电工技术第五章习题答案-合工大
- 格式:pdf
- 大小:50.07 KB
- 文档页数:6
目录第1章电路的基本概念与定律3第1.5节电源有载工作、开路与短路. . . . . . . . . . . . . . . . . . . 3第1.5.1题. . . . . . . . . . . . . . . . . . . . . . . . . . . . . . . 3第1.5.2题. . . . . . . . . . . . . . . . . . . . . . . . . . . . . . . 3第1.5.3题. . . . . . . . . . . . . . . . . . . . . . . . . . . . . . . 5第1.5.4题. . . . . . . . . . . . . . . . . . . . . . . . . . . . . . . 5第1.5.6题. . . . . . . . . . . . . . . . . . . . . . . . . . . . . . . 6第1.5.8题. . . . . . . . . . . . . . . . . . . . . . . . . . . . . . . 6第1.5.11题. . . . . . . . . . . . . . . . . . . . . . . . . . . . . . 7第1.5.12题. . . . . . . . . . . . . . . . . . . . . . . . . . . . . . 8第1.6节基尔霍夫定律. . . . . . . . . . . . . . . . . . . . . . . . . . . 9第1.6.2题. . . . . . . . . . . . . . . . . . . . . . . . . . . . . . . 9第1.7节电路中电位的概念及计算. . . . . . . . . . . . . . . . . . . . . 10第1.7.4题. . . . . . . . . . . . . . . . . . . . . . . . . . . . . . . 101List of Figures1 习题1.5.1图. . . . . . . . . . . . . . . . . . . . . . . . . . . . . . . . 32 习题1.5.2图. . . . . . . . . . . . . . . . . . . . . . . . . . . . . . . . 43 习题1.5.8图. . . . . . . . . . . . . . . . . . . . . . . . . . . . . . . . 74 习题1.5.11图. . . . . . . . . . . . . . . . . . . . . . . . . . . . . . . . 75 习题1.5.12图. . . . . . . . . . . . . . . . . . . . . . . . . . . . . . . . 86 习题1.6.2图. . . . . . . . . . . . . . . . . . . . . . . . . . . . . . . . 107 习题1.7.4图. . . . . . . . . . . . . . . . . . . . . . . . . . . . . . . . 1021 电路的基本概念与定律1.5 电源有载工作、开路与短路1.5.1在图1中,五个元件代表电源和负载。
第5章习题解答5-11电路如题图5-11所示,换路前已处于稳态。
在t = 0时发生换路,求各元件中电流及端电压的初始值;当电路达到新的稳态后,求各元件中电流及端电压的稳态值。
解:初始时刻的等效电路如题图5-11-1,由图可得+++1210(0)(0)(0)1A R R 1C1C2i =i =i ==+;++(0)(0)0L1L2i i ==;++(0)(0)1A 21i i =-=- 1+12R (0)102V R R 1u =⨯=+; 题图5-112+12R (0)108V R R 2u =-⨯=-+;++(0)(0)0V C1C2u u ==;++(0)(0)L1L2u u ==C1C2112R ()102V R R 1u ∞=⨯=+;212R ()108V R R 2u ∞=⨯=+;()()0V L1L2u u ∞=∞=;()()()=8V C1C22u u u ∞=∞=∞5-12 电路如题图5-12所示,换路前已处于稳态。
在t = 0时发生换路,求各元件中电流及端电压的初始值;当电路达到新的稳态后,求各元件中电流及端电压的稳态值。
解:t=0+瞬时,等效电路如题图5-12-1所示,电感电流等效为恒流源。
t=∞时,等效电路如题图5-12-2所示。
则初始值:111211112(0),(0),(0)s s sLs s sC sU I R Ui iR R RU U I Ri IR R R++++==++=+++;1212112212(0),(0)0V,(0),(0)s sL Cs ssU I Ru R uR RU I Ru U u RR R+++++=-=++==+;题图5-12-1 题图5-12-211120,()s ssU I Ri IR R+=∞=-+;11212()(),()()s sC s CU I Ru I R u uR R+∞=-∞=∞+5-13数。
(a) (b)题图5-13解:(a)图:初始时刻的等效电路如题图5-13-1,由图可得+1U(0)R1i=;++23U(0)(0)R R2Ci=i=+;题图5-12+(0)U 1u =;+(0)0C u =;2+23R (0)U R R 2u =+;3+23R (0)U R R 3u =+电路达到稳态之后的等效电路如题图5-13-2,由图可得1U()R 1i =∞;()()02C i =i ∞∞=; ()U 1u =∞;()()=023u =u ∞∞;()U C u =∞1()R 1S u =I ∞;23S 23R R ()()=I R R 23u =u ∞∞+;()0L u =∞;231S 23R R ()(R )I R R S u =∞++时间常数:23LR R τ=+5-14 在题图5-14电路中,已知:1250k ,4F,6F =Ω=μ=μR C C ,换路前1C 和2C 上储存的总电荷量为41.210C -⨯。
电工与电子技术之电工技术课后答案完整版第1章电路的基本概念和基本定律1-1 试求图1-1所示电路的电压U ab和U ba。
图1-1解(a)电压U的参考方向如图所示,已知U=10V,故有U ab=U=10VU ba=-U ab=-U=-10V(b)直流电压源的电压参考方向如图所示,故有U ab=5VU ba=-U ab=-5V1-2根据图1-2所示的参考方向和电压、电流的数值确定各元件电流和电压的实际方向,并计算各元件的功率,说明元件是吸收功率还是发出功率。
(a)(b)(c)(d)图1-2解 (a)因为电流为+2mA,电压为+5V,所以电流、电压的实际方向与参考方向相同。
电阻元件的功率为P=UI=5×2×10-3=10×10-3=10Mw电阻元件的电压与电流取关联参考方向,计算结果P>0,说明电阻元件吸收功率。
(b)因为电流、电压随时间t按照正弦规律变化,所以当电流i>0、电压u>0时,它们的实际方向与参考方向一致;当电流i<0、电压u<0时,它们的实际方向与参考方向相反。
电阻元件的功率为p=ui=5sin(ωt)×sin(ωt)=5sin2(ωt)W电阻元件的电压与电流取关联参考方向,计算结果p>0,说明电阻元件吸收功率。
(c)因为电流为-2mA,所以电流的实际方向与参考方向相反;电压为+5V,所以电压的实际方向与参考方向相同。
直流电压源的功率为P=UI=5×(-2×10-3)=-10×10-3=-10mW直流电压源的电压与电流取关联参考方向,计算结果P<0,说明直流电压源发出功率。
(d)因为电流为+2A,电压为+6V,所以电流、电压的实际方向与参考方向相同。
直流电流源的功率为P=UI=6×2=12W直流电流源的电压与电流取非关联参考方向,计算结果P>0,说明直流电流源发出功率。
电工与电子技术A复习要点(合工大)第一篇:电工与电子技术A复习要点(合工大)电工技术复习要点注:复习要点仅针对这次考试第一章电路的基本概念与基本定律、第二章电路的分析方法要点:额定值应用,电源的功率及电源与负载的判别,基尔霍夫定律的应用,电位的计算,支路电流法,结点电压法,电源的等效变换,叠加定理,戴维宁定理。
主要内容:1、电路的组成、作用。
2、电路的模型:(1)电源:电压源(US串RO),电流源(IS并联RO)。
(2)负载:电阻,电感,电容。
3、电压、电流的实际方向,参考方向,以及这二者的关系。
4、电源与负载的判别方法以及功率的计算。
5、电路中电位的计算,参考点的概念。
6、电路的工作状态:开路状态、短路状态、负载状态7、欧姆定律:I= +U/R(U与I参考方向相同),I= -U/R(U与I 参考方向相反)。
8、电阻串并联、分压分流公式。
9、基尔霍夫电流定律及其推广,基尔霍夫电压定律及其推广。
10、支路电流法(会列写方程)。
11、电压源与电流源及两种电源的等效变换(会利用电源的等效变换帮助解题)。
12、结点电压法。
13、叠加定理(会用叠加定理分析问题)。
14、戴维宁定理。
第三章电路的暂态分析要点:应用换路定律确定初始值,计算电路时间常数τ,应用三要素法求解电路中电压、电流随时间变化的规律,画暂态过程曲线。
主要内容:1、电阻、电感、电容元件的伏安关系:i=±的参考方向决定)。
2、电路发生暂态过程的条件。
3、换路定则:udidu,u=±L,i=±C(其中正负号由电压、电流RdtdtiL(0-)=iL(0+)uC(0-)=uC(0+)4、会求暂态过程的初始值、稳态值。
5、掌握一阶电路的三要素法,即f(0+),f(∞),时间常数τ的求法以及响应公式。
第四章正弦交流电路要点:正弦量与相量的互换,单一参数电路的基本关系,RLC串联电路及串联谐振,阻抗串并联电路的分析,感性电路的功率因数提高,并联谐振,画相量图。
第5章时变电磁场5.1 有一导体滑片在两根平行的轨道上滑动,整个装置位于正弦时变磁场5cos mT z e t ω=B 之中,如题6.1图所示。
滑片的位置由0.35(1cos )m x t ω=-确定,轨道终端接有电阻0.2R =Ω,试求电流i.穿过导体回路abcda 的磁通为)cos [0.70.35(1cos )]0.35cos (1cos )z z x t t t t ωωωωΦ-=--=+ 故感应电流为110.35sin (12cos ) 1.75sin (12cos )mAin d i R R dt t t t t R ωωωωωωΦ==-=-+-+E5.2 一根半径为a 的长圆柱形介质棒放入均匀磁场0z B =Be 中与z 轴平行。
设棒以角速度ω绕轴作等速旋转,求介质内的极化强度、体积内和表面上单位长度的极化电荷。
解 介质棒内距轴线距离为r 处的感应电场为00z r r r B φωω=⨯=⨯=E v B e e B e故介质棒内的极化强度为00000(1)()e r r r r B r B εεεωεεω==-=-P E e e X 极化电荷体密度为2000011()()2()P rP r B r r r rB ρεεωεεω∂∂=-∇⋅=-=--∂∂=--P 极化电荷面密度为0000()()P r r r a e r a B σεεωεεω==⋅=-⋅=-P n B e则介质体积内和表面上同单位长度的极化电荷分别为220020012()212()P P PS P Q a a B Q a a B πρπεεωπσπεεω=⨯⨯=--=⨯⨯=-5.3 平行双线传输线与一矩形回路共面,如题6.3图所示。
设0.2a m =、0.1mb c d ===、71.0cos(210)A i t π=⨯,求回路中的感应电动势。
解 由题给定的电流方向可知,双线中的电流产生的磁感应强度的方向,在回路中都是垂直于纸面向内的。
《电力电子技术》课程期末考试试题(A)合肥工业大学计算机与信息学院一.填空(每空1分,36分)1、请在正确的空格内标出下面元件的简称:电力晶体管;可关断晶闸管;功率场效应晶体管;绝缘栅双极型晶体管;IGBT是和的复合管。
2、晶闸管对触发脉冲的要求是、和。
3、多个晶闸管相并联时必须考虑的问题,解决的方法是。
4、在电流型逆变器中,输出电压波形为波,输出电流波形为波。
5、型号为KS100-8的元件表示晶闸管、它的额定电压为伏、额定有效电流为安。
6、180°导电型三相桥式逆变电路,晶闸管换相是在_ 上的上、下二个元件之间进行;而120º导电型三相桥式逆变电路,晶闸管换相是在_ 上的元件之间进行的。
7、当温度降低时,晶闸管的触发电流会、正反向漏电流会;当温度升高时,晶闸管的触发电流会、正反向漏电流会。
8、在有环流逆变系统中,环流指的是只流经、而不流经的电流。
环流可在电路中加来限制。
为了减小环流一般采控用控制角αβ的工作方式。
9、常用的过电流保护措施有、、、。
(写出四种即可)10、双向晶闸管的触发方式有、、、、四种。
二.判断题,(每题1分,10分)(对√、错×)1、在半控桥整流带大电感负载不加续流二极管电路中,电路出故障时会出现失控现象。
()2、在用两组反并联晶闸管的可逆系统,使直流电动机实现四象限运行时,其中一组逆变器工作在整流状态,那么另一组就工作在逆变状态。
()3、晶闸管串联使用时,必须注意均流问题。
()4、逆变角太大会造成逆变失败。
()5、并联谐振逆变器必须是略呈电容性电路。
()6、给晶闸管加上正向阳极电压它就会导通。
()7、有源逆变指的是把直流电能转变成交流电能送给负载。
()8、在单相全控桥整流电路中,晶闸管的额定电压应取U2。
()9、在三相半波可控整流电路中,电路输出电压波形的脉动频率为300Hz。
()10、变频调速实际上是改变电动机内旋转磁场的速度达到改变输出转速的目的。
大二电工学课后习题第五章答案(1) 第一章电路的基本概念和基本定律习题解答1-1 在图1-39所示的电路中,若I1=4A,I2=5A,请计算I3、U2的值;若I1=4A,I2=3A,请计算I3、U2、U1的值,判断哪些元件是电源?哪些是负载?并验证功率是否平衡。
解:对节点a应用KCL得I1+ I3= I2 即4+ I3=5, 所以 I3=1A在右边的回路中,应用KVL得6?I2+20?I3= U2,所以U2=50V同理,若I1=4A,I2=3A,利用KCL和KVL得I3= -1A,U2= -2V在左边的回路中,应用KVL得20?I1+6?I2= U1,所以U1=98V。
U1,U2都是电源。
电源发出的功率:P发= U1 I1+ U2 I3=98?4+2=394W负载吸收的功率:P吸=20I1+6I22+20I3=394W二者相等,整个电路功率平衡。
1-2 有一直流电压源,其额定功率PN=200W,额定电压UN=50V,内阻Ro=0.5Ω,负载电阻RL可以调节,其电路如图1-40所示。
试求:⑴额定工作状态下的电流及负载电阻RL的大小;⑵开路状态下的电源端电压;⑶电源短路状态下的电流。
解:⑴IN?PNUxx0??4A RL?N??12.5? UN50IN422⑵ UOC?US?UN?IN?R0?50+4?0.5 = 52V⑶ ISC?US52??104AR00.5图1-39 习题1-1图图1-40 习题1-2图1-3 一只110V、8W的指示灯,现在要接在220V的电源上,问要串多大阻值的电阻?该电阻的瓦数为多大?解:若串联一个电阻R后,指示灯仍工作在额定状态,电阻R应分去110V的电1102?1512.5? 压,所以阻值R?81102?8W 该电阻的瓦数PR?R1-4 图1-41所示的电路是用变阻器RP调节直流电机励磁电流If的电路。
设电机励磁绕组的电阻为315Ω,其额定电压为220V,如果要求励磁电流在0.35~0.7A的范围内变动,试从下列四个电阻中选用一个合适的变阻器:⑴1000Ω 0.5A;⑵350Ω 0.5A;⑶200Ω 1A;⑷350Ω 1A;图1-41 习题1-4图解:要求励磁电流在0.35~0.7A的范围内变动,则应有0.35?220?0.7 315?RP则 313.6?RP??0.714?取 314?RP?0?同时变阻器中允许通过的电流最大值不小于0.7A综上所以选择第四个变阻器。
第5章 思考与练习一、填空1. 电路在换路时,电路中的 不能突变。
2. 电路在换路时,电感上的电流不能突变,电容上的 不能突变。
3. 电路形成过渡过程的充分必要条件: 。
4. 暂态的分析方法分为 和 。
5. RC 电路充电过程的快慢是由时间常数来决定的,其大小为 。
6. 一阶电路的三要素是 、 和 。
7. 换路定则是 。
二、选择题1.电容在充电过程中,其 是不能突变的。
A .电流B .电路C .端电压2.RC 电路充电过程的快慢是由时间常数来决定的,τ越大,充电越 ,过渡过程需要的时间就越 。
A .慢,长B .慢,短C .快,长3.电路从一个稳定状态过渡到另一个稳定状态所经历的过程称 。
A .稳定过程B .过渡过程C .暂态过程4.电路在换路时,电路中的能量不能突变,对于电容元件,其储有电能为 。
A .221C Cu B .241C Cu C .C Cu 21 5.电路在换路时,电路中的能量不能突变,对于电感元件,其储有电能为 。
A .221L Li B .241L Li C .L Li 21 三、思考与计算1.在图5.01中,V 100=E ,Ω=11R ,Ω=992R ,µ10=C F ,试求:S 闭合瞬间(+=0t ),各支路电流及各元件两端电压的数值;(2)S 闭合后到达稳定状态时各支路电流及各元件两端电压的数值。
图5.01 习题5.01图 图5.02 习题5.02图 2. 如图6.02所示,开关闭合时电容充电,再断开时电容放电,分别求充电及放电时电路的时间常数。
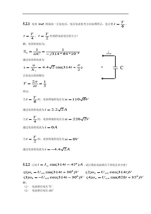
5.2.1 电容64uF 两端加一正弦电压,电压电流参考方向如图所示,是计算6Tt =,4T t =,2T t =时刻的电流电压的大小? 解:电容的容抗为:611314*64*10C j ω-==-c X 通过电容的电流为)2cut X π==+i正弦电压的周期为215T πω==所以: 当6Tt =时,电容两端的电压为u =通过电容的电流为i =当4Tt =时,电容两端的电压为u =通过电容的电流为0i A = 当2Tt =时,电容两端的电压为0u V =通过电容的电流为i =-5.2.2 已知0sin(31445)m i I t A =-,试计算此电流滞后下列电压多少度?01122003344(1)sin(31430)(2)cos(314)(3)cos(31430)(4)sin(62835)m m m m u U t Vu U t Vu U t V u U t V=+==--=+解:(1) 电流滞后电压75° (2) 电流滞后电压135°Ciu(3) 电流滞后电压105°(4) 不是同频率,不能比较。
5.3.1已知电流15*sin(31430)o i t A=--,210*sin(31460)o i t A=+,34*sin(314150)o i t A =+(1)写出上述电流相量,并绘出相量图;(2)1i 2i 和1i 3i 的相位差;(3)如果将第一个电流中的符号去点将意味什么?(4)求出第一个电流的周期和频率。
解: (1).1.2.315060150o o o I A I A I A=∠=∠=∠ 向量图如下:(2)o 12o1390180i i i i 超前与反相(3).1I 的波动图如下所示U150ϕ=3I IUI2I 060ϕ=时间(t)电流i(4)反相(5)220.02w3141f50zTHTππ=====秒5.3.2 已知两个同频率正弦电压的相量,其频率为100Hz,求(1)两个电压的时域形式(2)求两者相位差?解:(1)1230)30)1002628/ooU tU tf Hzw f rad sπ=+=-+===(2)12,U U相位相同。
5-1. 说明人体触电致死的原因。
答:触电就是指人体的不同部位同时接触到不同电位的带电体时,人体内就有电流通过而造成对人体的伤害。
触电所造成的伤害主要有电击和电伤。
电击是人体加上一定电压后,人体电阻迅速减小,而使通过人体的电流增大,造成人体内部组织损坏而致死亡。
电伤是电流的热、化学、机械效应所造成身体表面皮肤、肌肉的伤害。
常见为电弧烧伤、灼伤人的脸面、肢体等部分,情况严重的也会导致死亡。
5-2. 解释跨步电压、接触电压的含义,说明在何种情况下能够发生跨步电压、接触电压触电。
答:当系统发生故障时,如输电线断裂接地、设备碰壳短路或遭受雷击等,将会有很大的电流流过接地体进入大地,接地体及其周围的土地将有对地电压产生。
对地电压以接地体处最高,离开接地体,对地电压逐渐下降,约至离接地体20米处对地电压降为零。
此时当人接地体附近行走时,在两脚之间将有一个电压存在,这种电压称为跨步电压。
发生短路故障的设备有对地电压,人触及设备外壳会有电压加于人体,这种电压称为接触电压。
跨步电压和接触电压触电,一般在雷击或有强大的接地短路电流出现时发生。
5-3. 怎样会发生触电事故?为了避免触电,我们在使用电器,接电操作时应注意哪些问题?答:电对人体的伤害是人体触电所造成的。
触电就是指人体的不同部位同时接触到不同电位的带电体时,人体内就有电流通过而造成对人体的伤害。
要防止发生触点事故最主要的是人必须按照规定的安全操作规程操作与使用用电器,以及用电器的电气安全性能必须符合要求,即在长期使用的过程中不发生漏电现象及因之形成的设备表面带电。
5-4. 在进行电工实验时,为什么在合上电源时操作者一定要通知同组同学注意?为什么在实验过程中不允许带电改接电路?答:因为在电工实验时电源电压通常为220V,当人接触此电压用电器时会造成触电事故可能危及生命。
因此合上电源时操作者一定要通知同组同学注意,避免其它同学在不知情的情况下误接触到连接到电源上的实验设备。
第二章 电路的分析方法P39 习题二 2-1题2-1图题2-1等效图 解:334424144I R R I R I RR I ⋅=⋅+⎪⎪⎭⎫⎝⎛+⋅①33341445I R E I I R R I R ⋅-=⎥⎦⎤⎢⎣⎡++ ② 344443363I I I I =+⎪⎭⎫⎝⎛+,344215I I = 34815I I = ①33444621I I I I -=⎪⎭⎫⎝⎛++,345623I I -= 3410123I I -=,34506015I I -=,A 2930,302933==I I 代入 ①A 2916,293081544=⨯=⨯I I 另外,戴维南等效图A 29549296I 5==回归原图3355I R I R E ⋅=⋅-,所以A 293042954163=⨯-=I2-2答 由并联输出功率400w 所以每个R 获得功率RU P 2,W 1004400==)(484,2201002Ω==R R改串联后:W 25422220P P 222=⨯===总消耗输出R U 2-33R 2R4R 5R3I1I5I4IE +- 1R 2I6V+ -Ω1Ω920 5I题2-3等效图Ω=++⨯=++⋅=313212123121112111R R R R R R ,Ω=++⨯=++⨯=13213223121123122R R R R R RΩ=++⨯=++⋅=213213123121123133R R R R R R)(913910312953125225231ab Ω=+=+=+⨯+=R2-4题2-4 △-Y 变换(一)图题2-4 △-Y 变换(二)图题2-4 △-Y 变换(三)图题2-4 等效星型图2-5 解:ab cR 31 R 32 R 32 R 32 R 31 R 31 bcR 92 R 92 R 92 aR 31 R 31 R 31 bacR 95R 95 R 95 b1Ω1Ω2ΩΩ31 Ω21 a12 3+-10V Ω2Ω25A题2-5 (a)图2-6 用两种电源等效互换的方法,求电路中5Ω电阻上消耗的功率。
1、 有一三相对称负载,其每相的电阻R = 8,感抗 X L = 6Ω。
如果将负载联成星型接于线电压U l = 380V 的三相电源上,试求相电压、相电流及线电流。
【解】由负载星型联接线电压与相电压的关系,相电压U p :V U U l p 22033803===∴相电流: A X R U I Lpp 2210220682202222==+=+=线电流: I l = I p = 22 A2、 如将上题的负载联成三角型,接于线电压U l = 220V 的三相电源上,试求相电压、相电流及线电流。
将所得的结果与上题结果加以比较。
【解】负载三角型联接时,线电压与相电压相等,即:V U U l p 220== 但线电流不等于相电流,当负载对称时,有: p l I I 3=,∴ 相电流:A X R U I Lpp 2210220682202222==+=+=线电流:A I I p l 382233=⨯==由两题结果比较得知:同一负载,以不同的接法接于不同的电源上,但因相电压未变,故相电流也就未变,都能正常工作,只是线电流有所改变,三角型联接时,线电流要大些。
3、(5.4.1) 有一三相异步电动机,其绕组联成三角型,接于线电压U l = 380V 电源上,从电源所取用的功率P 1 = kW ,功率因数 cos ф = ,试求电动机的相电流和线电流。
【解】三相有功功率: ϕcos 31l l I U P = ∴ 线电流: A U P I l l 96.1987.038031043.11cos 331=⨯⨯⨯==ϕ相电流:A I I l p 52.11396.193===4、(5.4.2) 在图示电路中,电源线电压U l = 380V 。
(1)如果图中各相负载的阻抗模都等于10Ω, 是否可以说负载是对称的?(2)试求各相电流,并用电压与电流的相量图 计算中线电流。
如果中线电流选得与图上所示相反, 则结果有何不同?(3)试求三相平均功率P 。
第五章习题如题图所示电路,FVo 时已处于稳态。
当F = O 时开关S 打开,求初始值 %(0+)和 z c (0+) O解:根据电容电压不能突变,有:4M r (O ) = 6× --- = AV C 2 + 4S 打开时有: M C (O +) = W C (OJ = 4V可得:∕c (0+) — -W C (O*)× ―― = -0.8 A1 + 4如题图所示电路,fvθ时已处于稳态。
当r = o 时开关S 闭合,求初始值W L (O +) . ∕c (0+)和 Ko +)。
解:FvO 时处于稳态,有:12z. (0 ) = - = IA L 4 + 8 W C (0_) = i L (0_)x8 = 8V根据电容电压、电感电流不能突变,当开关S 闭合有:叫(°+) ='c(°+)x4+"c(°+)一 L(°+)X 8 = 1X 4 + 8-1X 8 = 4W ∕∙(0J = ∕c (0+) +Z L (O +) = 1 + 1 = 2A如题图所示电路,f<0时已处于稳态。
当F = O 时开关S 闭合,求L(O+)和4Ω --- 1=1——I 6「'c(°+) =12 —w c (0+) 412 —w c(0_) 4 =IA 4Ω AQ解:r<o⅛, ^O-) = - = 1A 有:Uo+) = UOJ = IA如题图所示电路,电压表的内阻R,=10M,量程为IoOV。
开关S在f = 0时打开,问开关打开时,电压表是否会损坏解:当开关闭合时,有:4Ω当开关打开时,有:%(0+) = L(O.) = 6A所产生的电压为:u v=i L(OJ×R v=6×lQkΩ=60kV可见超出了电压表的量程,因此电压表会损坏。
如题图所示电路,∕vθ时已处于稳态。
当/ = 0时开关S打开,求初始值HC(O+)和乙(0+)、匚(0+)。
第一章测试题1:在图1-1中,5个元件代表电源或负载。
电流和电压的参考方向如图中所示。
今通过实验测量得知:(1)试算出各电流的实际方向和各电压的实际极性;(2)判断哪些元件是电源?哪些元件是负载?(3)计算各元件的功率,电源发出的功率和负载取用的功率是否平衡?答案(1)电流,电压实际方向与极性标明在图1-1中。
(2)元件1,2为电源,3,4,5为负载.(3)各元件功率为:电源发出功率:负载吸收功率:两者相等,功率平衡。
2:负载电阻,线路电阻试求负载电阻并联前后:(1)电路中电流(2)电源端电压和负载端电压;(3)当负载增大时,计算总的负载电阻,线路中电流、负载功率、电源端和负载端的电压是如何变化的?答案(1)1)电路中电流2)电路端电压负载端电压3)负载功率(2)并联后,电路电阻为:1)2)电源端电压为负载端电压为3)负载功率为负载增大时,电路总电阻减小,线路中的电流增大,负载功率增大,电源端电压及负载端电压均下降。
3:在图1-3中,已知试求电流答案电路中有三个结点,根据基尔霍夫电流定律有或用基尔霍夫电流定律的推广,将中间三条支路圈成一个广义结点(图略)则有结果与上相同。
4:在图1-4中,试求开关S断开和闭合时a和b之间的等效电阻。
答案当开关S断开时,5:图1-5是两台发电机并联运行的电路。
试分别用支路电流法和结点电压法求各支流电流。
图1-5答案(1)用支路电流:各支路电流参考方向已画在图1-5中。
列结点电流方程为列回路电压方程为联立求解上述三个方程式组成的方程组,可得(2)用结点电压法:先求端电压U,有验算:按非独立回路方程进行代入数据6:用叠加原理计算图1-6中各支路的电流。
答案为了求各支路电流,首先在原图中标明各支路电流的参考方向,用叠加原理将电路分解为图F-2(a),(b)所示两个分电路,并重新标明各支路电流的参考方向,标定方向可视解题方便选取。
分别求解两个电路中各支路电流。
分析可知,这两个电路形状相似,都具有丫型和△型电阻网络的简单电路,当然可以利用丫-△等效变换法加以化简而解之。