电磁场与电磁波答案()
- 格式:doc
- 大小:258.00 KB
- 文档页数:7
第一章习题解答【习题1.1解】222222222222222222222222222222222222cos cos cos cos cos cos 1xx x y z yx y z z x y z x y z x y z x y z x y z x y z x y z 矢径r 与轴正向的夹角为,则同理,矢径r 与y 轴正向的夹角为,则矢径r 与z 轴正向的夹角为,则可得从而得证a a b b g g a b g =++=++=++++=++++++++++==++ 【习题1.2解】924331329(243)54(9)(243)236335x y z x y z x y z x y z x y z x y z x y z x y z A B e e e e e e e e e A B e e e e e e e e e A B e e e e e e A B +=--+-+=-+=----+=---∙=--∙-+=+-=⨯()()-()(9)(243)19124331514x y z x y z x y z x y ze e e e e e e e e e e e =--⨯-+=---=--+【习题1.3解】已知,38,x y z x y z A e be ce B e e e =++=-++ (1)要使A B ⊥,则须散度 0A B =所以从 1380A B b c =-++=可得:381b c +=即只要满足3b+8c=1就可以使向量错误!未找到引用源。
和向量错误!未找到引用源。
垂直。
(2)要使A B ,则须旋度 0A B ⨯= 所以从1(83)(8)(3)0138xy zx y z e e e A B b c b c e c e b e ⨯==--+++=-可得 b=-3,c=-8 【习题1.4解】已知129x y z A e e e =++,x y B ae be =+,因为B A ⊥,所以应有0A B ∙= 即()()1291290xy z x y ee e ae be a b ++∙+=+= ⑴又因为 1B =; 所以221=; ⑵由⑴,⑵ 解得 34,55a b =±=【习题1.5解】由矢量积运算规则123233112()()()x y zx y z x x y y z ze e e A Ca a a a z a y e a x a z e a y a x e xyzB e B e B e B =?=-+-+-=++取一线元:x y z dl e dx e dy e dz =++则有xy z xyz e e e dlB B B dx dy dzB ?=则矢量线所满足的微分方程为 x y zd x d y d z B B B == 或写成233112()dx dy dzk a z a y a x a z a y a x==---=常数 求解上面三个微分方程:可以直接求解方程,也可以采用下列方法k xa a y a a z a d z a a x a a y a d y a a z a a x a d =-=-=-323132132231211)()()( (1)k x a y a z zdzz a x a y ydy y a z a x xdx =-=-=-)()()(211332 (2)由(1)(2)式可得)()(31211y a a x a a k x a d -=)()(21322z a a x a a k y a d -= (3))()(32313x a a y a a k z a d -= )(32xy a xz a k xdx -=)(13yz a xy a k ydy -= (4))(21xz a yz a k zdz -=对(3)(4)分别求和0)()()(321=++z a d y a d x a d 0)(321=++z a y a x a d0=++zdz ydy xdx 0)(222=++z y x d所以矢量线方程为1321k z a y a x a =++ 2222k z y x =++【习题1.6解】已知矢量场222()()(2)x y z A axz x e by xy e z z cxz xyz e =++++-+- 若 A 是一个无源场 ,则应有 div A =0即: div A =0y x zA A A A x y z∂∂∂∇⋅=++=∂∂∂ 因为 2x A axz x =+ 2y A by xy =+ 22z A z z cxz xyz =-+- 所以有div A =az+2x+b+2xy+1-2z+cx-2xy =x(2+c)+z(a-2)+b+1=0 得 a=2, b= -1, c= - 2 【习题1.7解】设矢径 r的方向与柱面垂直,并且矢径 r到柱面的距离相等(r =a ) 所以,2sssr ds rds a ds a ah πΦ===⎰⎰⎰=22a h π=【习题1.8解】已知23x y φ=,223y z A x yze xy e =+而 A A A A rot⨯∇+⨯∇=⨯∇=φφφφ)()(2222(6)3203xy zx y ze e e A xy x y e y e xyze x y z x yz xy ∂∂∂∇⨯==--+∂∂∂ 2223[(6)32]x y z A x y xy x y e y e xyze φ∴∇⨯=--+又y x z y x e x e xy ze y e x e 236+=∂∂+∂∂+∂∂=∇φφφφ 232233222630918603xy z x y z e e e A xyx x y e x y e x y ze x yz xy φ∇⨯==-+所以222()3[(6)32]x y z rot A A A x y xy x y e y e xyze φφφ=∇⨯+∇⨯=--+ +z y x e z y x e y x e y x 2332236189+-=]49)9[(3222z y x e xz e y e x x y x+--【习题1.9解】已知 222(2)(2)(22)x y zA y x z e x y z e x z y z e =++-+-+ 所以()()1144(22)0xyzyy x x z z x y z x yzx y z A A A A A A rot A A x y z y z z x x y A A A xz xz y y e e ee e e e e e ∂∂⎛⎫⎛⎫∂∂∂∂∂∂∂⎛⎫=∇⨯==-+-+- ⎪ ⎪ ⎪∂∂∂∂∂∂∂∂∂⎝⎭⎝⎭⎝⎭-++-+-=由于场A 的旋度处处等于0,所以矢量场A 为无旋场。
电磁场与电磁波第二版课后答案第一章:电荷和电场1.1 选择题1.电场可以向量形式来表示。
2.使得电体带有不同种类电荷的原子或分子是离子化。
3.在法拉弹规定空气是电介质。
4.电荷量的基本单位是库仑。
5.元电荷是正负电荷的最小电荷量。
6.在电场中电荷所受力的方向完全取决于电荷性质和场的性质和方向。
7.电势能是标量。
8.空间中一点产生的电场是该点电荷所受电场的矢量和。
9.电场E的国际单位是NC−1。
10.电场强度受逼迫电荷的正负种类影响,但与电荷的量无关。
1.2 填空题1.空间中一点产生的电场是该点电荷所受电场的矢量和。
2.计算质点电荷q在某点产生的电场的公式是$\\vec{E}=\\frac{1}{4\\pi\\epsilon_0}\\frac{q}{r^2}\\vec{r}$。
3.计算正半球壳在某点产生的电场的公式是$\\vec{E}=\\frac{1}{4\\pi\\epsilon_0}\\frac{Q}{r^2}\\vec{r}$。
4.位置在球心,能量源是正半球壳带点,正半球在转轴一侧电势能是0。
5.半径为R的均匀带点球壳,带电量为Q,求通过球心的电束强度的公式是$\\frac{Q}{4\\pi\\epsilon_0R^2}$。
1.3 计算题1.两个带电量分别为q1和q2的点电荷之间的相互干扰力公式是$\\vec{F}=\\frac{q_1q_2}{4\\pi\\epsilon_0r^2}\\vec{r}$。
2.一个电荷为q的质点,和一个均匀带有电量Q的半球壳之间的相互干扰力公式是$\\vec{F}=\\frac{1}{4\\pi\\epsilon_0}\\frac{qQ}{r^2}\\vec{r}$。
第二章:电磁感应和电磁波2.1 选择题1.电磁感应是由磁通变化产生的。
2.电磁感应一定要在导电体内才能产生电流是错误的。
√3.在电磁感应现象中,即使磁通量不变时导体电流也会产生改变。
4.电磁感应现象是反过来实现的。
电磁场与电磁波》(第四版 )答案二章习题解答2.1 一个平行板真空二极管内的电荷体密度为$\rho=-\frac{4\epsilon U}{d}-4\times 10^{-3}x-2\times 10^{-3}$,式中阴极板位于$x=9$,阳极板位于$x=d$,极间电压为$U$。
如果$U=40V$,$d=1cm$,横截面$S=10cm^2$,求:(1)$x$和$x=d$区域内的总电荷量$Q$;(2)$x=d/2$和$x=d$区域内的总电荷量$Q'$。
解(1)$Q=\int\limits_{0}^{9}\rhoSdx+\int\limits_{d}^{9}\rho Sdx=-4.72\times 10^{-11}C(3d)$2)$Q'=\int\limits_{d/2}^{d}\rho Sdx=-0.97\times 10^{-11}C$2.2 一个体密度为$\rho=2.32\times 10^{-7}Cm^3$的质子束,通过$1000V$的电压加速后形成等速的质子束,质子束内的电荷均匀分布,束直径为$2mm$,束外没有电荷分布,试求电流密度和电流。
解:质子的质量$m=1.7\times 10^{-27}kg$,电量$q=1.6\times 10^{-19}C$。
由$1/2mv^2=qU$得$v=2mqU=1.37\times 10^6ms^{-1}$,故$J=\rho v=0.318Am^2$,$I=J\pi (d/2)^2=10^{-6}A$2.3 一个半径为$a$的球体内均匀分布总电荷量为$Q$的电荷,球体以匀角速度$\omega$绕一个直径旋转,求球内的电流密度。
解:以球心为坐标原点,转轴(一直径)为$z$轴。
设球内任一点$P$的位置矢量为$r$,且$r$与$z$轴的夹角为$\theta$,则$P$点的线速度为$v=\omega\times r=e_\phi \omegar\sin\theta$。
第一章 矢量场 1.1 z y x C z y x B z y x A ˆˆˆ3;ˆ2ˆˆ;ˆˆ3ˆ2+-=-+=-+= 求:(a) A ; (b) b ; (c) A B ⋅ ; (d) B C ⨯ ; (e) () A B C ⨯⨯ (f) () A B C ⨯⋅ 解:(a) 14132222222=++=++=z y x A A A A ; (b) )ˆ2ˆˆ(61ˆz y x BB b -+== ( c) 7=⋅B A ; (d) z y xC B ˆ4ˆ7ˆ---=⨯ (e) z y x C B A ˆ4ˆ2ˆ2)(-+=⨯⨯ (f) 19)(-=⋅⨯C B A 1.2 A z =++2 ρπϕ; B z =-+- ρϕ32 求:(a) A ; (b) b ; (c) A B ⋅ ; (d) B A ⨯ ; (e) B A + 解:(a) 25π+=A ;(b) )ˆ2ˆ3ˆ(141ˆz b -+-=ϕρ;(c) 43-=⋅πB A (d) z A B ˆ)6(ˆ3ˆ)23(+--+=⨯πϕρπ (e) z B A ˆˆ)3(ˆ-++=+ϕπρ 1.3 A r =+-22 πθπϕ; B r =- πθ 求:(a) A ; (b) b ; (c) A B ⋅ ; (d) B A ⨯ ; (e) A B + 解:(a) 254π+=A ; (b) )ˆˆ(11ˆ2θππ-+=r b ; (c) 22π-=⋅B A ;(d) ϕπθππˆ3ˆ2ˆ22++=⨯r A B ; (e) ϕπˆ2ˆ3-=+r B A 1.4 A x y z =+- 2; B x y z =+-α 3 当 A B ⊥时,求α。
解:当 A B ⊥时, A B ⋅=0, 由此得 5-=α 1.5 将直角坐标系中的矢量场 F x y z x F x y z y 12(,,) ,(,,) ==分别用圆柱和圆球坐标系中的坐标分量表示。
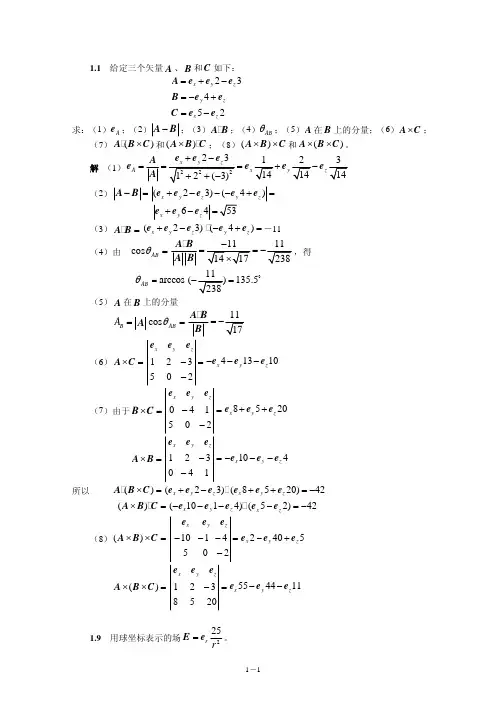
第一章习题解答给定三个矢量、和如下:求:(1);(2);(3);(4);(5)在上的分量;(6);(7)和;(8)和。
解(1)(2)(3)-11(4)由,得(5)在上的分量(6)(7)由于所以(8)三角形的三个顶点为、和。
(1)判断是否为一直角三角形;(2)求三角形的面积。
解(1)三个顶点、和的位置矢量分别为,,则,,由此可见故为一直角三角形。
(2)三角形的面积求点到点的距离矢量及的方向。
解,,则且与、、轴的夹角分别为给定两矢量和,求它们之间的夹角和在上的分量。
解与之间的夹角为在上的分量为给定两矢量和,求在上的分量。
解所以在上的分量为证明:如果和,则;解由,则有,即由于,于是得到故如果给定一未知矢量与一已知矢量的标量积和矢量积,那么便可以确定该未知矢量。
设为一已知矢量,而,和已知,试求。
解由,有故得在圆柱坐标中,一点的位置由定出,求该点在:(1)直角坐标中的坐标;(2)球坐标中的坐标。
解(1)在直角坐标系中、、故该点的直角坐标为。
(2)在球坐标系中、、故该点的球坐标为用球坐标表示的场,(1)求在直角坐标中点处的和;(2)求在直角坐标中点处与矢量构成的夹角。
解(1)在直角坐标中点处,,故(2)在直角坐标中点处,,所以故与构成的夹角为球坐标中两个点和定出两个位置矢量和。
证明和间夹角的余弦为解由得到一球面的半径为,球心在原点上,计算:的值。
解在由、和围成的圆柱形区域,对矢量验证散度定理。
解在圆柱坐标系中所以又故有求(1)矢量的散度;(2)求对中心在原点的一个单位立方体的积分;(3)求对此立方体表面的积分,验证散度定理。
解(1)(2)对中心在原点的一个单位立方体的积分为(3)对此立方体表面的积分故有计算矢量对一个球心在原点、半径为的球表面的积分,并求对球体积的积分。
解又在球坐标系中,,所以求矢量沿平面上的一个边长为的正方形回路的线积分,此正方形的两边分别与轴和轴相重合。
再求对此回路所包围的曲面积分,验证斯托克斯定理。
电磁场和电磁波练习一、选择题(每题4分,共60分)1.A关于电磁场和电磁波.下列说法正确的是A.电场和磁场总是相互联系,电场和磁场统称为电磁场B.电磁场从发生区域由近及远的传播称为电磁波C.电磁波是一种物质,可在真空中传播.所以平日说真空是没有实物粒子,但不等于什么都没有,可以有“场”这种特殊物质D.电磁波传播速度总是3×108m/s答案:BC2.A建立完整电磁场理论并首先预言电磁波存在的科学家是A.法拉第B.奥斯特C.赫兹D.麦克斯韦答案:D3.A第一个用实验验证电磁波客观存在的科学家是A.法拉第B.奥斯特C.赫兹D.麦克斯韦答案:C4.A任何电磁波在真空中都具有相同的A.频率B.波长C.波速D.能量答案:C5.A在磁场周围欲产生一个不随时间变化的电场区域,则该磁场应按图中的何种规律变化答案:BC6.A甲、乙两个LC振荡电路中,两电容器电容之比C1:C2=1:9,两线圈自感系数之比L1:L2=4:1,则这两个振荡电路发射电磁波的频率之比和波长之比分别为A.f1:f2=4:9,λ1:λ2=9:4B.f1:f2=9:4,λ1:λ2=4:9C.f1:f2=3:2,λ1:λ2=2:3D.f1:f2=2:3,λ1:λ2=3:2答案:C7.A关于麦克斯韦电磁场理论,下列说法正确的是A.在电场周围空间一定存在着磁场B.任何变化的电场周围一定存在着变化的磁场C.均匀变化的磁场周围一定存在着变化的电场D.振荡电场在它的周围空间一定产生同频率的振荡磁场答案:D8.A电磁波在不同介质中传播时,不变的物理量是A.频率B.波长C.振幅D.波速答案:A9.B 下列哪些现象是由于所产生的电磁波而引起的A.用室内天线接收微弱电视信号时,人走过时电视机画面发生变化B.用天线接收电视信号时,汽车开过时电视机画面发生变化C.把半导体收音机放到开着的日光灯旁听到噪声D.在边远地区用无线电话机通活,有时会发生信号中断的现象答案:BC10.B 如图所示,直线MN 周围产生了一组闭合电场线,则A.有方向从M→N迅速增强的电流B.有方向从M→N迅速减弱的电流C.有方向从M→N迅速增强的磁场D.有方向从M→N迅速减弱的磁场答案:D二、填空题(每空3分,共18分)11.A 有一振荡电路,线圈的自感系数L=8μH ,电容器的电容C=200pF ,此电路能在真空中产生电磁波的波长是________m 答案:75.412.A 电磁波在传播过程中,其电场分量和磁场分量总是相互________(填“垂直”、“平行”下同),而且与波的传播方向________,电磁波也可以发生反射、折射、干涉和衍射.其中长波衍射要比短波衍射________(填“易”、“难”).答案:垂直、垂直、易13.B 如图中,正离子在垂直于匀强磁场的固定光滑轨道内做匀速圆周运动,当磁场均匀增大时,离子动能将________,周期将________.答案:减小、增大三、计算题(每题11分,共22分)14.B 一个LC 振荡电路,电感L 的变化范围是0.1~0.4mH ,电容C 的变化范围是4~90pF ,求此振荡电路的频率范围和产生电磁波的波长范围.答案: 2.65×105Hz~7.65×106Hz, 1130(m)~ 37.7(m)15.C 某卫星地面站向地球同步通信卫星发送无线电波,经它立即转发到另一卫星地面站,测得从发送开始到地面站接收到电磁波的时间为0.24s ,取地球半径6400km.据此条件估算地球的质量为多少千克?(结果取1位有效数字,G=6.67×1011N·m 2/kg 2) 答案:解:由s=ct 可知同步卫星距地面的高度:h=3.6×107(m)由牛顿运动定律可知()()h R T m h R Mm G +⎪⎭⎫ ⎝⎛=+222π故地球质量:M=()=+3224h R GT π()()21137623600241067.6106.3104.614.34⨯⨯⨯⨯+⨯⨯⨯-=6×1024kg。
2-2 已知真空中有三个点电荷,其电量及位置分别为:)0,1,0( ,4 )1,0,1( ,1 )1,0,0( ,1332211P C q P C q P C q === 试求位于)0,1,0(-P 点的电场强度。
解 令321,,r r r 分别为三个电电荷的位置321,,P P P 到P 点的距离,则21=r ,32=r ,23=r 。
利用点电荷的场强公式r e E 204rq πε=,其中r e 为点电荷q 指向场点P 的单位矢量。
那么,1q 在P 点的场强大小为021011814πεπε==r q E ,方向为()z yr e ee +-=211。
2q 在P 点的场强大小为0220221214πεπε==r q E ,方向为()z y xr e e ee ++-=312。
3q 在P 点的场强大小为023033414πεπε==r q E ,方向为y r e e -=3则P 点的合成电场强度为⎥⎦⎤⎢⎣⎡⎪⎪⎭⎫ ⎝⎛++⎪⎪⎭⎫ ⎝⎛+++-=++=z e e e E E E E y x 312128141312128131211 0321πε2-4 已知真空中两个点电荷的电量均为6102-⨯C ,相距为2cm , 如习题图2-4所示。
试求:①P 点的电位;②将电量为6102-⨯C 的点电荷由无限远处缓慢地移至P 点时,外力必须作的功。
解 根据叠加原理,P 点的合成电位为()V 105.24260⨯=⨯=rq πεϕ因此,将电量为C 1026-⨯的点电荷由无限远处缓慢地移到P 点,外力必须做的功为()J 5==q W ϕ2-6 已知分布在半径为a 的半圆周上的电荷线密度πφφρρ≤≤=0 ,sin 0l ,试求圆心处的电场强度。
解 建立直角坐标,令线电荷位于xy 平面,且以y 轴为对称,如习题图2-6所示。
那么,点电荷l l d ρ在圆心处产生的电场强度具有两个分量E x 和E y 。
由于电荷分布以y 轴为对称,因此,仅需考虑电场强度的y E 分量,即习题图2-4习题图2-6φπερsin 4d d d 20a lE E l y ==考虑到φρρφsin ,d d 0==l a l ,代入上式求得合成电场强度为y y aa e e E 0002008d sin 4ερφφπερπ==⎰2-12 若带电球的内外区域中的电场强度为⎪⎪⎩⎪⎪⎨⎧<>=a r aqr a r r q, ,2r e E试求球内外各点的电位。
第一章习题解答1.1 给定三个矢量A 、B 和C 如下: 23x y z =+-A e e e4y z =-+B e e52x z =-C e e求:(1)A a ;(2)-A B ;(3)A B g ;(4)AB θ;(5)A 在B 上的分量;(6)⨯A C ;(7)()⨯A B C g 和()⨯A B C g ;(8)()⨯⨯A B C 和()⨯⨯A B C 。
解 (1)23A x y z +-===+e e e A a e e e A (2)-=A B (23)(4)x y z y z +---+=e e e ee 64x y z +-=e e e(3)=A B g (23)x y z +-e e e (4)y z -+=e e g -11 (4)由cos AB θ===A B A B g ,得1cos AB θ-=(135.5=o (5)A 在B 上的分量 B A =A cos ABθ==A B B g (6)⨯=A C 123502x yz-=-e e e 41310x y z ---e e e(7)由于⨯=B C 041502x yz-=-e e e 8520x y z ++e e e⨯=A B 123041xyz-=-e e e 1014x y z ---e e e所以 ()⨯=A B C g (23)x y z +-e e e g (8520)42x y z ++=-e e e ()⨯=A B C g (1014)x y z ---e e e g (52)42x z -=-e e(8)()⨯⨯=A B C 1014502x yz---=-e e e 2405x y z -+e e e()⨯⨯=A B C 1238520x y z -=e e e 554411x y z --e e e1.2 三角形的三个顶点为1(0,1,2)P -、2(4,1,3)P -和3(6,2,5)P 。
(1)判断123PP P ∆是否为一直角三角形;(2)求三角形的面积。
电磁场与电磁波答案第7章导⾏电磁波1、求内外导体直径分别为0.25cm和0.75cm 空⽓同轴线的特性阻抗;在此同轴线内外导体之间填充聚四氟⼄烯( r 2.1),求其特性阻抗与300MHz时的波长。
解:空⽓同轴线的特性阻抗b 0.75Z0 601 n 601 n =65.917a 0.25聚四氟⼄烯同轴线:_60_ in 075=41.4041n3 45.487.2.1 0.252、在设计均匀传输线时,⽤聚⼄烯( & r = 2.25 )作电介质,忽略损耗⑴对于300Q的双线传输线,若导线的半径为0.6mm,线间距应选取为多少?⑵对于75Q的同轴线,若内导体的半径为0.6mm,外导体的内半径应选取为多少?解:⑴双线传输线,令d为导线半径,D为线间距,则D in 3.75, D 25.5mm d⑵同轴线,令a为内导体半径,b为外导体内半径,则波⽐VSWR及距负载0.15处的输⼊阻抗Z in。
3 108300 106..2.10.69mL1oi b2 ln a' C121 b inaZ O5丄I1---ln b75C12■ r ain b 1.875, b 3.91mma3、设⽆耗线的特性阻抗为100 ,负载阻抗为50 j50试求:终端反射系数解:Z L Z O 50 j50 100Z L Z O 50 j50 1001 2j51 I L|1⼩2.6181 .5 5Z043.55 +j 34.164、⼀特性阻抗为50Q 、长2m 的⽆耗线⼯作于频率 200MHz 终端阻抗为40 j30 , 求其输⼊阻抗Z in 。
解:输⼊阻抗:z in Z 0Z LjZ °tan z⼩ 8 8 / “ 1.5, z2 ,tan 1.732f33Z in 26.32 j9.875、在特性阻抗为200的⽆耗双导线上,测得负载处为电压驻波最⼩点,V min 为8V,距负载/4处为电压驻波最⼤点,V 为10V,试求负载阻抗 Z L 及负载吸收的功率maxP L 。
电磁波与电磁场第四版答案一、单选题1.垂直于匀强磁场放置一长为1m的通电直导线,导线中电流为2A,所受安培力大小为0.1N,则该磁场的磁感应强度大小为() [单选题] *A.0.05T(正确答案)B.0.1TC.0.2TD.2T2.某一区域的磁感线分布如图所示,M、P为磁场中的两个点,下列说法正确的是()[单选题] *A.M点的磁场方向和P点的磁场方向相反B.M点的磁场方向和P点的磁场方向相同C.M点的磁感应强度小于P点的磁感应强度(正确答案)D.M点的磁感应强度大于P点的磁感应强度3.如图所示,小磁针静止在导线环中。
当导线环通过沿逆时针方向的电流时,忽略地磁场影响,小磁针最后静止时N极所指的方向()[单选题] *A.水平向右B.水平向左C.垂直纸面向里D.垂直纸面向外(正确答案)4.面积为0.75m2的线圈放在匀强磁场中,线圈平面与磁感线垂直,已知穿过线圈平面的磁通量是1.50Wb,那么这个磁场的磁感应强度是() [单选题] *A.0.05T B.1.125T C.2.0T(正确答案)D.0.02T5.首先发现电流的磁效应的物理学家是() [单选题] *A.安培B.法拉第C.奥斯特(正确答案)D.密立根6.某个磁场的磁感线如图所示,如果把一个小磁针放入磁场中,小磁针将()[单选题] *A.顺时针转动(正确答案)B.逆时针转动C.向右移动D.向左移动7.关于定义式(其中B表示磁感应强度,F表示通电导体棒受到的磁场力,I表示通过导体棒的电流强度,L表示导体棒的长度),下列说法正确的是() [单选题] *A.B与F成正比B.I越大,则B越小C.F的方向就是B的方向D.B的大小和方向与IL无关,由磁场本身决定(正确答案)8.如图,通电螺线管轴线上a、b、c三点的磁感应强度大小分别为Ba、Bb、Bc,则()[单选题] *A.Bc>Ba>Bb B.Bb>Bc>BaC.Ba>Bb>Bc(正确答案)D.Ba=Bb=Bc9.下列选项中通电直导线周围磁感线分布正确的是()[单选题] *A.⑴(正确答案)B.⑵ C. ⑶D.⑷10.把螺线管与电源连接,发现小磁针N极向螺线管偏转,静止时所指方向如图所示。
电磁场与电磁波复习材料简答2.试写出在理想导体表面电位所满足的边界条件。
一2•答:设理想导体内部电位対机,空气媒质中电位为观。
由于理想导1■本表面电场的切向分量等于零,或者说电场垂直于理想导体表面,因此有〔3分)3.试简述静电平衡状态下带电导体的性质。
答:静电平衡状态下,带电导体是等位体,导体表面为等位面;(2分)导体内部电场强度等于零,在导体表面只有电场的法向分量。
(3分)4.什么是色散?色散将对信号产生什么影响?答:在导电媒质中,电磁波的传播速度随频率变化的现象称为色散。
(3分)色散将使信号产生失真,从而影响通信质量。
(2分) aB dt ,试说明其物理意义,并写出方程的积分形式。
答:意义:随时间变化的磯场可以产生电场-其和分形式为:样•必=-[理廖C 右况6.试简述唯一性定理,并说明其意义。
答:在静电场中,在给定的边界条件下,拉普拉斯方程或泊松方程的解是唯一的「这一定理称为唯一性定理4(3分9它的意义:给岀了定解的充要条件:既满足方程区满足边界条件的解是正确的。
7. 什么是群速?试写出群速与相速之间的关系式。
〔写出微分形式也对)VxE=5.已知麦克斯韦第二方程为 1.简述恒定磁场的性质,并写出其两个基本方程。
1■答:恒定谢场是连续的场或无散场,即谢感应强度沿任一闭合曲面的积分等于恒定磁场的源是矢量两个基本方答:它表明时变场中的磁场是由传导电§盍丿和位移电渍该方程的积分形芒为答:电磁波包络或能量的传播速度称为群速。
群速叫与相速®的关系式为:耳=―気厂(2分)1片畑8. 写出位移电流的表达式,它的提出有何意义?告,位移电流,=®位移电流产生磁效应代表了变化的电场能够产生磁场,使麦克斯韦能够预言电磁场以波的形式传播,为现代通信打下理论基础。
9.简述亥姆霍兹定理,并说明其意义。
答:当一个矢量场的两类源(标量源和矢量源)在空间的分布确定时,该矢量场就唯一地确定了,这一规律称为亥姆霍兹定理。
第一章1.1.,,/)102102cos(1026300p y v k f E m V x t y y E E 相速度相位常数度,频率波的传播方向,波的幅的方向,,求矢量设 --⨯+⨯==ππ解:m /V )x 102t 102cos(10y y E z E y E x E E 26300y 0z 0y 0x --⨯π+⨯π==++=∴ 矢量E 的方向是沿Y 轴方向,波的传播方向是-x 方向;波的幅度 m /V 10E E 3y -==。
s /m 10102102k V ;102k ;MHZ 1HZ 1021022f 826P 266=⨯π⨯π=ω=⨯π===π⨯π=πω=--―――1.2 写出下列时谐变量的复数表示(如果可能的话))3sin()6sin()()6(sin 1)()5()21000cos(10)()4(sin 2cos 3)()3(sin 10)()2()6sin(6)()1(πωπωωππωωωπω++=-=-=-=-=+=t t t U t t D t t C t t t A tt I t t V(1)解: 3/2/6/)(πππϕ-=-=z vj j e V j 3333sin 63cos 66)3(-=-==-∴πππ(2)解:)2cos(10)(πω--=t t I2)(πϕν-=zj eI j 10102=-=-∴π(3)解:)t t t A ωωsin 132cos 133(13)(-=j eA j 2313)2(+==-πθ则(4)解:)21000cos(10)(ππ-=t t CjeC j 10102-==∴π(5)(6)两个分量频率不同,不可用复数表示―――1.3由以下复数写出相应的时谐变量)8.0exp(4)2exp(3)3()2.1exp(4)2(43)1(j jC j C jC +=-=+=π(1)解:tt j t j t t j t j e j t j ωωωωωωωsin 4cos 4sin 3cos 3)sin )(cos 43()43(-++=++=+t t Ce RE t C t j ωωωsin 4cos 3)()(-==∴(2)解:)2.1cos(4)4()()(2.1-===-t e e RE Ce RE t C t j j t j ωωω(3)解:)8.0t (j )2t (j t j 8.0j j t j e 4e3e )e 4e3(Ce 2+ωπ+ωωω+=+=π得:)sin(3)8.0cos(4)8.0cos(4)2cos(3)()(t t t t Ce RE t C tj ωωωπωω-+=+++==―――1.4 写出以下时谐矢量的复矢量表示00000)cos(5.0)3()sin (cos 8)sin 4cos 3()()2()2cos(sin 4cos 3)()1(x t kz H z t t x t t t E z t y t x t t V t ωωωωωπωωω-=-++=+++=(1)解:00043)(z i y j x r V+-=(2)解:00)43cos(28)cos(5)(z t x t t V πωϕω--+=00430)88()43(285)(54arcsinz j x j z e x e r V++-=-==-πϕϕ其中 (3)解:00)]sin()[cos(5.05.0)(x kz j kz x e r H kz-==-―――1.6 ]Re[,)22(,)21(000000**⨯⋅⨯⋅-+-=+++=B A B A B A B A z j y j x B z j y j x A ,,,求:假定解:j B A B A B A B A z z y y x x 35-=++=⋅0000000000000025)()22(12113)22()32()31()61(z y x B A RE jj j j z y x B A jB A z j y j x B z j y j x j B B B A A A z y x B A zyxz y x-+=⨯--+=⨯--=⋅+--=--++++-==⨯****得到:则:――――1.7计算下列标量场的梯度xyzu xyy x u xz yz xy u z y x u z y x u =++=++=-+==)5(2)4()3(2)2()1(22222222(1)解:u u grad ∇=)(22022022022202220222222z z y x y yz x x z xy z zz y x y y z y x x x z y x ++=∂∂+∂∂+∂∂=(2)解:u u grad ∇=)( 000224z z y y x x -+=(3) 解:u u grad ∇=)(000)()()(z x y y z x x z y+++++=(4) 解:u u grad ∇=)(00)22()22(y x y x y x+++=(5) 解:u u grad ∇=)(000z xy y xz x yz ++=第二章――2.1.市话用的平行双导线,测得其分布电路参数为: R ’=0.042Ωm -1; L ’=5×10-7Hm -1; G ’=5×10-10Sm -1; C ’=30.5PFm -1. 求传播常数k 与特征阻抗Z c .答:))((C j G L j R jk '+''+'=ωω)()(C j G L j R Z c '+''+'=ωω代入数据可得:k =(1.385-1.453i) ×10-5; Z c = (1.52 -1.44i) ×103Ω ――2.2.传输线的特征阻抗Z c = 50Ω,负载阻抗Z L = 75 +75j Ω,用公式和圆图分别求:(1)与负载阻抗对应的负载导纳; (2)负载处的反射系数;(3)驻波系数与离开负载第一驻波最小点的位置Z L解:(1)Y L =Z L1=1501j -(2)ΓL=Z ZZ Z C LCL+-=j j 751257525++=171(7+6j) (3)70863.0)7/6arctan()0(==ψ rad离开负载第一驻波最小点的位置 d min =))0(1(4πψλ+=0.3064λ -- 2.3min1max min max min 80,50,5/,/4,/2,3/8,,I ,I L C L Z Z Z V d l V V ρλλλλ===参看图,负载电压,求驻波系数,驻波最小点位置传输线长度处的输入阻抗以及。
《电磁场与电磁波》答案(4) 一、判断题(每题2分,共20分)说明:请在题右侧的括号中作出标记,正确打√,错误打×1.在静电场中介质的极化强度完全是由外场的强度决定的。
2.电介质在静电场中发生极化后,在介质的表面必定会出现束缚电荷。
3.两列频率和传播方向相同、振动方向彼此垂直的直线极化波,合成后的波也必为直线极化波。
4.在所有各向同性的电介质中,静电场的电位满足泊松方程2ρϕε∇=-。
5.在静电场中导体内电场强度总是为零,而在恒定电场中一般导体内的电场强度不为零,只有理想导体内的电场强度为零。
6.理想媒质和损耗媒质中的均匀平面波都是TEM波。
7.对于静电场问题,保持场域内电荷分布不变而任意改变场域外的电荷分布,不会导致场域内的电场的改变。
8.位移电流是一种假设,因此它不能象真实电流一样产生磁效应。
9.静电场中所有导体都是等位体,恒定电场中一般导体不是等位体。
10.在恒定磁场中,磁介质的磁化强度总是与磁场强度方向一致。
二、选择题(每题2分,共20分)(请将你选择的标号填入题后的括号中)1. 判断下列矢量哪一个可能是静电场( A )。
[×]1 [ √]2 [ ×]3[ ×]4 [ √]5[ √]6 [ ×]7[ ×]8 [ √]9 [ ×]10A .369x y z E xe ye ze =++B .369x y z E ye ze ze =++C .369x y z E ze xe ye =++D .369x y zE xye yze zxe =++2. 磁感应强度为(32)x y z B axe y z e ze =+-+, 试确定常数a 的值。
( B ) A .0 B .-4 C .-2 D .-53. 均匀平面波电场复振幅分量为(/2)2-2jkz-2j kz xyE 10eE 510e、,则极化方式是( C )。
A .右旋圆极化B .左旋圆极化C .右旋椭圆极化D .左旋椭圆极化 4. 一无限长空心铜圆柱体载有电流I ,内外半径分别为R 1和R 2,另一无限长实心铜圆柱体载有电流I ,半径为R2,则在离轴线相同的距离r (r>R2)处( A )。
A .两种载流导体产生的磁场强度大小相同 B .空心载流导体产生的磁场强度值较大 C .实心载流导体产生的磁场强度值较大5. 在导电媒质中,正弦均匀平面电磁波的电场分量与磁场分量的相位( B )。
A .相等 B .不相等 C .相位差必为4π D .相位差必为2π6. 两个给定的导体回路间的互感 ( C )A .与导体上所载的电流有关B .与空间磁场分布有关C .与两导体的相对位置有关D .同时选A ,B ,C7. 当磁感应强度相同时,铁磁物质与非铁磁物质中的磁场能量密度相比( A )。
A .非铁磁物质中的磁场能量密度较大 B .铁磁物质中的磁场能量密度较大 C .两者相等 D .无法判断8. 一般导电媒质的波阻抗(亦称本征阻抗)c η的值是一个。
( C ) A .实数 B .纯虚数 C .复数 D .可能为实数也可能为纯虚数 9. 静电场在边界形状完全相同的两个区域上满足相同的边界条件,则两个区域中的场分布( C )。
A .一定相同B .一定不相同C .不能断定相同或不相同10. 静电场的唯一性定理是说:( C )。
A .满足给定拉普拉斯方程的电位是唯一的。
B .满足给定泊松方程的电位是唯一的。
C .既满足给定的泊松方程,又满足给定边界条件的电位是唯一的。
三、填空题(每空2分,共10分)1. Faraday 电磁感应现象的物理本质是: 变化的磁场将产生涡旋电场 。
2. 在时变场中的理想导体表面,磁场与表面 平行 。
3. 库仑规范0A ∇⋅=限制了矢量磁位A 的 多值性 。
4. 理想介质条件是: 均匀且各向同性的无耗媒质 。
5. 一半径为 a 的圆柱形导体在均匀外磁场中磁化后,导体内的磁化强度为0z M M e =, 则导体表面的磁化电流密度为0ms J M e φ=。
四、简答题(每题5分,共10分)1.镜像法的理论依据是什么用镜像法求解静电场问题的基本原理是什么镜像法的理论依据是静电场的唯一性定理。
根据这个定理,只要不改变场域内的电荷分布也不改变场域边界上的条件,就不会改变原电场的分布(2分)。
用镜像法求解静电场问题的的基本原理,就是用场域外的镜像电荷等效的取代场域的物理边界,也就是等效取代场域物理边界上的感应电荷或束缚电荷对域内电场的贡献,从而将有界空间问题转化为无界空间问题求解。
这种等效取代所应满足的条件就是,添加的域外电荷与原有电荷共同产生的场,在原场域边界上所满足的条件不变(3分)。
2.什么是传导电流、运流电流、位移电流;它们有什么区别和共同点传导电流是导电物质中,自由电荷在电场的作用下发生定向移动所形成的电流(1分);运流电流是在不导电的空间中,电荷随带电物体(或粒子)作机械运动而形成的电流(1分);位移电流是变化的电场产生的等效电流(1分)。
传导电流和运流电流都与电荷及其运动相联系,而位移电流与电荷无关,它们的共同之处在于都能产生磁效应(2分)。
五、推导和计算题(40分)1. (10分)由Maxwell 方程组出发,推导理想介质无源区内电场和磁场的波动方程。
解:Maxwell 方程组,,0,D BH J E B D t tρ∂∂∇⨯=+∇⨯=-∇⋅=∇⋅=∂∂ 在理想介质中,有:,,B H D E J E μεγ===,且,με为常量,0γ=无源区有: 0ρ=,所以Maxwell 方程组化为:,,0,0E H H E H E t tεμ∂∂∇⨯=∇⨯=-∇⋅=∇⋅=∂∂ (4分) 对第二式求旋度:22EE H t tμμε∂∂∇⨯∇⨯=-∇⨯=-∂∂ (2分) 而 ()22E E E E ∇⨯∇⨯=∇∇⋅-∇=-∇ (2分)故:2220E E t με∂∇-=∂ 同理:2220H H tμε∂∇-=∂ (2分) 此即电场和磁场的波动方程。
2. (10分)半径为0R 磁导率μ的无限长载流导体圆柱,电流密度为0z J J e =(0J 为常量,z 轴与圆柱体轴线重合)。
求导体表面磁化面电流密度ms J 。
解:采用圆柱面坐标系。
∵ 0z J J e = ∴ z A Ae = 由对称性知 ()A A r = ∴ ()z r z dA dAA A r e e e e dr drφ∇⨯=∇⨯=⨯=-, 因而 ()H H r e φ= (2分) 以原点为圆心,r 为半径,在oxy 平面作圆形闭合回路C ,且C 的绕行方向与z e 成右手螺旋关系。
由 0CsH dl J ds ⋅=⋅⎰⎰ (2分)其中 2CCH dl H dl H r π⋅==⎰⎰,20sJ ds J r π⋅=⎰∴ 012H J r =, 即 012H J r e φ= (2分) 00000012M B H H J r e φμμμμμμμ--=-== (2分) 00000000022ms rr z J M n M e J R e e J R e r R φμμμμμμ--=⨯=⨯=⨯=-= (2分)3. (10分)将一无穷大导体平板折成如图的90角并接地,两点电荷Q 1=Q 2=2C 分别位于如图的30和60射线上,离顶点距离均为1m ,现欲采用镜像法求两点电荷所在区域内的场。
(1)请在图中标出所有镜像电荷的位置。
(4分) (2)请写出各镜像电荷的电量。
(3分) (3)请写出各镜像电荷的坐标。
(3分)解:镜像电荷Q 3 、Q 4 、Q 5 、Q 6 、Q 7 、Q 8 的电量分别为:Q 3=Q 4=Q 7=Q 8=-2C, Q 5=Q 6=2C 各镜像电荷的坐标分别为:oQ 1Q 2Q 4Q 3Q 8Q 7Q 5Q 6Q 3: (12-,2), Q 4: (2-,12)Q 5: (12-), Q 6: (12-,Q 7: (12,8,12-)4. (10分)在81r ε=,1r μ=,4/S m γ=的导电媒质中,一正弦均匀平面波沿+z 传播,已知电场沿y 方向,频率3110f Hz =⨯,振幅2510/m E V m -=⨯。
(1)计算衰减系数α。
(1分) (2)计算相位系数β。
(1分) (3)计算波速v 。
(1分)(4)计算媒质的本征阻抗c η。
(1分) (5)写出电场的瞬时值表达式(,)E z t 。
(3分) (6)写出磁场的瞬时值表达式(,)H z t 。
(3分) 解:963484910101210819γπωεπ=⨯⨯⨯=⨯>>⨯⨯,该媒质是良导体。
24100.126(/)Np m απ-===⨯=24100.126(/)rad m βπ-==⨯=342210510(/)410v m s ωπβπ-⨯===⨯⨯22444410 4.4410()j j j j c e e ππππη--===⨯=⨯Ω224103220.126(,)cos()510cos(210410)510cos(20000.126)(/)z y m zy z y E z t e E e t z e et z e e t z V m απωβπππ----⨯---=-=⨯⨯-⨯=⨯-2410320.126(,)cos()||cos(210410)421.13cos(20000.126)(/)4z m xc z xz x E H z t e e t z e e t z e e t z A m απωβψηππππππ---⨯--=---=-⨯-⨯-=---。