4力学量与算符
- 格式:ppt
- 大小:2.46 MB
- 文档页数:58
矩阵力学知识点矩阵力学是量子力学的一个重要分支,它通过矩阵和线性代数来描述物理系统的性质和演化规律。
在这篇文章中,我们将介绍一些矩阵力学的基本概念和关键知识点。
1. 矩阵和矢量在矩阵力学中,我们使用矩阵来表示物理量和物理系统。
一个矩阵可以看作是一个有序的数值集合,它们按照一定的规则排列在一个矩形的方阵中。
而矢量则是矩阵的一种特殊形式,它可以被表示为一个列矩阵或行矩阵。
2. 矩阵的运算矩阵力学中,有许多重要的矩阵运算,其中包括加法、减法、数乘和矩阵乘法等。
矩阵加法和减法遵循矩阵对应元素相加(或相减)的规则。
数乘则是将矩阵中的每一个元素乘以一个常数。
矩阵乘法是矩阵力学中最重要的运算,它的结果是两个矩阵之间的线性组合。
3. 基态和本征值在矩阵力学中,基态是指物理系统的最低能量状态,通常用一个矢量表示。
本征值则是描述物理量的特征值,它是通过使用特征方程来计算得到的。
4. 变换矩阵变换矩阵在矩阵力学中扮演着重要的角色。
变换矩阵用于描述物理系统在不同坐标系下的变换规律,通过矩阵乘法来实现这种变换。
5. 算符和力学量算符是矩阵力学中另一个重要概念,它用于描述物理系统的力学量。
算符可以对矢量进行操作,从而得到该物理量的测量结果。
算符也可以用于描述系统的演化规律。
6. Heisenberg方程和Schrödinger方程Heisenberg方程和Schrödinger方程是矩阵力学中的两个基本方程。
Heisenberg方程描述了物理系统的演化,它通过施加算符对矢量进行变换,得到测量结果。
Schrödinger方程则是用于描述物理系统的波函数演化,它通过线性方程组来计算波函数的变化。
7. 不确定性原理不确定性原理是矩阵力学中一个非常重要的概念。
根据这一原理,无法同时确切知道一个粒子的位置和动量,而只能知道它们的概率分布。
总结:本文简要介绍了矩阵力学的一些核心概念和知识点。
矩阵力学通过矩阵和线性代数的方法描述了物理系统的性质和演化规律。
第六章 力学量与本征态 §6 - 1 量子力学中的力学量 一 力学量用算符表达量子力学中的两个基本概念 ● 量子态 波函数 ● 力学量 (具有特定性质的)算符算符代表着对波函数的一种运算(但并不一定都与力学量相对应):()ddx ψ:对波函数取导数,ψ)(r U :对波函数乘以)(r U ,*ψ: 对波函数取复共轭,ψ: 对波函数开平方根考察位置算符r 和动量算符pˆ:r r →,(6. 1)∇-=→ i ˆpp . (6. 2)经典力学中的力学量还有:势能)(r V 纯位置坐标的函数(算符不变)力)()(r r F V ∇-=速度m /p v = 动量的函数(算符可由动量的对应关系得出)动能m p T 2/2= 动能2222ˆ ()222P T m m m x y z222222∂∂∂==-∇=-++∂∂∂ (6. 3)角动量∇⨯-=⨯=r p r Li ˆˆ (6. 4)在直角坐标系中的分量表达式)(i ˆˆˆyz z y p z py L y z x ∂∂-∂∂-=-= )(i ˆˆˆzx x z p x pz L z x y ∂∂-∂∂-=-=(6. 5))(i ˆˆˆxy y x p y px L x y z ∂∂-∂∂-=-=角动量算符Lˆ的模方(L ˆ的平方) L LL ˆˆˆˆ22⋅==L 222ˆˆˆz y x L L L ++=. (6. 6)角动量在球面坐标系的表示]sin 1)sin (sin 1[ˆ22222ϕθθθθθ∂∂+∂∂∂∂-= L(6. 7)ϕ∂∂-= i ˆz L (6. 8)θθθθθ2222sin ˆ)sin (sin ˆzL L +∂∂∂∂-= (6. 9)利用了:ϕθcos sin r x =,ϕθsin sin r y =, θcos r z =;2222z y x r ++=,rz =θcos , x y=ϕtan .图21 - 1 球面坐标系二 量子力学中的哈密顿量1、 哈密顿算符 薛定谔方程的普遍形式在量子力学中,薛定谔方程的普遍形式是ψψH tˆi =∂∂(6. 10)式中H ˆ是体系的哈密顿算符( = 动能函数 +势能函数)V T H +=,(6. 11)对于一个粒子在势场V ( r )中运动的情况,有)(2ˆ22r V mH +∇-= ,(6. 12) 讨论:● 哈密顿算符决定了体系的量子态随时间的变化规律,在量子力学中占有特别重要的地位。
0前言量子力学是物理研究领域较为高深的理论内容,也是长久以来物理专家学者极力探索的科学研究项目。
从整体来看,量子力学的理论框架是由五个基本假定所构成,其内涵较为丰富。
1量子力学的五个基本假定概述有关量子力学基本假定的内容,获得了世界范围内物理学专家和学者的普遍关注和认可,这一知识理论体系在诸多研究领域的应用较为频繁,因其是一项物理学领域当中的基本假定。
但是,任何一个繁杂深奥的学问背后的原理都是可以通过通俗易懂的方式来进行解读地,从而让更多的普通人领悟到科学知识的妙趣所在。
以下内容便是有关量子力学五个基本假定的主体内容:1.1量子力学基本假定之一围观体系的运动状态由相应的归一化波函数描述,波函数是假定一中的关键点。
1.2量子力学基本假定之二围观体系的运动状态波函数随着实践的变化规律遵循薛定谔方程。
1.3量子力学基本假定之三力学量由相应的线性算符来表示(这部分内容与假定二联系起来理解)。
1.4量子力学基本假定之四力学量算符之间有相确定的对易关系,则称其为量子条件;坐标算符的三个直角坐标系分量与动量算符的三个直角坐标系分量之间的对易关系称为基本量子条件;力学量算符由其相应的量子条件来确定。
1.5量子力学基本假定之五全同的多粒子体系的波函数对于任意一对粒子交换而言具有对称性,即波色子系的波函数是对称的,费米子系的波函数是反对称的。
这是五个基本假定理论中最为复杂的假定内容。
2运用麻将骰子模型来解读量子力学的五个基本假定从以往研究量子力学的相关资料中可以查阅得到,可以采用麻将骰子模型来具体解读量子力学的五个基本假定,令量子力学这一高深难懂的理论学问变得易于理解。
实际上,无论是多高深莫测的科学理论,大多可以通过人们熟悉的事物来进行描述,进而让人们领略到科学理论其中的复杂内涵。
因此,在研究量子力学理论的过程中,提出一种麻将骰子模型,并且利用该模型的架构将量子力学的五个基本假定分别进行解读。
实践研究证明,采取的这种麻将骰子模型的形式来解读量子力学这门高深的物理学理论极为可行。
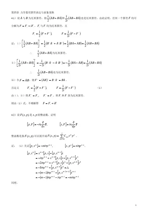
第四章 力学量用算符表达与表象变换 4.1)设A 与B 为厄米算符,则()BA AB +21和()BA AB i-21也是厄米算符。
由此证明,任何一个算符F 均可分解为-++=iF F F ,+F 与-F 均为厄米算符,且()()+++-=+=F F iF F F F 21 ,21 证:ⅰ)()()()()BA AB AB BA B A A B BA AB +=+=+=⎥⎦⎤⎢⎣⎡++++++21212121()BA AB +∴21为厄米算符。
ⅱ)()()()()BA AB i AB BA i B A A B i BA AB i -=--=--=⎥⎦⎤⎢⎣⎡-+++++21212121()BA AB i-∴21也为厄米算符。
ⅲ)令AB F =,则()BA A B AB F ===++++,且定义 ()()+++-=+=F F iF F F F 21 ,21 (1) 由ⅰ),ⅱ)得-+-+++==F F F F ,,即+F 和-F 皆为厄米算符。
则由(1)式,不难解得 -++=iF F F4.2)设),(p x F 是p x ,的整函数,证明[][]F ,F,,pi F x x i F p ∂∂=∂∂-=整函数是指),(p x F 可以展开成∑∞==,),(n m n m mnp x Cp x F 。
证: (1)先证[][]11, ,,--=-=n n m mp ni p x xmi xp 。
[][][][][][][][]()()[]()111111331332312221111,1,3,,2,,,,,------------------=---=+--==+-=++-=++-=+=m m m m m m m m m m m m m m m m m mx m i x i x i m xxp x i m x x p x i x x p x x p x x i x x p x x p x x i xx p x p x x p同理,[][][][][][]1221222111,2,,,,,--------==+=++=+=n n n n n n n n np ni ppx pi p p x p p x p p i pp x p x p p x现在,[][]()∑∑∑∞=-∞=∞=-==⎥⎦⎤⎢⎣⎡=0,1,0,,,,n m nm mnn m n m mn n m n m mn px m i C p x p C p x C p F p而 ()∑∞=--=∂∂-0,1n m n m mn p x mi C x Fi 。
第三章算符和力学量算符之宇文皓月创作3.1 算符概述设某种运算把函数u变成函数v,用算符暗示为:3.1-1)u与v中的变量可能相同,也可能分歧。
例如,x,1.算符的一般运算(1)算符的相等:对于任意函数u(2)算符的相加:对于任意函数u,若,则(3)算符的相乘:对于任意函数u2.几种特殊算符(1)单位算符对于任意涵数u1是等价的。
(2)线性算符对于任意函数u与v算符。
(3)逆算符对于任意函数u并不是所有的算符都有逆算符,例如把零作为算符时,称之为零算符,零算符就没有逆算符。
的线性算符,a为常数。
其解u可暗示为对应齐次方程的通解u。
与分,但如果当a=0述分析可知,是否存在逆算符还与算符所作用的函数有关。
(4)转置算符函数的转置就等于它自己。
3.1-2)也应满足连续性条件:可都等于零](5)转置共轭算符(也称为厄密共轭算符)与厄密算符转置共轭算符通常也是向左作用的算符,同时算符自己要取共义为:3.1-3)可以证明,位置算符与动量算符都是厄密算符。
因x是实数,而,所以。
在任意标积中,因,所以3.1-3)出发,来证(6)幺正算符(7)算符的函数设函数F(A F为:(3.1-4)n3.2算符的对易关系定义算符的泊松(Poisson)括号为:(3.2-1)的。
1.量子力学中基本对易关系在位置表象中,,即在动量表象中可见在位置表象中与动量表象中都得:(3.2-2)如果两个算符所含的独立变量分歧,则这两个算符是对易的。
例yx。
又如,在有心力场中,U(x)所含的变量是rx,y,z(3.2-3)(3.2-4)式就是量子力学中的基本对易关系式。
2.线性算符泊松括号的性质根据量子泊松括号的定义式以及线性算符的定义式不难证明下关系式:(其证明供练习)3.2-5)为常数(3.2-6)为常数(3.2-7)3.其他对易关系(1)角动量算符与位置算符之间的对易关系采取爱因斯坦记号,则上式可写为:3.2-11)Levi-Civita所有角标都是反对称的,即交换任意两个角标,其值反号,例如,数学性质:3.2-12)i ,j 反对称之故。
第四章力学量用算符表达与表象变换1 14.1 )设A 与B 为厄米算符,则—AB BA 和 AB 一 BA 也是厄米算符。
由此证明,任何一个算符2 2i分解为F =F . • iFF 与F_均为厄米算符,且证:i)1AB BA1 -AB BA 为厄米算符。
1 1 1二—B A - A B 二 丄 BA - AB 二丄 AB - BA -2i 2i 2i二1(AB - BA )也为厄米算符。
iii )令 F 二 AB ,则 F 二 AB = B A ;= BA ,由i ) ,ii )得F . = F , F_ = F_,即卩F 和F_皆为厄米算符。
则由(1)式,不难解得F iF4.2)设F (x, p )是x, p 的整函数,证明整函数是指F(X, p)可以展开成F(X,p) = v C mn X m p n 。
m,n =0证: (1)先证 p,x m L -mi x m 4, X, p n]二 ni pn/。
p,xm ] =x m4 lp,x 「p, x m4 xi x m4 x m ^ ip,xk p,x m Q x 2 --2i x m4 x m : b, x 殳2 b,x m ; x 3=-3i x m4 ■ 'p,x m ^x 3 二… =-m -1i 乂心■ b,x m —z x m _ --m -1 i x m4 -i x m J 二 mi x m4同理,F 均可1 ^2i F -F1F =2 F F ,1 11 B A A B BA AB AB BAii)扌 AB 一 BA 且定义F T F「F(1)'p,F:xX, p n .1 - p n二X, p Z- X, p n J Ip=i*p n' + p n~ IX, p】p + X, p n~ 】p2= 2i%n」+ k, p n,】p 2=n卷p n」现在,Ip,F ]= |P, hC mn X”=送C mn b,X m Ip"Q QC mn -mi x mJ p nm,n兰:F 7而-i ——C mn -mi x mJ p n。