电磁场与电磁波(第三版)课后答案第1章
- 格式:doc
- 大小:438.50 KB
- 文档页数:9
1电磁场与电磁波第⼀章习题答案第⼀章习题解答1.2给定三个⽮量A ,B ,C :A =x a +2y a -3z aB = -4y a +z aC =5x a -2z a求:⑴⽮量A 的单位⽮量A a ;⑵⽮量A 和B 的夹⾓AB θ;⑶A ·B 和A ?B ⑷A ·(B ?C )和(A ?B )·C ;⑸A ?(B ?C )和(A ?B )?C解:⑴A a =A A(x a +2y a -3z a )⑵cos AB θ =A ·B /A BAB θ=135.5o⑶A ·B =-11, A ?B =-10x a -y a -4z a⑷A ·(B ?C )=-42(A ?B )·C =-42⑸A ?(B ?C )=55x a -44y a -11z a (A ?B )?C =2x a -40y a +5z a1.3有⼀个⼆维⽮量场F(r) =x a (-y )+y a (x),求其⽮量线⽅程,并定性画出该⽮量场图形。
解:由dx/(-y)=dy/x,得2x +2y =c1.6求数量场ψ=ln (2x +2y +2z )通过点P (1,2,3)的等值⾯⽅程。
解:等值⾯⽅程为ln (2x +2y +2z )=c则c=ln(1+4+9)=ln14那么2x +2y +2z =141.9求标量场ψ(x,y,z )=62x 3y +z e 在点P (2,-1,0)的梯度。
解:由ψ?=x a x ψ??+y a y ψ??+z a z ψ??=12x 3y x a +182x 2y y a +z e z a 得ψ?=-24x a +72y a +z a1.10 在圆柱体2x +2y =9和平⾯x=0,y=0,z=0及z=2所包围的区域,设此区域的表⾯为S:⑴求⽮量场A 沿闭合曲⾯S 的通量,其中⽮量场的表达式为A =x a 32x +y a (3y+z )+z a (3z -x) ⑵验证散度定理。
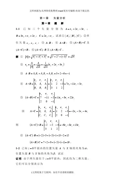
第一章 矢量分析第一章 题 解1-1已知三个矢量分别为z y e e e A x 32-+=;z y e e e B x 23++=;z e e C x -=2。
试求①|| |,| |,|C B A ;②单位矢量c b a e e e , ,;③B A ⋅;④B A ⨯;⑤C B A ⨯⨯)(及B C A ⨯⨯)(;⑥B C A ⋅⨯)(及C B A ⋅⨯)(。
解 ① ()14321222222=-++=++=z y x A A A A② ()z y e e e A A A e x a 3214114-+===③ 1623-=-+=++=⋅z z y y x x B A B A B A B A④ z y zy zyxz y xz y B B B A A A e e e e e e e e e B A x x x5117213321--=-==⨯ ⑤ ()z y z y e e e e e e C B A x x 223111025117+-=---=⨯⨯因z y zy zyxz y xC C C A A A e e e e e e e e e C A x x x x x45212321---=--==⨯ 则()z y z y e e e e e e B C A x x 1386213452+--=---=⨯⨯⑥ ()()()152131532=⨯+⨯-+⨯-=⋅⨯B C A()()()1915027=-⨯-++⨯=⋅⨯C B A 。
1-2 已知0=z 平面内的位置矢量A 与X 轴的夹角为α,位置矢量B 与X 轴的夹角为β,试证证明 由于两矢量位于0=z 平面内,因此均为二维矢量,它们可以分别表示为已知()βα-=⋅cos B A B A ,求得 即βαβαβαsin sin cos cos )cos(+=-1-3 已知空间三角形的顶点坐标为)2 ,1 ,0(1-P ,)3 ,1 ,4(2-P 及)5 ,2 ,6(3P 。
第一章习题解答给定三个矢量、和如下:求:(1);(2);(3);(4);(5)在上的分量;(6);(7)和;(8)和。
解(1)(2)(3)-11(4)由,得(5)在上的分量(6)(7)由于所以(8)三角形的三个顶点为、和。
(1)判断是否为一直角三角形;(2)求三角形的面积。
解(1)三个顶点、和的位置矢量分别为,,则,,由此可见故为一直角三角形。
(2)三角形的面积求点到点的距离矢量及的方向。
解,,则且与、、轴的夹角分别为给定两矢量和,求它们之间的夹角和在上的分量。
解与之间的夹角为在上的分量为给定两矢量和,求在上的分量。
解所以在上的分量为证明:如果和,则;解由,则有,即由于,于是得到故如果给定一未知矢量与一已知矢量的标量积和矢量积,那么便可以确定该未知矢量。
设为一已知矢量,而,和已知,试求。
解由,有故得在圆柱坐标中,一点的位置由定出,求该点在:(1)直角坐标中的坐标;(2)球坐标中的坐标。
解(1)在直角坐标系中、、故该点的直角坐标为。
(2)在球坐标系中、、故该点的球坐标为用球坐标表示的场,(1)求在直角坐标中点处的和;(2)求在直角坐标中点处与矢量构成的夹角。
解(1)在直角坐标中点处,,故(2)在直角坐标中点处,,所以故与构成的夹角为球坐标中两个点和定出两个位置矢量和。
证明和间夹角的余弦为解由得到一球面的半径为,球心在原点上,计算:的值。
解在由、和围成的圆柱形区域,对矢量验证散度定理。
解在圆柱坐标系中所以又故有求(1)矢量的散度;(2)求对中心在原点的一个单位立方体的积分;(3)求对此立方体表面的积分,验证散度定理。
解(1)(2)对中心在原点的一个单位立方体的积分为(3)对此立方体表面的积分故有计算矢量对一个球心在原点、半径为的球表面的积分,并求对球体积的积分。
解又在球坐标系中,,所以求矢量沿平面上的一个边长为的正方形回路的线积分,此正方形的两边分别与轴和轴相重合。
再求对此回路所包围的曲面积分,验证斯托克斯定理。
第一章习题解答【习题Ll解】【习题L2解】【习题L3解】(1)要使ALR,则须散度A-B=O所以从Z∙5=T+3H8c=0可得:3b+8c=l即只要满足3b÷8c=l就可以使向量二和向量了垂直。
(2)要使4||月,则须旋度AxB=O所以从可得b=-3,c=-8【习题1・4解】A=I2以+9e y+6z,B=CIeX+be y,因为3JLA,所以应有A∙3=0g∣j(12久+9e y+e z^∙^ae x+Z?Gy)=12Q+9/?=0(I)又因为同=1;所以病存=1;(2)一4由⑴,⑵解得Q=±《,"=+W【习题1.5解】由矢量积运算规则4_B=A?C a x a2a3=(%Z-+(a3x-a x z)e y+(01y-a2x)e7xyz =8名+纥5+BZeZ取一线元:dl=e x dx+e y dy+e z dz则有dx_dy_dz则矢量线所满足的微分方程为丁二万一=Hιy xy"z或写成=常数)a2z-a3ya3x-a l za↑y-a2x求解上面三个微分方程:可以直接求解方程,也可以采用以下方法d(qx)="(/丁)二d(%z)a i a2z-a i a3ya2a3x-a l a2za l a3y-a2a i xxdx_ydy_ZdZx(a2z-a3y)y{a3x-a x z)z(a l y-a2x)由(1)(2)式可得d(a2y)=k(a2a3x-aλa2z)ydy=k(a3xy-a}yz)(4)对⑶⑷分别求和所以矢量线方程为【习题L6解】矢量场A=(αxz+x2)eχ+Sy+孙2)0+{z-z1-∖-cxz-2xyz)e z假设A是一个无源场,则应有divΛ=O即:divA=V•4=空L+空L+空■=O∂x∂y∂z因为A=axz+X2∕ξ=by+xy1A z=z-z1+cxz-2xyzx所以有divA=az+2x+b+2xy+l-2z+cχ-2xy=X(2+c)÷z(a-2)+b+l=0 得a=2,b=-1,c=-2【习题1.7解】设矢径r的方向与柱面垂直,并且矢径不到柱面的距离相等(r=a)f∙ds-[rds=a∖ds=a2πah所以,①=S JSJS【习题1.8解】φ=3X2y i A=X2yze v+3xy2e^而rot((∕A)=Vx(以)=×A÷V^×A又=巴?十3?+再等=6xye x+3jc2e y ox-oy∂z所以+9x3y2e v-lSx2y3e v+6x3y2ze z=3X2y2[(9X一X2)e x-9yeγ+4xze z]【习题1.9解】所以&CyCzrotA=VXA=———∂x∂y∂zA x A y A(-1+1)&+(4/Z-4xz)e、+(2y-2y)&=6由于场H的旋度处处等于0,所以矢量场A为无旋场。
1.1 已知z y x B z y x A ˆ2ˆˆ;ˆˆ3ˆ2-+=-+=,求:(a) A 和B 的大小(模); (b) A 和B 的单位矢量;(c)B A⋅;(d)B A⨯;(e)A 和B 之间的夹角;(f) A 在B 上的投影。
解:(a) A 和B 的大小74.314132222222==++=++==z y x A A A A A 45.26211222222==++=++==z y x B B B B B(b) A 和B 的单位矢量z y x z y x A A aˆ267.0ˆ802.0ˆ535.0)ˆˆ3ˆ2(74.31ˆ-+=-+==z y x z y x B B bˆ816.0ˆ408.0ˆ408.0)ˆ2ˆˆ(45.21ˆ-+=-+==(c)A B ⋅7232=++=++=⋅z z y y x x B A B A B A B A(d) B A ⨯z y xzy x B B B A A A z y xB A zyxz y xˆˆ3ˆ5211132ˆˆˆˆˆˆ-+-=--==⨯(e)A 和B 之间的夹角α根据αcos AB B A =⋅得764.0163.97cos ==⋅=AB B A α 019.40=α (f) A 在B 上的投影86.245.27ˆ==⋅=⋅B B A bA1.2如果矢量A 、B 和C 在同一平面,证明A ·(B ⨯C )=0。
证明:设矢量A 、B 和C 所在平面为xy 平面y A x A A y x ˆˆ+=y B xB B y x ˆˆ+=y C xC C y x ˆˆ+=z C B C B y C B C B x C B C B C C C B B B zy xC B x y y x z x x z y z z y zyxz y xˆ)(ˆ)(ˆ)(ˆˆˆ-+-+-==⨯zC B C B x y y x ˆ)(-= 0ˆˆ)(0)(=⋅-⨯=⨯⋅z zC B C B C B A x y y x1.3已知A =ααsin ˆcos ˆy x+、B ββsin ˆcos ˆy x -=和C ββsin ˆcos ˆy x +=,证明这三个矢量都是单位矢量,且三个矢量是共面的。
电磁场与电磁波第三版课后答案本文是对《电磁场与电磁波》第三版的课后习题答案的整理与解答。
本书是电磁场与电磁波领域的经典教材,其中的习题对于巩固和加深对电磁场与电磁波知识的理解非常重要。
以下是本文对第三版的习题答案的详细解析。
第一章电磁场基本概念1.1 电磁场基本概念习题答案:1.电磁场的基本概念是指在空间中存在着电场和磁场,它们相互作用产生相互关联的现象;它们是由带电粒子的运动而产生的,是物理学的基本概念之一。
2.宏观电荷位移是指电荷在物体内部的移动;它的存在使得物体表面或其周围的电场产生变化,从而产生an内部电磁场。
3.电磁场的基本方程是麦克斯韦方程组,由四个方程组成:高斯定律、法拉第电磁感应定律、法拉第电磁感应定律的积分形式和安培环路定律。
1.2 矢量分析习题答案:1.根据题目所给的向量,求两个向量的点乘积:$\\vec{A}\\cdot\\vec{B}=A_{x}B_{x}+A_{y}B_{y}+A_{z}B_{ z}$2.根据题目所给的向量,求两个向量的叉乘积:$\\vec{A}\\times\\vec{B}=(A_{y}B_{z}-A_{z}B_{y})\\hat{i}+(A_{z}B_{x}-A_{x}B_{z})\\hat{j}+(A_{x}B_{y}-A_{y}B_{x})\\hat{k}$3.定义标量和矢量场,然后利用高斯定理得出结论。
1.3 电场与静电场习题答案:1.静电场是指电场的源是静止电荷,不会随时间变化,不产生磁场。
2.在静电场中,高斯定律表示为:$\ abla \\cdot\\vec{E} = \\frac{1}{\\varepsilon_0}\\rho$,其中$\ abla\\cdot \\vec{E}$表示电场的散度,$\\varepsilon_0$表示真空介电常数,$\\rho$表示电荷密度。
3.电场的位移矢量$\\vec{D}$定义为$\\vec{D} =\\varepsilon_0 \\vec{E} + \\vec{P}$,其中$\\varepsilon_0$表示真空介电常数,$\\vec{E}$表示电场强度,$\\vec{P}$表示极化强度。
第一章 矢量场1.1 z y x C z y x B z y xA ˆˆˆ3;ˆ2ˆˆ;ˆˆ3ˆ2+-=-+=-+=ρρρ 求:(a) A ; (b) ∃b ; (c) ρρA B ⋅ ; (d) ρρB C ⨯ ; (e) ()ρρρA B C ⨯⨯ (f)()ρρρA B C ⨯⋅ 解:(a) 14132222222=++=++=z y x A A A A ; (b) )ˆ2ˆˆ(61ˆz y x BB b -+==ρρ( c) 7=⋅B A ρρ; (d) z y xC B ˆ4ˆ7ˆ---=⨯ρρ (e)z y x C B A ˆ4ˆ2ˆ2)(-+=⨯⨯ρρρ (f)19)(-=⋅⨯C B A ρρρ 1.2 ρA z =++2∃∃∃ρπϕ; ρB z =-+-∃∃∃ρϕ32 求:(a) A ; (b) ∃b ; (c) ρρA B ⋅ ; (d) ρρB A ⨯ ; (e) B A ρρ+解:(a) 25π+=A ;(b) )ˆ2ˆ3ˆ(141ˆz b -+-=ϕρ;(c) 43-=⋅πB A ρρ (d) z A B ˆ)6(ˆ3ˆ)23(+--+=⨯πϕρπρρ (e) z B A ˆˆ)3(ˆ-++=+ϕπρρρ 1.3 ρA r=+-22∃∃∃πθπϕ; ρB r =-∃∃πθ 求:(a) A ; (b) ∃b ; (c) ρρA B ⋅ ; (d) ρρB A ⨯ ; (e) ρρA B +解:(a) 254π+=A ; (b) )ˆˆ(11ˆ2θππ-+=r b ; (c) 22π-=⋅B A ρρ ; (d) ϕπθππˆ3ˆ2ˆ22++=⨯rA B ρρ ; (e) ϕπˆ2ˆ3-=+r B A ρρ 1.4 ρA x y z =+-∃∃∃2; ρB x y z =+-α∃∃∃3 当ρρA B ⊥时,求α。
解:当ρρA B ⊥时,ρρA B ⋅=0, 由此得 5-=α1.5 将直角坐标系中的矢量场ρρF x y z xF x y z y 12(,,)∃,(,,)∃==分别用圆柱和圆球坐标系中的坐标分量表示。
第一章 习题解答1.2给定三个矢量A ,B ,C : A =x a +2y a -3z a B = -4y a +z aC =5x a -2za求:错误!未找到引用源。
矢量A 的单位矢量A a ; 错误!未找到引用源。
矢量A 和B 的夹角AB θ; 错误!未找到引用源。
A ·B 和A ⨯B错误!未找到引用源。
A ·(B ⨯C )和(A ⨯B )·C ;错误!未找到引用源。
A ⨯(B ⨯C )和(A ⨯B )⨯C解:错误!未找到引用源。
A a =A A=(x a +2y a -3z a ) 错误!未找到引用源。
cos AB θ=A ·B /A BAB θ=135.5o错误!未找到引用源。
A ·B =-11, A ⨯B =-10x a -y a -4z a 错误!未找到引用源。
A ·(B ⨯C )=-42(A ⨯B )·C =-42错误!未找到引用源。
A ⨯(B ⨯C )=55x a -44y a -11z a(A ⨯B )⨯C =2x a -40y a +5z a1.3有一个二维矢量场F(r)=x a (-y )+y a (x),求其矢量线方程,并定性画出该矢量场图形。
解:由dx/(-y)=dy/x,得2x +2y =c1.6求数量场ψ=ln (2x +2y +2z )通过点P (1,2,3)的等值面方程。
解:等值面方程为ln (2x +2y +2z )=c 则c=ln(1+4+9)=ln14 那么2x +2y +2z =141.9求标量场ψ(x,y,z )=62x 3y +ze 在点P (2,-1,0)的梯度。
解:由ψ∇=x a x ψ∂∂+y a y ψ∂∂+z a zψ∂∂=12x 3y x a +182x 2y y a +ze z a 得ψ∇=-24x a +72y a +z a1.10 在圆柱体2x +2y =9和平面x=0,y=0,z=0及z=2所包围的区域,设此区域的表面为S: 错误!未找到引用源。
第一章习题解答【习题1.1解】222222222222222222222222222222222222cos cos cos cos cos cos 1xx x y z yx y z z x y z x y z x y z x y z x y z x y z x y z 矢径r 与轴正向的夹角为,则同理,矢径r 与y 轴正向的夹角为,则矢径r 与z 轴正向的夹角为,则可得从而得证a a b b g g a b g =++=++=++++=++++++++++==++【习题1.2解】924331329(243)54(9)(243)236335x y z x y z x y z x y z x y z x y z x y z x y z A B e e e e e e e e e A B e e e e e e e e e A B e e e e e e A B +=--+-+=-+=----+=---∙=--∙-+=+-=⨯()()-()(9)(243)19124331514x y z x y z x y z x y ze e e e e e e e e e e e =--⨯-+=---=--+【习题1.3解】已知,38,x y z x y z A e be ce B e e e =++=-++ (1)要使A B ⊥,则须散度 0A B =所以从 1380A B b c =-++=可得:381b c += 即只要满足3b+8c=1就可以使向量和向量垂直。
(2)要使A B ,则须旋度 0A B ⨯= 所以从1(83)(8)(3)0138xy zx y z e e e A B b c b c e c e b e ⨯==--+++=- 可得 b=-3,c=-8 【习题1.4解】已知129x y z A e e e =++,x y B ae be =+,因为B A ⊥,所以应有0A B ∙= 即()()1291290xy z x y ee e ae be a b ++∙+=+= ⑴又因为 1B =; 所以221a b +=; ⑵由⑴,⑵ 解得 34,55a b =±=【习题1.5解】由矢量积运算规则123233112()()()x y zx y z x x y y z ze e e A Ca a a a z a y e a x a z e a y a x e xyzB e B e B e B =?=-+-+-=++取一线元:x y z dl e dx e dy e dz =++则有xy z xyz e e e dlB B B dx dy dzB ?=则矢量线所满足的微分方程为 x y zd x d y d z B B B == 或写成233112()dx dy dzk a z a y a x a z a y a x==---=常数 求解上面三个微分方程:可以直接求解方程,也可以采用下列方法k xa a y a a z a d z a a x a a y a d y a a z a a x a d =-=-=-323132132231211)()()( (1)k x a y a z zdzz a x a y ydy y a z a x xdx =-=-=-)()()(211332 (2)由(1)(2)式可得)()(31211y a a x a a k x a d -=)()(21322z a a x a a k y a d -= (3) )()(32313x a a y a a k z a d -= )(32xy a xz a k xdx -=)(13yz a xy a k ydy -= (4))(21xz a yz a k zdz -=对(3)(4)分别求和0)()()(321=++z a d y a d x a d 0)(321=++z a y a x a d0=++zdz ydy xdx 0)(222=++z y x d所以矢量线方程为1321k z a y a x a =++ 2222k z y x =++【习题1.6解】已知矢量场222()()(2)x y z A axz x e by xy e z z cxz xyz e =++++-+- 若 A 是一个无源场 ,则应有 div A =0即: div A =0y x zA A A A x y z∂∂∂∇⋅=++=∂∂∂ 因为 2x A axz x =+ 2y A by xy =+ 22z A z z cxz xyz =-+- 所以有div A =az+2x+b+2xy+1-2z+cx-2xy =x(2+c)+z(a-2)+b+1=0 得 a=2, b= -1, c= - 2 【习题1.7解】设矢径 r 的方向与柱面垂直,并且矢径 r到柱面的距离相等(r =a )所以,2sssr ds rds a ds a ah πΦ===⎰⎰⎰=22a h π=【习题1.8解】已知23x y φ=,223yz A x yze xy e =+ 而 A A A A rot⨯∇+⨯∇=⨯∇=φφφφ)()(2222(6)3203xy zx y ze e e A xy x y e y e xyze x y z x yz xy ∂∂∂∇⨯==--+∂∂∂ 2223[(6)32]x y z A x y xy x y e y e xyze φ∴∇⨯=--+又y x z y xe x e xy ze y e x e 236+=∂∂+∂∂+∂∂=∇φφφφ 232233222630918603xy z x y z e e e A xyx x y e x y e x y ze x yz xy φ∇⨯==-+所以222()3[(6)32]x y z rot A A A x y xy x y e y e xyze φφφ=∇⨯+∇⨯=--+ +z y x e z y x e y x e y x 2332236189+-=]49)9[(3222z y x e xz e y e x x y x+--【习题1.9解】已知 222(2)(2)(22)x y zA y x z e x y z e x z y z e =++-+-+ 所以()()1144(22)0xyzyy x x z z x y z x yzx y z A A A A A A rot A A x y z y z z x x y A A A xz xz y y e e ee e e e e e ∂∂⎛⎫⎛⎫∂∂∂∂∂∂∂⎛⎫=∇⨯==-+-+- ⎪ ⎪ ⎪∂∂∂∂∂∂∂∂∂⎝⎭⎝⎭⎝⎭-++-+-=由于场A 的旋度处处等于0,所以矢量场A 为无旋场。
《电磁场与电磁波》知识点及参考答案第1章 矢量分析1、如果矢量场F 的散度处处为0,即0F∇⋅≡,则矢量场是无散场,由旋涡源所产生,通过任何闭合曲面S 的通量等于0。
2、如果矢量场F 的旋度处处为0,即0F ∇⨯≡,则矢量场是无旋场,由散度源所产生,沿任何闭合路径C 的环流等于0。
3、矢量分析中的两个重要定理分别是散度定理(高斯定理)和斯托克斯定理, 它们的表达式分别是:散度(高斯)定理:SVFdV F dS ∇⋅=⋅⎰⎰和斯托克斯定理:sCF dS F dl∇⨯⋅=⋅⎰⎰。
4、在有限空间V 中,矢量场的性质由其散度、旋度和V 边界上所满足的条件唯一的确定。
( √ )5、描绘物理状态空间分布的标量函数和矢量函数,在时间为一定值的情况下,它们是唯一的。
( √ )6、标量场的梯度运算和矢量场的旋度运算都是矢量。
( √ )7、梯度的方向是等值面的切线方向。
(× )8、标量场梯度的旋度恒等于0。
( √ ) 9、习题1.12, 1.16。
第2章 电磁场的基本规律(电场部分)1、静止电荷所产生的电场,称之为静电场;电场强度的方向与正电荷在电场中受力的方向相同。
2、在国际单位制中,电场强度的单位是V/m(伏特/米)。
3、静电系统在真空中的基本方程的积分形式是:V V sD d S d V Q ρ⋅==⎰⎰和0lE dl ⋅=⎰。
4、静电系统在真空中的基本方程的微分形式是:V D ρ∇⋅=和0E∇⨯=。
5、电荷之间的相互作用力是通过电场发生的,电流与电流之间的相互作用力是通过磁场发生的。
6、在两种媒质分界面的两侧,电场→E 的切向分量E 1t -E 2t =0;而磁场→B 的法向分量B 1n -B 2n =0。
7、在介电常数为e 的均匀各向同性介质中,电位函数为 2211522x y z ϕ=+-,则电场强度E=5x y zxe ye e --+。
8、静电平衡状态下,导体内部电场强度、磁场强度等于零,导体表面为等位面;在导体表面只有电场的法向分量。
第一章习题解答1.1 给定三个矢量A 、B 和C 如下:23x y z =+-A e e e4y z =-+B e e52x z =-C e e求:(1)A a ;(2)-A B ;(3)A B g ;(4)AB θ;(5)A 在B 上的分量;(6)⨯A C ;(7)()⨯A B C g 和()⨯A B C g ;(8)()⨯⨯A B C 和()⨯⨯A B C 。
解 (1)23A x y z +-===-e e e A a e e e A(2)-=A B (23)(4)x y z y z +---+=e e e ee 64x y z +-=e e e (3)=A B g (23)x y z +-e e e (4)y z -+=e e g -11(4)由cos AB θ===A B A B g ,得1cos AB θ-=(135.5=o(5)A 在B 上的分量 B A =A cos AB θ==A B B g(6)⨯=A C 123502xy z-=-e e e 41310x y z ---e e e(7)由于⨯=B C 041502x y z-=-e e e 8520x y z ++e e e⨯=A B 123041xyz-=-e e e 1014x y z ---e e e所以 ()⨯=A B C g (23)x y z +-e e e g (8520)42x y z ++=-e e e()⨯=A B C g (1014)x y z ---e e e g (52)42x z -=-e e(8)()⨯⨯=A B C 1014502x y z---=-e e e 2405x y z -+e e e()⨯⨯=A B C 1238520x y z -=e e e 554411x y z --e e e1.2 三角形的三个顶点为1(0,1,2)P -、2(4,1,3)P -和3(6,2,5)P 。
(1)判断123PP P ∆是否为一直角三角形; (2)求三角形的面积。
第一章习题解答1.1 给定三个矢量A 、B 和C 如下: 23x y z =+-A e e e4y z =-+B e e52x z =-C e e求:(1)A a ;(2)-A B ;(3)A B ;(4)AB θ;(5)A 在B 上的分量;(6)⨯A C ;(7)()⨯A BC 和()⨯A BC ;(8)()⨯⨯A BC 和()⨯⨯A B C 。
解 (1)23A x y z+-===e e e A a ee e A (2)-=A B (23)(4)x y z y z +---+=e e e e e 64x y z +-e e e (3)=A B (23)x y z +-e e e (4)y z -+=e e -11 (4)由cos AB θ=14-==⨯A B A B ,得1cos ABθ-=(135.5= (5)A 在B 上的分量 B A =A cos AB θ=1117=-A B B (6)⨯=A C 123502xy z-=-e e e 41310x y z ---e e e (7)由于⨯=B C 041502x yz-=-e e e 8520x y z ++e e e⨯=A B 123041x y z-=-e e e 1014x y z ---e e e所以 ()⨯=A B C (23)x y z +-e e e (8520)42x y z ++=-e e e ()⨯=A B C (1014)x y z ---e e e (52)42x z -=-e e(8)()⨯⨯=A B C 1014502x y z---=-e e e 2405x y z -+e e e()⨯⨯=A B C 1238520x y z -=e e e 554411x y z --e e e1.2 三角形的三个顶点为1(0,1,2)P -、2(4,1,3)P -和3(6,2,5)P 。
(1)判断123PP P ∆是否为一直角三角形; (2)求三角形的面积。
解 (1)三个顶点1(0,1,2)P -、2(4,1,3)P -和3(6,2,5)P 的位置矢量分别为 12y z =-r e e ,243x y z =+-r e e e ,3625x y z =++r e e e 则 12214x z =-=-R r r e e , 233228x y z =-=++R r r e e e ,311367x y z =-=---R r r e e e由此可见1223(4)(28)0x z x y z =-++=R R e e e e e故123PP P ∆为一直角三角形。
(2)三角形的面积122312231117.1322S =⨯=⨯==R R R R 1.3 求(3,1,4)P '-点到(2,2,3)P -点的距离矢量R 及R 的方向。
解 34P x y z '=-++r e e e ,223P x y z =-+r e e e ,则 53P P P P x y z ''=-=--R r r e e e 且P P 'R 与x 、y 、z 轴的夹角分别为11cos ()cos 32.31x P P xP P φ--''===e R R 11cos ()cos 120.47y P P yP P φ'--'===e R R11cos ()cos (99.73z P P z P P φ--''===e R R1.4给定两矢量234x y z =+-A e e e 和456x y z =-+B e e e ,求它们之间的夹角和A 在B 上的分量。
解 A 与B 之间的夹角为 11cos ()cos 131θ--===AB A B A B A 在B 上的分量为 313.53277B A -===-B AB 1.5 给定两矢量234x y z =+-A e e e 和64x y z =--+B e e e ,求⨯A B 在x y z =-+C e e e 上的分量。
解 ⨯=A B 234641xy z-=--e e e 132210x y z -++e e e 所以⨯A B 在C 上的分量为 ()⨯=C A B ()2514.433⨯=-=-A B C C1.6 证明:如果A B =A C 和⨯=A B ⨯A C ,则=B C ; 解 由⨯=A B ⨯A C ,则有()()⨯⨯=⨯⨯A A B A A C ,即()()()()-=-A B A A A B A C A A A C由于A B =A C ,于是得到 ()()=A A B A A C 故 =B C1.7 如果给定一未知矢量与一已知矢量的标量积和矢量积,那么便可以确定该未知矢量。
设A 为一已知矢量,p =A X 而=⨯P A X ,p 和P 已知,试求X 。
解 由=⨯P A X ,有()()()()p ⨯=⨯⨯=-=-A P A A X A X A A A X A A A X故得 p -⨯=A A P X A A 1.8 在圆柱坐标中,一点的位置由2(4,,3)3π定出,求该点在:(1)直角坐标中的坐标;(2)球坐标中的坐标。
解 (1)在直角坐标系中 4cos(23)2x π==-、4sin(23)y π==3z =故该点的直角坐标为(2,-。
(2)在球坐标系中 5r ==、1tan (43)53.1θ-==、2120φπ== 故该点的球坐标为(5,53.1,120)1.9 用球坐标表示的场225rr =E e , (1)求在直角坐标中点(3,4,5)--处的E 和x E ;(2)求在直角坐标中点(3,4,5)--处E 与矢量22x y z =-+B e e e 构成的夹角。
解 (1)在直角坐标中点(3,4,5)--处,2222(3)4(5)50r =-++-=,故22512rr ==E e1cos220x x rx E θ====-e E E(2)在直角坐标中点(3,4,5)--处,345x y z =-+-r e e e ,所以233452525r r -+-===e e e r E故E 与B 构成的夹角为 11cos ()cos (153.63θ--===EB E B E B 1.10 球坐标中两个点111(,,)r θφ和222(,,)r θφ定出两个位置矢量1R 和2R 。
证明1R 和2R 间夹角的余弦为121212cos cos cos sin sin cos()γθθθθφφ=+-解 由 111111111sin cos sin sin cos x y z r r r θφθφθ=++R e e e222222222sin cos sin sin cos x y z r r r θφθφθ=++R e e e得到 1212cos γ==R R R R1122112212sin cos sin cos sin sin sin sin cos cos θφθφθφθφθθ++=121211212sin sin (cos cos sin sin )cos cos θθφφφφθθ++= 121212sin sin cos()cos cos θθφφθθ-+1.11 一球面S 的半径为5,球心在原点上,计算: (3sin )d r Sθ⎰e S 的值。
解(3sin )d (3sin )d rrrSSS θθ==⎰⎰e S e e2220d 3sin 5sin d 75ππφθθθπ⨯=⎰⎰1.12 在由5r =、0z =和4z =围成的圆柱形区域,对矢量22r z r z =+A e e 验证散度定理。
解 在圆柱坐标系中 21()(2)32rr z r r r z∂∂∇=+=+∂∂A 所以 4250d d d (32)d 1200z r r r πττφπ∇=+=⎰⎰⎰⎰A 又2d (2)(d d d )r z r r z z SSr z S S S φφ=+++=⎰⎰A S e e e e e42522000055d d 24d d 1200z r r ππφφπ⨯+⨯=⎰⎰⎰⎰故有d 1200ττπ∇=⎰A d S=⎰A S 1.13 求(1)矢量22222324x y z x x y x y z =++A e e e 的散度;(2)求∇A 对中心在原点的一个单位立方体的积分;(3)求A 对此立方体表面的积分,验证散度定理。
解 (1)2222232222()()(24)2272x x y x y z x x y x y z x y z∂∂∂∇=++=++∂∂∂A(2)∇A 对中心在原点的一个单位立方体的积分为12121222221212121d (2272)d d d 24x x y x y z x y z ττ---∇=++=⎰⎰⎰⎰A (3)A 对此立方体表面的积分1212112221212121211d ()d d ()d d 22Sy z y z ----=--+⎰⎰⎰⎰⎰A S1212121222221212112112()d d 2()d d 22x x z x x z ------+⎰⎰⎰⎰ 12112122232231212121211124()d d 24()d d 2224x y x y x y x y ------=⎰⎰⎰⎰ 故有1d 24ττ∇=⎰A d S=⎰A S1.14 计算矢量r 对一个球心在原点、半径为a 的球表面的积分,并求∇r 对球体积的积分。
解223d d d sin d 4r SSS aa a ππφθθπ===⎰⎰⎰⎰r S r e 又在球坐标系中,221()3r r r r∂∇==∂r ,所以 223000d 3sin d d d 4ar r a ππττθθφπ∇==⎰⎰⎰⎰r 1.15 求矢量22x y z x x y z =++A e e e 沿xy 平面上的一个边长为2的正方形回路的线积分,此正方形的两边分别与x 轴和y 轴相重合。
再求∇⨯A 对此回路所包围的曲面积分,验证斯托克斯定理。
解22222d d d 2d 0d 8Cx x x x y y =-+-=⎰⎰⎰⎰⎰A l又 2222xy zx z yz x x y z xx y z∂∂∂∇⨯==+∂∂∂e e e A e e 所以 2200d (22)d d 8xzzSyz x x y ∇⨯=+=⎰⎰⎰A S e e e故有d 8C=⎰A l d S=∇⨯⎰A S1.16 求矢量2x y x xy =+A e e 沿圆周222x y a +=的线积分,再计算∇⨯A 对此圆面积的积分。
解2d d d CCx x xy y =+=⎰⎰A l 242422(cos sin cos sin )d 4a aa ππφφφφφ-+=⎰d ()d yx z z S S A A S x y ∂∂∇⨯=-=∂∂⎰⎰A S e e 2422200d sin d d 4a S a y S r r r ππφφ==⎰⎰⎰ 1.17 证明:(1)3∇=R ;(2)∇⨯=R 0;(3)()∇=A R A 。