量子力学答案(第二版)苏汝铿第六章课后答案6.7-6#15up
- 格式:pdf
- 大小:212.77 KB
- 文档页数:4
14QM-4.5设粒子处于宽度为的无限深势阱中,求在能量表象中粒子的坐标和动量的矩阵表示。
解:设粒子所处的势场的表达式为(0)()0(0)()x U x x a x a ∞<⎧⎪=≤≤⎨⎪∞>⎩在0x <,x a >两个区域,粒子的波函数均为0.设在0x a ≤≤区域中粒子的波函数为ψ 则它满足薛定谔方程20;2E x a mψψ-''=≤≤ 当 相应的边界条件为:(0)0()0a ψψ=⎧⎨=⎩解得波函数的本征函数为:()sinn n x A x a πψ= 由归一化条件得:n A aπ= 在能量表象中的本征函数为()sin n n n x x a a ππψ=在能量表象中粒子的坐标的矩阵分量为:()()2002222ˆ()()sin sin 114[],,2a a mn n m m n n m x x x x dx mn x x x dx a a a a mn m n m n a m n πππψψπ*-⎛⎫⎛⎫⎛⎫== ⎪ ⎪⎪⎝⎭⎝⎭⎝⎭⎧--≠⎪⎪-=⎨⎪=⎪⎩⎰⎰ 在能量表象中粒子的动量的矩阵分量为()20022ˆ()()sin sin 211[],0,a amn n m m n h n d m p x p x dx i mn x x dx a a dx a ih mn m n a m n m n πππψψππ*-⎛⎫⎛⎫⎛⎫==- ⎪ ⎪ ⎪⎝⎭⎝⎭⎝⎭⎧--⎪≠=⎨-⎪=⎩⎰⎰ 14QM-4.6证明两个厄米矩阵能用同一个幺正变换对角化的充要条件是它们彼此对易。
证明:我们知道任何一个厄米矩阵能被一个幺正矩阵对角化。
设,A B 两个矩阵是对易的,并且能被幺正矩阵L 对角化证明如下:已知0AB BA -=1()LAL A αβαααβδ-'= 则11LABL LBAL --= 1111LAL LBL LBL LAL ----=1111()()()()LAL LBL LBL LAL αααβαβββαβ----''''''=∑∑11()()A LBL LBL A αααβαβββ--''= 1()()0LBL A A αβααββ-''-= 若要1()0LBL αβ-≠则 A A ααββ''=即αβ= 所以1()LBL B αβαααβδ-'=即B 能被同一幺正矩阵L 对角化。
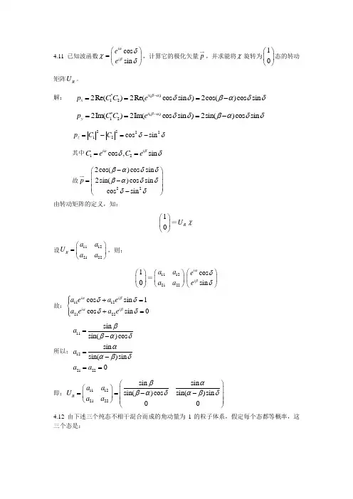
4.11 已知波函数cos sin i i e e αβδχδ⎛⎫= ⎪⎝⎭,计算它的极化矢量p ,并求能将χ旋转为10⎛⎫⎪⎝⎭态的转动矩阵R U 。
解: *()122Re()2Re(cos sin )2cos()cos sin i x p C C e βαδδβαδδ-===-*()122Im()2Im(cos sin )2sin()cos sin i y p C C e βαδδβαδδ-===-222212cos sin z p C C δδ=-=-其中12cos ,sin i i C e C e αβδδ==故222cos()cos sin 2sin()cos sin cos sin p βαδδβαδδδδ-⎛⎫⎪=- ⎪ ⎪-⎝⎭由转动矩阵的定义,知:10⎛⎫⎪⎝⎭=R U χ 设11122122R a a U a a ⎛⎫=⎪⎝⎭,则: 10⎛⎫ ⎪⎝⎭=11122122a a aa ⎛⎫⎪⎝⎭cos sin i i e e αβδδ⎛⎫⎪⎝⎭故:11122122cos sin 1cos sin 0i i i i a e a e a e a e αβαβδδδδ⎧+=⎪⎨+=⎪⎩ 所以:11122122sin sin()cos sin sin()sin 0a a a a ββαδααβδ=-=-==即:11122122sin sin sin()cos sin()sin 00R a a U a a βαβαδαβδ⎛⎫⎛⎫⎪--== ⎪ ⎪⎝⎭ ⎪⎝⎭4.12 由下述三个纯态不相干混合而成的角动量为1的粒子体系,假定每个态都等概率,这三个态是:(1)100ψ⎛⎫ ⎪= ⎪ ⎪⎝⎭;(2)001001ψ⎛⎫⎛⎫⎪⎪=+⎪⎪⎪⎪⎭⎭;(3)001ψ⎛⎫⎪= ⎪ ⎪⎝⎭(1) 求这个体系的密度矩阵ρ,并证明1tr ρ=。
(2) 选1=,角动量为1的矩阵是010********;0;0002201000001x y z i L L i i L i -⎫⎫⎛⎫⎪⎪ ⎪==-=⎪⎪ ⎪ ⎪ ⎪ ⎪-⎝⎭⎝⎭⎝⎭。
第一章 绪论1.1.由黑体辐射公式导出维恩位移定律:C m b bTm3109.2 ,×´==-l 。
证明:由普朗克黑体辐射公式:由普朗克黑体辐射公式:n n p nr n nd ec hd kTh 11833-=, 及ln c=、l ln d c d 2-=得1185-=kThcehc l l l p r ,令kT hc x l =,再由0=l r l d d ,得l .所满足的超越方程为所满足的超越方程为15-=x x e xe用图解法求得97.4=x ,即得97.4=kT hc m l ,将数据代入求得C m 109.2 ,03×´==-b b T ml 1.2.在0K 附近,钠的价电子能量约为3eV ,求de Broglie 波长. 解:010A 7.09m 1009.72=´»==-mEh p h l # 1.3. 氦原子的动能为kT E 23=,求K T 1=时氦原子的de Broglie 波长。
波长。
解:010A 63.12m 1063.1232=´»===-mkT h mE h p h l其中kg 1066.1003.427-´´=m ,123K J 1038.1--×´=k # 1.4利用玻尔—索末菲量子化条件,求:利用玻尔—索末菲量子化条件,求: (1)一维谐振子的能量。
)一维谐振子的能量。
(2)在均匀磁场中作圆周运动的电子的轨道半径。
)在均匀磁场中作圆周运动的电子的轨道半径。
已知外磁场T 10=B ,玻尔磁子123T J 10923.0--×´=B m ,求动能的量子化间隔E D ,并与K 4=T 及K 100=T 的热运动能量相比较。
的热运动能量相比较。
解:(1)方法1:谐振子的能量222212q p E mw m +=可以化为()12222222=÷÷øöççèæ+mw m E q Ep的平面运动,轨道为椭圆,两半轴分别为22,2mw m Eb E a ==,相空间面积为,相空间面积为,2,1,0,2=====òn nh EE ab pdq nw pp 所以,能量 ,2,1,0,==n nh E n方法2:一维谐振子的运动方程为02=+¢¢q q w ,其解为,其解为()j w +=t A q sin速度为速度为 ()j w w +=¢t A q c o s ,动量为()j w mw m +=¢=t A q p cos ,则相积分为,则相积分为 ()()nh T A dt t A dt t A pdq T T ==++=+=òòò2)cos 1(2cos 220220222mw j w mw j w mw , ,2,1,0=n nmw nh T nh A E ===222, ,2,1,0=n (2)设磁场垂直于电子运动方向,受洛仑兹力作用作匀速圆周运动。
第十二小组 姚郁飞 孟兆楷7.4 一个无自旋的质量为m ,带电为q 的粒子被束缚在一个半径为R 的圆周上运动。
分别就下面各种情况求允许的能级:i) 粒子的运动是非相对论的。
ii) 在与圆面垂直的方向上由一均匀磁场B ;iii) 同样的磁通量穿过圆面,但它现在被包在一个半径为b (b R <)的螺线管内; iv) 在圆面上有一极强的电场E 存在()22/qE mR >>v) 没有E B 和,但粒子的运动是极端相对论的; vi) 圆现在被一等圆周但一般面积的椭圆代替。
解:i)22p H m =,变换到极坐标,2222ˆ2d H mR d θ=- 代入定态薛定谔方程,得()()()222222()d E mR d ψθψθψθψθπ⎧-=⎪⎨⎪=+⎩边界条件 由此解得()20,1,2,...12in nn n n E m R θψθ⎧=⎪⎪=±±⎨⎛⎫⎪= ⎪⎪⎝⎭⎩ii) 当加上磁场后1,2q H p A m c ⎛⎫=- ⎪⎝⎭ 其中1ˆ2A Br e θ=⋅ 所以相应薛定谔方程为:()212i d q BR E m R d c ψθψθ⎛⎫--= ⎪⎝⎭边界条件()()2ψθψθπ=+ 由于qBR c只是一常数项,可以归入E ,故参考1)可取解()in Ce θψθ= 由此可得21, 0,1,2,...22n n q E BR n m R c ⎛⎫=-=±±⎪⎝⎭iii)2B ds A ds dl A A R φπ=⋅=∇⨯⋅=⋅=⎰⎰⎰因为磁通量不变,所以A 也不变。
所以n E 同上。
iv) 加一极强的电场E()2222cos 2d H qER mR d θθ=-+-由于22/qE mR >>,即势能V 比动能大很多,因此如果取电场方向为00θ=,则粒子处在0θ=时的概率很大。
故对cos θ作展开:1cos 12θθ2≈-所以222221ˆ122d HqER mR d θθ⎛⎫=--- ⎪⎝⎭(7.4) 为了不至于与能量E 混淆,将电场强度重新记作ε 显然,方程(7.4)中q R ε-为常数项,可以归入E 并222, M mR q R M εω== 则相应的薛定谔方程为()22222122d M q R E M d ωθψεψθ⎛⎫-+=+ ⎪⎝⎭显然,这就是一个谐振子的薛定谔方程 所以12n q R E n εω⎛⎫+=+⎪⎝⎭1122n qEE n q R n qER mRωε⎛⎫⎛⎫=+-=+- ⎪ ⎪⎝⎭⎝⎭,0,1,2,...n =v) 应用波尔量子化条件pdq nh =⎰取广义坐标θ,则p 就是角动量。
量子力学习题及解答第一章 量子理论基础1.1 由黑体辐射公式导出维恩位移定律:能量密度极大值所对应的波长m λ与温度T 成反比,即m λ T=b (常量);并近似计算b 的数值,准确到二位有效数字。
解 根据普朗克的黑体辐射公式dv echv d kThv v v 11833-⋅=πρ, (1) 以及 c v =λ, (2)λρρd dv v v -=, (3)有,118)()(5-⋅=⋅=⎪⎭⎫ ⎝⎛-=-=kThc v v ehc cd c d d dvλλλπλλρλλλρλρρ这里的λρ的物理意义是黑体内波长介于λ与λ+d λ之间的辐射能量密度。
本题关注的是λ取何值时,λρ取得极大值,因此,就得要求λρ 对λ的一阶导数为零,由此可求得相应的λ的值,记作m λ。
但要注意的是,还需要验证λρ对λ的二阶导数在m λ处的取值是否小于零,如果小于零,那么前面求得的m λ就是要求的,具体如下:01151186'=⎪⎪⎪⎭⎫⎝⎛-⋅+--⋅=-kT hc kThce kT hc ehcλλλλλπρ ⇒ 0115=-⋅+--kThc ekThcλλ⇒ kThcekThc λλ=--)1(5 如果令x=kThcλ ,则上述方程为 x e x =--)1(5这是一个超越方程。
首先,易知此方程有解:x=0,但经过验证,此解是平庸的;另外的一个解可以通过逐步近似法或者数值计算法获得:x=4.97,经过验证,此解正是所要求的,这样则有xkhc T m =λ 把x 以及三个物理常量代入到上式便知K m T m ⋅⨯=-3109.2λ这便是维恩位移定律。
据此,我们知识物体温度升高的话,辐射的能量分布的峰值向较短波长方面移动,这样便会根据热物体(如遥远星体)的发光颜色来判定温度的高低。
1.2 在0K 附近,钠的价电子能量约为3eV ,求其德布罗意波长。
解 根据德布罗意波粒二象性的关系,可知E=h v ,λhP =如果所考虑的粒子是非相对论性的电子(2c E e μ<<动),那么ep E μ22= 如果我们考察的是相对性的光子,那么E=pc注意到本题所考虑的钠的价电子的动能仅为3eV ,远远小于电子的质量与光速平方的乘积,即eV 61051.0⨯,因此利用非相对论性的电子的能量——动量关系式,这样,便有ph=λ nmm m E c hc E h e e 71.01071.031051.021024.1229662=⨯=⨯⨯⨯⨯===--μμ在这里,利用了m eV hc ⋅⨯=-61024.1以及eV c e 621051.0⨯=μ最后,对Ec hc e 22μλ=作一点讨论,从上式可以看出,当粒子的质量越大时,这个粒子的波长就越短,因而这个粒子的波动性较弱,而粒子性较强;同样的,当粒子的动能越大时,这个粒子的波长就越短,因而这个粒子的波动性较弱,而粒子性较强,由于宏观世界的物体质量普遍很大,因而波动性极弱,显现出来的都是粒子性,这种波粒二象性,从某种子意义来说,只有在微观世界才能显现。