运算律 设λ、μ为实数,那么(1) 结合律:λ(μa )=(λμ)a ; (2)第一分配律:(λ+μ)a =λa +μa; (3)第二分配律:λ(a +b )=λa +λb . 58.向量的数量积的运算律: (1) a ·b= b ·a (交换律); (2)(λa )·b= λ(a ·b )=λa ·b = a ·(λb ); (3)(a +b )·c= a ·c +b ·c. 59.平面向量基本定理如果e 1、e 2是同一平面内的两个不共线向量,那么对于这一平面内的任一向量,有且只有一对实数λ1、λ2,使得a=λ1e 1+λ2e 2.不共线的向量e 1、e 2叫做表示这一平面内所有向量的一组基底. 60.向量平行的坐标表示设a =11(,)x y ,b =22(,)x y ,且b ≠0,则a P b(b ≠0)12210x y x y ⇔-=. 53. a 与b 的数量积(或内积) a ·b =|a ||b |cos θ. 61. a ·b 的几何意义数量积a ·b 等于a 的长度|a |与b 在a 的方向上的投影|b |cos θ的乘积. 62.平面向量的坐标运算(1)设a =11(,)x y ,b =22(,)x y ,则a+b=1212(,)x x y y ++.(2)设a =11(,)x y ,b =22(,)x y ,则a-b=1212(,)x x y y --.(3)设A 11(,)x y ,B 22(,)x y ,则2121(,)AB OB OA x x y y =-=--u u u r u u u r u u u r.(4)设a =(,),x y R λ∈,则λa=(,)x y λλ.(5)设a =11(,)x y ,b =22(,)x y ,则a ·b=1212()x x y y +.63.两向量的夹角公式cos θ=(a =11(,)x y ,b =22(,)x y ).64.平面两点间的距离公式,A B d=||AB =u u u r=11(,)x y ,B 22(,)x y ).65.向量的平行与垂直设a =11(,)x y ,b =22(,)x y ,且b ≠0,则 A ||b ⇔b =λa 12210x y x y ⇔-=. a ⊥b(a ≠0)⇔a ·b=012120x x y y ⇔+=. 66.线段的定比分公式设111(,)P x y ,222(,)P x y ,(,)P x y 是线段12P P 的分点,λ是实数,且12PP PP λ=u u u r u u u r,则121211x x x y y y λλλλ+⎧=⎪⎪+⎨+⎪=⎪+⎩⇔121OP OP OP λλ+=+u u u r u u u r u u u r ⇔12(1)OP tOP t OP =+-u u u r u u u r u u u r (11t λ=+). 67.三角形的重心坐标公式△ABC 三个顶点的坐标分别为11A(x ,y )、22B(x ,y )、33C(x ,y ),则△ABC 的重心的坐标是123123(,)33x x x y y y G ++++. 68.点的平移公式''''x x h x x h y y k y y k⎧⎧=+=-⎪⎪⇔⎨⎨=+=-⎪⎪⎩⎩''OP OP PP ⇔=+u u u r u u u r u u u r . 注:图形F 上的任意一点P(x ,y)在平移后图形'F 上的对应点为'''(,)P x y ,且'PP u u u r的坐标为(,)h k .69.“按向量平移”的几个结论(1)点(,)P x y 按向量a =(,)h k 平移后得到点'(,)P x h y k ++.(2) 函数()y f x =的图象C 按向量a =(,)h k 平移后得到图象'C ,则'C 的函数解析式为()y f x h k =-+.(3) 图象'C 按向量a =(,)h k 平移后得到图象C ,若C 的解析式()y f x =,则'C 的函数解析式为()y f x h k =+-.(4)曲线C :(,)0f x y =按向量a =(,)h k 平移后得到图象'C ,则'C 的方程为(,)0f x h y k --=.(5) 向量m =(,)x y 按向量a =(,)h k 平移后得到的向量仍然为m =(,)x y . 70. 三角形五“心”向量形式的充要条件设O 为ABC ∆所在平面上一点,角,,A B C 所对边长分别为,,a b c ,则(1)O 为ABC ∆的外心222OA OB OC ⇔==u u u r u u u r u u u r .(2)O 为ABC ∆的重心0OA OB OC ⇔++=u u u r u u u r u u u r r.(3)O 为ABC ∆的垂心OA OB OB OC OC OA ⇔⋅=⋅=⋅u u u r u u u r u u u r u u u r u u u r u u u r.(4)O 为ABC ∆的内心0aOA bOB cOC ⇔++=u u u r u u u r u u u r r.(5)O 为ABC ∆的A ∠的旁心aOA bOB cOC ⇔=+u u u r u u u r u u u r.71.常用不等式:(1),a b R ∈⇒222a b ab +≥(当且仅当a =b 时取“=”号).(2),a b R +∈⇒2a b+≥(当且仅当a =b 时取“=”号). (3)3333(0,0,0).a b c abc a b c ++≥>>>(4)柯西不等式22222()()(),,,,.a b c d ac bd a b c d R ++≥+∈(5)b a b a b a +≤+≤-. 72.极值定理已知y x ,都是正数,则有(1)若积xy 是定值p ,则当y x =时和y x +有最小值p 2; (2)若和y x +是定值s ,则当y x =时积xy 有最大值241s . 推广 已知R y x ∈,,则有xy y x y x 2)()(22+-=+ (1)若积xy 是定值,则当||y x -最大时,||y x +最大; 当||y x -最小时,||y x +最小.(2)若和||y x +是定值,则当||y x -最大时, ||xy 最小; 当||y x -最小时, ||xy 最大.73.一元二次不等式20(0)ax bx c ++><或2(0,40)a b ac ≠∆=->,如果a 与2ax bx c ++同号,则其解集在两根之外;如果a 与2ax bx c ++异号,则其解集在两根之间.简言之:同号两根之外,异号两根之间.121212()()0()x x x x x x x x x <<⇔--<<; 121212,()()0()x x x x x x x x x x <>⇔--><或.74.含有绝对值的不等式 当a> 0时,有22x a x a a x a <⇔<⇔-<<.22x a x a x a >⇔>⇔>或x a <-.75.无理不等式 (1()0()0()()f x g x f x g x ≥⎧⎪>⇔≥⎨⎪>⎩. (22()0()0()()0()0()[()]f x f x g x g x g x f x g x ≥⎧≥⎧⎪>⇔≥⎨⎨<⎩⎪>⎩或. (32()0()()0()[()]f x g x g x f x g x ≥⎧⎪<⇔>⎨⎪<⎩. 76.指数不等式与对数不等式 (1)当1a >时,()()()()f x g x a a f x g x >⇔>;()0log ()log ()()0()()a a f x f x g x g x f x g x >⎧⎪>⇔>⎨⎪>⎩.(2)当01a <<时,()()()()f x g x a a f x g x >⇔<;()0log ()log ()()0()()a a f x f x g x g x f x g x >⎧⎪>⇔>⎨⎪<⎩77.斜率公式2121y y k x x -=-(111(,)P x y 、222(,)P x y ).78.直线的五种方程(1)点斜式 11()y y k x x -=- (直线l 过点111(,)P x y ,且斜率为k ). (2)斜截式 y kx b =+(b 为直线l 在y 轴上的截距).(3)两点式112121y y x x y y x x --=--(12y y ≠)(111(,)P x y 、222(,)P x y (12x x ≠)).(4)截距式 1x ya b+=(a b 、分别为直线的横、纵截距,0a b ≠、)(5)一般式 0Ax By C ++=(其中A 、B 不同时为0).79.两条直线的平行和垂直(1)若111:l y k x b =+,222:l y k x b =+ ①121212||,l l k k b b ⇔=≠; ②12121l l k k ⊥⇔=-.(2)若1111:0l A x B y C ++=,2222:0l A x B y C ++=,且A 1、A 2、B 1、B 2都不为零, ①11112222||A B C l l A B C ⇔=≠;②1212120l l A A B B ⊥⇔+=; 80.夹角公式 (1)2121tan ||1k k k k α-=+.(111:l y k x b =+,222:l y k x b =+,121k k ≠-)(2)12211212tan ||A B A B A A B B α-=+.(1111:0l A x B y C ++=,2222:0l A x B y C ++=,12120A A B B +≠).直线12l l ⊥时,直线l 1与l 2的夹角是2π. 81. 1l 到2l 的角公式(1)2121tan 1k k k k α-=+.(111:l y k x b =+,222:l y k x b =+,121k k ≠-)(2)12211212tan A B A B A A B B α-=+.(1111:0l A x B y C ++=,2222:0l A x B y C ++=,12120A A B B +≠).直线12l l ⊥时,直线l 1到l 2的角是2π. 82.四种常用直线系方程(1)定点直线系方程:经过定点000(,)P x y 的直线系方程为00()y y k x x -=-(除直线0x x =),其中k 是待定的系数; 经过定点000(,)P x y 的直线系方程为00()()0A x x B y y -+-=,其中,A B 是待定的系数.(2)共点直线系方程:经过两直线1111:0l A x B y C ++=,2222:0l A x B y C ++=的交点的直线系方程为111222()()0A x B y C A x B y C λ+++++=(除2l ),其中λ是待定的系数.(3)平行直线系方程:直线y kx b =+中当斜率k 一定而b 变动时,表示平行直线系方程.与直线0Ax By C ++=平行的直线系方程是0Ax By λ++=(0λ≠),λ是参变量.(4)垂直直线系方程:与直线0Ax By C ++= (A ≠0,B ≠0)垂直的直线系方程是0Bx Ay λ-+=,λ是参变量.83.点到直线的距离d =(点00(,)P x y ,直线l :0Ax By C ++=).84. 0Ax By C ++>或0<所表示的平面区域设直线:0l Ax By C ++=,则0Ax By C ++>或0<所表示的平面区域是: 若0B ≠,当B 与Ax By C ++同号时,表示直线l 的上方的区域;当B 与Ax By C ++异号时,表示直线l 的下方的区域.简言之,同号在上,异号在下.若0B =,当A 与Ax By C ++同号时,表示直线l 的右方的区域;当A 与Ax By C ++异号时,表示直线l 的左方的区域. 简言之,同号在右,异号在左.85. 111222()()0A x B y C A x B y C ++++>或0<所表示的平面区域 设曲线111222:()()0C A x B y C A x B y C ++++=(12120A A B B ≠),则111222()()0A x B y C A x B y C ++++>或0<所表示的平面区域是:111222()()0A x B y C A x B y C ++++>所表示的平面区域上下两部分; 111222()()0A x B y C A x B y C ++++<所表示的平面区域上下两部分.86. 圆的四种方程(1)圆的标准方程 222()()x a y b r -+-=.(2)圆的一般方程 220x y Dx Ey F ++++=(224D E F +->0).(3)圆的参数方程 cos sin x a r y b r θθ=+⎧⎨=+⎩.(4)圆的直径式方程 1212()()()()0x x x x y y y y --+--=(圆的直径的端点是11(,)A x y 、22(,)B x y ).87. 圆系方程(1)过点11(,)A x y ,22(,)B x y 的圆系方程是1212112112()()()()[()()()()]0x x x x y y y y x x y y y y x x λ--+--+-----= 1212()()()()()0x x x x y y y y ax by c λ⇔--+--+++=,其中0ax by c ++=是直线AB 的方程,λ是待定的系数.(2)过直线l :0Ax By C ++=与圆C :220x y Dx Ey F ++++=的交点的圆系方程是22()0x y Dx Ey F Ax By C λ+++++++=,λ是待定的系数.(3) 过圆1C :221110x y D x E y F ++++=与圆2C :222220x y D x E y F ++++=的交点的圆系方程是2222111222()0x y D x E y F x y D x E y F λ+++++++++=,λ是待定的系数.88.点与圆的位置关系点00(,)P x y 与圆222)()(r b y a x =-+-的位置关系有三种若d =d r >⇔点P 在圆外;d r =⇔点P 在圆上;d r <⇔点P 在圆内.89.直线与圆的位置关系直线0=++C By Ax 与圆222)()(r b y a x =-+-的位置关系有三种:0<∆⇔⇔>相离r d ; 0=∆⇔⇔=相切r d ; 0>∆⇔⇔<相交r d .其中22BA C Bb Aa d +++=.90.两圆位置关系的判定方法设两圆圆心分别为O 1,O 2,半径分别为r 1,r 2,d O O =21条公切线外离421⇔⇔+>r r d ; 条公切线外切321⇔⇔+=r r d ;条公切线相交22121⇔⇔+<<-r r d r r ; 条公切线内切121⇔⇔-=r r d ; 无公切线内含⇔⇔-<<210r r d .91.圆的切线方程(1)已知圆220x y Dx Ey F ++++=.①若已知切点00(,)x y 在圆上,则切线只有一条,其方程是0000()()022D x xE y y x x y yF ++++++=. 当00(,)x y 圆外时, 0000()()022D x xE y y x x y yF ++++++=表示过两个切点的切点弦方程.②过圆外一点的切线方程可设为00()y y k x x -=-,再利用相切条件求k ,这时必有两条切线,注意不要漏掉平行于y 轴的切线.③斜率为k 的切线方程可设为y kx b =+,再利用相切条件求b ,必有两条切线.(2)已知圆222x y r +=.①过圆上的000(,)P x y 点的切线方程为200x x y y r +=;②斜率为k 的圆的切线方程为y kx =±92.椭圆22221(0)x y a b a b +=>>的参数方程是cos sin x a y b θθ=⎧⎨=⎩.93.椭圆22221(0)x y a b a b+=>>焦半径公式)(21c a x e PF +=,)(22x ca e PF -=.94.椭圆的的内外部(1)点00(,)P x y 在椭圆22221(0)x y a b a b +=>>的内部2200221x y a b ⇔+<. (2)点00(,)P x y 在椭圆22221(0)x y a b a b+=>>的外部2200221x y a b ⇔+>. 95. 椭圆的切线方程(1)椭圆22221(0)x y a b a b +=>>上一点00(,)P x y 处的切线方程是00221x x y ya b +=.(2)过椭圆22221(0)x y a b a b+=>>外一点00(,)P x y 所引两条切线的切点弦方程是00221x x y ya b+=. (3)椭圆22221(0)x y a b a b+=>>与直线0Ax By C ++=相切的条件是22222A a B b c +=.96.双曲线22221(0,0)x y a b a b -=>>的焦半径公式21|()|a PF e x c =+,22|()|a PF e x c=-.97.双曲线的内外部(1)点00(,)P x y 在双曲线22221(0,0)x y a b a b -=>>的内部22002x y a ⇔(2)点00(,)P x y 在双曲线22221(0,0)x y a b a b-=>>的外部202x a ⇔98.双曲线的方程与渐近线方程的关系(1)若双曲线方程为12222=-b y a x ⇒渐近线方程:22220x y a b -=⇔x aby ±=.(2)若渐近线方程为x aby ±=⇔0=±b y a x ⇒双曲线可设为λ=-2222b y a x .(3)若双曲线与12222=-b y a x 有公共渐近线,可设为λ=-2222by a x (0>λ,焦点在x轴上,0<λ,焦点在y 轴上).99. 双曲线的切线方程(1)双曲线22221(0,0)x y a b a b -=>>上一点00(,)P x y 处的切线方程是00221x x y ya b -=.(2)过双曲线22221(0,0)x y a b a b-=>>外一点00(,)P x y 所引两条切线的切点弦方程是00221x x y ya b-=. (3)双曲线22221(0,0)x y a b a b-=>>与直线0Ax By C ++=相切的条件是22222A a B b c -=.100. 抛物线px y 22=的焦半径公式抛物线22(0)y px p =>焦半径02p CF x =+.过焦点弦长p x x px p x CD ++=+++=212122.101.抛物线px y 22=上的动点可设为P ),2(2οοy py 或或)2,2(2pt pt P P (,)x y o o ,其中22y px =o o . 102.二次函数2224()24b ac b y ax bx c a x a a-=++=++(0)a ≠的图象是抛物线:(1)顶点坐标为24(,)24b ac b a a --;(2)焦点的坐标为241(,)24b ac b a a-+-;(3)准线方程是2414ac b y a--=.103.抛物线的内外部(1)点00(,)P x y 在抛物线22(0)y px p =>的内部22(0)y px p ⇔<>. 点00(,)P x y 在抛物线22(0)y px p =>的外部22(0)y px p ⇔>>.(2)点00(,)P x y 在抛物线22(0)y px p =->的内部22(0)y px p ⇔<->. 点00(,)P x y 在抛物线22(0)y px p =->的外部22(0)y px p ⇔>->. (3)点00(,)P x y 在抛物线22(0)x py p =>的内部22(0)x py p ⇔<>. 点00(,)P x y 在抛物线22(0)x py p =>的外部22(0)x py p ⇔>>. (4) 点00(,)P x y 在抛物线22(0)x py p =>的内部22(0)x py p ⇔<>. 点00(,)P x y 在抛物线22(0)x py p =->的外部22(0)x py p ⇔>->. 104. 抛物线的切线方程(1)抛物线px y 22=上一点00(,)P x y 处的切线方程是00()y y p x x =+.(2)过抛物线px y 22=外一点00(,)P x y 所引两条切线的切点弦方程是00()y y p x x =+.(3)抛物线22(0)y px p =>与直线0Ax By C ++=相切的条件是22pB AC =.105.两个常见的曲线系方程(1)过曲线1(,)0f x y =,2(,)0f x y =的交点的曲线系方程是12(,)(,)0f x y f x y λ+=(λ为参数).(2)共焦点的有心圆锥曲线系方程22221x y a k b k+=--,其中22max{,}k a b <.当22min{,}k a b >时,表示椭圆; 当2222min{,}max{,}a b k a b <<时,表示双曲线.106.直线与圆锥曲线相交的弦长公式 AB =1212|||AB x x y y ==-=-(弦端点A ),(),,(2211y xB y x ,由方程⎩⎨⎧=+=0)y ,x (F b kx y 消去y 得到02=++c bx ax ,0∆>,α为直线AB 的倾斜角,k 为直线的斜率).107.圆锥曲线的两类对称问题(1)曲线(,)0F x y =关于点00(,)P x y 成中心对称的曲线是00(2-,2)0F x x y y -=. (2)曲线(,)0F x y =关于直线0Ax By C ++=成轴对称的曲线是22222()2()(,)0A Ax By C B Ax By C F x y A B A B++++--=++. 108.“四线”一方程对于一般的二次曲线220Ax Bxy Cy Dx Ey F +++++=,用0x x 代2x ,用0y y 代2y ,用002x y xy +代xy ,用02x x +代x ,用02y y+代y 即得方程 0000000222x y xy x x y yAx x B Cy y D E F ++++⋅++⋅+⋅+=,曲线的切线,切点弦,中点弦,弦中点方程均是此方程得到.109.证明直线与直线的平行的思考途径 (1)转化为判定共面二直线无交点; (2)转化为二直线同与第三条直线平行; (3)转化为线面平行; (4)转化为线面垂直; (5)转化为面面平行.110.证明直线与平面的平行的思考途径 (1)转化为直线与平面无公共点; (2)转化为线线平行; (3)转化为面面平行.111.证明平面与平面平行的思考途径 (1)转化为判定二平面无公共点; (2)转化为线面平行; (3)转化为线面垂直.112.证明直线与直线的垂直的思考途径 (1)转化为相交垂直; (2)转化为线面垂直;(3)转化为线与另一线的射影垂直;(4)转化为线与形成射影的斜线垂直. 113.证明直线与平面垂直的思考途径(1)转化为该直线与平面内任一直线垂直; (2)转化为该直线与平面内相交二直线垂直; (3)转化为该直线与平面的一条垂线平行; (4)转化为该直线垂直于另一个平行平面; (5)转化为该直线与两个垂直平面的交线垂直. 114.证明平面与平面的垂直的思考途径 (1)转化为判断二面角是直二面角; (2)转化为线面垂直.115.空间向量的加法与数乘向量运算的运算律 (1)加法交换律:a +b =b +a .(2)加法结合律:(a +b )+c =a +(b +c ). (3)数乘分配律:λ(a +b )=λa +λb .116.平面向量加法的平行四边形法则向空间的推广 始点相同且不在同一个平面内的三个向量之和,等于以这三个向量为棱的平行六面体的以公共始点为始点的对角线所表示的向量.117.共线向量定理对空间任意两个向量a 、b (b ≠0 ),a ∥b ⇔存在实数λ使a =λb .P A B 、、三点共线⇔||AP AB ⇔AP t AB =u u u r u u u r ⇔(1)OP t OA tOB =-+u u u r u u u r u u u r.||AB CD ⇔AB u u u r 、CD uuur 共线且AB CD 、不共线⇔AB tCD =u u u r u u u r 且AB CD 、不共线.118.共面向量定理向量p 与两个不共线的向量a 、b 共面的⇔存在实数对,x y ,使p ax by =+.推论 空间一点P 位于平面MAB 内的⇔存在有序实数对,x y ,使MP xMA yMB =+u u u r u u u r u u u r,或对空间任一定点O ,有序实数对,x y ,使OP OM xMA yMB =++u u u r u u u u r u u u r u u u r.119.对空间任一点O 和不共线的三点A 、B 、C ,满足OP xOA yOB zOC =++u u u r u u u r u u u r u u u r(x y z k ++=),则当1k =时,对于空间任一点O ,总有P 、A 、B 、C 四点共面;当1k ≠时,若O ∈平面ABC ,则P 、A 、B 、C 四点共面;若O ∉平面ABC ,则P 、A 、B 、C 四点不共面.C A B 、、、D 四点共面⇔AD u u u r 与AB u u u r 、AC u u ur 共面⇔AD x AB y AC =+u u u r u u u r u u u r ⇔ (1)OD x y OA xOB yOC =--++u u u r u u u r u u u r u u u r(O ∉平面ABC ).120.空间向量基本定理如果三个向量a 、b 、c 不共面,那么对空间任一向量p ,存在一个唯一的有序实数组x ,y ,z ,使p =x a +y b +z c .推论 设O 、A 、B 、C 是不共面的四点,则对空间任一点P ,都存在唯一的三个有序实数x ,y ,z ,使OP xOA yOB zOC =++u u u r u u u r u u u r u u u r.121.射影公式已知向量AB u u u r =a 和轴l ,e 是l 上与l 同方向的单位向量.作A 点在l 上的射影'A ,作B点在l 上的射影'B ,则''||cos A B AB =u u u r 〈a ,e 〉=a ·e122.向量的直角坐标运算设a =123(,,)a a a ,b =123(,,)b b b 则 (1)a +b =112233(,,)a b a b a b +++; (2)a -b =112233(,,)a b a b a b ---; (3)λa =123(,,)a a a λλλ (λ∈R);(4)a ·b =112233a b a b a b ++; 123.设A 111(,,)x y z ,B 222(,,)x y z ,则 AB OB OA =-u u u r u u u r u u u r= 212121(,,)x x y y z z ---.124.空间的线线平行或垂直设111(,,)a x y z =r ,222(,,)b x y z =r,则a b r r P ⇔(0)a b b λ=≠r r r r ⇔121212x x y y z zλλλ=⎧⎪=⎨⎪=⎩;a b ⊥r r ⇔0a b ⋅=r r⇔1212120x x y y z z ++=.125.夹角公式设a =123(,,)a a a ,b =123(,,)b b b ,则 cos 〈a ,b 〉.推论 2222222112233123123()()()a b a b a b a a a b b b ++≤++++,此即三维柯西不等式.126. 四面体的对棱所成的角四面体ABCD 中, AC 与BD 所成的角为θ,则2222|()()|cos 2AB CD BC DA AC BDθ+-+=⋅.127.异面直线所成角cos |cos ,|a b θ=r r=||||||a b a b ⋅=⋅r rr r(其中θ(090θ<≤o o)为异面直线a b ,所成角,,a b r 分别表示异面直线a b ,的方向向量)128.直线AB 与平面所成角sin ||||AB m arc AB m β⋅=u u u r u ru u u r u r (m ur 为平面α的法向量). 129.若ABC ∆所在平面若β与过若AB 的平面α成的角θ,另两边AC ,BC 与平面α成的角分别是1θ、2θ,A B 、为ABC ∆的两个内角,则2222212sin sin (sin sin )sin A B θθθ+=+.特别地,当90ACB ∠=o时,有22212sin sin sin θθθ+=.130.若ABC ∆所在平面若β与过若AB 的平面α成的角θ,另两边AC ,BC 与平面α成的角分别是1θ、2θ,''A B 、为ABO ∆的两个内角,则222'2'212tan tan (sin sin )tan A B θθθ+=+.特别地,当90AOB ∠=o时,有22212sin sin sin θθθ+=. 131.二面角l αβ--的平面角cos ||||m n arc m n θ⋅=u r r u r r 或cos ||||m narc m n π⋅-u r ru r r (m u r ,n r 为平面α,β的法向量). 132.三余弦定理设AC 是α内的任一条直线,且BC ⊥AC ,垂足为C ,又设AO 与AB 所成的角为1θ,AB 与AC 所成的角为2θ,AO 与AC 所成的角为θ.则12cos cos cos θθθ=.133. 三射线定理若夹在平面角为ϕ的二面角间的线段与二面角的两个半平面所成的角是1θ,2θ,与二面角的棱所成的角是θ,则有22221212sin sin sin sin 2sin sin cos ϕθθθθθϕ=+- ;1212||180()θθϕθθ-≤≤-+o (当且仅当90θ=o 时等号成立).134.空间两点间的距离公式若A 111(,,)x y z ,B 222(,,)x y z ,则,A B d =||AB =u u u r =135.点Q 到直线l 距离h =(点P 在直线l 上,直线l 的方向向量a =PA u u u r ,向量b =PQ uuu r ).136.异面直线间的距离||||CD n d n ⋅=u u u r u u rr (12,l l 是两异面直线,其公垂向量为n r ,C D 、分别是12,l l 上任一点,d 为12,l l 间的距离).137.点B 到平面α的距离||||AB n d n ⋅=u u u r u u r r (n r 为平面α的法向量,AB 是经过面α的一条斜线,A α∈). 138.异面直线上两点距离公式d =.d =d =('E AA F ϕ=--).(两条异面直线a 、b 所成的角为θ,其公垂线段'AA 的长度为h.在直线a 、b 上分别取两点E 、F ,'A E m =,AF n =,EF d =). 139.三个向量和的平方公式2222()222a b c a b c a b b c c a ++=+++⋅+⋅+⋅r r r r r r r r r r r r2222||||cos ,2||||cos ,2||||cos ,a b c a b a b b c b c c a c a =+++⋅+⋅+⋅r r r r r r r r r r r r r r r140. 长度为l 的线段在三条两两互相垂直的直线上的射影长分别为123l l l 、、,夹角分别为123θθθ、、,则有2222123l l l l =++222123cos cos cos 1θθθ⇔++=222123sin sin sin 2θθθ⇔++=.(立体几何中长方体对角线长的公式是其特例).141. 面积射影定理'cos S S θ=.(平面多边形及其射影的面积分别是S 、'S ,它们所在平面所成锐二面角的为θ). 142. 斜棱柱的直截面已知斜棱柱的侧棱长是l ,侧面积和体积分别是S 斜棱柱侧和V 斜棱柱,它的直截面的周长和面积分别是1c 和1S ,则①1S c l =斜棱柱侧. ②1V S l =斜棱柱.143.作截面的依据三个平面两两相交,有三条交线,则这三条交线交于一点或互相平行. 144.棱锥的平行截面的性质如果棱锥被平行于底面的平面所截,那么所得的截面与底面相似,截面面积与底面面积的比等于顶点到截面距离与棱锥高的平方比(对应角相等,对应边对应成比例的多边形是相似多边形,相似多边形面积的比等于对应边的比的平方);相应小棱锥与小棱锥的侧面积的比等于顶点到截面距离与棱锥高的平方比.145.欧拉定理(欧拉公式)2V F E +-=(简单多面体的顶点数V 、棱数E 和面数F).(1)E =各面多边形边数和的一半.特别地,若每个面的边数为n 的多边形,则面数F 与棱数E 的关系:12E nF =; (2)若每个顶点引出的棱数为m ,则顶点数V 与棱数E 的关系:12E mV =. 146.球的半径是R ,则其体积343V R π=, 其表面积24S R π=.147.球的组合体(1)球与长方体的组合体:长方体的外接球的直径是长方体的体对角线长. (2)球与正方体的组合体:正方体的内切球的直径是正方体的棱长, 正方体的棱切球的直径是正方体的面对角线长, 正方体的外接球的直径是正方体的体对角线长. (3) 球与正四面体的组合体:棱长为a ,. 148.柱体、锥体的体积13V Sh =柱体(S 是柱体的底面积、h 是柱体的高).13V Sh =锥体(S 是锥体的底面积、h 是锥体的高).149.分类计数原理(加法原理) 12n N m m m =+++L . 150.分步计数原理(乘法原理) 12n N m m m =⨯⨯⨯L . 151.排列数公式m n A =)1()1(+--m n n n Λ=!!)(m n n -.(n ,m ∈N *,且m n ≤).注:规定1!0=.152.排列恒等式(1)1(1)m m n n A n m A -=-+;(2)1mmn n n A A n m -=-; (3)11m m n n A nA --=;(4)11n n nn n n nA A A ++=-; (5)11m m m n n n A A mA -+=+.(6) 1!22!33!!(1)!1n n n +⋅+⋅++⋅=+-L . 153.组合数公式mnC =m n m mA A =m m n n n ⨯⨯⨯+--ΛΛ21)1()1(=!!!)(m n m n -⋅(n ∈N *,m N ∈,且m n ≤).154.组合数的两个性质 (1)m n C =mn nC - ; (2) mn C +1-m nC =mn C 1+.注:规定10=n C .155.组合恒等式(1)11mm n n n m C C m --+=; (2)1m mn n n C C n m -=-;(3)11mm n n n C C m--=;(4)∑=nr r nC0=n2;(5)1121++++=++++r n r n r r r r r rC C C C C Λ. (6)nn n r n n n n C C C C C 2210=++++++ΛΛ. (7)14205312-+++=+++n n n n n n n C C C C C C ΛΛ. (8)1321232-=++++n n n n n n n nC C C C Λ. (9)rn m r n r m n r m n r m C C C C C C C +-=+++0110Λ. (10)nn n n n n n C C C C C 22222120)()()()(=++++Λ.156.排列数与组合数的关系m m n n A m C =⋅! .157.单条件排列以下各条的大前提是从n 个元素中取m 个元素的排列. (1)“在位”与“不在位”①某(特)元必在某位有11--m n A 种;②某(特)元不在某位有11---m n m n A A (补集思想)1111---=m n n A A (着眼位置)11111----+=m n m m n A A A (着眼元素)种.(2)紧贴与插空(即相邻与不相邻)①定位紧贴:)(n m k k ≤≤个元在固定位的排列有km k n k k A A --种.②浮动紧贴:n 个元素的全排列把k 个元排在一起的排法有kk k n k n A A 11+-+-种.注:此类问题常用捆绑法;③插空:两组元素分别有k 、h 个(1+≤h k ),把它们合在一起来作全排列,k 个的一组互不能挨近的所有排列数有kh hh A A 1+种.(3)两组元素各相同的插空m 个大球n 个小球排成一列,小球必分开,问有多少种排法?当1+>m n 时,无解;当1+≤m n 时,有n m n nn m C A A 11++=种排法.(4)两组相同元素的排列:两组元素有m 个和n 个,各组元素分别相同的排列数为nn m C +. 158.分配问题(1)(平均分组有归属问题)将相异的m 、n 个物件等分给m 个人,各得n 件,其分配方法数共有mnn nn nn mn nn mn nmn n mn C C C C C N )!()!(22=⋅⋅⋅⋅⋅=--Λ. (2)(平均分组无归属问题)将相异的m ·n 个物体等分为无记号或无顺序的m 堆,其分配方法数共有mn nn n n n mn n n mn n mn n m mn m C C C C C N )!(!)!(!...22=⋅⋅⋅⋅=--.(3)(非平均分组有归属问题)将相异的)L 12m P(P=n +n ++n 个物体分给m 个人,物件必须被分完,分别得到1n ,2n ,…,m n 件,且1n ,2n ,…,m n 这m 个数彼此不相等,则其分配方法数共有!!...!!!! (212)11m n n n n p n p n n n m p m C C C N m m =⋅⋅=-.(4)(非完全平均分组有归属问题)将相异的)L 12m P(P=n +n ++n 个物体分给m 个人,物件必须被分完,分别得到1n ,2n ,…,m n 件,且1n ,2n ,…,m n 这m 个数中分别有a 、b 、c 、…个相等,则其分配方法数有!...!!!...211c b a m C C C N m m n n n n p n p ⋅⋅=- 12!!!!...!(!!!...)m p m n n n a b c =.(5)(非平均分组无归属问题)将相异的)L 12m P(P=n +n ++n 个物体分为任意的1n ,2n ,…,m n 件无记号的m 堆,且1n ,2n ,…,m n 这m 个数彼此不相等,则其分配方法数有!!...!!21m n n n p N =.(6)(非完全平均分组无归属问题)将相异的)L 12m P(P=n +n ++n 个物体分为任意的1n ,2n ,…,m n 件无记号的m 堆,且1n ,2n ,…,m n 这m 个数中分别有a 、b 、c 、…个相等,则其分配方法数有!...)!!(!!...!!21c b a n n n p N m =.(7)(限定分组有归属问题)将相异的p (2m p n n n =L 1+++)个物体分给甲、乙、丙,……等m 个人,物体必须被分完,如果指定甲得1n 件,乙得2n 件,丙得3n 件,…时,则无论1n ,2n ,…,m n 等m 个数是否全相异或不全相异其分配方法数恒有!!...!!...21211m n n n n p n p n n n p C C C N m m =⋅=-.159.“错位问题”及其推广。
数学计算公式表大全一、小学数学计算公式。
1. 加法交换律。
- 公式:a + b=b + a- 示例:3+5 = 5+3=82. 加法结合律。
- 公式:(a + b)+c=a+(b + c)- 示例:(2 + 3)+4=2+(3 + 4)=93. 乘法交换律。
- 公式:a× b = b× a- 示例:2×3=3×2 = 64. 乘法结合律。
- 公式:(a× b)× c=a×(b× c)- 示例:(2×3)×4=2×(3×4)=245. 乘法分配律。
- 公式:a×(b + c)=a× b+a× c- 示例:2×(3 + 4)=2×3+2×4 = 6 + 8=146. 减法的性质。
- 公式:a - b - c=a-(b + c)- 示例:10-3 - 2=10-(3 + 2)=57. 除法的性质。
- 公式:a÷ b÷ c=a÷(b× c)(b≠0,c≠0)- 示例:12÷2÷3 = 12÷(2×3)=28. 长方形的周长公式。
- 公式:C=(a + b)×2(a为长,b为宽)- 示例:长为5厘米,宽为3厘米的长方形,周长C=(5 + 3)×2=16厘米。
9. 长方形的面积公式。
- 公式:S = a× b- 示例:长为6厘米,宽为4厘米的长方形,面积S=6×4 = 24平方厘米。
10. 正方形的周长公式。
- 公式:C = 4× a(a为边长)- 示例:边长为5厘米的正方形,周长C=4×5=20厘米。
11. 正方形的面积公式。
- 公式:S=a^2- 示例:边长为4厘米的正方形,面积S = 4^2=16平方厘米。
必修四常考公式及高频考点第一部分 三角函数与三角恒等变换考点一 角的表示方法 1.终边相同角的表示方法:所有与角α终边相同的角,连同角α在内可以构成一个集合:{β|β= k ·360 °+α,k ∈Z } 2.象限角的表示方法:第一象限角的集合为{α| k ·360 °<α<k ·360 °+90 °,k ∈Z }第二象限角的集合为{α| k ·360 °+90 °<α<k ·360 °+180 °,k ∈Z } 第三象限角的集合为{α| k ·360 °+180 °<α<k ·360 °+270 °,k ∈Z } 第四象限角的集合为{α| k ·360 °+270 °<α<k ·360 °+360 °,k ∈Z } 3.终边在某条射线、某条直线或两条垂直的直线上(如轴线角)的表示方法:(1)若所求角β的终边在某条射线上,其集合表示形式为{β|β= k ·360 °+α,k ∈Z },其中α为射线与x 轴非负半轴形成的夹角(2)若所求角β的终边在某条直线上,其集合表示形式为{β|β= k ·180 °+α,k ∈Z },其中α为直线与x 轴非负半轴形成的任一夹角(3)若所求角β的终边在两条垂直的直线上,其集合表示形式为{β|β= k ·90 °+α,k ∈Z },其中α为直线与x 轴非负半轴形成的任一夹角 例:终边在y 轴非正半轴上的角的集合为{α|α= k ·360 °+270 °,k ∈Z }终边在第二、第四象限角平分线上的集合为{α|α= k ·180 °+135 °,k ∈Z } 终边在四个象限角平分线上的角的集合为{α|α= k ·90 °+45 °,k ∈Z } 易错提醒:区别锐角、小于90度的角、第一象限角、0~90、小于180度的角 考点二 弧度制有关概念与公式 1.弧度制与角度制互化π=︒180,1801π=︒,1弧度︒≈︒=3.57180π2.扇形的弧长和面积公式(分别用角度制、弧度制表示方法)弧长公式:R Rn l απ==180, 其中α为弧所对圆心角的弧度数 扇形面积公式:lR R n S 213602==π=12 R 2|α|, 其中α为弧所对圆心角的弧度数 易错提醒:利用S=12R 2|α|求解扇形面积公式时,α为弧所对圆心角的弧度数,不可用角度数规律总结:“扇形周长、面积、半径、圆心角”4个量,“知二求二”,注意公式选取技巧考点三 任意角的三角函数 1.任意角的三角函数定义设α是一个任意角,它的终边与单位圆交于点()y x P ,,那么sin y r α=,cos x r α=,tan y x α=(22||r OP x y ==+);化简为xyx y ===αααtan ,cos ,sin . 2.三角函数值符号规律总结:利用三角函数定义或“一全正、二正弦、三正切、四余弦”口诀记忆象限角或轴线角的三角函数值符号. 3.特殊角三角函数值SIN15º=SIN(60º-45º)=SIN60ºCOS45º-SIN45ºCOS60º=(√6-√2)/4 COS15º=COS(60º-45º)=COS60ºCOS45º+SIN60ºSIN45º=(√6+√2)/4除此之外,还需记住150、750的正弦、余弦、正切值 4.三角函数线经典结论: (1)若(0,)2x π∈,则sin tan x x x <<(2)若(0,)2x π∈,则1sin cos 2x x <+≤(3)|sin ||cos |1x x +≥考点四 三角函数图像与性质y OxyOxα终边yOx yOx P M A TPM A T正弦线余弦线 正切线PP MA TP MA T α终边α终边α终边sin y x =cos y x = tan y x =图象定义域R R,2x x k k ππ⎧⎫≠+∈Z ⎨⎬⎩⎭值域[]1,1-[]1,1-R最值当22x k ππ=+()k ∈Z 时,max 1y =;当22x k ππ=-()k ∈Z 时,min1y=-.当()2x k k π=∈Z 时,max 1y =;当2x k ππ=+()k ∈Z 时,min 1y =-.既无最大值也无最小值周期性 2π2ππ奇偶性奇函数偶函数奇函数单调性在2,222k k ππππ⎡⎤-+⎢⎥⎣⎦()k ∈Z 上是增函数; 在32,222k k ππππ⎡⎤++⎢⎥⎣⎦()k ∈Z 上是减函数.在[]()2,2k k k πππ-∈Z 上是增函数; 在[]2,2k k πππ+()k ∈Z 上是减函数.在,22k k ππππ⎛⎫-+⎪⎝⎭()k ∈Z 上是增函数.对称性对称中心()(),0k k π∈Z对称轴()2x k k ππ=+∈Z 对称中心(),02k k ππ⎛⎫+∈Z⎪⎝⎭对称轴()x k k π=∈Z对称中心(),02k k π⎛⎫∈Z⎪⎝⎭无对称轴考点五 正弦型(y=Asin(ωx +φ))、余弦型函数(y=Acos(ωx +φ))、正切性函数(y=Atan(ωx +φ))图像与性质 1.解析式求法字母 确定途径 说明A 由最值确定 A =最大值-最小值2B 由最值确定B =最大值+最小值2ω 由函数的周期确定相邻的最高点与最低点的横坐标之差的绝对值为半个周期,最高点(或最低点)的横坐标与相邻零点差的绝对值为0.25个周期φ由图象上的特殊点确定可通过认定特殊点是五点中的第几个关键点,然后列方程确定;也可通过解简单三角方程确定A 、B 通过图像易求,重点讲解φ、ω求解思路: ①φ求解思路:函数性质代入图像的确定点的坐标.如带入最高点),(11y x 或最低点坐标),(22y x ,则)(221Z k k x ∈+=+ππϕω或)(2232Z k k x ∈+=+ππϕω,求ϕ值. 易错提醒:y=Asin(ωx+φ),当ω>0,且x=0时的相位(ωx+φ=φ)称为初相.如果不满足ω>0,先利用诱导公式进行变形,使之满足上述条件,再进行计算.如y=-3sin(-2x+600)的初相是-600②ω求解思路:利用三角函数对称性与周期性的关系,解ω.相邻的对称中心之间的距离是周期的一半;相邻的对称轴之间的距离是周期的一半;相邻的对称中心与对称轴之间的距离是周期的四分之一. 2.“一图、两域、四性” “一图”:学好三角函数,图像是关键。
高中人教版数学公式大全,文科一、几何公式:1、直角三角形的面积:S=1/2ab;2、球的表面积和体积:S=4πr2;V=4/3πr3;3、圆的周长和面积:C=2πr;S=πr2;4、正n边形顶点角:A=360/n;5、正n边形内角总和:A =(n-2)*180°;6、三棱锥体、四棱锥体的表面积和体积:S=a2+πah;V=1/3ah2;7、四面体、六面体的表面积和体积:S=a2√3;V=a3/6√2。
二、勾股定理:1、勾股定理:a2+b2=c2。
2、数学归纳法:利用原理归纳出许多命题,保证在一般情况下同样成立。
三、系数法:1、第一型:ax+by=c;2、第二型:ax2+bx+c=0;3、第三型:ax3+bx2+cx+d=0。
四、分式:1、分式加减法:分子分母分别相加、减。
2、分式乘法:分子分母各自乘以另一分式的分子分母,最后约分即可。
3、分式除法:分子乘以另一分式的分母,分母乘以另一分式的分子,最后约分即可。
五、二次函数:1、一元二次函数的基本性质:y = ax2+bx+c ;2、最高点位置:x=-b/2a;3、函数图像的性质:a>0,函数图像沿y轴双单减;a<0,函数图像沿y轴双单增;4、“乘根”公式:y=(√ax2+bx+c)/2+d;5、方程组:x+y=a,x2+xy+y2=b。
六、三角函数:1、正弦定理:a:b:c=sinA:sinB:sinC;2、余弦定理:a2=b2+c2-2bc cos A。
3、正弦函数y=A sin(ωt+φ) ;4、余弦函数:y=A cos(ωt+φ)。
七、矩形体:1、矩形面积:S=ab;2、棱形面积:S=边长×其高;3、梯形面积:S=1/2(a+b)h;4、矩形、梯形体积:V=abh;5、棱形体积:V=边长×其面积。
一、高中数学诱导公式全集:常用的诱导公式有以下几组:公式一:设α为任意角;终边相同的角的同一三角函数的值相等:sin2kπ+α=sinα k∈Zcos2kπ+α=cosα k∈Ztan2kπ+α=tanα k∈Zcot2kπ+α=cotα k∈Z公式二:设α为任意角;π+α的三角函数值与α的三角函数值之间的关系:sinπ+α=-sinαcosπ+α=-cosαtanπ+α=tanαcotπ+α=cotα公式三:任意角α与 -α的三角函数值之间的关系:sin-α=-sinαcos-α=cosαtan-α=-tanαcot-α=-cotα公式四:利用公式二和公式三可以得到π-α与α的三角函数值之间的关系:sinπ-α=sinαcosπ-α=-cosαtanπ-α=-tanαcotπ-α=-cotα公式五:利用公式一和公式三可以得到2π-α与α的三角函数值之间的关系:sin2π-α=-sinαcos2π-α=cosαtan2π-α=-tanαcot2π-α=-cotα公式六:π/2±α及3π/2±α与α的三角函数值之间的关系:sinπ/2+α=cosαcosπ/2+α=-sinαtanπ/2+α=-cotαcotπ/2+α=-tanαsinπ/2-α=cosαcosπ/2-α=sinαtanπ/2-α=cotαcotπ/2-α=tanαsin3π/2+α=-cosαcos3π/2+α=sinαtan3π/2+α=-cotαcot3π/2+α=-tanαsin3π/2-α=-cosαcos3π/2-α=-sinαtan3π/2-α=cotαcot3π/2-α=tanα以上k∈Z注意:在做题时;将a看成锐角来做会比较好做..诱导公式记忆口诀※规律总结※上面这些诱导公式可以概括为:对于π/2k ±αk∈Z的三角函数值;①当k是偶数时;得到α的同名函数值;即函数名不改变;②当k是奇数时;得到α相应的余函数值;即sin→cos;cos→sin;tan→cot;cot→tan.奇变偶不变然后在前面加上把α看成锐角时原函数值的符号..符号看象限例如:sin2π-α=sin4·π/2-α;k=4为偶数;所以取sinα..当α是锐角时;2π-α∈270°;360°;sin2π-α<0;符号为“-”..所以sin2π-α=-sinα上述的记忆口诀是:奇变偶不变;符号看象限..公式右边的符号为把α视为锐角时;角k·360°+αk∈Z;-α、180°±α;360°-α所在象限的原三角函数值的符号可记忆水平诱导名不变;符号看象限..各种三角函数在四个象限的符号如何判断;也可以记住口诀“一全正;二正弦余割;三两切;四余弦正割”.这十二字口诀的意思就是说:第一象限内任何一个角的四种三角函数值都是“+”;第二象限内只有正弦是“+”;其余全部是“-”;第三象限内切函数是“+”;弦函数是“-”;第四象限内只有余弦是“+”;其余全部是“-”.上述记忆口诀;一全正;二正弦;三内切;四余弦还有一种按照函数类型分象限定正负:函数类型第一象限第二象限第三象限第四象限正弦 ...........+............+............—............—........余弦 ...........+............—............—............+........正切 ...........+............—............+............—........余切 ...........+............—............+............—........同角三角函数基本关系同角三角函数的基本关系式倒数关系:tanα·cotα=1sinα·cscα=1cosα·secα=1商的关系:sinα/cosα=tanα=secα/cscαcosα/sinα=cotα=cscα/secα平方关系:sin^2α+cos^2α=11+tan^2α=sec^2α1+cot^2α=csc^2α同角三角函数关系六角形记忆法六角形记忆法:参看图片或参考资料链接构造以"上弦、中切、下割;左正、右余、中间1"的正六边形为模型..1倒数关系:对角线上两个函数互为倒数;2商数关系:六边形任意一顶点上的函数值等于与它相邻的两个顶点上函数值的乘积..主要是两条虚线两端的三角函数值的乘积..由此;可得商数关系式..3平方关系:在带有阴影线的三角形中;上面两个顶点上的三角函数值的平方和等于下面顶点上的三角函数值的平方..两角和差公式两角和与差的三角函数公式sinα+β=sinαcosβ+cosαsinβsinα-β=sinαcosβ-cosαsinβcosα+β=cosαcosβ-sinαsinβcosα-β=cosαcosβ+sinαsinβtanα+β=tanα+tanβ/1-tanαtanβtanα-β=tanα-tanβ/1+tanα·tanβ二倍角公式二倍角的正弦、余弦和正切公式升幂缩角公式sin2α=2sinαcosαcos2α=cos^2α-sin^2α=2cos^2α-1=1-2sin^2αtan2α=2tanα/1-tan^2α半角公式半角的正弦、余弦和正切公式降幂扩角公式sin^2α/2=1-cosα/2cos^2α/2=1+cosα/2tan^2α/2=1-cosα/1+cosα另也有tanα/2=1-cosα/sinα=sinα/1+cosα万能公式万能公式sinα=2tanα/2/1+tan^2α/2cosα=1-tan^2α/2/1+tan^2α/2tanα=2tanα/2/1-tan^2α/2万能公式推导附推导:sin2α=2sinαcosα=2sinαcosα/cos^2α+sin^2α......;因为cos^2α+sin^2α=1再把分式上下同除cos^2α;可得sin2α=2tanα/1+tan^2α然后用α/2代替α即可..同理可推导余弦的万能公式..正切的万能公式可通过正弦比余弦得到.. 三倍角公式三倍角的正弦、余弦和正切公式sin3α=3sinα-4sin^3αcos3α=4cos^3α-3cosαtan3α=3tanα-tan^3α/1-3tan^2α三倍角公式推导附推导:tan3α=sin3α/cos3α=sin2αcosα+cos2αsinα/cos2αcosα-sin2αsinα=2sinαcos^2α+cos^2αsinα-sin^3α/cos^3α-cosαsin^2α-2sin^2αcosα上下同除以cos^3α;得:tan3α=3tanα-tan^3α/1-3tan^2αsin3α=sin2α+α=sin2αcosα+cos2αsinα=2sinαcos^2α+1-2sin^2αsinα=2sinα-2sin^3α+sinα-2sin^3α=3sinα-4sin^3αcos3α=cos2α+α=cos2αcosα-sin2αsinα=2cos^2α-1cosα-2cosαsin^2α=2cos^3α-cosα+2cosα-2cos^3α=4cos^3α-3cosα即sin3α=3sinα-4sin^3αcos3α=4cos^3α-3cosα三倍角公式联想记忆★记忆方法:谐音、联想正弦三倍角:3元减 4元3角欠债了被减成负数;所以要“挣钱”音似“正弦”余弦三倍角:4元3角减 3元减完之后还有“余”☆☆注意函数名;即正弦的三倍角都用正弦表示;余弦的三倍角都用余弦表示..★另外的记忆方法:正弦三倍角: 山无司令谐音为三无四立三指的是"3倍"sinα; 无指的是减号; 四指的是"4倍"; 立指的是sinα立方余弦三倍角: 司令无山与上同理和差化积公式三角函数的和差化积公式sinα+sinβ=2sinα+β/2·cosα-β/2sinα-sinβ=2cosα+β/2·sinα-β/2cosα+cosβ=2cosα+β/2·cosα-β/2cosα-cosβ=-2sinα+β/2·sinα-β/2积化和差公式三角函数的积化和差公式sinα·cosβ=0.5sinα+β+sinα-βcosα·sinβ=0.5sinα+β-sinα-βcosα·cosβ=0.5cosα+β+cosα-βsinα·sinβ=-0.5cosα+β-cosα-β和差化积公式推导附推导:首先;我们知道sina+b=sinacosb+cosasinb;sina-b=sinacosb-cosasinb 我们把两式相加就得到sina+b+sina-b=2sinacosb所以;sinacosb=sina+b+sina-b/2同理;若把两式相减;就得到cosasinb=sina+b-sina-b/2同样的;我们还知道cosa+b=cosacosb-sinasinb;cosa-b=cosacosb+sinasinb所以;把两式相加;我们就可以得到cosa+b+cosa-b=2cosacosb所以我们就得到;cosacosb=cosa+b+cosa-b/2同理;两式相减我们就得到sinasinb=-cosa+b-cosa-b/2这样;我们就得到了积化和差的四个公式:sinacosb=sina+b+sina-b/2cosasinb=sina+b-sina-b/2cosacosb=cosa+b+cosa-b/2sinasinb=-cosa+b-cosa-b/2好;有了积化和差的四个公式以后;我们只需一个变形;就可以得到和差化积的四个公式.我们把上述四个公式中的a+b设为x;a-b设为y;那么a=x+y/2;b=x-y/2 把a;b分别用x;y表示就可以得到和差化积的四个公式:sinx+siny=2sinx+y/2cosx-y/2sinx-siny=2cosx+y/2sinx-y/2cosx+cosy=2cosx+y/2cosx-y/2cosx-cosy=-2sinx+y/2sinx-y/2二、高考英语作文套题万能公式:对比观点题型1 要求论述两个对立的观点并给出自己的看法..1.有一些人认为...2.另一些人认为...3.我的看法...The topic of ①-----------------主题is becoming more and more popular recently. There are two sides of opinions about it. Some people say A is their favorite. They hold their view for the reason of ②-----------------支持A的理由一What is more; ③-------------理由二. Moreover; ④---------------理由三.While others think that B is a better choice in the following three reasons. Firstly;-----------------支持B的理由一. Secondly besides;⑥------------------理由二. Thirdly finally;⑦------------------理由三.From my point of view; I think ⑧----------------我的观点. The reason is that ⑨--------------------原因. As a matter of fact; there are some other reasons to explain my choice. For me; the former is surely a wise choice .2 给出一个观点;要求考生反对这一观点Some people believe that ①----------------观点一. For example; they think ②-----------------举例说明.And it will bring them ③-----------------为他们带来的好处.In my opinion; I never think this reason can be the point. For one thing;④-------------我不同意该看法的理由一. For another thing; ⑤-----------------反对的理由之二.Form all what I have said; I agree to the thought that ⑥------------------我对文章所讨论主题的看法.阐述主题题型要求从一句话或一个主题出发;按照提纲的要求进行论述.1.阐述名言或主题所蕴涵的意义.2.分析并举例使其更充实.The good old proverb ----------------名言或谚语reminds us that----------------释义. Indeed; we can learn many things form it.First of all;-----------------理由一. For example; -------------------举例说明. Secondly;----------------理由二. Another case is that---------------举例说明. Furthermore ; ------------------理由三.In my opinion; ----------------我的观点. In short; whatever you do; please remember the say------A. If you understand it and apply it to your study or work; you”ll necessarily benefit a lot from it.解决方法题型要求考生列举出解决问题的多种途径1.问题现状2.怎样解决解决方案的优缺点In recent days; we have to face I problem-----A; which is becoming more and more serious. First; ------------说明A的现状.Second;---------------举例进一步说明现状Confronted with A; we should take a series of effective measures to cope with the situation. For one thing; ---------------解决方法一. For another -------------解决方法二. Finally; --------------解决方法三.Personally; I believe that -------------我的解决方法. Consequently; I’m confident that a bright future is awaiting us because --------------带来的好处.说明利弊题型这种题型往往要求先说明一下现状;再对比事物本身的利弊;有时也会单从一个角度利或弊出发;最后往往要求考生表明自己的态度或对事物前景提出预测1.说明事物现状2.事物本身的优缺点或一方面3.你对现状或前景的看法Nowadays many people prefer A because it has a significant role in our daily life. Generally; its advantages can be seen as follows. First ----------------A的优点之一. Besides -------------------A的优点之二.But every coin has two sides. The negative aspects are also apparent. One of the important disadvantages is that ----------------A的第一个缺点.To make matters worse;------------------A的第二个缺点.Through the above analysis; I believe that the positive aspects overweigh the negative ones. Therefore; I would like to ---------------我的看法.From the comparison between these positive and negative effects of A; we should take it reasonably and do it according to the circumstances we are in. Only by this way; ---------------对前景的预测.议论文的框架1 不同观点列举型选择型There is a widespread concern over the issue that __作文题目_____. But it is well known that the opinion concerning this hot topic varies from person to person. A majority of people think that _ 观点一________. In their views there are 2 factors contributing to this attitude as follows: in the first place; ___原因一_______.Furthermore; in the second place; ___原因二_____. So it goes without saying that ___观点一_____.People; however; differ in their opinions on this matter. Some people hold the idea that ___观点二_______. In their point of view; on the one hand; ___原因一_______. On the other hand; ____原因二_____. Therefore; there is no doubt that ___观点二______.As far as I am concerned; I firmly support the view that __观点一或二______. It is not only because ________; but also because_________. The more _______; the more ________.2利弊型的议论文Nowadays; there is a widespread concern over the issue that___作文题目______. In fact; there are both advantages and disadvantages in __题目议题_____. Generally speaking; it is widely believed there are several positive aspects as follows. Firstly; ___优点一______. And secondly ___优点二_____.Just As a popular saying goes; \"every coin has two sides\"; __讨论议题______ is no exception; and in another word; it still has negative aspects. To begin with; ___缺点一______. In addition; ____缺点二______.To sum up; we should try to bring the advantages of __讨论议题____ into full play; and reduce the disadvantages to the minimum at the same time. In that case; we will definitely make a better use of the ____讨论议题___.3 答题性议论文Currently; there is a widespread concern over the issue that__作文题目_______ .It is really an important concern to every one of us. As a result; we must spare no efforts to take some measures to solve this problem.As we know that there are many steps which can be taken to undo this problem. First of all; __途径一______. In addition; another way contributing to success of the solving problem is ___途径二_____.Above all; to solve the problem of ___作文题目______; we should find a number of various ways. But as far as I am concerned; I would prefer to solve the problem in this way; that is to say; ____方法_____.4 谚语警句性议论文It is well know to us that the proverb: \" ___谚语_______\" has a profound significance and value not only in our job but also in our study. It means ____谚语的含义_______. The saying can be illustrated through a series of examples as follows. also theoreticallyA case in point is ___例子一______. Therefore; it is goes without saying that it is of great of importance to practice the proverb ____谚语_____.With the rapid development of science and technology in China; an increasing number of people come to realize that it is also of practical use to stick to the saying: ____谚语_____. The more we are aware of the significance of this famous saying; the more benefits we will get in our daily study and job..图表作文的框架as is shown/indicated/illustrated by the figure/percentage in the tablegraph/picture/pie/chart; ___作文题目的议题_____ has been on rise/ decreasegoesup/increases/drops/decreases;significantly/dramatically/steadily rising/decreasing from______ in _______ to ______ in _____. From the sharp/marked decline/ rise in the chart; it goes without saying that ________.There are at least two good reasons accounting for ______. On the one hand; ________. On the other hand; _______ is due to the fact that ________. In addition; ________ is responsible for_______. Maybe there are some other reasons to show ________. But it is generally believed that the above mentionedreasons are commonly convincing.As far as I am concerned; I hold the point of view that_______. I am sure my opinion is both sound andwell-grounded.实用性写作申请信Your addressMonth; Date; yearReceiver\'s addressDear ...;I am extremely pleased to hear from you./ to see your advertisement for the position in .... And I would like to write a letter to tell you that.../ I am confident that I am suitable for the kind of the job you are advertising..../ I feel I am competent to meet the requirements you have listed. On the one hand; .... On the other hand; .... I am enclosing my resume for your kind consideration and reference.I shall be much obliged if you will offer me a precious opportunity to an interview. I will greatly appreciate a response from you at your earliest convenience/ I am looking forward to your replies at your earliest convenience.Best regards for your health and success.Sincerely yours;三、高考语文现代文规范答题模式:一、有关语言修辞的题型:描绘类提问方式:某句话中某个词换成另一个行吗为什么或:文章的某个句子说成另一个句子好不好为什么答题模式:不行..因为该词生动具体形象、准确地写出了+对象+效果;换了后就变成+不好的效果..或:不行;因为该词比另一词的感情更强烈或该词比另一词更切合对象的性格特征..结构类提问方式:某两个或三个词的顺序能否调换为什么答题模式:不能..因为1与人们认识事物的规律由浅入深、由表入里、由现象到本质不一致2该词与上文是一一对应的关系3这些词是递进关系;环环相扣;表达了……修辞类提问方式:这句话运用了什么修辞方法这样写在表达上有什么好处答题模式:确认修辞手法+修辞本身的作用+结合句子语境1. 比喻、拟人:生动形象地写出了+对象+特性..2. 排比:有气势;加强语气;一气呵成;层层铺开;逐步扩大;对点明主旨起强化作用等;强调了+对象+特性3. 对比:强调了……突出了……4. 设问:引起读者对+对象+特性的注意和思考5. 反问:强调;加强语气等;6. 反复:强调了+加强语气二、有关布局谋篇的题型:提问方式:某句段话在文中有什么作用答题模式:1.文首:开篇点题;照应题目;总领全文;渲染气氛;埋下伏笔;设置悬念;为下文作辅垫..2.文中:承上启下;总领下文;总结上文;呼应前文..3.文末:点明中心;升华感情;深化主题;照应开头;结构严谨;画龙点睛;言有尽而意无穷..三、有关表现手法的题型:艺术类提问方式:文章这样写有什么好处、效果、作用答题模式:使用的方法+内容+效果或作用人称类提问方式:使用这种人称写的好处是什么或:为什么要改变人称答题模式:第一人称:亲切、自然、真实;适于心理描写;第二人称:便于感情交流;进行抒情;还能起拟人化的作用;第三人称:显得客观冷静;不受时空限制;便于叙事和议论..四、有关归纳内容要点的题型:提问方式:请概括某一段或全文的内容要点..答题模式:分三步走;第一步划分本段的层次;第二步提取要点词语;第三步整合答案..五、有关鉴赏人物形象的题型:提问方式:请简要分析文中的主人公的形象答题模式:按总分分总来回答..先用一句话从整体上对该人物作出一个定性分析;然后再从几个方面作定量分析;也可以先从几个方面作定量分析;然后再用一句话作定性式的总括..二基本格式:①赏析“主题思想及其表现”的常用格式:a、本文通过记叙描写……;表达了作者……的思想感情.b、……是……的主题.②赏析艺术手法:本文主要采用了……的艺术手法;生动形象地表现了……;具有很强的艺术感染力.手法+表达效果③构思技巧:a、……是……构思上最突出的特点.b、……构思上最大的特点是…….㈢、主体部分基本要求:①紧扣领起段提出的观点分析.②边叙边议.③注意条理;适当运用序数词.④适当提段.㈣、总结段基本要求:①再现观点②运用术语如“总之”“综上所述”“总而言之”等一主题思想:立意深刻独到;鞭辟入里;突破定势;标新立异;主旨深远;意韵丰富;言近旨远;耐人寻味;言有尽而意无穷;人无我有;人有我奇;意境深远.二构思技巧:构思;是作者对自己将要动手写作的文章从内容到形式所作的总体设想..构思的外在表现形式为文章结构..文章的构思技巧主要从作品的立意、选材、结构安排、体裁、意境、表现手法等方面去判别..常见的鉴赏角度和术语:①从立意的构思及其表现看;常用术语有开门见山、见解独到、画龙点睛、卒章显志、形散神聚、以小见大、发人深省、托物言志、寓言寄意、对比反衬、欲扬先抑、欲抑先扬、欲擒故纵、反弹琵琶、逆向思维等..②从选材组材的构思及其表现看;常用术语有以小见大、以点带面;正反映衬对比对照、摇曳多姿;形散神聚、巧设线索、明暗交织;选材典型、多角度描写、详略得当等..③从结构安排或者说上下文的关系的构思看;常用术语有:前后照应首尾呼应、层层铺垫、巧设伏笔铺垫、巧设悬念、巧妙勾连;层层推进层层深入、步步递进、层层剥笋;对比烘托、摇曳多姿;红线串珠彩线串珠、行散神聚、浑然天成;总分总式;并列结构;纵横捭阖、开合自如;情节波澜、张弛有度等..④赏析意境、表现手法等方面的构思技巧;常用术语有虚实结合、虚实相生、思维严密、构思精巧、不落窠臼、运用蒙太奇手法等.三艺术手法:1.表达方式:叙述、描写、议论、抒情、说明等..2.表现手法:比兴;联想和想象;象征; 烘托;对比;渲染;用典;讽喻.3.修辞手法:比喻、拟人、排比、反复、对偶等..4.写作技巧:以动衬静;动静结合;虚实结合;点面结合;侧面描写;粗笔勾勒;工笔细描;绘形绘声绘色;5.描写手法:肖像描写、动作描写、心理描写、环境描写景物描写、细节描写等..6.抒情方式:直接抒情直抒胸臆;间接抒情情景交融、借景抒情、托物言志、借景抒情、寓情于景、情景交融、情景相生、以乐景衬哀情..四语言特色:清新明快;简洁洗练;含而不露;简笔勾勒;浓墨重彩;体物入微;穷形尽相;诗情画意;富有哲理;耐人寻味;形神兼备;语言浅近明白如话;言简意丰;行云流水;平实质朴;诙谐幽默;辛辣讽刺;准确精当;形象生动;惟妙惟肖;淋漓尽致;留有空白;情韵悠长;力透纸背;入木三分..。
人教版高中数学知识点总结一、函数与方程1. 函数的定义与性质:函数的概念、关系与函数、函数的特性、函数的分类、函数的运算、函数的图象。
2. 一次函数:函数的表达式与图象、函数的增减性与单调性、零点与根的概念、函数的解与方程。
3. 二次函数:函数的表达式与图象、函数的增减性与单调性、函数的最值与极值、函数的解与方程。
4. 幂函数与指数函数:函数的定义域与值域、函数的图象与性质、函数的运算与应用。
二、数列与数列的表示方法1. 等差数列:等差数列的概念与特性、等差数列的通项公式、等差数列的前n项和、等差数列的应用。
2. 等比数列:等比数列的概念与特性、等比数列的通项公式、等比数列的前n项和、等比数列的应用。
3. 通项公式与通项公式的逆向推导:等差数列与等比数列的通项公式的推导与应用。
三、平面坐标系与直线1. 平面直角坐标系:直角坐标系的概念、直角坐标系的运用及常用定理。
2. 直线的方程:直线的一般方程、直线的斜截式方程、直线的截距式方程、两直线的位置关系。
四、图形的变换1. 平移:图形的平移规律、平移的定义与性质、平移的向量表示。
2. 旋转:图形的旋转规律、旋转的定义与性质、旋转的向量表示。
3. 对称:图形的对称规律、对称的定义与性质、对称的向量表示。
五、三角函数1. 角与弧度:角的度量与单位、角的标准位置、弧度制与角度制的换算。
2. 正弦函数:正弦函数的定义与性质、正弦函数的图象与性质、正弦函数的应用。
3. 余弦函数:余弦函数的定义与性质、余弦函数的图象与性质、余弦函数的应用。
4. 正切函数:正切函数的定义与性质、正切函数的图象与性质、正切函数的应用。
六、解析几何1. 平面与空间几何:平面的点坐标与方程、平面的性质及应用、空间几何的概念与基本性质。
2. 平面图形:平面图形的概念与性质、平面图形的参数方程、平面图形的拟合。
3. 空间图形:立体图形的概念与性质、立体图形的参数方程、立体图形的拟合。
七、立体几何1. 空间中的位置关系:直线的位置关系、平面的位置关系、直线与平面的位置关系。
人教版高中数学必备的公式汇总第1章集合、命题、不等式、复数1. 有限集合子集个数: 子集个数: 2n个,真子集个数: 2n⋅1个。
2. 集合里面重要结论:(1) A∩B=A⇒A⊆B; (2) A∪B=A⇒B⊆A; (3) A⇒B⇔A⊆B; (4) A⇔B⇔A=B。
3. 同时满足求交集, 分类讨论求并集。
4. 集合元素个数公式: n(A∪B)=n(A)+n(B)−n(A∩B)。
5. 常见的数集: Z : 整数集;R : 实数集;Q : 有理数集;N : 自然数集;C : 复数集;其中正整数集: Z∗=N∗={1,2,3,⋯⋯}。
6. 均值不等式: 若a,b>0时,则a+b≥2√ab;若a,b<0时,则a+b≤−2√ab。
7. 均值不等式变形形式: a+b≥2√ab(a,b∈R);ba +ab≥2(ab>0);ba+ab≤−2(ab<0)。
8. 积定和最小: 若ab=p(p>0)时,则a+b≥2√ab=2√p。
9. 和定积最大: 若 a +b =k 时,则 ab ≤(a+b )24=k 24 。
10. 基本不等式: 21a +1b ≤√ab ≤a+b 2≤√a 2+b 22 当且仅当 a =b 时取等号。
11. 一元二次不等式的解法: 大于取两边, 小于取中间。
12. 含参数一元二次不等式讨论步骤: (1) 二次项系数 a ;(2) 判别式 Δ ;(3) 两根 x 1,x 2 大小比较;(4) x 1,x 2 与定义域的端点值作比较 (常用韦达定理)。
13. 一元二次不等式恒成立: (1) 若 ax 2+bx +c >0 恒成立 ⇔{a >0Δ<0; (2) 若 ax 2+bx +c ≤0 恒成立 ⇔{a <0Δ≤0。
14. 任意性问题: (1)∀x ∈I,a >f (x )⇒a >f (x )max ; (2)∀x ∈I,a ≤f (x )⇒a ≤f (x )min 。
以下是高中数学选修一(人教版)的部分公式:
1. 静电力公式:$F = k\frac{Q_{1}Q_{2}}{r^{2}}$
2. 电场力公式:$F = Eq$
3. 安培力公式:$F = \theta$(θ为B与L的倾角,当L⊥B时:$F =
BIL$,B//L时:$F = 0$)
4. 洛仑兹力公式:$f = \theta$(θ为B与V的倾角,当V⊥B时:$f = qVB$,V//B时:$f = 0$)
5. 圆的标准方程:(x-a)^2 + (y-b)^2 = r^2 (a,b)是圆心坐标;圆的面积公式:S=πr^2;圆的周长公式:C=2πr。
6. 椭圆周长公式:l=2πb+4(a-b) 椭圆周长定理:椭圆的周长等于该椭圆短半轴,长为半径的圆周长(2πb)加上四倍的该椭圆长半轴长(a)与短半轴长(b)的差。
7. 椭圆面积公式:s=πab 椭圆面积定理:椭圆的面积等于圆周率(π)乘该椭圆长半轴长(a)与短半轴长(b)的乘积。
8. 正弦定理:a/sinA=b/sinB=c/sinC=2R (R为三角形外接圆的半径);余弦定理:a^2=b^2+c^2-2bc*cosA。
9. 诱导公式一:设α为任意角,终边相同的角的同一三角函数的值相等:sin(2kπ+α)=sinα(k∈Z)cos(2kπ+α)=cosα(k∈Z)tan(2kπ+α)=tanα(k ∈Z)cot(2kπ+α)=cotα。
10. 诱导公式二:设α为任意角,π+α的三角函数值与α的三角函数值之间的关系:sin(π+α)=-sinα cos(π+α)=-cosα tan(π+α)=tanα
cot(π+α)=cotα。
这些是高中数学选修一的部分公式,建议查阅教辅书获取更多信息。
人教版高中数学公式整理1. ,.2..3.4.集合的子集个数共有个;真子集有个;非空子集有个;非空的真子集有个.5.二次函数的解析式的三种形式(1)一般式;(2)顶点式;当已知抛物线的顶点坐标时,设为此式(3)零点式;当已知抛物线与轴的交点坐标为时,设为此式4切线式:。
当已知抛物线与直线相切且切点的横坐标为时,设为此式6.解连不等式常有以下转化形式.7.方程在内有且只有一个实根,等价于或。
8.闭区间上的二次函数的最值二次函数在闭区间上的最值只能在处及区间的两端点处取得,具体如下:(1)当a>0时,若,则;,,.(2)当a<0时,若,则,若,则,.9.一元二次方程=0的实根分布1方程在区间内有根的充要条件为或;2方程在区间内有根的充要条件为或或;3方程在区间内有根的充要条件为或 .10.定区间上含参数的不等式恒成立(或有解)的条件依据(1)在给定区间的子区间形如,,不同上含参数的不等式(为参数)恒成立的充要条件是。
(2)在给定区间的子区间上含参数的不等式(为参数)恒成立的充要条件是。
(3) 在给定区间的子区间上含参数的不等式(为参数)的有解充要条件是。
(4) 在给定区间的子区间上含参数的不等式(为参数)有解的充要条件是。
对于参数及函数.若恒成立,则;若恒成立,则;若有解,则;若有解,则;若有解,则.若函数无最大值或最小值的情况,可以仿此推出相应结论11.真值表12.常见结论的否定形式 原结论 反设词 原结论 反设词 是 不是 至少有一个 一个也没有 都是 不都是 至多有一个 至少有两个 大于 不大于 至少有个至多有个 小于不小于至多有个 至少有个对所有,成立 存在某,不成立 或 且 对任何,不成立存在某,成立且或p q 非p p或q p且q 真 真 假 真 真真 假 假 真 假假 真 真 真 假 假 假真假假13.四种命题的相互关系(右图):14.充要条件记表示条件,表示结论1充分条件:若,则是充分条件.2必要条件:若,则是必要条件.3充要条件:若,且,则是充要条件.注:如果甲是乙的充分条件,则乙是甲的必要条件;反之亦然.15.函数的单调性的等价关系(1)设那么上是增函数;上是减函数.(2)设函数在某个区间内可导,如果,则为增函数;如果,则为减函数.16.如果函数和都是减函数,则在公共定义域内,和函数也是减函数; 如果函数和都是增函数,则在公共定义域内,和函数也是增函数; 如果函数和在其对应的定义域上都是减函数,则复合函数是增函数;如果函数和在其对应的定义域上都是增函数,则复合函数是增函数;如果函数和在其对应的定义域上一个是减函数而另一个是增函数,则复合函数是减函数. 17.奇偶函数的图象特征奇函数的图象关于原点对称,偶函数的图象关于y轴对称;反过来,如果一个函数的图象关于原点对称,那么这个函数是奇函数;如果一个函数的图象关于y轴对称,那么这个函数是偶函数.18.常见函数的图像:19.对于函数(),恒成立,则函数的对称轴是;两个函数与的图象关于直线对称.20.若,则函数的图象关于点对称;若,则函数为周期为的周期函数.21.多项式函数的奇偶性多项式函数是奇函数的偶次项(即奇数项)的系数全为零.多项式函数是偶函数的奇次项(即偶数项)的系数全为零.22.函数的图象的对称性(1)函数的图象关于直线对称.(2)函数的图象关于直线对称.23.两个函数图象的对称性(1)函数与函数的图象关于直线(即轴)对称.(2)函数与函数的图象关于直线对称.(3)函数和的图象关于直线y=x对称.24.若将函数的图象右移、上移个单位,得到函数的图象;若将曲线的图象右移、上移个单位,得到曲线的图象.25.几个常见的函数方程(1)正比例函数.(2)指数函数.(3)对数函数.(4)幂函数.(5)余弦函数,正弦函数,,.26.几个函数方程的周期(约定a>0)1,则的周期T=a;2,或,则的周期T=2a;(3),则的周期T=3a;(4)且,则的周期T=4a;27.分数指数幂(1),且.(2),且.28.根式的性质1.2当为奇数时,;当为偶数时,.29.有理指数幂的运算性质(1) .(2) .(3).注:若a>0,p是一个无理数,则a p表示一个确定的实数.上述有理指数幂的运算性质,对于无理数指数幂都适用.30.指数式与对数式的互化式:.31.对数的换底公式 : (,且,,且,).对数恒等式:(,且,).推论(,且,).32.对数的四则运算法则:若a>0,a≠1,M>0,N>0,则(1); (2) ;(3); (4) 。
33.设函数,记.若的定义域为,则且;若的值域为,则,且。
34.对数换底不等式及其推广:设,,,且,则1. 2.35.平均增长率的问题负增长时如果原来产值的基础数为N,平均增长率为,则对于时间的总产值,有.36.数列的通项公式与前n项的和的关系:( 数列的前n项的和为).37.等差数列的通项公式:;其前n项和公式为:.38.等比数列的通项公式:;其前n项的和公式为或.39.等比差数列:的通项公式为;其前n项和公式为:.40.分期付款(按揭贷款) :每次还款元(贷款元,次还清,每期利率为). 41.常见三角不等式1若,则.(2) 若,则.(3) .42.同角三角函数的基本关系式:,=,.43.正弦、余弦的诱导公式奇变偶不变,符号看象限,44.和角与差角公式;;.(平方正弦公式);.=(辅助角所在象限由点的象限决定, ).45.二倍角公式及降幂公式...46.三角函数的周期公式函数,x∈R及函数,x∈R(A,ω,为常数,且A≠0)的周期;函数,(A,ω,为常数,且A≠0)的周期.三角函数的图像:五点法作图列表:0 π/2π3π/22π47.正弦定理:R为外接圆的半径.48.余弦定理;;.53.面积定理1分别表示a、b、c边上的高.2.3.49.三角形内角和定理在△ABC中,有.50.简单的三角方程的通解...特别地,有...51.最简单的三角不等式及其解集......52.实数与向量的积的运算律:设λ、μ为实数,那么(1) 结合律:λ(μ)=(λμ) ;(2)第一分配律:(λ+μ) =λ+μ;(3)第二分配律:λ(+)=λ+λ.53.向量的数量积的运算律:(1)·= ·交换律;(2)·= ·=·=·;(3)+·=· +·.54.平面向量基本定理如果、是同一平面内的两个不共线向量,那么对于这一平面内的任一向量,有且只有一对实数λ1、λ2,使得=λ1+λ2.不共线的向量、叫做表示这一平面内所有向量的一组基底.三点A、B、C共线的充要条件:(M为任意点)55.向量平行的坐标表示设=,=,且,则 ().56. 与的数量积(或内积):·=||||。
57.·的几何意义:数量积·等于的长度||与在的方向上的投影||的乘积.向量在向量上的投影:||=.58.平面向量的坐标运算(1)设=,=,则+=.(2)设=,=,则-=.(3)设A,B,则.(4)设=,则=.(5)设=,=,则·=.59.两向量的夹角公式(=,=).60.平面两点间的距离公式=(A,B).61.向量的平行与垂直:设=,=,且,则||=λ.()·=0.62.线段的定比分公式:设,,是线段的分点,是实数,且,则.63.三角形的重心坐标公式△ABC三个顶点的坐标分别为、、,则△ABC的重心的坐标是.64.点的平移公式.注:图形F上的任意一点P(x,y)在平移后图形上的对应点为,且的坐标为.65.“按向量平移”的几个结论1点按向量=平移后得到点.(2) 函数的图象按向量=平移后得到图象,则的函数解析式为.(3) 图象按向量=平移后得到图象,若的解析式,则的函数解析式为.(4)曲线:按向量=平移后得到图象,则的方程为.(5) 向量=按向量=平移后得到的向量仍然为=.66.三角形五“心”向量形式的充要条件设为所在平面上一点,角所对边长分别为,则1为的外心.2为的重心.3为的垂心.4为的内心.5为的的旁心.67.常用不等式:1(当且仅当a=b时取“=”号).2(当且仅当a=b时取“=”号).345.6(当且仅当a=b时取“=”号)。
68.最值定理:已知都是正数,则有1若积是定值,则当时和有最小值;2若和是定值,则当时积有最大值.3已知,若则有。
4已知,若则有69.一元二次不等式,如果与同号,则其解集在两根之外;如果与异号,则其解集在两根之间.简言之:同号两根之外,异号两根之间.;.70.含有绝对值的不等式:当a> 0时,有.或.71.无理不等式1 .2.3.72.指数不等式与对数不等式(1)当时,; .(2)当时,;73.斜率公式、.74.直线的五种方程1点斜式(直线过点,且斜率为).2斜截式(b为直线在y轴上的截距).3两点式()(、 ()). 两点式的推广:无任何限制条件!(4)截距式(分别为直线的横、纵截距,)5一般式(其中A、B不同时为0).直线的法向量:,方向向量:75.两条直线的平行和垂直(1)若,①;②.(2)若,,且A1、A2、B1、B2都不为零,①;②;,,,此时直线76.四种常用直线系方程及直线系与给定的线段相交:(1)定点直线系方程:经过定点的直线系方程为(除直线),其中是待定的系数; 经过定点的直线系方程为,其中是待定的系数.(2)共点直线系方程:经过两直线,的交点的直线系方程为(除),其中λ是待定的系数.(3)平行直线系方程:直线中当斜率k一定而b变动时,表示平行直线系方程.与直线平行的直线系方程是(),λ是参变量.(4)垂直直线系方程:与直线(A≠0,B≠0)垂直的直线系方程是,λ是参变量.(5)直线系与线段相交。
77.点到直线的距离:(点,直线:).78. 或所表示的平面区域设直线,则或所表示的平面区域是:若,当与同号时,表示直线的上方的区域;当与异号时,表示直线的下方的区域.简言之,同号在上,异号在下.若,当与同号时,表示直线的右方的区域;当与异号时,表示直线的左方的区域. 简言之,同号在右,异号在左。
79. 或所表示的平面区域或所表示的平面区域是两直线和所成的对顶角区域上下或左右两部分。
80. 圆的四种方程1圆的标准方程.2圆的一般方程(>0).3圆的参数方程.4圆的直径式方程(圆的直径的端点是、).81. 圆系方程(1)过点,的圆系方程是,其中是直线的方程,λ是待定的系数.(2)过直线:与圆:的交点的圆系方程是,λ是待定的系数.(3) 过圆:与圆:的交点的圆系方程是,λ是待定的系数.特别地,当时,就是表示:①当两圆相交时,为公共弦所在的直线方程;②向两圆所引切线长相等的点的轨迹直线方程82.点与圆的位置关系:点与圆的位置关系有三种若,则点在圆外;点在圆上;点在圆内.83.直线与圆的位置关系直线与圆的位置关系有三种():;;.84.两圆位置关系的判定方法:设两圆圆心分别为O1,O2,半径分别为r1,r2,;;;;.85.圆的切线方程及切线长公式(1)已知圆.①若已知切点在圆上,则切线只有一条,其方程是.当圆外时, 表示过两个切点的切点弦方程.求切点弦方程,还可以通过连心线为直径的圆与原圆的公共弦确定。