3第三章 微分中值定理与导数的应用习题解答
- 格式:doc
- 大小:1.28 MB
- 文档页数:16
第3章 微分中值定理与导数应用习题解答1.验证中值定理的正确性(1) 验证罗尔定理对函数y =ln sin x 在区间]65 ,6[ππ上的正确性.解 因为y =ln sin x 在区间]65 ,6[ππ上连续, 在)65 ,6(ππ内可导, 且)65()6(ππy y =, 所以由罗尔定理知, 至少存在一点)65 ,6(ππξ∈, 使得y '(ξ)=cot ξ=0. 由y '(x )=cot x =0得)65 ,6(2πππ∈,因此确有)65 ,6(2πππξ∈=, 使y '(ξ)=cot ξ=0.(2) 验证拉格朗日中值定理对函数y =4x 3-5x 2+x -2在区间[0, 1]上的正确性.解 因为y =4x 3-5x 2+x -2在区间[0, 1]上连续, 在(0, 1)内可导, 由拉格朗日中值定理知, 至少存在一点ξ∈(0, 1), 使001)0()1()(=--='y y y ξ. 由y '(x )=12x 2-10x +1=0得)1 ,0(12135∈±=x .因此确有)1 ,0(12135∈±=ξ, 使01)0()1()(--='y y y ξ.(3) 对函数f (x )=sin x 及F (x )=x +cos x 在区间]2 ,0[π上验证柯西中值定理的正确性. 解 因为f (x )=sin x 及F (x )=x +cos x 在区间]2 ,0[π上连续, 在)2 ,0(π可导, 且F '(x )=1-sin x 在)2 ,0(π内不为0, 所以由柯西中值定理知至少存在一点)2,0(πξ∈, 使得)()()0()2()0()2(ξξππF f F F f f ''=--. 令)0()2()0()2()()(F F f f x F x f --=''ππ, 即22sin 1cos -=-πx x .化简得14)2(8sin 2-+-=πx . 易证114)2(802<-+-<π, 所以14)2(8sin 2-+-=πx 在)2 ,0(π内有解, 即确实存在)2,0(πξ∈, 使得)()()0()2()0()2(ξξππF f F F f f ''=--.2. 证明题:(1)证明恒等式: 2arccos arcsin π=+x x (-1≤x ≤1).证明 设f (x )= arcsin x +arccos x . 因为 01111)(22≡---='x x x f ,所以f (x )≡C , 其中C 是一常数.因此2arccos arcsin )0()(π=+==x x f x f , 即2arccos arcsin π=+x x .(2)若方程a 0x n +a 1x n -1+ ⋅ ⋅ ⋅ + a n -1x =0有一个正根x 0, 证明方程a 0nx n -1+a 1(n -1)x n -2 + ⋅ ⋅ ⋅ +a n -1 =0必有一个小于x 0的正根.证明 设F (x )=a 0x n +a 1x n -1+ ⋅ ⋅ ⋅ + a n -1x , 由于F (x )在[0, x 0]上连续, 在(0, x 0)内可导, 且F (0)=F (x 0)=0, 根据罗尔定理, 至少存在一点ξ∈(0, x 0), 使F '(ξ)=0, 即方程a 0nx n -1+a 1(n -1)x n -2 + ⋅ ⋅ ⋅ +a n -1 =0 必有一个小于x 0的正根.(3)若函数f (x )在(a , b )内具有二阶导数, 且f (x 1)=f (x 2)=f (x 3), 其中a <x 1<x 2<x 3<b , 证明: 在(x 1, x 3)内至少有一点ξ, 使得f ''(ξ)=0.证明 由于f (x )在[x 1, x 2]上连续, 在(x 1, x 2)内可导, 且f (x 1)=f (x 2), 根据罗尔定理, 至少存在一点ξ1∈(x 1, x 2), 使f '(ξ1)=0. 同理存在一点ξ2∈(x 2, x 3), 使f '(ξ2)=0.又由于f '(x )在[ξ1, ξ2]上连续, 在(ξ1, ξ2)内可导, 且f '(ξ1)=f '(ξ2)=0, 根据罗尔定理, 至少存在一点ξ ∈(ξ1, ξ2)⊂(x 1, x 3), 使f ''(ξ )=0.(4) 设a >b >0, n >1, 证明: nb n -1(a -b )<a n -b n <na n -1(a -b ) .证明 设f (x )=x n , 则f (x )在[b , a ]上连续, 在(b , a )内可导, 由拉格朗日中值定理, 存在ξ∈(b , a ), 使f (a )-f (b )=f '(ξ)(a -b ), 即a n -b n =n ξ n -1(a -b ). 因为 nb n -1(a -b )<n ξ n -1(a -b )< na n -1(a -b ), 所以 nb n -1(a -b )<a n -b n < na n -1(a -b ) .3. 用洛必达法则求下列极限: (1)22)2(sin ln limx x x -→ππ; (2)nn m m ax a x a x --→lim; (3)x xx 2tan ln 7tan ln lim0+→; (4)x x x 3tan tan lim 2π→;(5)2120lim x x e x →; (6)⎪⎭⎫ ⎝⎛---→1112lim 21x x x ; (7)x x xa )1(lim +∞→; (8)xx xsin 0lim +→; 解: (1)812csc lim 41)2()2(2cot lim )2(sin ln lim 22222-=---=-⋅-=-→→→x x x x xx x x πππππ.(2)nm n m n m ax nn m m ax a nm na mx nx mx a x a x -----→→===--1111limlim. (3)2000021sec 77ln tan 77tan 272tan 7lim lim lim lim 11ln tan 22tan 727sec 22tan 2x x x x x x x x x x x x x x→+→+→+→+⋅⋅====⋅⋅.(4))sin (cos 23)3sin (3cos 2lim31cos 3cos lim 3133sec sec lim 3tan tan lim 22222222x x x x x x x x x x x x x x -⋅-==⋅=→→→→ππππ 3sin 3sin 3lim cos 3cos lim22=---=-=→→x xx x x x ππ.(5)+∞====+∞→+∞→→→1lim lim 1lim lim 2101222t t t t x x xx e t e x e e x (注: 当x →0时, +∞→=21xt ). (6)2121lim 11lim 1112lim 12121-=-=--=⎪⎭⎫ ⎝⎛---→→→x x x x x x x x . (7)解法1 因为)1ln(lim )1(lim x ax x x x exa +∞→∞→=+, 而 221()ln(1)1lim (ln(1)limlim 11x x x aa axa x x x x x x→∞→∞→∞⋅-+++==- limlim 1x x ax aa x a →∞→∞===+ ,所以 a x ax x x x e exa ==++∞→∞→)1ln(lim )1(lim . 解法2 lim 1lim 1axxa ax x a a e x x →∞→∞⎡⎤⎛⎫⎛⎫⎢⎥+=+= ⎪ ⎪⎢⎥⎝⎭⎝⎭⎣⎦(8) 因为x x x x x e x ln sin 0sin 0lim lim +→+→=,而 00ln lim sin ln lim csc x x x x x x →+→+= 2001sin lim lim 0csc cot cos x x x x x x x x→+→+==-=-⋅ ,所以 1lim lim 0ln sin 0sin 0===+→+→e e x x x x x x .4. 验证下列各题: (1) 验证极限xxx x sin lim+∞→存在, 但不能用洛必达法则得出.解 1)s i n 1(l i m s i n l i m =+=+∞→∞→x x x x x x x , 极限x xx x sin lim+∞→是存在的. 但)cos 1(lim 1cos 1lim )()sin (limx xx x x x x x +=+=''+∞→∞→∞→不存在, 不能用洛必达法则.(2) 验证极限xx x x sin 1sinlim20→存在, 但不能用洛必达法则得出.解 0011sin sin lim sin 1sinlim020=⋅=⋅=→→xx x x x x x x x , 极限x x x x sin 1sinlim 20→是存在的. 但xx x x x x x x x cos 1cos1sin 2lim )(sin )1sin (lim020-=''→→不存在, 不能用洛必达法则. 5. 将下列函数展开的带有佩亚诺型余项的n 阶泰勒公式(1) 求函数f (x )=ln x 按(x -2)的幂展开的带有佩亚诺型余项的n 阶泰勒公式. 解 因为f '(x )=x -1, f ''(x )=(-1)x -2, f '''(x )=(-1)(-2)x -3 , ⋅ ⋅ ⋅ , nn nn x n x n x f )!1()1()1( )2)(1()(1)(--=+-⋅⋅⋅--=--;kk k k f 2)!1()1()2(1)(--=-(k =1, 2, ⋅ ⋅ ⋅, n +1)所以])2[()2(!)2( )2(!3)2()2(!2)2()2)(2()2(ln )(32n n n x o x n f x f x f x f f x -+-+⋅⋅⋅+-'''+-''+-'+=])2[()2(2)1( )2(231)2(221)2(212ln 13322n n nn x o x n x x x -+-⋅-+⋅⋅⋅--⋅+-⋅--+=-.(2) 求函数f (x )=xe x 的带有佩亚诺型余项的n 阶麦克劳林公式. 解 因为f '(x )=e x +x e x ,f ''(x )=e x +e x +x e x =2e x +x e x , f '''(x )=2e x +e x +x e x =3e x +x e x , ⋅ ⋅ ⋅, f (n )(x )=ne x +xe x ;f (k )(0)=k (k =1, 2, ⋅ ⋅ ⋅, n ),所以 )(!)0( !3)0(!2)0()0()0()(32n nn xx o x n f x f x f x f f xe ++⋅⋅⋅⋅+'''+''+'+=)()!1(1!2132n n x o x n x x x +-⋅⋅⋅+++=.6. 确定下列函数的单调区间:(1) y =2x 3-6x 2-18x -7; (2)xx x y 6941023+-=; 解 (1) y '=6x 2-12x -18=6(x -3)(x +1)=0, 令y '=0得驻点x 1=-1, x 2=3. 列表得可见函数在(-∞, -1]和[3, +∞)内单调增加, 在[-1, 3]内单调减少.(2)223)694()1)(12(60x x x x x y +----=', 令y '=0得驻点211=x , x 2=1, 不可导点为x =0. 列表得可见函数在(-∞, 0), ]21 ,0(, [1, +∞)内单调减少, 在]1 ,21[上单调增加.7.证明下列不等式::(1)当x >0时, x x +>+1211;(2)当x >4时, 2x >x 2;证明 (1)设x x x f +-+=1211)(, 则f (x )在[0, +∞)内是连续的. 因为x x f +-='12121)(01211>+-+=xx , 所以f (x )在(0, +∞)内是单调增加的, 从而当x >0时f (x )>f (0)=0, 即 01211>+-+x x ,也就是 x x +>+1211.(2)设f (x )=x ln2-2ln x , 则f (x )在[4, +∞)内连续, 因为 0422ln 224ln 22ln )(=->-=-='e x x x f ,所以当x >4时, f '(x )>0, 即f (x )内单调增加.因此当x >4时, f (x )>f (4)=0, 即x ln2-2ln x >0,也就是2x >x 2.8.求下列函数图形的拐点及凹或凸的区间: (1) y =x 3-5x 2+3x +5 ; (2) y =xe -x ;(3) y =(x +1)4+e x .解 (1)y '=3x 2-10x +3, y ''=6x -10. 令y ''=0, 得35=x .因为当35<x 时, y ''<0; 当35>x 时, y ''>0, 所以曲线在]35 ,(-∞内是是凸的, 在) ,35[∞+内是凹的, 拐点为)2720,35(.(2)y '=e -x -x e -x , y ''=-e -x -e -x +x e -x =e -x (x -2). 令y ''=0, 得x =2.因为当x <2时, y ''<0; 当x >2时, y ''>0, 所以曲线在(-∞, 2]内是凸的, 在[2, +∞)内是凹的, 拐点为(2, 2e -2).(3)y '=4(x +1)3+e x , y ''=12(x +1)2+e x .因为在(-∞, +∞)内, y ''>0, 所以曲线y =(x +1)4+e x 的在(-∞, +∞)内是凹的, 无拐点.9.求函数的极值:(1) y =2x 3-6x 2-18x +7; (2) y =x -ln(1+x ); (3) y =-x 4+2x 2 .解 (1)函数的定义为(-∞, +∞), y '=6x 2-12x -18=6(x 2-2x -3)=6(x -3)(x +1), 驻点为x 1=-1, x 2=3. 列表可见函数在x =-1处取得极大值17, 在x =3处取得极小值-47.(2)函数的定义为(-1, +∞), xxx y +=+-='1111, 驻点为x =0. 因为当-1<x <0时, y '<0; 当x >0时, y '>0, 所以函数在x =0处取得极小值, 极小值为y (0)=0.(3)函数的定义为(-∞, +∞),y '=-4x 3+4x =-4x (x 2-1), y ''=-12x 2+4, 令y '=0, 得x 1=0, x 2=-1, x 3=1.因为y ''(0)=4>0, y ''(-1)=-8<0, y ''(1)=-8<0, 所以y (0)=0是函数的极小值, y (-1)=1和y (1)=1是函数的极大值.10.求下列函数的最大值、最小值: (1) y =2x 3-3x 2 , -1≤x ≤4;(2) y =2x 3-6x 2-18x -7(1≤x ≤4).解 (1)y '=6x 2-6x =6x (x -1), 令y '=0, 得x 1=0, x 2=1. 计算函数值得 y (-1)=-5, y (0)=0, y (1)=-1, y (4)=80,经比较得出函数的最小值为y (-1)=-5, 最大值为y (4)=80.(2) y '=6x 2-12x -18=6(x -3)(x +1), 函数f (x )在1≤x ≤4内的驻点为x =3. 比较函数值:f (1)=-29, f (3)=-61, f (4)=-47,函数f (x )在x =1处取得最大值, 最大值为f (1)=-29.11.某地区防空洞的截面拟建成矩形加半圆(如图), 截面的面积为5m 2, 问底宽x 为多少时才能使截面的周长最小, 从而使建造时所用的材料最省?解 设矩形高为h , 截面的周长S , 则5)2(212=⋅+πx xh , x x h 85π-=.于是xx x x h x S 10422++=++=ππ(π400<<x ), 21041xS -+='π.令S '=0, 得唯一驻点π+=440x .因为0203>=''xS , 所以π+=440x 为极小值点, 同时也是最小值点. 因此底宽为π+=440x 时所用的材料最省. 12.从一块半径为R 的圆铁片上挖去一个扇形做成一漏斗(如图), 问留下的扇形的中心角ϕ取多大时, 做成的漏斗的容积最大?解 漏斗的底周长l 、底半径r 、高h 分别为 l =R ⋅ϕ, πϕ2R r =, 222242ϕππ-=-=Rr R h .漏斗的容积为22223242431ϕππϕπ-==R hr V (0<ϕ<2π).2222234)38(24ϕπϕπϕπ--⋅='R V ,驻点为πϕ362=. 由问题的实际意义, V 一定在(0, 2π)内取得最大值, 而V 在(0, 2π)内只有一个驻点, 所以该驻点一定也是最大值点. 因此当ϕ π362=时, 漏斗的容积最大.13.一房地产公司有50套公寓要出租. 当月租金定为1000元时, 公寓会全部租出去. 当月租金每增加50元时, 就会多一套公寓租不出去, 而租出去的公寓每月需花费100元的维修费. 试问房租定为多少可获最大收入?解 房租定为x 元, 纯收入为R 元.当x ≤1000时, R =50x -50⨯100=50x -5000, 且当x =1000时, 得最大纯收入45000元. 当x >1000时,700072501100)]1000(5150[)]1000(5150[2-+-=⋅---⋅--=x x x x x R ,72251+-='x R . 令R '=0得(1000, +∞)内唯一驻点x =1800. 因为0251<-=''R , 所以1800为极大值点, 同时也是最大值点. 最大值为R =57800.因此, 房租定为1800元可获最大收入.。
高等数学第七版教材答案详解1. 课后习题答案1.1 第一章:函数与极限1.1.1 习题1解答1.1.2 习题2解答...1.2 第二章:导数与微分1.2.1 习题1解答1.2.2 习题2解答...1.3 第三章:微分中值定理与导数的应用1.3.1 习题1解答1.3.2 习题2解答...2. 课后思考题答案2.1 第一章:函数与极限2.1.1 思考题1解答2.1.2 思考题2解答...2.2 第二章:导数与微分2.2.1 思考题1解答2.2.2 思考题2解答...2.3 第三章:微分中值定理与导数的应用2.3.1 思考题1解答2.3.2 思考题2解答...3. 课后习题详解3.1 第一章:函数与极限3.1.1 习题1详解3.1.2 习题2详解...3.2 第二章:导数与微分3.2.1 习题1详解3.2.2 习题2详解...3.3 第三章:微分中值定理与导数的应用3.3.1 习题1详解3.3.2 习题2详解...在这篇文章中,我将给出《高等数学第七版》教材的习题答案和课后思考题答案的详细解析。
为了方便阅读,我将按章节划分答案,并提供习题和思考题的解答。
如果你在学习过程中遇到了困惑,希望这些答案能够帮助你更好地理解相关的数学概念和解题方法。
首先,我将给出每章节的课后习题答案。
在习题解答中,我将详细解释每个题目的解题思路和步骤,并给出最终答案。
你可以根据自己的需要,选择性地查看想要解答的习题。
接下来是课后思考题答案的解析。
这些思考题往往比较有挑战性,需要一定的思考和推导。
我将为每个思考题提供解答,希望能够帮助你在思考和解决问题时找到正确的方向。
最后,我将给出课后习题的详细解析。
在这一部分中,我将逐题逐题地分析解题思路,并给出详细的步骤和推导过程。
通过仔细研究这些解析,你可以更好地理解每个题目的解法,并且提高自己的解题能力。
总之,在这篇文章中,我将为你提供《高等数学第七版》教材的习题答案和课后思考题答案的详细解析。
微分中值定理例3.1 证明方程322x x +=-有且仅有一实根.例3.2 设()f x 在[]0,a 上连续,在()0,a 内可导,且()0f a =,证明:存在一点()0,a ξ∈,使得()()0f f ξξξ'+=. 例3.4 证明当0>x 时,x x xx <+<+)1ln(1.习题3.11.选择题(1)函数()f x =).(A) []0,1 (B) [1,1]- (C) [2,2]- (D)34,55⎡⎤-⎢⎥⎣⎦ (2)下列函数在给定的区间上,满足拉格朗日中值定理条件的是( ) (A)()f x x =[]1,1- (B) ()cos f x x = []1,1-(C)1()f x x=[]1,1- (D)21,0()1,x x f x x x +≤⎧=⎨+>⎩ []1,1-(3)设()f x 连续可导,且()0f x =有5个不等实根,则()0f x '=至少有( )个实根. (A)5 (B) 1 (C)4 (D)3(4)设()f x 在[],a b 连续,在(),a b 内三阶可导,且()0f x =在(),a b 内有5个不等实根,则()0f x '''=至少有( )个实根.(A)0 (B) 1 (C)2 (D)3 2.填空题(1)设()(1)(2)(3)(4)f x x x x x x =----,则()0f x '=有 个实根. (2)对函数xy e =在[]0,1上应用拉格朗日中值定理,得到的ξ= .3.证明方程5321x x x ++=有且仅有一个正实根.4.证明多项式()33f x x x a =-+在[]0,1上至多有一个零点.5.设函数()f x 在闭区间[]0,1上可导,对[]0,1上的任意x 都有0()1f x <<,且对任意()0,1x ∈都有()1f x '≠,证明:在()0,1内有且仅有一个x 使得()f x x =.洛必达法则例3.8 求xx x x x tan tan lim2-→.例3.10 求极限0lim ln x x x +→⋅例3.11 求极限011lim tan x xx →⎛⎫-⎪⎝⎭例3.12 求极限 0lim xx x +→习题3.21.求下列极限 (1)0tan limsin x x x x x→-- (2)2arcsin limsin x x x x x→-(3)011lim ln(1)x x x →⎡⎤-⎢⎥+⎣⎦(4)lim nx x xe →+∞(其中n 是正整数)(5)sin sin limx ax ax a→-- (6)()111155lim0x ax a a x a→-≠-(7)02limsin x xx e exx x-→---(8)011lim sin x xx →⎛⎫-⎪⎝⎭(9)()tan21lim 2xx x π→- (10)()0lim sin xx x +→函数单调性与极值以及曲线凹凸性例3.19讨论22ln y x x =-的单调区间,并求极值例 3.20 设()()()()121,,f x x x x '=-+∈-∞+∞,在1,12⎛⎫⎪⎝⎭内讨论()f x 的单调性和曲线()y f x =凹凸性例3.21设()f x 有二阶连续导数,()0(0)0,lim1x f x f x→'''==,则( )(A ) (0)f 不是)(x f 的极值点,()0,(0)f 也不是曲线()y f x =的拐点;(B ) (0)f 是)(x f 的极值点,()0,(0)f 也是曲线()y f x =的拐点; (C ) ()0,(0)f 是曲线()y f x =的拐点;(D )(0)f 是)(x f 的极小值点.例3.24 当0x >时,证明不等式3sin 6xx x -<.习题3.41.选择题(1)下面说法正确的是( )(A)如果可导函数()f x 在(),a b 内单调增加,那么()0f x '>;(B)如果可导函数()f x 在0x 处有水平切线,那么()f x 在0x 处取得极值; (C)如果可导函数在(),a b 内只有唯一的驻点,那么该驻点一定是极值点; (D)如果可导函数()f x 在0x 处取得极值,那么()0f x '=.(2)函数()f x 在点0x x =处连续且取得极小值,则()f x 在0x 处必有( ). (A)0()0f x '=且0()0f x ''>; (B)0()0f x '=; (C)0()0f x '=或不存在; (D)0()0f x ''>. (4)曲线arctan y x x =的图形( )(A)在(),-∞+∞内是凹的; (B)在(),-∞+∞内是凸的; (C)在(),0-∞内是凸的,在()0,+∞内是凹的; (D)在(),0-∞内是凹的,在()0,+∞内是凸的. (5)函数21x y e +=的单调增区间为( )(A )(),-∞+∞ (B ) [)0,+∞ (C ) [)1,+∞ (D ) (],0-∞(6)设0a <,则当满足条件( )时函数 32()38f x ax ax =++为增函数.(A)2x <-; (B)20x -<<; (C)0x >; (D)2x <-或0x >. (7)设函数()f x 及()g x 都在0x x =处取得极大值,()()()F x f x g x =,则()F x 在0x x = 处( )(A)必取得极小值; (B)必取得极大值;(C)必不取得极值; (D)是否取得极值不能确定. 2.填空题(1) 函数331y x x =-+的单调减区间为 ; 曲线331y x x =-+的凹区间为 . (2)函数32()31f x x x =++在区间[]3,1-上的最小值为 . (3)设()f x 在[]15,x x 上有连续导数,且()f x '则()f x 在()15,x x 内的极小值点为(4)函数3()1f x x ax =-+在点1x =处取极小值,则a = . (5)方程3310x x -+=,有 个实根. 3.确定下列函数的单调区间.(1)223y x x =-+ (2)()cos 02y x x xπ=+≤≤(3)x y x e -=+ (4)y =4.讨论下列函数确定的曲线的凹凸性和拐点. (1)3223124y x x x =+-+ (2)()523539y x x =+-5.证明下列不等式:(1).证明:当1x >时,x e ex >.(2)证明:当01x <<时,22ln 1x x ->. (3)证明:当0x >时,()2ln 12xx x -<+.(4)证明:当02x π<<时,sin cos x x x >.(7)证明:当0x >时,13x≥-.6.求函数()32()11f x x =-+的极值. 7.求函数y x =在闭区间[]5,1-上的最大值和最小值.9.已知32()f x x ax bx =++在1x =处有极小值2-,求a 和b .10.当a 为何值时,函数1()sin sin 33f x a x x =+在3x π=处必有极值,它是极大值还是极小值,并求此极值.13.求内接于半径为R 的球圆柱体的体积的最大值.14.在半径为R 的圆内作一个内接矩形,试将矩形的面积的最大值.15. 设有一块边长为a 的正方形铁皮,现将它的四角剪去边长相等的小正方形后,制作一个无盖盒子,问小正方形边长为多少时盒子的容积最大?.16.抛物线22(0)y px p =>和直线x a =(0)a >的内接矩形(一边在x a =上)的宽E F 为多少时,其面积最大?。
M 12丿」I 2丿第三章 微分中值定理与导数的应用习题3-11.解:(1)虽然 f(x)在[—1,1]上连续,f(—1) = f(1),且 f(x)在(—1,1)内可导。
可见,f(x)在[_1,1]上满足罗尔中值定理的条件,因此,必存在一点 匕€(-1,1),使得f 牡)=0,即:f(X)=cosx, F(X)=1 — sin X 且对任一 x 乏0,—】,F'(X)H 0, ”■. f (x),F (x)满足柯西 I 2丿中值定理条件。
—12©宀2=0,满足、; (2)虽然f(x)在[—1,1]上连续,f(_1)= f (1),但 f (x)在(—1,1)内 x = 0点不可导。
可 见,f (x)在[ —1,1]上不满足罗尔中值定理的条件,因此未必存在一点 £ £ (_1,1),使得 f 徉)=0. 2.因为函数是一初等函数,易验证满足条件 3 3 .解:令 y = 3arccos x - arccos(3x - 4x 3), y ‘ = 一 23 —12x 2厂工®®3)2,化简得 y'=0,「. y =c ( C 为常数),又 y(0.5)=兀,故当-0.5<x<0.5,有 y(x)=兀。
「兀f f 兀、 4 .证明:显然f(x), F(x)都满足在'|0,二I 上连续,在10,二 内可导L 2」 I 2丿 c oxsn ——x、、2丿F Q-F(O)12丿兀--1 2F( x) -1 sixn_c O 弓-x厂(X )_F(x) ZL"2 /兀 X ,,即 tan I - -- U--1,此时l 4 2丿 2f JI「兀X = 2 I — -arctan l — -1L 4l 2显然萨〔0,-〕,即丿」 I 2丿5.解:因为f(0) = f (1)= f (2) = f (3) =0,又因为f(x)在任一区间内都连续而且可导, 所以f (X)在任一区间 0,1 ], 1,2], [2,3]内满足罗尔中值定理的条件, 所以由罗尔定理,得:3" -(0,1), "^(1,2), ©-(2,3),使得:f 徉1 )= 0 r =) &:◎(=), 30 因为6.证明:设f(x) =0的n+1个相异实根为X o V X 1 <X 2 <H( <X n则由罗尔中值定理知:存在J (i =1,2,川n):X0 <:勺1cj ■<X2 vill <-1^Xn ,使得再由罗尔中值定理至少存在So =1,2,川n-1):上11 C 巴21 V ©2 吒 W ©3 V i 11 < J n d W G n ,使得7.解:反证法,倘若 p(X)=0有两个实根,设为X^X 2,由于多项式函数 p(x)在[X 1,X 2]上连续且可导,故由罗尔中值定理存在一点E€(X I ,X 2),使得P 徉)=0,而这与所设p'(x)=0没有实根相矛盾,命题得证。
《高等数学教程》第三章 习题答案习题3-1 (A)1. 34=ξ 2. 14-=πξ习题3-2 (A)1. (1)31 (2) 81- 1)12()11()10(1)9(31)8(21)7()6(21)5(1)4(3)3(31e e --∞习题3-2 (B)1. n a a a e e 21)8(1)7(0)6(2)5(21)4(32)3(1281)2(41)1(--2. 连续4. )(a f ''5. )0()1(g a '=⎪⎪⎩⎪⎪⎨⎧=+''≠--+'='0]1)0([210]c o s )([]s i n)([)()2(2x g x x x x g x x g x x f(3) 处处连续.习题3-31. 432)4()4(11)4(37)4(2156)(-+-+-+-+-=x x x x x f2. 193045309)(23456+-+-+-=x x x x x x x f3. )40(,)(cos 3]2)()[sin sin(31tan 4523<<+++=θθθθx x x x x x x4.)10()]4(4[16!4)4(15)4(5121)4(641)4(412432<<-+---+---+=θθx x x x x x5. )10()(!)1(2132<<+-++++=θn nxx O n x x x x xe6. 645.1≈e7. 430533103.1;3090.018sin )2(1088.1;10724.330)1(--⨯<≈⨯<≈R R8. 121)3(21)2(23)1(-习题3-4 (A)1. 单调减少2. 单调增加3. .),23()23,()1(内单调下降在内单调上升;在+∞-∞.),2[]2,0()2(内单调增加在内单调减少;在+∞ .),()3(内单调增加在+∞-∞.),21()21,()4(内单调增加在内单调减少;在+∞-∞ .),[]0[)5(内单调下降在上单调上升;,在+∞n n7. (1) 凸 (2) 凹 (3)内凸内凹,在在),0[]0,(+∞-∞ (4)凹 8. ),(内凹,拐点内凸,在)在(82),2[]2,(1-+∞-∞ ),(内凹,拐点内凸,在)在(222),2[]2,(2e+∞-∞ 内凹,无拐点)在(),(3+∞-∞),(),(:内凹,拐点,内凸,在),,)在(2ln 1;2ln 1]11[1[]1,(4--∞+--∞ ),(内凸,拐点内凹,在)在(3arctan 21),21[]21,(5e +∞-∞ ),(凹,拐点),、凸,在、)在(001[]0,1[]1,0[]1,(6∞+---∞ 9. 29,32=-=b a10. a = 3, b = -9, c = 811. a = 1, b = -3, c = 24, d = 16习题3-4 (B)1. .)1,21(),1()21,0()0,()1(内单调增加在内单调减少;、、在∞+-∞.]22,32[]32,2[)2(内单调下降在内单调上升;在πππππππ+++k k k k .],32[),[]32,()3(内单调下降在内单调上升;、在a a a a ∞+-∞ 2. .1)3(10)2(1)1(是有一个实根时有两个实根时无实根ea e a e a =<<>3. .)2,0(内只有一个实根在π8. .9320时及当=≤k k 9. 在)(凹,拐点凹,在2,),[],(a b b b +∞-∞ 12. 82±=k 习题3-5 (A)1. .1)2(,5)0()1(==y y 极小值极大值.0)0(,4)2()2(2==-y e y 极小值极大值.25)16(,1)4()3(==y y 极小值极大值.205101)512()4(=y 极大值.45)43()5(=y 极大值.0)0()6(=y 极小值 (7) 没有极值. .)()8(1e e e y =极大值.3)1()9(=y 极大值.0)5()1(,18881)21()10(3==-=y y y 极小值极大值2. .14)2(,11)3()1(-==y y 最小值最大值.22)2ln 21(,2)1()2(1=-+=-y e e y 最小值最大值.2ln )41(,0)1()3(-==y y 最小值最大值3. 提示:可导函数的极值点必为驻点,.在题设条件下无驻点所以可证明y '4. .29)1(-=y 最大值5. .27)3(=-y 最小值6. .3)32(,2为极大值==f a7. .21,2-=-=b a8. 长为100m ,宽为5m.9. .1:1:;22,233===h d v h v r ππ 10. .44ππππ++aa ,正方形周长为圆的周长为11. .3843a a h π时,最小体积为锥体的高为=12. .22.1.776小时时间为公里处应在公路右方13. .6000)2(1000)1(==x x14. .45060075.3元件,每天最大利润为元,进货量为定价为 15. .167080,101利润=p习题3-5 (B)1. 1,0,43,41==-==d c b a 2. x = 1为极小点,y (1) = 1为极小值3. 当c = 1时,a = 0,b = -3,当c = -1时,a = 4,b = 5.4. 296)(23++-=x x x x P5. (1) f (x ) 在x = 0处连续;(2) 当ex 1=时,f (x ) 取极小值;当 x = 0时f (x ) 取极大值. 6. 310=x 当时,三角形面积最小7. 323)2()(11)1(032=--=-l x x x x y 8. .1222-≥<b b b b 时为,当时为当 9. 400 10.bc a 2 11. c a e bd L ae bd q -+-=+-=)(4)(,)(2)1(2最大利润eqedd -=η)2( ed q 21)3(==得当η 12. 2)2()4(25)1(=-=t t x 13. 156250元14. (1) 263.01吨 (2) 19.66批/年 (3)一周期为18.31天 (4)22408.74元15. 2)2()111(1)()1(-+-+=e n n n n M n16. 提示:.)1()1(ln )1()(22是极小值,证明令f x x x x f ---=习题3-6 (A)1. (1) x = 0, y = 1; (2) x = -1, y = 0; (3) x = -1, x = 1, y = 0 ; (4) x = 1, x = 2, x = -3.2. 略习题3-6 (B)1. ex y e x 1,1)1(+=-=(2)x= -1,x=1,y= -2 (3)y=x, x=0 (4)y= -2, x=0 4121,21)5(-=-=x y x2. 略习题3-7 (A)1. k=22. x x k sec ,cos ==ρ3. 02sin 32t a k =4. a a k t 4,41,===ρπ 5. 233)22ln ,22(处曲率半径有最小值- 习题3-7 (B)1. 略2. ⎪⎪⎭⎫ ⎝⎛++=)2(),2(,332323132323131x a y y a x axyR 曲率圆心3. 8)2()3(22=++-ηξ4. 约1246 (N) [提示:作匀速圆周运动的物体所受的向心力为Rmv F 2=]5. 16125)49()410(22=-+--ηπξ 习题3-81.19.018.0<<ξ 2. 19.020.0-<<-ξ 3. 33.032.0<<ξ 4. 51.250.2<<ξ总复习题三一. (1)B (2)B (3)B (4)D (5)C (6)B (7)C (8)B (9)C (10)C] 二. 25)8(/82)7()0,1()6(3)5(63)4()22,22()3(2ln 1)2(2)1(3s cm π+--x x x xeyx y 4)1(,)1(4)10()9(2222+++=三. 9)3(0)2(3)1(,7541,6,50,40,31,221,123---e⎪⎪⎩⎪⎪⎨⎧=-''≠++-'='-0)1)0((210)1()()()()1(,82x g x x e x x g x g x x f x上连续在),()()2(+∞-∞'x f 9, 略四、证明题和应用题 6.)027.0,025.0()2(450449)1(7.)2,2(b a P8.12ln 31,2ln 3121-+ 9.%82.0%13)3(173)2(20)1(总收益增加,时,若价格上涨当=-p pp10.略。
第三章 中值定理与导数的应用一、是非题1.函数12+=x y .在区间[-1,1]上满足罗尔中值定理条件的是( √ ) 2.方程0155=+-x x 在()1,1-内有且仅有一个实根 ( √ )3.若对任意()b a x ,∈,有()()x g x f '=',则对任意()b a x ,∈,有()()x g x f =, (× )4.sin limx xx→∞是未定型。
. ( × )5.在罗比塔法则中,A x g x f x x =→)(')('lim 0是 A x g x f x x =→)()(lim 0的充要条件. ( × )6..因 x x x x x x x x cos 1cos 1limsin sin lim+-=+-∞→∞→不存在,所以xx x x x sin sin lim +-∞→不存在. ( × ) 7..32122lim )'1()'1(lim 11lim 1221221=+=-+-=-+-→→→x x x x x x x x x x x . ( × )8. 若函数)(x f 在区间 ),(b a 内可导,则0)('>x f 是)(x f 在),(b a 内单调增加的充分必要条件. ( × )9.. 若0x 是)(x f 的极值点,则一定有)('0x f =0. ( × )10.. 若0x 是)(x f 的一个不可导点,则一定是)(x f 的一个极值点.( × )二、选择题1. 函数x x x f -=3)(在[0,3]上满足罗尔中值定理的=ξ( D )(A )0; (B )3; (C)23; (D)2. 2.函数xx f 21)(=满足拉格朗日中值定理条件的区间是( A ) (A ) [1,2]; (B )[-2,2]; (C)[-2,0]; (D)[0,1].3.函数()3553x x x f -=在R 上有 ( C )A .四个极值点;B .三个极值点C .二个极值点D . 一个极值点 4.设()x f 在闭区间[]1,1-上连续,在开区间()1,1-上可导,且()M x f ≤',()00=f ,则必有 ( C )A .()M x f ≥B .()M x f >C .()M x f ≤D .()M x f <5.若函数()x f 在[]b a ,上连续,在()b a ,可导,则 ( B ) A .存在()1,0∈θ,有()()()()()a b a b f a f b f --'=-θ, B .存在()1,0∈θ,有()()()()()a b a b a f b f a f --+'=-θ, C .存在()b a ,∈θ,有()()()()b a f b f a f -'=-θ, D .存在()b a ,∈θ,有()()()()b a f a f b f -'=-θ。
>第三章 微分中值定理与导数的应用一、选择题1、则,且存在,,设 ,1)x (f )x (f )x (f 0)x (f 0)x (f 00000-=+''''='>( )是否为极值点不能断定的极值点 不是 的极小值点是的极大值点 是0000x )D ()x (f x )C ( )x (f x )B ()x (f x )A (2、处必有在则处连续且取得极大值,在点函数 x )x (f x x )x (f y 00==( )0)x (f )B ( 0)x ('f )A (00<''= 或不存在 且 0)x (f )D (0)x (f 0)x (f )C (0'00=<''=3、的凸区间是 x e y x -=( )) , 2( (D) ) , (2 (C) 2) , ( (B) 2) , ( (A)∞+-∞+--∞-∞,4、在区间 [-1,1] 上满足罗尔定理条件的函数是 ( )(A)xx sin )x (f = (B)2)1x ()x (f += (C) 3 2x )x (f = (D)1x )x (f 2+=5、设f (x) 和g (x) 都在x=a 处取得极大值,F (x)=f (x)g (x),则F(x)在x=a 处( ) (A) 必取得极大值 (B)必取得极小值 (C)不取极值 (D)不能确定是否取得极值6、满足罗尔定理的区间是使函数 )x 1(x y 322-=( )(A) [-1,1] (B) [0,1] (C) [-2,2] (D) ]5 4, 5 3[- 7、x 2 e x y -=的凹区间是( )(A))2,(-∞ (B) )2,(--∞ (C) ) 1(∞+, (D) ) 1(∞+-,&8、函数)x (f 在0x x = 处连续,若0x 为)x (f 的极值点,则必有( ) .(A)0)(0='x f (B)0)(0≠'x f (C)0)(0='x f 或)(0x f '不存在 (D))(0x f '不存在 9、当a= ( ) 时,处取到极值在 3x 3sin3x asinx f(x)π=+=( ) (A) 1 (B) 2 (C)3 π(D) 010、间是适合罗尔定理条件的区使函数 )x 1(x )x (f 322-=( )]5 4, 5 3[)D ( ]2,2[)C ( ]1,1[)B ( ]1,0[)A (--- 11、(),则上的凹弧与凸弧分界点为连续曲线,若 )x (f y )x (f x 00=( )的极值必定不是的极值点为必定为曲线的驻点, 必为曲线的拐点, )x (f x )D ( )x (f x )C ( ))x (f x ( )B ( ))x (f x ( )A (000000、二、填空题 1、__________________e y82x的凸区间是曲线-=.2、______________ 2 x y x 的极小值点是函数=.3、的凸区间为曲线x 3 e y x+=_____________________ . 4、函数f (x )=x x 3-在[0,3]上满足罗尔定理的条件,由罗尔定理确定的罗尔中值点ξ= . 5、设曲线y =a 23bx x +以点(1,3)为拐点,则数组(a ,b )= . 6、函数1x 3x y 3+-=在区间 [-2,0] 上的最大值为 ,最小值为 . 7、函数 x sin ln y =在 [65, 6 ππ] 上的罗尔中值点ξ= . …8、1 x y +=在区间 [ 1,3 ] 的拉格朗日中值点ξ = _______________. 9、______________ 2 x y x 的极小值点是函数=. 10、______________ 2x y x 的极小值点是函数⋅=。
第三章 中值定理与导数的应用 3.1中值定理02.12)设函数()y f x =在(0,)+∞内有界且可导,则 ( B )(A )当l i m ()0x f x →+∞=时,必有lim ()0x f x →+∞'= (B )当l i m ()x f x →+∞'存在时,必有lim ()0x f x →+∞'=(C )当0l i m ()0x f x +→=时,必有0lim ()0x f x +→'= (D )当0l i m ()x f x +→'存在时,必有0lim ()0x f x +→'= 提示:sin ()xf x x=和()sin f x x =反例排除 02.34)设函数f (x )在闭区间[a ,b ]上有定义,在区间(a ,b )上可导,则 ( B ) (A )当()()0f a f b <时,存在(,)a b ξ∈,使()0f ξ=. (B )对任何(,)a b ξ∈,有[]lim ()()0x f x f ξξ→-=(C )当()()f a f b =时,存在(,)a b ξ∈,使()0f ξ'= (D )存在(,)a b ξ∈,使()()f a f b -=()()f b a ξ'-01.1)设y =f (x )在(-1,1)内具有二阶连续导数且()0f x ''≠,求证:(1)对于(-1,1)内的任意0x ≠,存在唯一的()(0,1)x θ∈,使得()(0)[()]f x f xf x x θ'=+成立;(拉格朗日+一导单调所以唯一)(2)01lim ()2x x θ→=. 证明:(2)对于非零(1,1),x ∈-由拉格朗日中值定理得()(0)[()]f x f xf x x θ'=+(01)θ<<于是2[()](0)()(0)(0)f x x f f x f f xx x θ'''---=两边取0x →的极限即得。
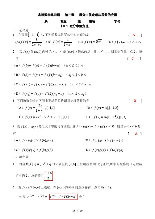
高等数学练习题 第三章 微分中值定理与导数的应用系 专业 班 姓名 学号§3.1 微分中值定理一.选择题1. 在区间[]1,1-上,下列函数满足罗尔中值定理的是 [ A ](A)()2321f x x =+ (B )()211f x x=- (C )()f x = (D )()2132f x x x =-+ 2. 若)(x f 在),(b a 内可导,1x 、2x 是),(b a 内任意两点,且21x x <,则至少存在一点ξ,使得 [ C ] (A )))(()()(a b f a f b f -'=-ξ (b a <<ξ); (B )))(()()(11x b f x f b f -'=-ξ (b x <<ξ1); (C )))(()()(1212x x f x f x f -'=-ξ (21x x <<ξ); (D )))(()()(22a x f a f x f -'=-ξ (2x a <<ξ)3.下列函数在给定区间上不满足拉格朗日定理条件的有 [ B ] (A )212)(xxx f +=,[1,1]- (B )x x f =)(,[1,2]- (C )254)(23-+-=x x x x f , [0,1] (D ))1ln()(2x x f +=,[0,3]4.设)(x f ,)(x g 是恒大于零的可导函数,且0)()()()(<'-'x g x f x g x f ,则当b x a <<时,有 [ A ] (A ))()()()(x g b f b g x f > (B ))()()()(x g a f a g x f > (C ))()()()(b g b f x g x f > (D ))()()()(a g a f x g x f > 二.填空题1. 对函数r qx px x f ++=2)(在区间],[b a 上应用拉格朗日定理时,所求的拉格朗日定理结论中的ξ 2. 若)(x f 在],[b a 上连续,在),(b a 内可导,则至少存在一点),(b a ∈ξ,使得 =-)()(a f b f e e成立3.设()(1)(2)(3)f x x x x x =---,则()0f x '=有 3 个根,它们分别位于区间 (0,1); (1,2); (2,3) 内. 三.证明题1. 当0a b <<,试证:ln b a b b ab a a--<< 证:令=)(x f x ln , 可知 )(x f 在],[b a 连续,在),(b a 上可导由拉格朗日定理可知,存在 ),(b a ∈ξ 使得 a ba b a b a b f ln ln ln )(1))(('=-=-=-ξξ 又b a <<<ξ0, 所以ab 111<<ξ, 且 0)(>-a b , 即ln b a b b ab a a--<<。
第三章 中值定理与导数的应用(A)1.在下列四个函数中,在[]1,1-上满足罗尔定理条件的函数是( ) A .18+=x y B .142+=x y C .21xy = D .x y sin = 2.函数()xx f 1=满足拉格朗日中值定理条件的区间是 ( ) A .[]2,2- B . []0,2- C .[]2,1 D .[]1,0 3.方程0155=+-x x 在()1,1-内根的个数是 ( ) A .没有实根 B .有且仅有一个实根 C .有两个相异的实根 D .有五个实根 4.若对任意()b a x ,∈,有()()x g x f '=',则 ( ) A .对任意()b a x ,∈,有()()x g x f = B .存在()b a x ,0∈,使()()00x g x f =C .对任意()b a x ,∈,有()()0C x g x f +=(0C 是某个常数)D .对任意()b a x ,∈,有()()C x g x f +=(C 是任意常数) 5.函数()3553x x x f -=在R 上有 ( )A .四个极值点;B .三个极值点C .二个极值点D . 一个极值点 6.函数()7186223+--=x x x x f 的极大值是 ( ) A .17 B .11 C .10 D .97.设()x f 在闭区间[]1,1-上连续,在开区间()1,1-上可导,且()M x f ≤',()00=f ,则必有 ( )A .()M x f ≥B .()M x f >C .()M x f ≤D .()M x f < 8.若函数()x f 在[]b a ,上连续,在()b a ,可导,则 ( ) A .存在()1,0∈θ,有()()()()()a b a b f a f b f --'=-θ B .存在()1,0∈θ,有()()()()()a b a b a f b f a f --+'=-θC .存在()b a ,∈θ,有()()()()b a f b f a f -'=-θD .存在()b a ,∈θ,有()()()()b a f a f b f -'=-θ9.若032<-b a ,则方程()023=+++=c bx ax x x f ( )A .无实根B .有唯一的实根C .有三个实根D .有重实根10.求极限xx x x sin 1sinlim20→时,下列各种解法正确的是 ( )A .用洛必塔法则后,求得极限为0B .因为xx 1lim0→不存在,所以上述极限不存在 C .原式01sin sin lim 0=⋅=→x x x x xD .因为不能用洛必塔法则,故极限不存在 11.设函数212x xy +=,在 ( ) A .()+∞∞-,单调增加 B .()+∞∞-,单调减少 C .()1,1-单调增加,其余区间单调减少 D .()1,1-单调减少,其余区间单调增加12.曲线xe y x+=1 ( )A .有一个拐点B .有二个拐点C .有三个拐点D . 无拐点 13.指出曲线23x xy -=的渐近线 ( ) A .没有水平渐近线,也没有斜渐近线 B .3=x 为其垂直渐近线,但无水平渐近线 C .即有垂直渐近线,又有水平渐近线 D . 只有水平渐近线14.函数()()312321--=x x x f 在区间()2,0上最小值为 ( )A .4729B .0C .1D .无最小值 15.求()201ln lim x x x x +-→16.求()⎪⎪⎭⎫⎝⎛-+→x x x 11ln 1lim 0 17.求x xx 3cos sin 21lim6-→π18.求()xx x1201lim +→19.求xx arctgx ln 12lim ⎪⎭⎫⎝⎛-+∞→π20.求函数149323+--=x x x y 的单调区间。
37第三章微分中值定理与导数的应用第一节微分中值定理一、填空题1.函数221y x x =-+在[1,1]-上满足拉格朗日中值定理的ξ=0.2.函数32()29123f x x x x =-+-的驻点为121,2x x ==.3.在曲线33(11)y x x x =--≤≤上,平行于连接曲线弧两端点的弦的切线方程为提示:曲线的两端点分别为(1,2),(1,2)--,从而切线斜率为2-,又 233y x '=-,2332x ∴-=-即33x =±,∴切点33,,33⎛⎛-⎝⎝∴切线方程为22y x y x +=+=-.二、单项选择题1.下列函数在给定区间上满足罗尔定理条件的是A .A.256,y x x=-+[2,3]B.e ,xy x -=[0,1]C.y =[0,2]D.1,51,5x x y x +<⎧=⎨≥⎩,[0,5]提示:选项C 在点1x =不连续,选项D 在点5x =不连续,选项B 中使e (1)xy x -'=-为零的点为1(0,1)∉.2.函数3y x =在[1,2]-上满足拉格朗日中值定理的ξ=B .A.0B.1C.12D.323.设1,0,()a b ab f x x<<=,则a x b <<时,使得()()()()f b f a f b a ξ'-=-成立的ξC .38A .只有一点B.只有两点C.不存在D.是否存在与,a b 取值有关三、解答题1.已知()f x 在[0,1]上连续,在(0,1)内可导,且(0)1,(1)0f f ==.求证:在(0,1)内至少存在一点ξ,使得()()f f ξξξ'=-.证明:令()()F x xf x =,则()F x 在[]0,1上连续,在()0,1内可导,且()()00,00,F f ==()()110F f ==,即()()01F F =;由罗尔定理可得,在()0,1内至少存在一点ξ,使得()0F ξ'=;故()()0f f ξξξ'+=,即()()f f ξξξ'=-.2.证明恒等式πarctan arccot 2x x +=.证明:令()arctan arccot f x x x =+,则()2211011f x x x'=-=++,故(),f x C =()x -∞<<+∞.令0x =得π2C =,所以πarctan arccot 2x x +=.3.试用拉格朗日中值定理证明:当1x >时,不等式e e xx >成立.证明:令()e xf x =,则()f x 在区间[]1,x 上满足拉格朗日中值定理的条件,由拉格朗日中值定理可得,至少存在一点(1,)x ξ∈,使得e e e (1)xx ξ-=-,由于1ξ>,所以e e ξ>,从而e e e (1)e(1)x x x ξ-=->-,即e e xx >.4.证明方程510x x +-=只有一个正实根.证明:令()51f x x x =+-,则()()01,11f f =-=;由零点定理得,函数()f x 在()0,1内至少有一个零点.故方程510x x +-=至少有一正实根.下面证明唯一性(反证法).假设有两个正实根()1212,x x x x <,则()()120f x f x ==.又()f x 在[]12,x x 上连续,在()12,x x 内可导,由罗尔定理可得,至少存在一点()12,x x ξ∈,39使得()0f ξ'=,即4510ξ+=,不成立,从而假设不成立,所以方程510x x +-=只有一个正实根.。
第三章 微分中值定理与导数的应用答案§3.1 微分中值定理1. 填空题(1)函数x x f arctan )(=在]1 ,0[上使拉格朗日中值定理结论成立的ξ是ππ-4.(2)设)5)(3)(2)(1()(----=x x x x x f ,则0)(='x f 有 3 个实根,分别位于区间)5,3(),3,2(),2,1(中.2. 选择题 (1)罗尔定理中的三个条件:)(x f 在],[b a 上连续,在),(b a 内可导,且)()(b f a f =,是)(x f 在),(b a 内至少存在一点ξ,使0)(='ξf 成立的( B ).A . 必要条件B .充分条件C . 充要条件D . 既非充分也非必要条件(2)下列函数在]1 ,1[-上满足罗尔定理条件的是( C ).A . xe xf =)( B. ||)(x x f = C. 21)(x x f -= D. ⎪⎩⎪⎨⎧=≠=0,00,1sin )(x x xx x f (3)若)(x f 在),(b a 内可导,且21x x 、是),(b a 内任意两点,则至少存在一点ξ,使下式成立( B ).A . ),()()()()(2112b a f x x x f x f ∈'-=-ξξB . ξξ)()()()(2121f x x x f x f '-=-在12,x x 之间C . 211221)()()()(x x f x x x f x f <<'-=-ξξD . 211212)()()()(x x f x x x f x f <<'-=-ξξ3.证明恒等式:)(2cot arctan ∞<<-∞=+x x arc x π.证明: 令x arc x x f cot arctan )(+=,则01111)(22=+-+='xx x f ,所以)(x f 为一常数. 设c x f =)(,又因为(1)2f π=,故 )(2c o t a r c t an ∞<<-∞=+x x arc x π.4.若函数)(x f 在),(b a 内具有二阶导数,且)()()(321x f x f x f ==,其中12a x x <<3x b <<,证明:在),(31x x 内至少有一点ξ,使得0)(=''ξf .证明:由于)(x f 在],[21x x 上连续,在),(21x x 可导,且)()(21x f x f =,根据罗尔定理知,存在),(211x x ∈ξ, 使0)(1='ξf . 同理存在),(322x x ∈ξ,使0)(2='ξf . 又)(x f '在],[21ξξ上符合罗尔定理的条件,故有),(31x x ∈ξ,使得0)(=''ξf .5. 证明方程062132=+++x x x 有且仅有一个实根.证明:设621)(32x x x x f +++=, 则031)2(,01)0(<-=->=f f ,根据零点存在定理至少存在一个)0,2(-∈ξ, 使得0)(=ξf .另一方面,假设有),(,21+∞-∞∈x x ,且21x x <,使0)()(21==x f x f ,根据罗尔定理,存在),(21x x ∈η使0)(='ηf ,即02112=++ηη,这与02112>++ηη矛盾.故方程062132=+++x x x 只有一个实根.6. 设函数)(x f 的导函数)(x f '在],[b a 上连续,且0)(,0)(,0)(<><b f c f a f ,其中c 是介于b a ,之间的一个实数. 证明: 存在),(b a ∈ξ, 使0)(='ξf 成立.证明: 由于)(x f 在],[b a 内可导,从而)(x f 在闭区间],[b a 内连续,在开区间(,)a b 内可导.又因为()0,()0f a f c <>,根据零点存在定理,必存在点1(,)a c ξ∈,使得0)(1=ξf . 同理,存在点2(,)c b ξ∈,使得0)(2=ξf .因此()f x 在[]21,ξξ上满足罗尔定理的条件,故存在),(b a ∈ξ, 使0)(='ξf 成立.7. 设函数)(x f 在]1,0[上连续, 在)1,0(内可导. 试证:至少存在一点(0,1)ξ∈, 使()2[(1)(0)].f f f ξξ'=- 证明: 只需令2)(x x g =,利用柯西中值定理即可证明.8.证明下列不等式(1)当π<<x 0时,x xxcos sin >. 证明: 设t t t t f cos sin )(-=,函数)(t f 在区间],0[x 上满足拉格朗日中值定理的条件,且t t t f sin )(=', 故'()(0)()(0), 0f x f f x x ξξ-=-<<, 即0sin cos sin >=-ξξx x x x (π<<x 0)因此, 当π<<x 0时,x xxcos sin >.(2)当 0>>b a 时,bba b a a b a -<<-ln . 证明:设x x f ln )(=,则函数在区间[,]b a 上满足拉格朗日中值定理得条件,有'()()()(),f a f b f a b b a ξξ-=-<< 因为'1()f x x=,所以1ln ()a a b b ξ=-,又因为b a ξ<<,所以111a b ξ<<,从而bba b a a b a -<<-ln .§3.1 洛毕达法则1. 填空题 (1) =→xxx 3cos 5cos lim2π35-(2)=++∞→xx x arctan )11ln(lim0 (3))tan 11(lim 20x x x x -→=31(4)0lim(sin )xx x +→=12.选择题(1)下列各式运用洛必达法则正确的是( B ) A . ==∞→∞→nn n n n en ln limlim 11lim=∞→nn eB . =-+→x x x x x sin sin lim0 ∞=-+→xxx cos 1cos 1lim 0C . xx x x x x x x x cos 1cos1sin 2lim sin 1sin lim020-=→→不存在 D . x x e x 0lim →=11lim 0=→x x e(2) 在以下各式中,极限存在,但不能用洛必达法则计算的是( C )A . x x x sin lim 20→B . x x x tan 0)1(lim +→C . x x x x sin lim +∞→D . x nx e x +∞→lim3. 求下列极限(1)nn mm a x a x a x --→lim .解: n n m m a x a x a x --→lim =nm n m a x a nm nx mx ---→=11lim.(2)20222lim x x x x -+-→.解: 20222lim xx x x -+-→=x x x x 22ln 22ln 2lim 0-→-=2)2(ln 2)2(ln 2lim 220x x x -→+=2)2(ln .(3)30tan sin limxxx x -→ .解:30tan sin lim x x x x -→=32030)21(lim )1(cos tan lim x x x x x x x x -⋅=-→→=21-. (4) 20)(arcsin 1sin lim x x e x x --→.解:20)(arcsin 1sin lim x x e x x --→=201sin lim xx e x x --→=212sin lim 2cos lim 00=+=-→→x e x x e x x x x .(5)x x x x xx ln 1lim 1+--→.解: )ln 1()(x x x xx +=', x x x x xx ln 1lim1+--→=xx x xx 11)ln 1(1lim 1+-+-→=22111)ln 1(limx x x x x xx x --+-→2])ln 1([lim 1221=++=++→x x x x x x .(6) )111(lim 0--→x x e x . 解:2121lim )1(1lim )111(lim 22000==---=--→→→xx e x x e e x x x xx x x(7) xx xtan 0)1(lim +→ .解:1)1(lim 202000sin limcsc 1lim cot ln limln tan lim tan 0=====+→+→+→+→+----→x xx x xxxx x x x x x x eeeex.(8))31ln()21ln(lim xxx +++∞→.解: )31ln()21ln(lim x x x +++∞→=2ln 23ln(12)12lim ln(12)3lim 3lim1x x x x x x x x x →+∞→+∞→+∞+++== =xxx 212lim 2ln 3++∞→=2ln 3.(9) n n n ∞→l i m .解: 因为1lim1limln 1lim===∞→∞→∞→xxxxx x x eex ,所以nn n ∞→lim=1.§3.3 泰勒公式 1.按1-x 的幂展开多项式43)(24++=x x x f .解: 10)1(,64)(3='+='f x x x f ,同理得24)1(,24)1(,18)1()4(=='''=''f f f ,且0)()5(=x f .由泰勒公式得:43)(24++=x x x f =432)1()1(4)1(9)1(108-+-+-+-+x x x x .2. 求函数xe x xf 2)(=的带有佩亚诺型余项的n 阶麦克劳林公式.解:因为)(!!2!112n nxx o n x x x e +++++= ,所以xe x xf 2)(==2222[1()]1!2!(2)!n n x x x x o x n --+++++-=)()!2(!2!1432n n x o n x x x x +-++++ .3. 求一个二次多项式)(x p ,使得)()(22x x p x ο+=. 解:设xx f 2)(=,则2ln 2)(x x f =',2)2(ln 2)(x x f =''. 2)2(ln )0(,2ln )0(,1)0(=''='=f f f ,故 )(!2)2(ln !12ln 12222x x x xο+++=, 则 222)2(ln 2ln 1)(x x x p ++=为所求. 4.利用泰勒公式求极限)]11ln([lim 2xx x x +-∞→. 解:因为 ))1((3)1(2)1(1)11ln(332xo x x x x ++-=+,所以 )11ln(2x x x +-=)])1((3)1(2)1(1[3322x o x x x x x ++--=)1(3121x o x +-, 故 21)]1(3121[lim )]11ln([lim 2=+-=+-∞→∞→x o x x x x x x .5. 设)(x f 有三阶导数,且0)1(,0)(lim 2==→f x x f x ,证明在)1,0(内存在一点ξ,使0)(='''ξf . 证明: 因为 0)(lim20=→x x f x ,所以0)0(,0)0(,0)0(=''='=f f f .由麦克劳林公式得:332!3)(!3)(!2)0()0()0()(x f x f x f x f f x f ξξ'''='''+''+'+= (ξ介于0与x 之间),因此 !3)()1(ξf f '''=,由于0)1(=f ,故0)(='''ξf .§3.4函数的单调性与曲线的凹凸性1. 填空题(1) 函数)ln(422x x y -=的单调增加区间是),21()0,21(+∞-,单调减少区间)21,0()21,( --∞.(2)若函数)(x f 二阶导数存在,且0)0(,0)(=>''f x f ,则xx f x F )()(=在+∞<<x 0上是单调 增加 .(3)函数12+=ax y 在),0(∞+内单调增加,则a 0>.(4)若点(1,3)为曲线23bx ax y +=的拐点,则=a 23-,=b 29,曲线的凹区间为)1,(-∞,凸区间为),1(∞.2. 单项选择题(1)下列函数中,( A )在指定区间内是单调减少的函数. A . xy -=2),(∞+-∞ B . xy e = )0,(-∞C . x y ln = ),0(∞+D . x y sin = ),0(π(2)设)12)(1()(+-='x x x f ,则在区间)1,21(内( B ). A . )(x f y =单调增加,曲线)(x f y =为凹的 B. )(x f y = 单调减少,曲线)(x f y =为凹的 C. )(x f y =单调减少,曲线)(x f y =为凸的 D.)(x f y =单调增加,曲线)(x f y =为凸的(3))(x f 在),(+∞-∞内可导, 且21,x x ∀,当 21x x >时, )()(21x f x f >,则( D ) A. 任意0)(,>'x f x B. 任意0)(,≤-'x f x C. )(x f -单调增 D. )(x f --单调增(4)设函数)(x f 在]1,0[上二阶导数大于0, 则下列关系式成立的是( B ) A. )0()1()0()1(f f f f ->'>' B. )0()0()1()1(f f f f '>->' C. )0()1()0()1(f f f f '>'>- D. )0()1()0()1(f f f f '>->' 2. 求下列函数的单调区间 (1)1--=x e y x.解:1-='x e y ,当0>x 时,0>'y ,所以函数在区间),0[+∞为单调增加; 当0<x 时,0<'y ,所以函数在区间]0,(-∞为单调减少.(2)(2y x =-解:)1(31031-='-x x y , 当1>x ,或0<x 时,0>'y ,所以函数在区间),1[]0,(+∞-∞ 为单调增加; 当01x <<时,0<'y ,所以函数在区间]1,0[为单调减少.(3))1ln(2x x y ++=解: 011111222>+=++++='xxx x x y ,故函数在),(+∞-∞单调增加.3. 证明下列不等式(1)证明: 对任意实数a 和b , 成立不等式||1||||1||||1||b b a a b a b a +++≤+++.证明:令xxx f +=1)(,则0)1(1)(2>+='x x f , )(x f 在) , 0 [∞+内单调增加. 于是, 由 |||| ||b a b a +≤+, 就有 ) |||| () || (b a f b a f +≤+, 即||1||||1||||||1||||||1||||||1||||||1||b b a a b a b b a a b a b a b a b a +++≤+++++=+++≤+++(2)当1>x 时, 1)1(2ln +->x x x . 证明:设)1(2ln )1()(--+=x x x x f , 11ln )('-+=xx x f ,由于当1x >时,211()0f x x x''=->, 因此)(x f '在),1[+∞单调递增, 当 1x >时, 0)1()(='>'f x f , 故)(x f 在),1[+∞单调递增, 当 1>x 时, 有0)1()(=>f x f .故当1>x 时,0)1(2ln )1()(>--+=x x x x f ,因此1)1(2ln +->x x x .(3)当 0>x 时,6sin 3x x x ->.证明:设6sin )(3x x x x f +-=, 021cos )(2=+-='x x x f ,当0>x ,()sin 0f x x x ''=->,所以)(x f '在),0[+∞单调递增, 当 0>x 时, 0)0()(='>'f x f , 故)(x f 在),0[+∞单调递增, 从而当 0>x 时, 有0)0()(=>f x f . 因此当 0>x 时,6sin 3x x x ->.4. 讨论方程k x x =-sin 2π(其中k 为常数)在)2,0(π内有几个实根. 解:设()sin ,2x x x k πϕ=-- 则()x ϕ在]2,0[π连续, 且k k -=-=)2(,)0(πϕϕ, 由()1cos 02x x πϕ'=-=,得2arccos x π=为)2,0(π内的唯一驻点.()x ϕ在2[0,arccos ]π上单调减少,在2[arccos ,]2ππ上单调增加.故k ---=242arccos )2(arccos 2πππϕ为极小值,因此)(x ϕ在]2,0[π的最大值是k -,最小值是k ---242arccos 2ππ.(1) 当,0≥k 或242arccos 2--<ππk 时,方程在)2,0(π内无实根;(2) 当0242arccos2<<--k ππ时,有两个实根;(3) 当242arccos2--=ππk 时,有唯一实根.5. 试确定曲线d cx bx ax y +++=23中的a 、b 、c 、d ,使得2-=x 处曲线有水平切线,)10,1(-为拐点,且点)44,2(-在曲线上.解: c bx ax y ++='232,b ax y 26+='',所以2323(2)2(2)062010(2)(2)(2)44a b c a b a b c d a b c d ⎧-+-+=⎪+=⎪⎨+++=-⎪⎪-+-+-+=⎩ 解得: 16,24,3,1=-=-==d c b a .6.求下列函数图形的拐点及凹或凸的区间(1)12-+=x xx y 解: 222)1(11-+-='x x y , 323)1(62-+=''x xx y ,令0=''y ,得0=x ,当1x =±时y ''不存在.当01<<-x 或1>x 时, 0>''y ,当1-<x 或10<<x 时, 0<''y .故曲线12-+=x xx y 在)1,0()1,( --∞上是凸的, 在区间和),1()0,1(+∞- 上是凹的,曲线的拐点为)0,0(.(2)32)52(x x y -=拐点及凹或凸的区间解:y '=,y ''=.当0=x 时,y y ''',不存在;当21-=x 时,0=''y .故曲线在)21,(--∞上是凸的, 在),21(+∞-上是凹的,)23,21(3--是曲线的拐点,7.利用凹凸性证明: 当π<<x 0时, πxx >2sin 证明:令πx x x f -=2sin )(, 则π12cos 21)(-='x x f , 2sin 41)(xx f -=''.当π<<x 0时, 0)(<''x f , 故函数πxx x f -=2sin )(的图形在),0(π上是凸的, 从而曲线)(x f y =在线段AB (其中)(,()),0(,0(ππf B f A )的上方,又0)()0(==πf f , 因此0)(>x f ,即πx x >2sin .§3.5 函数的极值与最大值最小值1. 填空题(1)函数xx y 2=取极小值的点是1ln 2x =-. (2) 函数31232)1()(--=x x x f 在区间]2,0[上的最大值为322)21(=f ,最小值为(0)1f =- .2.选择题(1) 设)(x f 在),(+∞-∞内有二阶导数,0)(0='x f ,问)(x f 还要满足以下哪个条件,则)(0x f 必是)(x f 的最大值?( C )A . 0x x =是)(x f 的唯一驻点B . 0x x =是)(x f 的极大值点C . )(x f ''在),(+∞-∞内恒为负D . )(x f ''不为零(2) 已知)(x f 对任意)(x f y =满足xex f x x f x --='+''1)]([3)(2,若00()0 (0)f x x '=≠,则( B )A. )(0x f 为)(x f 的极大值B. )(0x f 为)(x f 的极小值C. ))(,00x f x (为拐点D. )(0x f 不是极值点, ))(,00x f x (不是拐点(3)若)(x f 在0x 至少二阶可导, 且1)()()(lim 2000-=--→x x x f x f x x ,则函数)(x f 在0x 处( A )A . 取得极大值B . 取得极小值C . 无极值D . 不一定有极值3. 求下列函数的极值 (1) ()3/223x x x f -=. 解:由13()10f x x-'=-=,得1=x .4''31(),(1)03f x x f -''=>,所以函数在1=x 点取得极小值.(2)xx x f 1)(=.解:定义域为),0(+∞,11ln 21, (1ln )x xxy ey xx x '==-, 令0y '=得驻点x e =,当(0,)x e ∈时,0y '>,当(,)x e ∈+∞时,0y '<.因此ee e y 1)(=为极大值.4. 求14123223+-+=x x x y 的在]4,3[-上的最大值与最小值.解:(3)23, (4)132y y -==.由266120y x x '=+-=,得1=x , 2-=x .而34)2(,7)1(=-=y y , 所以最大值为132,最小值为7.5. 在半径为R 的球内作一个内接圆锥体,问此圆锥体的高、底半径为何值时,其体积V 最大. 解:设圆锥体的高为h , 底半径为r ,故圆锥体的体积为h r V 2 31π=, 由于222)(R r R h =+-,因此)2( 31)(2h Rh h h V -=π )20(R h <<, 由0)34( 31)(2=-='h Rh h V π,得34R h =,此时R r 322=. 由于内接锥体体积的最大值一定存在,且在)2,0(R 的内部取得. 现在0)(='h V 在)2,0(R 内只有一个根,故当34Rh =, R r 322=时, 内接锥体体积的最大.6. 工厂C 与铁路线的垂直距离AC 为20km , A 点到火车站B 的距离为100km . 欲修一条从工厂到铁路的公路CD , 已知铁路与公路每公里运费之比为3:5,为了使火车站B 与工厂C 间的运费最省, 问D 点应选在何处?解: 设AD x =, B 与C 间的运费为y , 则 )100(340052x k x k y -++= (1000≤≤x ), 其中k 是某一正数. 由 0)34005(2=-+='xx k y , 得15=x .由于k y x 400|0==, k y x 380|15==, 2100511500|+==x y , 其中以k y x 380|15==为最小, 因此当AD =15=x km 时, 总运费为最省.7. 宽为b 的运河垂直地流向宽为a 的运河. 设河岸是直的,问木料从一条运河流到另一条运河去,其长度最长为多少?解: 问题转化为求过点C 的线段AB 的最大值. 设木料的长度为l , y CB x AC ==,,木料与河岸的夹角为t ,则l y x =+,且t by t a x sin ,cos ==, t b t a l sin cos += )2,0(π∈t .则ttb t t a l 22sin cos cos sin -=', 由0='l 得3tan abt =, 此时233232)(b a l +=, 故木料最长为233232)(b a l +=.§3.6 函数图形的描绘1.求23)1(+=x x y 的渐近线.解:由 -∞=+-→231)1(limx x x ,所以1x =为曲线)(x f y =的铅直渐近线. 因为 2)1(lim )(lim ,1)1(limlim 2322-=-+=-=+=∞→∞→∞→∞→x x x x y x x x y x x x x 所以2-=x y 为曲线)(x f y =的斜渐近线.2.作函数23)1(22--=x x y 的图形。
第三章 微分中值定理与导数的应用答案§3.1 微分中值定理1. 填空题(1)函数x x f arctan )(=在]1 ,0[上使拉格朗日中值定理结论成立的ξ是ππ-4.(2)设)5)(3)(2)(1()(----=x x x x x f ,则0)(='x f 有 3 个实根,分别位于区间)5,3(),3,2(),2,1(中.2. 选择题 (1)罗尔定理中的三个条件:)(x f 在],[b a 上连续,在),(b a 内可导,且)()(b f a f =,是)(x f 在),(b a 内至少存在一点ξ,使0)(='ξf 成立的( B ).A . 必要条件B .充分条件C . 充要条件D . 既非充分也非必要条件(2)下列函数在]1 ,1[-上满足罗尔定理条件的是( C ).A . xe xf =)( B. ||)(x x f = C. 21)(x x f -= D. ⎪⎩⎪⎨⎧=≠=0,00,1sin )(x x xx x f (3)若)(x f 在),(b a 内可导,且21x x 、是),(b a 内任意两点,则至少存在一点ξ,使下式成立( B ).A . ),()()()()(2112b a f x x x f x f ∈'-=-ξξB . ξξ)()()()(2121f x x x f x f '-=-在12,x x 之间C . 211221)()()()(x x f x x x f x f <<'-=-ξξD . 211212)()()()(x x f x x x f x f <<'-=-ξξ3.证明恒等式:)(2cot arctan ∞<<-∞=+x x arc x π.证明: 令x arc x x f cot arctan )(+=,则01111)(22=+-+='x x x f ,所以)(x f 为一常数.设c x f =)(,又因为(1)2f π=,故 )(2c o t a r c t a n ∞<<-∞=+x x arc xπ.4.若函数)(x f 在),(b a 内具有二阶导数,且)()()(321x f x f x f ==,其中12a x x <<3x b <<,证明:在),(31x x 内至少有一点ξ,使得0)(=''ξf .证明:由于)(x f 在],[21x x 上连续,在),(21x x 可导,且)()(21x f x f =,根据罗尔定理知,存在),(211x x ∈ξ, 使0)(1='ξf . 同理存在),(322x x ∈ξ,使0)(2='ξf . 又)(x f '在],[21ξξ上 符合罗尔定理的条件,故有),(31x x ∈ξ,使得0)(=''ξf .5. 证明方程062132=+++x x x 有且仅有一个实根. 证明:设621)(32x x x x f +++=, 则031)2(,01)0(<-=->=f f ,根据零点存在定理至少存在一个)0,2(-∈ξ, 使得0)(=ξf .另一方面,假设有),(,21+∞-∞∈x x ,且21x x <,使0)()(21==x f x f ,根据罗尔定理,存在),(21x x ∈η使0)(='ηf ,即02112=++ηη,这与02112>++ηη矛盾.故方程062132=+++x x x 只有一个实根.6. 设函数)(x f 的导函数)(x f '在],[b a 上连续,且0)(,0)(,0)(<><b f c f a f ,其中c 是介于b a ,之间的一个实数. 证明: 存在),(b a ∈ξ, 使0)(='ξf 成立.证明: 由于)(x f 在],[b a 内可导,从而)(x f 在闭区间],[b a 内连续,在开区间(,)a b 内可导.又因为()0,()0f a f c <>,根据零点存在定理,必存在点1(,)a c ξ∈,使得0)(1=ξf . 同理,存在点2(,)c b ξ∈,使得0)(2=ξf .因此()f x 在[]21,ξξ上满足罗尔定理的条件,故存在),(b a ∈ξ, 使0)(='ξf 成立.7. 设函数)(x f 在]1,0[上连续, 在)1,0(内可导. 试证:至少存在一点(0,1)ξ∈, 使()2[(1)(0)].f f f ξξ'=-证明: 只需令2)(x x g =,利用柯西中值定理即可证明.8.证明下列不等式(1)当π<<x 0时,x xxcos sin >. 证明: 设t t t t f cos sin )(-=,函数)(t f 在区间],0[x 上满足拉格朗日中值定理的条件,且t t t f sin )(=', 故'()(0)()(0), 0f x f f x x ξξ-=-<<, 即0sin cos sin >=-ξξx x x x (π<<x 0)因此, 当π<<x 0时,x xxcos sin >. (2)当 0>>b a 时,bba b a a b a -<<-ln . 证明:设x x f ln )(=,则函数在区间[,]b a 上满足拉格朗日中值定理得条件,有'()()()(),f a f b f a b b a ξξ-=-<<因为'1()f x x =,所以1ln ()a a b b ξ=-,又因为b a ξ<<,所以111a bξ<<,从而bba b a a b a -<<-ln .§3.1 洛毕达法则1. 填空题 (1) =→xx x 3cos 5cos lim2π35-(2)=++∞→xx x arctan )11ln(lim0 (3))tan 11(lim 20x x x x -→=31(4)0lim (sin )xx x +→=12.选择题(1)下列各式运用洛必达法则正确的是( B ) A . ==∞→∞→nn nn n en ln limlim 11lim=∞→nn eB . =-+→x x x x x sin sin lim0 ∞=-+→xxx cos 1cos 1lim 0C . xx x x x x x x x cos 1cos1sin 2lim sin 1sin lim020-=→→不存在 D . x x e x 0l i m →=11lim 0=→x x e(2) 在以下各式中,极限存在,但不能用洛必达法则计算的是( C )A . x x x sin lim 20→B . x x x tan 0)1(lim +→C . xx x x sin lim +∞→ D . x nx e x +∞→lim3. 求下列极限(1)nn mm a x a x a x --→lim .解: n n m m a x a x a x --→lim =nm n m a x a nm nx mx ---→=11lim.(2)20222lim x x x x -+-→.解: 20222lim xx x x -+-→=x x x x 22ln 22ln 2lim 0-→-=2)2(ln 2)2(ln 2lim 220x x x -→+=2)2(ln .(3)30tan sin limx xx x -→ .解:30tan sin lim x x x x -→=32030)21(lim )1(cos tan lim x x x x x x x x -⋅=-→→=21-. (4) 20)(arcsin 1sin lim x x e x x --→.解:20)(arcsin 1sin lim x x e x x --→=201sin lim xx e x x --→=212sin lim 2cos lim 00=+=-→→x e x x e x x x x .(5)xx x x xx ln 1lim 1+--→.解: )ln 1()(x x x x x +=', x x xx x x ln 1lim1+--→=xx x xx 11)ln 1(1lim 1+-+-→=22111)ln 1(lim x x x x x xx x --+-→2])ln 1([lim 1221=++=++→x x x x x x .(6) )111(lim 0--→x x e x . 解:2121lim )1(1lim )111(lim 22000==---=--→→→xx e x x e e x x x xx x x(7) xx xtan 0)1(lim +→ .解:1)1(lim 202000sin limcsc 1lim cot ln limln tan lim tan 0=====+→+→+→+→+----→x xx x xxxx xx x x x x eeee x.(8))31ln()21ln(lim xxx +++∞→. 解: )31ln()21ln(lim x x x +++∞→=2ln 23ln(12)12lim ln(12)3lim 3lim1x x x x x x x x x →+∞→+∞→+∞+++== =xx x 212lim 2ln 3++∞→=2ln 3.(9) n n n ∞→l i m .解: 因为1lim 1limln 1lim ===∞→∞→∞→xxxx x x x eex ,所以n n n ∞→lim =1.§3.3 泰勒公式1.按1-x 的幂展开多项式43)(24++=x x x f . 解: 10)1(,64)(3='+='f x x x f ,同理得24)1(,24)1(,18)1()4(=='''=''f f f ,且0)()5(=x f .由泰勒公式得:43)(24++=x x x f =432)1()1(4)1(9)1(108-+-+-+-+x x x x .2. 求函数x e x x f 2)(=的带有佩亚诺型余项的n 阶麦克劳林公式.解:因为)(!!2!112n nxx o n x x x e +++++= , 所以xe x xf 2)(==2222[1()]1!2!(2)!n n x x x x o x n --+++++- =)()!2(!2!1432n n x o n x x x x +-++++ .3. 求一个二次多项式)(x p ,使得)()(22x x p x ο+=.解:设x x f 2)(=,则2ln 2)(x x f =',2)2(ln 2)(x x f =''. 2)2(ln )0(,2ln )0(,1)0(=''='=f f f ,故 )(!2)2(ln !12ln 12222x x x xο+++=, 则 222)2(ln 2ln 1)(x x x p ++=为所求. 4.利用泰勒公式求极限)]11ln([lim 2xx x x +-∞→. 解:因为 ))1((3)1(2)1(1)11ln(332xo x x x x ++-=+,所以 )11ln(2x x x +-=)])1((3)1(2)1(1[3322x o x x x x x ++--=)1(3121x o x +-, 故 21)]1(3121[lim )]11ln([lim 2=+-=+-∞→∞→x o x x x x x x .5. 设)(x f 有三阶导数,且0)1(,0)(lim2==→f x x f x ,证明在)1,0(内存在一点ξ,使0)(='''ξf . 证明: 因为 0)(lim 20=→x x f x ,所以0)0(,0)0(,0)0(=''='=f f f .由麦克劳林公式得:332!3)(!3)(!2)0()0()0()(x f x f x f x f f x f ξξ'''='''+''+'+= (ξ介于0与x 之间),因此 !3)()1(ξf f '''=,由于0)1(=f ,故0)(='''ξf .§3.4函数的单调性与曲线的凹凸性1. 填空题(1) 函数)ln(422x x y -=的单调增加区间是),21()0,21(+∞-,单调减少区间)21,0()21,( --∞.(2)若函数)(x f 二阶导数存在,且0)0(,0)(=>''f x f ,则xx f x F )()(=在+∞<<x 0上是单调 增加 .(3)函数12+=ax y 在),0(∞+内单调增加,则a 0>.(4)若点(1,3)为曲线23bx ax y +=的拐点,则=a 23-,=b 29,曲线的凹区间为)1,(-∞,凸区间为),1(∞.2. 单项选择题(1)下列函数中,( A )在指定区间内是单调减少的函数. A . x y -=2 ),(∞+-∞ B . x y e = )0,(-∞ C . x y ln = ),0(∞+ D . x y sin = ),0(π(2)设)12)(1()(+-='x x x f ,则在区间)1,21(内( B ). A . )(x f y =单调增加,曲线)(x f y =为凹的 B. )(x f y = 单调减少,曲线)(x f y =为凹的 C. )(x f y =单调减少,曲线)(x f y =为凸的 D.)(x f y =单调增加,曲线)(x f y =为凸的(3))(x f 在),(+∞-∞内可导, 且21,x x ∀,当 21x x >时, )()(21x f x f >,则( D ) A. 任意0)(,>'x f x B. 任意0)(,≤-'x f x C. )(x f -单调增 D. )(x f --单调增(4)设函数)(x f 在]1,0[上二阶导数大于0, 则下列关系式成立的是( B ) A. )0()1()0()1(f f f f ->'>' B. )0()0()1()1(f f f f '>->' C. )0()1()0()1(f f f f '>'>- D. )0()1()0()1(f f f f '>->' 2. 求下列函数的单调区间 (1)1--=x e y x.解:1-='xe y ,当0>x 时,0>'y ,所以函数在区间),0[+∞为单调增加;当0<x 时,0<'y ,所以函数在区间]0,(-∞为单调减少.(2)(2y x =-解:)1(31031-='-x x y ,当1>x ,或0<x 时,0>'y ,所以函数在区间),1[]0,(+∞-∞ 为单调增加; 当01x <<时,0<'y ,所以函数在区间]1,0[为单调减少.(3))1ln(2x x y ++=解: 011111222>+=++++='xxx x x y ,故函数在),(+∞-∞单调增加.3. 证明下列不等式(1)证明: 对任意实数a 和b , 成立不等式||1||||1||||1||b b a a b a b a +++≤+++. 证明:令x x x f +=1)(,则0)1(1)(2>+='x x f , )(x f 在) , 0 [∞+内单调增加. 于是, 由 |||| ||b a b a +≤+, 就有 ) |||| () || (b a f b a f +≤+, 即||1||||1||||||1||||||1||||||1||||||1||b b a a b a b b a a b a b a b a b a +++≤+++++=+++≤+++(2)当1>x 时, 1)1(2ln +->x x x . 证明:设)1(2ln )1()(--+=x x x x f , 11ln )('-+=xx x f ,由于当1x >时,211()0f x x x ''=->, 因此)(x f '在),1[+∞单调递增, 当 1x >时, 0)1()(='>'f x f , 故)(x f 在),1[+∞单调递增, 当 1>x 时, 有0)1()(=>f x f .故当1>x 时,0)1(2ln )1()(>--+=x x x x f ,因此1)1(2ln +->x x x .(3)当 0>x 时,6sin 3x x x ->.证明:设6sin )(3x x x x f +-=, 021cos )(2=+-='x x x f ,当0>x ,()sin 0f x x x ''=->, 所以)(x f '在),0[+∞单调递增, 当 0>x 时, 0)0()(='>'f x f , 故)(x f 在),0[+∞单调递增, 从而当 0>x 时, 有0)0()(=>f x f . 因此当 0>x 时,6sin 3x x x ->.4. 讨论方程k x x =-sin 2π(其中k 为常数)在)2,0(π内有几个实根.解:设()sin ,2x x x k πϕ=-- 则()x ϕ在]2,0[π连续, 且k k -=-=)2(,)0(πϕϕ,由()1cos 02x x πϕ'=-=,得2arccos x π=为)2,0(π内的唯一驻点.()x ϕ在2[0,arccos ]π上单调减少,在2[arccos ,]2ππ上单调增加.故k ---=242arccos )2(arccos 2πππϕ为极小值,因此)(x ϕ在]2,0[π的最大值是k -,最小值是k ---242arccos 2ππ.(1) 当,0≥k 或242arccos 2--<ππk 时,方程在)2,0(π内无实根;(2) 当0242arccos 2<<--k ππ时,有两个实根;(3) 当242arccos 2--=ππk 时,有唯一实根.5. 试确定曲线d cx bx ax y +++=23中的a 、b 、c 、d ,使得2-=x 处曲线有水平切线,)10,1(-为拐点,且点)44,2(-在曲线上.解: c bx ax y ++='232,b ax y 26+='',所以2323(2)2(2)062010(2)(2)(2)44a b c a b a b c d a b c d ⎧-+-+=⎪+=⎪⎨+++=-⎪⎪-+-+-+=⎩ 解得: 16,24,3,1=-=-==d c b a .6.求下列函数图形的拐点及凹或凸的区间(1)12-+=x xx y 解: 222)1(11-+-='x x y , 323)1(62-+=''x xx y , 令0=''y ,得0=x ,当1x =±时y ''不存在.当01<<-x 或1>x 时, 0>''y ,当1-<x 或10<<x 时, 0<''y .故曲线12-+=x xx y 在)1,0()1,( --∞上是凸的, 在区间和),1()0,1(+∞- 上是凹的,曲线的拐点为)0,0(.(2)32)52(x x y -=拐点及凹或凸的区间解:y '= ,y ''=当0=x 时,y y ''',不存在;当21-=x 时,0=''y .故曲线在)21,(--∞上是凸的, 在),21(+∞-上是凹的,)23,21(3--是曲线的拐点,7.利用凹凸性证明: 当π<<x 0时, πx x >2sin 证明:令πx x x f -=2sin )(, 则π12cos 21)(-='x x f , 2sin 41)(xx f -=''.当π<<x 0时, 0)(<''x f , 故函数πxx x f -=2sin )(的图形在),0(π上是凸的, 从而曲线)(x f y =在线段AB (其中)(,()),0(,0(ππf B f A )的上方,又0)()0(==πf f , 因此0)(>x f ,即πx x >2sin .§3.5 函数的极值与最大值最小值1. 填空题(1)函数x x y 2=取极小值的点是1ln 2x =-. (2) 函数31232)1()(--=x x x f 在区间]2,0[上的最大值为322)21(=f ,最小值为(0)1f =- .2.选择题(1) 设)(x f 在),(+∞-∞内有二阶导数,0)(0='x f ,问)(x f 还要满足以下哪个条件,则)(0x f 必是)(x f 的最大值?( C )A . 0x x =是)(x f 的唯一驻点B . 0x x =是)(x f 的极大值点C . )(x f ''在),(+∞-∞内恒为负D . )(x f ''不为零(2) 已知)(x f 对任意)(x f y =满足xe xf x x f x --='+''1)]([3)(2,若00()0 (0)f x x '=≠,则( B )A. )(0x f 为)(x f 的极大值B. )(0x f 为)(x f 的极小值C. ))(,00x f x (为拐点D. )(0x f 不是极值点, ))(,00x f x (不是拐点(3)若)(x f 在0x 至少二阶可导, 且1)()()(lim2000-=--→x x x f x f x x ,则函数)(x f 在0x 处( A ) A . 取得极大值 B . 取得极小值 C . 无极值 D . 不一定有极值3. 求下列函数的极值 (1) ()3/223x x x f -=. 解:由13()10f x x-'=-=,得1=x .4''31(),(1)03f x x f -''=>,所以函数在1=x 点取得极小值.(2)xx x f 1)(=.解:定义域为),0(+∞,11ln 21, (1ln )x xxy ey xx x'==-, 令0y '=得驻点x e =,当(0,)x e ∈时,0y '>,当(,)x e ∈+∞时,0y '<.因此ee e y 1)(=为极大值.4. 求14123223+-+=x x x y 的在]4,3[-上的最大值与最小值.解:(3)23, (4)132y y -==.由266120y x x '=+-=,得1=x , 2-=x .而34)2(,7)1(=-=y y , 所以最大值为132,最小值为7.5. 在半径为R 的球内作一个内接圆锥体,问此圆锥体的高、底半径为何值时,其体积V 最大. 解:设圆锥体的高为h , 底半径为r ,故圆锥体的体积为h r V 2 31π=, 由于222)(R r R h =+-,因此)2( 31)(2h Rh h h V -=π )20(R h <<, 由0)34( 31)(2=-='h Rh h V π,得34R h =,此时R r 322=.由于内接锥体体积的最大值一定存在,且在)2,0(R 的内部取得. 现在0)(='h V 在)2,0(R 内只有一个根,故当34R h =, R r 322=时, 内接锥体体积的最大.6. 工厂C 与铁路线的垂直距离AC 为20km , A 点到火车站B 的距离为100km . 欲修一条从工厂到铁路的公路CD , 已知铁路与公路每公里运费之比为3:5,为了使火车站B 与工厂C 间的运费最省, 问D 点应选在何处?解: 设AD x =, B 与C 间的运费为y , 则 )100(340052x k x k y -++= (1000≤≤x ), 其中k 是某一正数. 由 0)34005(2=-+='xx k y , 得15=x .由于k y x 400|0==, k y x 380|15==, 2100511500|+==x y , 其中以k y x 380|15==为最小, 因此当AD =15=x km 时, 总运费为最省.7. 宽为b 的运河垂直地流向宽为a 的运河. 设河岸是直的,问木料从一条运河流到另一条运河去,其长度最长为多少?解: 问题转化为求过点C 的线段AB 的最大值. 设木料的长度为l , y CB x AC ==,,木料与河岸的夹角为t ,则l y x =+,且t b y t a x sin ,cos ==, t b t a l sin cos += )2,0(π∈t .则ttb t t a l 22sin cos cos sin -=', 由0='l 得3tan abt =, 此时233232)(b a l +=,故木料最长为233232)(b a l +=.§3.6 函数图形的描绘1.求23)1(+=x x y 的渐近线.解:由 -∞=+-→231)1(lim x x x ,所以1x =为曲线)(x f y =的铅直渐近线.因为 2)1(lim )(lim ,1)1(lim lim 2322-=-+=-=+=∞→∞→∞→∞→x x x x y x x x y x x x x所以2-=x y 为曲线)(x f y =的斜渐近线.2.作函数23)1(22--=x x y 的图形。