最新1.4极限的性质与四则运算法则
- 格式:doc
- 大小:34.50 KB
- 文档页数:6
函数极限的四则运算法则函数极限是数学中重要的概念之一,它在数学分析和微积分中有着广泛的应用。
四则运算法则指的是对函数进行加减乘除运算时,其极限的运算规则。
在本文中,我们将对四则运算法则进行详细的说明。
1.加法法则:如果有两个函数 f(x) 和 g(x),且它们的极限都存在,则它们的和的极限等于两个极限的和,即lim(x→a) [f(x) + g(x)] = lim(x→a)f(x) + lim(x→a) g(x)。
证明如下:假设lim(x→a) f(x) = L1,lim(x→a) g(x) = L2,我们需要证明lim(x→a) [f(x) + g(x)] = L = L1 + L2根据极限的定义,我们可以找到两个足够小的正数ε1和ε2,使得当0<,x-a,<δ1时,有,f(x)-L1,<ε1,当0<,x-a,<δ2时,有,g(x)-L2,<ε2取δ = min{δ1, δ2},则当 0 < ,x-a,< δ 时,有,f(x) - L1,< ε1 且,g(x) - L2,< ε2此时,我们可以将不等式,f(x)-L1,+,g(x)-L2,<ε1+ε2转化为不等式,f(x)+g(x)-(L1+L2),<ε1+ε2根据极限的定义,当,f(x) + g(x) - (L1 + L2),< ε1 + ε2 时,有,x - a,< δ,即证明了lim(x→a) [f(x) + g(x)] = L1 +L22.减法法则:如果有两个函数 f(x) 和 g(x),且它们的极限都存在,则它们的差的极限等于两个极限的差,即lim(x→a) [f(x) - g(x)] = lim(x→a) f(x) - lim(x→a) g(x)。
证明方法与加法法则类似,略。
3.乘法法则:如果有两个函数 f(x) 和 g(x),且它们的极限都存在,则它们的乘积的极限等于两个极限的乘积,即lim(x→a) [f(x) * g(x)] =lim(x→a) f(x) * lim(x→a) g(x)。
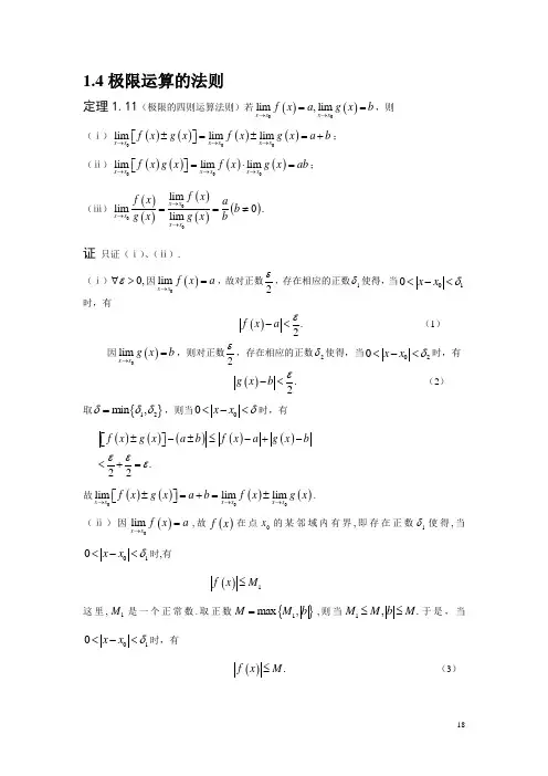
1.4极限运算的法则定理1.11(极限的四则运算法则)若()()0lim ,lim x x x xf x ag x b →→==,则 (ⅰ)()()()()0lim lim lim x x x x x x f x g x f x g x a b →→→±=±=+⎡⎤⎣⎦;(ⅱ)()()()()0lim lim lim x x x x x x f x g x f x g x ab →→→=⋅=⎡⎤⎣⎦;(ⅲ)()()()()()000lim lim0.lim x x x x x x f x f x a b g x g x b→→→==≠ 证 只证(ⅰ)、(ⅱ).(ⅰ)0,ε∀>因()0lim x x f x a →=,故对正数2ε,存在相应的正数1δ使得,当010x x δ<-<时,有().2f x a ε-< (1)因()0lim x x g x b →=,则对正数2ε,存在相应的正数2δ使得,当020x x δ<-<时,有 ().2g x b ε-< (2)取{}12min ,δδδ=,则当00x x δ<-<时,有()()()()().22f xg x a b f x a g x bεεε±-±≤-+-⎡⎤⎣⎦<+=故()()()()0lim lim lim x x x x x x f x g x a b f x g x →→→±=+=±⎡⎤⎣⎦.(ⅱ)因()0lim x x f x a →=,故()f x 在点0x 的某邻域内有界,即存在正数1δ使得,当010x x δ<-<时,有()1f x M ≤这里,1M 是一个正常数.取正数{}1max ,M M b=,则当1,.M M b M ≤≤于是,当010x x δ<-<时,有().f x M ≤ (3)0,ε∀>因()0lim x x f x a →=,故相应于正数2Mε,存在正数2δ使得,当020x x δ<-<时,有().2f x a Mε-<(4)又因()0lim x x g x b →=,故相应于正数2Mε,存在正数3δ使得,当030x x δ<-<时,有 ().2g x b Mε-< (5)取正数{}123min ,,,δδδδ=则当00x x δ<-<时,(3),(4),(5)两式都成立,此时,有()()()()()()()()()()()()().22f x g x ab f x g x f x b f x b ab f x g x f x b f x b ab f x g x b f x b b M M MMεεε-=-+-≤-+-=-+-=⋅+⋅=故()()()()0lim lim lim .x x x x x x f x g x ab f x g x →→→==⋅⎡⎤⎣⎦例1—4—1 求()1lim 21.x x →-解()()1111lim 21lim 2lim12lim 1211 1.x x x x x x x →→→→-=-=-=⋅-= 例1—4—2求3222234lim .53x x x x x x →-+--+ 解()()323222222lim 2342342lim.533lim 53x x x x x x x x x x x x x →→→-+--+-==--+-+例1—4—3 求233lim.9x x x →-- 解()()()323333lim13311limlim lim .9333lim 36x x x x x x x x x x x x →→→→→--====--+++ 例1—4—4 求3113lim .11x x x →⎛⎫- ⎪++⎝⎭解()()()()()()3211122111213lim lim 1111lim 22lim1.1lim 1x x x x x x x x x x x x x x x x x x →→→→→+-⎛⎫-= ⎪+++-+⎝⎭--===--+-+例1—4—5 求3232342lim.753x x x x x →∞-++- 解323332334242lim 333423lim lim .535375377lim 7x x x x x x x x x x x x x x x x →∞→∞→∞→∞⎛⎫-+-+ ⎪-+⎝⎭===+-⎛⎫+-+- ⎪⎝⎭例1—4—6 (略)例1—4—7 求lim, 1.1nn n a a a →∞≠+ 解 若1a <,则lim 0.n n a →∞= ()lim lim0.1lim 1n nn nn n n a aa a →∞→∞→∞==++当1a >,111,lim 0.n an →∞<=lim11lim lim 1.1111lim 1nx nn nn x x a a a a →∞→∞→∞→∞===+⎡⎤⎛⎫⎛⎫++⎢⎥ ⎪ ⎪⎝⎭⎝⎭⎢⎥⎣⎦作业 p37 1.(1),(3),(5).习题1—41. 计算下列极限(1)245lim 3x x x →+-;解()()22224444444lim 5lim lim5545lim 21.3lim 3lim lim343x x x x x x x x x x x x x →→→→→→→++++====---- (3)22356lim 815x x x x x →-+-+;解()()()()22333235621lim lim lim .8153552x x x x x x x x x x x x x →→→---+-===--+--- (5)()22limh x h x h→+-;解()()222002limlim lim 22.h h h x h x xh h x h x hh→→→+-+==+= (7)221lim 21x x x x →∞---;解22221111limlim .112122x x x x x x x x→∞→∞--==----(9)3113lim 11x x x →⎛⎫- ⎪--⎝⎭; 解()()()()()()232112211132lim lim 11111221limlim .1311x x x x x x x x x x x x x x x x x x x →→→→+-⎛⎫-= ⎪---++⎝⎭---==-=++-++(11)()()525115lim x x x x x →+-++;解()()52345252502330115151010515lim lim10105lim 10.1x x x x x x x x x x xx x x x x x x x →→→+-++++++--=+++++=+(13)()2121limn n n →∞+++-;解()()2211211112lim lim lim 1.22n n n n n n n n n →∞→∞→∞-+++-⎛⎫==-= ⎪⎝⎭。
函数极限的四则运算法则具体内容函数极限的四则运算法则是指利用函数极限性质推导出的一系列关于四则运算的法则。
这些法则是极其重要的,它们对于理解函数极限的概念和实质有着重要的意义。
因此,了解这些法则和它们的具体内容是理解极限的第一步。
函数极限的四则运算法则包括:一、加法法则:假设函数$f(x)$和$g(x)$在某点$x_0$处可导,则:$limlimits_{xrightarrowx_0}[f(x)+g(x)]=limlimits_{xrightarrowx_0}f(x)+limlimits_{xrightarrow x_0}g(x)$即函数$f(x)+g(x)$在某点$x_0$处可求极限,则$f(x)$和$g(x)$在$x_0$处的极限相加得到$f(x)+g(x)$在$x_0$处极限值。
二、乘法法则:假设函数$f(x)$和$g(x)$在某点$x_0$处可导,则:$limlimits_{xrightarrow x_0}[f(x)timesg(x)]=limlimits_{xrightarrow x_0}f(x)timeslimlimits_{xrightarrow x_0}g(x)$即函数$f(x)times g(x)$在某点$x_0$处可求极限,则$f(x)$和$g(x)$在$x_0$处的极限相乘得到$f(x)times g(x)$在$x_0$处极限值。
三、除法法则:假设函数$f(x)$和$g(x)$在某点$x_0$处可导,且$limlimits_{xrightarrow x_0}g(x)eq0$,则:$limlimits_{xrightarrowx_0}frac{f(x)}{g(x)}=frac{limlimits_{xrightarrowx_0}f(x)}{limlimits_{xrightarrow x_0}g(x)}$即函数$frac{f(x)}{g(x)}$在某点$x_0$处可求极限,且函数$g(x)$在$x_0$处的极限值不为零,则$f(x)$和$g(x)$在$x_0$处的极限相除得到$frac{f(x)}{g(x)}$在$x_0$处极限值。
1.4极限的性质与四则运算法则第四节极限的性质与四则运算法则教学目的:使学生掌握极限的四则运算法则,并会利用它们求极限;教学重点:有理函数极限的计算;教学过程:一、复习无穷大和无穷小的概念及性质二、讲解新课:一、函数极限的性质定理1:(保号性)设«Skip Record If...»,(i)若«Skip Record If...»,则«Skip Record If...»,当«Skip Record If...»时,«Skip Record If...»«Skip Record If...»。
(ii)若«Skip Record If...»,必有«Skip Record If...»。
证明:(i)先证«Skip Record If...»的情形。
取«Skip Record If...»,由定义,对此«Skip Record If...»,当«Skip Record If...»时,«Skip Record If...»,即«Skip Record If...»。
当«Skip Record If...»时,取«Skip Record If...»,同理得证。
(ii)(反证法)若«Skip Record If...»,由(i)«Skip Record If...»矛盾,所以«Skip Record If...»。
当«Skip Record If...»时,类似可证。
注:(i)中的“«Skip Record If...»”,“«Skip Record If...»”不能改为“«Skip Record If...»”,“«Skip Record If...»”。
在(ii)中,若«Skip Record If...»,未必有«Skip Record If...»。
二、极限四则运算法则由极限定义来求极限是不可取的,也是不行的,因此需寻求一些方法来求极限。
定理1:若«Skip Record If...»,则«Skip Record If...»存在,且«Skip Record If...»。
证明:只证«Skip Record If...»,过程为«Skip Record If...»,对«Skip Record If...»,当«Skip Record If...»时,有«Skip RecordIf...»,对此«Skip Record If...»,«Skip Record If...»,当«SkipRecord If...»时,有«Skip Record If...»,取«Skip RecordIf...»,当«Skip Record If...»时,有«Skip Record If...»所以«Skip Record If...»。
其它情况类似可证。
注:本定理可推广到有限个函数的情形。
定理2:若«Skip Record If...»,则«Skip Record If...»存在,且«Skip Record If...»。
证明:因为«Skip Record If...»,«Skip Record If...»«Skip Record If...»(«Skip Record If...»均为无穷小)«Skip Record If...»,记«Skip Record If...»,«Skip Record If...»为无穷小,«Skip Record If...»。
推论1:«Skip Record If...»(«Skip Record If...»为常数)。
推论2:«Skip Record If...»(«Skip Record If...»为正整数)。
定理3:设«Skip Record If...»,则«Skip Record If...»。
证明:设«Skip Record If...»(«Skip Record If...»为无穷小),考虑差:«Skip Record If...»其分子«Skip Record If...»为无穷小,分母«Skip Record If...»,我们不难证明«Skip Record If...»有界(详细过程见书上)«Skip Record If...»为无穷小,记为«Skip Record If...»,所以«Skip Record If...»,«SkipRecord If...»。
注:以上定理对数列亦成立。
定理4:如果«Skip Record If...»,且«Skip Record If...»,则«Skip Record If...»。
【例1】«Skip Record If...»。
【例2】«Skip Record If...»。
推论1:设«Skip Record If...»为一多项式,当«Skip Record If...»。
推论2:设«Skip Record If...»均为多项式,且«Skip Record If...»,则«Ski p Record If...»。
【例3】«Skip Record If...»。
【例4】«Skip Record If...»(因为«Skip Record If...»)。
注:若«Skip Record If...»,则不能用推论2来求极限,需采用其它手段。
【例5】求«Skip Record If...»。
解:当«Skip Record If...»时,分子、分母均趋于0,因为«Skip RecordIf...»,约去公因子«Skip Record If...»,所以«Skip Record If...»。
【例6】求«Skip Record If...»。
解:当«Skip Record If...»全没有极限,故不能直接用定理3,但当«Skip Record If...»时,«Skip Record If...»,所以«Skip Record If...»。
【例7】求«Skip Record If...»。
解:当«Skip Record If...»时,«Skip Record If...»,故不能直接用定理5,又«Skip Record If...»,考虑:«Skip Record If...»,«Skip Record If...»。
【例8】若«Skip Record If...»,求a,b的值。
当«Skip Record If...»时,«Skip Record If...»,且«Skip Record If...»«Skip Record If...»«Skip Record If...»«Skip Record If...»【例9】设«Skip Record If...»为自然数,则«Skip Record If...»。
证明:当«Skip Record If...»时,分子、分母极限均不存在,故不能用§1.6定理5,先变形:«Skip Record If...»«Skip Record If...»【例10】求«Skip Record If...»。
解:当«Skip Record If...»时,这是无穷多项相加,故不能用定理1,先变形:原式«Skip Record If...»。
【例11】证明«Skip Record If...»为«Skip Record If...»的整数部分。
证明:先考虑«Skip Record If...»,因为«Skip Record If...»是有界函数,且当«Skip Record If...»时,«Skip Record If...»,所以由有界量与无穷小量的乘积是无穷小,得«Skip Record If...»。
三、课堂练习:四、布置作业:。