北京大学普通化学第一次测验2010
- 格式:pdf
- 大小:155.86 KB
- 文档页数:2
北京市西城区2010年第一学期抽样测试高三化学北京市西城区2010年抽样测试高三化学试卷2010.1说明:1.本试卷满分100分,考试时间120分钟。
2.请将全卷答案填写在答题纸上,在试卷上作答无效。
可能用到的相对原子质量:H 1 C 12 N 14 O 16 Na 23 S 32 Cu 64第Ⅰ卷(选择题共44分)本卷共18小题,共44分。
1~10小题,每题2分;11~18小题,每题3分。
每小题只有1个选项符合题意。
1.食物的选择与其酸碱性关系很大。
下列食物中,属于酸性食物的是A.柠檬 B.黄瓜 C.萝卜D.鸡蛋2.下列物质中,属于弱电解质的是A.CH3COOH B.H2SO4C.NaOH D.Na2CO3 3.当光束通过下列分散系时,能产生丁达尔效应的是A.蔗糖水 B.食盐水C.豆浆D.小苏打水4.下列有机化合物分子中的所有碳原子不可能处于同一平面的是A ...5.短周期元素W 、X 、Y 、Z 在元素周期表中的位置如右图所示。
下列说法中,正确的是A .W 的最高价氧化物对应的水化物是强酸B .Y 的原子半径在同周期主族元素中最大C .W 的非金属性比Z 的弱D .Z 的气态氢化物的稳定性在同主族元素中最强6.下列叙述中,正确的是A .甲烷、乙烯和苯都可通过石油分馏得到B .只用淀粉溶液即可检验食盐是否为加碘盐C .利用油脂在碱性条件下的水解反应可以制肥皂D .利用变性后可以再溶解的性质可分离提纯蛋白质7.下列有关化学实验的叙述中,正确的是A .中和滴定实验中应用待测液润洗锥形瓶B .蒸馏操作时应将温度计的水银球插入液面下X YZ WHC CH 3 —C CH —CH CH 3CH CH —CC.用重结晶的方法提纯苯甲酸时应趁热过滤D.NaOH溶液应保存在带玻璃塞的试剂瓶中8.下列叙述中,正确的是A.在船舶的外壳装上铜块可防止其发生电化学腐蚀B.MnO2、FeCl3和CuSO4都可加快H2O2的分解速率C.FeCl3溶液和Fe2(SO4)3溶液加热蒸干、灼烧都得到Fe2O3D.用惰性电极分别电解CuCl2溶液和MgCl2溶液分别得到单质Cu和Mg9.下列有关0.1 mol•L-1NaHCO3溶液中离子浓度的关系式,正确的是A.c(Na+) > c(HCO3-) > c(CO32-) > c(H+) > c(OH -)B.c(Na+) > c(CO32-) > c(HCO3-) > c(OH-) > c(H+) C.c(Na+) =c(HCO3-) + 2c(CO32-) + c(H2CO3)D.c(Na+) + c(H+) =c(HCO3-) + 2c(CO32-) + c(OH -)10.下列叙述中,正确的是A.1 mol 过氧化钠中阴离子所带的负电荷数为6.02×1023B.14 g乙烯和丙烯的混合物中含有的碳原子的数目为6.02×1023C.28 g C16O与28 g C18O中含有的质子数均为14×6.02×1023D.标准状况下,22.4 L氯气与足量氢氧化钠溶液反应转移的电子数为2×6.02×102311.下列离子方程式书写正确的是A.金属钠投入水中: Na + H2O Na+ + OH-+ H2↑B.铜加入稀硝酸中: 3Cu + 8H+ + 2NO3- 3Cu2+ + 2NO↑+ 4H2OC.向AlCl3溶液中加入过量氨水: Al3+ + 4NH3• H2O AlO2-+ 4NH4+ + 2H2OD.澄清石灰水与过量NaHCO3溶液混合:Ca2+ + OH-+ HCO3- CaCO3↓+ H2O12.已知某强酸性溶液中存在较多的Ba2+、NO3-,则溶液中还可能大量存在的离子组是A.K+、NH4+、HCO3- B.Fe2+、Ca2+、Cl- C.Cu2+、Mg2+、SO42- D.Na+、Cu2+、Cl-13.下图所示的实验装置或操作不能达到实验目的的是A .实验室 制取氨气B .配制100 mL0.1 mol /L 盐酸C .测定中和反应的反应热D .实验室制备 乙酸乙酯14.下列叙述中,正确的是A .IA 族元素,其原子半径越大金属性越弱B .核外电子排布相同的两种微粒,化学性质一定相同C .氨基酸具有两性,则多肽及由多肽形成的蛋白质均具有两性D .苯分子具有不饱和性,苯与乙炔一样都可使酸性高锰酸钾溶液褪色15.已知:CO 2(g) + 3H 2(g) CH 3OH(g) + H 2O(g) ΔH=-49.0 kJ•mol -1。
2010年门头沟区第一次统一练习化学试卷学校姓名准考证号考生须知1.本试卷共四道大题,35个小题,满分80分。
考试时间100分钟。
2.在试卷和答题卡上准确填写学校名称、姓名和准考证号。
3.试题答案一律书写在答题卡上,在试卷上作答无效。
4.本答题卡用黑色字迹签字笔作答。
5.考试结束,将本试卷、答题卡一并交回。
6.本试卷化学方程式中的“==”和“→”含义相同。
可能用到的相对原子质量H-1 C-12 N-14 O-16 Na-23 Cl-35.5 Ca-40 Al-27 Fe-56 Cu-64 Ag-108 S-32 一、选择题(每小题只有一个选项符合题意。
共25个小题,每小题1分,共25分。
)1.下列物质中属于纯净物的是A.自来水B.水银C.白酒D.生铁2.结构示意图表示的微粒是A.阳离子 B.分子C.原子D.阴离子3.在气焊、炼钢、医疗、登山等生产,生活中都要用到的一种气体是A.氢气B.一氧化碳C.氮气D.氧气4.人类生活需要热量,下列热量主要由化学变化产生的是()A.物体间相互摩擦产生的热量B.木炭燃烧放出的热量C.白炽灯泡通电放出的热量D.太阳能热水器中的水所吸收的热量5.地壳里各种元素的含量差别很大,按质量计,含量最多的元素是A.氮B.硅C.氧D.铁6.温室气体可使全球气候变暖,其中的温室气体主要是指A.二氧化碳B.水蒸气C.氢气D.氧气7.化石燃料是不可再生能源,在地球上的蕴藏量是有限的,开发和有效利用新能源迫在眉睫。
下列能源中属于新能源的是A.煤B.石油 C.太阳能D.天然气8.对危险化学品要在包装标签上印有警示性标志。
氢氧化钠溶液应选用的标志是9.小亮去医院检查身体,医师建议他要多吃蔬菜、水果。
从你所学知识判断,医师让小亮补充的营养素是A.糖类 B.维生素 C.油脂 D.蛋白质A B C D10.生活中的下列做法符合科学道理的是A.用大量亚硝酸钠(NaNO2)腌渍食品B.为防止CO中毒,可在煤炉上放一盆水C.用活性炭除去冰箱中的异味D.用铝制容器盛放硫酸铜溶液11.下列做法不正确的是A.用品尝的方法区分糖水和火碱水B.用肥皂水区分硬水和软水C.用灼烧的方法区分羊毛和涤纶D.用澄清石灰水区分CO和CO212.某种核能原料的原子核中含有1个质子和2个中子,下列说法正确的是A.该原子属于氢元素 B.该原子属于金属元素C.该原子核外有3个电子D.该原子核带2个单位的正电荷13.下列现象,用分子的相关知识解释不正确的是A. 石油气经加压后贮存在钢罐中,说明分子间有间隔B. 水汽化后,水蒸气体积变大,说明分子的大小发生了改变C. 湿衣服晾在太阳底下干得快,说明分子运动速率与温度有关D. 水在通电情况下分解成氢气和氧气,说明分子在化学变化中可分14.根据所学化学知识,判断下列说法中正确的是A.加碘盐中的“碘”是指碘单质 B.铝是不活泼金属,所以铝制器具不易锈蚀C.可用甲醛溶液泡发海产品 D.可用纯碱替代洗洁净洗涤餐具表面的油污15.中和反应在工农业生产和日常生活中有广泛的用途。
2010年普通高等学校招生全国统一考试(全国1卷)化学试题可能用到的相对原子质量:H 1 C 12N 14O 16Na 23Mg 24S 32Cu 64一、选择题6.下列判断错误的是( )A.沸点:NH3>PH3>AsH3B.熔点:Si3N4>NaCl>SiI4C.酸性:HClO4>H2SO4>H3PO4D.碱性:NaOH>Mg(OH)2>Al(OH)37.下列叙述正确的是( )A.Li在氧气中燃烧主要生成Li2O2B.将SO2通入BaCl2溶液可生成BaSO 3沉淀C.将CO2通入次氯酸钙溶液可生成次氯酸D.将NH3通入热的CuSO4溶液中能使Cu2+还原成Cu8.能正确表示下列反应的离子方程式是( )A.将铜屑加入Fe3+溶液中:2Fe3++Cu===2Fe2++Cu2+B.将磁性氧化铁溶于盐酸:Fe3O4+8H+===3Fe3++4H2OC.将氯化亚铁溶液和稀硝酸混合:Fe2++4H++NO===Fe3++2H2O+NO↑D.将铁粉加入稀硫酸中:2Fe+6H+===2Fe3++3H2↑9.下列叙述正确的是( )A.某醋酸溶液的pH=a,将此溶液稀释1倍后,溶液的pH=b,则a>bB.在滴有酚酞溶液的氨水中,加入NH4Cl至溶液恰好无色,则此时溶液的pH<7C.1.0×10-3mol·L-1盐酸的pH=3.0,1.0×10-8mol·L-1盐酸的pH=8.0D.若1 mL pH=1的盐酸与100 mL NaOH溶液混合后,溶液的pH=7,则NaOH溶液的pH=1110.如图是一种染料敏化太阳能电池的示意图。
电池的一个电极由有机光敏染料(S)涂覆在TiO2纳米晶体表面制成,另一电极由导电玻璃镀铂构成,电池中发生的反应为:TiO2/S TiO2/S*(激发态)TiO2/S*―→TiO2/S++e-I+2e-―→3I-2TiO2/S++3I-―→2TiO2/S+I下列关于该电池叙述错误的是( )A.电池工作时,是将太阳能转化为电能B.电池工作时,I-在镀铂导电玻璃电极上放电C.电池中镀铂导电玻璃为正极D.电池的电解质溶液中I-和I的浓度不会减少11.下图表示4溴环己烯所发生的4个不同反应。
20102009北京大学自主招生试题化学北京大学2010年自主招生试题1.Ca在空气中燃烧的固体产物溶于水,放热,放出有臭味的气体,写出方程式。
2.同样浓度下,醋酸和氨水的电离程度相同,但氢氧化铝可以完全溶于醋酸,却不能溶于氨水,问这能说明氢氧化铝的什么性质?3.和水一样,酯也可以在氨中发生氨解反应,写出RCOOR'的氨解反应方程式。
4.不同于水溶液,在液氨的环境中,"不活泼"金属可以将"活泼"金属置换出来,如Mg+NaI=MgI+Na,解释为什么可以发生这样的反应。
5.Fe,Cu溶于稀硝酸,剩余固体为以下情况时,溶液中可能的阳离子:(1)不剩余固体(2)剩余固体为Cu(3)剩余固体为Fe,Cu(4)可不可能剩余的固体只有Fe,为什么?6.已知C(s),氢气(g),乙醇(l)的燃烧热为394kJ/mol,286kJ/mol,1367kJ/mol,由这些可以知道哪些数据?7.在发烟硝酸H2SO4·SO3中,2molI2和3molI2O5生成I2(SO4)3,I2(SO4)3溶于水生成I2和I2O4,写出以上两个方程式。
8.测定溶液中Iˉ的方法,当Iˉ太少时可用增大倍数的方法,第一种:用氯气将Iˉ氧化为HIO3,后除去多余氯气,用KI还原HIO3后测定Iˉ的量;第二种:用IO4ˉ将Iˉ氧化为IO3ˉ,加入一种物质阻止IO4ˉ和Iˉ反应,用KI还原IO3ˉ后测定Iˉ的量。
问以上两种方法分别将Iˉ扩大了多少倍?2009北京大学自主招生语数外物化试题(理科)化学1 填充题(1)在NaCl的溶液里有Mg2+(NaOH),SO42-(BaCl2),Ca2+(Na2CO3)等杂质离子,括号中是除杂的试剂,加入试剂的顺序为(2)电解熔融LiCl,得到Li和Cl2。
将1mol·L-1LiCl的溶液加热蒸干,得到固体,电解熔融固体,阳极出的并不是Cl2,为什么?(3)Ag为什么能置换出HI(aq)和H2S(aq)中的氢?(4)给一个物质的结构简式,写出合成尼龙-6的方程式(5)给单体结构简式,写出三聚的结构简式(三聚氰胺)。
北京市西城区2009-2010学年第一学期学业测试2010.1高一化学试卷试卷满分:120分考试时间:100分钟A卷(必修模块1)满分100分可能用到的相对原子质量:H-1 C-12 N-14 O-16 Na-23 Mg-24 Si-28 S-32 Cl-35.5 Fe-56 Cu-64 Ba-137说明:请将选择题的答案填在第4页答题表中。
第一部分(选择题共50分)每小题只有一个选项符号题意(1~25小题,每小题2分)1.下列气体中,无色无味的是A.N2B.Cl2C.SO2D.NH32.下列仪器中,不能加热的是A.试管B.燃烧匙C.容量瓶D.坩埚3.下列物质中,属于电解质的是A.M gCl2B.C u丝C.NaCl溶液D.蔗糖4.下列物质中,既能与盐酸反应,又能与氢氧化钠溶液反应的是()A.AlCl3B.Al(OH)3C.Na CO23D.(NH)SO4245.下列关于钠的叙述中,不正确的是()A.钠是硬度很大的银白色金属B .钠燃烧时,发出黄色的火焰C .钠在空气中燃烧时,生成淡黄色固体D .钠原子最外层电子数为16.下列各组混合物中,能用分液漏半进行分离的一组混合物是 A .酒精和水 B .碘和四氯化碳 C .水和四氯化碳D .汽油和植物油7.下列有关硅及其化合物的叙述中,不正确的是 A .用硅制造太阳能电池板 B .水玻璃可用作木材防火剂C .硅酸盐产品主要包括陶瓷、水晶、水泥等D .光导纤维是以二氧化硅为主要原料制成的 8.下列关于金属材料的说法中,不正确的是 A .合金只含金属元素B .钢是用量最大、用途最广的合金C .铝制饮料罐应回收利用D .青铜是铜合金中的一种9.随着人们生活节奏的加快,方便的小包装食品受到青睐。
为了防止食品氧化变质,延长食品的保质期,在包装袋中可以放出的化学物质是 A .氧气 B .铁粉 C .硅胶 D .生石灰10.在实验室中,用3AlCl 溶液制备3Al(OH )沉淀,最好选用的试剂是A .石灰水B .氢氧化钠溶液C .硫酸D .氨水11.下列各组物质中,按化合物、单质、混合物顺序排列的一组是A .烧碱、液态氧、碘酒B .生石灰、白磷、熟石灰C .干冰、铁、氯化氢D .空气、氮气、明矾12.下列有关氧化还原反应的叙述中,正确的是A .一定有氧元素参加B .氧化反应一定先于还原反应发生C .氧化剂本身发生氧化反应D .一定有电子转移(得失或偏移)13.下列各组离子在溶液中可以大量共存的是A .H +、4NH +、23C O -B .3Fe +、Cl -、3NO -C .Na +、OH -、H +D .3A l +、OH -、3NO -14.下列各组物质相互反应时,水作氧化剂的是A .Na 和2H OB .2NO 和2H OC .2Cl 和2H OD .22Na O 和2H O15.对下列实验事故或废弃药品的处理方法正确的是 A .当有大量氯气泄漏时,人应沿顺风方向疏散B .金属钠意外着火时,应用干燥的沙土盖灭C .当少量浓硫酸沾在皮肤上,应立即用氢氧化钠溶液冲洗D .将含有硫酸的废液倒入水池,用大量水冲入下水道 16.下列离子方程式书写正确的是A .将铜丝伸入硝酸银溶液中:2Cu Ag Cu Ag +++=+B .将钠投入水中:222Na 2H O 2Na 2OH H +-+=++↑C .向氯化铁溶液中加入过量铁粉:32Fe Fe 2Fe +++=D .将铝粉投入氢氧化钠溶液中:222Al 2OH 2AlO H --+=+↑ 17.物质的量相同的甲烷和氨气,一定相同的是 A .质量B .体积C .分子数D .原子数18.金属M 在一定条件下既能跟2Cl 反应,又能跟稀盐酸反应,且均生成2M Cl 型化合物,则M 可能是 A .Al B .Fe C .Cu D .Mg19.下列关于分散系的说法中,不正确的是A .分散系的稳定性比较:溶液>胶体>浊液B .分散质粒子的大小比较:溶液>胶体>浊液C .利用丁达尔效应可以区分溶液与胶体D .3Fe(OH )胶体的分散质能透过滤纸20.为了除去2FeCl 溶液中混有的少量3FeCl 杂质,最好的方法是向此溶液中A .通入足量氯气B .加入足量稀硝酸C .加入足量F e 粉D .加入足量C u 粉21.选用一种试剂即可区别24Na SO 、3AlCl 、4MgSO 和4NH Cl 4种溶液,这种试剂是A .稀盐酸B .2BaCl 溶液C .N aO H 溶液D .3AgNO 溶液22.纯碱和小苏打是厨房常备的物质,它们都是白色固体。
北京西城区2010年抽样测试高三理科综合能力测试本试卷分为第I卷(选择题)和第II卷(非选择题)两个部分,第I卷1至5页,第II卷6-14页,共300分。
考试时长150分钟。
考生务必将答案答在答题卡上,在试卷上作答无效。
考试结束后,将本试卷和答题卡一并交回。
以下数据可供解题时参考:可能用到的相对原子质量:H1 C 12 O 16 Na 23 S16 Fe 56第I卷(选择题共20小题,每小题6分,共120分)在每小题列出的四个选项中,选出符合题目要求的一项。
6.(2010西城一模)下列事实不能用金属活动性解释的是A.生活中可用铝制的水壶烧水B.镀锌铁制品破损后,镀层仍能保护铁制品C.工业上常用热还原法冶炼铁,用电解法冶炼钠D.电解法精炼铜时,其含有的Ag、Au杂质沉积在电解槽的底部【解析】能体现金属活动性强弱的有:原电池的正负极,电解池的离子析出顺序,金属冶炼方式,与水反应的激烈程度,置换反应等。
B、C、D分别能体现金属性的比较,因此选A【答案】A7.(2010西城一模)反应2C+O2=2CO的能量变化如右图所示。
下列说法正确的是A.12 g C(s)与一定量O2 (g)反应生成14 g CO(g)放出的热量为110.5 kJB.2 mol C(s)与足量O2 (g)反应生成CO2(g),放出的热量大于221 kJC.该反应的热化学方程式是2C(g)+O2(g)=2CO(g) △H=-221kJD.该反应的反应热等于CO分子中化学键形成时所释放的总能量与O2分子中化学键断裂时所吸收的总能量的差【解析】根据图示可知C(s)+1O2(g)=2CO(g) △H=-110.5kJ/mol。
A选项中12 g C(s)与一定2量O2 (g)反应生成28 g CO(g)放出的热量为110.5 kJ;该反应的热化学方程式是2C(s)+O2(g)=2CO(g) △H=-221kJ;该反应的反应热等于O2分子中化学键断裂时所吸收的总能量的差与CO分子中化学键形成时所释放的总能量。
北京市宣武区2009—2010学年度第二学期第一次质量检测理科综合能力测试化学部分2010.4 考生注意:本试卷分第I卷(选择题)和第II卷(非选择题)两部分,共300分。
考试时问150分钟。
考生务必将答案答在答题卡上,在试卷上作答无效。
以下数据可供解题时参考:可能用到的相对原子质量:H 1 C 12 N 14 O 16 S 32 Cu 64第I卷(选择题共120分)本卷共20小题,每小题6分,共120分。
在每小题列出的四个选项中,选出符合题目要求的一项。
6.化学与生活密切相关,下列说法错误的是()A.“加铁酱油”可有效预防缺铁性贫血B.维生素C具有还原性,在人体内起抗氧化作用C.蛋白质水解产物氨基酸可以合成人体所需蛋白质D.食品包装袋、食物保鲜膜等材料的主要成份是聚氯乙烯7.下列叙述中正确的是()A.因为NH3·H2O是弱碱,所以不能用氨水与FeCl3溶液反应制取Fe(OH)3B.向Fel2溶液中通入少量Cl2,再滴加少量CCl4,振汤、静置,下层液体为紫色C.向一定体积的热浓硫酸中加入足量的铁粉,生成的气体能被烧碱溶液完全吸收生成,可向溶液中滴加Ba(NO3)2溶液D.将SO2气体通入溴水,欲检验是否有SO 248.某温度下,体积一定的密闭容器中进行反应:N2(g)+3H2(g) 2NH3 (g) △H<0。
下列分析正确的是()A.平衡后加入N2,该反应的△H增大B.若平衡昏升高温度,则平衡常数K变大C.平衡后再充入NH3,达到新平衡时,NH3的百分含量变大D.若反应前充人的N2与H2物质的量相等,达平衡时N2的转化率比H2的高9.下列叙述错误的是()A.把aL0.1mo1/L的CH3COOH溶液与b L 0.1 mol/L的KOH溶液混合,所得溶液中一定存在:c(K+)+c(H+)=c(CH3COO-)+c(OH-)B.把0.1mol/L的NaHCO3,溶液与0.3 mol/L的Ba(OH)3溶液等体积混合,所得溶液中一定存在:c(OH-)>c(Ba+)>c(Na+)>c(H+)C.向1mol/L的CH3COOH溶液中加入少量CH3COONa固体,由于CH3COONa水解显碱性,所以溶液的pH升高D.常温下,在pH=3的CH3COOH溶液和pH=11的NaOH溶液中,水的电离程度相同10.CuI是一种不溶于水的白色固体,它可由反应:2Cu2++4I-=2CuI↓+I2而得到。
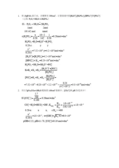
1. 将10gP 2O 5溶于水,并稀释至500cm 3。
计算溶液中的[H 3O +],[H 2PO 4-],[HPO 42-]和[PO 43-](已知 P 2O 5+3H 2O →2H 3PO 4)25234-334+-3423242P O 3H O 2H PO 1mol 2mol 10/142 mol xmolx 1021c(H PO )===0.28mol dm 0.501420.50H PO +H O=H O +H PO 0.28-y y yy 0.2∆+=⨯⨯•解:2-3-2-3+--2-33242--8-34a +3-34234+33-34123343-344123=7.5210,y=4.210mol dm 8-y [H O ]=[H PO ]=4.210mol dm [HPO ]K =6.2310mol dmH PO +3H O=3H O +PO [H O ][PO ] K=K K K =[H PO ][H PO ][PO ]=K K K ⨯⨯•⨯•≈⨯••••••⨯+33-3-8-13-19-3-23=[H O ]0.24 =7.5210 6.2310 2.210=3.310mol dm(4.210)⨯⨯⨯⨯⨯⨯⨯•⨯2. 用5.7gNa 2CO 3•10H 2O 配制的100cm 3溶液中,[CO 32-]和pH 各是多少?2-32-33142---4w 32311CO a2b 24--35.7286[CO ]0.20mol dm 0.100K 1.010 CO +H O=HCO +OH ,K 1.810K 5.6110 0.20-x x x, c/K >>400x =1.810, x=[OH 100.20-x-----==•⨯===⨯⨯⨯⨯解:2--33 pOH=2.22, pH=11.78, [CO ]=0.19 mol dm •3. 0.10mol •dm -3Na 3PO 4溶液中[PO 43-]和pH 各是多少?3-43-34143-2--2w 42413PO a3-2b 22-2c PO 010moldm K 1.010 PO +H O=HPO +OH ,K 4.510K 2.2100.10-x x x, c/K =0.10/4.510=2.2<400x =4.510, x=4.810mol d 0.10-x-----•⨯===⨯⨯⨯⨯⨯•解:()=. -33--2-34m pOH=1.32, pH=12.68, [PO ]=5.210 mol dm⨯•4. 计算100.0cm 3 0.30mol •dm -3NaH 2PO 4溶液与50.0cm 3 0.20moldm -3的Na 3PO 4溶液充分混合后溶液的pH 值。
北京市朝阳区2009—2010学年度高三年级第二学期统一考试(一)理科综合能力测试2010.4 本试卷分第1卷(选择题)和第Ⅱ卷(非选择题)两部分。
满分300分,考试用时150分钟。
考试结束后,将本试卷和答题卡一并交回。
注意事项:1.考生务必将答案答在答题卡,在试卷上作答无效。
2.答题前考生务用黑色字迹的签字笔在答题卡上填写姓名、准考证号,我后再用2B铅笔将与准考证号对应的信息点涂黑。
3.答题卡上第I卷必须用2B铅笔作答,将选中项涂满涂黑,黑度以盖住框内字母为准,修改时用橡皮擦除干净。
第II卷必须用黑色字迹的签字笔按照题号顺序在各题目的答题区域内作答,未在对应的答题区域内作答或超出答题区域作答的均不得分。
以下数据可供解题时参考:可能用到的相对原子质量:H 1 C 12 O 16 Fe 56第Ⅰ卷(选择题共120分)本卷共20小题,每小题6分,共120分。
在每小题列出的四个选项中,选出符合题目要求的一项。
6.下列说法不正确...的是()A.食盐既可作调味剂,也可作防腐剂B.维生素C具有还原性,可用作食品抗氧化剂C.向含有Hg2+的废水中加入Na2S3使Hg2+转化成HgS沉淀除去D.淀粉、油脂和蛋白质都是天然高分子化合物,都能发生水解反应【解析】油脂不是高分子化合物,淀粉和蛋白质都是高分子化合物【答案】D7.下列分离方法不合理的是()A.从石油中得到汽油,可用蒸馏的方法B.提取溴水中的溴,可用加入乙醇萃取的方法C.只含有泥沙的粗盐,可通过溶解、过滤、结晶的方法提纯D.除FeCl2溶液中的少量FeCl3,可用加入足量铁悄过滤的方法【解析】乙醇与溴水互溶因此不能将溴从水中萃取出来,可用四氯化碳或苯萃取。
【答案】B8.下列各组离子一定能大量共存的是()A.在含有0.1mol/Lca2+的溶液中:Na+、K+、ClO-、Cl-B.在pH=12的溶液中:NH+4、Na+、SO-24、Cl-C.在c(H+)=0.1mol/L的溶液中:K+、I-、Cl-、NO-3D.在澄清透明的无色溶液中:Na+、Cu2+、Cr2O-22、NO-3【解析】B选项中pH=12,存在大量的OH-、不能与NH+4共存;C在c(H+)=0.1mol/L的溶液中:K+、I-、Cl-、NO-3,H+、I-、NO-3不能共存;D.在澄清透明的无色溶液中:Na+、Cu2+、Cr2O-22、NO-3,Cu2+呈蓝色。
2010秋奥鹏普通化学第一阶段第1题某反应在一定条件下转化率为25%,当有催化剂存在时,其平衡转化率25%。
您的答案:B题目分数:0.5此题得分:0.5批注:催化剂的特性第2题催化剂能加快反应速率主要是因为反应活化能。
您的答案:B题目分数:0.5此题得分:0.5批注:催化剂的特性第3题催化剂加入使反应的热效应。
您的答案:C题目分数:0.5此题得分:0.5批注:催化剂的特性第4题某反应的速率常数k为0.107 min-1,则反应物浓度从1.0 mol·L-1变到0.7 mol·L-1和浓度从0.01 mol·L-1变到0.007 mol·L-1所需时间的比值为您的答案:D题目分数:0.5此题得分:0.5批注:化学反应级数的判断及相应的积分式第5题在描述一级反应特征时,是不正确的您的答案:A题目分数:0.5此题得分:0.5批注:一级反应的特点第6题一定温度下化学反应体系的反应级数越小,一般反应速率随时间的延长______。
您的答案:B题目分数:0.5此题得分:0.5批注:浓度对化学反应速率的影响及反应级数第7题对两个活化能不同的反应,当温度同样从T1升至T2时,具有活化能高的反应,其反应速率增加的倍数比活化能低的反应增加的倍数。
您的答案:B此题得分:0.5批注:阿雷尼乌斯方程第8题反应A →2B 在温度T时的速率方程为dcA/dt =-k·cA,则此反应的半衰期为。
您的答案:A题目分数:0.5此题得分:0.5批注:反应级数的判断和半衰期第9题25℃时,1.0 L 0.1mol·L-1的NH3·H2O溶液中加入NH4Cl晶体(设溶液体积不变),则使。
您的答案:D题目分数:0.5此题得分:0.5批注:溶液的同离子效应第10题AgCl(s)在中溶解度最小。
您的答案:B题目分数:0.5此题得分:0.5批注:难溶盐的同离子效应第11题下列混合溶液具有缓冲作用的是。
大学药学院2010考研真题回忆先整体总结一句,考研考得是知识,是能力,但培养这些所需要的远远不如培养一份心态来得更重要。
考试已经过去一段时间了,我也忘了一些,尽量回忆吧。
化学综合:满分150,四大化学每门25,还有两道综合题,50分。
无机化学:填空题,都是基本题,15分左右。
简答题两个,一个是四氯化钴的结构分析,一个是铜离子的姜泰勒理论。
有机化学:4个命名,4个方程,几个选择,很基础。
分析化学:5道大题,一个是误差的分类,送分题;一个是色谱速率方程,记忆题;一个是不同物质的分析方法的选择,灵活题,但是也都考察的是基础知识,还有俩有待回忆。
物理化学:填空题20分左右,基本计算,基本理论。
一道简答,考察药物稳定期,送分题。
综合题两道:一个是有机化学实验题,分两个题,一个考察对映异构体,一个考察丙二酸酯的合成应用。
一个是关于水分子的结构和存在形式以及相关的药物溶解度问题。
综合了很多学科的知识。
专业考试我选的是物理化学,150分填空题,很多,但都是基础题,问答题,5道,考察了一些实验现象的解释,和实验方法的叙述,如果复习的全面完全没有问题。
计算题,5道。
不难,但是繁琐,而且要求一次准确率要高,与其做的快回去检查不如一次做对,这个帐要算明白。
我之所以不再回忆具体的题目,原因很简单,只要你复习的全面,认真,再加一点自信,你会觉得所有的题目都似曾相识。
还有一点,考研没有办法突击解决,不管你是什么样的高僧,想取经的道路只有一条,就是踏踏实实把课本内容理解,吃透,并记住重点语句。
而这,没有三个月的潜心修炼是不行的。
最后三天,保持住一个稳定的心态即可。
希望身后的莘莘学子能够梦想成真。
普通化学实验A期末总结这个学期已经接近尾声,普通化学实验课也只剩下最后一节课了。
对于初次接触化学实验的我来说,这门课程着实是新鲜的。
在课上,我接触到了以前只是在课本上看见过白底黑字的物质,当然,更多地是闻所未闻的见所未见的反应与现象。
试管里出现的现象,烧杯中结晶的产物,锥形瓶里到达滴定终点的突跃,每一次都令我兴奋不已。
写实验报告着实是一件苦活:少则七八页,多则二十页的实验报告(虽然学长说这不值一提……),每次写实验报告都会花很久,总是要熬到两三点或者通宵,有的时候实验内容比较多或者自己想做的实验比较多,写实验报告就会占用从周五下午到周日晚上的整个周末。
看各种元素化学、无机化学的教材,再到Scifinder上查文献,到Reaxys上查物质性质,设计实验来探究一些想知道的性质。
在这个过程中,我也学到了很多化学物质方面的知识。
写实验报告是很累人,但是感觉自己在设计实验,在查文献查资料,只为了做实验时做出自己想要的东西,想知道的东西,也不知道为什么,那个时候总是很愉快的,就有了继续写下去的动力。
而在实验室里做出了自己期望的现象,更是成就感满满。
虽说身边的竞赛大神总是对我的激动而嗤笑不已,我也知道自己的水平和见识和他们差得远。
但是,开心就是开心,和别人怎么看并没有什么必然的联系,不是吗?做实验的时候,有时候也会出现一些奇怪的现象,奇怪的产物。
这时候就会将这只试管留在旁边,先做完规定的试验,就可以开心地来探究一下这个奇怪的东西是什么,为什么了。
然后再和大家分享自己的结果,再听取老师和大神们的精彩的解释,感觉自己又学到了好多东西。
有的时候烧去离子水,总会可以多烧一些,一方面是方便重复实验的时候使用,更重要的是,可以分给同实验台的同学们用。
他们会很高兴,我也会很高兴。
总之,真的觉得这门课程很有趣,可以说,我本来并不怎么喜欢化学这门学科的,填志愿的时候报了化院也就是因为我想报的元培被抢了而听说化院比较方便转系。
现在我觉得化学的确是一门很奇妙的学科,我有兴趣继续学习继续做实验。
北京大学化学学院考试专用纸姓名:学号:考生院系:考试科目:普通化学考试时间:2005年5月20日命题教师:普通化学期末试卷(地空,04级,2005.6.20)学号:姓名:一.选择填空(每小题中,A、B、C三个选项,只有一个应选,将结果填入题二.计算题1.放射性核素的衰变一般为一级反应。
人体内含有18%的C 和0.2%的K,其中14C 和40K 为两种主要体内放射形核素。
已知天然条件下,12C 和14C 的原子数之比为1012:1.2, 且14C 的半衰期为 5730年,40K 的天然丰度为0.0118% ,半衰期为1.26⨯109年。
问体重为75公斤的人死亡1年后体内残留的14C 和40K 的原子个数分别为多少?该人死亡1万年后,其体内剩余的14C 和40K 的原子个数分别为多少?若某核分析技术可探测到10个14C 原子,则可判定的木乃伊的最大年限为多少(12分)2.看图回答问题:(18分)242224444242111C Cl CCl aK K 222H Cl 2HCl 113Si Cl SiCl 224aK Ti SiCl Si TiCl 5cK 6bK SiCl H SiCl H θ+=+=++()反应在时的是多少?()+=是熵增反应还是熵减反应,为什么?()反应是放热反应还是吸热反应?为什么?() 时,+=+反应的方向如何?11()标态时,Si+2HCl=反应的方向如何?2211()标态时,Si+2HCl=反应22的状态如何?3.利用过量无色的Cu(NH 3)2+、NH 3混合溶液与O 2 发生反应生成有色的Cu(NH 3)42+的方法,可以测量N 2、O 2混合气体中O 2的含量。
取一体积为8.00dm 3的容器使其充满N 2、O 2混合气(压力为101kPa ,温度为250C ),然后向其中加入500cm 3 的Cu(NH 3)2+、NH 3混合液。
经过不断的摇晃、振荡,使液气充分混合充分反应后,用比色法测得Cu(NH 3)42+的浓度为2.10⨯10-3mol ∙dm -3。
绝密★使用完成前2010 年一般高等学校招生全国一致考试理科综合能力测试(北京卷 )本试卷分第Ⅰ卷 (选择题 )和第Ⅱ卷 (非选择题 )两部分,第Ⅰ卷 1 至 4 页,第Ⅱ卷 5 至 13 页,共 300 分。
考试时长 150 分钟。
考生务势必答案答在答题卡上,在试卷上作答无效。
考试结束后,将本试卷和答题卡一并交回。
以下数据可供解题时参照:可能用到的相对原子质量:H 1 C 12N 14O 16Mg 24Al 27第Ⅰ卷(选择题共120分)本卷共 20 小题,每题 6 分,共 120 分。
在每题列出的四个选项中,选出切合题目要求的一项。
1.在家庭顶用鲜葡萄制作果酒时,正确的操作是A.让发酵装置接受光照B.给发酵装置合时排气C.向发酵装置通入空气D.酵母菌装置放在45℃处2.以下对生物细胞代谢活动的描绘,不正确的是...A.大肠杆菌在拟核区转录信使RNAB.乳酸杆菌在细胞质基质中产乳酸C.衣藻进行光合作用的场所是叶绿体D.酵母菌的高尔基体负责合成蛋白质3.以下依照神经细胞功能做出的判断,不正确的是...A.膝跳反射弧中传出(运动)神经元的轴突较长B.膝跳反射弧中传入(感觉)神经元的树突许多C.突触前膜开释的递质(如乙酰胆碱)一直不被酶分解D.分泌肽类激素旺盛的神经细胞核糖体许多4.决定小鼠毛色为黑(B)/褐(b)色、有(s)/无(S)白斑的两平等位基因分别位于两对同源染色体上。
基因型为 BbSs的小鼠间互相交配,后辈中出现黑色有白斑小鼠的比率是A.1 / 16B.3/16C.7/16D.9/165.保护生物多样性是实现人类社会可连续发展的基础。
以下对生物多样性的理解正确的是A.生物多样性的丰富程度与自然选择没关B.群落演替过程中的生物多样性渐渐降低C.物种多样性比较高的生态系统相对稳固D.遗传多样性较低的种群适应环境能力强6.以下有关钢铁腐化与防备的说法正确的选项是A.钢管与电源正极连结,钢管可被保护B.铁遇冷浓硝酸表面钝化,可保护内部不被腐化C.钢管与铜管露天堆放在一同,钢管不易被腐化D.钢铁发生析氢腐化时,负极反响是Fe 3e Fe37.以下物质与常用危险化学品的类型不对应的是...A.H2SO4、NaOH——腐化品B.CH 4、C2H 4——易燃液体C.CaC 、N a ——遇湿易燃物件2D.KMnO 、KC r O ——氧化剂42 2 78.以下说法正确的选项是A.的构造中含有脂基B.顺-2-丁烯和反-2-丁烯的加氢产物不一样C.1 mol 葡萄糖可水解生成2mol 乳酸(C3H6O3)D.天真和蛋白质都是能发生水解反响的高分子化合物9.用右图所示实验装置(夹持仪器已略去)研究铜丝与过度浓硫酸的反响。
12010年《普通化学》第一次测验试题(卷) 10月20日
专业: 姓名: 学号:
一、简答:选择、判断或给出答案(可能多选;本题答案写在试卷上):
1.实际气体对理想气体方程产生偏差的原因是: ( )
A 、分子有能量
B 、分子有体积
C 、分子间发生相互作用
D 、分子有体积且分子间存在相互作用
2.0o C, 测定1mol 氢气的体积(V)随压力(p)变化,发现 pV~p 近似为直线且斜率为正。
直线斜率为正,这是因为: ( )
A 、氢气可以当作理想气体
B 、氢气分子有一定体积、相互作用较强
C 、氢气分子有一定体积、相互作用较弱
D 、氢气分子容易扩散
3.在相同温度下,对于摩尔质量不同的气体分子,下述说法正确的是: ( )
A 、有相同的均方根速率
B 、有相同的扩散速率
C 、有相同的平均动能
D 、有相同的最可几速率
4.丙烷的临界点是370 K 和4.2 MPa ,在298 K 时的饱和蒸气压为1.1 MPa ,回答:
A 、在298 K 时,气液共存的丙烷储罐的压力为: ( )
B 、在298 K 时和0.10 MPa 下,丙烷的状态是: ( )
C 、在298 K 和4.1MPa, 丙烷的状态是: ( )
D 、380 K 和10 MPa, 丙烷的状态是: ( )
5.抽真空可以使容器中的水在室温下沸腾,这是由于 ( )
A 、水的蒸汽压增大
B 、水的蒸发热减小
C 、水的温度升高
D 、压力降低使水的沸点降低
6. 一定温度下液体沸腾变为气体的过程中,下列物理量增加的有: ( ) A 、熵 B 、蒸汽压 C 、蒸发焓 D 、Gibbs 自由能
7.一定量的理想气体(n )在恒温T 下向真空扩散,由状态I (p 1,V 1)变为状态II (p 2,V 2)
,其中V 2>V 1, 此过程中热、功效应及体系相应的热力学函数变化值为:(若不等于0, 用已知量的函数表示)
A 、 ΔU
B 、 ΔH
C 、 Q
D 、 W
E 、 ΔS
F 、 ΔG
8.测得一种萘的苯溶液的沸点升高0.531 o C ,该溶液的凝固点降低值:
(已知苯的 K f = 5.07 K kg -1 mol -1, K b = 2.64 K kg -1 mol -1 )
9. 下列反应的熵变如何?(用=0,>0,或<0表示)
A 、NaCl 从水中析出晶体 ΔS
B 、 碘升华 ΔS
C 、H 2和O 2反应生成水 ΔS
D 、 H 2和O 2等温等压混合 ΔS
10. 每摩尔理想气体分子的平均动能为: ( )
A 、RT 21
B 、RT 2
3 C 、kT 23 D 、kT 21 11.下列关于平衡移动的说法中,正确的是: ( )
A 、压力增大体系向气体分子物质的量减小的方向移动;
B 、若反应Δ H > 0,升温时平衡总是正向移动;
C 、在达平衡的体系中加入反应物的某一种,平衡总是正向移动;
D 、改变条件使平衡移动时,K Θ总是保持不变。
12.加入催化剂可使化学反应的下列物理量中哪一个发生改变?()
A、反应焓变
B、平衡常数
C、反应熵变
D、速率常数
13. 研究合成氨机理发现,反应按A-B-C-D-E-F(设均为基元反应)进行,B为决速步:
A、N2(g) → N2(吸附);
B、N2(吸附) → 2N(吸附) (决速步);
C、H2(g) → H2(吸附);
D、H2(吸附) → 2H(吸附);
E、N(吸附)+ 3H(吸附)→ NH3(吸附)
F、NH3(吸附) → NH3(g)
该反应的级数为多少?简述原因。
二、1. 在1000℃和 98.7 kPa下,硫蒸气的密度为0.597 g·dm3,给出硫的分子式(S原子量为32)。
2. 10.0 ml 某气态烃(C m H n)与40.0 ml氧气混合,完全燃烧后得到的干燥气体体积为30.0 ml。
将
气体通过足量的KOH溶液处理并干燥,剩余气体体积为10.0 ml。
通过计算,写出该烃的分子式。
3. 在 18.0℃和100.0 kPa 下,将 269.0 dm3含饱和水蒸气的空气通过CaCl2干燥管,得到干
燥空气263.4 dm3。
求此温度下水的饱和水蒸气压。
三、水热反应已广泛应用于化学合成。
该过程是将反应物的水溶液放入特制的密闭釜中在高于100o C
的条件下进行反应。
若在100.0ml的反应釜中加入反应溶液50.0ml,其中溶质(非挥发性)的摩尔分数为1/10,反应温度为160o C。
此条件下反应釜中的水的蒸气压多大?(已知水的标准摩尔蒸发焓为43.0 kJ mol-1, 设其不受溶质的影响。
)
四、镍的提纯可以用羰基法。
由粗镍生成羰基镍(沸点316 K),反应温度控制在320~350 K:
Ni(s) + 4 CO (g) = Ni (CO)4(g) (反应1)
羰基镍在温度稍高(450~470 K)时分解出纯镍:
Ni (CO)4 (g) = Ni(s) + 4 CO (g) (反应2)
试根据热力学数据进行必要的计算后,讨论上述工艺过程的合理性。
五、 硅是制造计算机芯片的核心半导体材料。
通过焦炭还原制备硅单质(粗硅),制备反应如下:
SiO2 (s) + 2 C (s) = Si (s) + 2 CO (g)
通过计算回答: 1.标准状态下,298 K 时,反应能否自发进行?
2.温度升到1000 o C,反应的平衡常数多大?
3.标准状态下,反应自发进行的温度是多少?
4.如果在反应体系中加装排风装置导出CO, 使CO(g)的分压为0.010bar, 反应
温度可以降到多少?
热力学数据
(298K) Δf H mθ (kJ ⋅ mol-1) Δf G mθ (kJ ⋅ mol-1) Sθ (J ⋅ mol-1⋅ K-1) Ni (s) 0 0 30
CO (g) -110.5 -137.2 197.5
Ni (CO)4 -603 - 402
C(s) 0 0 5.7
Si(s) 0 0 18.8
SiO2(s) -910.7 -856.3 41.5
六、气态三聚乙醛的分解反应为:(CH3CHO)3 = 3 CH3CHO,519 K 时的速率常数为3.05×10-4 s-1。
1.求此反应的半衰期t1 /2 ;
2. 若三聚乙醛起始压力为p o,反应过程中其分压(p)与体系总压力(p t)及p o的关系如何?
3.若三聚乙醛的起始压力为46.5 kPa , 反应30.0 min 后,三聚乙醛分压多大?体系的压力多大?
4.当测得总压力为93.0kPa, 反应了多长时间?
2。