电磁场与电磁波第一章习题答案
- 格式:doc
- 大小:428.50 KB
- 文档页数:4
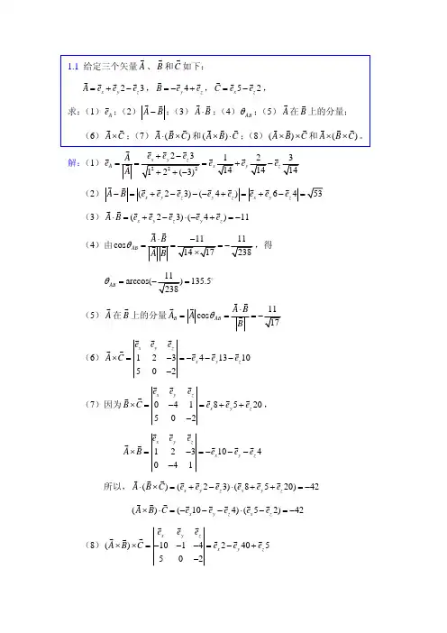
一章习题解答1.1 给定三个矢量A 、B 和C 如下: 23x y z =+-A e e e4y z =-+B e e52x z =-C e e求:(1)A a ;(2)-A B ;(3)A B ;(4)AB θ;(5)A 在B 上的分量;(6)⨯A C ;(7)()⨯A B C 和()⨯A B C ;(8)()⨯⨯A B C 和()⨯⨯A B C 。
解 (1)23A x y z+-===+-e e e A a e e e A (2)-=A B (23)(4)x y z y z +---+=e e e ee 64x y z +-=e e e (3)=A B (23)x y z +-e e e (4)y z -+=e e -11(4)由 c o s AB θ=8==A B A B ,得 1c o s AB θ-=(135.5= (5)A 在B 上的分量 B A =A c o s AB θ==A B B (6)⨯=A C 123502x y z-=-e e e 41310x y z ---e e e (7)由于⨯=B C 041502x yz-=-e e e 8520x y z ++e e e ⨯=A B 123041xyz-=-e e e 1014x y z ---e e e所以 ()⨯=A B C (23)x y z +-e e e (8520)42x y z ++=-e e e ()⨯=A B C (1014)x y z ---e e e (52)42x z -=-e e(8)()⨯⨯=A B C 1014502x y z---=-e e e 2405x y z -+e e e()⨯⨯=A B C 1238520xy z -=e e e 554411x y z --e e e1.2 三角形的三个顶点为1(0,1,2)P -、2(4,1,3)P -和3(6,2,5)P 。
(1)判断123PP P ∆是否为一直角三角形;(2)求三角形的面积。
电磁场与电磁波第二版课后答案第一章:电荷和电场1.1 选择题1.电场可以向量形式来表示。
2.使得电体带有不同种类电荷的原子或分子是离子化。
3.在法拉弹规定空气是电介质。
4.电荷量的基本单位是库仑。
5.元电荷是正负电荷的最小电荷量。
6.在电场中电荷所受力的方向完全取决于电荷性质和场的性质和方向。
7.电势能是标量。
8.空间中一点产生的电场是该点电荷所受电场的矢量和。
9.电场E的国际单位是NC−1。
10.电场强度受逼迫电荷的正负种类影响,但与电荷的量无关。
1.2 填空题1.空间中一点产生的电场是该点电荷所受电场的矢量和。
2.计算质点电荷q在某点产生的电场的公式是$\\vec{E}=\\frac{1}{4\\pi\\epsilon_0}\\frac{q}{r^2}\\vec{r}$。
3.计算正半球壳在某点产生的电场的公式是$\\vec{E}=\\frac{1}{4\\pi\\epsilon_0}\\frac{Q}{r^2}\\vec{r}$。
4.位置在球心,能量源是正半球壳带点,正半球在转轴一侧电势能是0。
5.半径为R的均匀带点球壳,带电量为Q,求通过球心的电束强度的公式是$\\frac{Q}{4\\pi\\epsilon_0R^2}$。
1.3 计算题1.两个带电量分别为q1和q2的点电荷之间的相互干扰力公式是$\\vec{F}=\\frac{q_1q_2}{4\\pi\\epsilon_0r^2}\\vec{r}$。
2.一个电荷为q的质点,和一个均匀带有电量Q的半球壳之间的相互干扰力公式是$\\vec{F}=\\frac{1}{4\\pi\\epsilon_0}\\frac{qQ}{r^2}\\vec{r}$。
第二章:电磁感应和电磁波2.1 选择题1.电磁感应是由磁通变化产生的。
2.电磁感应一定要在导电体内才能产生电流是错误的。
√3.在电磁感应现象中,即使磁通量不变时导体电流也会产生改变。
4.电磁感应现象是反过来实现的。
第一章 矢量场1.1 z y x C z y x B z y xA ˆˆˆ3;ˆ2ˆˆ;ˆˆ3ˆ2+-=-+=-+=ρρρ 求:(a) A ; (b) ∃b ; (c) ρρA B ⋅ ; (d) ρρB C ⨯ ; (e) ()ρρρA B C ⨯⨯ (f)()ρρρA B C ⨯⋅ 解:(a) 14132222222=++=++=z y x A A A A ; (b) )ˆ2ˆˆ(61ˆz y x BB b -+==ρρ( c) 7=⋅B A ρρ; (d) z y xC B ˆ4ˆ7ˆ---=⨯ρρ (e)z y x C B A ˆ4ˆ2ˆ2)(-+=⨯⨯ρρρ (f)19)(-=⋅⨯C B A ρρρ 1.2 ρA z =++2∃∃∃ρπϕ; ρB z =-+-∃∃∃ρϕ32 求:(a) A ; (b) ∃b ; (c) ρρA B ⋅ ; (d) ρρB A ⨯ ; (e) B A ρρ+解:(a) 25π+=A ;(b) )ˆ2ˆ3ˆ(141ˆz b -+-=ϕρ;(c) 43-=⋅πB A ρρ (d) z A B ˆ)6(ˆ3ˆ)23(+--+=⨯πϕρπρρ (e) z B A ˆˆ)3(ˆ-++=+ϕπρρρ 1.3 ρA r=+-22∃∃∃πθπϕ; ρB r =-∃∃πθ 求:(a) A ; (b) ∃b ; (c) ρρA B ⋅ ; (d) ρρB A ⨯ ; (e) ρρA B +解:(a) 254π+=A ; (b) )ˆˆ(11ˆ2θππ-+=r b ; (c) 22π-=⋅B A ρρ ; (d) ϕπθππˆ3ˆ2ˆ22++=⨯rA B ρρ ; (e) ϕπˆ2ˆ3-=+r B A ρρ 1.4 ρA x y z =+-∃∃∃2; ρB x y z =+-α∃∃∃3 当ρρA B ⊥时,求α。
解:当ρρA B ⊥时,ρρA B ⋅=0, 由此得 5-=α1.5 将直角坐标系中的矢量场ρρF x y z xF x y z y 12(,,)∃,(,,)∃==分别用圆柱和圆球坐标系中的坐标分量表示。
第一章习题解答给定三个矢量、和如下:求:(1);(2);(3);(4);(5)在上的分量;(6);(7)和;(8)和。
解(1)(2)(3)-11(4)由,得(5)在上的分量(6)(7)由于所以(8)三角形的三个顶点为、和。
(1)判断是否为一直角三角形;(2)求三角形的面积。
解(1)三个顶点、和的位置矢量分别为,,则,,由此可见故为一直角三角形。
(2)三角形的面积求点到点的距离矢量及的方向。
解,,则且与、、轴的夹角分别为给定两矢量和,求它们之间的夹角和在上的分量。
解与之间的夹角为在上的分量为给定两矢量和,求在上的分量。
解所以在上的分量为证明:如果和,则;解由,则有,即由于,于是得到故如果给定一未知矢量与一已知矢量的标量积和矢量积,那么便可以确定该未知矢量。
设为一已知矢量,而,和已知,试求。
解由,有故得在圆柱坐标中,一点的位置由定出,求该点在:(1)直角坐标中的坐标;(2)球坐标中的坐标。
解(1)在直角坐标系中、、故该点的直角坐标为。
(2)在球坐标系中、、故该点的球坐标为用球坐标表示的场,(1)求在直角坐标中点处的和;(2)求在直角坐标中点处与矢量构成的夹角。
解(1)在直角坐标中点处,,故(2)在直角坐标中点处,,所以故与构成的夹角为球坐标中两个点和定出两个位置矢量和。
证明和间夹角的余弦为解由得到一球面的半径为,球心在原点上,计算:的值。
解在由、和围成的圆柱形区域,对矢量验证散度定理。
解在圆柱坐标系中所以又故有求(1)矢量的散度;(2)求对中心在原点的一个单位立方体的积分;(3)求对此立方体表面的积分,验证散度定理。
解(1)(2)对中心在原点的一个单位立方体的积分为(3)对此立方体表面的积分故有计算矢量对一个球心在原点、半径为的球表面的积分,并求对球体积的积分。
解又在球坐标系中,,所以求矢量沿平面上的一个边长为的正方形回路的线积分,此正方形的两边分别与轴和轴相重合。
再求对此回路所包围的曲面积分,验证斯托克斯定理。
《电磁场与电磁波》知识点及参考答案第1章 矢量分析1、如果矢量场F 的散度处处为0,即0F∇⋅≡,则矢量场是无散场,由旋涡源所产生,通过任何闭合曲面S 的通量等于0。
2、如果矢量场F 的旋度处处为0,即0F ∇⨯≡,则矢量场是无旋场,由散度源所产生,沿任何闭合路径C 的环流等于0。
3、矢量分析中的两个重要定理分别是散度定理(高斯定理)和斯托克斯定理, 它们的表达式分别是:散度(高斯)定理:SVFdV F dS ∇⋅=⋅⎰⎰和斯托克斯定理:sCF dS F dl∇⨯⋅=⋅⎰⎰。
4、在有限空间V 中,矢量场的性质由其散度、旋度和V 边界上所满足的条件唯一的确定。
( √ )5、描绘物理状态空间分布的标量函数和矢量函数,在时间为一定值的情况下,它们是唯一的。
( √ )6、标量场的梯度运算和矢量场的旋度运算都是矢量。
( √ )7、梯度的方向是等值面的切线方向。
(× )8、标量场梯度的旋度恒等于0。
( √ ) 9、习题1.12, 1.16。
第2章 电磁场的基本规律(电场部分)1、静止电荷所产生的电场,称之为静电场;电场强度的方向与正电荷在电场中受力的方向相同。
2、在国际单位制中,电场强度的单位是V/m(伏特/米)。
3、静电系统在真空中的基本方程的积分形式是:V V sD d S d V Q ρ⋅==⎰⎰和0lE dl ⋅=⎰。
4、静电系统在真空中的基本方程的微分形式是:V D ρ∇⋅=和0E∇⨯=。
5、电荷之间的相互作用力是通过电场发生的,电流与电流之间的相互作用力是通过磁场发生的。
6、在两种媒质分界面的两侧,电场→E 的切向分量E 1t -E 2t =0;而磁场→B 的法向分量B 1n -B 2n =0。
7、在介电常数为e 的均匀各向同性介质中,电位函数为 2211522x y z ϕ=+-,则电场强度E=5x y zxe ye e --+。
8、静电平衡状态下,导体内部电场强度、磁场强度等于零,导体表面为等位面;在导体表面只有电场的法向分量。
第一章习题解答【习题Ll解】【习题L2解】【习题L3解】(1)要使ALR,则须散度A-B=O所以从Z∙5=T+3H8c=0可得:3b+8c=l即只要满足3b÷8c=l就可以使向量二和向量了垂直。
(2)要使4||月,则须旋度AxB=O所以从可得b=-3,c=-8【习题1・4解】A=I2以+9e y+6z,B=CIeX+be y,因为3JLA,所以应有A∙3=0g∣j(12久+9e y+e z^∙^ae x+Z?Gy)=12Q+9/?=0(I)又因为同=1;所以病存=1;(2)一4由⑴,⑵解得Q=±《,"=+W【习题1.5解】由矢量积运算规则4_B=A?C a x a2a3=(%Z-+(a3x-a x z)e y+(01y-a2x)e7xyz =8名+纥5+BZeZ取一线元:dl=e x dx+e y dy+e z dz则有dx_dy_dz则矢量线所满足的微分方程为丁二万一=Hιy xy"z或写成=常数)a2z-a3ya3x-a l za↑y-a2x求解上面三个微分方程:可以直接求解方程,也可以采用以下方法d(qx)="(/丁)二d(%z)a i a2z-a i a3ya2a3x-a l a2za l a3y-a2a i xxdx_ydy_ZdZx(a2z-a3y)y{a3x-a x z)z(a l y-a2x)由(1)(2)式可得d(a2y)=k(a2a3x-aλa2z)ydy=k(a3xy-a}yz)(4)对⑶⑷分别求和所以矢量线方程为【习题L6解】矢量场A=(αxz+x2)eχ+Sy+孙2)0+{z-z1-∖-cxz-2xyz)e z假设A是一个无源场,则应有divΛ=O即:divA=V•4=空L+空L+空■=O∂x∂y∂z因为A=axz+X2∕ξ=by+xy1A z=z-z1+cxz-2xyzx所以有divA=az+2x+b+2xy+l-2z+cχ-2xy=X(2+c)÷z(a-2)+b+l=0 得a=2,b=-1,c=-2【习题1.7解】设矢径r的方向与柱面垂直,并且矢径不到柱面的距离相等(r=a)f∙ds-[rds=a∖ds=a2πah所以,①=S JSJS【习题1.8解】φ=3X2y i A=X2yze v+3xy2e^而rot((∕A)=Vx(以)=×A÷V^×A又=巴?十3?+再等=6xye x+3jc2e y ox-oy∂z所以+9x3y2e v-lSx2y3e v+6x3y2ze z=3X2y2[(9X一X2)e x-9yeγ+4xze z]【习题1.9解】所以&CyCzrotA=VXA=———∂x∂y∂zA x A y A(-1+1)&+(4/Z-4xz)e、+(2y-2y)&=6由于场H的旋度处处等于0,所以矢量场A为无旋场。
电磁场与电磁波第5版王家礼答案电磁场与电磁波第5版王家礼答案第一章电磁场和电磁波的基本概念1.1 什么是电磁场?电磁场是描述电荷运动影响的物理场。
它可以被看作是一种对空间的划分,并且在各个空间区域内具有不同的物理状态。
1.2 电磁场的基本方程式是哪些?电磁场的基本方程式包括:麦克斯韦方程组、库仑定律、法拉第电磁感应定律、安培环路定律等。
1.3 什么是电磁波?电磁波是由振动的电荷和振动的磁场所产生的波动现象。
它具有电场和磁场的相互作用,且在真空和各种介质中都能传播。
第二章静电场和静磁场2.1 什么是静电场?静电场是指当电荷分布不随时间变化、不产生磁场时,所产生的电场。
2.2 静电场的基本定律有哪些?静电场的基本定律包括库仑定律、电场线、电势能和电势。
2.3 什么是静磁场?静磁场是指当电荷分布不随时间变化,但产生了磁场时,所产生的磁场。
2.4 静磁场的基本定律有哪些?静磁场的基本定律包括安培环路定律、比奥萨伐尔定律和洛伦兹力定律。
第三章时变电磁场和电磁波的基本概念3.1 什么是时变电磁场?时变电磁场是指电荷分布随时间变化,且产生了磁场时,所产生的电磁场。
3.2 时变电磁场的基本方程式是哪些?时变电磁场的基本方程式是麦克斯韦方程组,包括麦克斯韦-安培定律、麦克斯韦-法拉第定律、法拉第感应定律和电场定律等。
3.3 什么是电磁波?电磁波是由振动的电荷和振动的磁场所产生的波动现象,它具有电场和磁场的相互作用,可以在真空和各种介质中传播。
3.4 电磁波的基本特征有哪些?电磁波的基本特征包括电场和磁场垂直于传播方向、具有可见光、红外线、紫外线、X射线和γ射线等不同频率和能量等。
第四章电磁波在真空和介质中的传播4.1 电磁波如何在真空中传播?电磁波在真空中传播速度等于光速,即299792458m/s。
4.2 介质是如何影响电磁波传播的?介质对电磁波的传播速度、方向和振动方向都有影响,介质内的电磁波速度取决于介质的介电常数和磁导率。
第一章习题解答1.2给定三个矢量A ,B ,C :A =x a +2y a -3z aB = -4y a +z aC =5x a -2za 求:⑴矢量A 的单位矢量A a ;⑵矢量A 和B 的夹角AB;⑶A ·B 和A B⑷A ·(B C )和(A B )·C ;⑸A (BC )和(AB )C解:⑴A a =A A=149A =(x a +2y a -3z a )/14⑵cosAB=A ·B /A BAB=135.5o⑶A ·B =11, A B =10x a y a 4za ⑷A ·(BC )=42 (A B )·C =42 ⑸A(B C )=55x a 44ya 11za (AB )C =2xa 40y a +5za 1.3有一个二维矢量场F(r)=x a (y )+y a (x),求其矢量线方程,并定性画出该矢量场图形。
解:由dx/(y)=dy/x,得2x +2y =c 1.6求数量场=ln (2x +2y +2z )通过点P (1,2,3)的等值面方程。
解:等值面方程为ln (2x +2y +2z )=c则c=ln(1+4+9)=ln14 那么2x +2y +2z =141.9求标量场(x,y,z )=62x 3y +ze 在点P (2,-1,0)的梯度。
解:由=xa x+ya y+za z=12x 3yx a +182x 2y y a +ze z a 得=24x a +72y a +za 1.10 在圆柱体2x +2y =9和平面x=0,y=0,z=0及z=2所包围的区域,设此区域的表面为S:⑴求矢量场A 沿闭合曲面S 的通量,其中矢量场的表达式为A =x a 32x +y a (3y+z )+z a (3z x)⑵验证散度定理。
解:⑴?s d A =A dS ?曲+A d S ?xoz+A dS ?yoz +A dS ?上+A dS?下A d S ?曲=232(3cos3sin sin )z d d 曲=156.4A dS ?xoz=(3)yz dxdz xoz= 6A dS ?yoz=23x dydz yoz=0A dS ?上+A dS ?下=(6cos )d d 上+cos d d 下=272?s d A =193⑵dV A V?=(66)Vx dV =6(cos1)Vd d dz =193即:ss d A =dVA V?1.13 求矢量A =x a x+y a x 2y 沿圆周2x +2y =2a 的线积分,再求A 对此圆周所包围的表面积分,验证斯托克斯定理。
电磁场与电磁波习题1.1给定三个矢量A 、B 和C 如下:A →=e x +e y 2-e y 3,B →=-e y 4+e z ,C→=e y 5-e z 2.求:(1)e A → (2)B A -;(3)B A •;(4)θAB (5)A →在B →上的分量;(6)A →×C→;(7)()C B A ⨯•和()C B A •⨯;(8)() C B A ⨯⨯和()C B A ⨯⨯。
解:(1)e A → =A A =x y y √1+4+9=x√14+y √14-z√14(2)B A -=|e x +e y 6−e z 4|=√53(3)B A •=-8-3=-11 (4)cos θAB =√238,故θAB =135.5°(5)|A|→ cos θAB =B BA •=√17(6)=⨯C A |e x e y e z12−350−2|=−ex 4−e y 13−e z 10(7)=⨯C B e x 8+e y 5+e z 20()()42-=•⨯=⨯•C B A C B A(8)=⨯⨯C B A |e x e y e z−10−1−450−2|=e x 2−e y 40+e z 5()=⨯⨯C B A |e x e y e z12−38520|=e x 55−ey 44−e z 111.4给定两矢量=A e x 2+e y 3−e z 4和=B e x 4−e y 5+e z 6,求它们之间的夹角和A →在B →上的分量。
解:|A|→ =√4+9+16=√29|B →|=√16+25+36=√77cos θAB =√2233=−√2233故θAB =131°|A |∙cos θAB =-3.5321.9用球坐标表示的场E →=e r 25r 2。
(1)求在直角坐标中点(-3,4,-5)处的|E|→ 和E x ;(2)求在直角坐标中点(-3,4,-5)处E →与矢量B →=e x 2−e y 2+e z 构成的夹角。
第一章习题解答【习题1.1解】222222222222222222222222222222222222cos cos cos cos cos cos 1xx x y z yx y z z x y z x y z x y z x y z x y z x y z x y z 矢径r 与轴正向的夹角为,则同理,矢径r 与y 轴正向的夹角为,则矢径r 与z 轴正向的夹角为,则可得从而得证a a b b g g a b g =++=++=++++=++++++++++==++【习题1.2解】924331329(243)54(9)(243)236335x y z x y z x y z x y z x y z x y z x y z x y z A B e e e e e e e e e A B e e e e e e e e e A B e e e e e e A B +=--+-+=-+=----+=---∙=--∙-+=+-=⨯()()-()(9)(243)19124331514x y z x y z x y z x y ze e e e e e e e e e e e =--⨯-+=---=--+【习题1.3解】已知,38,x y z x y z A e be ce B e e e =++=-++ (1)要使A B ⊥,则须散度 0A B =所以从 1380A B b c =-++=可得:381b c += 即只要满足3b+8c=1就可以使向量和向量垂直。
(2)要使A B ,则须旋度 0A B ⨯= 所以从1(83)(8)(3)0138xy zx y z e e e A B b c b c e c e b e ⨯==--+++=- 可得 b=-3,c=-8 【习题1.4解】已知129x y z A e e e =++,x y B ae be =+,因为B A ⊥,所以应有0A B ∙= 即()()1291290xy z x y ee e ae be a b ++∙+=+= ⑴又因为 1B =; 所以221a b +=; ⑵由⑴,⑵ 解得 34,55a b =±=【习题1.5解】由矢量积运算规则123233112()()()x y zx y z x x y y z ze e e A Ca a a a z a y e a x a z e a y a x e xyzB e B e B e B =?=-+-+-=++取一线元:x y z dl e dx e dy e dz =++则有xy z xyz e e e dlB B B dx dy dzB ?=则矢量线所满足的微分方程为 x y zd x d y d z B B B == 或写成233112()dx dy dzk a z a y a x a z a y a x==---=常数 求解上面三个微分方程:可以直接求解方程,也可以采用下列方法k xa a y a a z a d z a a x a a y a d y a a z a a x a d =-=-=-323132132231211)()()( (1)k x a y a z zdzz a x a y ydy y a z a x xdx =-=-=-)()()(211332 (2)由(1)(2)式可得)()(31211y a a x a a k x a d -=)()(21322z a a x a a k y a d -= (3) )()(32313x a a y a a k z a d -= )(32xy a xz a k xdx -=)(13yz a xy a k ydy -= (4))(21xz a yz a k zdz -=对(3)(4)分别求和0)()()(321=++z a d y a d x a d 0)(321=++z a y a x a d0=++zdz ydy xdx 0)(222=++z y x d所以矢量线方程为1321k z a y a x a =++ 2222k z y x =++【习题1.6解】已知矢量场222()()(2)x y z A axz x e by xy e z z cxz xyz e =++++-+- 若 A 是一个无源场 ,则应有 div A =0即: div A =0y x zA A A A x y z∂∂∂∇⋅=++=∂∂∂ 因为 2x A axz x =+ 2y A by xy =+ 22z A z z cxz xyz =-+- 所以有div A =az+2x+b+2xy+1-2z+cx-2xy =x(2+c)+z(a-2)+b+1=0 得 a=2, b= -1, c= - 2 【习题1.7解】设矢径 r 的方向与柱面垂直,并且矢径 r到柱面的距离相等(r =a )所以,2sssr ds rds a ds a ah πΦ===⎰⎰⎰=22a h π=【习题1.8解】已知23x y φ=,223yz A x yze xy e =+ 而 A A A A rot⨯∇+⨯∇=⨯∇=φφφφ)()(2222(6)3203xy zx y ze e e A xy x y e y e xyze x y z x yz xy ∂∂∂∇⨯==--+∂∂∂ 2223[(6)32]x y z A x y xy x y e y e xyze φ∴∇⨯=--+又y x z y xe x e xy ze y e x e 236+=∂∂+∂∂+∂∂=∇φφφφ 232233222630918603xy z x y z e e e A xyx x y e x y e x y ze x yz xy φ∇⨯==-+所以222()3[(6)32]x y z rot A A A x y xy x y e y e xyze φφφ=∇⨯+∇⨯=--+ +z y x e z y x e y x e y x 2332236189+-=]49)9[(3222z y x e xz e y e x x y x+--【习题1.9解】已知 222(2)(2)(22)x y zA y x z e x y z e x z y z e =++-+-+ 所以()()1144(22)0xyzyy x x z z x y z x yzx y z A A A A A A rot A A x y z y z z x x y A A A xz xz y y e e ee e e e e e ∂∂⎛⎫⎛⎫∂∂∂∂∂∂∂⎛⎫=∇⨯==-+-+- ⎪ ⎪ ⎪∂∂∂∂∂∂∂∂∂⎝⎭⎝⎭⎝⎭-++-+-=由于场A 的旋度处处等于0,所以矢量场A 为无旋场。
第一章 习题解答
1.2给定三个矢量A ,B ,C :
A =x a +2y a -3z a
B = -4y a +z a
C =5x a -2z a
求:⑴矢量A 的单位矢量A a ;
⑵矢量A 和B 的夹角AB θ;
⑶A ·B 和A ⨯B ⑷A ·(B ⨯C )和(A ⨯B )·C ;
⑸A ⨯(B ⨯C )和(A ⨯B )⨯C
解:⑴A a =A A
(x a +2y a -3z a )
⑵cos AB θ =A ·B /A B
AB θ=135.5o
⑶A ·B =-11, A ⨯B =-10x a -y a -4z a
⑷A ·(B ⨯C )=-42
(A ⨯B )·C =-42
⑸A ⨯(B ⨯C )=55x a -44y a -11z a (A ⨯B )⨯C =2x a -40y a +5z a
1.3有一个二维矢量场F(r) =x a (-y )+y a (x),求其矢量线方程,并定性画出该矢量场图
形。
解:由dx/(-y)=dy/x,得2x +2y =c
1.6求数量场ψ=ln (2x +2y +2
z )通过点P (1,2,3)的等值面方程。
解:等值面方程为ln (2x +2y +2
z )=c
则c=ln(1+4+9)=ln14
那么2x +2y +2z =14
1.9求标量场ψ(x,y,z )=62x 3y +z e 在点P (2,-1,0)的梯度。
解:由ψ∇=x a x ψ∂∂+y a y
ψ∂∂+z a z ψ∂∂=12x 3y x a +182x 2y y a +z e z a 得 ψ∇=-24x a +72y a +z a
1.10 在圆柱体2x +2y =9和平面x=0,y=0,z=0及z=2所包围的区域,设此区域的表面为S:
⑴求矢量场A 沿闭合曲面S 的通量,其中矢量场的表达式为
A =x a 32x +y a (3y+z )+z a (3z -x) ⑵验证散度定理。
解:⑴⎰∙s d A =
A d S ∙⎰ 曲+A dS ∙⎰ xoz +A d S ∙⎰ yoz +A d S ∙⎰ 上+A d S ∙⎰ 下
A d S ∙⎰ 曲=232(3cos 3sin sin )z d d ρθρθθρθ++⎰曲
=156.4
A dS ∙⎰ xoz =(3)y z dxdz +⎰xoz =-6 A d S ∙⎰ yoz =-23x dydz ⎰yoz =0
A d S ∙⎰ 上+A d S ∙⎰ 下=(6cos )d d ρθρθρ-⎰上+cos d d ρθρθ⎰下=272π ⎰∙s d A =193
⑵dV A V ⎰∙∇=(66)V x dV +⎰=6(cos 1)V d d dz ρθρθ+⎰=193 即:⎰∙s s d A =dV A V
⎰∙∇ 1.13 求矢量A =x a x+y a x 2y 沿圆周2x +2y =2a 的线积分,再求A ∇⨯ 对此圆周所包围的表
面积分,验证斯托克斯定理。
解:⎰∙l l d A =2L
xdx xy dy +⎰ =44a π A ∇⨯ =z a 2y
⎰∙⨯∇S s d A =2S
y dS ⎰ =22sin S d d θρρρθ⎰ =44a π 即:⎰∙l l d A =⎰∙⨯∇S s d A ,得证。
1.15求下列标量场的梯度:
⑴u=xyz+2x u ∇=x a u x ∂∂+y a u y ∂∂+z a u z
∂∂=x a (yz+zx)+y a xz+z a xy ⑵u=42x y+2y z -4xz
u ∇=x a u x ∂∂+y a u y
∂∂+z a u z ∂∂=x a (8xy-4z)+y a (42x +2yz)+z a (2y -4x) ⑶u ∇=x a u x ∂∂+y a u y ∂∂+z a u z
∂∂=x a 3x+y a 5z+z a 5y 1.16 求下列矢量场在给定点的散度
⑴A ∙∇=x A x ∂∂+y A y ∂∂+z A z
∂∂=32x +32y +3(1,0,1)|-=6 ⑵A ∙∇=2xy+z+6z (1,1,0)|=2
1.17求下列矢量场的旋度。
⑴A ∇⨯ =0
⑵A ∇⨯ =x a (x -x )+y a (y -y )+z a (z -z )=0
1.19 已知直角坐标系中的点P(x,y,z)和点Q(x ’,y ’,z ’),求:
⑴P 的位置矢量r 和Q 点的位置矢量'r ;
⑵从Q 点到P 点的距离矢量R ;
⑶r ∇⨯ 和r ∙∇; ⑷1()R ∇。
解:⑴r =x a x+y a y+z a z;
'r =x a x ’+y a y ’+z a z ’
⑵R =r -'r =x a (x -x ’)+y a (y -y ’)+z a (z -z ’)
⑶r ∇⨯ =0 , r ∙∇=3
⑷1R = 1()R ∇=(x a x ∂∂+y a y
∂∂+z a z ∂∂)1R =-x
a 212(')2x x R R --y a 212(')2y y R R --z a 212(')2z z R R - =-x
a 3'x x R --y a 3'y y R --z a 3'z z R -
=-31R [x a (x -x ’)+y a (y -y ’)+z a (z -z ’)]
=-3R R 即:1()R ∇=-3R R。