求一均匀带电球面的电场能量
- 格式:ppt
- 大小:1.20 MB
- 文档页数:26
第四章 电 场一、常见带电体的场强、电势分布2)均匀带电球面(球面半径 )的电场:3)无限长均匀带电直线(电荷线密度为): E = ,方向:垂直于带电直线。
2r( rR ) 4)无限长均匀带电圆柱面(电荷线密度为):E =2r (rR )5)无限大均匀带电平面(电荷面密度为)的电场: E =/20 ,方向:垂直于平面。
二、静电场定理 1、高斯定理:e = ÑE v dS v = q 静电场是有源场。
Sq 指高斯面内所包含电量的代数和;E 指高斯面上各处的电场强度,由高斯面内外的全 部电荷产生; Ñ E vdS v 指通过高斯面的电通量,由高斯面内的电荷决定。
2、环路定理: Ñ E v dl v =0 静电场是保守场、电场力是保守力,可引入电势能三、求场强两种方法1、利用场强势叠加原理求场强 分离电荷系统: E v = E v i ;连续电荷系统: E v = dE v i =12、利用高斯定理求场强 四、求电势的两种方法n1、利用电势叠加原理求电势 分离电荷系统:U =U i ;连续电荷系统: U = dU i =1电势零点v v 2、利用电势的定义求电势 U =电势零点Edl五、应用vv b点电荷受力: F = qE电势差: U ab =U a -U b = b EdraE =1 qU =q4r 24r1)点电荷:E =0 (rR ) q2 (rR ) 4r 2U =q (r R ) 4r q (r R ) 4Ra 点电势能:W a = qU a由 a 到 b 电场力做功等于电势能增量的负值 A ab = -W = -(W b -W a )六、导体周围的电场1、静电平衡的充要条件: 1)、导体内的合场强为 0,导体是一个等势体。
2)、导体表面的场强处处垂直于导体表面。
E v ⊥表面。
导体表面是等势面。
2、静电平衡时导体上电荷分布: 1)实心导体: 净电荷都分布在导体外表面上。
大学物理?试题及参考答案一、填空题〔每空1分、共20分〕1.某质点从静止出发沿半径为m R 1=的圆周运动,其角加速度随时间的变化规律是t t 6122-=β(SI) ,那么该质点切向加速度的大小为 。
2.真空中两根平行的无限长载流直导线,分别通有电流1I 和2I ,它们之间的间隔 为d ,那么每根导线单位长度受的力为 。
3.某电容器电容F C μ160=,当充电到100V 时,它储存的能量为____________焦耳。
4.一个均匀带电球面,半径为10厘米,带电量为2×109-库仑。
在距球心6厘米处的场强为__________。
5.一平行板电容器充电后切断电源。
假设使两极板间间隔 增加,那么两极板间场强E __________,电容C__________。
〔选填:增加、不变、减少〕6.一质量为m ,电量为q 的带电粒子以速度v 与磁感应强度为B 的磁场成θ角进入时,其运动的轨迹为一条等距螺旋,其盘旋半径R 为____________ ,周期T 为__________,螺距H 为__________。
7. 真空中一个边长为a 的正方体闭合面的中心,有一个带电量为Q 库仑的点电荷。
通过立方体每一个面的电通量为____________。
8.电力线稀疏的地方,电场强度 。
稠密的地方,电场强度 。
9. 均匀带电细圆环在圆心处的场强为 。
10.一电偶极子,带电量为q=2×105-库仑,间距L =0.5cm ,那么它的电距为________库仑米11.一空心圆柱体的内、外半径分别为1R ,2R ,质量为m 〔SI 单位〕.那么其绕中心轴竖直轴的转动惯量为____________。
12.真空中的两个平行带电平板,板面面积均为S ,相距为d 〔S d 〈〈〕,分别带电q + 及q -,那么两板间互相作用力F 的大小为____________。
13.一个矩形载流线圈长为a 宽为b ,通有电流I ,处于匀强磁场B 中。
《大学物理》课后习题答案习题4-12HLh4-12 一个器壁竖直的开口水槽,如图所示,水的深度为H =10m ,在水面下h =3m 处的侧壁开一个小孔。
试求:(1)从小孔射出的水流在槽底的水平射程L 是多少?(2)h 为何值时射程最远?最远射程是多少? 解:(1)设水槽表面压强为p 1,流速为v 1,高度为h 1,小孔处压强为p 2,流速为v 2,高度为h 2,由伯努利方程得:222212112121gh v p gh v p ρρρρ++=++ 根据题中的条件可知: 21121,0,h h h v p p p -==== 由上式解得:gh v 22=由运动学方程:221gt h H =-,解得: gh H t )(2-=水平射程为:)(m 17.9)310(34)(42=-⨯⨯=-==h H h t v L(2)根据极值条件,令0=dhdL ,L出现最大值, 即22=--hhH h H ,解得:h=5m此时L的最大值为10m 。
4-14 水在粗细不均匀的水平管中作稳定流解:刚性双原子气体分子的自由度5i = (1)氧气分子的平均平动动能 2321k331.3810(2730) 5.710J 22kT ε--==⨯⨯⨯+≈⨯ 平均转动动能2321t 22 1.3810(2730) 3.810J22kT ε--==⨯⨯⨯+≈⨯ (2)34.010kg-⨯氧气的内能323' 4.01058.312737.110J 232102m i E RT M --⨯==⨯⨯⨯≈⨯⨯ 34.010kg-⨯氦气的内能333' 4.01038.31273 3.410J 24102m i E RT M --⨯==⨯⨯⨯≈⨯⨯5-17 储有1mol 氧气(可视为刚性分子),容积为31m 的容器以110m s υ-=⋅速度运动,设容器突然停止,其中氧气的80%的机械运动动能转化为气体分子热运动动能。
试求气体的温度及压强各升高了多少?解:分子热运动增加的能量为23211'80%32101080% 1.28J 22E m v -∆=⨯=⨯⨯⨯⨯= 又由理想气体内能公式2i E RT ν=可得2iE R T ν∆=∆,则222 1.286.1610K 558.31E T R -∆⨯∆==≈⨯⨯由理想气体状态方程pV RT ν=可得28.31 6.16100.51Pa1R Tp V ν-∆⨯⨯∆==≈6-10 一压强为51.010Pa ⨯,体积为331.010m -⨯的氧气自0C 加热到100C ,问:(1)当压强不变时,需要多少热量?当体积不变时,需要多少热量?(2)在等压和等体过程中各作了多少功? 解:(1)压强不变,即等压过程:对初状态应用理想气体状态方程111p V RT ν= ,代入到p()2iQR R Tν=+∆中,得5311p 1 1.010 1.0105()()(1)100222732pV i i Q R R T R R T RT ν-⨯⨯⨯=+∆=+∆=⨯+⨯21.2810J=⨯体积不变时,即等体过程:对初状态应用理想气体状态方程111p V RT ν= ,代入到V2iQR T ν=∆中,得5311V 1 1.010 1.010510091.6J222732pV i i Q R T R T RT ν-⨯⨯⨯=∆=∆=⨯⨯≈(2)等体过程,系统对外不做功,即0J W =;r R r RE Or(D) E ∝1/r 222等压过程:内能的变化量91.6J 2iE R T ν∆=∆=,由热力学第一定律可得12891.636.4JW Q E =-∆=-=6-12 2mol 的理想气体在300K 时,从33410m -⨯等温压缩到33110m -⨯,求气体所做的功和放出的热量? 解:等温过程:E ∆=;3211ln28.31300ln 6.910J 4T T V Q W RT V ν===⨯⨯⨯≈-⨯ 6-17 一卡诺热机的低温热源温度为7C ,效率为40%,若要将其效率提高到50%,问高温热源的温度应提高多少?解:由21-1=T Tη得原高温热源的温度为 21280467K 110.4T T η===--50%η=时对应的高温热源的温度为21280'560K 1'10.5T T η===-- 高温热源应提高的温度为560K 467K =93K -7-2 半径为R 的均匀带电球面的静电场中各点的电场强度的大小E 与距球心的距离r 之间的关系曲线为[ ]。
真空静电场(一)一.选择题1. 一均匀带电球面,电荷面密度为σ,球面内电场强度处处为零,球面上面元dS 的一个带电量为dS σ的电荷元,在球面内各点产生的电场强度 [ ](A ) 处处为零 (B )不一定都为零 (C )处处不为零 (D )无法判断2. 设有一“无限大”均匀带负电荷的平面,取X 轴垂直带电平面,坐标原点位于带电平面上,则其周围空间各点的电场强度E 随距离平面的位置坐标X 变化的关系曲线为(规定场强方向沿X 轴方向为正,反之为负) []3. 下面列出的真空中静电场的场强公式,其中哪个是正确的? [ ](A ) 点电荷Q 的电场: 204QE r πε=(B ) 无限长均匀带电直线(线密度λ)的电场: 302E r rλπε= (C ) 无限大均匀带电平面(面密度σ)的电场:02E σε= (D ) 半径为R 的均匀带电球面(面密度σ)外的电场:230R E r r σε= 4. 将一个试验电荷Q (正电荷)放在带有负电荷的大导体附近P 点处,测得它所受的力为F 。
若考虑到电量Q 不是足够小,则 [ ](A) F/Q 比P 点处原先的场强数值大(B) F/Q 比P 点处原先的场强数值小(C) F/Q 与P 处原先的场强数值相等(D) F/Q 与P 处原先的场强数值关系无法确定。
5. 根据高斯定理的数学表达式0s q E dS ε=∑⎰可知下列各种说法中,正确的是 [ ] (A ) 闭合面内的电荷代数和为零时,闭合面上各点场强一定为零(B ) 闭合面内的电荷代数和不为零时,闭合面上各点场强一定处处不为零(C ) 闭合面内的电荷代数和为零时,闭合面上各点场强不一定处处为零(D ) 闭合面上各点场强均为零时,闭合面内一定处处无电荷6. 当带电球面上总的带电量不变,而电荷的分布作任意改变时,这些电荷在球心处产生的电场强度E 和电势U 将 [ ](A )E 不变,U 不变; (B )E 不变,U 改变;(C )E 改变,U 不变 (D ) E 改变,U 也改变7. 在匀强电场中,将一负电荷从A 移至B ,如图所示,则: [ ](A ) 电场力作正功,负电荷的电势能减少(B ) 电场力作正功,负电荷的电势能增加(C ) 电场力作负功,负电荷的电势能减少(D ) 电场力作负功,负电荷的电势能增加8. 真空中平行放置两块大金属平板,板面积均为S ,板间距离为d ,(d 远小于板面线度),板上分别带电量+Q 和-Q ,则两板间相互作用力为 [ ](A )2204Q d πε (B )220Q S ε (C )2205k Q S ε+ (D )2202Q S ε 二.填空题1 带有N 个电子的一个油滴,其质量为m ,电子的电量的大小为e ,在重力场中由静止开始下落(重力加速度为g ),下落中穿越一均匀电场区域,欲使油滴在该区域中匀速下落,则电场的方向为________________,大小为____________________。
第十章 静电场中的导体和电介质10–1 如图10-1所示,有两块平行无限大导体平板,两板间距远小于平板的线度,设板面积为S ,两板分别带正电Q a 和Q b ,每板表面电荷面密度σ1= ,σ2= ,σ3= ,σ4= 。
解:建立如图10-2所示坐标系,设两导体平板上的面电荷密度分别为σ1,σ2,σ3,σ4。
由电荷守恒定律得12a S S Q σσ+= (1)34b S S Q σσ+= (2)设P ,Q 是分别位于二导体板内的两点,如图10-2所示,由于P ,Q 位于导板内,由静电平衡条件知,其场强为零,即3124000002222P E σσσσεεεε=---= (3)3124000002222Q E σσσσεεεε=++-= (4) 由方程(1)~(4)式得142abQ Q Sσσ+== (5) 232a bQ Q Sσσ-=-= (6) 由此可见,金属平板在相向的两面上(面2,3),带等量异号电荷,背向的两面上(面1,4),带等量同号电荷。
10–2 如图10-3所示,在半径为R 的金属球外距球心为a 的D 处放置点电荷+Q ,球内一点P 到球心的距离为r ,OP 与OD 夹角为θ,感应电荷在P 点产生的场强大小为 ,方向 ;P 点的电势为 。
解:(1)由于点电荷+Q 的存在,在金属球外表面将感应出等量的正负电荷,距+Q 的近端金属球外表面带负电,远端带正电,如图10-4所示。
P 点的场强是点电荷+Q 在P 点产生的场强E 1,与感应电荷在P 点产生的场强E 2的叠加,即E P =E 1+E 2,当静电平衡时,E P =E 1+E 2=0,由此可得21r 2204π(2cos )Qa r ar εθ=-=-+-E E e其中e r 是由D 指向P 点。
因此,感应电荷在P 点产生的场强E 2的大小为图10–4xσ2 4σQQ aQ b 图10-2σ1σ2 σ4σ3 Q a Q b图10-1图10-322204π(2cos )QE a r ar εθ=+-方向是从P 点指向D 点。
第四章 电 场一、常见带电体的场强、电势分布 1)点电荷:2014q E r πε=04q U rπε=2)均匀带电球面(球面半径R )的电场:200()()4r R E qr R r πε≤⎧⎪=⎨>⎪⎩00()4()4qr R r U q r R R πεπε⎧>⎪⎪=⎨⎪≤⎪⎩3)无限长均匀带电直线(电荷线密度为λ):02E rλπε=,方向:垂直于带电直线。
4)无限长均匀带电圆柱面(电荷线密度为λ): 00()()2r R E r R rλπε≤⎧⎪=⎨>⎪⎩5)无限大均匀带电平面(电荷面密度为σ)的电场:0/2E σε=,方向:垂直于平面。
二、静电场定理 1、高斯定理:0e Sq E dS φε=⋅=∑⎰静电场是有源场。
q ∑指高斯面内所包含电量的代数和;E指高斯面上各处的电场强度,由高斯面内外的全部电荷产生;SE dS ⋅⎰指通过高斯面的电通量,由高斯面内的电荷决定。
2、环路定理:0lE dl⋅=⎰ 静电场是保守场、电场力是保守力,可引入电势能三、求场强两种方法1、利用场强势叠加原理求场强 分离电荷系统:1ni i E E ==∑;连续电荷系统:E dE =⎰2、利用高斯定理求场强 四、求电势的两种方法1、利用电势叠加原理求电势 分离电荷系统:1nii U U==∑;连续电荷系统: U dU =⎰2、利用电势的定义求电势 rU E dl =⋅⎰电势零点五、应用点电荷受力:F qE = 电势差: bab a b aU U U E dr =-=⋅⎰a由a 到b六、导体周围的电场1、静电平衡的充要条件: 1)、导体内的合场强为0,导体是一个等势体。
2)、导体表面的场强处处垂直于导体表面。
E ⊥表表面。
导体表面是等势面。
2、静电平衡时导体上电荷分布: 1)实心导体: 净电荷都分布在导体外表面上。
2)导体腔内无电荷: 电荷都分布在导体外表面,空腔内表面无电荷。
3)导体腔内有电荷+q ,导体电量为Q :静电平衡时,腔内表面有感应电荷-q ,外表面有电荷Q +q 。
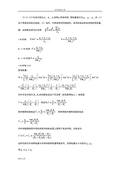
10-15 三个半径分别为321R R R 、、的同心导体球壳,带电量依次为321q q q 、、。
求:(1)这个带电体系的总电能;(2)当内、外两球壳共同接地时,体系的电容和各球壳的带电量。
解:由高斯定律可以求得 0ε∑⎰=∙iqS d Er>R 3时有 032124επq q q r E ++=203214rq q q E πε++=R 3 >r>R 2时有 20214r q q E πε+=R 2 >r>R 1时有2014rq E πε=r<R 1时有 E=0 电场能量:dr r r q q q dr r r q q dr r r q W R R R R R 22203210222021022201044244244233221ππεεππεεππεε⎪⎪⎭⎫ ⎝⎛+++⎪⎪⎭⎫ ⎝⎛++⎪⎪⎭⎫ ⎝⎛=⎰⎰⎰∞302321320221210218)(118)(118R q q q R R q q R R q πεπεπε+++⎪⎪⎭⎫ ⎝⎛-++⎪⎪⎭⎫ ⎝⎛-=内外半径分别为21,R R 的球面电容由下式求得(设球面带电q ):电势差⎪⎪⎭⎫⎝⎛-=210114R R q V πε 电容为122104R R R R V q C -==πε 则内侧两球面电容12210114R R R R V q C -==πε 同样得到外侧两球面的电容 23230224R R R R V q C -==πε 内外球都接地则中间的球壳对地电容是上面两个电容并联,总电容为))(()(423121322021R R R R R R R C C C ---=+=πε 这时内球与外球带电量与中间球面带电量等值异号,设带电量大小分别为/3/1,q q 。
有/3/12q q q +=再由中间那个球面电势V 可以表示为:2/31/1C q C q V == 解得:)()(1/12311232122/1R R R R R R q C C q q -++=+=,)()(1/11232312212/2R R R R R R q C C q q +-+=+= 10-16 一个充有各向同性均匀介质的平行板电容器,充电到1000V 后与电源断开,然后把介质从极板间抽出,此时板间的电势差升高到3000V 。
10-15 三个半径分别为321R R R 、、的同心导体球壳,带电量依次为321q q q 、、。
求:(1)这个带电体系的总电能;(2)当内、外两球壳共同接地时,体系的电容和各球壳的带电量。
解:由高斯定律可以求得 0ε∑⎰=∙iqS d Er>R 3时有 032124επq q q r E ++=203214rq q q E πε++=R 3 >r>R 2时有 20214r q q E πε+=R 2 >r>R 1时有2014rq E πε=r<R 1时有 E=0 电场能量:dr r r q q q dr r r q q dr r r q W R R R R R 22203210222021022201044244244233221ππεεππεεππεε⎪⎪⎭⎫ ⎝⎛+++⎪⎪⎭⎫ ⎝⎛++⎪⎪⎭⎫ ⎝⎛=⎰⎰⎰∞302321320221210218)(118)(118R q q q R R q q R R q πεπεπε+++⎪⎪⎭⎫ ⎝⎛-++⎪⎪⎭⎫ ⎝⎛-=内外半径分别为21,R R 的球面电容由下式求得(设球面带电q ):电势差⎪⎪⎭⎫ ⎝⎛-=210114R R q V πε 电容为122104R R R R V q C -==πε 则内侧两球面电容12210114R R R R V q C -==πε 同样得到外侧两球面的电容 23230224R R R R V q C -==πε 内外球都接地则中间的球壳对地电容是上面两个电容并联,总电容为))(()(423121322021R R R R R R R C C C ---=+=πε这时内球与外球带电量与中间球面带电量等值异号,设带电量大小分别为/3/1,q q 。
有/3/12q q q +=再由中间那个球面电势V 可以表示为:2/31/1C q C q V ==解得:)()(1/12311232122/1R R R R R R q C C q q -++=+=,)()(1/11232312212/2R R R R R R q C C q q +-+=+=10-16 一个充有各向同性均匀介质的平行板电容器,充电到1000V 后与电源断开,然后把介质从极板间抽出,此时板间的电势差升高到3000V 。
电磁学部分习题解答一、判断题1、磨擦起电只能发生在绝缘体上( × )2、试探电荷的电量0q 应尽可能小,其体积应尽可能小( √ )3、一对量值相等的正负点电荷总可以看作是电偶极( × )4、电场线如图所示,P 点电势比Q 点电势低 ( √ )5、如果库仑定律公式分母中r 的指数不是2,而是其它数,则高斯定理不成立( √ )6、电荷沿等势面移动时,电场力永远不作功( √ )7、由公式0εσ=E 知,导体表面任一点的场强正比于导体表面处的面电荷密度,因此该点场强仅由该点附近的导体上的面上的面电荷产生的。
( × )8、一导体处静电场中,静电平衡后导体上的感应电荷分布如图,根据电场线的性质,必有一部分电场线从导体上的正电荷发出,并终止在导体的负电荷上。
( × )9、一封闭的带电金属盒中,内表面有许多针尖,如图所示,根据静电平衡时电荷面密度按曲率分布的规律,针尖附近的场强一定很大。
( × )10、孤立带电导体圆盘上的电荷应均匀分布在圆盘的两个圆面上。
( √ ) 11、通过某一截面上的电流密度0=j ,通过该截面的电流强度必为零 ( √)12、如果电流是由几种载流子的定向运动形成的,则每一种载流子的定向运动对电流都有贡献(√ ) 13、若导体内部有电流,则导体内部电荷体密度一定不等于零( × ) 14、在全电路中,电流的方向总是沿着电势降落的方向( × )15、设想用一电流元作为检测磁场的工具,若沿某一方向,给定的电流元l d I0放在空间任意一点都不受力,则该空间不存在磁场(× )16、对于横截面为正方形的长螺线管,其内部的磁感应强度仍可用nI 0μ表示( √ ) 17、安培环路定理反映了磁场的有旋性( × )18、对于长度为L 的载流导线来说,可以直接用安培定理求得空间各点的B( × )19、若感应电流的方向与楞次定律所确定的方向相反,将违反能量守恒定律( √ ) 20、楞次定律实质上是能量守恒定律的反映( √ ) 22、自感系数IL φ=,说明通过线圈的电流强度越小,自感系数越大( × )24、对一定的点,电磁波中的电能密度和磁能密度总相等( √ )25、一根长直导线载有电流I ,I 均匀分布在它的横截面上,导线内部单位长度的磁场能量为πμ1620I ( √ ) 26、在真空中,只有当电荷作加速运动时,它才可能发射电磁波(√ )27、当同一电容器内部充满同一种均匀电介质后,介质电容器的电容为真空电容器的rε1倍( × )28、在均匀电介质中,如果没有体分布的自由电荷,就一定没有体分布的极化电荷( √) 29、电介质可以带上自由电荷,但导体不能带上极化电荷( √ )30、电位移矢量D 仅决定于自由电荷( × )31、通过某一截面上的电流密度0=j ,通过该截面的电流强度必为零( √)32、如果电流是由几种载流子的定向运动形成的,则每一种载流子的定向运动对电流都有贡献(√) 33、若导体内部有电流,则导体内部电荷体密度一定不等于零( × ) 34、在全电路中,电流的方向总是沿着电势降落的方向( × )二、单选题1、将一带电量为Q 的金属小球靠近一个不带电的金属导体时,则有( C ) (A )金属导体因静电感应带电,总电量为-Q(B )金属导体因感应带电,靠近小球的一端带-Q ,远端带+Q (C )金属导体两端带等量异号电荷,且电量q<Q(D )当金属小球与金属导体相接触后再分离,金属导体所带电量大于金属小球所带电量2、两块无限大平行面上的电荷面密度分别为σ±,图中所示的三个区域的电场强度大小为( D )(A ) 02εσ=ⅠE 0εσ=ⅡE 02εσ=ⅢE (B ) 02εσ=ⅠE 0 E Ⅱ= 02εσ=ⅢE(C ) 0εσ=ⅠE 0 E Ⅱ= 0εσ=ⅢE(D ) 0=ⅠE 0εσ=ⅡE 0=ⅢE3、关于场强线有以下几种说法( C ) (A )电场线是闭合曲线 (B )任意两条电场线可以相交 (C )电场线的疏密程度代表场强的大小 (D )电场线代表点电荷在电场中的运动轨迹4、两个点电荷21q q 和固定在一条直线上。
第四章 电 场一、常见带电体的场强、电势分布 1)点电荷:2014q E r πε=04q U rπε=2)均匀带电球面(球面半径R )的电场:200()()4r R E qr R r πε≤⎧⎪=⎨>⎪⎩00()4()4qr R r U q r R R πεπε⎧>⎪⎪=⎨⎪≤⎪⎩3)无限长均匀带电直线(电荷线密度为λ):02E rλπε=,方向:垂直于带电直线。
4)无限长均匀带电圆柱面(电荷线密度为λ): 00()()2r R E r R rλπε≤⎧⎪=⎨>⎪⎩5)无限大均匀带电平面(电荷面密度为σ)的电场:0/2E σε=,方向:垂直于平面。
二、静电场定理 1、高斯定理:0e Sq E dS φε=⋅=∑⎰静电场是有源场。
q ∑指高斯面内所包含电量的代数和;E指高斯面上各处的电场强度,由高斯面内外的全部电荷产生;SE dS ⋅⎰指通过高斯面的电通量,由高斯面内的电荷决定。
2、环路定理:0lE dl⋅=⎰ 静电场是保守场、电场力是保守力,可引入电势能三、求场强两种方法1、利用场强势叠加原理求场强 分离电荷系统:1ni i E E ==∑;连续电荷系统:E dE =⎰2、利用高斯定理求场强 四、求电势的两种方法1、利用电势叠加原理求电势 分离电荷系统:1nii U U==∑;连续电荷系统: U dU =⎰2、利用电势的定义求电势 rU E dl =⋅⎰电势零点五、应用点电荷受力:F qE = 电势差: bab a b aU U U E dr =-=⋅⎰a由a 到b六、导体周围的电场1、静电平衡的充要条件: 1)、导体内的合场强为0,导体是一个等势体。
2)、导体表面的场强处处垂直于导体表面。
E ⊥表表面。
导体表面是等势面。
2、静电平衡时导体上电荷分布: 1)实心导体: 净电荷都分布在导体外表面上。
2)导体腔内无电荷: 电荷都分布在导体外表面,空腔内表面无电荷。
3)导体腔内有电荷+q ,导体电量为Q :静电平衡时,腔内表面有感应电荷-q ,外表面有电荷Q +q 。
13静电场中的导体与电介质 13.1静电平衡1. 当一个带电导体达到静电平衡时: (A) 表面上电荷密度较大处电势较高. (B) 表面曲率较大处电势较高. (C) 导体内部的电势比导体表面的电势高. (D) 导体内任一点与其表面上任一点的电势差等于零. 答案:(D) 参考解答:静电平衡时的导体电荷、场强和电势分布的特点: (1) 电荷仅分布在导体的表面,体内静电荷为零.(2) 导体表面附近的场强方向与导体表面垂直,大小与导体表面面电荷密度成正比;(3) 导体为等势体,表面为等势面.答案(D)正确,而(A)(B)(C)均需考虑电势是一个相对量,在场电荷的电量以及分布确定的同时,还必须选定一个电势零点,在这样的情况下,场中各点电势才能确定。
给出参考解答,进入下一题:2. 设一带电导体表面上某点附近电荷面密度为σ,则紧靠该表面外侧的场强为0/εσ=E . 若将另一带电体移近,(1) 该处场强改变,公式0/εσ=E 仍能用。
(2) 该处场强改变,公式0/εσ=E 不能用。
上述两种表述中正确的是(A) (1) . (B) (2).答案:(A) 参考解答:处于静电平衡的导体,其表面上各处的面电荷密度与相应表面外侧紧邻处的电场强度的大小成正比,即0εσ=E . 将另一带电体移近带电导体,紧表面外侧的场强会发生改变,电荷面密度为σ也会改变,但公式0εσ=E 仍能用。
给出参考解答,进入下一题:3. 无限大均匀带电平面(面电荷密度为σ)两侧场强为)2/(0εσ=E ,而在静电平衡状态下,导体表面(该处表面面电荷密度为σ)附近场强为0/εσ=E ,为什么前者比后者小一半?参考解答:关键是题目中两个式中的σ不是一回事。
下面为了讨论方便,我们把导体表面的面电荷密度改为σ′,其附近的场强则写为./0εσ'=E对于无限大均匀带电平面(面电荷密度为σ),两侧场强为)2/(0εσ=E .这里的 σ 是指带电平面单位面积上所带的电荷。
电磁学试题库 试题1一、填空题(每小题2分,共20分) 1、在正q 的电场中,把一个试探电荷由a 点移到b 点如图如示,电场力作的功( ) 2、一无限长均匀带电直线(线电荷密度为λ)与另一长为L ,线电荷密度为η的均匀带电直线AB 共面,且互相垂直,设A 端到无限长均匀带电线的距离为a ,带电线AB 所受的静电力为( )。
3、导体在静电场中达到静电平衡的条件是( )。
4、电流的稳恒条件的数学表达式是( )。
5、一长螺线管通有电流I ,若导线均匀密绕,则螺线管中部的磁感应强度为( )端面处的磁感应强度约为( )6、设想存在一个区域很大的均匀磁场,一金属板以恒定的速度V 在磁场中运动,板面与磁场垂直。
(1)金属板中( )感应电流。
磁场对金属板的运动( )阻尼作用。
(2)金属板中( )电动势。
(3)若用一导线连接金属两端,导线中()电流。
〔括号内填“无”或“有”〕7、若先把均匀介质充满平行板电容器,(极板面积为S ,极反间距为L ,板间介电常数为r ε)然后使电容器充电至电压U 。
在这个过程中,电场能量的增量是( )。
8、一无限长的载流圆柱体浸在无限大的各向同性的均匀线性的相对磁导率的r μ的磁介质中,则介质中的磁感应强度与真空中的磁感强度之比是( )。
9、电偶极子在外电场中的能量( )。
10、R ,L ,C 串联接到一交流电机上,若发电机的频率增加,将会使感抗( )。
二、选择题(每小题2分,共20分)1、将一带电量为Q 的金属小球靠近一个不带电的金属导体时,则有( ) (A )金属导体因静电感应带电,总电量为-Q ;(B )金属导体因感应带电,靠近小球的一端带-Q ,远端带+Q ; (C )金属导体两端带等量异号电荷,且电量q<Q ;(D )当金属小球与金属导体相接触后再分离,金属导体所带电量大于金属小球所带电量。
2、静电场中P 、Q 两点的电势差( )(A )与试探电荷的正负有关; (B )与试探电荷的电量有关; (C )与零势点的选择有关; (D )与P 、Q 两点的位置有关。
习题二一、选择题1.如图所示,一均匀带电球体,总电量为+Q ,其外部同心地罩一内、外半径分别为1r 和2r 的金属球壳。
设无穷远处为电势零点,则球壳内半径为r 的P 点处的场强和电势为[ ] (A )200, 44Q QE U r rεε==ππ; (B )010, 4QE U r ε==π;(C )00, 4QE U rε==π;(D )020, 4QE U r ε==π。
答案:D解:由静电平衡条件得金属壳内0=E ;外球壳内、外表面分别带电为Q -和Q +,根据电势叠加原理得000202Q Q Q QU r r r r εεεε-=++=4π4π4π4π2.半径为R 的金属球与地连接,在与球心O 相距2d R =处有一电量为q 的点电荷,如图所示。
设地的电势为零,则球上的感应电荷q '为[ ](A )0; (B )2q ; (C )2q-; (D )q -。
答案:C解:导体球接地,球心处电势为零,即000044q q U dRπεπε'=+=(球面上所有感应电荷到球心的距离相等,均为R ),由此解得2R qq q d '=-=-。
3.如图,在一带电量为Q 的导体球外,同心地包有一各向同性均匀电介质球壳,其相对电容率为r ε,壳外是真空,则在壳外P 点处(OP r =)的场强和电位移的大小分别为[ ] (A )2200,44r Q Q E D rr εεε==ππ; (B )22,44r Q QE D r r ε==ππ; (C )220,44Q Q E D r r ε==ππ; (D )2200,44Q QE D r r εε==ππ。
答案:C解:由高斯定理得电位移 24QD r =π,而 2004D QE r εε==π。
4.一大平行板电容器水平放置,两极板间的一半空间充有各向同性均匀电介质,另一半为空气,如图所示。
当两极板带上恒定的等量异号电荷时,有一个质量为m 、带电量为+q 的质点,在极板间的空气区域中处于平衡。
均匀带电球面电场能量嘿,大家好,今天咱们来聊聊一个听起来有点高大上的话题,均匀带电球面电场能量。
别被这些术语吓跑了,听起来复杂,其实就像吃西瓜,剖开了就简单多了。
想象一下,咱们手里有个乖乖的球,整个球面都带着电荷,就像小朋友把糖果洒在了球上,均匀地分布开来。
这个小球就变得有意思了,电场也跟着“嗨”了起来。
每个电荷就像是小精灵,偷偷地在空中撒着魔法,吸引或排斥其他的电荷。
它们之间的互动,就像邻居家小孩一起玩耍,既有欢乐,也有摩擦。
这个均匀带电的球面产生的电场,到底是什么样子呢?想象一下,在这球的外面,电场像是一张无形的网,罩住了整个球。
你走到这张网里,就能感受到一股看不见的力量。
就像夏天的海风,虽然你看不见,但吹到脸上,那种凉爽的感觉可是实实在在的。
电场也是如此,虽然看不见,但一旦进入这个范围,力量便立刻显现。
咱们说说电场能量。
这个能量就像是球里存着的宝藏,隐藏在每个电荷的后面。
想象一下,电荷就像小小的能量精灵,每当它们移动,宝藏就会被挖掘出来。
这个能量可以用来做许多事情,推动电器,点亮灯泡,甚至让小车子动起来。
感觉就像是把小精灵们放出来,开始一场盛大的派对,热闹得很。
那这能量具体怎么计算呢?其实并不复杂,咱们用一个简单的公式就能搞定。
它就像你做饭时需要的调料,掌握好配方就能做出美味的菜肴。
计算均匀带电球面的电场能量,实际上就是将电场能量密度乘以体积。
乍一听有点晦涩,但简单点说,想象一下把电场的每个角落都填满,然后把它们的能量加在一起,就能得出结果。
嘿,这个过程就像是把每一粒米都放进碗里,最后盛出一碗香喷喷的米饭。
电场能量的特点也挺神奇的。
你会发现,电场能量跟电荷的大小、分布以及球的半径都有关系。
就好比,你买的米越多,煮出来的饭自然也就越多。
电荷越多,球面电场的能量就越高。
脑海中不由得浮现出一个满满的米桶,真的让人忍不住想要大快朵颐。
均匀带电球面也有它的“脾气”。
比如当你把球的半径变大时,电场能量却可能没那么简单。