经济数学(导数与微分习题与答案)
- 格式:doc
- 大小:696.00 KB
- 文档页数:17
经济数学第一章练习题一、函数与极限1. 判断下列函数的单调性:(1) f(x) = 2x + 3(2) f(x) = x^2 + 4x + 1(3) f(x) = e^x 2x2. 求下列极限:(1) lim(x→0) (sin x / x)(2) lim(x→1) (x^2 1) / (x 1)(3) lim(x→+∞) (1 + 1/x)^x3. 讨论下列函数在指定区间内的连续性:(1) f(x) = |x|,区间为[1, 1](2) f(x) = sqrt(4 x^2),区间为[2, 2]二、导数与微分1. 求下列函数的导数:(1) f(x) = 3x^2 2x + 1(2) f(x) = ln(x + 1)(3) f(x) = e^x sin x2. 计算下列函数的微分:(1) f(x) = x^3 2x^2 + 3x 4(2) f(x) = arcsin(x/2)3. 求下列隐函数的导数:(1) y = e^(x + y)(2) x^2 + y^2 = 4三、高阶导数与微分方程1. 求下列函数的二阶导数:(1) f(x) = x^4 3x^3 + 2x^2(2) f(x) = ln(x^2 + 1)2. 求下列微分方程的通解:(1) y' + y = x(2) y'' 2y' + y = e^x3. 求下列微分方程的特解:(1) y' = 2x + y,初始条件为y(0) = 1(2) y'' + y = sin x,初始条件为y(0) = 0,y'(0) = 1四、泰勒公式与应用1. 将下列函数在指定点处展开成泰勒级数:(1) f(x) = e^x,展开点为x = 0(2) f(x) = sin x,展开点为x = π/22. 利用泰勒公式求下列极限:(1) lim(x→0) (1 cos x) / x^2(2) lim(x→0) (e^(x^2) 1 x^2) / x^43. 计算下列函数的近似值:(1) f(x) = sqrt(1 + x),当x = 0.01时(2) f(x) = ln(1 + x),当x = 0.1时五、多元函数微分法1. 计算下列多元函数的偏导数:(1) z = x^2 + y^2,对x和y求偏导数(2) u = sin(xy) + e^z,对x、y和z求偏导数2. 求下列函数的全微分:(1) z = x^2y + y^2x(2) u = ln(xyz)3. 验证下列函数是否满足拉格朗日中值定理:(1) f(x, y) = x^2 + y^2,在直线y = x上(2) f(x, y) = e^(x^2 + y^2),在圆x^2 + y^2 = 1上六、极值与条件极值1. 求下列函数的极值:(1) f(x) = x^3 3x^2 + 2(2) f(x, y) = x^2 + y^2 2x 4y + 52. 求下列函数在给定区间上的最大值和最小值:(1) f(x) = x^2 + 4x,区间为[0, 3](2) f(x, y) = x^2 + y^2,在圆x^2 + y^2 = 4内3. 求下列条件极值问题:(1) max f(x, y) = x + y,约束条件为x^2 + y^2 = 1(2) min f(x, y, z) = x + y + z,约束条件为x^2 + y^2 + z^2 = 4,x + y + z = 1七、积分与定积分的应用1. 计算下列不定积分:(1) ∫(3x^2 2x + 1)dx(2) ∫(e^x sin x)dx2. 计算下列定积分:(1) ∫_{0}^{1} (x^2 + 1)dx(2) ∫_{π/2}^{π/2} (cos x)dx3. 利用定积分求解下列实际问题:(1) 计算由曲线y = x^2与直线x = 1,y = 0围成的平面图形的面积(2) 计算由曲线y = e^x,直线x = 0,y = e及y轴围成的平面图形的体积八、多元积分1. 计算下列二重积分:(1) ∬_D (x^2 + y^2)dxdy,其中D为圆x^2 + y^2 ≤ 1(2) ∬_D (e^(x + y))dxdy,其中D为矩形区域0 ≤ x ≤ 1,0 ≤ y ≤ 22. 计算下列三重积分:(1) ∭_E (x + y + z)dV,其中E为长方体0 ≤ x ≤ 1,0 ≤ y ≤ 2,0 ≤ z ≤ 3(2) ∭_E (xyz)dV,其中E为球体x^2 + y^2 + z^2 ≤ 13. 利用二重积分求解下列实际问题:(1) 计算由抛物线y = x^2与直线x = 1,y = 0围成的平面图形绕x轴旋转一周所形成的旋转体的体积(2) 计算由曲面z = x^2 + y^2与平面z = 4围成的立体图形的体积答案一、函数与极限1. (1) 单调递增(2) 单调递减(3) 单调递增2. (1) 1(2) 2(3) e3. (1) 在[1, 1]上连续(2) 在[2, 2]上连续,但在x = ±2处不连续二、导数与微分1. (1) f'(x) = 6x 2(2) f'(x) = 1 / (x + 1)(3) f'(x) = e^x sin x + e^x cos x2. (1) df(x) = (6x^2 4x + 3)dx(2) df(x) = (1 / sqrt(1 (x/2)^2))dx3. (1) y' = (e^(x + y) y') / e^(x + y)(2) y' = x / y三、高阶导数与微分方程1. (1) f''(x) = 12x^2 12x(2) f''(x) = 2 / (x^2 + 1)^22. (1) y = C e^(x) + x(2) y = C1 e^x + C2 e^(x)3. (1) y = x + 1(2) y = (1/2) sin x (1/2) cos x四、泰勒公式与应用1. (1) e^x = 1 + x + x^2/2! + x^3/3! +(2) sin x = 1 (x π/2)^2/2! + (x π/2)^4/4!2. (1) 1/2(2) 1/23. (1) f(0.01) ≈ 1.005(2) f(0.1) ≈ 0.09516五、多元函数微分法1. (1) ∂z/∂x = 2x,∂z/∂y = 2y(2) ∂u/∂x = y cos(xy),∂u/∂y = x cos(xy),∂u/∂z = e^z2. (1) dz = (2xy + y^2)dx + (x^2 + 2xy)dy(2) du = (1/x + 1/y + 1/z)dx + (1/x + 1/y + 1/z)dy + (1/x + 1/y + 1/z)dz3. (1) 满足(2) 满足六、极值与条件极值1. (1) 极大值f(1) = 0,极小值f(2/3) = 4/27(2) 极小值f(1, 2) = 52. (1) 最大值f(3) = 3,最小值f(1) = 1(2) 最大值f(0, 2) = 4,最小值f(0, 2) = 03. (1) 最大值f(√2/2, √2/2)= √2(2) 最小值f(1, 0, 0) = 1七、积分与定积分的应用1. (1) (x^3 x^2 + x) + C(2) (e^x + cos x) + C2. (1) 5/3(2) 23. (1) 1/3 π(2) (e^2 e)π八、多元积分1. (1) π(2) e^2 12. (1) 3(2) 0(因为积分区域关于y轴对称,被积函数关于x为奇函数)3. (1) (2/3)π(2) (π/6)。
导数与微分练习题及解析在微积分学中,导数和微分是最基本的概念之一。
它们可以帮助我们研究函数的变化率和性质,广泛应用于物理、经济、工程等各个领域。
为了帮助你更好地理解导数和微分的概念,以下是一些练习题及其解析。
练习题1:求函数f(x) = x^2 + 3x + 2在x = 2处的导数和切线方程。
解析:首先,我们求函数f(x)的导数。
使用求导法则,对于多项式函数来说,可以将每一项的指数与系数相乘,并将指数减一,得到函数的导数。
f'(x) = 2x + 3接下来,我们计算x = 2处的导数值。
f'(2) = 2(2) + 3 = 7切线方程的一般形式为y = mx + b,其中m代表斜率,b代表截距。
根据导数的定义,导数即为切线的斜率。
所以切线的斜率为m = 7。
将切点的坐标代入切线方程,我们可以得到b的值。
2 = 7(2) + b2 = 14 + bb = -12最终的切线方程为y = 7x - 12。
练习题2:求函数f(x) = e^x * sin(x)的导数。
解析:考虑到函数f(x) = e^x * sin(x)是两个函数的乘积,我们可以使用乘积法则来求导。
乘积法则的公式为:(uv)' = u'v + uv'对于e^x和sin(x)两个函数,它们的导数分别为e^x和cos(x)。
根据乘积法则,我们可以将这两个导数与原函数进行组合,得到最终的导数为:f'(x) = (e^x * cos(x)) + (e^x * sin(x))练习题3:求函数f(x) = ln(x^2 + 1)的导数和微分。
解析:首先,我们求函数f(x)的导数。
根据链式法则,可以分别计算外函数和内函数的导数。
设内函数为u = x^2 + 1,则内函数的导数为du/dx = 2x。
外函数为f(u) = ln(u),则外函数的导数为df/du = 1/u。
根据链式法则,函数f(x)的导数为:f'(x) = df/du * du/dx= (1/u) * (2x)= 2x / (x^2 + 1)接下来,我们计算函数f(x)的微分。
经济数学练习题答案1. 计算下列极限:- \(\lim_{x \to 0} \frac{\sin(x)}{x}\)- \(\lim_{x \to \infty} \frac{1}{x}\)- \(\lim_{x \to 1} (x^2 - 1)\)2. 求下列函数的导数:- \(y = x^3 - 2x^2 + 3x - 4\)- \(y = e^x \ln(x)\)- \(y = \sin^2(x)\)3. 求下列函数的不定积分:- \(\int (3x^2 - 2x + 1) \, dx\)- \(\int \frac{1}{x^2 + 1} \, dx\)- \(\int e^x \cos(x) \, dx\)4. 解下列微分方程:- \(y' + 2y = e^{-x}\)- \(y'' - 4y' + 4y = 0\)- \(y' + y^2 = x\)5. 计算下列二重积分:- \(\iint_D (x^2 + y^2) \, dA\),其中 \(D\) 是由 \(x^2 + y^2 \leq 1\) 定义的圆盘。
- \(\iint_D (xy) \, dA\),其中 \(D\) 是由 \(0 \leq x \leq 1\) 和 \(0 \leq y \leq 1\) 定义的矩形区域。
6. 求下列级数的和:- \(\sum_{n=1}^{\infty} \frac{1}{n^2}\)- \(\sum_{n=1}^{\infty} \frac{(-1)^{n+1}}{n}\)- \(\sum_{n=0}^{\infty} \frac{x^n}{n!}\),对于 \(|x| < 1\)7. 确定下列函数的连续性和可导性:- \(f(x) = \begin{cases}x & \text{if } x \geq 0 \\-x & \text{if } x < 0\end{cases}\)- \(g(x) = x^{\frac{1}{3}}\)- \(h(x) = \sin(x) / x\),对于 \(x \neq 0\) 且 \(h(0) = 1\)8. 计算下列矩阵的行列式:- \(A = \begin{bmatrix} 1 & 2 \\ 3 & 4 \end{bmatrix}\)- \(B = \begin{bmatrix} 5 & 0 & 1 \\ 0 & 6 & 0 \\ 7 & 0 &8 \end{bmatrix}\)- \(C = \begin{bmatrix} 1 & 1 & 1 \\ 1 & 2 & 3 \\ 1 & 3 &6 \end{bmatrix}\)9. 解下列线性方程组:- \(\begin{cases}x + y = 1 \\2x - y = 0\end{cases}\)- \(\begin{cases}3x + 2y - z = 1 \\x - y + 2z = -1 \\2x + y + z = 2\end{cases}\)10. 求下列函数的最大值和最小值:- \(f(x) = x^3 - 3x^2 + 2\) - \(g(x) = -x^2 + 4x - 3\) - \(h(x) = e^x - x^2\)。
导数与微分习题及答案导数与微分习题及答案在数学学科中,导数与微分是非常重要的概念。
它们不仅在数学分析中有广泛的应用,还在物理、经济学等领域中起着重要的作用。
本文将为大家提供一些导数与微分的习题,并附上详细的答案,希望能够帮助大家更好地理解和掌握这一内容。
1. 习题一:求函数 f(x) = x^2 + 3x - 2 在点 x = 2 处的导数。
解答:根据导数的定义,我们有f'(x) = lim(h→0) [f(x+h) - f(x)] / h。
代入函数 f(x) = x^2 + 3x - 2 和 x = 2,得到f'(2) = lim(h→0) [(2+h)^2 + 3(2+h) - 2 - (2^2 + 3(2) - 2)] / h。
化简后得到f'(2) = lim(h→0) [4h + h^2 + 6h] / h = lim(h→0) (h^2 + 10h) / h = lim(h→0) (h + 10) = 10。
因此,函数 f(x) = x^2 + 3x - 2 在点 x = 2 处的导数为 10。
2. 习题二:求函数 g(x) = 2sin(x) + cos(x) 在点x = π/4 处的导数。
解答:同样地,我们可以利用导数的定义来求解。
根据定义,g'(x) = lim(h→0) [g(x+h) - g(x)] / h。
代入函数 g(x) = 2sin(x) + cos(x) 和x = π/4,得到g'(π/4) = lim(h→0) [2sin(π/4+h) + cos(π/4+h) - (2sin(π/4) + cos(π/4))] / h。
化简后得到g'(π/4) = lim(h→0) [2(sin(π/4)cos(h) + cos(π/4)sin(h)) + (cos(π/4)cos(h) -sin(π/4)sin(h))] / h。
经济数学函数试题及答案一、选择题(每题2分,共10分)1. 函数f(x) = 2x^2 - 3x + 5在x=1处的导数是:A. 1B. 4C. 7D. 9答案:B2. 若函数g(x) = sin(x) + cos(x),则g(π/4)的值等于:A. 1B. √2C. 2D. 0答案:B3. 微分方程dy/dx = x^2的通解是:A. y = x^3/3 + CB. y = x^3 + CC. y = x^3/3D. y = x^2 + C答案:A4. 经济学中的边际成本函数MC(x)表示的是:A. 总成本对产量的导数B. 平均成本对产量的导数C. 总成本对时间的导数D. 总产量对时间的导数答案:A5. 若需求函数为D(p) = a - bp,其中a和b为正常数,价格p上升时,需求量将:A. 增加B. 减少C. 保持不变D. 先增加后减少答案:B二、填空题(每题3分,共15分)6. 函数h(x) = √x的值域是_________。
答案:[0, +∞)7. 若成本函数C(x) = mx + b,其中m和b为常数,那么平均成本AC(x) = _________。
答案:m + b/x8. 边际收益递减原理表明,当产量增加到一定程度后,每增加一个单位的产量,所带来的收益增量将_________。
答案:减少9. 经济学中的无差异曲线表示消费者在不同商品组合之间_________。
答案:同等偏好10. 在完全竞争市场中,厂商的短期供给曲线位于_________的平均成本之上。
答案:平均变动成本三、解答题(共75分)11. (15分)设生产函数为Q = K^(1/2) * L^(1/3),其中K为资本,L为劳动。
(1)求劳动的平均产量和边际产量。
(2)若资本K=100,求劳动的平均产量和边际产量。
12. (20分)考虑一个市场,需求曲线为D(p) = 200 - 5p,供给曲线为S(p) = -10 + 2p。
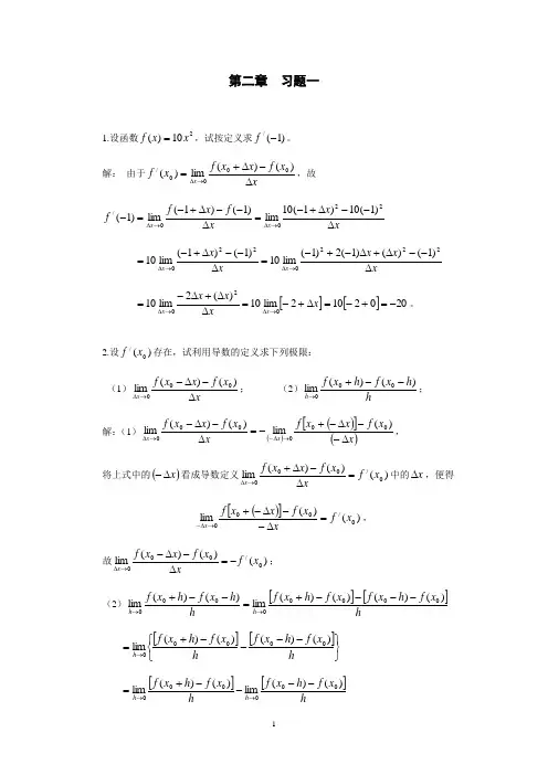
第二章 习题一1.设函数210)(x x f =,试按定义求)1(/-f 。
解: 由于xx f x x f x f x ∆-∆+=→∆)()(lim)(0000/,故xx x f x f f x x ∆--∆+-=∆--∆+-=-→∆→∆2200/)1(10)1(10lim )1()1(lim )1(x x x x x x x ∆--∆+∆-+-=∆--∆+-=→∆→∆2220220)1()()1(2)1(lim 10)1()1(lim 10[]x xx x x x ∆+-=∆∆+∆-=→∆→∆2lim 10)(2lim 10020[]200210-=+-=。
2.设)(0/x f 存在,试利用导数的定义求下列极限: (1)x x f x x f x ∆-∆-→∆)()(lim000; (2)hh x f h x f h )()(lim 000--+→;解:(1)()()[]()x x f x x f xx f x x f x x ∆--∆-+-=∆-∆-→∆-→∆)(lim)()(lim000000, 将上式中的()x ∆-看成导数定义)()()(lim0/000x f xx f x x f x =∆-∆+→∆中的x ∆,便得()[])()(lim0/000x f xx f x x f x =∆--∆-+→∆-,故)()()(lim0/000x f xx f x x f x -=∆-∆-→∆;(2)[][]hx f h x f x f h x f h h x f h x f h h )()()()(lim )()(lim00000000----+=--+→→ [][]⎭⎬⎫⎩⎨⎧----+=→h x f h x f h x f h x f h )()()()(lim 00000 [][]hx f h x f hx f h x f h h )()(lim )()(lim000000----+=→→上式中的第一项即为导数的定义,结果为)(0/x f ; 第二项参见前一小题,结果为)(0/x f -, 故[])(2)()()()(lim0/0/0/000x f x f x f hh x f h x f h =--=--+→。
导数与微分真题答案及解析一、基础概念在微积分中,导数与微分是非常重要的概念。
导数描述了函数在某一点的变化率,而微分则描述了函数在某一点附近的局部变化情况。
了解导数与微分的概念对于解决数学问题至关重要,下面就是一些导数与微分的真题及其答案解析。
二、导数计算真题1. 求函数f(x) = 3x^2 - 2x + 1的导数。
解析:根据导数的定义,可以使用求导法则来计算导数。
对于多项式函数f(x) = ax^n + bx^m + cx^l + ...,其导数可以通过对每一项求导后再相加的方式得到。
根据此法则,对于f(x) = 3x^2 - 2x + 1,求导后得到f'(x) = 6x - 2。
2. 求函数f(x) = sin(2x)的导数。
解析:根据导数的链式法则,对于复合函数f(g(x)),其导数可以通过对外层函数求导后再乘以内层函数的导数得到。
对于f(x) = sin(2x),将外层函数设为f(u) = sin(u),内层函数设为g(x) = 2x,则f'(x) = f'(g(x)) * g'(x) = cos(2x) * 2 = 2cos(2x)。
三、微分计算真题1. 求函数f(x) = e^x的微分。
解析:对于指数函数f(x) = e^x,其微分可以通过导数乘以微小变化量dx的方式得到。
由于f'(x) = e^x,所以微分df = f'(x) * dx = e^x * dx。
2. 求函数f(x) = ln(x)的微分。
解析:对于对数函数f(x) = ln(x),其微分可以通过导数除以x的方式得到。
由于f'(x) = 1/x,所以微分df = f'(x) / x = 1 / (x * dx)。
四、综合计算真题1. 求函数f(x) = (x^2 + 1) / (x - 1)在点x = 2处的导数和微分。
解析:首先,求导数。
利用求导法则,对于f(x) = (x^2 + 1) / (x - 1),可以通过分子分母求导再计算商的导数的方式来求得导数。
第四章 导数的应用习题 4-11. 验证下列各函数在所给区间上是否满足罗尔定理,如果满足,试求出定理中的ξ.(1)()f x =3x x -,[-1,1] (2)()f x =321x - [-1,1]解 (1) 因为函数3()f x x x =-是多项式函数,所以()f x 在[-1,1]上连续,在(-1,1)内可导, 且 (1)(1)0,f f -==故该函数在[-1,1]上满足罗尔定理条件,则至少存在一点(1,1)ξ∈-,使得2'()310 f ξξ=-=即ξ=(2)不满足.因为'()f x =,所以()f x 在x =0处不可导,故函数在[-1,1]上不满足罗尔定理的条件.2.验证下列各函数在所给区间上是否满足拉格朗日中值定理.如果满足,试求出定理中的ξ.(1) 311)(-+=x x f [2,9](2)101()[0,3]113x x f x x x -+≤≤⎧=⎨-<≤⎩,,解 (1)因为函数()1f x =+()f x 在[2,9]上连续,在(2,9)内可导, 满足拉格朗日中值定理的条件, 则至少存在一点(2,9)ξ∈, 使得(9)(2)'()(92)f f f ξ-=-即1ξ=+ (负值舍去).(2) 因为()11f x x x =-=在处不可导,故不满足拉格朗日中值定理.3. 验证柯西中值定理对函数3()2f x x x =++及2()1g x x =+在区间[0,1]上的正确性,并求出相应的ξ值.解 因为3()2f x x x =++及2()1g x x =+是多项式函数,所以()f x 与 ()g x 在区间[0,1]上连续,在(0,1)内可导,且在(0,1)内,02)('≠=x x g 故满足柯西中值定理条件,则至少存在一点(0,1)ξ∈,使得(1)(0)'()(1)(0)'()1(13f f fg g g ξξξξ-=-==即舍去).4. 证明方程51030x x ++=有且只有一个实根.证 设5()103f x x x =++ 先证方程()f x = 0根的存在性. 因为lim (),lim ()()x x f x f x f x →-∞→+∞=-∞=+∞,而在区间(-∞,+∞)上连续,所以)(x f 在R 上满足零值定理条件,于是方程)(x f = 0在R 内至少有一个根.再证方程)(x f =0根的唯一性.假设方程)(x f =0至少有两个根βα,,即.0)()(==βαf f 则)(x f 在],[βα上满足罗尔定理条件,所以至少存在一点,0)('),,(=∈ξβαξf 使得即50104=+ξ显然这样的ξ是不存在的,故假设不成立.所以方程51030x x ++=有且只有一个实根.5. 证明不等式:(1)ln(1) (0)(2)1,x x x x x e ex>+>>>当时有证 (1)设)1ln()(t t f +=,不难验证在)(t f 在[0,x ] 上满足拉格朗日中值定理条件,则至少存在一点ξ( 0<ξ<x ),使得1ln(1)1x x x ξ+=⋅<+即 ln(1)x x >+.(2)设()tf t e =,显然()f t 在[1,x ] 上满足拉格朗日中值定理条件, 则至少存在一点ξ(1x ξ<<),使得(1)x e e e x ξ-=-又因为te tf =)(是单调增函数,且1<ξ<x ,所以不等式xe e e <<ξ于是有不等式(1) .x x e e e x e ex ->->即6. 证明恒等式:222arctan arcsin1xx x π+=+(x ≥1).证 令22()2arctan arcsin(1)1xf x x x x =+≥+则222'()1f x x=++因为当1x >时,2(1)0,x -<2(1)x =-- 所以当1x >时,222'()01f x x ==+由拉格朗日中值定理推论1可知,()f x ≡c(x ≥1),取x =1,有(1)f =2arctan1+arcsin1=π且函数()f x 在x =1处连续,所以1lim ()(1)x f x c f π+→===即当x ≥1时,222arctan arcsin1xx x π+=+.7. 不求导数判断函数()(1)(2)(3)f x x x x =---的导数'()0f x = 有几个实根及根的范围.解 不难验证,函数()f x 在区间[1,2],[2,3]上都满足罗尔定理条件, 故方程'()f x =0至少有两个实根,它们分别在区间(1,2),(2,3)内.8.设()f x 在(a ,b )内二阶可导,且1()f x =2()f x =3()f x ,而a <1x <2x <3x <b ,则在(1x ,3x )内至少存在一点ξ,使得"()0f ξ=.证 因为 a <1x <2x <3x <b , 1()f x =2()f x =3()f x , 所以在区间[1x ,2x ]、[2x ,3x ]上分别满足罗尔中值定理条件。
2023经济数学试题及答案一、单项选择题(每题2分,共20分)1. 函数y=f(x)=x^2+3x+2的导数为()。
A. 2x+3B. 2x+6C. 2x+5D. x^2+3答案:A2. 微分方程dy/dx=2x的通解为()。
A. y=x^2+CB. y=2x+CC. y=x^2+2x+CD. y=2x^2+C答案:A3. 已知函数f(x)=x^3-3x^2+2,求f'(1)的值为()。
A. -1B. 0C. 1D. 2答案:B4. 以下哪个函数是奇函数()。
A. f(x)=x^2B. f(x)=x^3C. f(x)=x^4D. f(x)=|x|答案:B5. 以下哪个函数是偶函数()。
A. f(x)=x^2B. f(x)=x^3C. f(x)=x^4D. f(x)=|x|答案:A6. 函数y=e^x的导数为()。
A. e^xB. e^(-x)C. e^(x+1)D. e^(2x)答案:A7. 函数y=ln(x)的导数为()。
A. 1/xB. -1/xC. xD. -x答案:A8. 函数y=sin(x)的导数为()。
A. cos(x)B. -sin(x)C. sin(x)/xD. -cos(x)答案:A9. 函数y=cos(x)的导数为()。
A. -sin(x)B. sin(x)C. cos(x)/xD. -cos(x)答案:A10. 函数y=tan(x)的导数为()。
A. sec^2(x)B. -sec^2(x)C. sec(x)tan(x)D. -sec(x)tan(x)答案:A二、填空题(每题2分,共20分)11. 函数y=x^3-6x^2+9x-4的极值点为x=______。
答案:1, 312. 函数y=x^2-4x+3的最小值为y=______。
答案:-113. 函数y=e^(-x)的不定积分为∫e^(-x)dx=______。
答案:-e^(-x)+C14. 函数y=x^2的不定积分为∫x^2dx=______。
国开经济数学试题及答案一、选择题(每题2分,共20分)1. 函数f(x)=2x+3的导数为:A. 2B. 3C. 5D. 4答案:A2. 曲线y=x^2+2x+1在x=1处的切线斜率为:A. 4B. 3C. 2D. 1答案:B3. 微分方程dy/dx=2x的通解为:A. y=x^2+CB. y=x^3+CC. y=2x+CD. y=x^2+2x+C答案:A4. 函数f(x)=sin(x)在x=0处的二阶导数为:A. 0B. -1C. 1D. 2答案:B5. 函数f(x)=ln(x)的不定积分为:A. x*ln(x)-x+CB. x*ln(x)+x+CC. x*ln(x)+CD. x*ln(x)-x+C答案:C6. 曲线y=e^x与y=ln(x)的交点个数为:A. 0B. 1C. 2D. 3答案:B7. 函数f(x)=x^3-3x^2+2在x=1处的极值类型为:A. 极大值B. 极小值C. 拐点D. 无极值答案:B8. 函数f(x)=x^2-4x+3的零点个数为:A. 0B. 1C. 2D. 3答案:C9. 函数f(x)=x^2+2x+1的最小值为:A. 0B. 1C. 2D. 3答案:B10. 函数f(x)=x^3-6x^2+11x-6的单调递增区间为:A. (-∞, 1)B. (1, 2)C. (2, +∞)D. (-∞, 2)答案:C二、填空题(每题2分,共20分)1. 函数f(x)=x^2+3x+2的导数为______。
答案:2x+32. 曲线y=x^3-3x^2+2x在x=1处的切线方程为______。
答案:y=2x-13. 微分方程dy/dx=x+1的通解为______。
答案:y=(1/2)x^2+x+C4. 函数f(x)=cos(x)在x=π/2处的导数为______。
答案:05. 函数f(x)=e^x的不定积分为______。
答案:e^x+C6. 曲线y=ln(x)与y=x-1的交点个数为______。
大一经济数学习题答案大一经济数学习题答案在大一学习经济数学时,习题是我们巩固知识、提高能力的重要方式之一。
然而,有时候我们可能会遇到一些难题,无法得到正确的答案。
本文将为大一经济数学中一些常见的习题提供答案,并对解题思路进行简要的分析。
一、微积分1. 计算函数 f(x) = 2x^3 - 5x^2 + 3x - 7 的导数。
解答:对于多项式函数 f(x) = 2x^3 - 5x^2 + 3x - 7,我们可以按照幂次逐项求导。
首先,对于 x^n,其导数为 n*x^(n-1)。
因此,我们可以得到 f'(x) = 6x^2 - 10x + 3。
2. 求函数 f(x) = e^x * ln(x) 的导数。
解答:根据指数函数和对数函数的导数公式,我们可以得到 f'(x) = e^x * ln(x) + e^x / x。
3. 求函数f(x) = ∫(0,x) t^2 dt 的导数。
解答:根据牛顿-莱布尼茨公式,我们可以将该函数视为一个定积分的上限函数,即 f(x) = F(x) - F(0),其中F(x) = ∫(0,x) t^2 dt。
根据定积分的基本性质,我们可以得到 f'(x) = F'(x) - F'(0) = x^2 - 0 = x^2。
二、线性代数1. 求矩阵 A = [1 2; 3 4] 的逆矩阵。
解答:我们可以使用矩阵的伴随矩阵求逆矩阵。
首先,计算矩阵 A 的行列式为|A| = 1*4 - 2*3 = -2。
然后,计算矩阵 A 的伴随矩阵为 A* = [4 -2; -3 1]。
最后,根据逆矩阵的定义,我们可以得到 A 的逆矩阵为 A^-1 = A*/|A| = [4/-2 -2/-2;-3/-2 1/-2] = [-2 1; 3/2 -1/2]。
2. 求向量 v = [1; 2; 3] 在向量空间 span{[1; 0; 0], [0; 1; 0]} 中的投影向量。
经济数学基础作业1及解答(一)填空题 1.___________________sin lim=-→xxx x .答案:0 2.设 ⎝⎛=≠+=0,0,1)(2x k x x x f ,在0=x 处连续,则________=k .答案:13.曲线x y =在)2,1(的切线方程是 .答案:2321+=x y4.设函数52)1(2++=+x x x f ,则____________)(='x f .答案:x 25.设x x x f sin )(=,则__________)2π(=''f .答案:2π-(二)单项选择题1. 当+∞→x 时,下列变量是无穷小量的是( ).答案:DA .()x +1lnB .12+x xC .21x e- D .xxsin 2. 下列极限计算正确的是( )答案:B A.1lim=→xx x B.1lim 0=+→xx xC.11sinlim 0=→x x x D.1sin lim =∞→xx x3. 设y x =lg2,则d y =( ).答案:B A .12d x x B .1d x x ln10 C .ln10x x d D .1d xx 4. 若函数f (x )在点x 0处可导,则( )是错误的.答案:BA .函数f (x )在点x 0处有定义B .A x f x x =→)(lim 0,但)(0x f A ≠C .函数f (x )在点x 0处连续D .函数f (x )在点x 0处可微 5.若x x f =⎪⎭⎫ ⎝⎛1,则()()='x f .A.21x B.21x- C.x 1 D.x 1- 答案:B(三)解答题 1.计算极限(1)123lim 221-+-→x x x x 解:2112lim )1()1()2()1(lim 123lim 11221-=+-=+⋅--⋅-=-+-→→→x x x x x x x x x x x x (2)8665lim 222+-+-→x x x x x解:2143lim )4()2()3()2(lim 8665lim 22222=--=-⋅--⋅-=+-+-→→→x x x x x x x x x x x x x(3)xx x 11lim--→ 解:)11(11lim)11()11)(11(lim 11lim000+---=+-+---=--→→→x x x x x x x x x x x x 21111l i m-=+--=→x x(4)423532lim 22+++-∞→x x x x x解:32423532lim 423532lim 2222=+++-=+++-∞→∞→xx x x x x x x x x(5)xxx 5sin 3sin lim 0→解: 535355sin 33sin lim 5sin 3sin lim00=⋅=→→xx x xx x x x (6))2sin(4lim 22--→x x x解:41222)2sin(2lim )2sin()2()2(lim )2sin(4lim2222=+=--+=-+⋅---→→→x x x x x x x x x x x2.设函数⎪⎪⎩⎪⎪⎨⎧>=<+=0sin 0,0,1sin )(x x xx a x b x x x f ,问:(1)当b a ,为何值时,)(x f 在0=x 处有极限存在? (2)当b a ,为何值时,)(x f 在0=x 处连续. 解: b b xx x f x x =+⋅=--→→)1sin (lim )(lim 01sin lim )(lim 0==++→→xxx f x x ∴(1)当1=b 时,1)(lim )(lim 00==+-→→x f x f x x )(x f 在0=x 处有极限存在,此时a 可取任何值。
导数与微分习题答案导数与微分习题答案在学习微积分的过程中,导数与微分是非常重要的概念。
它们不仅是解决数学问题的工具,也是许多实际应用的基础。
然而,由于其抽象性和复杂性,许多学生在学习过程中会遇到困难。
为了帮助大家更好地理解导数与微分,我将提供一些习题的答案,并进行详细的解析。
1. 设函数f(x) = 3x^2 - 2x + 1,求f(x)在x = 2处的导数和微分。
解析:首先,我们需要计算f(x)在x = 2处的导数。
根据导数的定义,导数可以通过函数的极限来求解。
因此,我们可以利用极限的性质来计算导数。
首先,我们计算f(x)在x = 2处的左导数。
左导数表示函数在某一点的左侧的斜率。
利用极限的定义,我们有:f'(2-) = lim (h→0) [f(2 - h) - f(2)] / h代入函数f(x)的表达式,我们有:f'(2-) = lim (h→0) [(3(2 - h)^2 - 2(2 - h) + 1) - (3(2)^2 - 2(2) + 1)] / h化简后,我们得到:f'(2-) = lim (h→0) [12h - 3h^2] / h继续化简,我们得到:f'(2-) = lim (h→0) 12 - 3h = 12接下来,我们计算f(x)在x = 2处的右导数。
右导数表示函数在某一点的右侧的斜率。
同样利用极限的定义,我们有:f'(2+) = lim (h→0) [f(2 + h) - f(2)] / h代入函数f(x)的表达式,我们有:f'(2+) = lim (h→0) [(3(2 + h)^2 - 2(2 + h) + 1) - (3(2)^2 - 2(2) + 1)] / h化简后,我们得到:f'(2+) = lim (h→0) [12h + 3h^2] / h继续化简,我们得到:f'(2+) = lim (h→0) 12 + 3h = 12由于左导数和右导数相等,我们可以得出f(x)在x = 2处的导数为12。
第十章 微分方程习题 10-11. 1. 指出下列微分方程的阶数,并判断是否为线性方程:222222222d d (1)4 (2)cos 0d d (3) d 3d d (4) (1)d (1)d (5) "(')120 (6) '''2''0d (7) 5d y y x y x y xxy y x x x x y y x y y xy xy y x y y xx=-++=+=+=-++=++=-42d d 3sin (8) ()40d d y y xy x x xx+=-=解 (1)1 (2)1 (3)1阶,线性;阶,非线性;阶,线性;(4)1 (5)2 (6)3(7)2 (8)4阶,非线性;阶,非线性;阶,线性;阶,线性;阶,线性.2. 2. 下列各题中的函数是否为所给微分方程的解? 若是,是通解还是特 解?2122122222d (1) 2,d (2) "2'0 , 22(3) "'0, (4) d d 0, xy xy y c xxy y y y x e y y y y c x c xx xx x y y x y R-=-=-+==-+==++=+=解 31(1) '2y c x 因为 -=-23113121222'2d (2)2d '2, "24 ,',"20 20, xxxxx xxxy c xy c x y x x c xyxy c xy xe x e y e xe x ey y y e e y x e 将,代入方程,得所以 是方程的通解.(2) 因为 将 代入方程,得,而所以不是方程的解.----==-=-=-==+=++=≠=1222212 '2, "2 ,'," 22 "'0y c c x y c y y y y y y x xy c x c x (3)因为将 代入方程,得所以 是方程的通解.=+=-+==+22222)2 d 2d 0 x y x x y y x yR +=+=+=(4)因为 d(所以是方程的通解.121200 3.:()(,)"2'0,4'xx x y c c x e c c y y y yy 验证是任意常数是方程的通解并求满足初始条件与=-2的特解.-===+++==解 12()xy c c x e 由 , 得 -=+解 12()xy c c x e 由 , 得 -=+21221212120000'(),"2()"2'0,()4' 2.4'(42).xxxxxx x x x xy c ec c x ey c ec c x ey y y y c c x e y y c c yy y x e 将上两式代入方程即得恒等式. 所以 是方程的通解.将初始条件与=-2代入方程的通解中,得=4,故满足初始条件与=-2的特解为-----====-=-+=-++++==+====+习题 10-21. 1. 求下列各题中微分方程的通解或满足初始条件的特解.222231(1) ' (2) '(3) d (1)d 0 (4) sec tan d sec tan d 032(5)d d 0, 01(6) cot d cot d 0 , x yxyx yy x y e e y y y x x y x y x y x ey yxyx y x x y y+==-=-+=+=+==-+=0x == 解(1) ' y y x由方程 两端积分, 得=- 2211122y x c =-+221 .(2) 'd d .x y yxyxxyx y c y e ey e xee c e e c 故方程的通解为 由方程 分离变量,得将上式两端积分, 得 -故方程的通解为 +---+====++=2x2 ed (1)d 0d d 1xy y y x y y exy --+==+ (3)由方程 分离变量,得221ln(1)21ln(1).2xxy y ec y y ec 将上式两端积分, 得 故方程的通解为 ---+=-+-++=2222(4) sec tan d sec tan d 0 sec secd d tan tan ln(tan )ln(tan )ln tan tan .x y x y x y y x y xyxy x c y x c 由方程 分离变量,得将上式两端积分, 得故方程的通解为 +==-=-+=22223331332 (5)d d 0 131d d 2,3ln 0 2.3ln 2.yyyx yx ey xyx x x ye yxx x e c yc x x e由方程分离变量,得将上式两端积分 得再将初始条件代入上式,得 故满足初始条件的特解为 =+=--⋅=-=+==--=-cot d cot d 0 11d d cot cot siny sind d cosycos ln cos ln cos ln 01cos x y x x y y xyx x y yxy x c yc x (6)由方程 分离变量,得 即将上式两端积分, 得- 再将初始条件代入上式,得 故满足初始条件的特解为 =+==-=-=+==cos 1.y =2.求下列各题中微分方程的通解或满足初始条件的特解.11(1) 'cot(2) '(3) '(ln ln ) (4) ()022(5) 'tan(6) () 02yx x x y y y xy y x xxy y y x xe y dx xdy y xy y x yxy dx xydy yx π===+=-=-+-=-==+==解(1),,''y u y ux y u xu x令 则===+'cot 'cot sin 1d d cos ln cos ln ln u xu u u xu u u u xux u x c 即 分离变量,得将上式两端积分,得- +=+===+ cos x u c 即 =cos .y x c x故变量还原, 得原方程的通解为 =','',y y x y u y ux y u xu x(2) 将原方程化为 令 ,则=-===+''1d u xu u xu u xx即 分离变量,得+=-==-arcsin ln ln arcsin lnarcsinln.u x c c u xy c x x 将上式两端积分,得即 故变量还原,得原方程的通解为 =-+==(3)'ln,'','ln '(ln 1)11d d (ln 1)ln(ln 1)ln ln y y y xxy u y ux y u xu xu xu u u xu u u u xu u x u x c 将原方程化为 令 ,则即 分离变量,得将上式两端积分,得====++==-=--=+11ln1.cxu cx y cx xy xe即 ln 于是变量还原, 得 故原方程的通解为 +-==+=(4)','',yx y y e xy u y ux y u xu x将原方程化为 令 ,则=+===+''uuu xu e u xu e即 +=+=1d d ln ln ln .uuuy xeu xx ex c x e cx ec 分离变量得 将上式两端积分,得即 故变量还原, 得原方程的通解为 ----=-=++=+=(5)' =tany yy xx 将原方程化为 -,'','tan 'tan 11d d tan ln(sin )ln ln sin y u y ux y u xu xu xu u u xu u u xux u x c u xc令 ,则即 分离变量,得将上式两端积分,得即 ===++-====+=1222sin .12sin.d (6) )d ,'',(')(1)x y cx x yc y x x y y yx x x y u y ux y u xu xu u xu u π于是变量还原, 得原方程的通解为 将初始条件代入通解中,得 故满足初始条件的特解为 将原方程化为 (1+ 令 ,则=====⋅====++=+'1xuu =即2222212221d d 1ln ln 22ln ln().0 1.ln .x u u xx u x c u cxy x cx yc y x x 分离变量,得 将上式两端积分,得即 于是变量还原, 得原方程的通解为 再将初始条件代入通解中,得 故满足初始条件的特解为 ===+=====3.求下列各题中微分方程的通解或满足初始条件的特解.21(1) '2cos (2) ( 1)'(1)xx n y xy ex x y ny e x +-=+-=+2621(3) 'cot 2sin (4) 2(5)'ln , 1 (6)(1)'1, 1x x dy y y y x x x x ydxxy y x yx y xy yx x ==-=+=-=-=-+==解 2(1)()2,()cos xp x x q x ex 因 =-=222222()d ()d 2d 2d [()d ][cos d ][cos d ](cos d )(sin ).(2)'1p x xp x xx x x x xxxxxxy e q x e x c e e xe x c e exex c ex x c ex c ny x 故原方程的通解是将原方程化为---=+=+=+=+=+-+⎰⎰⎰⎰⎰⎰⎰⎰(1)(),()(1)1xnxn y e x n p x q x e x x 因 故原方程的通解是=+=-=++d d 11ln(1)ln(1)[(1)d ] [(1)d ]nnxxx nx x n x x n n x y ee x ex c ee x ex c -+++-+=++=++⎰⎰⎰⎰(1)(d )(1)().nxn xx e x c x e c =++=++⎰cot d cot d ln(sin )ln(sin )2(3)()cot ,()2sin [2sin d ][2sin d ]sin (2d )sin ().x x x x x x p x x q x x xy e x xe x c ex xex c x x x c x x c --=-==+=+=+=+⎰⎰⎰⎰⎰因 故原方程的通解是52255d d 25ln 25ln 5352(4)6,5'5 5(),()5 (5d )(5d )5 (5d )().2xxxxx x n z yz z x xp x q x xx z ex ex c ex ex c x x x c x xc 这是一个的贝努里方程令 则因 于是方程的通解是 故原-----==-=-=-=-=-+=-+=-+=+⎰⎰⎰⎰⎰55211d d ln ln 5 ().212(5) (),() ln2 ( ln d )2 ( ln d )(x xx x xxy x y xc p x q x x x xy e x e x c xex ex c xx 方程的通解是因 故原方程的通解是---=+=-=-=-+=-+=-⎰⎰⎰⎰22 ln d )22 (ln )2ln 2.x x c xx x c x cx xx+=++=++⎰11 12ln 2.x y c y x x 将初始条件代入通解中,得 故满足初始条件的特解为 ===-=+-22221(6)'111 (),()11x y y xxx p x q x xx+=--==-- 先将原方程化为 因 故原方程的通解是22d d 1121[d ]1xxxxx x y eex c x---=+-⎰⎰⎰2211ln(1)ln(1)2221223221122221[d ]11(1)[d ](1) (1))(1)x x e ex c xx x c x x c x c x ---=+-=-+-=-=+-⎰⎰1221 1(1).x yc y x x====+- 将初始条件代入通解中,得 故满足初始条件的特解为4.已知连续函数f (x )满足条件320()()d .().3x xt f x f t e f x =+⎰求:解320()()d 3x xtf x f t e x 在等式 两端对 求导数,得=+⎰2223d 3d 23233'()3()2'()3()2()3,()2, ()(2d )(2d )(2d )xx xx xx xxxx xf x f x e f x f x e p x q x ef x e e e x c e e ex c e ex c 即 因 则---=+-==-==+=+=+⎰⎰⎰⎰⎰33(2),0,(1)1,3()(32).xxxxe c ex f c f x e e由题意知当时 代入上式中,得 故 --=-====-5.已知某企业的纯利润L 对广告费 x 的变化率与常数A 和纯利润L 之差成正比. 当x = 0时, L = L 0 , 试求纯利润L 与广告费x 之间的函数关系.解d ()d L K A L x由题意知=-d d d (0)d (),(),()[d ]K x K xL K L K A K xp x K q x K A f x e K A e x c 即 因 则-+=>==⎰⎰=+⎰000 [d ][],0,,()().K xK xK xK xK xK xe K Aex c e Ae c A cex L L c L AL x A L A e由题意知当时 代入通解中,得 故满足条件的利润函数为 ----=+=+=+===-=+-⎰习题 10-31.验证 y 1 = cos ωx 与y 2 = sin ωx 都是方程2"0y y ω+=的解,并写出该方程的通解.证 因'"211sin ,cos y x y x ωωωω=-=-''222 cos ,sin y x y x ωωωω==-"22211"2222212112212cos cos 0 sin sin 0cos sin cos sin .y y x x y y x x y x y x y c y c y c x c x ωωωωωωωωωωωωωω+=-+=+=-+====+=+ 代入方程, 得即 和是方程的解,其通解是22212 2."4'(42)0xxy ey xe y xy x y 验证: 和都是方程的解,并写出该方程的解.==-+-=证 22'"2112,2(12),xxy xe y x e因 ==+2222'2"2222 (12),642(32) xxxxy x e y xex ex x e代入方程, 得=+=+=+222"'211122"'22224(42) 2(12)42(42)04(42)x xxy xy x y x ex xex ey xy x y -+-=+-⋅+-=-+-222222222333112211221212 2(32)4(12)(42) (644842)01,,(,).xxxxxxx x ex x ex xex x x x x x e y y y y xy c y c y c e c xec c 而常数于是是方程线性无关的解,故其通解为是任意常数=+-⋅++-=+--+-==≠=+=+3.求下列二阶齐次常系数线性微分方程的通解:(1) '''20 (2) '' 4'130 (3) ''2'0 (4) ''6'90y y y y y y y y y y y +-=-+=+=++=解 22(2)(1)0λλλλ(1)由特征方程 +-=+-= 122122122122,1..413023,23.(cos 3sin 3).xxxy c ec e i i y c x c x e λλλλλλ得特征根 故方程的通解为 (2)由特征方程 得一对共轭特征根 故方程的通解为 -=-==+-+==+=-=++212212221233122(2)00,2..69(3)03,3..xxxy c c ey c ec xeλλλλλλλλλλλ (3)由特征方程 得特征根 故方程的通解为 (4)由特征方程 得特征根 故方程的通解为 ---+=+===-=+++=+==-=-=+4.求下列二阶常系数线性齐次微分方程满足初始条件的特解:00006660 (1) ''4'30, 6, '10 (2) 4 ''4'0 , 2, '(3) ''2'100, 0, '(4) "250, 2,x x x x x x x y y y y y y y y y y y y y yy e y y y πππ=======-+===++===-+===+==0 ' 5 x y ==解 243(1)(3)0λλλλ(1)由特征方程 -+=--=123120012322121, 3.6, ' 104, 2.42.441(21)01.2xxx x xxy c e c ey y c c y e eλλλλλλλ得特征根 即方程的通解为 将初始条件代入通解中,得 故满足初始条件的特解是 (2)由特征方程 得特征根为 =====+=====+++=+===-1212001212() 2, ' 0 2, 1.(2).xx x xy c c x ey y c c y x e 即方程的通解为 将初始条件代入通解中,得 故满足初始条件的特解是 -==-=+=====+2121261266210013,13.(cos 3sin 3)10, ',0.31cos 3.3xx x xi i y c x c x eyy e c c y e x πππλλλλ (3)由特征方程 得一对共轭特征根 即方程的通解为 将初始条件代入通解中,得 故满足初始条件的特解是 ==-+==+=-=+===-==-2121212002505,5.cos 5sin 52, '5 2,1.2cos 5sin 5x x i i y c x c x yy c c y x xλλλ (4)由特征方程 得一对共轭特征根 即方程的通解为 将初始条件代入通解中,得 故满足初始条件的特解是 ==+===-=+=====+5. 求下列二阶非齐次常系数线性微分方程的通解或满足初始条件的特解:200 (1) ''2'2 (2) 2'''2 (3) ''3'23 (4) ''4cos (5) ''3'2 5 , 1, '2 (6) ''2sin 2 , 1, xxx x x y y y x y y y e y y y xey y x xy y y y y y y x yπ-===-+=+-=++=+=-+===+=-= '1x y π==解 2220λλ(1)由齐次方程的特征方程 -+=12122012012221,1 (cos sin ).()011,1,.22111 (1)222xi iy c x c x e f x x r y A x A x A A A A y x x x λλ得一对共轭特征根 即齐次方程的通解为 又因为且不是特征根,所以设非齐次方程有特解 将其代入非齐次方程,得 于是非齐次方程有特解=+=-=+===++====++=+2122121(cos sin )(1).21212(1)()0211,.2xy c x c x e x λλλλλλ故原方程的通解是(2)由齐次方程的特征方程 解得特征根 =++++-=+-==-=12121212()2 1. +.xxxxxxxxy c ec e f x e y AeA y ey c ec e e 即齐次方程的通解为 又因为且r = 1 不是特征根,所以设非齐次方程有特解 代入非齐次方程,得 于是非齐次方程有特解 故原方程的通解为 --=+=====+212212010123201,2.()31()3, 3.23(3)2x xxxy c ec ef x xe r y x A x A e A A y x x λλλλ (3)由齐次方程的特征方程 得特征根 即齐次方程的通解为 又因为且是特征方程的单根, 所以设非齐次方程有特解 代入原方程,得 于是非齐次方程有特解---++==-=-=+==-=+==-=-22123+(3).2xxxxey c ec ex x e故原方程的通解是 ----=+-2121201*********,2.cos 2sin 2()cos ()cos ()sin 12,,0391 i i y c x c xf x x x r i y A x A x A x A x A A A A y λλλ (4)由齐次方程的特征方程 得一对共轭特征根 即齐次方程的通解为 又因为且不是特征根,所以设非齐次方程有特解代入非齐次方程,得 于是非齐次方程有特解为+===-=+===+++=====2cos sin 39x x x+1221212 cos 2sin 2cos sin .393201,2.y c x c x x x x λλλλ故原方程的通解是(5)由齐次方程的特征方程 得特征根 =+++-+===21201012120012 ()5055,0.22527 1, ' 25,.2xxxxx x y c e c ef x r y A A x A A y y c e c ey y c c 即齐次方程的通解为 又因为且不是特征根,所以设非齐次方程有特解 代入非齐次方程,得 于是非齐次方程有特解 故原方程的通解是 将初始条件代入通解中,得 故满足初始条件的特解是===+===+====++===-=2755.22xxy e e=-++212120110,.cos sin ()sin 22,cos 2sin 2i i y c x c xf x x i i y A x A xλλλ (6)由齐次方程的特征方程 得一对共轭特征根 即齐次方程的通解为 又因为且所以设非齐次方程有特解 +===-=+=-≠=+0110,.31sin 23A A y x代入非奇次方程,得 于是非齐次方程有特解===121cos sin sin 23y c x c x x即原方程的通解为 =++121 1, ' 11,.311cos sin sin 2.33x x y y c c y x x x ππ 将初始条件代入通解中,得 故满足初始条件的特解为 =====-=-=--+6. 求下列高阶微分方程的通解或满足初始条件的特解:2311 (1) ''sin (2) ''' (3) '''(') (4) '''tan sin 2 (5) ''1, 1, ' 0 (6) "x x y x x y y xyy y y y y x x y y y y y ===-==-+==-==000', '"0xx x x xe yy y =======解 (1)在原方程两端同时积分,得111 'sin d cos cos d cos sin (cos sin )dsin sin d sin d y x x x x x x xx x x c y x x x c x x x x x x x c x再积分一次,得原方程通解为 ==-+=-++=-++=-+++⎰⎰⎰⎰⎰12d d 1111 sin 2cos . (2)',"'' [d ][d ][]1x x x xx xxx x x c x c y p y p p p xp p e xe x c e xe x c e xeec x c e令 代入原方程,得这是关于的一阶线性方程,其通解为----=--++==-=⎰⎰=+=+=--+=--+⎰⎰x故原方程通解为21121d (1)d .2xxy p x x c e x x x c e c ==--+=--++⎰⎰(3) '(),"dp y p y y pdy令 , 代入原方程,得==211111112d 1d d 1d1ln 1ln ln 1dd 11ln(1) ln(1)p yp p p p p yp y py p y c p c y y xc yc y x cc c y c x c (0,)分离变量,得两端积分,得 即于是两端再积分,得 即=-≠≠=---=+=-=---=+-=-+111112dd 11ln(1) ln(1)y xc yc y x cc c y c x c 于是两端再积分,得 即=---=+-=-+tan d tan d 1ln cos ln cos 1 (4)'(),"''tan sin 2 [sin 2d ][sin 2d ]cos [2sin d x x x xxxy p x y p p p x xp p e xe x c exex c x x x 令 代入原方程,得这是关于的一阶线性方程,其通解为--==+=⎰⎰=+=+=+⎰⎰⎰112121112]cos [2cos ] 2cos cos ]d (2coscos )d (1cos 2)d cos d 1 sin 2sin .2(5)',"c x x c x xc y p x x c x xx x cx xx x c x c y p y p 故原方程通解为 令 =-+=-+==-+=-++=--++==⎰⎰⎰⎰33221221d d d 1d d d 1122p yp y p yp p y y p yc p yc 代入原方程,得分离变量,得两端积分,得 即---⋅=-=-=+=+111 1, ' 0 1.'x x y y c y y 将初始条件代入上式,得 于是 =====-=2dxx c 分离变量,得两端积分,得=-=+1210121, 1.1 (6)"d " 0 1.'(1)d 2x xx xx xx x xy c x y xex xe e c y c y xee x xe e x c 再将初始条件代入上式,得 故满足初始条件的特解为 在原方程两端同时积分,得 将初始条件代入上式,得 再积分,得 ====-=-==-+===-+=-++⎰⎰02 ' 0 2.x y c 又将初始条件代入上式,得 ===23032(22)d 1 3220 3.132 3.2xxxxx xxy xee x xxe e x x c y c y xe e x x 再积分得原方程通解为 又将初始条件代入上式,得 故满足初始条件的特解为 ==-++=-+++===-+++⎰习题 10-41. 英国人口学家马尔萨斯根据百余年的人口统计资料,于1798年提出了人口指数增长模型. 设单位时间内人口的增长量与当时的人口总数x (t ) 成正比. 若已知t t =时的人口总数为x 0, 求时间t 与人口总数x (t ) 的函数关糸. 根据我国国家统计局1990年10月30日发表的公报,1990年7月1日我国人口总数为116亿,过去8年的年人口平均增长率为14.8 %0 ,若今后的年增长率保持这个数字,预报2000年我国的人口总数.解 设时间为t 时的人口总数为x (t ), 由题意得00d ()0.0148d ()x t x tx t x⎧=⎪⎨⎪=⎩这是一个变量可分离的方程,易求出满足初始条件的解为00.0148()0()t t x t x e-=又将002000,1990,11.6t t x === 代入上式,得 2000年我国的人口总数为0.148(2000)11.613.45x e=⨯≈(亿)2. 假设有一个很小的相对独立的小镇, 总人口1800人, 并假设最初有5人患流感, 且流感以每天12.8%的比率蔓延, 那么10天内将有多少人被感染? 经过多少时间该镇将有一半人被感染?解 设x(t )是第t 天被感染流感的人数, 由题意得d ()0.0128()[1800()] ()d (0)5x t x t x t tx 这是一个阻滞增长模型 这是一个变量可分离得方程,分离变量,得⎧=-⎪⎨⎪=⎩10.1280.128d ()0.128d (1800)()ln0.1281800()1800 ()1(0)5359.1800()135910,(10)18,ttx t tx x x t t c x t x t cex c x t et x 两端积分,得即将初始条件代入上式得 故小镇被感染流感的人数的增长曲线为 若 即十天内约有18人被--=-=+-=+===+=≈000-0.128018001()18009002135946.46,.t t t x t et 感染流感. 又设时,小镇有一半人感染流感,则有 解得 故大约经过天小镇将有一半人感染流感===⨯=+≈3. 某市几十家专业商场,今年销售全自动洗衣机15千台, 预计今后几年销售数量将以每年60%的速率增长,估计年销售达60千台, 销售市场基本趋于饱和. 试写出自动洗衣机的销售曲线方程.解 设x (t ) 是第t 年自动洗衣机的销售数, 由题意, 年销售达60千台, 销售市场基本趋于饱和,得10.6d ()0.6()[60()] ()d (0)15d ()0.6d 0.6()[60()]()ln0.660()60 ()1(tx t x t x t tx x t tx t x t x t t c x t x t cex 这是一个阻滞增长模型 这是一个变量可分离得方程,分离变量,得 两端积分,得即将初始条件 -⎧=-⎪⎨⎪=⎩=-=+-=+0.60)15360().13tc x t e代入上式,得 故自动洗衣机的销售增长曲线为 -===+4.设某商品的供给函数与需求函数分别为4244'" 68(0)6,'(0)4,,().d S Q p p p Q pP P p t 与初始条件为若在每一时刻市场均是出清的求价格函数=--+=-+==解 d Q s Q 由题意知=262124244'"68"4'1248(41206,2.()48,0 ttp p p pp p p p c ec ef t r λλλλ 所以即 这是一个二阶常系数线性非齐次方程)由齐次方程的特征方程 得特征根为 则二阶常系数线性齐次方程的通解为 又因为 不是特征根,所以设非齐次方程有特解---+=-+--=---===-=+=-= 01 p A A t=+10 0,4A A 代入非奇次方程,得==621212624(0) 6.'(0)41,1() 4.ttttp c e c ep p c c p t ee于是非齐次方程的通解为将初始条件代入上式,得 故满足初始条件的价格函数为 --=++=====++5.设某商品的供给函数S (t )与需求函数D (t )分别为()604,()1003dp dp S t p D t p dtdt=++=-+()p t 其中表示时间t 时的价格, 且p (0) = 8, 试求均衡价格关于时间的函数, 并说明实际意义.解()()S t D t 由题意知在市场均衡价格时, =d d 6041003d d d 402d d 2d 20p p p p ttp ptp tp于是即分离变量,得++==+=-=-综合习题十1.填空题:(1) 微分方程324(')2(')20y y xy ++=的阶数是( ).① 1 ② 2 ③ 3 ④ 4(2) 下列微分方程中为一阶微分方程的是( ).①22d yxy dx+= ② d y +3y d x = 3x 2d x③ cos y + 6x = 0 ④35"70y y y +-=(3) 微分方程24'2xy x y x =+是( ).① 可分离变量方程 ② 齐次方程③ 一阶线性齐次方程 ④ 一阶线性非齐次方程(4) 方程1=-dxdy eyx 的通解是( ).① x y e e c += ② x ye e c --+= ③ x y e e c -= ④ x ye e c ---=(5) 微分方程'0y y +=满足初始条件 01x y==的特解是( ).① xe ② x e -③ x e - ④ xe --(6) 函数 y = cos x 是微分方程( )的解.① '0y y += ② '20y y += ③"0y y +=④"cos y y x+=(7) 微分方程"2'0y y y -+=的解是( ).① xy xe =② 2xy x e =③ 2xy x e=-④ xy x e=-(8) 微分方程tandyy y dxxx=+的通解是( ).①siny cxx = ②1 siny x cx =③ sin x cx y= ④1 sin x ycx =解 (1) ① ; (2) ②; (3) ④; (4) ④; (5) ③; (6) ③; (7) ①; (8) ① .2. 验证22`0'x xtx xy ee dt y y e是微分方程+=-=⎰的解; 并说明是通解还是特解.解22`0'x xtx xy ee dt e因为 +=+⎰2222222`0`0`0`0','.x x xtx xxtx xx x xtxtx xy y e e dt eee dt ey ee dt y ee dty y e 代入方程 成为恒等式所以是方程的解,且函数不含任意常数.故是微分方程 的特解+++-=+-===-=⎰⎰⎰⎰3.求下列方程的通解和特解.222212233(1)d ()d (2)d d d d (3)()d ()d 0 (4)ln d (ln )d 0(5)'13 (6)'(1)sin , 11x yx x yyx x x y y xy x x x xy y y x y y ee x e e y y y x x y y y y xy y y x x yx++===-++=+-++=+-==-=+=+=+解22d (1)1d y y y xxx将原方程化为 =-+2,','','21y u y xu y u xu xxu u u 令 则原方程变为===+=-+2d d (1)1ln 1ln .u xu x cxu x cx x y变量分离,得 两端积分,得 -故变量还原得原方程的通解为=-=-=-2(2)d d 11y y x yx 将原方程变量分离,得=--20221ln(1)ln (1)2(1)(1).y c x y c x 两端积分,得故原方程的通解为-=--=-0 (3)d d 11ln 1ln (1)(1)(1).yxyxyx xye y e x e e e c e e e c 将原方程变量分离,得两端积分,得 故原方程的通解为--=-+--=++=d 11 (4)d ln x x yy yy 将原方程化为这是一阶线性非齐次方程,由通解公式可得+=d d ln ln ln ln ln ln 21[d ]1 [d ]111 [ln ]ln .ln 22ln (5)yyy yy y yyx e e y c y e ey c yc y c y y y将原方程变量分离,得--⎰⎰=+=+=+=+=⎰⎰11 x cy c 两端积分,得 将初始条件代入上式,得 故满足初始条件的特解是====223312333d 3d 311 (6)2,d 3(1)sin d 1 [(1)sin d ]x xx xxxn z yz xz x xx xz ex xex c 原方程为的贝努里方程. 令 则原方程化为这是一阶线性非齐次方程,由通解公式可得--++==-=-++⎰⎰=-++⎰3ln(1)333[sin d ](1)[cos ]1(1)[cos ].1 0sec .1x x e x x c x x c x x c yy c x y x即将初始条件代入上式,得 故满足初始条件的特解是 +==-+=++=++===+⎰ 4.求满足方程 0()() ()x xy x y t dt e y x =+⎰的函数.解()()d x xy x y t t e x 在方程 两端同时对 求导,得=+⎰d d ''()[d ]()0 1.1, ()(1).xxx x x xxy y e y y e y x e e e x c e x c x y c y x e x 即这是一阶线性非齐次方程,由通解公式,得 又当时,代入原方程得 再代入通解中得 故满足条件的函数为-=+-=⎰⎰=+=+====+⎰5. 求下列方程的通解和特解:200(1)(ln )"' (2)(")'0(3)"'20, ' 0(4)"5'62, '1x x xx x x x y y y y y y y y y y y e yy ====⋅=-=++===-+===解 (1)',"'y p y p 令 代入原方程,得== 12ln )'d d ln ln ln ln 'ln ln d (ln ).x x p p p x px xp x c y p c xy c x x c x x x c(分离变量,得两端积分,得 即两端再积分,得方程的通解为 ===+====-+⎰2(2)',"'')'d y p y p p p p x令 代入原方程,得(分离变量,得=====21 122321'()2121()d ().232x c y p x c y x c x x c c 两端积分,得 即两端再积分,得方程的通解为=+==+=+=++⎰2121200, 1.x y c c eλλλλ (3)由齐次方程的特征方程 得特征根为 则齐次方程的通解为 -+===-=+ 010*******()20 ()2,0.22 ' 0 2, 2.x x x f x r y x A A x A A y xy c c e xy y c c 又因为 且是特征根,所以设非齐次方程有特解代入原方程,得 于是,非齐次方程有特解为故原方程的通解是 又将初始条件代入通解中,得-===-==+=-==-=+-====- 222.x y ex 故满足初始条件的特解是 -=-- 212321200321212005603, 2.1..'10,0x xxx x x x x x y c e c e y A e A y e y c ec e e y y c c λλλλ (4)由齐次方程的特征方程 得特征根为 则齐次方程的通解为所以设非齐次方程有特解 代入原方程,得 于是非齐次方程有特解为 即原方程的通解是 又将初始条件代入通解中,得故满足初始条==-+====+====++====.x y e 件的特解是 =6.设函数()x ϕ连续,且满足 00 ()()d ()d ().x x x x e t t t x t t x ϕϕϕϕ求:=+-⎰⎰解 00()()d ()d x x xx e t t t x t t x ϕϕϕ在方程 两端同时对求导数,得=+-⎰⎰ 021212 '()()d "()()"()()10,.()cos sin xx x xx e t t x x e x x x e i i x c x c x ϕϕϕϕϕϕλλλϕ再对求一次导数,得 即 这是二阶常系数线性非齐次方程,对应的齐次方程的特征方程为解得一对共轭特征根为 则齐次方程的通解为 =-=-+=+===-=+⎰。
第三章 函数的导数与微分习题 3-11. 根据定义求下列函数的导数: (1)x y 1= (2)x y cos =(3)b ax y +=(a ,b 为常数) (4)x y =解 (1) 因为 00()()'lim lim x x y f x x f x y x x ∆→∆→∆+∆-==∆∆ =x x x x x ∆-∆+→∆11lim 0=01lim ()x x x x ∆→-+∆=21x -所以 21y x '=-.(2) 因为 00cos()cos 'limlim x x y x x x y x x ∆→∆→∆+∆-==∆∆所以 sin y x '=-(3) 因为 00[()][]'lim lim x x y a x x b ax b y x x ∆→∆→∆+∆+-+==∆∆ =x x a x ∆∆→∆0lim =a所以 y a '= (4) 因为00'limlim x x y y x ∆→∆→∆==∆ =)(lim 0x x x x x x +∆+∆∆→∆ 所以y '=. 2. 下列各题中假定)(0'x f 存在, 按照导数的定义观察下列极限, 指出A 表示什么? (1) A x x f x x f x =∆-∆-→∆)()(lim 000 (2) A x x f x =→)(lim 0(其中0)0(=f 且)0('f )存在) (3) A x f tx f x =-→)0()(lim 0(其中)0('f 存在) (4) A h h x f h x f h =--+→)()(lim 000解(1)因为 x x f x x f x ∆-∆-→∆)()(lim 000 =x x f x x f x ∆--∆--→∆)()(lim 000=)(0'x f -故 )(0'x f A -=.(2) 因为 x x f x )(lim 0→=0)0()(lim 0--→x f x f x =)0('f故 )0('f A =.(3) 因为 x f tx f x )0()(lim 0-→=tx f tx f t x )0()0(lim 0-+→=)0('tf故)0('tf A =. (4) 因为 000()()limh f x h f x h h →+-- =)()(0'0'x f x f +=)(20'x f 故)(20'x f A =. 3.已知2,,x y x ⎧=⎨⎩11≥<x x , 求d d y x 解 由已知易得当1<x 时, x y 2'=, 当1x >时, 1'=y又 1)1()(l i m )1(1'--=+→+x f x f f x =11lim 1--+→x x x =1 1)1()(lim )1(1'--=-→-x f x f f x =11lim 21---→x x x =2即)1('f 不存在.故'2,()1,x f x ⎧=⎨⎩ 11><x x . 4. 如果f (x )为偶函数,且(0)f '存在,证明(0)0f '=.证 由于f (x )为偶函数,所以 f (-x ) = f (x )则 00()(0)()(0)(0)lim lim 00x x f x f f x f f x x →-→---'==----故 (0)0f '=.5.讨论下列函数在0=x 处的连续性和可导性: (1) 21sin ,0,x y x ⎧⎪=⎨⎪⎩ 00=≠x x (2) cos y x =(3)2,,x y x ⎧=⎨-⎩ 00<≥x x 解 (1) 因为 0()(0)'(0)lim 0x f x f f x →-=-所以函数 21sin ,0,x y x ⎧⎪=⎨⎪⎩ 00=≠x x 在0=x 处可导,从而也连续.(2) 因为0()(0)'(0)l i m 0x f x f f x →-=- 所以函数cos y x =在x = 0处可导,从而也连续.(3)因为 200lim ()lim 0(0)x x f x x f ++→→===所以函数)(x f 在0=x 处连续.又因为 2'00()(0)0(0)lim lim 000x x f x f x f x x +++→→--===--故'(0)f 不存在, 即函数)(x f 在0=x 不可导. 6. 设函数2, 1(), 1x x f x ax b x ⎧≤=⎨+>⎩,为使函数f (x ) 在x = 1处连续且可导,a ,b 应取什么值? 解 由题意, 有首先可得 a+b = 1 即 b = 1-a又因为 211(1)lim 21x x f x --→-'==-所以a = 2 ,于是b = -1.故当a = 2, b = -1时,函数f (x ) 在x = 1处连续且可导.7.求曲线2x y =在点(-1,1)处的切线方程.解 因 1'2,'2x y x y =-==-故 曲线2x y =在点(-1,1)处的切线方程为12(1)y x -=-+即 21y x =--.8*.设曲线f (x ) = x n 在点 (1, 1) 处的切线与x 轴的交点为(a n ,0),求lim ()n n f a →∞. 解 因为 1(1)n x f nx n ='==所以曲线()n f x x =在点(1, 1)处的切线方程为y -1 = n ( x -1)切线与x 轴的交点为1(1,0)n -,即11n a n =- 从而1()(1)nn f a n =-习题 3-21 求下列函数的导数:(1)52423+-=x x y (2)x y x ln 2=(3 )x x y sin 23= (4) 4tan 3-=x y(5) )32)(23(x x y -+= (6) x x xy ln 1ln += (7) x x e y x 22+= (8) t t y cos 1sin 1++=解 (1)x x y 4122'-=. (2) x x y x x 2)2)(2(ln ln '+=.(3) x x x x y cos 2sin 632'+=.(4) x y 2'sec 3=.(5) )3)(23()32(2'-++-=x x y =x 125--. (6) x x x x x x y 22'ln 1ln 1-+-==x x x x 22ln 1ln 1--.(7) 2'4222x x e x e x y x x -=-=42222x x xe e x x x --. (8)2')cos 1()sin )(sin 1()cos 1(cos t t t t t y t +-+-+==2cos sin 1(1cos )t t t +++.2. 求下列函数在给定点的导数: (1)x xe y =, 求0'|=x y(2)θθθρcos 21sin +=, 求0'|=θρ(3)553)(2x x x f +-=, 求)0('f 和)2('f . 解 (1) 因为x x xe e y +=', 所以 10|000'=+==e e y x(2) 因为'11sin cos sin sin cos 22θρθθθθθθθ=+-=+ 所以 '211|sin cos 22222θπθπππρ==+=.(3) 因为 x x x x f 52)5()5(3)(2'+---==x x 5253+-所以 53)0('-=f , 51)2('-=f . 3. 求21123(1)n x x nx x -++++≠的和. 解 注意到 1()n n x nx -'=,有4. 求曲线2sin x x y +=上横坐标为0=x 的点处的切线方程和法线方程. 解 当0=x 时,0=y , 且有 x x y 2cos '+=则 00cos |0'+==x y =1 习题 3-31. 求下列函数的导数:(1)223x y -= (2)32x e y = (3)x y arcsin= (4))ln(22x a x y ++= (5)2cos ln x e y -= (6)x y 1arctan =解 (1))4(23212'x x y --==. (2) 33'2222(6)6x x y e x x e ==. (3)x x y 2111'-==)1(21x x -.(4)y '=+=. (5) 22222'1(sin )(2)2tan cos x x x x x y e e x xe e e -----=--=.(6) )1(11122'x x y -+==211x +-. 2. 求下列函数的导数: (1)x e y x2cos 2-= (2))]ln[ln(ln x x y =(3)nx x y n cos sin = (4)x x y 22ln 2-= 解 (1)'221()cos 2(sin 2)22xx y e x e x --=-+-⋅ ()21cos 24sin 22xe x x -=-+.(2)[]1'ln[ln(ln )]ln(ln )ln y x x x -=+⋅. (3) nx x x n y n cos cos sin 1'-=n nx x n )sin (sin -+ sin cos(1)n n x n x =+. (4) xx y 2'ln 22-=)ln 221(22x x -+x x 1)ln 2(- =x x 2ln 22-x x x 2ln 2ln --.3. 设f 可导,求下列函数的导数d d yx :(1))(e x x e f y += (2))(sin 2cos 2x f x y -= (3)n a x f y )]([2+= (4))]ln ([x x f f y += (5))arctan 1(x x f e y +=解 (1)()'1dy ()d x e x e f e x e ex x -=++.(2)'2d 2sin 2(sin )d y x f x x=--x x cos sin 2. =x x f x 2sin )(sin 2sin 22'--2sin 22(sin )x f x '⎡⎤=-+⎣⎦. (3) 212d [()]()2d n y n f x a f x a x x -'=+⋅+⋅1222()()n nx f x a f x a -'⎡⎤=+⋅+⎣⎦. (4) []d 1(1)(ln )(ln )dx y f f x x f x x x ''=+⋅+⋅+. (5) 1(arctan )d d f x x y e x +=)arctan 1('x x f +)111(22x x ++- 1(arctan )2211arctan (1)f x xf x e x x x +⎛⎫'=-+ ⎪+⎝⎭.4设2ln(1), >0()0, 0 , ().sin , 0x x f x x f x x x x ⎧⎪+⎪⎪'==⎨⎪⎪<⎪⎩求解 当x > 0时,[]1()ln(1)1f x x x ''=+=+ 当x < 0时,222sin sin 2sin ()x x x x f x x x '⎛⎫-'== ⎪⎝⎭当x = 0时,由00()(0)ln(1)(0)lim lim 0x x f x f x f x x +++→→-+'==-得(0)1f '=. 故 221, 01()1, 0sin 2sin , 0x x f x x x x x x x ⎧<⎪+⎪⎪'==⎨⎪-⎪<⎪⎩ .5. 设2()1 ()()ln f x y a f x f x a '==且,证明2y y '=. 证 由复合函数的求导法则,得将 1()()ln f x f x a '=代入上式, 可得即 2y y '=.6. 设函数f 可导,且y = f (a + t ) -f (a - t ), 求0d d t yt =.解 因为 d ()()()() d y f a t a t f a t a t t ''''=+⋅+--⋅-故 0d ()()2()d t y f a f a f a t ='''=+=.*7 设()lim x x x t f t t x t →∞+⎛⎫= ⎪-⎝⎭,求()f t '. 解 因为1lim lim 1x x x x t x t x t x t x →∞→∞⎛⎫+ ⎪+⎛⎫= ⎪ ⎪-⎝⎭ ⎪- ⎪⎝⎭ 所以 2()l i m l i m x x t x x x t x t f t t t t e x t x t →∞→∞++⎛⎫⎛⎫==⋅=⋅ ⎪ ⎪--⎝⎭⎝⎭故22()()(12)t t f t t e e t ''=⋅=+. 习题 3-41. 求下列函数的二阶导数:(1)x xe y 2= (2))1ln(2x y -=(3)x y arctan = (4))21(sin 2x y +=(5))1ln(2x x y ++= (6)2(1)arctan y x x =+ 解 (1)2222(12)x x x y e xe e x '=+=+2222(12)24(1)x x x y e x e e x ''=⋅++⋅=+.(2) 因为)1ln(2x y -==)1ln()1ln(x x ++- 所以 ='y x x --+1111=''y 22222112(1)(1)(1)(1)x x x x -+-=-+--. (3) ='y 211x +, =''y 22)1(2x x +-.(4) ()2sin(12)cos(12)22sin 212)y x x x '=++⋅=+()()2cos21248cos212y x x ''=+⋅=+.(5)='y =()3221x y x ''==-+.(6)='y 2211arctan 2x x x x +++=1arctan 2+x x 2. 已知)(''x f 存在,且0)(≠x f ,求22d d yx .(1))(2a x f y += (2))](ln[x f y = 解 (1) '22d ()22()d y f x a x xf x a x '=+⋅=+2222()4()f x a x f x a '''=+++. (2) 'd 1()d ()y f x x f x =2'''''''2222d ()()()()()()[()]d ()()y f x f x f x f x f x f x f x x f x f x --==.3. 设f (x ) 的n 阶导数存在,求 []()()n f ax b +. 解 因 []()()()f ax b f ax b a af ax b '''+=+⋅=+………………………………故 []()()()()n n n f ax b a f ax b +=+. 4. 验证函数x e y xsin =满足关系式022'''=+-y y y . 解 因 x e y x sin '=x e x cos +''sin x y e x =x e x c o s+x e x c o s +x e x s i n -=x e x cos 2 故 '''22y y y -+=x e x cos 2x e x sin (2-)cos x e x +x e x sin 2+=0. 5.求下列函数的n 阶导数的一般表达式:(1)ln y x x = (2) 3x y =解 (1) 因(4)23112ln 1,, , ,y x y y y x x x ''''''=+==-= 故 ()1(1)(2)! (2)n n n n y n x --⋅-=≥.(2)23ln 3,3ln 3, x x y y '''=⋅=⋅ 故 ()3(ln 3)n x n y =⋅.*6 设22411x y x -=-,求y (100). 解2224133114411211x y x x x x -⎛⎫==+=+- ⎪---+⎝⎭ 而 (100)(100)1011011100!1100!, 11(1)(1)x x x x ⎛⎫⎛⎫== ⎪ ⎪-+-+⎝⎭⎝⎭习题 3-51. 求由下列方程确定的隐函数的导数'y :(1)yx e xy += (2))arctan(2xy xy x =+ (3)1=-y xe y (4)033=-+a y x (a 为常数)解 (1)方程两边同时对x 求导, 得解方程得 ='y y x y x e x ye ++--.(2) 方程两边同时对x 求导,得解方程得 3222222xy x y y x y ++'=-.(3) 方程两边同时对x 求导, 得解方程得 ='y y yxe e -1.(4) 方程两边同时对x 求导, 得解方程得='y 22y x -. 2. 求曲线2ln ()cot 02y y x x e π-+-=在点(e , 1)处的切线方程。
高等数学经管类习题册答案高等数学经管类习题册答案高等数学是经管类专业的一门重要课程,对于学生来说,掌握数学知识和解题能力是非常重要的。
为了帮助学生更好地学习和掌握高等数学,许多出版社推出了经管类习题册。
这些习题册包含了大量的练习题和习题解析,可以帮助学生巩固知识和提高解题能力。
然而,很多学生在学习过程中会遇到一些难题,需要查阅习题册的答案来进行参考和对比。
本文将为大家提供一些高等数学经管类习题册的答案,希望能够帮助到大家。
一、导数与微分1. 求函数f(x)=3x^2-4x+2的导数。
解:f'(x)=6x-4。
2. 求函数f(x)=e^x+lnx的导数。
解:f'(x)=e^x+1/x。
3. 求函数f(x)=sin^2(x)+cos^2(x)的导数。
解:f'(x)=2sin(x)cos(x)-2sin(x)cos(x)=0。
二、积分与微积分基本定理1. 求函数f(x)=3x^2-4x+2在区间[1,3]上的定积分。
解:∫[1,3] (3x^2-4x+2)dx=[x^3-2x^2+2x]1^3=[27-18+6-1]=16。
2. 求函数f(x)=e^x+lnx在区间[1,2]上的定积分。
解:∫[1,2] (e^x+lnx)dx=[e^x+xlnx]1^2=[e^2+2ln2-(e+ln1)]=e^2+2ln2-e。
3. 求函数f(x)=sin^2(x)+cos^2(x)在区间[0,π]上的定积分。
解:∫[0,π] (sin^2(x)+cos^2(x))dx=[x]0^π=π。
三、级数与收敛性1. 判断级数∑(n=1)^∞ (1/n)的收敛性。
解:根据调和级数的性质,该级数发散。
2. 判断级数∑(n=1)^∞ (1/2^n)的收敛性。
解:根据几何级数的性质,该级数收敛,和为2。
3. 判断级数∑(n=1)^∞ (1/n^2)的收敛性。
解:根据p级数的性质,该级数收敛,和为π^2/6。
第三章 函数的导数与微分习题 3-11. 根据定义求下列函数的导数: (1)x y 1=(2)x y cos =(3)b ax y +=(a ,b 为常数) (4)x y =解(1)因为00()()'limlimx x y f x x f x y x x ∆→∆→∆+∆-==∆∆=x x x x x ∆-∆+→∆11lim 0=01lim ()x x x x ∆→-+∆=21x -所以21y x '=-. (2) 因为00cos()cos 'limlimx x y x x x y x x ∆→∆→∆+∆-==∆∆02sin()sin22 limsin x x xx x x ∆→∆∆-+==-∆所以sin y x '=-(3) 因为00[()][]'limlimx x y a x x b ax b y x x ∆→∆→∆+∆+-+==∆∆=x x a x ∆∆→∆0lim=a所以y a '=(4)因为00'limlimx x y y x x ∆→∆→∆-==∆∆=)(lim0x x x x xx +∆+∆∆→∆lim x ∆→==所以y '=.2. 下列各题中假定)(0'x f 存在, 按照导数的定义观察下列极限, 指出A 表示什么?(1) A x x f x x f x =∆-∆-→∆)()(lim 000(2) A x x f x =→)(lim 0(其中0)0(=f 且)0('f )存在)(3) A x f tx f x =-→)0()(lim 0(其中)0('f 存在)(4) Ah h x f h x f h =--+→)()(lim000解(1)因为x x f x x f x ∆-∆-→∆)()(lim000=x x f x x f x ∆--∆--→∆)()(lim 000=)(0'x f - 故)(0'x f A -=. (2) 因为x x f x )(lim→=0)0()(lim 0--→x f x f x =)0('f故)0('f A =. (3) 因为x f tx f x )0()(lim-→=tx f tx f t x )0()0(lim 0-+→=)0('tf故)0('tf A =.(4) 因为000()()limh f x h f x h h →+--00000000000()()()()lim[]()()()()lim lim ]h h h f x h f x f x h f x h hf x h f x f x h f x h h →→→+---=-+---=+-=)()(0'0'x f x f +=)(20'x f 故)(20'x f A =. 3.已知2,,x y x ⎧=⎨⎩11≥<x x , 求d d y x 解由已知易得当1<x 时, x y 2'=, 当1x >时, 1'=y 又1)1()(lim )1(1'--=+→+x f x f f x =11lim 1--+→x x x =11)1()(lim )1(1'--=-→-x f x f f x =11lim 21---→x x x =2)1()1(''-+≠f f即)1('f 不存在.故'2,()1,x f x ⎧=⎨⎩11><x x . 4. 如果f (x )为偶函数,且(0)f '存在,证明(0)0f '=.证由于f (x )为偶函数,所以f (-x ) = f (x ) 则0()(0)()(0)(0)limlim00x x f x f f x f f x x →-→---'==---- 0()(0)lim '(0)0t f t f t x f t →-=--=--故(0)0f '=.5.讨论下列函数在0=x 处的连续性和可导性:(1)21sin ,0,x y x ⎧⎪=⎨⎪⎩00=≠x x (2) cos y x = (3)2,,x y x ⎧=⎨-⎩00<≥x x 解(1) 因为()(0)'(0)lim0x f x f f x →-=- 2001sin1limlim sin 0x x x x x x x →→===所以函数21sin ,0,x y x ⎧⎪=⎨⎪⎩00=≠x x 在0=x 处可导,从而也连续.(2) 因为()(0)'(0)lim0x f x f f x →-=- 0cos cos 0limx x x→-=2002sin cos 12limlimx x xx xx→→--===所以函数cos y x =在x = 0处可导,从而也连续.(3)因为200lim ()lim 0(0)x x f x x f ++→→===00lim ()lim ()0(0)x x f x x f --→→=-==所以函数)(x f 在0=x 处连续.又因为2'00()(0)0(0)lim lim 000x x f x f x f x x +++→→--===--'00()(0)0(0)limlim 100x x f x f x f x x ---→→---===--- ''(0)(0)f f +-≠故'(0)f 不存在, 即函数)(x f 在0=x 不可导.6. 设函数2, 1(), 1x x f x ax b x ⎧≤=⎨+>⎩,为使函数f (x ) 在x = 1处连续且可导,a ,b 应取什么值?解由题意,有11lim ()lim ()(1)(1)(1)x x f x f x f f f -+→→-+==⎧⎪⎨''=⎪⎩首先可得 a+b = 1 即b =1-a又因为211(1)lim 21x x f x --→-'==-11111(1)lim lim 11x x ax b ax a f a x x +++→→+-+--'===--所以a = 2 ,于是b = -1.故当a = 2, b = -1时,函数f (x ) 在x = 1处连续且可导.7.求曲线2x y =在点(-1,1)处的切线方程. 解因1'2,'2x y x y =-==-故曲线2x y =在点(-1,1)处的切线方程为12(1)y x -=-+即21y x =--.8*.设曲线f (x ) = x n 在点 (1, 1) 处的切线与x 轴的交点为(a n ,0), 求lim ()n n f a →∞.解因为1(1)n x f nx n ='==所以曲线()nf x x =在点(1, 1)处的切线方程为y -1 = n ( x -1)切线与x 轴的交点为1(1,0)n -,即11n a n =-从而1()(1)nn f a n =-习题 3-21 求下列函数的导数:(1)52423+-=x x y (2)x y xln 2= (3 )x x y sin 23= (4) 4tan 3-=x y (5) )32)(23(x x y -+=(6)x x x y ln 1ln +=(7) x x e y x 22+=(8) t ty cos 1sin 1++=解(1)x x y 4122'-=. (2)x x y x x2)2)(2(ln ln '+=. (3) x x x x y cos 2sin 632'+=. (4) x y 2'sec 3=.(5))3)(23()32(2'-++-=x x y =x 125--. (6)x xx x x x y 22'ln 1ln 1-+-==x x x x 22ln 1ln 1--.(7) 2'4222x x e x e x y x x -=-=42222x x xe e x x x --.(8)2')cos 1()sin )(sin 1()cos 1(cos t t t t t y t +-+-+==2cos sin 1(1cos )t t t +++.2. 求下列函数在给定点的导数:(1)xxe y =, 求0'|=x y (2)θθθρcos 21sin +=, 求0'|=θρ(3)553)(2x x x f +-=, 求)0('f 和)2('f . 解(1) 因为xx xe e y +=', 所以10|000'=+==e e y x(2) 因为'11sin cos sin sin cos 22θρθθθθθθθ=+-=+所以'211|sin cos 22222θπθπππρ==+=.(3) 因为x x x x f 52)5()5(3)(2'+---==x x 5253+- 所以53)0('-=f , 51)2('-=f . 3. 求21123(1)n x x nxx -++++≠L 的和.解注意到1()n n x nx -'=,有1212121123(1)11(1) (1).(1)n n nn n x x x nxx x x x n x nx x x +-+'⎛⎫-'++++=+++= ⎪-⎝⎭-++=≠-L L4. 求曲线2sin x x y +=上横坐标为0=x 的点处的切线方程和法线方程.解当0=x 时,0=y , 且有x x y 2cos '+=则00cos |0'+==x y =1习题 3-31. 求下列函数的导数:(1)223x y -=(2)32x e y =(3)x y arcsin = (4))ln(22x a x y ++= (5)2cos ln x e y -= (6)x y 1arctan =解(1))4(23212'x x y --==.(2) 33'2222(6)6x xy e x x e ==.(3)x x y 2111'-==)1(21x x -.(4) y '=+=. (5) 22222'1(sin )(2)2tan cos x x x x x y e e x xe e e -----=--=. (6) )1(11122'x x y -+==211x +-.2. 求下列函数的导数: (1)x ey x 2cos 2-=(2))]ln[ln(ln x x y =(3)nx x y n cos sin =(4)x x y 22ln 2-= 解(1)'221()cos 2(sin 2)22x xy e x e x --=-+-⋅()21cos 24sin 22xe x x -=-+.(2)[]1'ln[ln(ln )]ln(ln )ln y x x x -=+⋅. (3) nx x x n y n cos cos sin 1'-=n nx x n)sin (sin -+()1sin cos cos sin sin n n x x nx x nx -=-sin cos(1)n n x n x =+.(4) x x y 2'ln 22-=)ln 221(22x x -+x x 1)ln 2(- =xx 2ln 22-x xx 2ln 2ln --.3. 设f 可导,求下列函数的导数d d yx :(1))(e x x e f y +=(2))(sin 2cos 2x f x y -= (3)na x f y )]([2+=(4))]ln ([x x f f y +=(5))arctan 1(x xf ey +=解(1)()'1dy()d x e x e f e x e ex x -=++.(2)'2d 2sin 2(sin )d yx f x x=--x x cos sin 2.=x x f x 2sin )(sin 2sin 22'--2sin 22(sin )x f x '⎡⎤=-+⎣⎦.(3) 212d [()]()2d n yn f x a f x a xx -'=+⋅+⋅1222()()n nx f x a f x a -'⎡⎤=+⋅+⎣⎦.(4) []d 1(1)(ln )(ln )dx y f f x x f x x x ''=+⋅+⋅+. (5) 1(arctan )d d f x x y e x+=)arctan 1('x x f +)111(22x x ++- 1(arctan )2211arctan (1)f x xf x e x x x +⎛⎫'=-+ ⎪+⎝⎭.4设2ln(1), >0()0, 0 , ().sin , 0x x f x x f x x x x ⎧⎪+⎪⎪'==⎨⎪⎪<⎪⎩求解当x > 0时,[]1()ln(1)1f x x x ''=+=+ 当x < 0时,222sin sin 2sin ()x x x xf x x x '⎛⎫-'== ⎪⎝⎭当x = 0时,由0()(0)ln(1)(0)lim lim 0x x f x f x f x x +++→→-+'==-10lim ln(1)ln 1x x x e +→⎡⎤=+==⎢⎥⎢⎥⎣⎦22000sin ()(0)sin (0)lim =lim lim 10x x x xf x f x x f x x x ----→→→-⎛⎫'=== ⎪-⎝⎭得(0)1f '=.故221, 01()1, 0sin 2sin , 0x x f x x x x x x x ⎧<⎪+⎪⎪'==⎨⎪-⎪<⎪⎩ .5. 设2()1 ()()ln f x y a f x f x a '==且,证明2y y '=. 证由复合函数的求导法则,得2()ln 2()()fx y a a f x f x ''=⋅⋅将1()()ln f x f x a '=代入上式, 可得22()()1ln 2()=22()ln fx f x y a a f x a yf x a '=⋅⋅⋅=即2y y '=.6. 设函数f 可导,且y = f (a + t ) -f (a - t ), 求0d d t yt =.解因为d ()()()()d yf a t a t f a t a t t ''''=+⋅+--⋅- ()()f a t f a t ''=++- 故0d ()()2()d t yf a f a f a t ='''=+=.*7 设()lim xx x t f t t x t →∞+⎛⎫= ⎪-⎝⎭,求()f t '. 解因为1lim lim 1xxx x t x t x t x t x →∞→∞⎛⎫+ ⎪+⎛⎫= ⎪ ⎪-⎝⎭ ⎪-⎪⎝⎭2lim 1 lim 1xtx t xt x t e x e e t x →∞-→∞⎛⎫+ ⎪⎝⎭===⎛⎫- ⎪⎝⎭所以2()lim lim xxt x x x t x t f t t t t e x t x t →∞→∞++⎛⎫⎛⎫==⋅=⋅ ⎪ ⎪--⎝⎭⎝⎭故22()()(12)t tf t t e e t ''=⋅=+.习题 3-41. 求下列函数的二阶导数:(1)x xe y 2=(2))1ln(2x y -= (3)x y arctan =(4))21(sin 2x y +=(5))1ln(2x x y ++=(6)2(1)arctan y x x =+解(1)2222(12)xx x y exe e x '=+=+2222(12)24(1)x x x y e x e e x ''=⋅++⋅=+.(2) 因为)1ln(2x y -==)1ln()1ln(x x ++- 所以='y x x --+1111=''y 22222112(1)(1)(1)(1)x x x x -+-=-+--.(3) ='y 211x +, =''y 22)1(2x x +-.(4)()2sin(12)cos(12)22sin 212)y x x x '=++⋅=+ ()()2cos21248cos212y x x ''=+⋅=+.(5)='y =()3221x y x''==-+.(6)='y 2211arctan 2x x x x +++=1arctan 2+x x =''y 22"2arctan .1x y x x=++2. 已知)(''x f 存在,且0)(≠x f ,求22d d yx .(1))(2a x f y +=(2))](ln[x f y = 解(1) '22d ()22()d yf x a x xf x a x '=+⋅=+2'222d 2()2()2d y f x a xf x a x x ''=+++⋅2222()4()f x a x f x a '''=+++.(2) 'd 1()d ()y f x x f x =2'''''''2222d ()()()()()()[()]d ()()y f x f x f x f x f x f x f x x f x f x --==.3. 设f (x ) 的n 阶导数存在,求[]()()n f ax b +. 解因[]()()()f ax b f ax b a af ax b '''+=+⋅=+[][]2()()()f ax b af ax b a f ax b ''''''+=+=+………………………………故[]()()()()n n n f ax b a f ax b +=+.4. 验证函数x e y x sin =满足关系式022'''=+-y y y . 解因x e y x sin '=x e xcos +''sin x y e x =x e x cos +x e x cos +x e x sin -=x e x cos 2故'''22y y y -+=x e x cos 2x e x sin (2-)cos x e x +x e x sin 2+=0. 5.求下列函数的n 阶导数的一般表达式:(1)ln y x x = (2) 3xy =解 (1) 因(4)23112ln 1,, , ,y x y y y x x x ''''''=+==-=L故()1(1)(2)!(2)n n n n yn x --⋅-=≥.(2)23ln 3,3ln 3, x x y y '''=⋅=⋅L故()3(ln 3)n x ny =⋅.*6 设22411x y x -=-,求y (100). 解2224133114411211x y x x x x -⎛⎫==+=+- ⎪---+⎝⎭ 而(100)(100)1011011100!1100!, 11(1)(1)x x x x ⎛⎫⎛⎫==⎪ ⎪-+-+⎝⎭⎝⎭(100)10110110110121013100!100! 2(1)(1)3100!(1)(1) .2(1)y x x x x x ⎡⎤=-⎢⎥-+⎣⎦⎡⎤⨯+--=⎢⎥-⎣⎦故习题 3-51. 求由下列方程确定的隐函数的导数'y : (1)y x e xy +=(2))arctan(2xy xy x =+ (3)1=-y xe y (4)033=-+a y x (a 为常数) 解(1)方程两边同时对x 求导, 得)1(''y e xy y y x +=++ 解方程得='y yx y x e x y e ++--.(2) 方程两边同时对x 求导,得=++'2xy y x 22'1y x xy y ++ 解方程得3222222xy x y y x y ++'=-.(3) 方程两边同时对x 求导, 得0''=--y xe e y y y解方程得='y y yxe e -1.(4) 方程两边同时对x 求导, 得033'22=+y y x解方程得='y 22y x -.2. 求曲线2ln ()cot 02yy x x e π-+-=在点(e , 1)处的切线方程。