高等数学(同济大学第五版) 第四章答案
- 格式:pdf
- 大小:3.42 MB
- 文档页数:36
习题1−11. 设A=(−∞, −5)∪(5, +∞), B=[−10, 3), 写出A∪B,A∩B,A\B及A\(A\B)的表达式.解A∪B=(−∞, 3)∪(5, +∞),A∩B=[−10, −5),A\B=(−∞, −10)∪(5, +∞),A\(A\B)=[−10, −5).2. 设A、B是任意两个集合, 证明对偶律: (A∩B)C=A C ∪B C.证明因为x∈(A∩B)C⇔x∉A∩B⇔x∉A或x∉B⇔x∈AC或x∈B C⇔x∈AC ∪B C,所以(A∩B)C=A C ∪B C.3. 设映射f: X→Y,A⊂X,B⊂X. 证明(1)f(A∪B)=f(A)∪f(B);(2)f(A∩B)⊂f(A)∩f(B).证明因为y∈f(A∪B)⇔∃x∈A∪B,使f(x)=y⇔(因为x∈A或x∈B)y∈f(A)或y∈f(B)⇔y∈f(A)∪f(B),所以f(A∪B)=f(A)∪f(B).(2)因为y∈f(A∩B)⇒∃x∈A∩B,使f(x)=y⇔(因为x∈A且x∈B)y∈f(A)且y∈f(B)⇒y∈f(A)∩f(B),所以f(A∩B)⊂f(A)∩f(B).4. 设映射f: X→Y,若存在一个映射g:Y→X,使, , 其中IXIfg=㣠YIgf=㣠X、I Y分别是X、Y上的恒等映射, 即对于每一个x∈X,有IX x=x;对于每一个y∈Y,有IY y=y.证明: f是双射, 且g 是f的逆映射: g=f−1.证明因为对于任意的y∈Y,有x=g(y)∈X,且f(x)=f[g(y)]=I y y=y,即Y中任意元素都是X中某元素的像, 所以f为X到Y的满射.又因为对于任意的x1≠x2, 必有f(x1)≠f(x2), 否则若f(x1)=f(x2) ⇒g[f(x1)]=g[f(x2)] ⇒x1=x2.因此f既是单射, 又是满射, 即f是双射.对于映射g:Y→X,因为对每个y∈Y,有g(y)=x∈X,且满足f(x)=f[g(y)]=I y y=y, 按逆映射的定义, g是f的逆映射.5. 设映射f: X→Y,A⊂X. 证明:(1)f−1(f(A))⊃A;(2)当f是单射时, 有f−1(f(A))=A.证明 (1)因为 x ∈ A ⇒ f ( x )= y ∈ f ( A ) ⇒ f −1( y )= x ∈f −1( f ( A )), 所以 f−1(f ( A ))⊃ A .(2)由(1)知 f−1(f ( A ))⊃ A. 另一方面, 对于任意的 x ∈ f −1( f ( A ))⇒存在 y ∈ f ( A ), 使 f −1( y )= x ⇒ f ( x )= y . 因为 y ∈f ( A )且 f 是单 射, 所以 x ∈ A . 这就证明了 f−1(f ( A ))⊂ A . 因此 f −1( f (A ))= A . 6. 求下列函数的自然定义域: (1)23+= xy ;解 由3 x +2≥0得32−>x . 函数的定义域为) ,32[∞+−.(2)211xy −=;解 由1− x 2≠0得 x ≠±1. 函数的定义域为(−∞, −1)∪(−1, 1)∪(1, +∞). (3)211xxy −−=;解 由 x ≠0且1− x2≥0得函数的定义域D =[−1, 0)∪(0, 1].(4)2 4 1 xy − =;解 由4− x 2>0得 | x |<2. 函数的定义域为(−2, 2). (5)xysin=; 解 由 x ≥0得函数的定义 D =[0, +∞). (6) y =tan( x +1);解 由 2 1π≠+ x ( k =0, ±1, ±2, ⋅ ⋅ ⋅)得函数的定义域为 12−+≠ππ kx( k =0, ±1, ±2, ⋅ ⋅ ⋅).(7) y =arcsin( x −3);解 由| x −3|≤1得函数的定义域 D =[2, 4].(8) xxy1arctan3+−=;解 由3− x ≥0且 x ≠0得函数的定义域 D =(−∞, 0)∪(0, 3). (9) y =ln( x +1);解 由 x +1>0得函数的定义域 D =(−1, +∞). (10) xey1=.解 由 x ≠0得函数的定义域 D =(−∞, 0)∪(0, +∞). 7. 下列各题中, 函数 f ( x )和 g ( x )是否相同?为什么?(1) f ( x )=lg x 2, g ( x )=2lg x ;(2) f ( x )= x , g ( x )=2 x ; (3)334)(xxxf −=,31)(−=xxxg .(4) f ( x )=1, g ( x )=sec2 x −tan2 x . 解 (1)不同. 因为定义域不同.(2)不同. 因为对应法则不同, x <0时, g ( x )=− x . (3)相同. 因为定义域、对应法则均相相同. (4)不同. 因为定义域不同. 8. 设 ⎪⎩⎪⎨⎧ ≥<= 3||3|| |sin|)(ππϕ x xx x , 求)6(πϕ, )4(πϕ, )4(πϕ−, ϕ(−2), 并作出函数 y =ϕ( x )的图形.解 21|6sin|)6(==ππϕ, 22|4sin|)4(==ππϕ, 22|)4sin(|)4(=−=−ππϕ, 0)2(=−ϕ. 9. 试证下列函数在指定区间内的单调性:(1) x xy− = 1 , (−∞, 1);(2) y = x +ln x , (0, +∞).证明 (1)对于任意的 x 1, x 2∈(−∞, 1), 有1− x 1>0, 1− x 2>0. 因为当x 1< x 2时,0 )1)(1(1121212 2 1121< −− −= − − − =− xx xx x x x xyy ,所以函数 x xy− = 1 在区间(−∞, 1)内是单调增加的.(2)对于任意的 x 1, x 2∈(0, +∞), 当 x 1< x 2时, 有0ln)()ln()ln(2121221121<+−=+−+=− x xxxxxxxyy ,所以函数 y= x +ln x 在区间(0, +∞)内是单调增加的. 10. 设 f ( x )为定义在(− l , l )内的奇函数, 若 f ( x )在(0, l )内单调增加, 证明 f ( x )在(− l , 0)内也单调增加.证明 对于∀ x 1, x 2∈(− l , 0)且 x 1< x 2, 有− x 1, − x 2∈(0, l )且− x 1>− x 2. 因为 f ( x )在(0, l )内单调增加且为奇函数, 所以f (− x 2)< f (− x 1), − f ( x 2)<− f ( x 1), f ( x 2)> f( x 1), 这就证明了对于∀ x 1, x 2∈(− l , 0), 有 f ( x 1)< f ( x 2), 所以 f ( x )在(− l , 0)内也单调增加. 11. 设下面所考虑的函数都是定义在对称区间(−l , l )上的, 证明:(1)两个偶函数的和是偶函数, 两个奇函数的和是奇函数;(2)两个偶函数的乘积是偶函数, 两个奇函数的乘积是偶函数, 偶函数与奇函数的乘积是 奇函数.证明 (1)设 F ( x )= f ( x )+ g ( x ). 如果 f ( x )和 g ( x )都是偶函数, 则F (− x )= f (− x )+ g (− x )= f ( x )+ g ( x )= F ( x ), 所以 F ( x )为偶函数, 即两个偶函数的和是偶函数. 如果 f ( x )和 g ( x )都是奇函数, 则F (− x )= f (− x )+ g (− x )=− f ( x )− g ( x )=− F ( x ), 所以 F ( x )为奇函数, 即两个奇函数的和是奇函数.(2)设 F ( x )= f ( x )⋅ g ( x ). 如果 f ( x )和 g ( x)都是偶函数, 则 F (− x )= f (− x )⋅ g (− x )= f ( x )⋅ g ( x )= F ( x ), 所以 F ( x )为偶函数, 即两个偶函数的积是偶函数. 如果 f ( x )和 g ( x )都是奇函数, 则F (− x )= f (− x )⋅ g (− x )=[− f ( x )][− g ( x )]= f ( x )⋅ g ( x )= F ( x ), 所以 F ( x )为偶函数, 即两个奇函数的积是偶函数. 如果 f ( x )是偶函数, 而 g ( x )是奇函数, 则F (− x )= f (− x )⋅ g (− x )= f ( x )[− g ( x )]=− f ( x )⋅ g ( x )=− F ( x ), 所以 F ( x )为奇函数, 即偶函数与奇函数的积是奇函数.12. 下列函数中哪些是偶函数, 哪些是奇函数, 哪些既非奇函数又非偶函数?(1) y = x 2(1− x 2); (2) y =3 x 2− x3; (3)22 1 1 xxy + −=; (4) y = x ( x −1)( x +1); (5) y =sin x −cos x +1; (6)2 xxaay −+ =.解 (1)因为 f(− x )=(− x )2[1−(− x )2]= x 2(1−x2)=f ( x ), 所以 f ( x )是偶函数.(2)由 f (− x)=3(− x )2−(− x )3=3 x 2+x 3可见 f ( x )既非奇函数又非偶函数. (3)因为 () )(11 1 )(1)( 2 2 2 2 xfxx x xxf =+−= −+−−=−,所以 f ( x )是偶函数. (4)因为 f (− x )=(− x )(− x −1)(− x +1)=− x ( x +1)( x −1)=− f ( x ), 所以 f ( x )是奇函数. (5)由 f (− x )=sin(− x )−cos(− x )+1=−sin x −cos x +1可见 f ( x )既非奇函数又非偶函数. (6)因为)(22)()()(xfaaaaxf xxxx=+=+=− −−−− , 所以 f ( x )是偶函数.13. 下列各函数中哪些是周期函数?对于周期函数, 指出其周期: (1) y =cos( x −2); (2) y =cos 4 x ; (3) y =1+sin π x ; (4) y = x cos x ; (5) y =sin2 x .解 (1)是周期函数, 周期为 l=2π. (2)是周期函数, 周期为2π=l .(3)是周期函数, 周期为 l =2. (4)不是周期函数.(5)是周期函数, 周期为 l =π. 14. 求下列函数的反函数: (1)31+= xy ; (2) xxy+ −= 1 1; (3)dcxbaxy+ +=( ad − b c ≠0); (4) y =2sin3 x ; (5) y =1+ln( x +2);(6) 122 + = x xy .解 (1)由31+= xy 得 x = y3−1, 所以31+= xy 的反函数为 y = x3−1.(2)由 x xy + −= 1 1得 yyx + −= 1 1, 所以 x xy + −= 1 1的反函数为xxy+ −= 1 1. (3)由dcxbaxy + +=得 acybdyx − +−=, 所以 dcxbaxy + +=的反函数为 acxbdxy − +−=.(4)由 y =2sin 3 x 得2arcsin31 yx=, 所以y =2sin 3 x 的反函数为2arcsin31xy=. (5)由 y =1+ln( x +2)得 x= e y−1−2, 所以 y =1+ln( x +2)的反函数为 y = e x −1−2.(6)由122+=x xy 得y yx −=1log2, 所以12 2 +=x xy 的反函数为x xy−=1log2.15. 设函数 f ( x )在数集 X 上有定义, 试证: 函数 f ( x )在 X 上有界的充分必要条件是它在 X上既有上界又有下界.证明 先证必要性. 设函数f ( x )在 X 上有界, 则存在正数 M , 使| f ( x )|≤ M , 即− M≤ f ( x )≤ M . 这 这就证明了 f ( x )在 X 上有下界− M 和上界 M . 再证充分性. 设函数 f ( x )在 X 上有下界 K 1和上界K 2, 即 K 1≤ f( x )≤ K 2 . 取 M =max{| K 1|, | K 2|}, 则 − M≤ K 1≤ f ( x )≤ K 2≤ M , 即 | f ( x)|≤ M . 这就证明了 f ( x )在 X 上有界.16. 在下列各题中, 求由所给函数复合而成的函数, 并求这函数分别对应于给定自变量值x 1和 x 2的函数值: (1) y = u 2,u =sin x , 61π=x , 32π= x ;(2) y =sin u , u =2 x , ,81π= x ,42π=x ; (3) uy =, u =1+ x 2, x 1=1, x 2= 2;(4) y = e u , u = x 2, x 1 =0, x 2=1;(5) y = u 2 , u = e x , x 1=1, x 2=−1.解 (1) y =sin2 x, 41)21(6sin221===πy ,43)23(3sin222===πy. (2) y =sin2 x , 224sin)82sin(1==⋅=ππy ,12sin)42sin(2==⋅=ππy .(3)21 xy +=, 21121=+= y , 52122=+= y .(4), , . 2 xey =1201== eyeey==212(5) y = e 2 x , y 1= e 2⋅1= e 2, y 2= e 2⋅(−1)= e −2.17. 设 f ( x )的定义域 D =[0, 1], 求下列各函数的定义域: (1) f ( x2);(2) f (sin x ); (3) f ( x + a )( a >0); (4) f ( x + a )+ f ( x − a )( a >0).解 (1)由0≤ x 2≤1得| x |≤1, 所以函数 f( x 2)的定义域为[−1, 1]. (2)由0≤sin x ≤1得2 n π≤ x ≤(2 n +1)π ( n =0, ±1, ±2⋅ ⋅ ⋅), 所以函数 f (sin x )的定义域为[2 n π, (2 n +1)π] ( n =0, ±1, ±2⋅ ⋅ ⋅) .(3)由0≤ x+ a ≤1得− a ≤ x ≤1− a , 所以函数 f ( x + a )的定义域为[− a , 1− a ]. (4)由0≤ x+ a ≤1且0≤ x − a ≤1得: 当210≤< a 时, a ≤ x ≤1− a ; 当21>a 时, 无解. 因此当210≤< a 时 函数的定义域为[ a , 1− a ], 当21>a 时函数无意义.18. 设⎪⎩⎪ ⎨⎧ >− = < = 1|| 11|| 0 1|| 1 )( x x x xf , g (x )= e x , 求 f [ g ( x )]和 g [ f ( x )], 并作出这两个函数的图形. 解⎪⎩⎪⎨⎧ >− = < = 1|| 1 1|| 0 1|| 1 )]([x x x e e e xgf , 即 ⎪⎩⎪⎨ ⎧>− = < = 0 10 0 0 1)]([x x x xgf . , 即() ⎪⎩ ⎪ ⎨ ⎧ > = < == −1|| 1|| e 1|| ][ 1 0 1 )( xe x xe exfgxf () ⎪⎩ ⎪ ⎨ ⎧ >= < = −1|| 1|| 1 1|| ][ 1 xe x xe xfg . 19. 已知水渠的横断面为等腰梯形, 斜角ϕ=40°(图1−37). 当过水断面ABCD 的面积为定 值S0时, 求湿周 L(L=AC+CD+DB)与水深h 之间的函数关系式, 并说明定义域. 图1−37解 㗸40sin hDCAb ==, 又从0)]40cot2([2 1ShBCBCh=⋅++㗸得 hhSBC ⋅−=㗸40cot0,所以hhSL 㗸 㗸 40sin40cos20−+=. 自变量 h 的取值范围应由不等式组h >0, 040cot0>⋅− hhS㗸 确定, 定义域为㗸40cot00Sh<<. 20. 收敛音机每台售价为90元, 成本为60元. 厂方为鼓励销售商大量采购, 决定凡是订购量超过100台以上的, 每多订购1台, 售价就降低1分, 但最低价为每台75元.(1)将每台的实际售价 p 表示为订购量 x 的函数;(2)将厂方所获的利润 P 表示成订购量 x 的函数; (3)某一商行订购了1000台, 厂方可获利润多少?解 (1)当0≤ x ≤100时, p=90. 令0. 01( x 0−100)=90−75, 得 x 0=1600. 因此当 x ≥1600时, p=75. 当100< x <1600时, p =90−( x −100)×0. 01=91−0. 01 x . 综合上述结果得到. ⎪⎩⎪⎨ ⎧≥ <<− ≤≤ =1600 751600100 01.091 1000 90 x xx x p(2).⎪ ⎩⎪ ⎨⎧ ≥ <<− ≤≤ =−= 160015 1600100 01.031 1000 30 )60(2 xx xxx xx xpP (3) P =31×1000−0. 01×10002=21000(元).习题1−21. 观察一般项 xn 如下的数列{ xn }的变化趋势, 写出它们的极限: (1) nnx2 1=; (2) nxnn1)1(−=; (3)212n xn +=;(4) 11 + −=n nx n ;(5) x n = n (−1) n .解 (1)当 n →∞时, nnx 2 1=→0, 021lim= ∞→ nn . (2)当 n →∞时, n xnn1)1(−=→0, 01)1(lim=− ∞→ nnn .(3)当 n →∞时, 212 nxn→ nn.(4)当 n →∞时, 1211 1 + −= + −=nn nx n11lim=+ − ∞→ n n n.(5)当 n →∞时, x n =n (−1) n没有极限. 2. 设数列{ xn }的一般项 nn xn 2cosπ=. 问=? 求出 N , 使当 n > N 时, xnnx ∞→limn 与其极限之差的绝对值小于正数ε , 当ε =0.001时, 求出数 N. 解 . 0lim=∞→nnx nn n xn1|2cos||0|≤=− π. ∀ε >0, 要使| x n −0|<ε , 只要ε< n1, 也就是ε1>n. 取]1[ε= N ,则∀ n > N , 有| xn −0|<ε . 当ε =0.001时, ]1[ ε=N =1000.3. 根据数列极限的定义证明: (1)01lim2=∞→ nn;(2) 23 12 13lim=+ + ∞→ n n n ;(3)1lim22 =+∞→nann(4). 19999.0lim=⋅⋅⋅个nn (1)分析 要使ε<=−221|01| nn , 只须 ε12>n, 即 ε1>n.证明 因为∀ε>0, ∃]1[ ε=N , 当 n > N 时, 有ε<−|01|2n, 所以01lim2=∞→ nn.(2)分析 要使ε<<+=−++nnnn 4 1)12(2 1| 2 3 12 13|, 只须ε< n4 1, 即ε41> n .证明 因为∀ε>0, ∃] 4 1[ε = N , 当 n > N 时, 有ε<−+ +| 23 12 13| n n , 所以23 12 13lim=+ + ∞→ n n n .(3)分析 要使ε<<++ =−+=−+nanann a nnan nan 222 22222)( |1|, 只须ε2an>.证明 因为∀ε>0, ∃][ 2 εaN=, 当∀n > N 时, 有ε<−+|1|22 n an, 所以1lim22 =+∞→nann. (4)分析 要使|0.99 ⋅ ⋅ ⋅ 9−1|ε<=−1 101n, 只须1 101− n <ε , 即 ε1lg1+>n .证明 因为∀ε>0, ∃]1lg1[ε += N , 当∀ n > N 时, 有|0.99 ⋅ ⋅ ⋅ 9−1|<ε , 所以. 19999.0lim=⋅⋅⋅ n 个n 4. , 证明. 并举例说明: 如果数列{|xaunn =∞→lim||||lim aunn =∞→ n|}有极限, 但数列{ xn }未必有 极限.证明 因为, 所以∀ε>0, ∃ N ∈N, 当 n > N 时, 有, 从而 aunn=∞→limε<−|| aun || u n |−| a ||≤| un − a |<ε .这就证明了|. |||lim aunn =∞→数列{| xn |}有极限, 但数列{ xn }未必有极限. 例如, 但不存在. 1|)1(|lim=−∞→n nn n)1(lim−∞→5. 设数列{ xn }有界, 又, 证明: .0lim=∞→nny 0lim=∞→ nnnyx证明 因为数列{ xn }有界, 所以存在 M , 使∀ n ∈ Z , 有| xn |≤M . 又, 所以∀ε>0, ∃N ∈ N , 当 n > N 时, 有0lim=∞→nnyMyn ε<||. 从而当n > N 时, 有εε=⋅<≤=− MMyMyxyxnnnnn|||||0|, 所以. 0lim=∞→ nnnyx6. 对于数列{ xn }若 x 2 k → a ( k →∞), x 2 k +1→ a ( k →∞), 证明: xn → a ( n →∞).证明 因为 x 2 k → a ( k →∞), x 2 k +1→ a ( k →∞), 所以∀ε>0, ∃ K 1, 当2 k >2 K 1时, 有| x 2 k − a |<ε ; ∃ K 当2 k +1>2 K 2+1时, 有|x 2 k +1− a |<ε . . 取 N =max{2 K 1, 2 K 2+1}, 只要 n > N , 就有| xn − a |<ε . 因此 x n → a ( n →∞).习题1−31. 根据函数极限的定义证明: (1); 8)13(lim3=−→ xx (2); 12)25(lim2=+→ xx (3)424lim22−=+ − −→ x x x ;(4)212 41lim321=+ − −→ x x x .证明 (1)分析 |(3 x −1)−8|=|3 x −9|=3| x −3|, 要使|(3 x −1)−8|<ε , 只须ε 31|3|<−x . 证明 因为∀ε >0,∃εδ 31=, 当0<|x −3|<δ时, 有|(3 x −1)−8|<ε , 所以. 8)13(lim3=−→xx (2)分析 |(5 x +2)−12|=|5 x −10|=5| x −2|, 要使|(5 x +2)−12|<ε ,只须ε 51|2|<−x . 证明 因为∀ε >0,∃εδ 51=, 当0<|x −2|<δ时, 有|(5 x +2)−12|<ε ,所以. 12)25(lim2=+→xx (3)分析 |)2(||2|244)4(2422−−=+=+ ++=−− + − xxx xx x x , 要使ε<−−+ −)4(242x x , 只须ε<−−|)2(|x . 证明 因为∀ε >0,∃εδ=, 当0<| x −(−2)|<δ时, 有ε<−−+ −)4(242x x , 所以424lim22−=+− −→ x x x .(4)分析 |)2 1(|2|221|2 12413−−=−−=− + − xxx x , 要使ε<− + −2 12413x x , 只须ε 21|)2 1(|<−− x.证明 因为∀ε >0,∃εδ 2 1=, 当δ<−−<|) 2 1(|0x 时, 有ε<−+ −2 12413 x x , 所以21241lim321=+ − −→ x x x . 2. 根据函数极限的定义证明: (1)2 12 1lim3 3 =+∞→ xx x; (2)0sinlim=+∞→ x xx .证明 (1)分析 333333||2 121 21 2 1 xx xxxx =−+=−+, 要使ε<−+ 212 1 33xx , 只须ε<3||21x , 即321||ε>x .证明 因为∀ε >0, ∃3 2 1ε= X , 当| x|> X 时, 有ε<−+ 2 12 13 3 x x , 所以2 12 1lim3 3 =+∞→ xx x. (2)分析xx xxx 1|sin|0sin≤=−, 要使ε<−0sin xx , 只须ε<x1, 即2 1ε> x . 证明 因为∀ε>0, ∃21 ε = X , 当 x> X 时, 有ε<−0sin xx, 所以0sinlim=+∞→ xxx .3. 当 x →2时, y= x 2→4. 问δ等于多少, 使当| x −2|<δ时, | y −4|<0. 001?解 由于 x →2, | x −2|→0, 不妨设| x −2|<1, 即1< x <3. 要使| x 2−4|=| x +2|| x −2|<5| x −2|<0. 001, 只要0002.0 5001.0|2|=<− x, 取δ=0. 0002, 则当0<| x −2|<δ时, 就有| x2−4|<0. 001. 4. 当 x →∞时, 1312 2 → + −=x xy , 问 X 等于多少, 使当| x |> X 时, | y −1|<0.01? 解 要使01.0341 3122 2 < + =− + − xx x , 只397301.04||=−>x , 397= X .5. 证明函数 f ( x )=| x | 当 x →0时极限为零.6. 求,)(xxxf= x xx ||)(=ϕ当 x →0时的左﹑右极限, 并说明它们在 x →0时的极限是否存在.证明 因为 11limlim)(lim 000 ===−−− →→→xxxx xxf , 11limlim)(lim 000 ===+++→→→xxxx xxf, , )(lim)(lim 00xfxfxx +→→=− 所以极限存在. )(lim0 xfx→因为1lim||lim)(lim 000 −=−==−−−→→→ xxx xx xxx ϕ, 1lim||lim)(lim 000 ===+++→→→ xxxxx xxx ϕ, , )(lim)(lim 00xx xx ϕϕ+→→≠− 所以极限不存在. )(lim0xx ϕ→7. 证明: 若 x →+∞及 x →−∞时, 函数 f ( x )的极限都存在且都等于 A , 则.Axfx =∞→)(lim证明 因为, , 所以∀ε>0, Axfx =−∞→)(lim Axfx =+∞→)(lim∃ X 1>0, 使当 x <− X 1时, 有| f ( x )− A |<ε ; ∃ X 2>0, 使当 x > X 2时, 有| f ( x )− A |<ε . 取 X =max{ X 1, X 2}, 则当|x |> X 时, 有| f ( x )− A |<ε , 即.Axfx =∞→)(lim8. 根据极限的定义证明: 函数 f ( x )当 x → x 0 时极限存在的充分必要条件是左极限、右极限各 自存在并且相等.证明 先证明必要性. 设 f ( x )→ A ( x → x 0), 则∀ε>0, ∃δ>0, 使当0<|x − x 0|<δ 时, 有| f ( x )− A |<ε .因此当 x 0−δ< x < x 0和 x 0< x < x 0+δ 时都有| f ( x )− A |<ε .这说明 f ( x )当 x → x 0时左右极限都存在并且都等于A .再证明充分性. 设 f ( x 0−0)= f ( x 0+0)= A, 则∀ε>0, ∃δ1>0, 使当 x 0−δ1< x < x 0时, 有| f( x )− A <ε ; ∃δ2>0, 使当 x 0< x < x 0+δ2时, 有|f ( x )− A |<ε . 取δ=min{δ1, δ2}, 则当0<| x − x 0|<δ 时, 有 x 0−δ1< x < x 0及 x 0< x < x 0+δ2 , 从而有| f ( x )− A |<ε ,即 f ( x )→ A ( x → x 0).9. 试给出 x →∞时函数极限的局部有界性的定理, 并加以证明. 解 x →∞时函数极限的局部有界性的定理: 如果 f ( x )当 x →∞时的极限存在, 则存在 X >0及M >0, 使当| x |> X 时, | f ( x )|< M .证明 设 f ( x )→ A ( x →∞), 则对于ε =1,∃ X >0, 当| x |> X 时, 有| f ( x )− A |<ε =1. 所以 | f ( x )|=| f ( x )− A + A |≤| f ( x )− A |+| A |<1+| A |.这就是说存在 X >0及 M >0, 使当| x|> X 时, | f ( x )|< M , 其中 M =1+| A |.习题1−41. 两个无穷小的商是否一定是无穷小?举例说明之. 解 不一定.例如, 当 x →0时, α( x)=2 x , β( x )=3 x 都是无穷小, 但 3 2 )( )(lim 0=→ x x x β α, )()( x x β α不是无穷小.2. 根据定义证明: (1) 3 92+ −= x xy 当 x →3时为无穷小; (2)xxy1sin=当x →0时为无穷小. 证明 (1)当 x ≠3时|3|39||2−=+ −= xx xy . 因为∀ε >0, ∃δ=ε , 当0<| x −3|<δ时, 有εδ=<−=+ −=|3|39||2 xx xy , 所以当 x →3时392+ −= x xy 为无穷小. (2)当 x ≠0时|0||1sin|||||−≤=xxxy . 因为∀ε >0, ∃δ=ε , 当0<| x −0|<δ时, 有εδ=<−≤=|0||1sin|||||x xxy, 所以当 x →0时 xxy1sin=为无穷小.3. 根据定义证明: 函数 xxy 21+=为当 x →0时的无穷大. 问 x 应满足什么条件, 能使| y |>104? 证明 分析2|| 11221||−≥+=+= xxx xy, 要使| y |> M , 只须M x >−2 ||1, 即21|| + < M x .证明 因为∀ M >0, ∃ 2 1+ = M δ, 使当0<| x −0|<δ时, 有M xx >+21,所以当 x →0时, 函数 xxy 21+=是无穷大. 取 M =104, 则21014+=δ. 当2101|0|04+<−<x时, | y|>104. 4. 求下列极限并说明理由: (1) x x n 12lim+∞→;(2)xx x − − →1 1lim20.解 (1)因为 xx x1212+=+, 而当 x →∞ 时x 1是无穷小, 所以212lim=+∞→ x x n . (2)因为x xx += − −1 1 12( x ≠1), 而当 x →0时 x 为无穷小, 所以111lim20=− − → xx x .5. 根据函数极限或无穷大定义, 填写下表:6. 函数 y = x c os x 在(−∞, +∞)内是否有界?这个函数是否为当 x →+∞ 时的无穷大?为什么?解 函数 y= x c os x 在(−∞, +∞)内无界. 这是因为∀ M >0, 在(−∞, +∞)内总能找到这样的x , 使得| y( x )|> M . 例如 y (2 k π)=2 k π cos2 k π=2 k π ( k=0, 1, 2, ⋅ ⋅ ⋅), 当 k 充分大时, 就有| y(2 k π)|> M . 当 x →+∞ 时, 函数 y = xc os x 不是无穷大. 这是因为∀ M >0, 找不到这样一个时刻 N , 使对一切大于 N 的 x , 都有| y( x )|> M . 例如 0) 22cos()22() 2 2(=++=+ππππππ kkky ( k =0, 1, 2, ⋅ ⋅ ⋅), 对任何大的 N , 当 k 充分大时, 总有 Nkx >+=22ππ, 但| y ( x )|=0< M .7. 证明: 函数 xxy 1sin1=在区间(0, 1]上无界, 但这函数不是当x →0+时的无穷大.证明 函数 xxy1sin1=在区间(0, 1]上无界. 这是因为 ∀ M >0, 在(0, 1]中总可以找到点 xk , 使 y ( x k )> M . 例如当22 1 ππ+=kxk( k =0, 1, 2, ⋅ ⋅ ⋅)时, 有22)(ππ+= kxyk ,当 k 充分大时, y ( xk )> M . 当 x →0+ 时, 函数 xxy1sin1=不是无穷大. 这是因为∀ M >0, 对所有的δ>0, 总可以找到这样的点xk , 使0< xk <δ, 但 y ( xk )< M . 例如可取 πk xk2 1=( k =0, 1, 2, ⋅ ⋅ ⋅),当 k 充分大时, x k <δ, 但 y ( x k )=2 k πsin2 k π=0< M .习题1−51. 计算下列极限: (1)35lim2 2− +→ xx x ;解 9325235lim22 2−=− +=− +→ x x x .(2)13lim2 2 3+ −→ xx x ;解 01)3(3)3( 1 3lim22 2 2 3=+−= + − → x x x .(3)112lim221−+−→ xxx x ;解02011lim)1)(1()1(lim112lim1 212 21==+ −=+−−= −+−→→→x x xx x x xx xxx .(4)xxxxxx 23 24lim 2 23 0++− →; 解2123124lim2324lim 20223 0=+ +−=+ +− →→xxx xxxxxxx .(5)hxhx h 22 0 )(lim−+ →;解xhxhxhhxxhxhxhhh2)2(lim2lim)(lim0 222 0220=+=−++=−+→→→.(6))112(lim2 xxx+−∞→;解21lim1lim2)112(lim22=+−=+−∞→∞→∞→ xxxxxxx.(7)121lim2 2 −−− ∞→xx x x ;解 21112 11lim121lim 22 2 2 = −− −=−−−∞→∞→ xxx xx x xx. (8)13lim242 −−+ ∞→xx xxx ;解 013lim242=−−+∞→ xxxxx(分子次数低于分母次数, 极限为零)或 0121 11 lim13lim 4232 242 = −− + =−−+∞→∞→ xxxx xx xx xx .(9)4586lim224+− +− → xx xx x ; 解32142412lim)4)(1()4)(2(lim4586lim442 24=−−=−−=−−−−=+−+− →→→ x x xx xx xx xx xxx .(10))12)(11(lim2 xxx −+∞→;解221)12(lim)11(lim)12)(11(lim22=×=−⋅+=−+∞→∞→∞→ xxxxxxx.(11))21 41211(limnn+⋅⋅⋅+++∞→;解 2211)21(1lim)21 41211(lim 1 = − − =+⋅⋅⋅+++ + ∞→∞→ n nnn .(12)2)1( 321lim nn n −+⋅⋅⋅+++ ∞→; 解 211lim212 )1( lim)1( 321li m22=−=− =−+⋅⋅⋅+++∞→∞→∞→ nnn nnnn nnn .(13)35)3)(2)(1(limnnnn n +++ ∞→; 解515)3)(2)(1(lim3=+++∞→ nnnnn (分子与分母的次数相同, 极限为最高次项系数之比).或51)31)(21)(11(lim515)3)(2)(1(lim3=+++=+++∞→∞→ nnnnnnn nn .(14))1311(lim31 xxx −−−→;解 112lim)1)(1()2)(1(lim)1)(1(31lim)1311(lim212122 131−=++ +−=++− +−−=++− −++=−−−→→→→ xxx xxxxx xxx xx xxxxxx .2. 计算下列极限: (1)2232)2(2lim−+→x xxx ; 解 因为01602)2(lim2322==+ − → xxx x , 所以∞=−+→223 2)2( 2limxxx x .(2)12lim 2 +∞→x xx ;解∞=+∞→12lim2xx x (因为分子次数高于分母次数(3). )12(lim3+−∞→xxx 解 (因为分子次数高于分母次数). ∞=+−∞→)12(lim3xxx 3.计算下列极限: (1)xxx1sinlim20→;解 01sinlim20=→ xxx(当 x →0时, x2是无穷小, 而x1sin 是有界变量).(2)xx x arctanlim ∞→. 解0arctan1limarctanlim=⋅=∞→∞→ xxxxxx (当 x →∞时, x1是无穷小, 而arctan x 是有界变量). 4. 证明本节定理3中的(2).习题1−61. 计算下列极限: (1)xx x ωsinlim0→; 解 ωωωωω==→→ xx xx xx sinlimsinlim00. (2)xx x 3tanlim0→; 解33cos133sinlim33tanlim00=⋅=→→ xxxxxxx .(3)x x x 5sin2sinlim 0→; 解52525sin522sinlim5sin2sinlim00=⋅⋅=→→xxxxx x xx .(4);xxx cotlim0→ 解1coslimsinlimcossinlimcotlim0000=⋅=⋅=→→→→ xxxxxxxxxxxx. (5)xxx x sin 2cos1lim 0 − →;解法一 ()2sinlim2sin2lim2cos1limsin2cos1lim2022 0200===−=− →→→→ xxx x x xxx x xxxx .解法二2sinlim2sinsin2limsin2cos1lim0 2 00===− →→→ xxxxx xxxxxx .(6)n n nx2 sin2lim∞→( x 为不等于零的常数). 解xxx x xnnnnn n=⋅=∞→∞→2 2sinlim2 sin2lim. 2. 计算下列极限: (1)xxx 10)1(lim−→;解 {}11)( 1)1()(10 10)](1[lim)](1[lim)1(lim−−− → −− →→=−+=−+=−exxxxxxxxx. (2)xxx1 0)21(lim+→;解 []22212210 10)21(lim)21(lim)21(limexxxxxxxxx =+=+=+→⋅→→.(3)x xx x 2)1(lim+∞→;解[]222)11(lim)1(lim exxxxxxx =+=+∞→∞→.(4)kx xx)11(lim−∞→( k 为正整数). 解kkx x kxxexx−−− ∞→∞→=−+=−))(()11(lim)11(lim.3. 根据函数极限的定义, 证明极限存在的准则I′. 解4. 利用极限存在准则证明: (1)111lim=+∞→ nn;证明 因为 nn11111+<+<, 而 且11lim=∞→n1)11(lim=+∞→ nn, 由极限存在准则I, 111lim=+∞→ nn.(2)()11211lim222=++⋅⋅⋅++++∞→πππ nnnnnn;证明 因为()πππππ+<++⋅⋅⋅++++<+2 22222 21211n n nnnnnnn n ,而 1lim22 =+∞→π nn n n , 1lim2 2=+∞→π n n n , 所以 ()11211lim222=++⋅⋅⋅++++∞→πππnnnnnn.(3)数列2, 22+, 222++, ⋅ ⋅ ⋅ 的极限存在; 证明 21=x ,nnxx +=+21( n=1, 2, 3, ⋅ ⋅ ⋅). 先证明数列{ xn }有界. 当 n =1时221<= x , 假定 n = k 时 x k <2, 当 n = k +1时,22221=+<+=+kkxx, 所以 xn <2( n =1, 2, 3, ⋅ ⋅ ⋅), 即数列{ xn }有界.再证明数列单调增.nnnn nnnnnnnn xx xx xx xxxxxx ++ +−−= ++ −+=−+=− +2 )1)(2( 2222 1,而 x n −2<0, xn +1>0, 所以 xn +1− xn >0, 即数列{ xn }单调增. 因为数列{ xn }单调增加有上界, 所以此数列是有极限的. (4)11lim0=+→ n xx;证明 当| x |≤1时, 则有1+ x ≤1+| x |≤(1+| x |) n ,1+ x ≥1−| x |≥(1−| x |) n , 从而有 ||11||1xxxn +≤+≤−.因为 ,1|)|1(lim|)|1(lim00=+=−→→ xxxx 根据夹逼准则, 有11lim0=+→ n xx.(5)[]11lim=+ → xx x .证明 因为[]xxx 1111≤<−, 所以[]111≤<−xxx .又因为, 根据夹逼准则, 有11lim)1(lim 00==−++ →→xx x []11lim0 =+ → xx x .习题 1−71. 当 x →0时, 2 x − x2 与 x 2−x3相比, 哪一个是高阶无穷小? 解 因为0 2 lim 2 lim202320=− −= − − →→ x xxxx xxxx,所以当 x →0时, x 2− x3是高阶无穷小, 即x 2− x 3=o (2 x − x2).2. 当 x →1时, 无穷小1− x 和(1)1− x 3, (2))1( 212 x −是否同阶?是否等价?解 (1)因为3)1(lim1 )1)(1(lim1 1lim2 1 2 13 1=++=− ++−= − − →→→xxx xxx xx xxx ,所以当 x →1时, 1− x 和1− x3是同阶的无穷小, 但不是等价无穷小.(2)因为1)1(lim2 1 1 )1(2 1lim1 2 1=+=− − →→ x x x xx,所以当 x →1时, 1− x 和)1( 2 12x −是同阶的无穷小, 而且是等价无穷小.3. 证明: 当 x →0时, 有: (1) arctan x ~ x ; (2)2~1sec2 xx−. 证明 (1)因为1tan limarctanli m00==→→y yxx yx (提示: 令 y =arctan x , 则当 x →0时, y →0), 所以当 x →0时, arctan x~ x . (2)因为()12 2sin2lim 22 sin2limcos cos1lim2 2 1 1seclim2 02 2 02020=== −=− →→→→ x x x xxx x x x xxxx ,所以当 x →0时,2~1sec2xx−. 4. 利用等价无穷小的性质, 求下列极限: (1)xx x 2 3tanlim0→; (2) m nxx x )(sin )sin(lim0→( n , m 为正整数);(3)xxx x 30sin sintanlim− →;(4))1sin1)(11(tansinlim320−+−+− → xx xx x .解(1)2323lim23tanlim00==→→ xxx x xx .(2)⎪⎩ ⎪⎨ ⎧ <∞ > = ==→→ mnmn mn xx xx m n xm n x0 1lim)(sin)sin(lim00.(3)21cos2 1 limsincoscos1limsin)1cos1(sinlimsinsintanlim2 2 0203030== −=−=− →→→→ xxx xx x x xx x xx xxxx . (4)因为 32221)2 (2~ 2 sintan2)1(costantansin xxxxxxxxx −=⋅−−=−=−( x →0),232322232 3 1~ 11)1(11 x xx xx++++ =−+(x →0), xx x xx ~sin~ 1sin1sin1sin1++ =−+(x →0),所以 331 21lim )1sin1)(11( tansinlim230320−=⋅ − = −+−+ − →→ xxx xx xx xx .5. 证明无穷小的等价关系具有下列性质: (1) α ~α (自反性);(2) 若α ~β, 则β~α(对称性); (3)若α ~β, β~γ, 则α~γ(传递性). 证明 (1)1lim=αα, 所以α ~α ; (2) 若α ~β, 则1lim= β α, 从而1lim= αβ. 因此β~α ; (3) 若α ~β, β~γ, 1limlimlim=⋅=βαγ β γ α. 因此α~γ.习题1−81. 研究下列函数的连续性, 并画出函数的图形: (1);⎩⎨ ⎧ ≤<− ≤≤= 21 210 )(2 xx xxxf (2). ⎩⎨⎧> ≤≤− = 1|| 111 )( x xx xf 解 (1)已知多项式函数是连续函数, 所以函数 f ( x )在[0, 1)和(1, 2]内是连续的.在 x =1处, 因为 f1lim)(lim2 11==−− →→xxf xx 1)2(lim)(lim11=−=++ →→xxf xx 所以, 从而函数f ( x )在 x =1处是连续的. 1)(lim1=→xfx 综上所述,函数 f( x )在[0, 2]上是连续函数. (2)只需考察函数在 x =−1和 x =1处的连续性.在 x =−1处, 因为 f (−1)=−1, , , 所以 函数在 x =−1处间断, 但右连续. )1(11lim)(lim11 −≠==−− −→−→fxf xx )1(1lim)(lim11 −=−==++ −→−→fxxf xx 在 x =1处, 因为 f (1)=1, = f (1), = f (1), 所以函数在 x =1处连续.1lim)(lim 11==−− →→xxf xx 11lim)(lim 11==++ →→xx xf综合上述讨论, 函数在(−∞, −1)和(−1, +∞)内连续, 在 x =−1处间断, 但右连续.2. 下列函数在指出的点处间断, 说明这些间断点属于哪一类, 如果是可去间断点, 则补充或改变函数的定义使它连续: (1)231 22 +− −=xx xy , x =1, x =2;(2) x xytan =, x = k ,2ππ+=kx( k =0, ±1, ±2, ⋅ ⋅ ⋅);(3),1cos2 x y = x =0;(4), x =1. ⎩⎨⎧ >− ≤− = 1 31 1xx xx y 解 (1) )1)(2()1)(1(231 22 −− −+= +− −= xx xx xx xy . 因为函数在 x =2和 x =1处无定义, 所以 x =2和 x =1是函数 的间断点. 因为∞=+−−= →→23 1limlim2 2 22 xx xy xx , 所以 x =2是函数的第二类间断点;因为2)2()1(limlim11−=− += →→ x xy xx , 所以 x =1是函数的第一类间断点, 并且是可去间断点. 在x =1处,令 y =−2, 则函数在 x =1处成为连续的. (2)函数在点 x = k π( k ∈Z)和 2ππ+=kx( k ∈Z)处无定义, 因而这些点都是函数的间断点. 因∞=→ x xkx tan limπ( k ≠0), 故 x = k π( k ≠0)是第二类间断点; 因为1tan lim0=→ x x x , 0 tan lim2= +→ x xkx ππ( k ∈Z), 所以 x =0和2ππ+=kx( k ∈Z) 是第一类间断点且是可 去间断点.令 y | x =0=1, 则函数在 x =0处成为连续的;令2ππ+= kx时, y =0, 则函数在 2ππ+=kx处成为连续的. (3)因为函数 xy1cos2=在x =0处无定义, 所以 x =0是函数 xy 1cos2=的间断点. 又因为 xx1coslim20→不存在, 所以 x =0是函数的第二类间断点.(4)因为所以 x =1是函数的第一类不可去间断 点.0)1(lim)(lim11 =−=−− →→xxf xx 2)3(lim)(lim 11=−=++ →→xxf xx 3. 讨论函数xx xxfn nn22 1 1lim)(+ −= ∞→的连续性, 若有间断点, 判别其类型. 解⎪⎩⎪⎨ ⎧ < = >− = + −= ∞→ 1||1|| 0 1|| 1 1lim)( 2 2 xx x xx x x xxf n nn . 在分段点 x =−1处, 因为, , 所以 x =−1为函数的第一类不可去间断点.1)(lim)(lim11 =−=−− −→−→ xxf xx 1lim)(lim 11 −==++ −→−→xxf xx 在分段点 x =1处, 因为, , 所以 x =1为函数的第一 类不可去间断点.1lim)(lim11==−− →→xxf xx 1)(lim)(lim 11−=−=++ →→xxf xx 4. 证明: 若函数 f ( x )在点 x 0连续且 f( x 0)≠0, 则存在 x 0的某一邻域 U ( x 0), 当 x ∈ U ( x 0)时, f( x )≠0.证明 不妨设 f ( x 0)>0. 因为f ( x )在 x 0连续, 所以, 由极限的局部保号性定理, 存在 x 0)()(lim0 0>=→xfxfxx 0的某一去心邻域, 使当 x ∈时 f ( x )>0, 从而当 x ∈ U ( x )(0xU 䡘)(0 xU 䡘0)时, f( x )>0. 这就是说, 则存 在 x 0的某一邻域U ( x 0), 当 x ∈ U ( x 0)时, f( x )≠0.5. 试分别举出具有以下性质的函数 f ( x )的例子:(1) x =0, ±1, ±2,2 1±, ⋅ ⋅ ⋅, ± n , n1±, ⋅ ⋅ ⋅是f ( x )的所有间断点, 且它们都是无穷间断点;(2) f ( x )在R 上处处不连续, 但|f ( x )|在R 上处处连续;(3) f ( x )在R 上处处有定义, 但仅在一点连续. 解 函数xxxfππcsc)csc()(+=在点 x =0, ±1, ±2,2 1±, ⋅ ⋅ ⋅, ± n ,n1±, ⋅ ⋅ ⋅处是间断的, 且这些点是函数的无穷间断点.解(2)函数在R 上处处不连续, 但|f ( x )|=1在R 上处处连续.⎩ ⎨ ⎧ ∉ ∈− = Q Q x xxf 1 1 )( 解(3)函数在R 上处处有定义, 它只在x =0处连续.⎩ ⎨ ⎧ ∉− ∈ = Q Q xx xxxf )(习题1−9 1. 求函数633)(2 23−+ −−+= xx xxxxf 的连续区间, 并求极限, 及. )(lim0xfx→)(lim3xfx−→)(lim2xfx→解)2)(3()1)(1)(3(633)(223−+ +−+= −+−−+=xx xxx xx xxxxf , 函数在(−∞, +∞)内除点 x =2和 x =−3外是连续的, 所以函数 f ( x )的连续区间为(−∞, −3)、(−3, 2)、(2, +∞). 在函数的连续点 x =0处,21)0()(lim0==→fxfx. 在函数的间断点 x =2和 x =−3处,∞= −++−+= →→)2)(3( )1)(1)(3(lim)(lim22 xx xxxxf xx ,58 2 )1)(1(lim)(lim33−=− +−= −→−→ x xxxf xx .2. 设函数 f ( x )与 g ( x )在点 x 0连续, 证明函数ϕ( x )=max{ f ( x ), g ( x )}, ψ( x )=min{ f ( x ), g ( x )} 在点 x 0也连续. 证明 已知, . )()(lim0 0xfxfxx =→)()(lim0xgxgxx=→ 可以验证] |)()(|)()([2 1)(xgxfxgxfx −++=ϕ, ] |)()(|)()([2 1)(xgxfxgxfx−−+=ψ. 因此 ] |)()(|)()([2 1)(00000 xgxfxgxfx −++=ϕ, ] |)()(|)()([2 1)(00000xgxfxgxfx −−+=ψ. 因为 ] |)()(|)()([21lim)(lim00xgxfxgxfxxxxx −++=→→ϕ]|)(lim)(lim|)(lim)(lim[ 2 10000xgxfxgxfxxxxxxxx→→→→−++= ] |)()(|)()([2 10000xgxfxgxf −++==ϕ( x 0), 所以ϕ( x )在点 x 0也连续.同理可证明ψ( x )在点 x 0也连续.3. 求下列极限: (1)52lim20+−→ xxx ;。
第八章 多元函数微分法及其应用第一节 多元函数的基本概念本节主要概念,定理,公式和重要结论理解多元函数的概念,会表达函数,会求定义域; 理解二重极限概念,注意A y x f y x y x =→),(lim),(),(00是点),(y x 以任何方式趋于),(00y x ;注意理解本节中相关概念与一元函数中相应内容的区分与联系。
习题 8-11.求下列函数表达式:(1)xy y x y x f +=),(,求),(y x xy f +解:(,)()x yxy f xy x y xyx y ++=++(2)22),(y x y x y x f -=-+,求),(y x f解:(,)()()(,)f x y x y x y x y f x y xy +-=-+⇒= 2.求下列函数的定义域,并绘出定义域的图形: (1)221)1ln(yx x y x z --+-+=解:22221011010x y x y x y x y x +->⎧+>⎧⎪-->⇒⎨⎨+<⎩⎪≥⎩(2))12ln(2+-=y x z 解:2210x y -+>(3) |)|||1ln(),(y x y x f --= 解:1||||0||||1x y x y -->⇒+< 3.求下列极限:(1)22)1,0(),(1limy x xyx y x ++-→解:22(,)(0,1)1lim1x y x xyx y →-+=+ (2)xyxy y x 42lim)0,0(),(+-→解一:(,)(0,0)(,)(0,0)(,)(0,0)18lim2lim2lim 4x y x y x y xyxy →→→=-=-=-(3)yxy x y x )sin()2(lim )0,1(),(+→(4)2222011limy x y x y x +-+→→解一:(,)(1,0)(,)(1,0)sin()sin()lim (2)lim [(2)]3x y x y xy xy x x x y xy→→+=+=解二:(,)(1,0)(,)(1,0)(,)(1,0)sin()lim (2)lim (2)lim (2)3x y x y x y xy xyx x x x y y →→→+=+=+= (4)22220011limyx y x y x +-+→→解一:2222222200000011lim lim()022x x x y y y x y y x xy x y →→→→→→==⋅=++ 解二:222222000000x x x y y y y x y →→→→→→===+ 4.证明下列函数当)0,0(),(→y x 时极限不存在:(1)2222),(yx y x y x f +-=解:222222222222001lim lim 1x x y kxx y x k x k x y x k x k →→=---==+++ (2)22222)(),(y x y x y x y x f -+= 解:224222400lim lim 1()x x y x x y x x y x y x →→===+- 2222200lim 0()x y x y x y x y →==+- 5.下列函数在何处是间断的? (1) yx z -=1解:x y =(2)x y xy z 2222-+=解:22y x =第二节 偏导数本节主要概念,定理,公式和重要结论1.偏导数:设),(y x f z =在),(00y x 的某一邻域有定义,则xy x f y x x f y x f x x ∆∆∆),(),(lim),(0000000-+=→, yy x f y y x f y x f y y ∆∆∆),(),(lim ),(0000000-+=→. ),(00y x f x 的几何意义为曲线⎩⎨⎧==0),(y y y x f z 在点)),(,,(0000y x f y x M 处的切线对x 轴的斜率.),(y x f 在任意点),(y x 处的偏导数),(y x f x 、),(y x f y 称为偏导函数,简称偏导数.求),(y x f x 时,只需把y 视为常数,对x 求导即可. 2.高阶偏导数),(y x f z =的偏导数),(),,(y x f y x f y x 的偏导数称为二阶偏导数,二阶偏导数的偏导数称为三阶偏导数,如此类推. 二阶偏导数依求导次序不同,有如下4个:xy zy x z y z x z ∂∂∂∂∂∂∂∂∂∂222222,,,,其中后两个称为混合偏导数. 若两个混合偏导数皆为连续函数,则它们相等,即可交换求偏导数的次序.高阶混合偏导数也有类似结果.习题 8-21.求下列函数的一阶偏导数:(1)xy y xz +=解:21,z z xy x x y y y∂∂=+=-+∂∂ (2)xyz arctan =解:2222222111,1()1()z y y z x y y x x x y y x x y x x∂--∂=⋅==⋅=∂+∂+++ (3))ln(22y x x z ++=解:(1z x ∂=+=∂z y ∂==∂ (4))ln(222z y x u ++=解:222222222222,,u x u y u z x x y z y x y z z x y z∂∂∂===∂++∂++∂++ (5)⎰=yzxzt dt e u 2解:22222222,,x z y z y z x z u u u ze ze ye xe x y z∂∂∂=-==-∂∂∂ (6)x y y x z cos sin = 解:2211cos cos sin sin ,cos cos sin sin z x y y x y u x x y x y x y y x x y x y y y x x y x ∂∂=+=--∂∂ (7)y x xy z ++=)1( (8))cos(ϕθϕθ-=+e u解:(1)[ln(1)],(1)[ln(1)]11x y x y z x y u x y xy xy y xy xy x x xy y xy ++∂+∂+=+++=+++∂+∂+ (8))cos(ϕθϕθ-=+e u解:[cos()sin()],[cos()sin()]u u e e θϕθϕθϕθϕθϕθϕθϕ++∂∂=---=-+-∂∂ 2.求下列函数在指定点处的一阶偏导数: (1)yxy x z arcsin)1(2-+=,求)1,0(x z 解:20(0,1)lim0x x x z x∆→∆==∆ (2)xyx e x z yarctan)1(2-+=,求)0,1(y z 解:01(1,0)lim1y y y e z y∆∆→-==-∆ 3.求下列函数的高阶偏导数:(1))ln(xy x z =, 求22x z ∂∂,22yz ∂∂,y x z∂∂∂2解:ln()1,z z x xy x y y∂∂=+=∂∂ 22222211,,z z x z x x y y x y y∂∂∂==-=∂∂∂∂ (2))2(cos 2y x z +=,求22x z ∂∂,22yz ∂∂,y x z ∂∂∂2,x y z ∂∂∂2解:2cos(2)sin(2)sin 2(2)z x y x y x y x∂=-++=-+∂4cos(2)sin(2)2sin 2(2)zx y x y x y y∂=-++=-+∂ 222222cos 2(2),8cos 2(2),4cos 2(2)z z zx y x y x y x y x y∂∂∂=-+=-+=-+∂∂∂∂ (3)⎰+=22 y x xtdt e z , 求22x z ∂∂, yx z∂∂∂2解:22222222222,2(12),4x y x x y x x y z z z xe e x e e xye x x x y+++∂∂∂=-=+-=∂∂∂∂ 4.设⎪⎩⎪⎨⎧=+≠++-=0 00),(22222233y x y x y x xy y x y x f ,求)0,0(xy f 和)0,0(yx f .解:00(0)(0,0)00(0,0)lim lim 0x x x f x f f x x ∆→∆→∆--===∆∆,00(0,)(0,0)00(0,0)lim lim 0y y y f y f f y y ∆→∆→∆--===∆∆4224222224(,),0()x x x y y f x y y x y x y +-=+≠+ 4224222224(,),0()y x x y y f x y x x y x y --=+≠+ 54000(0,)(0,0)(0,0)lim lim 1x x xy y y y f y f yf y y∆→∆→-∆-∆-∆===-∆∆54000(,0)(0,0)(0,0)lim lim 1x x yx x x x f x f x f x x ∆→∆→∆-∆-∆===∆∆5.设)11(y x e z +-=, 求证z y z y x z x222=∂∂+∂∂ 解: 1111()()2211,x y x y z z e ex x y y-+-+∂∂==∂∂ 111111()()()2222221122x yx y x y z z x y x e y e e z x y x y-+-+-+∂∂+=⋅+⋅==∂∂ 6.设222z y x r ++=, 证明r zr y r x r 2222222=∂∂+∂∂+∂∂证明: 22222223,r x r x r r x r r x x r x r x r r r ∂--∂∂-∂=====∂∂由轮换对称性, 2222222323,r r y r r z y r z r∂-∂-==∂∂ 222222222223321r r r r x y z r x y z r r r∂∂∂---++===∂∂∂ 第三节 全微分本节主要概念,定理,公式和重要结论 1.全微分的定义若函数),(y x f z =在点),(00y x 处的全增量z ∆表示成22),(y x o y B x A z ∆+∆=+∆+∆=∆ρρ则称),(y x f z =在点),(00y x 可微,并称Bdy Adx y B x A +=+∆∆为),(y x f z =在点),(00y x 的全微分,记作dz .2.可微的必要条件:若),(y x f z =在),(00y x 可微,则 (1)),(y x f 在),(00y x 处连续;(2)),(y x f 在),(00y x 处可偏导,且),(),,(0000y x f B y x f A y x ==,从而dy y x f dx y x f dz y x ),(),(0000+=.一般地,对于区域D 内可微函数, dy y x f dx y x f dz y x ),(),(+=.3.可微的充分条件:若),(y x f z =在),(00y x 的某邻域内可偏导,且偏导数在),(00y x 处连续,则),(y x f z =在),(00y x 可微。
20. 解 f (x )是有任意阶导数的, 它的5阶麦克劳公式为)(!5)0(!4)0(!3)0(!2)0()0()0()(55)5(4)4(32x o x f x f x f x f x f f x f +++'''+''+'+=)(!516!34)1(553x o x b a x b a x b a +--+++--=.要使f (x )=x -(a +b cos x )sin x 为当x →0时关于x 的5阶无穷小, 就是要使极限])(!516!341[lim )(lim552405xx o b a x b a x b a x x f x x +--+++--=→→ 存在且不为0. 为此令⎩⎨⎧=+=--0401b a b a , 解之得34=a , 31-=b . 因为当34=a , 31-=b 时,0301!516)(lim5≠=--=→b a x x f x ,所以当34=a ,31-=b 时, f (x )=x -(a +b cos x )sin x 为当x →0时关于x 的5阶无穷小.习题4-11. 求下列不定积分: (1)⎰dx x21;解 C x C x dx x dx x +-=++-==+--⎰⎰112111222.(2)⎰dx x x ;解 C x x C x dx x dx x x +=++==+⎰⎰212323521231.(3)⎰dx x 1;解 C x C x dx x dx x+=++-==+--⎰⎰21211112121.(4)⎰dx x x 32;解 C x x C x dx x dx x x +=++==+⎰⎰3313737321031371.(5)⎰dx x x 21;解 C x x C x dx xdx xx+⋅-=++-==+--⎰⎰12312511125252.(6)dx x m n ⎰;解 C x mn mC x mndx x dx x mn m m n m n mn++=++==++⎰⎰111.(7)⎰dx x 35;解 C x dx x dx x +==⎰⎰4334555.(8)⎰+-dx x x )23(2;解 C x x x dx dx x dx x dx x x ++-=+-=+-⎰⎰⎰⎰2233123)23(2322.(9)⎰gh dh 2(g 是常数);解 C ghC h gdh h gghdh +=+⋅==⎰⎰-22212122121.(10)⎰-dx x 2)2(;解 C x x x dx dx x dx x dx x x dx x ++-=+-=+-=-⎰⎰⎰⎰⎰423144)44()2(23222.(11)⎰+dx x 22)1(;解 C x x x dx dx x dx x dx x x dx x +++=++=++=+⎰⎰⎰⎰⎰3524242232512)12()1(.(12)dx x x ⎰-+)1)(1(3;解 ⎰⎰⎰⎰⎰⎰-+-=-+-=-+dx dx x dx x dx x dx x x x dx x x 23212323)1()1)(1(C x x x x +-+-=25233523231.(13)⎰-dx xx 2)1(;解 C x x x dx x x xdx x x x dx xx ++-=+-=+-=-⎰⎰⎰-2523212321212252342)2(21)1(.(14)⎰+++dx x x x 1133224; 解 C x x dx x x dx x x x ++=++=+++⎰⎰arctan )113(1133322224.(15)⎰+dx xx 221;解 ⎰⎰⎰+-=+-=+-+=+C x x dx x dx x x dx xx arctan )111(111122222.(16)⎰+dx xe x )32(;解 C x e dx x dx e dx x e x x x ++=+=+⎰⎰⎰||ln 32132)32(.(17)⎰--+dx x x )1213(22;解 ⎰⎰⎰+-=--+=--+C x x dx xdx xdx xx arcsin 2arctan 3112113)1213(2222.(18)dx xe e x x⎰--)1(;解 C x edx xe dx xe exxx x+-=-=-⎰⎰--21212)()1(.(19)⎰dx e x x 3; 解 C e C e e dx e dx e xx x xxx++=+==⎰⎰13ln 3)3ln()3()3(3.(20)⎰⋅-⋅dx xxx 32532;解 C x C x dx dx x xx xxx+--=+-=-=⋅-⋅⎰⎰)32(3ln 2ln 5232ln )32(52])32(52[32532.(21)⎰-dx x x x )tan (sec sec ;解 ⎰⎰+-=-=-C x x dx x x x dx x x x sec tan )tan sec (sec )tan (sec sec 2.(22)⎰dx x 2cos 2;解 C x x dx x dx x dx x ++=+=+=⎰⎰⎰)sin (21)cos 1(212cos 12cos 2.(23)⎰+dx x2cos 11;解 ⎰⎰+==+C x dx x dx x tan 21cos 212cos 112.(24)⎰-dx xx xsin cos 2cos ;解 ⎰⎰⎰+-=+=--=-C x x dx x x dx x x xx dx x x x cos sin )sin (cos sin cos sin cos sin cos 2cos 22.(25)⎰dx x x x 22sin cos 2cos ;解 ⎰⎰⎰+--=-=-=C x x dx xx dx xx x x dx x x xtan cot )cos 1sin 1(sin cos sin cos sin cos 2cos 22222222.(26)⎰-dx x x x )11(2;解⎰⎪⎭⎫ ⎝⎛-dx x x x 211⎰++=-=--C x x dx x x 41474543474)(.2. 一曲线通过点(e 2, 3), 且在任一点处的切线的斜率等于该点横坐标的倒数, 求该曲线的方程.解 设该曲线的方程为y =f (x ), 则由题意得 xx f y 1)(='=',所以C x dx xy +==⎰||ln 1.又因为曲线通过点(e 2, 3), 所以有=3-2=1 3=f (e 2)=ln|e 2|+C =2+C , C =3-2=1. 于是所求曲线的方程为 y =ln|x |+1.3. 一物体由静止开始运动, 经t 秒后的速度是3t 2(m/s ), 问 (1)在3秒后物体离开出发点的距离是多少?(2)物体走完360m 需要多少时间? 解 设位移函数为s =s (t ), 则s '=v =3 t 2,C t dt t s +==⎰323.因为当t =0时, s =0, 所以C =0. 因此位移函数为s =t 3. (1)在3秒后物体离开出发点的距离是s =s (3)=33=27. (2)由t 3=360, 得物体走完360m 所需的时间11.73603≈=t s. 4.证明函数x e 221, e x sh x和e xch x都是xx e xsh ch -的原函数.证明x x xx x x x x xe ee e e e e e x x e 222sh ch ==--+=----. 因为x x e e 22)21(=', 所以x e 221是x x e xsh ch -的原函数. 因为(e x sh x )'=e x sh x +e x ch x =e x (sh x +ch x )x xx x x xe e e e e e 2)22(=++-=--, 所以e x sh x 是xx e xsh ch -的原函数.因为(e x ch x )'=e x ch x +e x sh x =e x (ch x +sh x )x x x x x xe e e e e e 2)22(=-++=--, 所以e x ch x 是xx e xsh ch -的原函数.习题4-21. 在下列各式等号右端的空白处填入适当的系数, 使等式成立(例如: )74(41+=x d dx :(1) dx = d (ax ); 解dx = a1 d (ax ).(2) dx = d (7x -3); 解dx =71 d (7x -3).(3) xdx = d (x 2); 解xdx =21 d (x 2).(4) x d x = d (5x 2); 解x d x =101 d (5x 2).(5))1( 2x d xdx -=; 解)1( 212x d xdx --=.(6)x 3dx = d (3x 4-2); 解x 3dx =121 d (3x 4-2).(7)e 2x dx = d (e 2x ); 解e 2x dx = 21 d (e 2x ).(8))1( 22x x ed dxe --+=;解)1( 2 22x xed dxe --+-=.(9))23(cos 23sin x d xdx =;解)23(cos 32 23sin x d xdx -=.(10)|)|ln 5( x d xdx =; 解|)|ln 5( 51x d x dx =.(11)|)|ln 53( x d xdx -=;解 |)|ln 53( 51x d x dx --=. (12))3(arctan 912x d x dx =+;解)3(arctan 31 912x d xdx =+. (13))arctan 1( 12x d x dx -=-;解 )arctan 1( )1( 12x d xdx --=-.(14))1( 122x d x xdx -=-. 解)1( )1( 122x d xxdx --=-.2. 求下列不定积分(其中a , b , ω, ϕ均为常数): (1)⎰dt e t 5;解 C e x d e dt e x x t +==⎰⎰55551551. (2)⎰-dx x 3)23(;解 C x x d x dx x +--=---=-⎰⎰433)23(81)23()23(21)23(.(3)⎰-dx x211; 解 C x x d x dx x +--=---=-⎰⎰|21|ln 21)21(21121211.(4)⎰-332x dx ;解 C x C x x d x xdx+--=+-⋅-=---=-⎰⎰-3232313)32(21)32(2331)32()32(3132.(5)⎰-dx e ax bx)(sin ;解 C be ax ab x d e b ax d ax a dx e ax b xb xbx+--=-=-⎰⎰⎰cos 1)()(sin 1)(sin .(6)⎰dt tt sin;解 ⎰⎰+-==C t t d t dt t t cos 2sin2sin .(7)⎰⋅xdx x 210sec tan ;解 ⎰⋅xdx x 210sec tan C x x xd +==⎰1110tan 111tan tan .(8)⎰xx x dx ln ln ln ;解 C x x d x x d x x x x x dx +===⎰⎰⎰|ln ln |ln ln ln ln ln 1ln ln ln ln 1ln ln ln .(9)⎰+⋅+dx xx x 2211tan ;解 ⎰+⋅+dx xx x 2211tan 2222211cos 1sin 11tan x d xx x d x +++=++=⎰⎰C x x d x++-=++-=⎰|1cos |ln 1cos 1cos 1222.(10)⎰xx dxcos sin ;解 C x x d x dx x x x x dx +===⎰⎰⎰|tan |ln tan tan 1tan sec cos sin 2.(11)⎰-+dx ee x x 1;解 ⎰-+dx e e x x 1C e de e dx e e x x x x x+=+=+=⎰⎰arctan 11122.(12)⎰-dx xe x 2;解 .21)(212222C e x d e dx xe x x x+-=--=---⎰⎰ (13)⎰⋅dx x x )cos(2;解 C x x d x dx x x +==⋅⎰⎰)sin(21)()cos(21)cos(2222. (14)⎰-dx xx 232;解 C x C x x d x dx x x+--=+--=---=-⎰⎰-2212221223231)32(31)32()32(6132.(15)⎰-dx xx 4313;解 ⎰⎰+--=---=-C x x d x dx x x |1|ln 43)1(11431344443.(16)⎰++dt t t ))sin((cos 2ϕωϕω;解 C t t d t dt t t ++-=++-=++⎰⎰)(cos 31)cos()(cos 1)sin()(cos 322ϕωωϕωϕωωϕωϕω.(17)⎰dx xx 3cos sin ;解 C x C x x xd dx x x +=+=-=--⎰⎰2233sec 21cos 21cos cos cos sin . (18)⎰-+dx x x xx 3cos sin cos sin ;解 )sin cos (cos sin 1cos sin cos sin 33x x d xx dx x x xx +--=-+⎰⎰ C x x x x d x x +-=--=⎰-3231)cos (sin 23)cos (sin )cos (sin .(19)⎰--dx xx 2491;解 dx xx dx xdx xx ⎰⎰⎰---=--22249491491)49(49181)32()32(1121222x d x x d x --+-=⎰⎰C x x +-+=2494132arcsin 21.(20)⎰+dx xx 239;解 C x x x d xx d x x dx x x ++-=+-=+=+⎰⎰⎰)]9ln(9[21)()991(21)(9219222222223.(21)⎰-dx x 1212;解 ⎰⎰⎰+--=+-=-dx x x dx x x dx x )121121(21)12)(12(11212⎰⎰++---=)12(121221)12(121221x d x x d xC x x C x x ++-=++--=|1212|ln 221|12|ln 221|12|ln 221.(22)⎰-+dx x x )2)(1(1;解 C x x C x x dx x x dx x x ++-=++--=+--=-+⎰⎰|12|ln 31|1|ln |2|(ln 31)1121(31)2)(1(1.(23)⎰xdx 3cos ;解 C x x x d x x d x xdx +-=-==⎰⎰⎰3223sin 31sin sin )sin 1(sin cos cos .(24)⎰+dt t )(cos 2ϕω;解 C t t dt t dt t +++=++=+⎰⎰)(2sin 4121)](2cos 1[21)(cos 2ϕωωϕωϕω.(25)⎰xdx x 3cos 2sin ;解 ⎰xdx x 3cos 2sin C x x dx x x ++-=-=⎰cos 215cos 101)sin 5(sin 21. (26)⎰dx x x 2cos cos ;解 C x x dx x x dx x x ++=+=⎰⎰21sin 23sin 31)21cos 23(cos 212cos cos . (27)⎰xdx x 7sin 5sin ;解 C x x dx x x xdx x ++-=--=⎰⎰2sin 4112sin 241)2cos 12(cos 217sin 5sin .(28)⎰xdx x sec tan 3;解 x d x xdx x x xdx x sec tan tan sec tan sec tan 223⎰⎰⎰=⋅= C x x x d x +-=-=⎰sec sec 31sec )1(sec 32. (29)⎰-dx xx2arccos 2110;解 C x d x d dx xx xxx+-=-=-=-⎰⎰⎰10ln 210)arccos 2(1021arccos 10110arccos 2arccos 2arccos 22arccos 2.(30)⎰+dx x x x)1(arctan;解 C x x d x x dx x dx x x x +==+=+⎰⎰⎰2)(arctan arctan arctan 2)1(arctan 2)1(arctan .(31)⎰-221)(arcsin xx dx;解 C xx d x xx dx+-==-⎰⎰arcsin 1arcsin )(arcsin 11)(arcsin 222.(32)⎰+dx x x x 2)ln (ln 1;解 C x x x x d x x dx x x x+-==+⎰⎰ln 1)ln ()ln (1)ln (ln 122. (33)⎰dx xx xsin cos tan ln ; 解 ⎰⎰⎰=⋅=x d x x xdx x x dx x x x tan tan tan ln sec tan tan ln sin cos tan ln 2C x x d x +==⎰2)tan (ln 21tan ln tan ln .(34)⎰-dx x a x 222(a >0);解 ⎰⎰⎰⎰-===-dt t a dt t a tdt a t a t a t a x dx xa x 22cos 1sin cos cos sin sin 22222222令,C x a x a x a C t a t a +--=+-=222222arcsin 22sin 421.(35)⎰-12x x dx ;解 C xC t dt tdt t t t tx x x dx +=+==⋅⋅=-⎰⎰⎰1arccos tan sec tan sec 1sec 12令.或 C x x d x dx xx x x dx +=--=-=-⎰⎰⎰1arccos 111111112222.(36)⎰+32)1(x dx ;解 C t tdt t d t tx x dx +==+=+⎰⎰⎰sin cos tan )1(tan 1tan )1(3232令C x x ++=12.(37)⎰-dx xx 92; 解 ⎰⎰⎰=-=-tdt t d tt t x dx x x 222tan 3)sec 3(sec 39sec 9sec 39令C x x C t t dt t+--=+-=-=⎰3arccos 393tan 3)1cos 1(322.(38)⎰+xdx 21;解 C x x C t t dt t tdt t tx x dx ++-=++-=+-=+=+⎰⎰⎰)21ln(2)1ln()111(11221令.(39)⎰-+211x dx ;解 ⎰⎰⎰⎰-=+-=+=-+dt t dt t tdt t tx x dx )2sec211()cos 111(cos cos 11sin 1122令C xxx C t t t C t t +-+-=++-=+-=211arcsin cos 1sin 2tan .(40)⎰-+21x x dx .解 ⎰⎰⎰+-++=⋅+=-+dt tt tt t t tdt t t tx x x dx cos sin sin cos sin cos 21cos cos sin 1sin 12令 C t t t t t d t t dt +++=+++=⎰⎰|cos sin |ln 2121)cos (sin cos sin 12121C x x x ++-+=|1|ln 21arcsin 212.习题4-3求下列不定积分: 1. ⎰xdx x sin ;解 C x x x xdx x x x xd xdx x ++-=+-=-=⎰⎰⎰sin cos cos cos cos sin . 2. ⎰xdx ln ;解 C x x x dx x x x xd x x xdx +-=-=-=⎰⎰⎰ln ln ln ln ln . 3. ⎰xdx arcsin ;解 ⎰⎰-=x xd x x xdx arcsin arcsin arcsin⎰--=dx xx x x 21arcsinC x x x +-+=21arcsin .4. ⎰-dx xe x ;解 ⎰⎰⎰----+-=-=dx e xe xde dx xe x x x xC x e C e xe x x x ++-=+--=---)1(.5. ⎰xdx x ln 2;解 ⎰⎰⎰-==x d x x x xdx xdx x ln 31ln 31ln 31ln 3332C x x x dx x x x +-=-=⎰332391ln 3131ln 31.6. ⎰-xdx e x cos ; 解 因为⎰⎰⎰⎰------+=-==xdx e x e xde x e x d e xdx e x x x x x x sin sin sin sin sin cos ⎰⎰-----+-=-=x x x x x xde x e x e x d e x e cos cos sin cos sin⎰-----=xdx e x e x e x x x cos cos sin ,所以 C x x e C x e x e x d x e x x x x +-=+-=----⎰)c o s (s i n 21)c o s s i n (21c o s .7. ⎰-dx x e x 2sin 2; 解 因为⎰⎰⎰-----==x x x x de x x e x d e dx x e 22222cos 22cos 22cos 22sin⎰⎰----+=+=2sin 82cos 22cos 42cos 22222xd e x e dx x e x e x x x x⎰----+=xx x de xx e x e 2222sin 82sin 82cos 2⎰---++=dx xe x e x e x x x 2sin 162sin 82cos 2222,所以 C x x e dx x e x x ++-=--⎰)2sin 42(cos 1722sin 22.8. ⎰dx x x 2cos ;解 C x x x dx x x x x xd dx x x ++=-==⎰⎰⎰2cos 42sin 22sin 22sin 22sin 22cos .9. ⎰xdx x arctan 2;解 ⎰⎰⎰+⋅-==dx x x x x xdx xdx x 233321131arctan 31arctan 31arctan⎰⎰+--=+-=2232223)111(61arctan 31161arctan 31dx xx x dx x x x xC x x x x +++-=)1ln(6161arctan 31223.10. ⎰xdx x 2tan解 ⎰⎰⎰⎰⎰+-=-=-=x xd x xdx xdx x dx x x xdx x tan 21sec )1(sec tan 2222C x x x x xdx x x x +++-=-+-=⎰|cos |ln tan 21tan tan 2122.11. ⎰xdx x cos 2;解 ⎰⎰⎰⎰+=⋅-==x xd x x xdx x x x x d x xdx x cos 2sin 2sin sin sin cos 2222C x x x x x xdx x x x x +-+=-+=⎰sin 2cos 2sin cos 2cos 2sin 22.12. ⎰-dt te t 2;解 ⎰⎰⎰----+-=-=dt e te tde dt te t t t t 2222212121C t e C e te t t t ++-=+--=---)21(214121222.13. ⎰xdx 2ln ;解 ⎰⎰⎰-=⋅⋅-=xdx x x dx x x x x x xdx ln 2ln 1ln 2ln ln 222C x x x x x dx xx x x x x ++-=⋅+-=⎰2ln 2ln 12ln 2ln 22.14. ⎰xdx x x cos sin ;解 ⎰⎰⎰⎰+-=-==xdx x x x xd xdx x xdx x x 2cos 412cos 412cos 412sin 21cos sinC x x x ++-=2sin 812cos 41.15. ⎰dx x x 2cos 22;解 ⎰⎰⎰⎰-+=+=+=xdx x x x x x d x x dx x x dx x x sin sin 2161sin 2161)cos 1(212cos 2323222⎰⎰-++=++=xdx x x x x x x xd x x x cos cos sin 2161cos sin 21612323C x x x x x x +-++=sin cos sin 216123.16. ⎰-dx x x )1ln(;解 ⎰⎰⎰-⋅--=-=-dx x x x x dx x dx x x 1121)1ln(21)1ln(21)1ln(222⎰-⋅++--=dx x x x x )111(21)1ln(212C x x x x x +-----=)1ln(212141)1ln(2122.17. ⎰-xdx x 2sin )1(2;解 ⎰⎰⎰⋅+--=--=-xdx x x x x d x xdx x 22cos 212cos )1(212cos )1(212sin )1(222⎰+--=x xd x x 2sin 212cos )1(212 ⎰-+--=xdx x x x x 2sin 212sin 212cos )1(212C x x x x x +++--=2cos 412sin 212cos )1(212.18. ⎰dx x x 23ln ;解 ⎰⎰⎰⎰+-=+-=-=xdx xx x x d x x x x xd dx x x22333323ln 13ln 1ln 1ln 11ln ln⎰⎰+--=--=x d xx x x x x xd x x 22323ln 13ln 3ln 11ln 3ln 1 ⎰⎰---=+--=x xd x x x x dx x x x x x x 1ln 6ln 3ln 1ln 16ln 3ln 123223 ⎰+---=dx x x x x x x x 22316ln 6ln 3ln 1C xx x x x x x +----=6ln 6ln 3ln 123.19. ⎰dx e x3;解 ⎰⎰⎰==tt xde t dt e t t x dx e 223333令⎰⎰-=-=t t t t tde e t dt te e t 636322⎰+-=dt e te e t t t t 6632C e te e t t t t ++-=6632C x x ex ++-=)22(33323.20. ⎰xdx ln cos ; 解 因为⎰⎰⋅⋅+=dx x x x x x xdx 1ln sin ln cos ln cosdx x x x x x x x xdx x x 1ln cos ln sin ln cos ln sin ln cos ⋅⋅-+=+=⎰⎰⎰-+=xdx x x x x ln cos ln sin ln cos ,所以 C x x xx d x ++=⎰)ln sin ln (cos 2ln cos .21. ⎰dx x 2)(arcsin ;解 ⎰⎰-⋅⋅-=dx xx x x x dx x 22211arcsin 2)(arcsin )(arcsin⎰-+=221arcsin 2)(arcsin x xd x x⎰--+=dx x x x x 2arcsin 12)(arcsin 22C x x x x x +--+=2arcsin 12)(arcsin 22.22. ⎰xdx e x 2sin .解 ⎰⎰⎰-=-=xdx e e dx x e xdx e x x x x 2cos 2121)2cos 1(21sin 2,而 dx x e x e xde xdx e x x x x ⎰⎰⎰+==2sin 22cos 2cos 2cos⎰⎰-+=+=xdx e x e x e de x x e x x x x x 2cos 42sin 22cos 2sin 22cos ,C x x e xdx e x x ++=⎰)2sin 22(cos 512cos , 所以 C x x e e x d x e x x x ++-=⎰)2s i n 22(c o s 10121sin 2.习题4-4 求下列不定积分: 1. dx x x ⎰+33;解 dx x x x x dx x x dx x x ⎰⎰⎰+-+-+=+-+=+327)93)(3(327273233⎰⎰+-+-=dx x dx x x 3127)93(2C x x x x ++-+-=|3|ln 279233123.2. ⎰-++dx x x x 103322; 解 C x x x x d x x dx x x x +-+=-+-+=-++⎰⎰|103|ln )103(1031103322222.3. ⎰--+dx xx x x 3458;解 ⎰⎰⎰--++++=--+dx x x x x dx x x dx x x x x 22458)1(8⎰⎰⎰--+-+++=dx x dx x dx x x x x 131******** C x x x x x x +--+-+++=|1|ln 3|1|ln 4||ln 8213123.4. ⎰+dx x 133; 解 ⎰⎰⎰+-⋅++--⋅-+=+-+-++=+dx x x x x x x dx x x x x dx x )11231122111()1211(132223⎰⎰-+-++-+--+=)21()23()21(123)1(1121|1|ln 2222x d x x x d x x xC x x x x +-++-+=312arctan31|1|ln2.5. ⎰+++)3)(2)(1(x x x xdx;解 dx x x x x x x xdx )331124(21)3)(2)(1(+-+-+=+++⎰⎰C x x x ++-+-+=|)1|ln |3|ln 3|2|(ln 21.6. ⎰-++dx x x x )1()1(122;解⎰⎰+--⋅++⋅=-++dx x x x dx x x x ])1(111211121[)1()1(1222C x x x +++-+-=11|1|ln 21|1|ln 21 C x x +++-=11|1|ln 212.7.dx x x )1(12+⎰;解 C x x dx x x x dx x x ++-=+-=+⎰⎰)1ln(21||ln )11()1(1222. 8. ⎰++))(1(22x x x dx ;解 ⎰⎰+⋅-++⋅-=++dx x x x x x x x dx )112111211())(1(⎰++-+-=dx x x x x 1121|1|ln 21||ln 2⎰⎰+-+-+-=dx x dx x x x x 11211241|1|ln 21||lnC x x x x +-+-+-=arctan 21)1ln(41|1|ln 21||ln 2.9.⎰+++)1)(1(22x x x dx;解 dx x xx x x x x x dx )111()1)(1(⎰⎰+-+++=+++)1ln(21112111221222+-++++++=⎰⎰x dx x x x x x ⎰++++-++=dx x x x x x 1121)1ln(21|1|ln 2122C x x x x ++++-++=312arctan 33)1ln(21|1|ln 2122.10. ⎰+dx x 114; 解 dx x x x x dx x ⎰⎰+-++=+)12)(12(111224⎰⎰+-+-++++=dx x x x dx x x x 12214212214222 ⎰⎰+----++++=dx x x x dx x x x 1222)22(21421222)22(214222)1212(41]12)12(12)12([82222222⎰⎰⎰⎰+-+++++-+--++++=x x dx x x dx x x x x d x x x x dC x x x x x x +-++++-++=)12arctan(42)12arctan(42|1212|ln 8222.11. ⎰++--dx x x x 222)1(2; 解⎰⎰⎰++-++-=++--dx x x dx x x x dx x x x 11)1(1)1(2222222⎰⎰⎰++-++-+++=dx x x dx x x dx x x x 11)1(123)1(122122222 ⎰⎰++-++-++⋅-=dx x x dx x x x x 11)1(12311212222,因为)312arctan(32)312()312(11321122+=+++=++⎰⎰x x d x dx x x ,而 ⎰⎰++=++dx x dx x x 22222])23()21[(1)1(1由递推公式⎰⎰+-++-=+])()32()([)1(21)(a x dx n a x x n a a x dx ,得 ⎰⎰++=++dx x dx x x 22222])23()21[(1)1(1312arctan 323211231)1121()23(212222+⋅++++⋅=++++++=⎰x x x x x x dx x x x ,所以 ⎰++--dx x x x 222)1(2C x x x x x x x ++-+-+++-++⋅-=312a r c t a n 32312a r c t a n 3211221112122 C x x x x ++-+++-=312arctan34112.12. ⎰+xdx 2sin 3;解 ⎰⎰⎰+=-=+x d x dx x x dx tan 3tan 41cos 41sin 3222C x x d x +=+=⎰3tan 2arctan321tan )23(tan 14122.13. ⎰+dx x cos 31;解⎰⎰⎰+=+=+)2sec 1(2cos )2(2cos 121cos 31222xx x d x dx dx x ⎰+=+=C x x x d 22tanarctan 212tan 22tan2.或 ⎰⎰+⋅++=+du u u u x u dxx 221212312tancos 31令 C xC u du u +=+=+=⎰22tan arctan212arctan21)2(122.14. ⎰+dx x sin 21;解⎰⎰⎰+=+=+)2cot 2(csc 2sin )2(2cos 2sin 22sin 2122x x x x d x x dx dx x⎰⎰+++-=++-=222)23()212(cot )212(cot 12cot 2cot )2(cot x x d x x x dC x++-=312cot 2arctan 32.或 ⎰⎰+⋅++=+du u u u xu dx x221212212tansin 21令 ⎰⎰++=++=du u du u u 222)23()21(111C xC u ++=++=312tan 2arctan 32312arctan 32.15. ⎰++xx dxcos sin 1;解⎰⎰⎰+=+=+=++C x x x d x x dx x x dx |2tan |ln 2tan1)2(tan )2tan 1(2cos 21cos sin 12.或 ⎰⎰+⋅+-+++=++du uu uu ux u xx dx2222121112112tancos sin 1令C x C u du u ++=++=+=⎰|12tan |ln |1|ln 11. 16. ⎰+-5cos sin 2x x dx;解 ⎰⎰⎰++=+⋅++--+=+-du u u du u u u u ux u x x dx2231125111412tan5cos sin 222222令C xC u du u ++=++=++=⎰512tan 3arctan 51513arctan 51)35()31(13122.或 ⎰⎰+⋅++--+=+-du u u u u ux u x x dx2222125111412tan5cos sin 2令⎰⎰++=++=du u du u u 222)35()31(1312231C xC u ++=++=512tan 3arctan 51513arctan 51.17. ⎰++dx x 3111; 解 ⎰⎰⎰++-=⋅+=+=++du uu du u u ux dx x )111(33111111233令C x x x C u u u +++++-+=+++-=)11ln(313)1(23|1|ln 332333322.18. ⎰++dx x x 11)(3;解 C x x x dx x x dx x x ++-=+-=++⎰⎰232233221]1)[(11)(.19. ⎰++-+dx x x 1111;解 ⎰⎰⎰++-=⋅+-=+++-+du u u udu u u u x dx x x )122(221111111令 C u u u +++-=|)1|ln 2221(22C x x x +++++-+=)11ln(414)1(.20. ⎰+4x x dx ;解 ⎰⎰⋅+=+du uu u u x xx dx 324441令C u u u du uu +++-=++-=⎰|1|ln 442)111(42C x x x +++-=)1ln(4244.21. ⎰+-xdx x x 11; 解令u xx =+-11, 则2211uu x +-=, du u u dx 22)1(4+-=,⎰⎰⎰++-=+-⋅-+⋅=+-du u u du u u u u u x dx x x )1111(2)1(41111222222 C u u u +++-=arctan 2|11|lnC xxx x x x ++-+++-+--=11arctan2|1111|ln .22. ⎰-+342)1()1(x x dx.解 令u x x =-+311, 则1133-+=u u x ,232)1(6--=u u dx , 代入得C x x C u du x x dx+-+-=+-=-=-+⎰⎰334211232323)1()1(.总习题四求下列不定积分(其中a , b 为常数): 1. ⎰--x x e e dx ;解 C e e de e dx e e ee dxx x xx x xxx ++-=---=-⎰⎰⎰-|11|ln 2111122.2. dx x x ⎰-3)1(;解 C x x dx x dx x dx x x +-⋅+-=----=-⎰⎰⎰2323)1(12111)1(1)1(1)1(.3. ⎰-dx x a x 662(a >0);解C a x a x a x d x a dx x a x +-+=-=-⎰⎰||ln 61)()()(1313333332323662.4. ⎰++dx xx x sin cos 1;解 C x x x x d x x dx x x x ++=++=++⎰⎰|sin |ln )sin (sin 1sin cos 1.5. ⎰dx xx ln ln ; 解 C x x x dx xx x x x x xd dx x x +-⋅=⋅⋅-⋅==⎰⎰⎰ln ln ln ln 1ln 1ln ln ln ln ln ln ln ln ln .6. ⎰+dx xxx 4sin 1cos sin ; 解 C x x d x x d xx dx x x x +=+=+=+⎰⎰⎰222244sin arctan 21)(sin )(sin 1121sin sin 1sin sin 1cos sin . 7. ⎰xdx 4tan ; 解 xxd x x d xx xdx tan sin tan tan cos sin tan22244⎰⎰⎰==⎰⎰++-=+=x d x x x d x xtan )1tan 11(tan tan 1tan tan 2224c x x x c x x x ++-=++-=tan tan 31tan arctan tan tan 3133.8. ⎰xdx x x 3sin 2sin sin ;解 ⎰⎰--=xdx x x xdx x x 3sin )cos 3(cos 213sin 2sin sin⎰⎰+-=xdx x xdx x 3sin cos 213sin 3cos 21 ⎰⎰++=dx x x x xd )2sin 4(sin 41)3(cos 3cos 61C x x x +--=2cos 814cos 1613cos 1212.9. ⎰+)4(6x x dx ; 解C x x dx x x x x x dx++-=+-=+⎰⎰)4ln(241||ln 41)41(41)4(6656.10. )0(>-+⎰a dx xa xa ;解 ⎰⎰⎰⎰-+-=-+=-+dx xa xdx x a a du x a x a dx x a x a 2222221C x a axa +--=22arcsin .11. ⎰+)1(x x dx ;解 C x x C x x x d x x x dx +++=+++=+=+⎰⎰)1ln(2))(1ln(2)(112)1(22.12. ⎰xdx x 2cos ;解 ⎰⎰⎰+=+=x xd x dx x x x xdx x 2sin 4141)2cos (21cos 22C x x x x xdx x x x +++=-+=⎰2cos 812sin 41412sin 412sin 414122.13. ⎰bxdx e ax cos ; 解 因为dx bx e a b bx e a bxde a bxdx e ax ax ax ax ⎰⎰⎰+==sin cos 1cos 1cosdx bx e ab bx e a b bx e a de bx a b bx e a ax ax axax ax ⎰⎰-+=+=cos sin cos 1sin cos 12222,所以 Cbx e a b bx e a b a a bxdx e axax ax+++=⎰)sin cos 1(cos 2222C bx b bx a e ba ax +++=)sin cos (122.14. ⎰+xe dx 1;解 ⎰⎰⎰⎰+--=-=-=++du u u du u u d u u e edxx x )1111(112)1ln(11122令.c e e c u u x x +++-+=++-=1111ln |11|ln .15. ⎰-122x xdx ;解 C t tdt tdt t t t tx x xdx+==⋅⋅=-⎰⎰⎰sin cos tan sec tan sec 1sec 1222令C xx +-=12.16. ⎰-2/522)(x a dx ;解 ⎰⎰⋅=-tdt a t a ta x x a dx cos )cos (1sin )(52/522令⎰⎰+==t d t a dt ta tan )1(tan1cos 112444C t a t a ++=tan 1tan 31434C xa x ax a x a+-+-⋅=224322341)(31.17. ⎰+241x xdx ;解 tdt t t tx xxdx2424secsec tan 1tan 1⋅⋅=+⎰⎰令⎰⎰==t d ttdt t t sin sin cos sin cos 4243 C t t t d t t ++-=-=⎰sin 1sin 31sin )sin 1sin 1(324C xx xx ++++-=233213)1(.18. ⎰dx x x sin ;解 ⎰⎰⎰=⋅=tdt t tdt t t t x dx x x sin 22sin sin 2令 ⎰⎰⋅+-=-=tdt t t t t d t 2cos 2cos 2cos 222 ⎰⎰-+-=+-=tdt t t t t t td t t sin 4sin 4cos 2sin 4cos 222 C t t t t t +++-=cos 4sin 4cos 22C x x x x x +++-=cos 4sin 4cos 2.19. ⎰+dx x )1ln(2;解 ⎰⎰+⋅-+=+dx x x x x x dx x 22212)1ln()1ln(⎰+--+=dx xx x )111(2)1ln(22C x x x x ++-+=arctan 22)1ln(2.20. ⎰dx x x32cos sin ;解x d x x x x d x x dx x xtan )1tan tan (tan tan cos sin cos sin 2232⎰⎰⎰+-==C x x ++-=)1ln(tan 21tan 2122.21. ⎰dx x arctan ;解 x d xx x x dx x ⎰⎰+⋅-=11arctan arctan x d xx x ⎰+⋅--=)111(arctan C x x x x ++-=arctan arctanC x x x +-+=arctan )1(.22. dx xx⎰+sin cos 1;解 C x x x d x dx x x xdx x x +-===+⎰⎰⎰|2cot 2csc |ln 222csc 22cos2sin 22cos2sin cos 1.23. ⎰+dx x x 283)1(;解C x x x dx x dx x x +++⋅=+=+⎰⎰]arctan 1[2141)1(141)1(484428283.提示: 已知递推公式⎰⎰--+-++-=+])()32()([)1(21)(122122222n n n a x dx n a x x n a a x dx .24. ⎰++dx x x x 234811; 解⎰⎰⎰++=++=++dt t t t t x dx x x x dx x x x 234123412322444884811令 ⎰⎰+++-=+++-=dt t t dt t t t )11241(41)23231(412 C t t t ++++-=|1|ln 41|2|ln 41C x x x ++++=21ln 414444.25. ⎰-416xdx ; 解 ⎰⎰⎰++-=+-=-dx x x dx x x x dx )4141(81)4)(4(11622224 C xx x ++-+=)2arctan 21|22|ln 41(81C x x x ++-+=2arctan 161|22|ln 321.26. dx x x ⎰+sin 1sin ; 解 ⎰⎰⎰-=--=+dx x xx dx x x x dx x x 222cos sin sin sin 1)sin 1(sin sin 1sinC x x x dx xx x ++-=+-=⎰tan sec )cos 11cos sin (22.27. dx xx x ⎰++cos 1sin ; 解 ⎰⎰⎰⎰+=+=++dx x xdx xx dx xx x dx x x x 2cos sin 212cos 212cos2sin cos 1sin 222 ⎰⎰+=dx x x xd 2tan 2tanC xx dx x dx x x x +=+-=⎰⎰2tan 2tan 2tan 2tan .28. ⎰-dx x x x x ex23sin cos sin cos ;解 ⎰⎰⎰⋅⋅-⋅⋅=-xdx x e xdx e x dx xx x x e x x x sec tan cos cos sin cos sin sin 23sin⎰⎰-=x d e x d xe x x sec sin sin sin ⎰⎰+⋅-=x x x xde e x xde sin sin sin sec sec ⎰⎰⋅⋅+⋅--=xdx e x e x dx e xe x x x x cos sec sec sin sin sin sinC e x xe x x +⋅-=sin sin sec .29. ⎰+dx x x x x)(33;解 dt t t dt t t t t t t x dx x x x x)111(66)()(52362633+-=⋅+=+⎰⎰⎰令C x x C t t ++=++=66)1(ln 1ln6.30. ⎰+2)1(x e dx ; 解 ⎰⎰⎰---=-⋅=++dt t t t dt t tt e e dxx x )1111(1111)1(222令 C tt t ++--=1ln )1ln(C ee x xx ++++-=11)1ln(.31. ⎰+-+dx e e e e x x xx 1243;解 )()(1111222243x x x x x x xx x x xx e e d e e dx e e e e dx e e e e ------+=+-+=+-+⎰⎰⎰ C e e x x +-=-)arctan(C x +=)sh 2arctan(.32. ⎰+dx e xe x x2)1(; 解 ⎰⎰⎰+-=++=+11)1()1()1(22x x x x xe xd e d e x dx e xe⎰⎰+++-=+++-=xx x x x x de e e e x dx e e x )1(11111⎰+-++-=x x xxde e ee x )111(1C e e e x x x x ++-++-=)1ln(ln 1C e e xe x x x ++-+=)1ln(1.33. ⎰++dx x x )1(ln 22;解 dx x x x x x x dx x x ])1([ln )1(ln )1(ln 222222'++⋅-++=++⎰⎰⎰+⋅++-++=dx xx x x x x x 22221)1ln(2)1(ln⎰+++-++=22221)1ln(2)1(ln x d x x x x x⎰'++⋅+++++-++=dx x x x x x x x x x ])1[ln(12)1ln(12)1(ln 222222 ⎰++++-++=dx x x x x x x 2)1ln(12)1(ln 2222C x x x x x x x +++++-++=2)1ln(12)1(ln 2222.34. ⎰+dx x x 2/32)1(ln ;解 因为 ⎰⎰⎰++=+==⋅=+C xx C t tdt tdt ttx dxx 2232/321sin cos sec sec 1tan )1(1令,所以 ⎰⎰⎰⋅+-+=+=+dx x x xx x x x x xd dx x x 111ln )1(ln )1(ln 2222/32C x x xx x +++-+=)1ln(1ln 22.35. ⎰-xdx x arcsin 12;解 ⎰⎰⎰+=⋅=-dt t t t tdt t t x xdx x )2cos (21cos sin arcsin 122令 ⎰⎰-+=+=tdt t t t t t t 2sin 412sin 41412sin 414122C t t t t +++=2cos 812sin 41412122241arcsin 121)(arcsin 41C x x x x x +--+=.36. ⎰-dx xx x 231arccos ;解 ⎰⎰⎰--=-⋅=-2222231arccos 1arccos 1arccos x xd x dx xx x x dx xx x⎰'⋅-+--=dx x x x x x x )arccos (1arccos 12222⎰-⋅-⋅-+--=dx xx x x x x x x )11arccos 2(1arccos 122222⎰⎰-⋅-+--=dx x xdx x x x x x 2222arccos 12arccos 1⎰-----=32322)1(arccos 3231arccos 1x xd x x x x⎰-------=dx x x x x x x x )1(32arccos )1(3231arccos 1232322C x x x x x x x x ++------=3323229232arccos )1(3231arccos 1C x x x x x ++-+--=)6(91arccos )1(131222.37. ⎰+dx xx sin 1cot ; 解 ⎰⎰⎰+-=+=+x d xx x d x x dx x x sin )sin 11sin 1(sin )sin 1(sin 1sin 1cot=ln|sin x |-ln|1+sin x |+C =-ln|csc x +1|+C . 38. ⎰xx dx cos sin 3; 解 ⎰⎰⎰⎰⋅-=-=-=x d x x x d x x x x d x x x x dx cot cos 1cot cot cos sin cos cot cos sin 1cos sin 223122sin 21|tan |ln cot 21|cot |ln cot )cot cot 1(C x x C x x x d x x +-=+--=+-=⎰.39.⎰+x x dxsin )cos 2(; 解 令2tan x u =, 则⎰⎰⎰++=+⋅++-+=+du uu u du u u uu u x x dx)3(11212)112(1sin )cos 2(222222。
线性代数同济大学第五版课后习题答案第五版线性代数同济版答案第一章行列式1用对角法则计算下列三阶行列式(1)2011年?4?1?183解决办法2011年?4?1?1832(4)3 0(1)(1)1 1 8 0 1 3 2(1)8 1(4)(1)24 8 16 4 4(2)abcbcacab解决办法abcbcacabacb bac cba bbb aaa ccc 3abc a3 b3 c3111abc222abc (3)111abc222abc解决方案bc2 ca2 ab2 ac2 ba2 cb2(a)b)c)c)a)xyx?yyx?yxx?yxy(4)解决办法x(x y)y yx(x y)(x y)yx y3(x y)3 x3 3xy(x y)y3 x2 y x3 y3 x32(x3 y3)根据自然数从小到大的标准顺序,找出下列排列的逆序数xyx?yyx?yxx?yxy(1)1 2 3 4解的逆序数是0 (2)4 1 3 2反向订单号是4 41 43 42 32 (3)3 4 2 1逆解的数目是5 3 2 3 1 4 2 4 1,2 1 (4)2 4 1 3逆解的个数是3 2 1 4 1 4 3 (5)1 3 (2n 1) 2 4 (2n)n(n )?1)解的逆序数为23 2 (1)5 2 5 4(2)7 2 7 4 7 6(3)(2n 1)2 (2n 1)4 (2n 1)6 (2n 1)(2n 2) (n(6)13(2 n1)(2n)(2 N2)2解的逆序数是n(n 1) 3 2(1)5 2 5 4 (2)(2 n1)2(2 n1)4(2 n1)6(2 n1)(2 N2)(n42(1)6 2 6 4(2)(2n)2 (2n)4 (2n)6 (2n)(2n 2) (n 1) 3将包含因子a11a23的项写入四阶行列式以求解包含因子a11a23的项的一般形式是(1)ta11a23a3ra4s当rs是2和4的排列时,有两个这样的排列,即24和42,因此包含因子a11a23的项分别是(1)ta 11a 23 a 32 a 44(1)1a 11 a 23 a 32 a 44 a 11 a 23 a 32 a 44)11 (1)ta 11 a 23 a 34 a 42(1)2 a 11 a 23 a 34 a 42 a 11 a 23 a 34 a 42 4计算下列行列式41100 (1)1251202112514207 20214c2?c342??????10c?7c10307441100解决方案?12302021?1024?1?10?14岁?122?(?1)4?30103?144?110c2?c39910?12岁?2??????00吗?2?010314c1?12c31717142315 (2)1?120423611222315解决方案1?12042361c4?c221?????312521?12042360r4?r222?????310221?12142340200r4?r123?????101?120423002?000(3)?阿巴卡巴德?cddebfcf?仰角指示器解决办法?阿巴卡。
高等数学教材第五版答案首先,我将按照教材的章节顺序,为你提供高等数学教材第五版的答案。
请注意,由于篇幅限制,我无法提供完整的答案,但会尽量为你提供一些重要的问题和答案示例。
第一章:函数与极限1.1 函数概念与基本性质- 问题:给出函数f(x) = 3x + 2,求f(2)的值。
- 答案:将x = 2代入函数中,得到f(2) = 3(2) + 2 = 8。
1.2 一元函数的极限- 问题:求函数f(x) = (x^2 - 1)/(x - 1)在x = 1处的极限。
- 答案:由于在x = 1时,分母为0,可以通过简单的化简来求解。
将x = 1代入函数中,得到f(1) = (1^2 - 1)/(1 - 1) = 0/0。
通过因式分解或洛必达法则等方法,最终可以得到极限的结果。
第二章:导数与微分2.1 导数的概念与计算- 问题:求函数f(x) = x^3 - 4x^2 + 3x - 2的导数。
- 答案:根据导数的定义,对每一项进行求导,最终得到f'(x) =3x^2 - 8x + 3。
2.2 函数的微分- 问题:求函数f(x) = sin(x) + cos(x)在x = π/4处的微分。
- 答案:首先求出函数在x = π/4处的导数,然后代入函数和导数的值,得到微分的结果。
第三章:积分与定积分3.1 不定积分与定积分的概念- 问题:求函数f(x) = 3x^2的不定积分和定积分。
- 答案:对于不定积分,求出每一项的积分,得到F(x) = x^3 + C;对于定积分,根据积分的性质和定理,求出积分的结果。
3.2 定积分的计算- 问题:计算函数f(x) = x^2在区间[0, 2]上的定积分。
- 答案:将函数代入积分公式中,并进行积分计算,最终得到定积分的结果。
第四章:常微分方程4.1 一阶常微分方程- 问题:求解微分方程dy/dx = 2x。
- 答案:对方程进行分离变量和积分处理,最终得到y = x^2 + C。
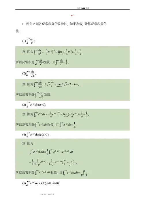
同济大学高等数学教材答案答案提供如下:同济大学高等数学教材答案第一章:函数与极限1.1 函数的概念与性质1.2 极限与连续1.3 无穷小与无穷大1.4 间断点与间断1.5 极限运算法则1.6 无穷小的比较1.7 函数的连续性第二章:导数与微分2.1 导数的概念与性质2.2 基本初等函数的导数2.3 函数的求导法则2.4 高阶导数与莱布尼茨公式2.5 隐函数与参数方程的导数2.6 函数的微分与局部线性化2.7 线性近似与割线法2.8 高阶导数的应用2.9 曲率与曲率半径第三章:微分中值定理与导数的应用3.1 罗尔中值定理与拉格朗日中值定理3.2 柯西中值定理与洛必达法则3.3 微分中值定理的应用3.4 泰勒公式与麦克劳林公式3.5 函数的渐近线与渐近曲线3.6 导数的应用第四章:不定积分4.1 不定积分的概念与基本性质4.2 基本初等函数的不定积分4.3 不定积分的基本运算法则4.4 函数的定积分与原函数4.5 牛顿—莱布尼茨公式与换元积分法4.6 函数的面积与定积分的应用4.7 罗尔定理与中值定理在积分中的应用第五章:定积分及其应用5.1 定积分的概念与性质5.2 定积分的基本运算法则5.3 定积分的计算方法5.4 牛顿—莱布尼茨公式与变限积分5.5 定积分的应用5.6 广义积分与收敛性第六章:定积分的计算技巧6.1 分部积分法6.2 降阶与换元积分法6.3 罗利尔定理与定积分6.4 狄利克雷函数与阶跃函数6.5 W形曲线6.6 三角换元法6.7 参数化曲线的弧长6.8 数列与级数第七章:微分方程7.1 微分方程的基本概念7.2 可分离变量的微分方程7.3 齐次线性微分方程7.4 一阶线性微分方程7.5 Bernoulli方程7.6 高阶线性微分方程7.7 常系数线性微分方程的解法7.8 非齐次线性微分方程的解法7.9 变量分离与齐次方程组的解法这是一个针对同济大学高等数学教材的章节答案提纲。
每个章节的答案内容都应细致详尽,力求准确解答各个习题及相关概念、性质的说明。