线性代数第四章习题答案
- 格式:doc
- 大小:1.28 MB
- 文档页数:16
第四章 线性方程组§4-1 克拉默法则一、选择题1.下列说法正确的是( C )A.n 元齐次线性方程组必有n 组解;B.n 元齐次线性方程组必有1n -组解;C.n 元齐次线性方程组至少有一组解,即零解;D.n 元齐次线性方程组除了零解外,再也没有其他解. 2.下列说法错误的是( B )A 。
当0D ≠时,非齐次线性方程组只有唯一解;B 。
当0D ≠时,非齐次线性方程组有无穷多解;C 。
若非齐次线性方程组至少有两个不同的解,则0D =; D.若非齐次线性方程组有无解,则0D =. 二、填空题1.已知齐次线性方程组1231231230020x x x x x x x x x λμμ++=⎧⎪++=⎨⎪++=⎩有非零解,则λ= 1 ,μ= 0 。
2.由克拉默法则可知,如果非齐次线性方程组的系数行列式0D ≠,则方程组有唯一解i x =iD D. 三、用克拉默法则求解下列方程组 1.832623x y x y +=⎧⎨+=⎩解:832062D ==-≠123532D ==-,2821263D ==-所以,125,62D Dx y D D====- 2.123123123222310x x x x x x x x x -+=-⎧⎪+-=⎨⎪-+-=⎩解:213112112122130355011101r r D r r ---=--=-≠+---11222100511321135011011D r r ---=-+-=---,212121505213221310101101D r r --=-+-=-----, 3121225002112211511110D r r --=+=---所以, 3121231,2,1D D Dx x x D D D ======3.21241832x z x y z x y z -=⎧⎪+-=⎨⎪-++=⎩解:132010012412041200183583D c c --=-+-=≠-13110110014114020283285D c c -=-+=,2322112102112100123125D c c -=-+=--, 31320101241204120182582D c c =-=--所以, 3121,0,1D D Dx y z D D D ====== 4.12341234123412345242235232110x x x x x x x x x x x x x x x x +++=⎧⎪+-+=-⎪⎨---=-⎪⎪+++=⎩解:2131412131111111111214012322315053733121102181231235537013814222180514r r D r r r r r r r r ---=------------+=----=-+---3214212325111511102221422518231523528110121101005110010525182733214210252823522c c D c c c c c c --------=----------+=-----=----212314113231511151112140723222150123733021101518723230132123733031284315181518r r D r r r r r r r r -----=--------------=----=------12342213111512151031224522182325111132283101101002510200251521852974265211228115127c c D c c c c c c -------=---------+=-----=----12432322111152115312125252223121135231200100215215552502714251152604c c D c c r r r r --------=----------+=----=---所以, 312412341,2,3,1D D D Dx x x x D D D D========-§4-2 齐次线性方程组一、选择题1.已知m n ⨯矩阵A 的秩为1n -,12,αα是齐次线性方程组0AX =的两个不同的解,k 为任意常数,则方程组0AX =的通解为( D )。
线性代数练习册第四章习题及答案:篇一:线代第四章习题解答第四章空间与向量运算习题4.14-1-1、已知空间中三个点A,B,C坐标如下:A?2,?1,1?,B?3,2,1?,C??2,2,1? (1)求向量,,的坐标,并在直角坐标系中作出它们的图形;(2)求点A与B之间的距离.解:(1) (1,3,0), (?5,0,0), (4,?3,0)(2)AB??4-1-2.利用坐标面上和坐标轴上点的坐标的特征,指出下列各点的特殊位置: A?3,4,0?; B?0,4,3? ; C?3,0,0? ;D?0,?1,0? 解: A (3,4,0) 在xoy面上 B(0,4,3)点在yoz面上C(3,0,0)在x轴上 D(0,-1,0)在y轴上 4-1-6. 设u?a?b?2c,v??3b?c,试用a、b、c表示3u?3v.解:3u-2v=3(a-b+2c)-2(-3b-c)=3a+3b+8c4-1-7. 试用向量证明:如果平面上的一个四边形的对角线互为平分,那么这个四边形是平行四边形.解:设四边形ABCD中AC与DB交于O,由已知AO=OC,DO=OB 因为AB =AO+OB=OC+DO=DC,AD=AO+OD=OC+BO=BC 所以ABCD为平行四边形。
4-1-8. 已知向量a的模是4,它与轴u的夹角60,求向量a在轴u上的投影.?解:.prju?u)?4*cos60=4?r?rcos(r。
3=23 24-1-9. 已知一向量的终点在点B?2,?1,7?,它在x轴、y轴、z轴上的投影依次为4、-4、7,求这向量起点A的坐标解:设起点A为(x,y,z)prjxAB?(2?x0)?4prjyAB?(?1?y)??4 prjzAB?(7?z0)?7解得:x??2y?3z0?04-1-12. 求下列向量的模与方向余弦,并求与这些向量同方向的单位。
第4章1.(1)是;(2)是;(3)是;(4)否.2. 证:(1)假设零向量不唯一,即存在两个零向量120,0,但1200≠,则由10αα+=和20αα+=推出1200=,这与假设矛盾. (2)类似(1)中证明. (3)0()0k k k k αααα=-=-=, (1)(01)01ααααα-=-=-=-, 0()0k k k k αααα=-=-=. 3.(1)是;(2)是;(3)否;(4)否. 4. 证:设11223344k A k A k A k A O +++=,则有12341234123412340,0,0,0,k k k k k k k k k k k k k k k k ++-=⎧⎪-++=⎪⎨+-+=⎪⎪---=⎩系数矩阵11111111111101011111001111110001A --⎡⎤⎡⎤⎢⎥⎢⎥--⎢⎥⎢⎥=→⎢⎥⎢⎥--⎢⎥⎢⎥----⎣⎦⎣⎦,则()4r A =, 故12340k k k k ====,即1234,,,A A A A 线性无关.又对任意一个11122122a a A a a ⎡⎤=⎢⎥⎣⎦,若11223344k A k A k A k A A +++=, 则可得123411123412123421123422,,,,k k k k a k k k k a k k k k a k k k k a ++-=⎧⎪-++=⎪⎨+-+=⎪⎪---=⎩解得唯一一组解为:()()()()1111221222111221223111221224111221221,41,41,41,4k a a a a k a a a a k a a a a k a a a a ⎧=+++⎪⎪⎪=-+-⎪⎨⎪=+--⎪⎪⎪=-++-⎩即任意一个A 都可以由这组矩阵线性表出,且表达式唯一,则22dim()4R ⨯=,且1234,,,A A A A 构成22R ⨯的一组基.5. 解:令123110100,,000011A A A ⎡⎤⎡⎤⎡⎤===⎢⎥⎢⎥⎢⎥⎣⎦⎣⎦⎣⎦,则由112233k A k A k A O ++=可解得1230k k k ===,即123,,A A A 线性无关. 又对任意一个A V ∈,a ab Ac c +⎡⎤=⎢⎥⎣⎦,若112233k A k A k A A ++=,可解得唯一一组解为: 123,,k a k b k c ===,即任意一个A 都可以由123,,A A A 线性表出,且表达式唯一,则dim()3V =,且123,,A A A 构成V 的一组基. 6. 解:2()65f x x x =-+,故在这组基下的坐标为[]6,5,1T-.7. 解:(1)根据过渡矩阵C 的3个列向量分别是21,1,(1)x x ++在基21,,x x 下的坐标,可得111012001C ⎡⎤⎢⎥=⎢⎥⎢⎥⎣⎦. (2)新的基为:21,1,2x x x -+-+. 8. 解:(1)显然对加法和数乘封闭.(2)令1100A ⎡⎤⎢⎥⎢⎥=⎢⎥⎢⎥⎣⎦ ,2010A ⎡⎤⎢⎥⎢⎥=⎢⎥⎢⎥⎣⎦,…,001n A ⎡⎤⎢⎥⎢⎥=⎢⎥⎢⎥⎣⎦ . 若1122n n k A k A k A O ++= ,显然可推出120n k k k ==== ,即12,,,n A A A 线性无关.又对任意一矩阵12A n ⎡⎤⎢⎥⎢⎥=⎢⎥⎢⎥⎣⎦ ,若 1122n n k A k A k A A ++= ,可解得唯一一组解为:121,2,,n k k k n === .即任意一个A W ∈都可以由12,,,n A A A 线性表出,且表达式唯一,则dim()W n =,且12,,,n A A A 构成W 的一组基. 9. 解:11211121211101111103001301170000A --⎡⎤⎡⎤⎢⎥⎢⎥---⎢⎥⎢⎥=→⎢⎥⎢⎥⎢⎥⎢⎥⎣⎦⎣⎦,则()3r A =,故由1234,,,αααα 生成的子空间维数是3,一组基为123,,ααα(或124,,ααα).11.解:过渡矩阵为:205133113C ⎡⎤⎢⎥=⎢⎥⎢⎥---⎣⎦,若有一非零向量[],,T w x y z =,满足w Cw =,则可得方程组25,33,3,x x z y x y z z x y z =+⎧⎪=++⎨⎪=---⎩对系数矩阵经初等行变换后得阶梯形方程组50,0,x z y z +=⎧⎨-=⎩ 可解得一般解为: [5,,]w c c c =-,c 为任一非零常数.12. 证:已知()()()()112112212211,,313b a a b a a b a a b αβ-⎛⎫⎛⎫==-+-+ ⎪ ⎪-⎝⎭⎝⎭, (1)()()()()112212,3,b a a b a a αββα=-+-+=;(2)()()()()()1112221122,33,,c a b a b c a b a b αβγαγβγ+=+--+--++=+; (3)()()()()112212,3,k kb a a kb a a k αβαβ=-+-+=;(4)()()()()22112212122,320a a a a a a a a a αα=-+-+=-+≥,若(),0αα=,当且仅当1220,0,a a a -=⎧⎨=⎩ 故120a a ==,即0α=.由于(),αβ满足定义4.6中的4个性质,故是2R 的内积.13. 解:(1)1||α=2||α=,3||α=.因为()2323,cos ||||10ααθαα==-,故arccos 10θ⎛⎫=- ⎪ ⎪⎝⎭. (2)设与123,,ααα都正交的向量为()1234,,,b b b b β=,则可得12341234123420,230,220,b b b b b b b b b b b b +-+=⎧⎪++-=⎨⎪---+=⎩ 经过初等行变换可得阶梯形矩阵:123423420,330,b b b b b b b +-+=⎧⎨-+-=⎩ 解得一般解为()34343455,33,,Tb b b b b b β=-+-,其中34,b b 为自由变量,或者通解表达式为1255331001k k β-⎡⎤⎡⎤⎢⎥⎢⎥-⎢⎥⎢⎥=+⎢⎥⎢⎥⎢⎥⎢⎥⎣⎦⎣⎦.14. 解:()111,0,1,1Tβα==,)1111,0,1,1||Tβγβ==. ()22211121,,1,,333Tβααγγ⎛⎫=-=-- ⎪⎝⎭,)2221,3,2,1||Tβγβ==--. ()()333113223112,,,,,5555Tβααγγαγγ⎛⎫=--=-- ⎪⎝⎭,)3333,1,1,2||Tβγβ==--. 15. 解:()110,0,1Tβα==,()10,0,1Tγ=. ()()22211,0,1,0T βααγγ=-=,()20,1,0Tγ=.()()()33311322,,1,0,0T βααγγαγγ=--=,()31,0,0Tγ=. 16. 证:(1)()()T T T T T AB AB B A AB B EB B B E ====.(2)A 正交,则||1A =±,*1*||A A A A -==±,则**1111()()()T T T A A A A A A E E ----====. 17. 解:已知1T X X =,则(2)(2)(2)(2)T T T T T T Q Q E XX E XX E XX E XX =--=-- 44()44T T T T T E XX X X X X E XX XX E =-+=-+=, 即Q 为正交矩阵.若T X =,则122122123221T Q E XX --⎡⎤⎢⎥=-=--⎢⎥⎢⎥--⎣⎦. 18. 解:73217737326a Q b c -⎡⎤⎢⎥=-⎢⎥⎢⎥--⎣⎦,通过T Q Q E =得 214960,1421180,621120,a bc abc -+-=⎧⎪-+=⎨⎪---=⎩解得626,,777a b c =-==-.19. 证:因为T Q Q E =,故对任意n X R ∈,有()()()22||,||TT T T QX QX QX QX QX X Q QX X X X =====,则一定有 ||||QX X =.20.(1)否;(2)是;(3)是;(4)否. 21. 解:(1)A 112(1,1,0)T εεε==+,A 212(1,1,0)T εεε=-=-, A 33(0,0,1)T εε==,所求矩阵为:110110001D ⎡⎤⎢⎥=-⎢⎥⎢⎥⎣⎦. (2) A ()12110T,,ηη==,A()212002T,,ηη==,A ()31232012T,,ηηηη==-+,故所求的矩阵为022101001⎛⎫⎪- ⎪ ⎪⎝⎭.22. 解:(1)A 1123(2,3,5)235T εεεε==++,A 2ε=A 110⎡⎤⎢⎥-⎢⎥⎢⎥⎣⎦ A 1123(1,3,5)35T εεεε=---=---,A 2ε=A 111⎡⎤⎢⎥-⎢⎥⎢⎥⎣⎦ A 2ε-A 1123(1,1,1)T εεεε=--=-+-,故所求的矩阵为211331551A --⎛⎫⎪=- ⎪ ⎪--⎝⎭.(2)已知1232αεεε=-+,则21124331110551114y AX --⎛⎫⎛⎫⎛⎫⎪⎪ ⎪==--= ⎪⎪ ⎪ ⎪⎪ ⎪--⎝⎭⎝⎭⎝⎭.23. 解:010001000D ⎡⎤⎢⎥=⎢⎥⎢⎥⎣⎦24. 证:必要性:因为12,,,n εεε 是V 的标准正交基,则(,),1,i j ij i j n εεδ=≤≤. 因为A 是正交变换,则(A ()i ε,A ()j ε)ij δ=, 1,i j n ≤≤. 即A ()i ε,A ()j ε,…,A ()n ε是V 的标准正交基. P 40.3.(作业册)解:211111111111011312240000---⎡⎤⎡⎤⎢⎥⎢⎥--→-⎢⎥⎢⎥⎢⎥⎢⎥--⎣⎦⎣⎦,解得4343423x x x X x x -⎡⎤⎢⎥+⎢⎥=⎢⎥⎢⎥⎣⎦,则解空间的解向量为[]10,1,1,0T α=,[]22,3,0,1Tα=-,通过Schmidt 标准正交化得]10,1,1,0T γ=,]24,3,3,2Tγ=--.。
第四章课后习题 及解答1. 证明:T )(1,1,1,11=α, T )(1,1,1,12--=α, T )(1,1,1,13--=α, T )(1,1,1,14--=α是4R 的一组基, 并求T )(1,1,2,1=β在这组基下的坐标.证明:0161111111111111111,,,4321≠-=------=)(αααα.R ,,,44321的一组基是αααα∴设β在这组基下的坐标为x ,则x )(4321,,,ααααβ=,从而 βαααα14321,,,-=)(x⎝⎛⎪⎪⎪⎪⎪⎭⎫--→→⎝⎛⎪⎪⎪⎪⎪⎭⎫------4141414510001000010000111211111111111111111⎪⎪⎪⎪⎪⎭⎫⎝⎛--=∴111541x 2. 已知3R 的两组基为.6,1,1,1,2,5,4,1,3,1,7,3,3,3,2,1,2,1T3T 2T 1T1T 2T 1)()()()()()(-======βββααα求:(1)向量T2,6,3)(=γ在基{}321,,ααα下的坐标; (2)基{}321,,ααα到基{}321,,βββ的过渡矩阵; (3)用公式(4.7)求γ在基{}321,,βββ下的坐标。
解:(1)设γ在基{}321,,ααα下的坐标为x ,则:x )(321,,αααγ=从而 γααα1321,,-=)(x⎪⎪⎪⎭⎫- ⎝⎛→→ ⎝⎛⎪⎪⎪⎭⎫112100010001263131732321 ⎪⎪⎪⎭⎫⎝⎛-=∴112x(2)设基{}321,,ααα到基{}321,,βββ的过渡矩阵为A ,则:A ,,,,321321)()(αααβββ=从而 )()(3211321,,,,A βββααα-= ⎪⎪⎪⎭⎫--- ⎝⎛→→ ⎝⎛⎪⎪⎪⎭⎫-8124920941712710010001614121153131732321 ⎪⎪⎪⎭⎫⎝⎛---=∴81249209417127A (3)设γ在基{}321,,βββ下的坐标为y ,则:x y 1A -= ⎪⎪⎪⎭⎫-⎝⎛→→ ⎝⎛⎪⎪⎪⎭⎫----4832534153100100111281249209417127⎪⎪⎪⎭⎫ ⎝⎛-=⎪⎪⎪⎪⎪⎪⎭⎫ ⎝⎛-=∴83106153414832534153y3. 已知4R 的两组基为.2,1,3,1,2,1,1,2,2,2,1,0,1,0,1,21,0,1,1,1,1,2,1,1,1,1,1,0,1,2,1T4T3T2T1T4T 3T 2T 1)()()()()()()()(=-===--=-=-=-=ββββαααα(1)求基{}4321,,,αααα到基{}4321,,,ββββ的过渡矩阵;若γ在基{}4321,,,αααα下的坐标为T 0,0,0,1)(,求γ在基{}4321,,,ββββ下的坐标.(2)求基{}4321,,,ββββ到基{}4321,,,αααα的过渡矩阵;若ξ在基{}4321,,,ββββ下的坐标为T 0,1,2,1)(-,求ξ在基{}4321,,,αααα下的坐标.(3)已知向量α在基{}4321,,,αααα下的坐标为T 0,1,2,1)(-,求它在基{}4321,,,ββββ下的坐标.解:(1)设基{}4321,,,αααα到基{}4321,,,ββββ的过渡矩阵为A ,则:A ,,,,,,43214321)()(ααααββββ=从而 )()(432114321,,,,,,A ββββαααα-=⎪⎪⎪⎪⎪⎭⎫⎝⎛→→⎝⎛⎪⎪⎪⎪⎪⎭⎫------0111101011100110001000010000122211120311112021110011112121111 ⎪⎪⎪⎪⎪⎭⎫⎝⎛=∴010111010111001A 设γ在基{}4321,,,ββββ下的坐标为y ,则:⎪⎪⎪⎪⎪⎭⎫⎝⎛=0001A 1-y⎪⎪⎪⎪⎪⎭⎫⎝⎛→→⎝⎛⎪⎪⎪⎪⎪⎭⎫101-01000100001000010001010111010111001 ⎪⎪⎪⎪⎪⎭⎫⎝⎛=∴101-0y(2) 设基{}4321,,,ββββ到基{}4321,,,αααα的过渡矩阵为B ,则:B ,,,,,,43214321)()(ββββαααα= ),,,(),,,(432114321B ααααββββ-=⎪⎪⎪⎪⎪⎭⎫----⎝⎛→→⎝⎛⎪⎪⎪⎪⎪⎭⎫------11111000001111101000100001000011110111121211112221112031111202⎪⎪⎪⎪⎪⎭⎫⎝⎛----=∴1111100000111110B设ξ在基{}4321,,,αααα下的坐标为x ,则:⎪⎪⎪⎪⎪⎭⎫ ⎝⎛-=⎪⎪⎪⎪⎪⎭⎫ ⎝⎛-⎪⎪⎪⎪⎪⎭⎫⎝⎛=⎪⎪⎪⎪⎪⎭⎫ ⎝⎛=1131012101011101011100101-21A x(3)设α在基{}4321,,,ββββ下的坐标为z ,则:⎪⎪⎪⎪⎪⎭⎫ ⎝⎛-=⎪⎪⎪⎪⎪⎭⎫ ⎝⎛-⎪⎪⎪⎪⎪⎭⎫⎝⎛----=⎪⎪⎪⎪⎪⎭⎫ ⎝⎛=20130121111110000011111001-21B z 4. 在4R 中找一个向量γ,它在自然基{}4321,,,εεεε和基T4T3T2T13,1,6,6,1,2,3,5,0,1,3,0,1,1,1,2)()()()(===-=ββββ下有相同的坐标.解:设所求坐标为x ,则它满足:x x )()(43214321,,,,,,ββββεεεε= 即:0211111163216501=⎪⎪⎪⎪⎪⎭⎫⎝⎛-x⎪⎪⎪⎪⎪⎭⎫⎝⎛→→⎪⎪⎪⎪⎪⎭⎫⎝⎛-000110010101001211111163216501 ∴此齐次线性方程组的一般解为:⎪⎪⎪⎪⎪⎭⎫ ⎝⎛---=1111k x ⎪⎪⎪⎪⎪⎭⎫⎝⎛---==∴1111,,,4321k x )(可取εεεεγ 5. 已知)()()(2,2,1,1,1,1,3,2,1,1,2,1---=-=-=γβα。
习题 4-11.验证函数f (x )=lnsin x 在[π5π,66]上满足罗尔定理的条件,并求出相应的ξ,使f ′(ξ)=0.解: 显然()lnsin f x x =在5π,66x ⎡⎤⎢⎥⎣⎦上连续,在π5π,66⎛⎫⎪⎝⎭内可导,且π5π()()ln 266f f ==-,满足罗尓定理的条件. 令cos ()cot 0sin x f x x x '===,则π2x =即存在ππ5π(,)66ξα=∈,使()0f ξ'=成立.2. 下列函数在指定区间上是否满足罗尔定理的三个条件?有没有满足定理结论中的ξ ?[][][]2(1)()1,;(2)(),;1,10,21sin ,0π(3)()0,π1,0e x f x f x x x x f x x =-=--<≤⎧=⎨=⎩解: (1) 2()1e x f x =-在[]1,1-上连续,在()1,1-内可导,且(1)1,(1)1,e e f f -=-=- 即 (1)(1)f f -=() f x ∴在[]1,1-上满足罗尓定理的三个条件. 令 2()20e x f x x '==得 0x =, 即存在0(1,1)ξ=∈-,使()0f ξ'=.(2) 101()1112x x f x x x x -≤<⎧==-⎨-≤≤⎩显然()f x 在(0,1),(1,2)内连续,又1111(10)lim ()lim(1)0,(10)lim ()lim(1)0,(10)(10)(1)0,即x x x x f f x x f f x x f f f --++→→→→-==-=+==-=-=+==所以()f x 在1x =处连续,而且22(00)lim ()lim(1)1(0),(20)lim ()lim(1)1(2),x x x x f f x x f f f x x f ++--→→→→+==-==-==-==即()f x 在0x =处右连续,在2x =处左连续,所以()f x 在[]0,2上连续.又1111()(1)1(1)lim lim 1,11()(1)1(1)lim lim 111x x x x f x f xf x x f x f xf x x --++-→→+→→--'===-----'===--(1)(1)() f f f x -+''∴≠∴在1x =处不可导,从而()f x 在(0,2)内不可导. 又 (0)(2)1f f == 又由 101()112x f x x -<<⎧'=⎨<<⎩知 ()0f x '≠综上所述,函数()f x 满足罗尓定理的条件(1),(3)不满足条件(2),没有满足定理结论的ξ.(3) 由0(00)lim sin 0(0)1x f x f +→+==≠=知()f x 在0x =不右连续, () f x ∴在[]0,π上不连续, 显然()f x 在()0,π上可导,又(0)1,(π)0f f ==,即(0)(π)f f ≠,且()cos (0,π) f x x x '=∈,取π(0,π)2ξ=∈,有π()cos cos 02f ξξ'===. 综上所述,函数()f x 满足罗尓定理的条件(2),不满足条件(1),(3),有满足定理结论的ξ,ξ=π2. 3. 不用求出函数()(1)(2)(3)f x x x x =---的导数,说明方程()0f x '=有几个实根,并指出它们所在的区间.解: 显然()f x 在[]1,2上连续,在()1,2内可导,且(1)(2)0f f ==,由罗尓定理知,在()1,2内至少存在一点1ξ,使1()0f ξ'=,即()0f x '=在()1,2内至少有一个实根.同理()0f x '=在()2,3内也至少有一个实根2ξ.又()0f x '=是二次方程,最多有两个实根,故()0f x '=有两个实根,分别在区间()1,2和()2,3内.4. 验证拉格朗日中值定理对函数3()2f x x x =+在区间[0,1]上的正确性.解: 显然3()2f x x x =+在[0,1]上连续,在()0,1内可导,满足拉格朗日中值定理的条件.若令2(1)(0)()32310f f f x x -'=+==-则33x =±,取33ξ=,即存在3(0,1)3ξ=∈,使得(1)(0)()10f f f ξ-=-成立. 从而拉格朗日中值定理对函数3()2f x x x =+在[0,1]上成立.5. 已知函数f (x )在[a ,b ]上连续,在(a ,b )内可导,且f (a )=f (b )=0,试证:在(a ,b )内至少存在一点ξ,使得f (ξ)+f ′(ξ) = 0,ξ∈(a ,b ). 证: 令()()e xF x f x =,则()()()e e xxF x f x f x ''=+由e x在(),-∞+∞上连续,可导,()f x 在[],a b 上连续,在(),a b 内可导,知()F x 在[],a b 上连续,在(),a b 内可导,而且()()0,()()0,()()e e 即abF a f a F b f b F a F b =====,由罗尓定理至少存在一点(,)a b ξ∈使()0F ξ'=.即 ()()0e e f f ξξξξ'+= 而0e ξ≠故 ()()0f f ξξ'+=即在(),a b 内至少存在一点ξ,使得()()0f f ξξ'+=. 6.若方程10110n n n a x a x a x --+++=有一个正根x 0,证明方程 12011(1)0n n n a nx a n x a ---+-++=必有一个小于0x 的正根.证: 令1011()…n n n f x a x a x a x --=+++,显然()f x 在[]00,x 连续,在()00,x 内可导,且(0)0f =,依题意知0()0f x =.即有0(0)()f f x =.由罗尓定理,至少存在一点0(0,)x ξ∈,使得()0f ξ'=成立,即12011(1)0…n n n a n a n a ξξ---+-++=成立,这就说明ξ是方程12011(1)0n n n a nx a n x a ---+-++=的一个小于0x 的正根.7. 设f (a ) = f (c ) = f (b ),且a <c <b , f ″(x )在[a ,b ]上存在,证明在(a ,b )内至少存在一点ξ,使f ″(ξ) = 0.证: 显然()f x 分别在[],a c 和[],c b 上满足罗尓定理的条件,从而至少存在1(,)a c ξ∈,2(,)c b ξ∈,使得12()()0f f ξξ''==.又由题意知()f x '在[]12,ξξ上满足罗尓定理的条件,从而至少存在一点12(,)(,)a b ξξξ∈⊂,使得()0f ξ''=.即在(,)a b 内至少存在一点ξ,使()0f ξ''=.习题4-21.利用洛必达法则求下列极限:(1) sin3lim tan5x xxπ→; (2) 0e 1lim (e 1)x x x x x →---;(3)lim m m n n x a x a x a →--; (4) 20()lim x xx a x a x→+-,(a >0); (5) 0ln lim cot x xx +→; (6) 0lim sin ln x x x +→;(7) 1ln(1)lim arccot x x x →+∞+; (8) 0e 1lim()e 1x x x x →--;(9) 1lim(1sin )xx x →+;(10) 2lim (arctan )πx x x →+∞(11) csc 03e lim()2x x x x →-+ ; (12) 2120lim e x x x →;(13) 332lim (1)x x x x x →+∞+++; (14) 1101lim (1)e xxx x →⎡⎤+⎢⎥⎣⎦. 解:222000011sin 33cos33(1)limlim lim cos3cos 5tan 55sec 5533(1)(1)5511(2)lim lim lim (1)111lim 22(3)lim lim lim πππe e e e e e e e e x x x x x xx x x xx xx x x x m m m n n n x a x a x a x x x x x x x x x x x x a mx x a nx →→→→→→→--→→→==⋅=⋅-⋅-=----==--+++==+-==-.m n m nm m x a n n --=2002220()ln ln()()(4)lim lim 21()()()ln ln()()lim2x x x x x x x x x x x a x a a a x a x a a x x xa x a x a x a a a x a x a x a x →→→⎡⎤+-++⎢⎥+-+⎣⎦=⎡⎤++++-++⎢⎥+++⎣⎦=[]2000221()ln ln 012 aa a a aa a a a ++-⋅+==2200000000001ln sin 2sin cos (5)lim lim lim lim cot csc 12sin 0cos 001ln sin (6)lim sin ln lim lim lim tan csc csc cot sin lim lim tan 100 x x x x x x x x x x x x x x x x x x x x x x x xx x x xxx x++++++++++→→→→→→→→→→==-=--=-⋅====-⋅-=-⋅=-⨯=222221111ln(1)111(7)lim lim lim lim 111cot 11arc x x x x xx x x x x x x x x→+∞→+∞→+∞→+∞-++++====+-++ 20002200001(1)(8)lim()lim lim 1(1)21443limlim 12022e e e e e e e e e e e e e e e e e e e x x x x x x x x x x x xxxxx x x x x x x xx x x x x x →→→→→-----==-------====+-++00022cos 11ln(1sin )cos 1sin ln(1sin )lim limlim 11sin 12112ln(arctan )arctan 1limlim 112ln(arctan )(9)lim(1sin )lim 2(10)lim (arctan )lim πππee =e ee ee eeπx x x x x xx xx x xxxxx x x x x x x x xxx x x x →→→→+∞→+∞++++→→⋅⋅+-→+∞→+∞+========2221lim12lim(1)arctan (1)arctan πe e ex x x x x xx →+∞→+∞--+-+===020033lnln322csc ln lim csc 2sin sin 0002(2)(3)33(2)limlim 1(3)(2)cos cos 3(11)lim()lim lim 21e e e e e e e e eee ee exxxx x x x x x x x x e e e x x x x xxxxx x x x x x x x xxx →→→---+++→→→+-+--⋅----+--+-===+====22221111220000221()(12)lim limlimlim 11()e eee x x x x x x x x x x x x→→→→'⋅====∞'2002332322332232323232311ln(1)1ln(1)1lim lim lim 01(13)lim (1)lim(1)111111lim3111111111(1)111(14)lim (1) eeee x x x x x x x x xx xxx x x x x x x x x x x x x x x x x x x x x x x x xx →→→+∞→+∞→+∞+-+-→+++++-=++++++++++===++++++++++⎡⎤===+⎢⎥⎣⎦00111211lim2(1)2eex x xx →→-+--+==2.设21lim1x x mx nx →++-=5,求常数m ,n 的值. 解: 1lim(1)0, x x →-= 而21lim51x x mx nx →++=- 21lim()0x x mx n →∴++=且21()lim5(1)x x mx n x →'++='- 即 10m n ++= 且 1lim(2)5x x m →+=即 1m n +=- 且 25m += 于是得 3,4m n ==-. 3.验证极限sin lim x x xx→∞+存在,但不能由洛必达法则得出.解: sin 1limlim(1sin )1x x x x x x x→∞→∞+=+=,极限存在,但若用洛必达法则,有sin limlim(1cos )x x x xx x→∞→∞+=+ 因lim cos x x →∞不存在,所以不能用洛必达法则得出.4.设f (x )二阶可导,求2()2()()limh f x h f x f x h h →+-+-.解: 这是型未定式,利用洛必达法则有 [][]200000()2()()()()limlim2()()()()1lim 21()()1()()11lim lim ()()2222().h h h h h f x h f x f x h f x h f x h h hf x h f x f x h f x hf x h f x f x h f x f x f x h h f x →→→→→''+-+-+--=''''-+---=''''+---''''=+=+-''= 5.设f (x )具有二阶连续导数,且f (0) = 0,试证g (x ) = (),0'(0),0f x x x f x ⎧≠⎪⎨⎪=⎩可导,且导函数连续. 证: 当0x ≠时,2()()()()()f x xf x f x g x x x'-''== 当0x =时,由200000()(0)()(0)()(0)lim lim lim 00()(0)1()(0)1lim lim (0)2202x x x x x f x f g x g f x xf x x x x f x f f x f f x x →→→→→'-'--==--''''--''===- 即 1(0)(0)2g f '''=所以 2()(),0()1(0),02xf x f x x xg x f x '-⎧≠⎪⎪'=⎨⎪''=⎪⎩由(),()f x f x '的连续性知()g x '在0x ≠处连续,又20000()()()()()lim ()limlim211lim ()(0)(0)22x x x x xf x f x f x xf x f x g x x xf x fg →→→→'''''-+-'=='''''===故()g x '在0x =处连续,所以()g x '在(),-∞+∞内处处连续.综上所述,(),0()(0),0f x xg x x f x ⎧≠⎪=⎨⎪'=⎩可导,且导函数连续.习题4-31.求函数f (x ) =e x x 的n 阶马克劳林公式.解:()()(1),()(1)(2),()()?…x x x x x x k x f x e xe e x f x e x e e x f x e k x '=+=+''=++=+=+()()(0)1(0),(1,2,3,)!!(1)!k k f k fk k k k k ∴====-又 (0)0f =321(1)()(01)2!(1)!(1)!n x n x x e n x f x x x x n n θθθ+++∴=+++++<<-+2.当01x =-时,求函数f (x ) = 1x的n 阶泰勒公式. 解:()()[]23()2341()1()112212!3!!()(1),()(1),()(1),,()(1)!(1)(1)!(1)(1)!1,(0,1,2,)!!(1)()(1)1(1)111(1) ? … n nn n n n n n n nn n f x f x f x f x x x x x n f n f n n n n x f x x x x x θ-++++''''''=-=-=-=-∴-=-⋅=----==-=+∴=-+-⎡⎤+++++++⎣⎦-++(01)θ<<3.按(4)x -的乘幂展开多项式432()53 4.f x x x x x =-+-+解: 函数432()534f x x x x x =-+-+,根据泰勒公式按(4)x -的幂的展开式是2(4)34(4)()(4)(4)(4)(4)2!(4)(4)(4)(4)3!4! f f x f f x x f f x x '''=+-+-'''+-+-而[][][]432324244(4)(4)454434456,(4)21,41523(4)137,123022!2(4)111,24303!3!(4)12414!4!x x x f f x x x f x x f x f ====-⨯+-⨯+=-'==-+-''==-+'''==-=⨯=所以,234()5621(4)37(4)11((4)(4)f x x x x x =-+-+-+-+-.4.利用泰勒公式求下列极限: (1)30sin limx x x x →-; (2) 21lim ln(1)x x x x →+∞⎡⎤-+⎢⎥⎣⎦. 解: (1) 利用泰勒公式,有34sin ()3!x x x o x =-+所以 343300430()sin 3!lim lim 1()1lim()66x x x x o x x x x x o x x →→→--==-= (2) 利用泰勒公式,有221111ln(1)()2o x x x x+=-+,所以222222221111lim lim ln(1)(())21()1111lim lim .()1222x x x x x x x x o x x x x o x x o x x →+∞→+∞→+∞→+∞⎡⎤⎡⎤=-+--+⎢⎥⎢⎥⎣⎦⎣⎦⎡⎤⎢⎥⎡⎤==-=-⎢⎥⎢⎥⎣⎦⎢⎥⎣⎦ 习题4-41. 求下面函数的单调区间与极值:(1)32()26187f x x x x =---; (2)()ln f x x x =-;(3)23()1(2)f x x =--; (4)()(4)f x x x =-. 解: (1) 2()612186(1)(3),f x x x x x '=--=+-令()0f x '=得驻点121,3,x x =-=-在()(),,13,-∞-+∞上,()0f x '>,在()1,3-上()0f x '<∴ ()f x 在(,1],[3,)-∞-+∞上单调增加,在[]1,3-上单调减少.当 1x =-时, ()f x 有极大值,极大值为(1)3f -=, 当 3x =时,()f x 有极小值,极小值为(3)61f =-.(2) 11()1x f x x x-'=-=,令()0f x '=得驻点1x =在()0,1上,()0f x '<;在()1,+∞上,()0f x '>∴ ()f x 在(0,1]上单调递减;在[1,)+∞上单调递增. 当1x =时,()f x 有极小值,极小值为(1)1f =. (3) 3()()032f x f x x ''=≠- 但当2x =时,()f x '不存在,在(,2)-∞上,()0f x '>;在(2,)+∞上,()0f x '<,∴ ()f x 在(,2]-∞上单调递增;在[2,)+∞上单调递减. 当2x =时, ()f x 有极大值,极大值为(2)1f =.(4) 2240()40x x x f x x x x ⎧-≥=⎨-+<⎩ ,则 240()240x x f x x x ->⎧'=⎨-+<⎩且当 0x =时,()f x '不存在,又令()0f x '=得2x =在(,0),(2,)-∞+∞上,()0f x '>,在(0,2)上()0f x '<∴ ()f x 在(,0],[2,)-∞+∞上单调递增;在[0,2]上单调递减; 当0x =时,()f x 有极大值,极大值为(0)0f =; 当2x =时, ()f x 有极小值,极小值为(2)4f =-.2. 试证方程sin x = x 只有一个根.证: 显然0x =是方程sin x x =得一个根(亦可将()sin f x x x =-运用零点定理).令()sin f x x x =-,则()cos 10f x x '=-≤,而()0f x '=的点不是单调区间的分界点,故()f x 在(,)-∞+∞内单调下降,所以()f x 在(,)-∞+∞内只有一个零点,即方程sin x x =只有0x =一个根.3. 已知()([0,))f x C ∈+∞,若f (0) = 0, f ′(x )在[0,)+∞内存在且单调增加,证明()f x x在[0,+∞)内也单调增加.解: 0 x ∀>,由题意知()f x 在[]0,x 上满足拉格朗日中值定理的条件,利用拉格朗日中值定理得,(0,) x ξ∃∈,使()(0)()f x f xf ξ'-=, 因 ()f x '在[0,)+∞单调增加,且(0)0f =,所以()()()f x xf xf x ξ''=≤ 即 ()()0xf x f x '-≥令 ()()(0) f x F x x x=>,则 2()()()0xf x f x F x x '-'=≥ 所以()F x 单调递增,即 ()f x x在(0,)+∞内单调增加.4. 证明下列不等式:(1) 1+12x 1x +x >0; (2)2ln(1)(0)2 x x x x x -<+<>. 证: (1) 令 1()112f x x x =+-+则1()(121f x x'=+, 当 0x >时1,()01f x x'<>+即()f x 单调递增,从而 ()(0)0f x f >=,故1112x x +>+. (2) 令 2()ln(1)2x f x x x =+-+,则 21()111x f x x x x'=-+=++当 0x >时,有()0f x '>,即()f x 单调递增,从而()(0)0f x f >= ,即2ln(1)2x x x +>-又令 ()ln(1)g x x x =-+,则1()111xg x x x'=-=++ 当 0x >时,()0g x '>,即 ()g x 单调递增,从而()(0)0g x g >=,即ln(1)x x >+.综上所述,当0x >时有2ln(1)2x x x x -<+<. 5. 试问a 为何值时,f (x ) = a sin x +13sin 3x 在x =3π处取得极值?是极大值还是极小值?并求出此极值.解: ()cos cos3f x a x x '=+若3πx =为极值点,则cos cos 03ππa +=,所以2a =. 又()2sin 3sin 3,()303πf x x x f ''''=--=-<故函数在3πx =处取得极大值,极大值为()33πf =.习题4 - 51. 某个体户以每条10元的价格购进一批牛仔裤,设此批牛仔裤的需求函数为402Q P =-,问该个体户应将销售价定为多少时,才能获得最大利润? 解: 利润2()10260400L P PQ Q P P =-=-+-, ()460L P P '=-+,令 ()0L P '=得 P =15所以应将销售价定为每条15元,才能获得最大利润. 2.设 f (x ) = cx α (c >0,0<α<1)为一生产函数,其中c 为效率因子,x 为投入量,产品的价格P 与原料价格Q 均为常量,问:投入量为多少时可使利润最大? 解: 依题意,总利润()()()L x Pf x Q x P cx Qx α=-=⋅- 则 1()L x Pc xQ αα-'=-令 ()0L x '=得 11Q x Pc αα-⎛⎫=⎪⎝⎭所以,投入量为11Q Pc αα-⎛⎫⎪⎝⎭时利润最大.3. 某产品的成本函数为23()156C Q Q Q Q =-+,(1) 生产数量为多少时,可使平均成本最小?(2) 求出边际成本,并验证边际成本等于平均成本时平均成本最小. 解: (1) 2()()156C Q C Q Q Q Q==-+ 令 260()Q C Q '=-=⎡⎤⎣⎦得Q =3 故 生产数量3Q =时,可使平均成本最小. (2) 2()15123MC C Q Q Q '==-+当 3Q =时,15123396MC =-⨯+⨯=2()156336C Q =-⨯+=即边际成本等于平均成本时平均成本最小. 4. 已知某厂生产Q 件产品的成本为C =25000+2000Q +1402Q (元). 问:(1) 要使平均成本最小,应生产多少件产品?(2) 若产品以每件5000元售出,要使利润最大,应生产多少件产品? 解: (1) 平均成本 250001()200040C Q Q Q =++ 边际成本1()200020C Q Q '=+. 当()()C Q C Q '=时,平均成本最小, 由()()C Q C Q '=即2500011200020004020Q Q Q ++=+ 得1000Q =(负值不合题意已舍去). 所以要使平均成本最小,应生产1000件产品.(2)221()5000()500025000200040130002500040L Q Q C Q Q Q Q Q Q =-=---=-+-令 1()3000020L Q Q '=-+=, 得60000Q =(件) 所以应生产60000件产品.5. 某厂全年消耗(需求)某种钢材5170吨,每次订购费用为5700元,每吨钢材单价为2400元,每吨钢材一年的库存维护费用为钢材单价的13.2%,求: (1) 最优订购批量; (2) 最优批次; (3) 最优进货周期; (4) 最小总费用.解: 由题意 215170,5700,1,240013.2%316.8 R C T C ====⨯= 则(1)最优订购批量*431.325q === (2)最优批次 5170*12*431.325R n q ==≈(次) (3)最优进货周期 36530.452*12T t n ===(天) (4)最小总费用*136643.9E ==≈(元)6. 用一块半径为R 的圆形铁皮,剪去一圆心角为α的扇形后,做成一个漏斗形容器,问α为何值时,容器的容积最大?解: 设漏斗的底面半径为r ,高为h ,为了计算方便令2ϕπα=-,则2,,2ππR r R r h ϕϕ====漏斗的容积2322123(83)πππV hr V ϕϕ==<<'=-令 0V '=得10ϕ=(舍之),2ϕ=34222237),40,9πππV V ϕϕϕ''=-+-⎫''=-<⎪⎭故当ϕ=时漏斗得容积最大.由2πϕα=-得2π2πα=-=,所以,当2ππ3α=-时,容积最大. 7. 工厂生产出的酒可即刻卖出,售价为k ;也可窖藏一个时期后再以较高的价格卖出.设售价V 为时间t 的函数V = k (k >0)为常数.若贮存成本为零,年利率为r ,则应何时将酒售出方获得最大利润(按连续复利计算). 解: ()e rt rtA t k k -=⋅=令()0rtr A t k ⎫'==⎪⎭得214t r = 所以,应窖藏214r 时以后售出可获得最大利润. 8. 若火车每小时所耗燃料费用与火车速度的三次方成正比,已知速度为20km/h ,每小时的燃料费用40元,其他费用每小时200元,求最经济的行驶速度. 解: 设火车每小时所耗燃料费为Q ,则 3Q kv = (k 为比例常数) 依题意得 34020k =⋅, 解得 1200k =, 又设火车行驶()km s 后,所耗费用为, 32200(200)()s E kv kv s v v=+⋅=+ 令 2200()0100v E s v'=-=, 得27.14v =≈ (km/h), 所以,最经济得行驶速度为27.14 km/h.习题 4-61. 讨论下列函数的凸性,并求曲线的拐点:(1) y =2x -3x ; (2) y = ln(1+2x ); (3) y = x e x; (4) y = 4(1)x ++e x; (5) y =2(3)x x +; (6) y=arctan e x. 解: (1)223,126,0.3令 得 y x x y x y x '=-''''=-==当13x <时,0y ''>; 当13x >时,0y ''<,且12()327f =所以,曲线23y x x =-在1(,)3-∞内是下凸的,在1(,)3+∞内是上凸的,点12(,)327是曲线的拐点.(2) 222222222(1)222(1),1(1)(1)x x x x x y y x x x +-⋅--'''===+++, 令0y ''=得,121,1x x =-=,这两点将定义域(,)-∞+∞分成三个部分区间,列表考察各部分区间上二阶导数得符号.所以,曲线2ln(1)y x =+在(,1)-∞-及(1,)+∞内是上凸的,在(1,1)-内是下凸的,点(1,ln 2)±是曲线的拐点.(3) 324(1),12(1)0xxy x e y x e '''=++=++> 所以,曲线在定义域(,)-∞+∞内处处下凸,没有拐点.(4) 343212,(3)(3)x x y y x x --'''==++,令 0y ''=得6x =当 6x <时,0y ''<,当6x >时,0y ''>;又2(6)27f =,函数的定义域为(,3)(3,)-∞--+∞;所以曲线在(,3),(3,6)-∞--内上凸,在(6,)+∞内下凸,点2(6,)27是拐点. (6)arctan 2arctan arctan arctan 2222221112(12)(1)(1)(1)x x x xy e x x x e y e e x x x '=⋅+-''=⋅-⋅=+++令 0y ''= 得 12x =当 12x <时,0y ''>,当12x >时,0y ''<,且 1arctan 21()2e f =,所以曲线在1(,)2-∞内向下凸,在1(,)2+∞内向上凸,点1arctan 21(,)2e是拐点.2. 利用函数的凸性证明下列不等式:(1) e e 2x y+>2e x y+, x ≠y ;(2) x ln x +y ln y >(x +y )ln2x y +,x >0,y >0,x ≠y .证: (1) 令()e xf x =,则()e xf x '=,()0e xf x ''=>,所以函数()f x 的曲线在定义域(,)-∞+∞内是严格下凸的,由曲线下凸的定义有: ()(),()()22x y f x f y x y f x y ++∀≠<≠ 即 22e e ex y x y ++< 即2()2e e e x yx y x y ++>≠. (2) 令()ln f x x x =,则1()1ln ,()f x x f x x'''=+=当 0x >时,恒有()0f x >,所以()f x 的曲线在(0,)+∞内是严格下凸的,由曲线下凸的定义有, 0,0,,x y x y ∀>>≠有()()()22f x f y x y f ++>即ln ln ()ln222x x y x y x y+++> 即 ln ln ()ln 2x yx x y y x y ++>+.3. 当a ,b 为何值时,点(1,3)为曲线y =a 3x +b 2x 的拐点. 解: 因为32y ax bx =+是二阶可导的,所以在拐点处0y ''=,而 232,62y ax bx y ax b '''=+=+ 所以 620a b +=又拐点(1,3)应是曲线上的点,所以3a b +=解方程6203a b a b +=⎧⎨+=⎩ 得 39,22a b =-=所以当39,22a b =-=时,点(1,3)为曲线32y ax bx =+的拐点. 4. 求下列曲线的渐近线:(1) y = ln x ; (2) 22x -;(3) y = 23xx-; (4) y = 221x x -. 解: (1) 0lim lim ln x x y x ++→→==-∞,所以ln y x =有垂直渐近线 0x =. 又 lim x y →+∞=+∞,但1ln lim lim lim 01x x x y xx y x x→+∞→+∞→+∞====,lim (0)x y x →+∞-⋅=∞,所以不存在水平或斜渐近线.(2) 220x x -=,所以有水平渐近线0y =,又22lim 0x x x y x -→∞→∞==,所以没有斜渐近线,又函数22x y -=没有间断点,因而也没有垂直渐近线.(3) 221limlim 0331x x xxx x→∞→∞==--,所以有水平渐近线0y =,又函数23xy x==-有两个间断点x x == 且22,,3x x xxx x=∞=∞--所以有两条垂直渐近线x =x = 又 21lim lim 3x x y x x →∞→∞==∞-,所以没有斜渐近线.(4) 2lim lim21x x x y x →∞→∞==∞-,所以没有水平渐近线, 又 函数221x y x =-有间断点12x =,且212lim21x x x →=∞-,所以有垂直渐近线12x =. 又1limlim 212x x y x x x →∞→∞==- 2111lim()lim()lim 22122(21)4x x x x x y x x x x →∞→∞→∞-=-==-- 所以有斜渐近线1124y x =+. 5.作出下列函数的图形:(1) f (x ) =21xx +; (2) ()2arctan f x x x =- (3) ()2,(0,)e xf x x x -=∈+∞. 解: (1) (i) 定义域为(,)-∞+∞.()()f x f x -=-,故曲线关于原点对称.(ii)21lim limlim 012x x x x y x x→∞→∞→∞===+,故曲线有渐近线0y =.(iii) 222222121,(1)(1)x x x x y x x +-⋅-'==++ 22223322423232(1)(1)2(1)222442(3)(1)(1)(1)x x x x x x x x x x x y x x x -+--⋅+⋅---+-''===+++,令0y '=即210x -=得驻点1x =±,又使0y ''=的点为0,3x =±.列表讨论如下x(,3)-∞-3-(3,1)--1-(1,0)-0 y′ - - - 0 + 1 y″- 0+++ 0 y34-拐点12-极小值x(0,1)1 (1,3)3(3,)+∞y′ + 0 - - - y″- -- 0+y12极大值34拐点作图如下:图4-1(2) (i) 定义域为(,)-∞+∞.又 ()arctan y x x x y -=-+=-,故为奇函数.(ii) 2arctan lim ,limlim (1)1,x x x y x y x x→±∞→±∞→±∞=∞=-=πlim ()lim (2arctan )(2)()π2x x y x x →±∞→±∞-=-=-±= 所以有渐近线πy x =.(iii) 222211,11x y x x -'=-=++ 2222222(1)(1)24,(1)(1)x x x x x y x x +--⋅''==++令 0y '=得驻点1x =±,又使0y ''=的点为0x =. 列表如下:x(,1)-∞-1-(1,0)-(0,1)1 (1,)+∞y′+ 0 - -1 - 0 + y″- --+ ++yπ12-+极大值拐点π12-极小值图4-2(3) (i) 定义域为(,)-∞+∞,且()((,))f x C ∈-∞+∞. (ii) ()2(1),()2(2),e e xxf x x f x x --'''=-=-由()0f x '=得1x =,由()0f x ''=得2x =,把定义域分为三个区间 (,1),(1,2),(2,);-∞+∞ (iii) 列表如下.x(,1)-∞1 (1,2)2 (2,)+∞f ′(x ) + 0 - - - f ″(x )- -- 0+ ()f x2e极大值24(2,)e 拐点(iv) lim ()0x f x →+∞=,故曲线()y f x =有渐近线0y =,lim ()x f x →+∞=-∞.(v) 补充点(0,0)并连点绘图,如图所示:图4-3(注:本资料素材和资料部分来自网络,仅供参考。
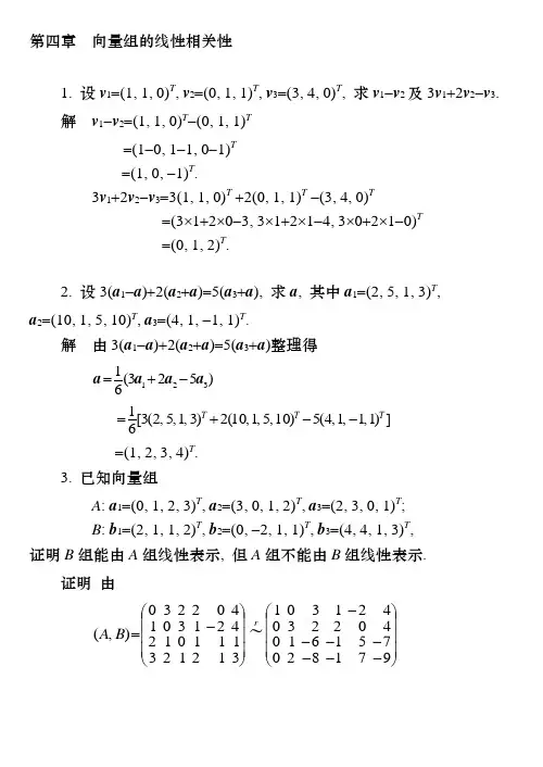
第四章 向量组的线性相关性1设v 1(1 1 0)T v 2(0 1 1)T v 3(3 4 0)T 求v 1v 2及3v 12v 2v 3解 v 1v 2(1 1 0)T (0 11)T(10 11 01)T(1 01)T3v 12v 2v 33(1 1 0)T 2(0 1 1)T (34 0)T(31203 31214 30210)T (0 1 2)T2 设3(a 1a )2(a 2a )5(a 3a ) 求a 其中a 1(2 5 13)Ta 2(10 1 5 10)Ta 3(41 1 1)T解 由3(a 1a )2(a 2a )5(a 3a )整理得)523(61321a a a a -+=])1 ,1 ,1 ,4(5)10 ,5 ,1 ,10(2)3 ,1 ,5 ,2(3[61TT T --+=(1 2 3 4)T3 已知向量组 A a 1(0 1 2 3)T a 2(3 0 1 2)T a 3(2 30 1)TBb 1(2 112)T b 2(02 1 1)T b 3(4 4 13)T证明B 组能由A 组线性表示 但A 组不能由B 组线性表示证明 由⎪⎪⎪⎭⎫ ⎝⎛-=312123111012421301402230) ,(B A ⎪⎪⎪⎭⎫⎝⎛-------971820751610402230421301~r ⎪⎪⎪⎭⎫ ⎝⎛------531400251552000751610421301 ~r ⎪⎪⎪⎭⎫ ⎝⎛-----000000531400751610421301~r 知R (A )R (A B )3 所以B 组能由A 组线性表示由⎪⎪⎪⎭⎫ ⎝⎛-⎪⎪⎪⎭⎫ ⎝⎛---⎪⎪⎪⎭⎫ ⎝⎛-=000000110201110110220201312111421402~~r r B 知R (B )2 因为R (B )R (B A ) 所以A 组不能由B 组线性表示4 已知向量组 A a 1(0 1 1)T a 2(1 10)TBb 1(10 1)T b 2(1 2 1)T b 3(3 2 1)T证明A 组与B 组等价 证明 由⎪⎪⎭⎫⎝⎛-⎪⎪⎭⎫ ⎝⎛-⎪⎪⎭⎫ ⎝⎛--=000001122010311112201122010311011111122010311) ,(~~r r A B知R (B )R (B A )2 显然在A 中有二阶非零子式 故R (A )2 又R (A )R (BA )2 所以R (A )2 从而R (A )R (B )R (A B ) 因此A 组与B 组等价5 已知R (a 1 a 2 a 3)2 R (a 2 a3 a 4)3 证明(1) a 1能由a 2 a 3线性表示 (2) a 4不能由a 1 a 2 a 3线性表示 证明 (1)由R (a 2 a 3 a 4)3知a 2 a 3 a 4线性无关 故a 2 a 3也线性无关 又由R (a 1 a 2 a 3)2知a 1 a 2 a 3线性相关 故a 1能由a 2 a 3线性表示(2)假如a 4能由a 1 a 2 a 3线性表示 则因为a 1能由a 2 a 3线性表示 故a 4能由a 2 a 3线性表示 从而a 2 a 3 a 4线性相关 矛盾 因此a 4不能由a 1 a 2 a 3线性表示6 判定下列向量组是线性相关还是线性无关 (1) (1 3 1)T (2 1 0)T (1 4 1)T (2) (23 0)T (14 0)T (00 2)T解 (1)以所给向量为列向量的矩阵记为A 因为⎪⎪⎭⎫ ⎝⎛-⎪⎪⎭⎫ ⎝⎛-⎪⎪⎭⎫ ⎝⎛-=000110121220770121101413121~~r r A所以R (A )2小于向量的个数 从而所给向量组线性相关(2)以所给向量为列向量的矩阵记为B 因为22200043012||≠=-=B所以R (B )3等于向量的个数 从而所给向量组线性相无关7 问a 取什么值时下列向量组线性相关? a 1(a 1 1)T a 2(1a 1)T a 3(11 a )T解 以所给向量为列向量的矩阵记为A 由aa aA 111111||--=如能使行列式等于0,则此时向量组线性相关(具体看书后相应答案)8 设a 1 a 2线性无关 a 1b a 2b 线性相关 求向量b 用a 1 a 2线性表示的表示式解 因为a 1b a 2b 线性相关 故存在不全为零的数12使1(a 1b )2(a 2b )0由此得2211121122121211)1(a a a a b λλλλλλλλλλλλ+--+-=+-+-=设211λλλ+-=c 则b c a 1(1c )a 2 c R9 设a 1 a 2线性相关 b 1 b 2也线性相关 问a 1b 1 a 2b 2是否一定线性相关?试举例说明之 (也可看书后答案) 解 不一定例如 当a 1(1 2)T , a 2(2 4)T , b 1(1 1)T , b 2(0 0)T 时 有 a 1b 1(1 2)T b 1(0 1)T , a 2b 2(2 4)T (0 0)T (2 4)T而a 1b 1 a 2b 2的对应分量不成比例 是线性无关的10 举例说明下列各命题是错误的 (1)若向量组a 1 a 2a m 是线性相关的则a 1可由a 2a m 线性表示解设a1e1(1000)a2a3a m0则a1 a2a m线性相关但a1不能由a2a m线性表示(2)若有不全为0的数12m使a1m a m1b1m b m01成立则a1a2a m线性相关, b1b2b m亦线性相关解有不全为零的数12m使a1m a m1b1m b m01原式可化为(a1b1)m(a m b m)01取a1e1b1a2e2b2a m e m b m其中e1e2e m为单位坐标向量则上式成立而a1a2a m和b1b2b m均线性无关(3)若只有当12m全为0时等式a1m a m1b1m b m01才能成立则a1a2a m线性无关, b1b2b m亦线性无关解由于只有当12m全为0时等式由1a1m a m1b1m b m0成立所以只有当12m全为0时等式(a1b1)2(a2b2)m(a m b m)01成立因此a1b1a2b2a m b m线性无关取a1a2a m0取b1b m为线性无关组则它们满足以上条件但a1a2a m线性相关(4)若a1a2a m线性相关, b1b2b m亦线性相关则有不全为0的数12m使a1m a m01b1m b m01同时成立解a1(1 0)T a2(2 0)T b1(0 3)T b2(0 4)Ta12a2 01221b12b2 01(3/4)210与题设矛盾1211设b1a1a2b2a2a3 b3a3a4 b4a4a1证明向量组b1b2 b3b4线性相关证明 由已知条件得a 1b 1a 2 a 2b 2a 3 a 3b 3a 4 a 4b 4a 1于是 a 1 b 1b 2a 3 b 1b 2b 3a 4b 1b 2b 3b 4a 1从而 b 1b 2b 3b 40这说明向量组b 1 b 2 b 3 b 4线性相关12 设b 1a 1 b 2a 1a 2b ra 1a 2a r 且向量组a 1 a 2a r 线性无关 证明向量组b 1 b 2b r 线性无关证明 已知的r 个等式可以写成⎪⎪⎪⎭⎫⎝⎛⋅⋅⋅⋅⋅⋅⋅⋅⋅⋅⋅⋅⋅⋅⋅⋅⋅⋅⋅⋅⋅⋅⋅⋅=⋅⋅⋅100110111) , , ,() , , ,(2121r r a a a b b b上式记为B AK 因为|K |10 K 可逆 所以R (B )R (A )r 从而向量组b 1 b 2b r 线性无关13 求下列向量组的秩, 并求一个最大无关组(1)a 1(1 2 1 4)T a 2(9 100 10 4)T a 3(2 4 2 8)T解 由⎪⎪⎪⎭⎫⎝⎛-⎪⎪⎪⎭⎫ ⎝⎛--⎪⎪⎪⎭⎫ ⎝⎛----=000000010291032001900820291844210141002291) , ,(~~321r r a a a知R (a 1 a 2 a 3)2 因为向量a 1与a 2的分量不成比例 故a 1 a 2线性无关 所以a 1 a 2是一个最大无关组(2)a 1T (1 2 1 3)a 2T (41 5 6)a 3T (134 7)解 由⎪⎪⎪⎭⎫⎝⎛--⎪⎪⎪⎭⎫ ⎝⎛------⎪⎪⎪⎭⎫⎝⎛------=00000059014110180590590141763451312141) , ,(~~321r r a a a知R (a 1T a 2T a 3T )R (a 1 a 2 a 3)2 因为向量a 1T 与a 2T 的分量不成比例 故a 1Ta 2T 线性无关 所以a 1T a 2T 是一个最大无关组14 利用初等行变换求下列矩阵的列向量组的一个最大无关组(1)⎪⎪⎪⎭⎫⎝⎛4820322513454947513253947543173125解 因为⎪⎪⎪⎭⎫ ⎝⎛482032251345494751325394754317312513121433~r r r r r r ---⎪⎪⎪⎭⎫ ⎝⎛531053103210431731253423~rr r r --⎪⎪⎪⎭⎫ ⎝⎛00003100321043173125所以第1、2、3列构成一个最大无关组.(2)⎪⎪⎪⎭⎫⎝⎛---14011313021512012211解 因为⎪⎪⎪⎭⎫ ⎝⎛---141131302151201221113142~rr r r --⎪⎪⎪⎭⎫ ⎝⎛------222001512015120122112343~rr r r +↔⎪⎪⎪⎭⎫ ⎝⎛---00000222001512012211所以第1、2、3列构成一个最大无关组(关于14的说明:14题和书上的14题有些不同,答案看书后的那个)15 设向量组(a3 1)T (2 b 3)T (1 2 1)T (2 31)T的秩为2 求a b解 设a 1(a 3 1)T a 2(2 b 3)T a 3(12 1)T a 4(23 1)T因为⎪⎪⎭⎫ ⎝⎛----⎪⎪⎭⎫ ⎝⎛---⎪⎪⎭⎫ ⎝⎛=52001110311161101110311131********) , , ,(~~2143b a a b a b a r r a a a a而R (a 1 a 2 a 3 a 4)2 所以a 2 b 516设a1a2a n是一组n维向量已知n维单位坐标向量e1e2e n能由它们线性表示证明a1a2a n线性无关证法一记A(a1a2a n)E(e1e2e n)由已知条件知存在矩阵K使E AK两边取行列式得|E||A||K|可见|A|0所以R(A)n从而a1a2a n线性无关证法二因为e1e2e n能由a1a2a n线性表示所以R(e1e2e n)R(a1a2a n)而R(e1e2e n)n R(a1a2a n)n所以R(a1a2a n)n从而a1a2a n线性无关17设a1a2a n是一组n维向量, 证明它们线性无关的充分必要条件是任一n维向量都可由它们线性表示证明必要性设a为任一n维向量因为a1a2a n线性无关而a1a2a n a是n1个n维向量是线性相关的所以a能由a1a2a n线性表示且表示式是唯一的充分性已知任一n维向量都可由a1a2a n线性表示故单位坐标向量组e1e2e n能由a1a2a n线性表示于是有n R(e1e2e n)R(a1a2a n)n即R(a1a2a n)n所以a1a2a n线性无关18设向量组a1a2a m线性相关且a10证明存在某个向量a k (2k m)使a k能由a1a2a k1线性表示证明因为a1a2a m线性相关所以存在不全为零的数12使ma12a2m a m01而且23m不全为零这是因为如若不然则1a10由a10知10矛盾因此存在k(2k m)使0k1k2m0k于是a12a2k a k01a k(1/k)(1a12a2k1a k1)即a k 能由a 1 a 2 a k 1线性表示19 设向量组B b 1 b r 能由向量组A a 1a s 线性表示为(b 1b r )(a 1a s )K 其中K 为s r 矩阵 且A 组线性无关 证明B 组线性无关的充分必要条件是矩阵K 的秩R (K )r 证明 令B (b 1b r ) A (a 1a s ) 则有B AK必要性 设向量组B 线性无关 由向量组B 线性无关及矩阵秩的性质 有 r R (B )R (AK )min{R (A ) R (K )}R (K )及 R (K )min{r s }r因此R (K )r充分性 因为R (K )r 所以存在可逆矩阵C 使⎪⎭⎫ ⎝⎛=O E KC r 为K 的标准形 于是(b 1b r )C ( a 1a s )KC(a 1 a r )因为C 可逆 所以R (b 1b r )R (a 1a r )r 从而b 1b r 线性无关20 设⎪⎩⎪⎨⎧+⋅⋅⋅+++=⋅⋅⋅⋅⋅⋅⋅⋅⋅⋅⋅⋅⋅⋅⋅⋅⋅⋅⋅⋅⋅+⋅⋅⋅++=+⋅⋅⋅++=-1321312321 n n n nααααβαααβαααβ证明向量组12n 与向量组12n 等价证明 将已知关系写成⎪⎪⎪⎪⎭⎫ ⎝⎛⋅⋅⋅⋅⋅⋅⋅⋅⋅⋅⋅⋅⋅⋅⋅⋅⋅⋅⋅⋅⋅⋅⋅⋅⋅⋅⋅⋅⋅⋅=⋅⋅⋅0111101111011110) , , ,() , , ,(2121n n αααβββ将上式记为B AK 因为0)1()1(0111101111011110||1≠--=⋅⋅⋅⋅⋅⋅⋅⋅⋅⋅⋅⋅⋅⋅⋅⋅⋅⋅⋅⋅⋅⋅⋅⋅⋅⋅⋅=-n K n所以K 可逆 故有A BK 1由B AK 和A BK 1可知向量组12n与向量组12n 可相互线性表示 因此向量组12n 与向量组12n 等价21 已知3阶矩阵A 与3维列向量x 满足A 3x 3A x A 2x 且向量组x A x A 2x 线性无关(1)记P (x A x A 2x ) 求3阶矩阵B 使AP PB解 因为AP A (x A x A 2x ) (A x A 2x A 3x )(A x A 2x 3A x A 2x )⎪⎪⎭⎫⎝⎛-=110301000) , ,(2x x x A A所以⎪⎪⎭⎫ ⎝⎛-=110301000B(2)求|A |解 由A 3x 3A x A 2x 得A (3x A x A 2x )0 因为x A x A 2x 线性无关 故3x A x A 2x 0 即方程A x 0有非零解 所以R (A )3 |A |0(从22题开始,凡涉及到基础解系问题的,答案都不是唯一的,可以参考本文答案,也可以看书后的答案,不过以书后的答案为主。
第4章习题答案思考题4-11.(1)不对。
我们现在遇到的向量都是自由向量,可以平行移动。
a 与b 共线的意思是a 与b 平行,a 与b 一开始并不一定在一条直线上。
(2)不对。
我们现在遇到的向量都是自由向量,可以平行移动。
a 、b 、c 共面的意思是它们平行于同一个平面, a 、b 、c 一开始并不一定在一个平面上; (3)不对。
参考下图,水平方向的向量为c .2.一个向量的方向可用它的单位向量、方向角、方向余弦表示。
习题4-11.(1)a ⊥b ;(2)a 与b 同向;(3)a 与b 反向且a b ≥;(4)a 与b 为同向的非零向量。
2.证:因为M 是线段AB 的中点,所以AM MB =,即O M O AO B O M-=-. 因而1()2OM OA OB =+. 3.()/a b a b abab++注:因为a a和b b都是单位向量,所以以它们为边的平行四边形是菱形,其对角线也是角平分线。
4.图略。
点A 关于Oxy 面的对称点的坐标为(2,4,1), 点B 关于y 轴的对称点的坐标为(2,4,1)-.5.A 在第II 卦限,B 在第V 卦限,C 在第VIII 卦限,D 在第III 卦限。
6.(1)点(,,a b c ) 关于Oxy 面,Oyz 面和Ozx 面的对称点的坐标分别为(,,)a b c -,(,,)a b c -和(,,)a b c -;(2)点(,,a b c )关于x 轴,y 轴和z 轴的对称点的坐标分别为(,,)a b c --,(,,)a b c --和(,,)a b c --;(3)点(,,a b c )关于坐标原点O 的对称点的坐标为(,,).a b c ---7.(1)从点(,,a b c )向x 轴,y 轴和z 轴作垂线的垂足分别为(,0,0)a ,(0,,0)b 和(0,0,)c ; (2)从点(,,a b c )向Oxy 面,Oyz 面和Ozx 面作垂线的垂足的坐标分别为(,,0)a b ,(0,,)b c 和(,0,)a c .8.234122.a b c i j k ++=-+-9.因为AB BC =,所以,2OB OA OC OB OC OB OA -=-=-。
第四章 向量组的线性相关性1. 设v 1=(1, 1, 0)T , v 2=(0, 1, 1)T , v 3=(3, 4, 0)T , 求v 1-v 2及3v 1+2v 2-v 3. 解 v 1-v 2=(1, 1, 0)T -(0, 1, 1)T=(1-0, 1-1, 0-1)T=(1, 0, -1)T .3v 1+2v 2-v 3=3(1, 1, 0)T +2(0, 1, 1)T -(3, 4, 0)T =(3⨯1+2⨯0-3, 3⨯1+2⨯1-4, 3⨯0+2⨯1-0)T =(0, 1, 2)T .2. 设3(a 1-a )+2(a 2+a )=5(a 3+a ), 求a , 其中a 1=(2, 5, 1, 3)T , a 2=(10, 1, 5, 10)T , a 3=(4, 1, -1, 1)T . 解 由3(a 1-a )+2(a 2+a )=5(a 3+a )整理得)523(61321a a a a -+=])1 ,1 ,1 ,4(5)10 ,5 ,1 ,10(2)3 ,1 ,5 ,2(3[61T T T --+==(1, 2, 3, 4)T . 3. 已知向量组A : a 1=(0, 1, 2, 3)T , a 2=(3, 0, 1, 2)T , a 3=(2, 3, 0, 1)T ;B : b 1=(2, 1, 1, 2)T , b 2=(0, -2, 1, 1)T , b 3=(4, 4, 1, 3)T , 证明B 组能由A 组线性表示, 但A 组不能由B 组线性表示. 证明 由 ⎪⎪⎪⎭⎫⎝⎛-=312123111012421301402230) ,(B A ⎪⎪⎪⎭⎫ ⎝⎛-------971820751610402230421301~r⎪⎪⎪⎭⎫⎝⎛------531400251552000751610421301 ~r⎪⎪⎪⎭⎫ ⎝⎛-----000000531400751610421301~r 知R (A )=R (A , B )=3, 所以B 组能由A 组线性表示. 由⎪⎪⎪⎭⎫ ⎝⎛-⎪⎪⎪⎭⎫ ⎝⎛---⎪⎪⎪⎭⎫⎝⎛-=000000110201110110220201312111421402~~r r B 知R (B )=2. 因为R (B )≠R (B , A ), 所以A 组不能由B 组线性表示.4. 已知向量组A : a 1=(0, 1, 1)T , a 2=(1, 1, 0)T ;B : b 1=(-1, 0, 1)T , b 2=(1, 2, 1)T , b 3=(3, 2, -1)T , 证明A 组与B 组等价. 证明 由⎪⎪⎭⎫⎝⎛-⎪⎪⎭⎫ ⎝⎛-⎪⎪⎭⎫ ⎝⎛--=000001122010311112201122010311011111122010311) ,(~~r r A B ,知R (B )=R (B , A )=2. 显然在A 中有二阶非零子式, 故R (A )≥2, 又R (A )≤R (B , A )=2, 所以R (A )=2, 从而R (A )=R (B )=R (A , B ). 因此A 组与B 组等价.5. 已知R (a 1, a 2, a 3)=2, R (a 2, a 3, a 4)=3, 证明 (1) a 1能由a 2, a 3线性表示; (2) a 4不能由a 1, a 2, a 3线性表示.证明 (1)由R (a 2, a 3, a 4)=3知a 2, a 3, a 4线性无关, 故a 2, a 3也线性无关. 又由R (a 1, a 2, a 3)=2知a 1, a 2, a 3线性相关, 故a 1能由a 2, a 3线性表示.(2)假如a 4能由a 1, a 2, a 3线性表示, 则因为a 1能由a 2, a 3线性表示, 故a 4能由a 2, a 3线性表示, 从而a 2, a 3, a 4线性相关, 矛盾. 因此a 4不能由a 1, a 2, a 3线性表示.6. 判定下列向量组是线性相关还是线性无关: (1) (-1, 3, 1)T , (2, 1, 0)T , (1, 4, 1)T ; (2) (2, 3, 0)T , (-1, 4, 0)T , (0, 0, 2)T .解 (1)以所给向量为列向量的矩阵记为A . 因为⎪⎪⎭⎫⎝⎛-⎪⎪⎭⎫ ⎝⎛-⎪⎪⎭⎫ ⎝⎛-=000110121220770121101413121~~r r A ,所以R (A )=2小于向量的个数, 从而所给向量组线性相关. (2)以所给向量为列向量的矩阵记为B . 因为022200043012||≠=-=B ,所以R (B )=3等于向量的个数, 从而所给向量组线性相无关.7. 问a 取什么值时下列向量组线性相关? a 1=(a , 1, 1)T , a 2=(1, a , -1)T , a 3=(1, -1, a )T . 解 以所给向量为列向量的矩阵记为A . 由)1)(1(111111||+-=--=a a a aa a A知, 当a =-1、0、1时, R (A )<3, 此时向量组线性相关.8. 设a 1, a 2线性无关, a 1+b , a 2+b 线性相关, 求向量b 用a 1, a 2线性表示的表示式.解 因为a 1+b , a 2+b 线性相关, 故存在不全为零的数λ1, λ2使λ1(a 1+b )+λ2(a 2+b )=0, 由此得 2211121122121211)1(a a a a b λλλλλλλλλλλλ+--+-=+-+-=, 设211λλλ+-=c , 则 b =c a 1-(1+c )a 2, c ∈R .9. 设a 1, a 2线性相关, b 1, b 2也线性相关, 问a 1+b 1, a 2+b 2是否一定线性相关?试举例说明之. 解 不一定.例如, 当a 1=(1, 2)T , a 2=(2, 4)T , b 1=(-1, -1)T , b 2=(0, 0)T 时, 有 a 1+b 1=(1, 2)T +b 1=(0, 1)T , a 2+b 2=(2, 4)T +(0, 0)T =(2, 4)T , 而a 1+b 1, a 2+b 2的对应分量不成比例, 是线性无关的.10. 举例说明下列各命题是错误的:(1)若向量组a 1, a 2, ⋅ ⋅ ⋅, a m 是线性相关的, 则a 1可由a 2, ⋅ ⋅ ⋅, a m 线性表示.解 设a 1=e 1=(1, 0, 0, ⋅ ⋅ ⋅, 0), a 2=a 3= ⋅ ⋅ ⋅ =a m =0, 则a 1, a 2, ⋅ ⋅ ⋅, a m 线性相关, 但a 1不能由a 2, ⋅ ⋅ ⋅, a m 线性表示. (2)若有不全为0的数λ1, λ2, ⋅ ⋅ ⋅, λm 使λ1a 1+ ⋅ ⋅ ⋅ +λm a m +λ1b 1+ ⋅ ⋅ ⋅ +λm b m =0成立, 则a 1, a 2, ⋅ ⋅ ⋅, a m 线性相关, b 1, b 2, ⋅ ⋅ ⋅, b m 亦线性相关. 解 有不全为零的数λ1, λ2, ⋅ ⋅ ⋅, λm 使λ1a 1+ ⋅ ⋅ ⋅ +λm a m +λ1b 1+ ⋅ ⋅ ⋅ +λm b m =0,原式可化为λ1(a 1+b 1)+ ⋅ ⋅ ⋅ +λm (a m +b m )=0.取a1=e1=-b1,a2=e2=-b2,⋅⋅⋅,a m=e m=-b m,其中e1,e2,⋅⋅⋅,e m为单位坐标向量,则上式成立,而a1,a2,⋅⋅⋅,a m和b1,b2,⋅⋅⋅,b m均线性无关.(3)若只有当λ1,λ2,⋅⋅⋅,λm全为0时,等式λ1a1+⋅⋅⋅+λm a m+λ1b1+⋅⋅⋅+λm b m=0才能成立,则a1,a2,⋅⋅⋅,a m线性无关, b1,b2,⋅⋅⋅,b m亦线性无关.解由于只有当λ1,λ2,⋅⋅⋅,λm全为0时,等式由λ1a1+⋅⋅⋅+λm a m+λ1b1+⋅⋅⋅+λm b m=0成立,所以只有当λ1,λ2,⋅⋅⋅,λm全为0时,等式λ1(a1+b1)+λ2(a2+b2)+⋅⋅⋅+λm(a m+b m)=0成立.因此a1+b1,a2+b2,⋅⋅⋅,a m+b m线性无关.取a1=a2=⋅⋅⋅=a m=0,取b1,⋅⋅⋅,b m为线性无关组,则它们满足以上条件,但a1,a2,⋅⋅⋅,a m线性相关.(4)若a1,a2,⋅⋅⋅,a m线性相关, b1,b2,⋅⋅⋅,b m亦线性相关,则有不全为0的数,λ1,λ2,⋅⋅⋅,λm使λ1a1+⋅⋅⋅+λm a m=0,λ1b1+⋅⋅⋅+λm b m=0同时成立.解a1=(1, 0)T,a2=(2, 0)T,b1=(0, 3)T,b2=(0, 4)T,λ1a1+λ2a2 =0⇒λ1=-2λ2,λ1b1+λ2b2 =0⇒λ1=-(3/4)λ2,⇒λ1=λ2=0,与题设矛盾.11.设b1=a1+a2,b2=a2+a3,b3=a3+a4,b4=a4+a1,证明向量组b1,b2,b3, b4线性相关.证明由已知条件得a 1=b 1-a 2, a 2=b 2-a 3, a 3=b 3-a 4, a 4=b 4-a 1, 于是 a 1 =b 1-b 2+a 3 =b 1-b 2+b 3-a 4 =b 1-b 2+b 3-b 4+a 1, 从而 b 1-b 2+b 3-b 4=0,这说明向量组b 1, b 2, b 3, b 4线性相关.12. 设b 1=a 1, b 2=a 1+a 2, ⋅ ⋅ ⋅, b r =a 1+a 2+ ⋅ ⋅ ⋅ +a r , 且向量组a 1, a 2, ⋅ ⋅ ⋅ , a r 线性无关, 证明向量组b 1, b 2, ⋅ ⋅ ⋅ , b r 线性无关. 证明 已知的r 个等式可以写成⎪⎪⎪⎭⎫⎝⎛⋅⋅⋅⋅⋅⋅⋅⋅⋅⋅⋅⋅⋅⋅⋅⋅⋅⋅⋅⋅⋅⋅⋅⋅=⋅⋅⋅100110111) , , ,() , , ,(2121r r a a a b b b , 上式记为B =AK . 因为|K |=1≠0, K 可逆, 所以R (B )=R (A )=r , 从而向量组b 1, b 2, ⋅ ⋅ ⋅ , b r 线性无关.13. 求下列向量组的秩, 并求一个最大无关组:(1)a 1=(1, 2, -1, 4)T , a 2=(9, 100, 10, 4)T , a 3=(-2, -4, 2, -8)T ; 解 由⎪⎪⎪⎭⎫ ⎝⎛-⎪⎪⎪⎭⎫ ⎝⎛--⎪⎪⎪⎭⎫ ⎝⎛----=000000010291032001900820291844210141002291) , ,(~~321r r a a a ,知R (a 1, a 2, a 3)=2. 因为向量a 1与a 2的分量不成比例, 故a 1, a 2线性无关, 所以a 1, a 2是一个最大无关组.(2)a 1T =(1, 2, 1, 3), a 2T =(4, -1, -5, -6), a 3T =(1, -3, -4, -7). 解 由⎪⎪⎪⎭⎫⎝⎛--⎪⎪⎪⎭⎫ ⎝⎛------⎪⎪⎪⎭⎫⎝⎛------=00000059014110180590590141763451312141) , ,(~~321r r a a a , 知R (a 1T , a 2T , a 3T )=R (a 1, a 2, a 3)=2. 因为向量a 1T 与a 2T 的分量不成比例, 故a 1T , a 2T 线性无关, 所以a 1T , a 2T 是一个最大无关组.14. 利用初等行变换求下列矩阵的列向量组的一个最大无关组: (1)⎪⎪⎪⎭⎫⎝⎛4820322513454947513253947543173125;解 因为⎪⎪⎪⎭⎫ ⎝⎛482032251345494751325394754317312513121433~r r r r r r ---⎪⎪⎪⎭⎫ ⎝⎛531053103210431731253423~rr r r --⎪⎪⎪⎭⎫ ⎝⎛00003100321043173125, 所以第1、2、3列构成一个最大无关组.(2)⎪⎪⎪⎭⎫⎝⎛---14011313021512012211. 解 因为⎪⎪⎪⎭⎫ ⎝⎛---1401131302151201221113142~r r r r --⎪⎪⎪⎭⎫ ⎝⎛------22201512015120122112343~r r r r +↔⎪⎪⎪⎭⎫ ⎝⎛---00000222001512012211, 所以第1、2、3列构成一个最大无关组.15. 设向量组(a , 3, 1)T , (2, b , 3)T , (1, 2, 1)T , (2, 3, 1)T的秩为2, 求a , b .解 设a 1=(a , 3, 1)T , a 2=(2, b , 3)T , a 3=(1, 2, 1)T , a 4=(2, 3, 1)T . 因为⎪⎪⎭⎫ ⎝⎛----⎪⎪⎭⎫ ⎝⎛---⎪⎪⎭⎫ ⎝⎛=5200111031116110111031113111332221) , , ,(~~2143b a a b a b a r r a a a a ,而R (a 1, a 2, a 3, a 4)=2, 所以a =2, b =5.16. 设a 1, a 2, ⋅ ⋅ ⋅, a n 是一组n 维向量, 已知n 维单位坐标向量e 1, e 2,⋅ ⋅ ⋅, e n 能由它们线性表示, 证明a 1, a 2, ⋅ ⋅ ⋅, a n 线性无关.证法一 记A =(a 1, a 2, ⋅ ⋅ ⋅, a n ), E =(e 1, e 2,⋅ ⋅ ⋅, e n ). 由已知条件知, 存在矩阵K , 使E =AK .两边取行列式, 得|E |=|A ||K |.可见|A |≠0, 所以R (A )=n , 从而a 1, a 2, ⋅ ⋅ ⋅, a n 线性无关.证法二 因为e 1, e 2,⋅ ⋅ ⋅, e n 能由a 1, a 2, ⋅ ⋅ ⋅, a n 线性表示, 所以R (e 1, e 2,⋅ ⋅ ⋅, e n )≤R (a 1, a 2, ⋅ ⋅ ⋅, a n ),而R (e 1, e 2,⋅ ⋅ ⋅, e n )=n , R (a 1, a 2, ⋅ ⋅ ⋅, a n )≤n , 所以R (a 1, a 2, ⋅ ⋅ ⋅, a n )=n , 从而a 1, a 2, ⋅ ⋅ ⋅, a n 线性无关.17. 设a 1, a 2, ⋅ ⋅ ⋅, a n 是一组n 维向量, 证明它们线性无关的充分必要条件是: 任一n 维向量都可由它们线性表示.证明 必要性: 设a 为任一n 维向量. 因为a 1, a 2, ⋅ ⋅ ⋅, a n 线性无关,而a1,a2,⋅⋅⋅,a n,a是n+1个n维向量,是线性相关的,所以a能由a1,a2,⋅⋅⋅,a n线性表示,且表示式是唯一的.充分性:已知任一n维向量都可由a1,a2,⋅⋅⋅,a n线性表示,故单位坐标向量组e1,e2,⋅⋅⋅,e n能由a1,a2,⋅⋅⋅,a n线性表示,于是有n=R(e1,e2,⋅⋅⋅,e n)≤R(a1,a2,⋅⋅⋅,a n)≤n,即R(a1,a2,⋅⋅⋅,a n)=n,所以a1,a2,⋅⋅⋅,a n线性无关.18.设向量组a1,a2,⋅⋅⋅,a m线性相关,且a1≠0,证明存在某个向量a k (2≤k≤m),使a k能由a1,a2,⋅⋅⋅,a k-1线性表示.证明因为a1,a2,⋅⋅⋅,a m线性相关,所以存在不全为零的数λ1,λ2,⋅⋅⋅,λm,使λ1a1+λ2a2+⋅⋅⋅+λm a m=0,而且λ2,λ3,⋅⋅⋅,λm不全为零.这是因为,如若不然,则λ1a1=0,由a1≠0知λ1=0,矛盾.因此存在k(2≤k≤m),使λk≠0,λk+1=λk+2=⋅⋅⋅=λm=0,于是λ1a1+λ2a2+⋅⋅⋅+λk a k=0,a k=-(1/λk)(λ1a1+λ2a2+⋅⋅⋅+λk-1a k-1),即a k能由a1,a2,⋅⋅⋅,a k-1线性表示.19.设向量组B:b1,⋅⋅⋅,b r能由向量组A:a1,⋅⋅⋅,a s线性表示为(b1,⋅⋅⋅,b r)=(a1,⋅⋅⋅,a s)K,其中K为s⨯r矩阵,且A组线性无关.证明B 组线性无关的充分必要条件是矩阵K的秩R(K)=r.证明令B=(b1,⋅⋅⋅,b r),A=(a1,⋅⋅⋅,a s),则有B=AK.必要性: 设向量组B 线性无关.由向量组B 线性无关及矩阵秩的性质, 有 r =R (B )=R (AK )≤min{R (A ), R (K )}≤R (K ), 及 R (K )≤min{r , s }≤r . 因此R (K )=r .充分性: 因为R (K )=r , 所以存在可逆矩阵C , 使⎪⎭⎫⎝⎛=O E KC r 为K 的标准形. 于是(b 1, ⋅ ⋅ ⋅, b r )C =( a 1, ⋅ ⋅ ⋅, a s )KC =(a 1, ⋅ ⋅ ⋅, a r ).因为C 可逆, 所以R (b 1, ⋅ ⋅ ⋅, b r )=R (a 1, ⋅ ⋅ ⋅, a r )=r , 从而b 1, ⋅ ⋅ ⋅, b r 线性无关.20. 设⎪⎩⎪⎨⎧+⋅⋅⋅+++=⋅⋅⋅⋅⋅⋅⋅⋅⋅⋅⋅⋅⋅⋅⋅⋅⋅⋅⋅⋅⋅+⋅⋅⋅++=+⋅⋅⋅++=-1321312321 n n nn ααααβαααβαααβ, 证明向量组α1, α2, ⋅ ⋅ ⋅, αn 与向量组β1, β2, ⋅ ⋅ ⋅, βn 等价. 证明 将已知关系写成⎪⎪⎪⎪⎭⎫ ⎝⎛⋅⋅⋅⋅⋅⋅⋅⋅⋅⋅⋅⋅⋅⋅⋅⋅⋅⋅⋅⋅⋅⋅⋅⋅⋅⋅⋅⋅⋅⋅=⋅⋅⋅0111101111011110) , , ,() , , ,(2121n n αααβββ, 将上式记为B =AK . 因为0)1()1(0111101*********||1≠--=⋅⋅⋅⋅⋅⋅⋅⋅⋅⋅⋅⋅⋅⋅⋅⋅⋅⋅⋅⋅⋅⋅⋅⋅⋅⋅⋅=-n K n , 所以K 可逆, 故有A =BK -1. 由B =AK 和A =BK -1可知向量组α1, α2, ⋅ ⋅ ⋅, αn 与向量组β1, β2, ⋅ ⋅ ⋅, βn 可相互线性表示. 因此向量组α1, α2, ⋅ ⋅ ⋅, αn 与向量组β1, β2, ⋅ ⋅ ⋅, βn 等价.21. 已知3阶矩阵A 与3维列向量x 满足A 3x =3A x -A 2x , 且向量组x , A x , A 2x 线性无关.(1)记P =(x , A x , A 2x ), 求3阶矩阵B , 使AP =PB ;解 因为AP =A (x , A x , A 2x )=(A x , A 2x , A 3x )=(A x , A 2x , 3A x -A 2x )⎪⎪⎭⎫ ⎝⎛-=110301000) , ,(2x x x A A , 所以⎪⎪⎭⎫ ⎝⎛-=110301000B . (2)求|A |.解 由A 3x =3A x -A 2x , 得A (3x -A x -A 2x )=0. 因为x , A x , A 2x 线性无关, 故3x -A x -A 2x ≠0, 即方程A x =0有非零解, 所以R (A )<3, |A |=0. 22. 求下列齐次线性方程组的基础解系:(1)⎪⎩⎪⎨⎧=-++=-++=++-02683054202108432143214321x x x x x x x x x x x x ; 解 对系数矩阵进行初等行变换, 有⎪⎪⎭⎫ ⎝⎛--⎪⎪⎭⎫ ⎝⎛---=00004/14/3100401 2683154221081~r A , 于是得⎩⎨⎧+=-=43231)4/1()4/3(4x x x x x . 取(x 3, x 4)T =(4, 0)T , 得(x 1, x 2)T =(-16, 3)T ;取(x 3, x 4)T =(0, 4)T , 得(x 1, x 2)T =(0, 1)T .因此方程组的基础解系为ξ1=(-16, 3, 4, 0)T , ξ2=(0, 1, 0, 4)T .(2)⎪⎩⎪⎨⎧=-++=-++=+--03678024530232432143214321x x x x x x x x x x x x . 解 对系数矩阵进行初等行变换, 有⎪⎪⎭⎫ ⎝⎛--⎪⎪⎭⎫ ⎝⎛----=000019/719/141019/119/201 367824531232~r A , 于是得⎩⎨⎧+-=+-=432431)19/7()19/14()19/1()19/2(x x x x x x . 取(x 3, x 4)T =(19, 0)T , 得(x 1, x 2)T =(-2, 14)T ;取(x 3, x 4)T =(0, 19)T , 得(x 1, x 2)T =(1, 7)T .因此方程组的基础解系为ξ1=(-2, 14, 19, 0)T , ξ2=(1, 7, 0, 19)T .(3)nx 1 +(n -1)x 2+ ⋅ ⋅ ⋅ +2x n -1+x n =0.解 原方程组即为x n =-nx 1-(n -1)x 2- ⋅ ⋅ ⋅ -2x n -1.取x 1=1, x 2=x 3= ⋅ ⋅ ⋅ =x n -1=0, 得x n =-n ;取x 2=1, x 1=x 3=x 4= ⋅ ⋅ ⋅ =x n -1=0, 得x n =-(n -1)=-n +1;⋅ ⋅ ⋅ ;取x n -1=1, x 1=x 2= ⋅ ⋅ ⋅ =x n -2=0, 得x n =-2.因此方程组的基础解系为ξ1=(1, 0, 0, ⋅ ⋅ ⋅, 0, -n )T ,ξ2=(0, 1, 0, ⋅ ⋅ ⋅, 0, -n +1)T ,⋅ ⋅ ⋅,ξn -1=(0, 0, 0, ⋅ ⋅ ⋅, 1, -2)T .23. 设⎪⎭⎫ ⎝⎛--=82593122A , 求一个4⨯2矩阵B , 使AB =0, 且 R (B )=2.解 显然B 的两个列向量应是方程组AB =0的两个线性无关的解. 因为⎪⎭⎫ ⎝⎛---⎪⎭⎫ ⎝⎛--=8/118/5108/18/101 82593122~rA , 所以与方程组AB =0同解方程组为⎩⎨⎧+=-=432431)8/11()8/5()8/1()8/1(x x x x x x . 取(x 3, x 4)T =(8, 0)T , 得(x 1, x 2)T =(1, 5)T ;取(x 3, x 4)T =(0, 8)T , 得(x 1, x 2)T =(-1, 11)T .方程组AB =0的基础解系为ξ1=(1, 5, 8, 0)T , ξ2=(-1, 11, 0, 8)T .因此所求矩阵为⎪⎪⎪⎭⎫ ⎝⎛-=800811511B .24. 求一个齐次线性方程组, 使它的基础解系为ξ1=(0, 1, 2, 3)T , ξ2=(3, 2, 1, 0)T .解 显然原方程组的通解为⎪⎪⎪⎭⎫ ⎝⎛+⎪⎪⎪⎭⎫ ⎝⎛=⎪⎪⎪⎭⎫ ⎝⎛01233210214321k k x x x x , 即⎪⎩⎪⎨⎧=+=+==14213212213223k x k k x k k x k x , (k 1, k 2∈R ), 消去k 1, k 2得⎩⎨⎧=+-=+-023032431421x x x x x x , 此即所求的齐次线性方程组.25. 设四元齐次线性方程组I : ⎩⎨⎧=-=+004221x x x x , II : ⎩⎨⎧=+-=+-00432321x x x x x x . 求: (1)方程I 与II 的基础解系; (2) I 与II 的公共解.解 (1)由方程I 得⎩⎨⎧=-=4241x x x x . 取(x 3, x 4)T =(1, 0)T , 得(x 1, x 2)T =(0, 0)T ;取(x 3, x 4)T =(0, 1)T , 得(x 1, x 2)T =(-1, 1)T .因此方程I 的基础解系为ξ1=(0, 0, 1, 0)T , ξ2=(-1, 1, 0, 1)T .由方程II 得⎩⎨⎧-=-=43241x x x x x . 取(x 3, x 4)T =(1, 0)T , 得(x 1, x 2)T =(0, 1)T ;取(x 3, x 4)T =(0, 1)T , 得(x 1, x 2)T =(-1, -1)T .因此方程II 的基础解系为ξ1=(0, 1, 1, 0)T , ξ2=(-1, -1, 0, 1)T .(2) I 与II 的公共解就是方程III : ⎪⎩⎪⎨⎧=+-=+-=-=+00004323214221x x x x x x x x x x 的解. 因为方程组III 的系数矩阵⎪⎪⎪⎭⎫ ⎝⎛--⎪⎪⎪⎭⎫ ⎝⎛---=0000210010101001 1110011110100011~r A , 所以与方程组III 同解的方程组为⎪⎩⎪⎨⎧==-=4342412x x x x x x . 取x 4=1, 得(x 1, x 2, x 3)T =(-1, 1, 2)T , 方程组III 的基础解系为 ξ=(-1, 1, 2, 1)T .因此I 与II 的公共解为x =c (-1, 1, 2, 1)T , c ∈R .26. 设n 阶矩阵A 满足A 2=A , E 为n 阶单位矩阵, 证明R (A )+R (A -E )=n .证明 因为A (A -E )=A 2-A =A -A =0, 所以R (A )+R (A -E )≤n . 又R (A -E )=R (E -A ), 可知R (A )+R (A -E )=R (A )+R (E -A )≥R (A +E -A )=R (E )=n ,由此R (A )+R (A -E )=n .27. 设A 为n 阶矩阵(n ≥2), A *为A 的伴随阵, 证明⎪⎩⎪⎨⎧-≤-===2)( 01)( 1)( *)(n A R n A R n A R n A R 当当当. 证明 当R (A )=n 时, |A |≠0, 故有|AA *|=||A |E |=|A |≠0, |A *|≠0,所以R (A *)=n .当R (A )=n -1时, |A |=0, 故有AA *=|A |E =0,即A *的列向量都是方程组A x =0的解. 因为R (A )=n -1, 所以方程组A x =0的基础解系中只含一个解向量, 即基础解系的秩为1. 因此R (A *)=1. 当R (A )≤n -2时, A 中每个元素的代数余子式都为0, 故A *=O , 从而R (A *)=0.28. 求下列非齐次方程组的一个解及对应的齐次线性方程组的基础解系:(1)⎪⎩⎪⎨⎧=+++=+++=+3223512254321432121x x x x x x x x x x ; 解 对增广矩阵进行初等行变换, 有⎪⎪⎭⎫ ⎝⎛--⎪⎪⎭⎫ ⎝⎛=2100013011080101 322351211250011~r B . 与所给方程组同解的方程为⎪⎩⎪⎨⎧=+=--=213 843231x x x x x . 当x 3=0时, 得所给方程组的一个解η=(-8, 13, 0, 2)T .与对应的齐次方程组同解的方程为⎪⎩⎪⎨⎧==-=043231x x x x x . 当x 3=1时, 得对应的齐次方程组的基础解系ξ=(-1, 1, 1, 0)T .(2)⎪⎩⎪⎨⎧-=+++-=-++=-+-6242163511325432143214321x x x x x x x x x x x x .解 对增广矩阵进行初等行变换, 有⎪⎪⎭⎫ ⎝⎛---⎪⎪⎭⎫ ⎝⎛-----=0000022/17/11012/17/901 6124211635113251~r B . 与所给方程组同解的方程为⎩⎨⎧--=++-=2)2/1((1/7)1)2/1()7/9(432431x x x x x x . 当x 3=x 4=0时, 得所给方程组的一个解η=(1, -2, 0, 0)T .与对应的齐次方程组同解的方程为⎩⎨⎧-=+-=432431)2/1((1/7))2/1()7/9(x x x x x x . 分别取(x 3, x 4)T =(1, 0)T , (0, 1)T , 得对应的齐次方程组的基础解系ξ1=(-9, 1, 7, 0)T . ξ2=(1, -1, 0, 2)T .29. 设四元非齐次线性方程组的系数矩阵的秩为3, 已知η1, η2, η3是它的三个解向量. 且η1=(2, 3, 4, 5)T , η2+η3=(1, 2, 3, 4)T ,求该方程组的通解.解 由于方程组中未知数的个数是4, 系数矩阵的秩为3, 所以对应的齐次线性方程组的基础解系含有一个向量, 且由于η1, η2, η3均为方程组的解, 由非齐次线性方程组解的结构性质得2η1-(η2+η3)=(η1-η2)+(η1-η3)= (3, 4, 5, 6)T为其基础解系向量, 故此方程组的通解:x =k (3, 4, 5, 6)T +(2, 3, 4, 5)T , (k ∈R ).30. 设有向量组A : a 1=(α, 2, 10)T , a 2=(-2, 1, 5)T , a 3=(-1, 1, 4)T , 及b =(1, β, -1)T , 问α, β为何值时(1)向量b 不能由向量组A 线性表示;(2)向量b 能由向量组A 线性表示, 且表示式唯一;(3)向量b 能由向量组A 线性表示, 且表示式不唯一, 并求一般表示式.解 ⎪⎪⎭⎫ ⎝⎛---=11054211121) , , ,(123βαb a a a ⎪⎪⎭⎫ ⎝⎛-+++---βαβαα34001110121 ~r . (1)当α=-4, β≠0时, R (A )≠R (A , b ), 此时向量b 不能由向量组A 线性表示.(2)当α≠-4时, R (A )=R (A , b )=3, 此时向量组a 1, a 2, a 3线性无关, 而向量组a 1, a 2, a 3, b 线性相关, 故向量b 能由向量组A 线性表示, 且表示式唯一.(3)当α=-4, β=0时, R (A )=R (A , b )=2, 此时向量b 能由向量组A 线性表示, 且表示式不唯一.当α=-4, β=0时,⎪⎪⎭⎫ ⎝⎛----=1105402111421) , , ,(123b a a a ⎪⎪⎭⎫ ⎝⎛--000013101201 ~r , 方程组(a 3, a 2, a 1)x =b 的解为⎪⎪⎭⎫ ⎝⎛--+=⎪⎪⎭⎫ ⎝⎛-+⎪⎪⎭⎫ ⎝⎛-=⎪⎪⎭⎫ ⎝⎛c c c c x x x 1312011132321, c ∈R . 因此 b =(2c +1)a 3+(-3c -1)a 2+c a 1,即 b = c a 1+(-3c -1)a 2+(2c +1)a 3, c ∈R .31. 设a =(a 1, a 2, a 3)T , b =(b 1, b 2, b 3)T , c =(c 1, c 2, c 3)T , 证明三直线 l 1: a 1x +b 1y +c 1=0,l 2: a 2x +b 2y +c 2=0, (a i 2+b i 2≠0, i =1, 2, 3)l 3: a 3x +b 3y +c 3=0,相交于一点的充分必要条件为: 向量组a , b 线性无关, 且向量组a , b , c 线性相关.证明 三直线相交于一点的充分必要条件为方程组⎪⎩⎪⎨⎧=++=++=++000333222111c y b x a c y b x a c y b x a , 即⎪⎩⎪⎨⎧-=+-=+-=+333222111c y b x a c y b x a c y b x a 有唯一解. 上述方程组可写为x a +y b =-c . 因此三直线相交于一点的充分必要条件为c 能由a , b 唯一线性表示, 而c 能由a , b 唯一线性表示的充分必要条件为向量组a , b 线性无关, 且向量组a , b , c 线性相关. 32. 设矩阵A =(a 1, a 2, a 3, a 4), 其中a 2, a 3, a 4线性无关, a 1=2a 2- a 3. 向量b =a 1+a 2+a 3+a 4, 求方程A x =b 的通解.解 由b =a 1+a 2+a 3+a 4知η=(1, 1, 1, 1)T 是方程A x =b 的一个解. 由a 1=2a 2- a 3得a 1-2a 2+a 3=0, 知ξ=(1, -2, 1, 0)T 是A x =0的一个解. 由a 2, a 3, a 4线性无关知R (A )=3, 故方程A x =b 所对应的齐次方程A x =0的基础解系中含一个解向量. 因此ξ=(1, -2, 1, 0)T 是方程A x =0的基础解系.方程A x =b 的通解为x =c (1, -2, 1, 0)T +(1, 1, 1, 1)T , c ∈R .33. 设η*是非齐次线性方程组A x =b 的一个解, ξ1, ξ2, ⋅ ⋅ ⋅, ξn -r ,是对应的齐次线性方程组的一个基础解系, 证明:(1)η*, ξ1, ξ2, ⋅ ⋅ ⋅, ξn -r 线性无关;(2)η*,η*+ξ1,η*+ξ2,⋅⋅⋅,η*+ξn-r线性无关.证明(1)反证法, 假设η*,ξ1,ξ2,⋅⋅⋅,ξn-r线性相关.因为ξ1,ξ2,⋅⋅⋅,ξn-r线性无关,而η*,ξ1,ξ2,⋅⋅⋅,ξn-r线性相关,所以η*可由ξ1,ξ2,⋅⋅⋅,ξn-r 线性表示,且表示式是唯一的,这说明η*也是齐次线性方程组的解,矛盾.(2)显然向量组η*,η*+ξ1,η*+ξ2,⋅⋅⋅,η*+ξn-r与向量组η*,ξ1,ξ2,⋅⋅⋅,ξn-r可以相互表示,故这两个向量组等价,而由(1)知向量组η*,ξ1,ξ2,⋅⋅⋅,ξn-r线性无关,所以向量组η*,η*+ξ1,η*+ξ2,⋅⋅⋅,η*+ξn-r也线性无关.34.设η1,η2,⋅⋅⋅,ηs是非齐次线性方程组A x=b的s个解,k1,k2,⋅⋅⋅,k s 为实数,满足k1+k2+⋅⋅⋅+k s=1. 证明x=k1η1+k2η2+⋅⋅⋅+k sηs也是它的解.证明因为η1,η2,⋅⋅⋅,ηs都是方程组A x=b的解,所以Aηi=b (i=1, 2,⋅⋅⋅,s),从而A(k1η1+k2η2+⋅⋅⋅+k sηs)=k1Aη1+k2Aη2+⋅⋅⋅+k s Aηs=(k1+k2+⋅⋅⋅+k s)b=b.因此x=k1η1+k2η2+⋅⋅⋅+k sηs也是方程的解.35.设非齐次线性方程组A x=b的系数矩阵的秩为r,η1,η2,⋅⋅⋅,ηn-r+1是它的n-r+1个线性无关的解.试证它的任一解可表示为x=k1η1+k2η2+⋅⋅⋅+k n-r+1ηn-r+1, (其中k1+k2+⋅⋅⋅+k n-r+1=1).证明因为η1,η2,⋅⋅⋅,ηn-r+1均为A x=b的解,所以ξ1=η2-η1,ξ2=η3-η1,⋅⋅⋅,ξn-r=η n-r+1-η1均为A x=b的解.用反证法证:ξ1,ξ2,⋅⋅⋅,ξn-r线性无关.设它们线性相关,则存在不全为零的数λ1,λ2,⋅⋅⋅,λn-r,使得λ1ξ1+λ2ξ2+⋅⋅⋅+λ n-rξ n-r=0,即λ1(η2-η1)+λ2(η3-η1)+⋅⋅⋅+λ n-r(ηn-r+1-η1)=0,亦即-(λ1+λ2+⋅⋅⋅+λn-r)η1+λ1η2+λ2η3+⋅⋅⋅+λ n-rηn-r+1=0,由η1,η2,⋅⋅⋅,ηn-r+1线性无关知-(λ1+λ2+⋅⋅⋅+λn-r)=λ1=λ2=⋅⋅⋅=λn-r=0,矛盾.因此ξ1,ξ2,⋅⋅⋅,ξn-r线性无关.ξ1,ξ2,⋅⋅⋅,ξn-r为A x=b的一个基础解系.设x为A x=b的任意解,则x-η1为A x=0的解,故x-η1可由ξ1,ξ2,⋅⋅⋅,ξn-r线性表出,设x-η1=k2ξ1+k3ξ2+⋅⋅⋅+k n-r+1ξn-r=k2(η2-η1)+k3(η3-η1)+⋅⋅⋅+k n-r+1(ηn-r+1-η1),x=η1(1-k2-k3⋅⋅⋅-k n-r+1)+k2η2+k3η3+⋅⋅⋅+k n-r+1ηn-r+1.令k1=1-k2-k3⋅⋅⋅-k n-r+1,则k1+k2+k3⋅⋅⋅-k n-r+1=1,于是x=k1η1+k2η2+⋅⋅⋅+k n-r+1ηn-r+1.36.设V1={x=(x1,x2,⋅ ⋅ ⋅,x n)T| x1,⋅ ⋅ ⋅,x n∈R满足x1+x2+⋅ ⋅ ⋅ +x n=0},V2={x=(x1,x2,⋅ ⋅ ⋅,x n)T| x1,⋅ ⋅ ⋅,x n∈R满足x1+x2+⋅ ⋅ ⋅ +x n=1},问V1,V2是不是向量空间?为什么?解V1是向量空间,因为任取α=(a1,a2,⋅ ⋅ ⋅,a n)T∈V1,β=(b1,b2,⋅ ⋅ ⋅,b n)T∈V1,λ∈∈R,有a1+a2+⋅ ⋅ ⋅ +a n=0,b1+b2+⋅ ⋅ ⋅ +b n=0,从而(a1+b1)+(a2+b2)+⋅ ⋅ ⋅ +(a n+b n)=(a 1+a 2+ ⋅ ⋅ ⋅ +a n )+(b 1+b 2+ ⋅ ⋅ ⋅ +b n )=0,λa 1+λa 2+ ⋅ ⋅ ⋅ +λa n =λ(a 1+a 2+ ⋅ ⋅ ⋅ +a n )=0,所以 α+β=(a 1+b 1, a 2+b 2, ⋅ ⋅ ⋅, a n +b n )T ∈V 1,λα=(λa 1, λa 2, ⋅ ⋅ ⋅, λa n )T ∈V 1.V 2不是向量空间, 因为任取α=(a 1, a 2, ⋅ ⋅ ⋅, a n )T ∈V 1, β=(b 1, b 2, ⋅ ⋅ ⋅, b n )T ∈V 1,有 a 1+a 2+ ⋅ ⋅ ⋅ +a n =1,b 1+b 2+ ⋅ ⋅ ⋅ +b n =1,从而 (a 1+b 1)+(a 2+b 2)+ ⋅ ⋅ ⋅ +(a n +b n )=(a 1+a 2+ ⋅ ⋅ ⋅ +a n )+(b 1+b 2+ ⋅ ⋅ ⋅ +b n )=2,所以 α+β=(a 1+b 1, a 2+b 2, ⋅ ⋅ ⋅, a n +b n )T ∉V 1.37. 试证: 由a 1=(0, 1, 1)T , a 2=(1, 0, 1)T , a 3=(1, 1, 0)T 所生成的向量空间就是R 3.证明 设A =(a 1, a 2, a 3), 由02011101110||≠-==A , 知R (A )=3, 故a 1, a 2, a 3线性无关, 所以a 1, a 2, a 3是三维空间R 3的一组基, 因此由a 1, a 2, a 3所生成的向量空间就是R 3.38. 由a 1=(1, 1, 0, 0)T , a 2=(1, 0, 1, 1)T 所生成的向量空间记作V 1,由b 1=(2, -1, 3, 3)T , b 2=(0, 1, -1, -1)T 所生成的向量空间记作V 2, 试证V 1=V 2. 证明 设A =(a 1, a 2), B =(b 1, b 2). 显然R (A )=R (B )=2, 又由⎪⎪⎪⎭⎫ ⎝⎛--⎪⎪⎪⎭⎫ ⎝⎛---=0000000013100211 1310131011010211) ,(~r B A , 知R (A , B )=2, 所以R (A )=R (B )=R (A , B ), 从而向量组a 1, a 2与向量组b 1, b 2等价. 因为向量组a 1, a 2与向量组b 1, b 2等价, 所以这两个向量组所生成的向量空间相同, 即V 1=V 2.39. 验证a 1=(1, -1, 0)T , a 2=(2, 1, 3)T , a 3=(3, 1, 2)T 为R 3的一个基, 并把v 1=(5, 0, 7)T , v 2=(-9, -8, -13)T 用这个基线性表示. 解 设A =(a 1, a 2, a 3). 由06230111321|) , ,(|321≠-=-=a a a , 知R (A )=3, 故a 1, a 2, a 3线性无关, 所以a 1, a 2, a 3为R 3的一个基. 设x 1a 1+x 2a 2+x 3a 3=v 1, 则⎪⎩⎪⎨⎧=+=++-=++723053232321321x x x x x x x x , 解之得x 1=2, x 2=3, x 3=-1, 故线性表示为v 1=2a 1+3a 2-a 3. 设x 1a 1+x 2a 2+x 3a 3=v 2, 则⎪⎩⎪⎨⎧-=+-=++--=++1323893232321321x x x x x x x x , 解之得x 1=3, x 2=-3, x 3=-2, 故线性表示为v 2=3a 1-3a 2-2a 3.40. 已知R 3的两个基为 a 1=(1, 1, 1)T , a 2=(1, 0, -1)T , a 3=(1, 0, 1)T , b 1=(1, 2, 1)T , b 2=(2, 3, 4)T , b 3=(3, 4, 3)T . 求由基a 1, a 2, a 3到基b 1, b 2, b 3的过渡矩阵P . 解 设e 1, e 2, e 3是三维单位坐标向量组, 则⎪⎪⎭⎫ ⎝⎛-=111001111) , ,() , ,(321321e e e a a a , 1321321111001111) , ,() , ,(-⎪⎪⎭⎫ ⎝⎛-=a a a e e e , 于是 ⎪⎪⎭⎫ ⎝⎛=341432321) , ,() , ,(321321e e e b b b ⎪⎪⎭⎫ ⎝⎛⎪⎪⎭⎫ ⎝⎛-=-341432321111001111) , ,(1321a a a , 由基a 1, a 2, a 3到基b 1, b 2, b 3的过渡矩阵为⎪⎪⎭⎫ ⎝⎛---=⎪⎪⎭⎫ ⎝⎛⎪⎪⎭⎫ ⎝⎛-=-1010104323414323211110011111P .。
习题四答案(A)1. 求下列矩阵的特征值与特征向量:(1) ⎪⎪⎭⎫ ⎝⎛--3113 (2) ⎪⎪⎪⎭⎫ ⎝⎛---122212221 (3) ⎪⎪⎪⎭⎫ ⎝⎛----020212022 (4)⎪⎪⎪⎭⎫ ⎝⎛--201034011 (5) ⎪⎪⎪⎭⎫ ⎝⎛--011102124 (6)⎪⎪⎪⎭⎫ ⎝⎛----533242111 解 (1)矩阵A 的特征多项式为=-A E λ)4)(2(3113--=--λλλλ,所以A 的特征值为4,221==λλ.对于21=λ,解对应齐次线性方程组=-X A E )2(O ,可得它的一个基础解系为)1,1(1=αT ,所以A 的属于特征值2的全部特征向量为)1,1(111k k =αT (01≠k 为任意常数).对于42=λ,解对应齐次线性方程组=-X A E )4(O ,可得它的一个基础解系为)1,1(2-=αT ,所以A 的属于特征值4的全部特征向量为)1,1(222-=k k αT(02≠k 为任意常数).(2)矩阵A 的特征多项式为=-A E λ)3)(1)(1(122212221--+=------λλλλλλ, 所以A 的特征值为11-=λ,12=λ,33=λ.对于11-=λ,解对应齐次线性方程组=--X A E )(O ,可得它的一个基础解系为)0,1,1(1-=αT ,所以A 的属于特征值-1的全部特征向量为)0,1,1(111-=k k αT (01≠k 为任意常数).对于12=λ,解对应齐次线性方程组=-X A E )(O ,可得它的一个基础解系为)1,1,1(2-=αT ,所以A 的属于特征值1的全部特征向量为)1,1,1(222-=k k αT (02≠k 为任意常数).对于33=λ,解对应齐次线性方程组=-X A E )3(O ,可得它的一个基础解系为)1,1,0(3-=αT ,所以A 的属于特征值3的全部特征向量为)1,1,0(333-=k k αT (03≠k 为任意常数).(3) 矩阵A 的特征多项式为=-A E λ)4)(1)(2(2021222--+=--λλλλλλ, 所以A 的特征值为11=λ,42=λ,23-=λ.对于11=λ,解对应齐次线性方程组=-X A E )(O ,可得它的一个基础解系为)2,1,2(1-=αT ,所以A 的属于特征值1的全部特征向量为)2,1,2(111-=k k αT (01≠k 为任意常数).对于42=λ,解对应齐次线性方程组=-X A E )4(O ,可得它的一个基础解系为)1,2,2(2-=αT ,所以A 的属于特征值4的全部特征向量为)1,2,2(222-=k k αT (02≠k 为任意常数).对于23-=λ,解对应齐次线性方程组=--X A E )2(O ,可得它的一个基础解系为)2,2,1(3=αT ,所以A 的属于特征值-2的全部特征向量为)2,2,1(333k k =αT (03≠k 为任意常数).(4)矩阵A 的特征多项式为=-A E λ)3()1(212123242--=------λλλλλ, 所以A 的特征值为12,1=λ(二重),23=λ.对于12,1=λ,解对应齐次线性方程组=-X A E )(O ,可得它的一个基础解系为)1,2,1(1-=αT ,所以A 的属于特征值1的全部特征向量为)1,2,1(111-=k k αT (01≠k 为任意常数).对于23=λ,解对应齐次线性方程组=-X A E )2(O ,可得它的一个基础解系为)1,0,0(2=αT ,所以A 的属于特征值2的全部特征向量为)1,0,0(222k k =αT (02≠k 为任意常数).(5)矩阵A 的特征多项式为=-A E λ2)2(11132124-=------λλλλλ, 所以A 的特征值为01=λ,23,2=λ(二重).对于01=λ,解对应齐次线性方程组=-X A E )0(O ,可得它的一个基础解系为)2,1,1(1--=αT ,所以A 的属于特征值0的全部特征向量为)2,1,1(111--=k k αT (01≠k 为任意常数).对于23,2=λ,解对应齐次线性方程组=-X A E )2(O ,可得它的一个基础解系为)0,1,1(2-=αT ,所以A 的属于特征值2的全部特征向量为22αk )0,1,1(2-=k T (02≠k 为任意常数).(6)矩阵A 的特征多项式为=-A E λ)3()1(212123242--=------λλλλλ, 所以A 的特征值为61=λ,23,2=λ(二重).对于61=λ,解对应齐次线性方程组=-X A E )6(O ,可得它的一个基础解系为)3,2,1(1-=αT ,所以A 的属于特征值6的全部特征向量为)3,2,1(111-=k k αT (01≠k 为任意常数).对于23,2=λ,解对应齐次线性方程组=-X A E )2(O ,可得它的一个基础解系为)0,1,1(2-=αT ,)1,0,1(3=αT ,所以A 的属于特征值2的全部特征向量为3322ααk k +)0,1,1(2-=k T )1,0,1(3k +T (32,k k 为不全为零的任意常数).2. 设A 为n 阶矩阵, (1) 若O A ≠,且存在正整数k ,使得O A k=(A 称为幂零矩阵),证明:A 的特征值全为零;(2) 若A 满足A A =2(A 称为幂等矩阵),证明:A 的特征值只能是0或1;(3) 若A 满足E A =2(A 称为周期矩阵),证明:A 的特征值只能是1或1-. 证明:设矩阵A 的特征值为λ,对应的特征向量为α,即λαα=A .(1)因αλαk k A =,而,O A k=故O k =αλ.又因O ≠α,故0=k λ,得.0=λ(2)因αλα22=A ,而,2A A =故αλααλα22===A A ,即.)(2O =-αλλ又因O ≠α,故02=-λλ,得0=λ或1.(3)同(2)可得αλααα22===A A ,即.)1(2O =-αλ又因O ≠α,故012=-λ,得1=λ或1-.3. 设21,αα分别为n 阶矩阵A 的属于不同特征值1λ和2λ的特征向量,证明:21αα+不是A 的特征向量.证明:反证法.若21αα+是A 的特征向量,相应的特征值为λ,则有)()(2121ααλαα+=+A ,即2121λαλααα+=+A A .又因21,αα分别为矩阵A 的属于特征值1λ和2λ的特征向量,即111αλα=A ,222αλα=A ,则2121λαλαλαλα+=+,即O =-+-2211)()(αλλαλλ.因21,αα是矩阵A 的属于不同特征值的特征向量,故21,αα线性无关,于是可得0,021=-=-λλλλ,即21λλλ==,矛盾.4. 证明定理4.4.若λ是n 阶矩阵A 的特征值,则(1)设m m x a x a a x f +++= 10)(,则)(λf 是)(A f 的特征值,其中m m A a A a E a A f +++= 10)()(N m ∈;(2)若A 可逆,则0≠λ,且λ1是1-A 的特征值,λ||A 是A 的伴随矩阵*A 的特征值. 证明:设矩阵A 属于特征值λ的特征向量为α,即λαα=A .(1)因αλαλλαλλαααααα)()()(101010f a a a a a a A a A a a A f m m m m m m =+++=+++=+++=故)(λf 是)(A f 的特征值. (2)因A 可逆,故0||≠A .而||A 为A 的特征值之积,故A 的特征值0≠λ.用1-A 左乘λαα=A 两端得αλλααα111---===A A A A .因0≠λ,故αλα11=-A ,即λ1是1-A 的特征值. 因1*||-=A A A ,故λ||A 是A 的伴随矩阵*A 的特征值.5. 证明:矩阵A 可逆的充分必要条件是A 的特征值全不等于零.证明:因矩阵A 可逆,故0||≠A .由n n A λλλλ,,(||11 =是A 的全部特征值)得01≠n λλ ,故),,1(0n i i =≠λ.6. 已知三阶矩阵A 的特征值为1,2,3,求*12,,3A A E A A -++的特征值. 解:由矩阵的特征值的性质得 A A 32+的特征值为41312=⨯+,102322=⨯+,183332=⨯+;1-+A E 的特征值为34311,23211,2111=+=+=+; 因6321||=⨯⨯=A *A 的特征值为236,326,616===. 7. A 是三阶矩阵,已知0|3|,0|2|,0||=-=-=+A E A E A E ,求|4|A E +.解:因,0||)1(||3=+-=--A E A E 0|3|,0|2|=-=-A E A E ,故三阶矩阵A 的全部特征值为-1,2, 3.因此A E +4的特征值为,734,624,3)1(4=+=+=-+于是126763|4|=⨯⨯=+A E .8. 已知向量)1,,1(k =αT 是矩阵⎪⎪⎪⎭⎫ ⎝⎛=211121112A 的逆矩阵1-A 的特征向量,求常数k 的值.解:因α是1-A 的特征向量,故也是A 的特征向量.设对应的特征值为λ,于是由λαα=A 可得⎪⎩⎪⎨⎧=++=++=++λλλ2112112k k k k ,解得2-=k 或1=k .9. 证明:如果矩阵A 可逆,则BA AB ~.证明:因BA BA A A A AB A ==--))(()(11,且A 可逆,则BA AB ~.10. 如果B A ~,证明:存在可逆矩阵P ,使得BP AP ~.证明:因B A ~,故存在可逆矩阵P ,使得AP P B 1-=.将上式两端右乘,P 得P AP P AP P BP )(11--==,即BP AP ~. 11. 如果B A ~,D C ~,证明:⎪⎪⎭⎫ ⎝⎛⎪⎪⎭⎫ ⎝⎛D O O B C O O A ~. 证明:因B A ~,D C ~,故存在可逆矩阵Q P ,,使得CQ Q D AP P B 11,--==.于是有⎪⎪⎭⎫ ⎝⎛=⎪⎪⎭⎫ ⎝⎛⎪⎪⎭⎫ ⎝⎛⎪⎪⎭⎫ ⎝⎛=⎪⎪⎭⎫ ⎝⎛⎪⎪⎭⎫ ⎝⎛⎪⎪⎭⎫ ⎝⎛---D O O B Q O O P C O O A Q O O P Q O O P C O O A Q O O P 111.而⎪⎪⎭⎫ ⎝⎛Q O O P 可逆,故⎪⎪⎭⎫ ⎝⎛⎪⎪⎭⎫ ⎝⎛D O O B C O O A ~. 12. 已知A 为二阶矩阵,且0||<A ,证明:存在可逆矩阵P ,使得AP P 1-为对角矩阵.证明:A 为二阶矩阵,且0||<A ,故A 必有两个不等特征值,因此必存在可逆矩阵P ,使得AP P 1-为对角矩阵.13. 已知矩阵⎪⎪⎪⎭⎫ ⎝⎛--=x A 14020112与矩阵⎪⎪⎪⎭⎫ ⎝⎛-=21y B 相似,求(1) 常数x 和y 的值;(2) 可逆矩阵P ,使得B AP P =-1.解:(1)因B A ~,故B A 与有相同的特征值.而B 的特征值为2,,1y -,故-1,2也是A 的特征值.而=-A E λ]42)2()[2(140201122+--+-=-----+x x xλλλλλλ. 将1-=λ代入上式中得3=x .于是可得)1()2(2+-=-λλλA E ,故有A 的特征值为2,2,1-,因此2=y .(2)由(1)知A 的特征值为11-=λ,23,2=λ(二重).对应11-=λ的无关特征向量为)1,0,1(1=αT ,对应23,2=λ的无关特征向量为)0,4,1(2=αT ,)4,0,1(3=αT ,令⎪⎪⎪⎭⎫ ⎝⎛=401040111P ,则P 可逆,且B AP P =-1.14. 设三阶矩阵A 的特征值为1, 2, 3, 对应的特征向量分别为)1,1,1(T ,)1,0,1(T ,)1,1,0(T ,求(1)A ;(2)n A .解:(1)令⎪⎪⎪⎭⎫ ⎝⎛=111101011P ,则⎪⎪⎪⎭⎫ ⎝⎛=-3211AP P .而⎪⎪⎪⎭⎫ ⎝⎛---=-1011101111P 则⎪⎪⎪⎭⎫ ⎝⎛----=⎪⎪⎪⎭⎫ ⎝⎛=-4122121113211P P A . (2)因⎪⎪⎪⎭⎫ ⎝⎛==-3211ΛAP P ,所以1-=P P A Λ,故 ⎪⎪⎪⎭⎫ ⎝⎛---⎪⎪⎪⎭⎫ ⎝⎛⎪⎪⎪⎭⎫ ⎝⎛==-1011101113211111010111n nn n P P A Λ⎪⎪⎪⎭⎫ ⎝⎛-+------=13221311313112211n n n n n n n n. 15. 判断第1题中各矩阵是否可以对角化?若可以对角化,求出可逆矩阵P ,使得AP P 1-为对角阵.解:由第1题结果知 (1) 可以对角化, ⎪⎪⎭⎫ ⎝⎛-=1111P ;(2) 可以对角化, ⎪⎪⎪⎭⎫ ⎝⎛---=110111011P ;(3) 可以对角化, ⎪⎪⎪⎭⎫ ⎝⎛--=212221122P ; (4) (5) 不可以对角化;(6) 可以对角化, ⎪⎪⎪⎭⎫ ⎝⎛--=103012111P .16.证明正交矩阵的实特征值只能是1或1-.证明:设A 为正交矩阵,则AA T E A A T ==.设矩阵A 的特征值为λ,对应的特征向量为α,即λαα=A .将上式两端取转置得TT T A λαα=.将上面两式左右相乘得ααλααT T T A A 2=,即ααλααT T 2=.而ααT 为非零常数,故1,12±==λλ.17. 设⎪⎪⎪⎭⎫ ⎝⎛=111111111A ,求正交矩阵P ,使得AP P 1-为对角阵.解:矩阵A 的特征多项式为=-A E λ)3(1111111112-=---------λλλλλ, 所以A 的特征值为02,1=λ(二重),33=λ.对于02,1=λ,解对应齐次线性方程组=-X A E )0(O ,可得它的一个基础解系为)0,1,1(1-=αT ,)1,0,1(2-=αT .将其正交化,取⎪⎪⎪⎭⎫ ⎝⎛-=0111β,⎪⎪⎪⎪⎪⎪⎭⎫ ⎝⎛-=⎪⎪⎪⎭⎫ ⎝⎛--⎪⎪⎪⎭⎫ ⎝⎛-=-=1212101121101),(),(1111222ββββααβ, 再单位化,得⎪⎪⎪⎪⎪⎪⎪⎭⎫ ⎝⎛-==⎪⎪⎪⎪⎪⎪⎪⎭⎫⎝⎛-==366666,02222222111ββγββγ; 对于33=λ,解对应齐次线性方程组=-X A E )3(O ,可得它的一个基础解系为)1,1,1(3=αT.将其单位化,得⎪⎪⎪⎪⎪⎪⎪⎭⎫ ⎝⎛==333333333ααγ. 令⎪⎪⎪⎪⎪⎪⎪⎭⎫ ⎝⎛--=33360336622336622P ,则⎪⎪⎪⎭⎫⎝⎛==-3001ΛAP P .18. 设三阶实对称矩阵A 的特征值为1,23,21=-=λλ, 属于1λ的特征向量为)1,1,0(1=αT,求属于3,2λ的特征向量及矩阵A .解:设属于13,2=λ的无关特征向量为32,αα.因A 是实对称矩阵,故123,21=-=λλ的特征向量与的特征向量必正交,于是⎪⎩⎪⎨⎧==03121ααααTT , 即32,αα是齐次线性方程组O X T=1α的两个线性无关解向量.求得上述方程组的基础解系为)0,0,1(T ,)1,1,0(-T,故取)0,0,1(1=αT,)1,1,0(2-=αT,因此属于13,2=λ的全部特征向量为)0,0,1(1k T)1,1,0(2-+k T(21,k k 不全为零);令⎪⎪⎪⎭⎫⎝⎛-=101101010P ,则⎪⎪⎪⎭⎫ ⎝⎛-==-1121ΛAP P . 而⎪⎪⎪⎪⎪⎭⎫ ⎝⎛--=-21210011212101P ,故⎪⎪⎪⎪⎪⎪⎭⎫⎝⎛----==-21230232100011P P A Λ. (B)1. 设n 阶矩阵A 的各行元素之和为常数a ,证明:a =λ是矩阵A 的一个特征值,)1,,1,1( T是对应的特征向量.证明:设n n ij a A ⨯=)(,其中T nj ija a)1,,1,1(,1==∑=α.由ααa a a a a a a A T nj nj nj j nj j ===∑∑∑===),,,(),,,(11211知a =λ是矩阵A 的一个特征值,)1,,1,1( =αT 是对应的特征向量.2. 设⎪⎪⎪⎪⎪⎭⎫ ⎝⎛=⎪⎪⎪⎪⎪⎭⎫ ⎝⎛=n n b b b a a a 2121,βα都是非零向量,且0=βαT,记αβ=A T ,求(1)2A ;(2)A 的特征值与特征向量.解:(1)由0=βαT得0)(==TTTβααβ,于是O A T T T T ===βαβααβαβ)())((2.(2)由A 组第2题(1)知A 的特征值为0.求A 的特征向量.⎪⎪⎪⎪⎪⎭⎫⎝⎛==n n n n n n T b a b a b a b a b a b a b a b a b a A 212221212111αβ,因βα,都是非零向量,故必存在某个i a 和j b 不为零,因此A 中元素0≠j i b a ,不妨设011≠b a .将A 做初等行变换得⎪⎪⎪⎪⎪⎭⎫⎝⎛00000021n b b b ,即1)(=A r ,故齐次线性方程组O AX =-的基础解系含有1-n 个解向量.令T n x x x ),,,(21 为T b )0,,0,(1 ,T b )0,,,0(1 ,T b ),,0,0(,1 ,得T b b )0,,0,,(121 -=α,T b b )0,,,0,(132 -=α,T n n b b ),,0,0,(,11 -=-α,于是所求特征向量为T n n b b k k k k )0,,0,,(121112211 -=+++--αααT b b k )0,,,0,(132 -+T n n b b k ),,0,0,(111 ---++,121,,,(-n k k k 不全为零).3. 已知三阶矩阵A 的特征值为2, 3, 4, 对应的特征向量分别为)1,2,1(1-=αT ,)2,1,2(2-=αT ,)2,3,3(3-=αT .令向量=β)6,5,4(T ,(1)将β用321ααα,,线性表示;(2)求βnA (n 为正整数).解:(1)由⎪⎪⎪⎭⎫⎝⎛→⎪⎪⎪⎭⎫ ⎝⎛---=210030104001622153124321),,,(321βααα得321234αααβ++=.(2)321321234)234(ααααααβnn n n n A A A A A ++=++=332211234αλαλαλnn n ++=,2332,23322(12131212++++++⨯-+⨯+⨯-=n n n n n n)23222212++++⨯+-n n n T .4. 设A 为三阶实对称矩阵,2)(=A r ,且满足条件O A A =+232,求矩阵A 的全部特征值.解:设矩阵A 的特征值为λ,则由O A A =+232得0223=+λλ,故0=λ或2-=λ.因A 为三阶实对称矩阵,故A 必与某三阶对角矩阵Λ相似.因2)(=A r ,故2)(=Λr ,所以Λ的对角线元素有两个-2和一个0.因此A 的全部特征值为22,1-=λ(二重),03=λ.5. 设四阶矩阵A 满足AAA E ,0|2|=+T0||,2<=A E ,求*A 的一个特征值.解:因0||<A ,故矩阵A 可逆.由E AA T 2=知422||=A 得4||-=A .因,0|2|)1(|2|4=+-=--A E A E 得2-=λ是矩阵A 的一个特征值,因此*A 的一个特征值为22.6. 设⎪⎪⎪⎭⎫ ⎝⎛=0011100y x A 有3个线性无关的特征向量,求x 与y 满足的条件.解:矩阵A 的特征多项式为=-A E λ2)1)(1(01110-+=-----λλλλλy x ,所以A 的特征值为11-=λ,13,2=λ(二重).因A 有3个线性无关的特征向量,故齐次线性方程组=-X A E )(O 的系数矩阵的秩为1,即1)(=-A E r .而⎪⎪⎪⎭⎫ ⎝⎛---→⎪⎪⎪⎭⎫ ⎝⎛----=-000001011010101y x y x A E ,于是0=+y x .7. 问n 阶矩阵⎪⎪⎪⎪⎪⎭⎫⎝⎛111111111 与⎪⎪⎪⎪⎪⎭⎫⎝⎛00100100 n 是否相似,为什么?解:令⎪⎪⎪⎪⎪⎭⎫⎝⎛=111111111 A ,⎪⎪⎪⎪⎪⎭⎫ ⎝⎛=00100100 n B ,则B A ~. 矩阵B 的特征值为1(01,,1-=-n n λ重),n n =λ.01,,1=-n λ对应的齐次线性方程组的系数矩阵为,1)(,000000001=-⎪⎪⎪⎪⎪⎭⎫ ⎝⎛→-B r B故属于01,,1=-n λ的无关特征向量有1-n 个;n n =λ对应的齐次线性方程组的系数矩阵为,1)(,00000001=-⎪⎪⎪⎪⎪⎭⎫ ⎝⎛→-B nE r n B nE故属于n n =λ的无关特征向量有1个.因此矩阵B 有n 个线性无关的特征向量,故B 可对角化,且;00~⎪⎪⎪⎪⎪⎭⎫ ⎝⎛=n B Λ 因为0||,11===++A trA n n λλλλ ,故A 的特征值必有0和非零数值.因1)()(==-A r A r ,故特征值0有1-n 个线性无关的特征向量,所以0的重数至少为1-n ,则A 的非零特征值为n ,因此矩阵A 的特征值为1(01,,1-=-n n λ重),n n =λ.因A 为实对称矩阵,故必可对角化,且⎪⎪⎪⎪⎪⎭⎫⎝⎛=n A 00~ Λ,于是B A ~.8. 设A 为n 阶矩阵, O A ≠,且存在正整数m ,使得O A m=,证明A 不能对角化.解:反证法.假设A 可对角化,由A 组第2题(1)知,A 的特征值都为0,故O A ~,即存在可逆矩阵P ,使得O AP P =-1,则O A =,矛盾.9. 设矩阵,220021000030000⎪⎪⎪⎪⎪⎭⎫⎝⎛-=B 矩阵B A ~,求)3()(E A r E A r -+-. 解:矩阵B 的特征方程为=-B E λ0)3)(2(2=-+=λλλ,所以B 的特征值为01=λ,22-=λ,14,3=λ(二重).因矩阵B 是实对称矩阵,故属于14,3=λ的线性无关的特征向量必有2个,即224)3(=-=-B E r .因B A ~,则A 的特征值只有0,-2,3(二重),且属于3的线性无关的特征向量也有2个,即2)3(=-A E r .因1不是矩阵A 的特征值,故0||≠-A E ,即4)(=-A E r .因此6)3()(=-+-E A r E A r .。
第四章 综合练习及参考答案1. n 元非齐次线性方程组Ax b =与其对应的齐次线性方程组0Ax =满足( B ). (根据性质可得)A. 若12,x x 为0Ax =的解,则12x x +为Ax b =的解;B . 若12,x x 为Ax b =的解,则121()2x x +也为Ax b =的解; C . 若0Ax =有非零解,则Ax b =只有零解;D . 若0Ax =只有零解,则Ax b =无解.2. 设A 为m n ⨯矩阵,0AX =是非齐次线性方程组AX b =对应的齐次线性方程组,则以下结论中正确的是( D ) .A. 若0AX =只有零解,则AX b =有惟一解;(()R A n = 不能推出(,)()R A b R A =,所以AX b =可能无解)B. 若0AX =有非零解,则AX b =有无穷多解; (AX b =有可能无解)C. 若AX b =有无穷多解,则0AX =只有零解;((,)()R A b R A n =<→0AX =有非零解)D. 若AX b =有无穷多解,则0AX =有非零解.3.m ×n 型齐次线性方程组Ax=0只有零解的充分必要条件是( A ).A .A 的列向量线性无关B .A 的行向量线性无关C .A 的列向量线性相关D .A 的行向量线性相关解:Ax=0只有零解⇔()R A n =⇔ A 的列向量线性无关.4.设21ββ,是非齐次线性方程组b Ax =的两个解,则下列向量中哪个也是方程组b Ax =的解( A ).A .312+2ββB .21ββ-C .2221ββ+D .52321ββ+ 5. 设(1,3,2),(1,2,0)T T 是3阶非齐次线性方程组Ax b =的解,()2R A =,则A x b =的通解是 ( C ).A . (1,3,2)(1,2,0)T T k +,k 为任意常数;B . (0,1,2)(1,2,0)T T k + ,k 为任意常数;C . (1,2,0)(0,1,2)T T k +,k 为任意常数;D . (1,2,0)(1,3,2)T T k +,k 为任意常数.6.若齐次线性线性方程组m n A X b ⨯=只有唯一解,则A 的秩为____n______. 解:m n A X b ⨯=只有唯一解,则()m n R A ⨯=未知数的个数=n.7.已知矩阵222222a A a a ⎡⎤⎢⎥=⎢⎥⎢⎥⎣⎦,伴随矩阵*0A ≠,且*0A x =有非零解,则____-4_____. 解:*0A x =有非零解,则*()3R A <或*0A =,即32*110A A AA A A -====,所以0A =. 2222222022(2)(4)022222a a A a a a a a a a a ==--=-+=⇒=(舍去,因为此时*0A =) 或4a =-.8. 设线性方程组12342341234022321x x x x x x x a x x x x +++=⎧⎪++=⎨⎪+++=-⎩, 则a 取何值时: 1)该方程组无解? 2)该方程组有无穷多解,并用基础解系表示其所有解. 解:对增广矩阵作初等行变换得313111101111011110012201220122321110122100001r r A b (,)αααα-⎡⎤⎡⎤⎡⎤⎢⎥⎢⎥⎢⎥=−−−→→⎢⎥⎢⎥⎢⎥⎢⎥⎢⎥⎢⎥------⎣⎦⎣⎦⎣⎦, (1)1α≠时,()23(,)R A R A b =≠=,所以方程组无解;(2)1α=时,()2(,)R A R A b ==,所以方程组有无穷多解,且12111101011101221012210000000000r r A b (,)----⎡⎤⎡⎤⎢⎥⎢⎥→−−−→⎢⎥⎢⎥⎢⎥⎢⎥⎣⎦⎣⎦,即同解方程组为 1342341221x x x x x x =+-⎧⎨=--+⎩ (34,x x 为自由未知量), 令340x x ==,则得方程组的一个特解为 (1,1,0,0)T η=-,分别令3410x x ⎛⎫⎛⎫= ⎪ ⎪⎝⎭⎝⎭和01⎛⎫ ⎪⎝⎭,则得导出方程组的一个基础解系为: 1(1,2,1,0)T ξ=-,2(1,2,0,1)T ξ=-,于是,原方程组的通解为:121234111221100010x x k k R x x (,).-⎛⎫⎛⎫⎛⎫⎛⎫ ⎪ ⎪ ⎪ ⎪-- ⎪ ⎪ ⎪ ⎪=++∈ ⎪ ⎪ ⎪ ⎪ ⎪ ⎪ ⎪ ⎪⎝⎭⎝⎭⎝⎭⎝⎭。
线性代数练习册第四章习题及答案(本)第四章线性方程组§4-1 克拉默法则一、选择题1.下列说法正确的是( C )A.n 元齐次线性方程组必有n 组解;B.n 元齐次线性方程组必有1n -组解;C.n 元齐次线性方程组至少有一组解,即零解;D.n 元齐次线性方程组除了零解外,再也没有其他解. 2.下列说法错误的是( B )A.当0D ≠时,非齐次线性方程组只有唯一解;B.当0D ≠时,非齐次线性方程组有无穷多解;C.若非齐次线性方程组至少有两个不同的解,则0D =;D.若非齐次线性方程组有无解,则0D =. 二、填空题1.已知齐次线性方程组1231231230020x x x x x x x x x λμμ++=??++=??++=?有非零解,则λ= 1 ,μ= 0 .2.由克拉默法则可知,如果非齐次线性方程组的系数行列式0D ≠, 则方程组有唯一解i x =i D D.三、用克拉默法则求解下列方程组1.832623x y x y +=??+=?解:832062D ==-≠123532D ==-,2821263D ==-所以,125,62D D x y D D ====-2.123123123231x x x x x x ?+-=??-+-=?解:2131121121221303550111010r r D r r ---=--=-≠+--- 1122210511321135011011D r r ---=-+-=---,212121505213221310101101D r r --=-+-=-----,31212250021122115110110D r r --=+=---所以, 3121231,2,1D D D x x x DDD======3.21241832x z x y z x y z -=??+-=??-++=?解:132010012412041200183583D c c --=-+-=≠-13110110014114020283285D c c -=-+=,2322112102112100123125D c c -=-+=--,31320101241204120182582D c c =-=--所以, 3121,0,1D D D x y z DDD======4.1234123412341234242235232110x x x x x x x x x x x x ?+-+=-??---=-??+++=?解:21314121311111111112140123223150537331211 2181231235537013814222180514r r D r r r r r r r r ---=------------+=----=-+---321421232511151110222142251823152352811012110105110010525182733214210252823522c c D c c c c c c --------=----------+=-----=----21231411323151115111214072322215012373302111518723230132123733031284315181518r r D r r r r r r r r -----= --------------=----=------12342213111512151031224522182325111132283101101002510200251521852974265211228115127c c D c c c c c c -------=---------+=-----=----12432322111152115312125252223121135231201021521555250271425115264c c D c c r r r r --------=----------+=----=---所以, 312412341,2,3,1D D D D x x x x DDDD========-§4-2 齐次线性方程组一、选择题1.已知m n ?矩阵A 的秩为1n -,12,αα是齐次线性方程组0AX = 的两个不同的解,k 为任意常数,则方程组0AX =的通解为( D ).A.1k α;B.2k α;C.12()k αα+;D.12()k αα-.解:因为m n ?矩阵A 的秩为1n -,所以方程组0AX =的基础解系含1个向量。
习题 4-11.验证函数f (x )=lnsin x 在[π5π,66]上满足罗尔定理的条件,并求出相应的ξ,使f ′(ξ)=0.解: 显然()ln sin f x x =在5π,66x ⎡⎤⎢⎥⎣⎦上连续,在π5π,66⎛⎫⎪⎝⎭内可导,且π5π()()ln 266f f ==-,满足罗尓定理的条件. 令cos ()cot 0sin x f x x x '===,则π2x = 即存在ππ5π(,)66ξα=∈,使()0f ξ'=成立.2. 下列函数在指定区间上是否满足罗尔定理的三个条件?有没有满足定理结论中的ξ ?[][][]2(1)()1,;(2)(),;1,10,21sin ,0π(3)()0,π1,0e x f x f x x x x f x x =-=--<≤⎧=⎨=⎩解: (1) 2()1e x f x =-在[]1,1-上连续,在()1,1-内可导,且(1)1,(1)1,e e f f -=-=- 即 (1)(1)f f -= () f x ∴在[]1,1-上满足罗尓定理的三个条件. 令 2()20ex f x x '==得 0x =,即存在0(1,1)ξ=∈-,使()0f ξ'=.(2) 101()1112x x f x x x x -≤<⎧==-⎨-≤≤⎩显然()f x 在(0,1),(1,2)内连续,又1111(10)lim ()lim(1)0,(10)lim ()lim(1)0,(10)(10)(1)0,即x x x x f f x x f f x x f f f --++→→→→-==-=+==-=-=+==所以()f x 在1x =处连续,而且22(00)lim ()lim(1)1(0),(20)lim ()lim(1)1(2),x x x x f f x x f f f x x f ++--→→→→+==-==-==-==即()f x 在0x =处右连续,在2x =处左连续,所以()f x 在[]0,2 上连续.又1111()(1)1(1)lim lim 1,11()(1)1(1)lim lim 111x x x x f x f xf x x f x f xf x x --++-→→+→→--'===-----'===--(1)(1)()f f f x -+''∴≠∴在1x =处不可导,从而()f x 在(0,2)内不可导.又 (0)(2)1f f == 又由 101()112x f x x -<<⎧'=⎨<<⎩知 ()0f x '≠综上所述,函数()f x 满足罗尓定理的条件(1),(3)不满足条件(2),没有满足定理结论的ξ.(3) 由0(00)lim sin 0(0)1x f x f +→+==≠=知()f x 在0x =不右连续, () f x ∴在[]0,π上不连续, 显然()f x 在()0,π上可导,又(0)1,(π)0f f ==,即(0)(π)f f ≠,且()cos (0,π) f x x x '=∈,取π(0,π)2ξ=∈,有π()cos cos 02f ξξ'===. 综上所述,函数()f x 满足罗尓定理的条件(2),不满足条件(1),(3),有满足定理结论的ξ,ξ=π2.3. 不用求出函数()(1)(2)(3)f x x x x =---的导数,说明方程()0f x '=有几个实根,并指出它们所在的区间.解: 显然()f x 在[]1,2上连续,在()1,2内可导,且(1)(2)0f f ==,由罗尓定理知,在()1,2内至少存在一点1ξ,使1()0f ξ'=,即()0f x '=在()1,2内至少有一个实根.同理 ()0f x '=在()2,3内也至少有一个实根2ξ.又()0f x '=是二次方程,最多有两个实根,故()0f x '=有两个实根,分别在区间()1,2和()2,3内.4. 验证拉格朗日中值定理对函数3()2f x x x =+在区间[0,1]上的正确性.解: 显然3()2f x x x =+在[0,1]上连续,在()0,1内可导,满足拉格朗日中值定理的条件.若令2(1)(0)()32310f ff x x -'=+==-则x =,取ξ=,即存在(0,1)3ξ=∈,使得(1)(0)()10f f f ξ-=-成立. 从而拉格朗日中值定理对函数3()2f x x x =+在[0,1]上成立.5. 已知函数f (x )在[a ,b ]上连续,在(a ,b )内可导,且f (a )=f (b )=0,试证:在(a ,b )内至少存在一点ξ,使得f (ξ)+f ′(ξ) = 0,ξ∈(a ,b ). 证: 令()()e xF x f x =,则()()()e e xxF x f x f x ''=+由e x 在(),-∞+∞上连续,可导,()f x 在[],a b 上连续,在(),a b 内可导,知()F x 在[],a b 上连续,在(),a b 内可导,而且()()0,()()0,()()e e 即abF a f a F b f b F a F b =====,由罗尓定理至少存在一点(,)a b ξ∈使()0F ξ'=. 即 ()()0e e f f ξξξξ'+= 而0e ξ≠ 故 ()()0f f ξξ'+=即在(),a b 内至少存在一点ξ,使得()()0f f ξξ'+=. 6.若方程10110n n n a x a x a x --+++= 有一个正根x 0,证明方程12011(1)0n n n a nx a n x a ---+-++=必有一个小于0x 的正根. 证: 令1011()…nn n f x a x a xa x --=+++,显然()f x 在[]00,x 连续,在()00,x 内可导,且(0)0f =,依题意知0()0f x =.即有0(0)()f f x =.由罗尓定理,至少存在一点0(0,)x ξ∈,使得()0f ξ'=成立,即12011(1)0…n n n a n a n a ξξ---+-++=成立,这就说明ξ是方程12011(1)0n n n a nx a n x a ---+-++= 的一个小于0x 的正根.7. 设f (a ) = f (c ) = f (b ),且a <c <b , f ″(x )在[a ,b ]上存在,证明在(a ,b )内至少存在一点ξ,使f ″(ξ)= 0.证: 显然()f x 分别在[],a c 和[],c b 上满足罗尓定理的条件,从而至少存在1(,)a c ξ∈,2(,)c b ξ∈,使得12()()0f f ξξ''==.又由题意知()f x '在[]12,ξξ上满足罗尓定理的条件,从而至少存在一点12(,)(,)a b ξξξ∈⊂,使得()0f ξ''=.即在(,)a b 内至少存在一点ξ,使()0f ξ''=.习题4-21.利用洛必达法则求下列极限:(1) sin3lim tan5x xxπ→; (2) 0e 1lim (e 1)x x x x x →---;(3)lim m m n n x a x a x a →--; (4) 20()lim x xx a x a x →+-,(a >0); (5) 0ln lim cot x xx+→; (6) 0lim sin ln x x x +→; (7) 1ln(1)lim arccot x x x →+∞+; (8) 0e 1lim()e 1x x x x →--; (9) 10lim(1sin )xx x →+; (10) 2lim (arctan )πx x x →+∞(11) c s c 03e lim()2x x x x →-+ ; (12) 2120lim e x x x →;(13) lim )x x →+∞; (14) 1101lim (1)e xxx x →⎡⎤+⎢⎥⎣⎦.解:222000011sin 33cos33(1)limlim lim cos3cos 5tan 55sec 5533(1)(1)5511(2)lim lim lim (1)111lim 22(3)lim lim lim πππe e e e e e e e e x x x x x xx x x x x xx x x x m m m n n n x a x a x a x x x x x x x x x x x x a mx x a nx →→→→→→→--→→→==⋅=⋅-⋅-=----==--+++==+-==-.m n m nm m x a n n --=2002220()ln ln()()(4)lim lim 21()()()ln ln()()lim2x xxxx x x x x x x a x a a a x a x a a x x xa x a x a x a a a x a x a x a x →→→⎡⎤+-++⎢⎥+-+⎣⎦=⎡⎤++++-++⎢⎥+++⎣⎦=[]200021()ln ln 012 aa a a aa a a a ++-⋅+==2200000000001ln sin 2sin cos (5)lim lim lim lim cot csc 12sin 0cos 001ln sin (6)lim sin ln lim lim lim tan csc csc cot sin lim lim tan 100x x x x x x x x x x x x x x x x x x x x x x x xx x x xxx x ++++++++++→→→→→→→→→→==-=--=-⋅====-⋅-=-⋅=-⨯=222221111ln(1)111(7)lim lim lim lim 111cot 11arc x x x x xx x x x x x x x x →+∞→+∞→+∞→+∞-++++====+-++ 20002200001(1)(8)lim()lim lim 1(1)21443limlim 12022e e e e e e e e e e e e e e e e e e e x x x x x x x x x x x xxxxx x x x x x x xx x x x x x →→→→→-----==-------====+-++0002cos 11ln(1sin )cos 1sin ln(1sin )lim limlim 11sin 12112ln(arctan )arctan 1limlim 112ln(arctan )(9)lim(1sin )lim 2(10)lim (arctan )lim πππee =e ee ee eeπx x x x x xx xx x xxxxx x x x x x x x xxx x x x →→→→+∞→+∞++++→→⋅⋅+-→+∞→+∞+========221lim12lim(1)arctan (1)arctan πeeex x x xx xx→+∞→+∞--+-+===020033lnln322csc ln lim csc 2sin sin 0002(2)(3)33(2)limlim 1(3)(2)cos cos 3(11)lim()lim lim 21e e e e e e e e eee ee exxxx x x x x x x x e e e x x x x xxxxx x x x x x x x xxx →→→---+++→→→+-+--⋅----+--+-===+====2221111220000221()(12)lim lim lim lim 11()e e ee x xx x x x x x x x x x→→→→'⋅====∞'202211ln(1)1ln(1)1limlim lim 0(13)lim )lim1111lim31(14)lim (1) eeee x x x x x x x x xx xxx x x x x →→→+∞→+∞+-+-→=++===⎡⎤===+⎢⎥⎣⎦00111211lim2(1)2eex x xx →→-+--+==2.设 21lim 1x x mx nx →++-=5,求常数m ,n 的值.解: 1lim(1)0, x x →-= 而21lim 51x x mx n x →++=-21lim()0 x x mx n →∴++= 且21()lim 5(1)x x mx n x →'++='-即 10m n ++= 且 1l i m (2)5x x m →+= 即 1m n +=- 且 25m += 于是得 3,4m n ==-. 3.验证极限sin lim x x xx→∞+存在,但不能由洛必达法则得出.解: sin 1limlim(1sin )1x x x x x x x→∞→∞+=+=,极限存在,但若用洛必达法则,有sin lim lim(1cos )x x x xx x→∞→∞+=+因lim cos x x →∞不存在,所以不能用洛必达法则得出.4.设f (x )二阶可导,求2()2()()limh f x h f x f x h h →+-+-.解: 这是型未定式,利用洛必达法则有 [][]200000()2()()()()limlim2()()()()1lim 21()()1()()11lim lim ()()2222().h h h h h f x h f x f x h f x h f x h h hf x h f x f x h f x hf x h f x f x h f x f x f x h h f x →→→→→''+-+-+--=''''-+---=''''+---''''=+=+-''=5.设f (x )具有二阶连续导数,且f (0) = 0,试证g (x ) = (),0'(0),0f x x x f x ⎧≠⎪⎨⎪=⎩可导,且导函数连续. 证: 当0x ≠时,2()()()()()f x xf x f x g x x x '-''==当0x =时,由200000()(0)()(0)()(0)lim lim lim 00()(0)1()(0)1lim lim (0)2202x x x x x f x f g x g f x xf x x x x f x f f x f f x x →→→→→'-'--==--''''--''===- 即 1(0)(0)2g f '''=所以 2()(),0()1(0),02xf x f x x xg x f x '-⎧≠⎪⎪'=⎨⎪''=⎪⎩由(),()f x f x '的连续性知()g x '在0x ≠处连续,又20000()()()()()lim ()limlim211lim ()(0)(0)22x x x x xf x f x f x xf x f x g x x xf x fg →→→→'''''-+-'=='''''===故()g x '在0x =处连续,所以()g x '在(),-∞+∞内处处连续.综上所述,(),0()(0),0f x xg x x f x ⎧≠⎪=⎨⎪'=⎩可导,且导函数连续.习题4-31.求函数f (x ) =e x x 的n 阶马克劳林公式.解:()()(1),()(1)(2),()()…x x x x x x k x f x e xe e x f x e x e e x f x e k x '=+=+''=++=+=+()()(0)1(0),(1,2,3,)!!(1)!k k f k fk k k k k ∴====-又 (0)0f =321(1)()(01)2!(1)!(1)!n x n x x e n x f x x x x n n θθθ+++∴=+++++<<-+2.当01x =-时,求函数f (x ) = 1x的n 阶泰勒公式. 解:()()[]23()2341()1()112212!3!!()(1),()(1),()(1),,()(1)!(1)(1)!(1)(1)!1,(0,1,2,)!!(1)()(1)1(1)111(1) … n n n n n n n n n nn n f x f x f x f x x x x x n f n f n n n n x f x x x x x θ-++++''''''=-=-=-=-∴-=-⋅=----==-=+∴=-+-⎡⎤+++++++⎣⎦-++ (01)θ<<3.按(4)x -的乘幂展开多项式432()53 4.f x x x x x =-+-+解: 函数432()534f x x x x x =-+-+,根据泰勒公式按(4)x -的幂的展开式是2(4)34(4)()(4)(4)(4)(4)2!(4)(4)(4)(4)3!4! f f x f f x x f f x x '''=+-+-'''+-+- 而[][][]432324244(4)(4)454434456,(4)21,41523(4)137,123022!2(4)111,24303!3!(4)12414!4!x x x f f x x x f x x f x f ====-⨯+-⨯+=-'==-+-''==-+'''==-=⨯=所以,234()5621(4)37(4)11((4)(4)f x x x x x =-+-+-+-+-.4.利用泰勒公式求下列极限:(1) 30sin limx x x x →-; (2) 21lim ln(1)x x x x →+∞⎡⎤-+⎢⎥⎣⎦. 解: (1) 利用泰勒公式,有34sin ()3!x x x o x =-+所以 343300430()sin 3!lim lim 1()1lim()66x x x x o x x x x x o x x →→→--==-= (2) 利用泰勒公式,有221111ln(1)()2o x x x x+=-+,所以222222221111lim lim ln(1)(())21()1111lim lim .()1222x x x x x x x x o x x x x o x x o x x →+∞→+∞→+∞→+∞⎡⎤⎡⎤=-+--+⎢⎥⎢⎥⎣⎦⎣⎦⎡⎤⎢⎥⎡⎤==-=-⎢⎥⎢⎥⎣⎦⎢⎥⎣⎦ 习题4-41. 求下面函数的单调区间与极值:(1)32()26187f x x x x =---; (2)()ln f x x x =-; (3)23()1(2)f x x =--; (4)()(4)f x x x =-. 解: (1) 2()612186(1)(3),f x x x x x '=--=+-令()0f x '=得驻点121,3,x x =-=-在()(),,13,-∞-+∞上,()0f x '>,在()1,3-上()0f x '< ∴ ()f x 在(,1],[3,)-∞-+∞上单调增加,在[]1,3-上单调减少.当 1x =-时, ()f x 有极大值,极大值为(1)3f -=, 当 3x =时, ()f x 有极小值,极小值为(3)61f =-.(2) 11()1x f x x x-'=-=,令()0f x '=得驻点1x = 在()0,1上,()0f x '<;在()1,+∞上,()0f x '> ∴ ()f x 在(0,1]上单调递减;在[1,)+∞上单调递增. 当1x =时,()f x 有极小值,极小值为(1)1f =. (3)()()0f x f x ''=≠ 但当2x =时,()f x '不存在, 在(,2)-∞上,()0f x '>;在(2,)+∞上,()0f x '<, ∴ ()f x 在(,2]-∞上单调递增;在[2,)+∞上单调递减. 当2x =时, ()f x 有极大值,极大值为(2)1f =.(4) 2240()40x xx f x x xx ⎧-≥=⎨-+<⎩ ,则 240()240x x f x x x ->⎧'=⎨-+<⎩且当 0x =时,()f x '不存在,又令()0f x '=得2x = 在(,0),(2,)-∞+∞上,()0f x '>,在(0,2)上()0f x '< ∴ ()f x 在(,0],[2,)-∞+∞上单调递增;在[0,2]上单调递减; 当0x =时,()f x 有极大值,极大值为(0)0f =; 当2x =时, ()f x 有极小值,极小值为(2)4f =-. 2. 试证方程sin x = x 只有一个根.证: 显然0x =是方程sin x x =得一个根(亦可将()sin f x x x =-运用零点定理).令()sin f x x x =-,则()cos 10f x x '=-≤,而()0f x '=的点不是单调区间的分界点,故()f x 在(,)-∞+∞内单调下降,所以()f x 在(,)-∞+∞内只有一个零点,即方程sin x x =只有0x =一个根.3. 已知()([0,))f x C ∈+∞,若f (0) = 0, f ′(x )在[0,)+∞内存在且单调增加,证明()f x x在[0,+∞)内也单调增加.解: 0 x ∀>,由题意知()f x 在[]0,x 上满足拉格朗日中值定理的条件,利用拉格朗日中值定理得,(0,) x ξ∃∈,使()(0)()f x f xf ξ'-=, 因 ()f x '在[0,)+∞单调增加,且(0)0f =,所以()()()f x xf xf x ξ''=≤ 即 ()()0xf x f x '-≥令 ()()(0) f x F x x x=>,则 2()()()0xf x f x F x x '-'=≥ 所以()F x 单调递增,即 ()f x x在(0,)+∞内单调增加.4. 证明下列不等式:(1) 1+12x x >0; (2)2ln(1)(0)2 x x x x x -<+<>.证: (1) 令 1()12f x x =+则1()(12f x '=, 当 0x >时1,()0f x '<>即()f x 单调递增,从而()(0)0f x f >=,故112x +>. (2) 令 2()ln(1)2x f x x x =+-+,则 21()111x f x x x x'=-+=++当 0x >时,有()0f x '>,即()f x 单调递增,从而()(0)0f x f >= ,即2ln(1)2x x x +>-又令 ()ln(1)g x x x =-+,则1()111xg x x x'=-=++ 当 0x >时,()0g x '>,即 ()g x 单调递增,从而()(0)0g x g >=,即ln(1)x x >+.综上所述,当0x >时有2ln(1)2x x x x -<+<. 5. 试问a 为何值时,f (x ) = a sin x +13sin 3x 在x =3π处取得极值?是极大值还是极小值?并求出此极值.解: ()cos cos3f x a x x '=+若3πx =为极值点,则cos cos 03ππa +=,所以2a =.又()2sin 3sin 3,()03πf x x x f ''''=--=<故函数在3πx =处取得极大值,极大值为()3πf =习题4 - 51. 某个体户以每条10元的价格购进一批牛仔裤,设此批牛仔裤的需求函数为402Q P =-,问该个体户应将销售价定为多少时,才能获得最大利润? 解: 利润2()10260400L P PQ Q P P =-=-+-, ()460L P P '=-+,令 ()0L P '=得 P =15所以应将销售价定为每条15元,才能获得最大利润.2.设 f (x ) = cx α (c >0,0<α<1)为一生产函数,其中c 为效率因子,x 为投入量,产品的价格P 与原料价格Q 均为常量,问:投入量为多少时可使利润最大? 解: 依题意,总利润()()()L x Pf x Q x P cx Qx α=-=⋅- 则 1()L x Pc xQ αα-'=- 令 ()0L x '=得 11Q x Pc αα-⎛⎫=⎪⎝⎭所以,投入量为11Q Pc αα-⎛⎫⎪⎝⎭时利润最大.3. 某产品的成本函数为23()156C Q Q Q Q =-+,(1) 生产数量为多少时,可使平均成本最小?(2) 求出边际成本,并验证边际成本等于平均成本时平均成本最小. 解: (1) 2()()156C Q C Q Q Q Q==-+ 令 260()Q C Q '=-=⎡⎤⎣⎦得Q =3 故 生产数量3Q =时,可使平均成本最小. (2) 2()15123MC C Q Q Q '==-+当 3Q =时,15123396MC =-⨯+⨯= 2()156336C Q =-⨯+=即边际成本等于平均成本时平均成本最小. 4. 已知某厂生产Q 件产品的成本为C =25000+2000Q +1402Q (元). 问:(1) 要使平均成本最小,应生产多少件产品?(2) 若产品以每件5000元售出,要使利润最大,应生产多少件产品? 解: (1) 平均成本 250001()200040C Q Q Q =++ 边际成本1()200020C Q Q '=+. 当()()C Q C Q '=时,平均成本最小,由()()C Q C Q '=即2500011200020004020Q Q Q ++=+ 得1000Q =(负值不合题意已舍去). 所以要使平均成本最小,应生产1000件产品.(2)221()5000()500025000200040130002500040L Q Q C Q Q Q Q Q Q =-=---=-+-令 1()3000020L Q Q '=-+=, 得60000Q =(件) 所以应生产60000件产品.5. 某厂全年消耗(需求)某种钢材5170吨,每次订购费用为5700元,每吨钢材单价为2400元,每吨钢材一年的库存维护费用为钢材单价的13.2%,求: (1) 最优订购批量; (2) 最优批次; (3) 最优进货周期; (4) 最小总费用.解: 由题意 215170,5700,1,240013.2%316.8 R C T C ====⨯= 则(1)最优订购批量70*431.325q === (2)最优批次 5170*12*431.325R n q ==≈(次)(3)最优进货周期 36530.452*12T t n ===(天) (4)最小总费用*136643.9E ==≈(元)6. 用一块半径为R 的圆形铁皮,剪去一圆心角为α的扇形后,做成一个漏斗形容器,问α为何值时,容器的容积最大?解: 设漏斗的底面半径为r ,高为h ,为了计算方便令2ϕπα=-,则2,,2ππR r R r h ϕϕ====漏斗的容积2322123(83)πππV hr V ϕϕ==<<'=-令 0V '=得10ϕ=(舍之),2ϕ=,34222237),40,9πππV V ϕϕϕ''=-+-⎫''=-<⎪⎭故当ϕ=时漏斗得容积最大.由2πϕα=-得2π2πα==, 所以,当2πα=-时,容积最大. 7. 工厂生产出的酒可即刻卖出,售价为k ;也可窖藏一个时期后再以较高的价格卖出.设售价V 为时间t 的函数V = k (k >0)为常数.若贮存成本为零,年利率为r ,则应何时将酒售出方获得最大利润(按连续复利计算). 解: ()e rtrtA t k k -=⋅=令()0rt r A t k ⎫'-==⎪⎭得214t r = 所以,应窖藏214r 时以后售出可获得最大利润. 8. 若火车每小时所耗燃料费用与火车速度的三次方成正比,已知速度为20km/h ,每小时的燃料费用40元,其他费用每小时200元,求最经济的行驶速度. 解: 设火车每小时所耗燃料费为Q ,则 3Q k v = (k 为比例常数) 依题意得 34020k =⋅, 解得 1200k =, 又设火车行驶()km s 后,所耗费用为, 32200(200)()s E kv kv s v v=+⋅=+ 令 2200()0100v E s v'=-=, 得27.14v =≈ (km/h), 所以,最经济得行驶速度为27.14 km/h.习题 4-61. 讨论下列函数的凸性,并求曲线的拐点:(1) y =2x -3x ; (2) y = ln(1+2x ); (3) y = x e x; (4) y = 4(1)x ++e x; (5) y =2(3)x x +; (6) y=arctan e x. 解: (1)223,126,0.3令 得 y x x y x y x '=-''''=-==当13x <时,0y ''>; 当13x >时,0y ''<,且12()327f = 所以,曲线23y x x =-在1(,)3-∞内是下凸的,在1(,)3+∞内是上凸的,点12(,)327是曲线的拐点.(2) 222222222(1)222(1),1(1)(1)x x x x x y y x x x +-⋅--'''===+++, 令0y ''=得,121,1x x =-=,这两点将定义域(,)-∞+∞分成三个部分区间,列表考察各部分区间上二阶导数得符号.所以,曲线2l n (1)y x =+在(,1)-∞-及(1,)+∞内是上凸的,在(1,1)-内是下凸的,点(1,ln 2)±是曲线的拐点.(3) 324(1),12(1)0xxy x e y x e '''=++=++> 所以,曲线在定义域(,)-∞+∞内处处下凸,没有拐点.(4) 343212,(3)(3)x x y y x x --'''==++,令 0y ''=得6x = 当 6x <时,0y ''<,当6x >时,0y ''>;又2(6)27f =,函数的定义域为(,3)(3,)-∞--+∞ ;所以曲线在(,3),(3,6)-∞--内上凸,在(6,)+∞内下凸,点2(6,)27是拐点. (6)arctan 2arctan arctan arctan 2222221112(12)(1)(1)(1)x x x x y e x x x ey e e x x x '=⋅+-''=⋅-⋅=+++令 0y ''= 得 12x =当 12x <时,0y ''>,当12x >时,0y ''<,且 1arctan 21()2e f =,所以曲线在1(,)2-∞内向下凸,在1(,)2+∞内向上凸,点1arctan 21(,)2e是拐点. 2. 利用函数的凸性证明下列不等式:(1) e e 2x y +>2e x y+, x ≠y ;(2) x ln x +y ln y >(x +y )ln2x y +,x >0,y >0,x ≠y .证: (1) 令()e x f x =,则()e x f x '=,()0e xf x ''=>,所以函数()f x 的曲线在定义域(,)-∞+∞内是严格下凸的,由曲线下凸的定义有: ()(),()()22x y f x f y x y f x y ++∀≠<≠ 即 22e e ex y x y ++< 即2()2e e e x yx y x y ++>≠.(2) 令()ln f x x x =,则1()1ln ,()f x x f x x'''=+=当 0x >时,恒有()0f x >,所以()f x 的曲线在(0,)+∞内是严格下凸的,由曲线下凸的定义有, 0,0,,x y x y ∀>>≠有()()()22f x f y x y f ++>即ln ln ()ln222x x y x y x y+++> 即 ln ln ()ln 2x yx x y y x y ++>+.3. 当a ,b 为何值时,点(1,3)为曲线y =a 3x +b 2x 的拐点. 解: 因为32y ax bx =+是二阶可导的,所以在拐点处0y ''=,而232,62y a x b x y a x b'''=+=+ 所以 620a b += 又拐点(1,3)应是曲线上的点,所以3a b +=解方程6203a b a b +=⎧⎨+=⎩ 得 39,22a b =-=所以当39,22a b =-=时,点(1,3)为曲线32y ax bx =+的拐点. 4. 求下列曲线的渐近线:(1) y = ln x ; (2)y =22x -; (3) y = 23xx -; (4) y = 221x x -.解: (1) 0lim lim ln x x y x ++→→==-∞,所以ln y x =有垂直渐近线 0x =. 又 lim x y →+∞=+∞,但1ln lim lim lim 01x x x y xx y x x→+∞→+∞→+∞====,lim (0)x y x →+∞-⋅=∞,所以不存在水平或斜渐近线.(2) 220x x -=,所以有水平渐近线0y =,又2lim 0x x x y x -→∞→∞== ,所以没有斜渐近线,又函数22x y -=没有间断点,因而也没有垂直渐近线. (3) 221limlim 0331x x xxx x →∞→∞==--,所以有水平渐近线0y =,又函数23x y x ==-有两个间断点x x ==,且22,,3x x x xx x=∞=∞--所以有两条垂直渐近线x =x =又 21lim lim 3x x y x x →∞→∞==∞-,所以没有斜渐近线.(4) 2lim lim 21x x x y x →∞→∞==∞- ,所以没有水平渐近线,又 函数221x y x =-有间断点12x =,且212lim 21x x x →=∞-,所以有垂直渐近线12x =. 又 1limlim 212x x y x x x →∞→∞==- 2111l i m ()l i m ()l i m 22122(21)4x x x x x y x x x x →∞→∞→∞-=-==-- 所以有斜渐近线1124y x =+. 5.作出下列函数的图形: (1) f (x ) =21xx+; (2) ()2arctan f x x x =- (3) ()2,(0,)e xf x x x -=∈+∞. 解: (1) (i) 定义域为(,)-∞+∞.()()f x f x -=- ,故曲线关于原点对称.(ii) 21lim limlim 012x x x x y x x→∞→∞→∞===+ ,故曲线有渐近线0y =.(iii) 222222121,(1)(1)x x x x y x x +-⋅-'==++ 22223322423232(1)(1)2(1)222442(3)(1)(1)(1)x x x x x x x x x x x y x x x -+--⋅+⋅---+-''===+++,令0y '=即210x -=得驻点1x =±,又使0y ''=的点为0,x =.图4-1(2) (i) 定义域为(,)-∞+∞.又 ()arctan y x x x y -=-+=-,故为奇函数.(ii) 2arctan lim ,limlim (1)1,x x x y x y x x→±∞→±∞→±∞=∞=-=πlim ()lim (2arctan )(2)()π2x x y x x →±∞→±∞-=-=-±= 所以有渐近线πy x = .(iii) 222211,11x y x x -'=-=++ 2222222(1)(1)24,(1)(1)x x x x x y x x +--⋅''==++令 0y '=得驻点1x =±,又使0y ''=的点为0x =. 列表如下:图4-2(3) (i) 定义域为(,)-∞+∞,且()((,))f x C ∈-∞+∞. (ii) ()2(1),()2(2),e e xxf x x f x x --'''=-=-由()0f x '=得1x =,由()0f x ''=得2x =,把定义域分为三个区间 (,1),(1,2),(2,);-∞+∞(iv) lim ()0x f x →+∞=,故曲线()y f x =有渐近线0y =,lim ()x f x →+∞=-∞.(v) 补充点(0,0)并连点绘图,如图所示:图4-3。
线性代数练习册第四章习题及答案篇一:线代第四章习题解答第四章空间与向量运算4-1-1、已经明白空间中三个点A,B,C坐标如下:A?2,?1,1?,B?3,2,1?,C??2,2,1? (1)求向量,,的坐标,并在直角坐标系中作出它们的图形;(2)求点A与B之间的间隔.解:(1) (1,3,0), (?5,0,0), (4,?3,0)(2)AB?4-1-2.利用坐标面上和坐标轴上点的坐标的特征,指出以下各点的特别位置:A?3,4,0?; B?0,4,3? ;C?3,0,0? ;D?0,?1,0? 解:A (3,4,0) 在xoy面上B(0,4,3)点在yoz 面上C(3,0,0)在x轴上D(0,-1,0)在y轴上4-1-6. 设u?a?b?2c,v??3b?c,试用a、b、c表示3u?3v.解:3u-2v=3(a-b+2c)-2(-3b-c)=3a+3b+8c4-1-7. 试用向量证明:假设平面上的一个四边形的对角线互为平分,那么这个四边形是平行四边形.解:设四边形ABCD中AC与DB交于O,由已经明白AO=OC,DO=OB 由于AB=AO+OB =OC+DO=DC,AD=AO+OD=OC+BO=BC 因此ABCD为平行四边形。
4-1-8. 已经明白向量a的模是4,它与轴u的夹角60,求向量a在轴u上的投影.解:.prjuu)4*cos60=4?r?rcos(r。
3=23 24-1-9. 已经明白一向量的终点在点B?2,?1,7?,它在x轴、y轴、z轴上的投影依次为4、-4、7,求这向量起点A的坐标解:设起点A为(x,y,z)prjxAB?(2?x0)?4prjyAB?(?1?y)??4 prjzAB?(7?z0)?7解得:x2y?3z0?04-1-12. 求以下向量的模与方向余弦,并求与这些向量同方向的单位向量:(1)a??2,?1,1? ;(2)b??4,?2,2? ;(3)c??6,?3,3? ;(4)d2,1,?1? .解:(1)a=(2,-1,1)a?22(1)122cos??22 ??a36cos??126cos a6a6(2)b=(4,-2,2) b?42(2)2 cos2226b3cos??26?2?b666cos b0,, b6b6b366(3)c=(6,-3,3) c?b2(4)3 cos222363cos??336cos??233626 62(4)d=(-2,1,-1)d?(?2)?1?(?1)?6cos??263cos??16d6cosd0??{?,,?66d366与前三向量单位同的d??{?6,,?。
充 1:当 A 列 秩 ( 或 A 可逆 ,A 在矩 乘法中有左消去律AB=0 B=0;AB=AC B=C.明B =(1,, ⋯,t ), AB = Ai =0,i=1,2, ⋯,s., , ⋯ , t 都是 AX =0212的解 . 而 A 列 秩 , AX =0 只有零解 ,i=0,i=1,2,⋯ ,s, 即 B =0.同理当 B 行 秩(或 B 可逆 ),AB 0 B T A T0 A T0A 0AB CB A C充 2如果 A 列 秩(或 A 可逆) , r( AB )=r( B ).分析 : 只用 明 次方程ABX =0 和 BX =0 同解 .( 此 矩 AB 和 B 的列向量 有相同的 性关系, 从而秩相等 .)明:是 ABX = 的解 AB = B =0( 用推 ) 是 BX = 的解 .于是 ABX =0 和 BX =0 确 同解 .同理当 B 行 秩(或B 可逆) , r( AB )=r( A ).例题一 . 填空1.A m 方 , 存在非零的 m × n 矩 B, 使 AB = 0 的充要条件是 ______.解: Ax 0 有非零解, r Am2.A n 矩 , 存在两个不相等的n 矩 B, C, 使 AB = AC 的充要条件是解: A B C 0 , B, C 不相等, Ax0 有非零解, r An3.若 n 元 性方程 有解, 且其系数矩 的秩r, 当 ______, 方程 有唯一解;当 ______ , 方程 有无 多解 .解:假 方程A m × n x = b, 矩 的秩 r ( A) r .当 r n , 方程 有惟一解 ; 当 r n , 方程 有无 多解 .4. 在 次 性方程 A m ×n x = 0 中 , 若秩 (A) = k 且 1, , ⋯ , r 是它的一个基 解2系 ,r = _____; 当 k = ______ , 此方程 只有零解。
习题四答案(A)1. 求下列矩阵的特征值与特征向量:(1) ⎪⎪⎭⎫ ⎝⎛--3113 (2) ⎪⎪⎪⎭⎫ ⎝⎛---122212221 (3) ⎪⎪⎪⎭⎫ ⎝⎛----020212022 (4)⎪⎪⎪⎭⎫ ⎝⎛--201034011 (5) ⎪⎪⎪⎭⎫ ⎝⎛--011102124 (6)⎪⎪⎪⎭⎫ ⎝⎛----533242111 解 (1)矩阵A 的特征多项式为=-A E λ)4)(2(3113--=--λλλλ,所以A 的特征值为4,221==λλ.对于21=λ,解对应齐次线性方程组=-X A E )2(O ,可得它的一个基础解系为)1,1(1=αT ,所以A 的属于特征值2的全部特征向量为)1,1(111k k =αT (01≠k 为任意常数).对于42=λ,解对应齐次线性方程组=-X A E )4(O ,可得它的一个基础解系为)1,1(2-=αT ,所以A 的属于特征值4的全部特征向量为)1,1(222-=k k αT(02≠k 为任意常数).(2)矩阵A 的特征多项式为=-A E λ)3)(1)(1(122212221--+=------λλλλλλ, 所以A 的特征值为11-=λ,12=λ,33=λ.对于11-=λ,解对应齐次线性方程组=--X A E )(O ,可得它的一个基础解系为)0,1,1(1-=αT ,所以A 的属于特征值-1的全部特征向量为)0,1,1(111-=k k αT (01≠k 为任意常数).对于12=λ,解对应齐次线性方程组=-X A E )(O ,可得它的一个基础解系为)1,1,1(2-=αT ,所以A 的属于特征值1的全部特征向量为)1,1,1(222-=k k αT (02≠k 为任意常数).对于33=λ,解对应齐次线性方程组=-X A E )3(O ,可得它的一个基础解系为)1,1,0(3-=αT ,所以A 的属于特征值3的全部特征向量为)1,1,0(333-=k k αT (03≠k 为任意常数).(3) 矩阵A 的特征多项式为=-A E λ)4)(1)(2(2021222--+=--λλλλλλ, 所以A 的特征值为11=λ,42=λ,23-=λ.对于11=λ,解对应齐次线性方程组=-X A E )(O ,可得它的一个基础解系为)2,1,2(1-=αT ,所以A 的属于特征值1的全部特征向量为)2,1,2(111-=k k αT (01≠k 为任意常数).对于42=λ,解对应齐次线性方程组=-X A E )4(O ,可得它的一个基础解系为)1,2,2(2-=αT ,所以A 的属于特征值4的全部特征向量为)1,2,2(222-=k k αT (02≠k 为任意常数).对于23-=λ,解对应齐次线性方程组=--X A E )2(O ,可得它的一个基础解系为)2,2,1(3=αT ,所以A 的属于特征值-2的全部特征向量为)2,2,1(333k k =αT (03≠k 为任意常数).(4)矩阵A 的特征多项式为=-A E λ)3()1(212123242--=------λλλλλ, 所以A 的特征值为12,1=λ(二重),23=λ.对于12,1=λ,解对应齐次线性方程组=-X A E )(O ,可得它的一个基础解系为)1,2,1(1-=αT ,所以A 的属于特征值1的全部特征向量为)1,2,1(111-=k k αT (01≠k 为任意常数).对于23=λ,解对应齐次线性方程组=-X A E )2(O ,可得它的一个基础解系为)1,0,0(2=αT ,所以A 的属于特征值2的全部特征向量为)1,0,0(222k k =αT (02≠k 为任意常数).(5)矩阵A 的特征多项式为=-A E λ2)2(11132124-=------λλλλλ, 所以A 的特征值为01=λ,23,2=λ(二重).对于01=λ,解对应齐次线性方程组=-X A E )0(O ,可得它的一个基础解系为)2,1,1(1--=αT ,所以A 的属于特征值0的全部特征向量为)2,1,1(111--=k k αT (01≠k 为任意常数).对于23,2=λ,解对应齐次线性方程组=-X A E )2(O ,可得它的一个基础解系为)0,1,1(2-=αT ,所以A 的属于特征值2的全部特征向量为22αk )0,1,1(2-=k T (02≠k 为任意常数).(6)矩阵A 的特征多项式为=-A E λ)3()1(212123242--=------λλλλλ, 所以A 的特征值为61=λ,23,2=λ(二重).对于61=λ,解对应齐次线性方程组=-X A E )6(O ,可得它的一个基础解系为)3,2,1(1-=αT ,所以A 的属于特征值6的全部特征向量为)3,2,1(111-=k k αT (01≠k 为任意常数).对于23,2=λ,解对应齐次线性方程组=-X A E )2(O ,可得它的一个基础解系为)0,1,1(2-=αT ,)1,0,1(3=αT ,所以A 的属于特征值2的全部特征向量为3322ααk k +)0,1,1(2-=k T )1,0,1(3k +T (32,k k 为不全为零的任意常数).2. 设A 为n 阶矩阵, (1) 若O A ≠,且存在正整数k ,使得O A k=(A 称为幂零矩阵),证明:A 的特征值全为零;(2) 若A 满足A A =2(A 称为幂等矩阵),证明:A 的特征值只能是0或1;(3) 若A 满足E A =2(A 称为周期矩阵),证明: A 的特征值只能是1或1-. 证明:设矩阵A 的特征值为λ,对应的特征向量为α,即λαα=A .(1)因αλαk k A =,而,O A k=故O k =αλ.又因O ≠α,故0=k λ,得.0=λ(2)因αλα22=A ,而,2A A =故αλααλα22===A A ,即.)(2O =-αλλ又因O ≠α,故02=-λλ,得0=λ或1.(3)同(2)可得αλααα22===A A ,即.)1(2O =-αλ又因O ≠α,故012=-λ,得1=λ或1-.3. 设21,αα分别为n 阶矩阵A 的属于不同特征值1λ和2λ的特征向量,证明:21αα+不是A 的特征向量.证明:反证法.若21αα+是A 的特征向量,相应的特征值为λ,则有)()(2121ααλαα+=+A ,即2121λαλααα+=+A A .又因21,αα分别为矩阵A 的属于特征值1λ和2λ的特征向量,即111αλα=A ,222αλα=A ,则2121λαλαλαλα+=+,即O =-+-2211)()(αλλαλλ.因21,αα是矩阵A 的属于不同特征值的特征向量,故21,αα线性无关,于是可得0,021=-=-λλλλ,即21λλλ==,矛盾.4. 证明定理4.4.若λ是n 阶矩阵A 的特征值,则(1)设m m x a x a a x f +++= 10)(,则)(λf 是)(A f 的特征值,其中m m A a A a E a A f +++= 10)()(N m ∈;(2)若A 可逆,则0≠λ,且λ1是1-A 的特征值,λ||A 是A 的伴随矩阵*A 的特征值.证明:设矩阵A 属于特征值λ的特征向量为α,即λαα=A .(1)因故)(λf 是)(A f 的特征值.(2)因A 可逆,故0||≠A .而||A 为A 的特征值之积,故A 的特征值0≠λ.用1-A 左乘λαα=A 两端得 αλλααα111---===A A A A .因0≠λ,故αλα11=-A ,即λ1是1-A 的特征值. 因1*||-=A A A ,故λ||A 是A 的伴随矩阵*A 的特征值.5. 证明:矩阵A 可逆的充分必要条件是A 的特征值全不等于零.证明:因矩阵A 可逆,故0||≠A .由n n A λλλλ,,(||11 =是A 的全部特征值)得01≠n λλ ,故),,1(0n i i =≠λ.6. 已知三阶矩阵A 的特征值为1,2,3,求*12,,3A A E A A -++的特征值. 解:由矩阵的特征值的性质得 A A 32+的特征值为41312=⨯+,102322=⨯+,183332=⨯+;1-+A E 的特征值为34311,23211,2111=+=+=+; 因6321||=⨯⨯=A *A 的特征值为236,326,616===. 7. A 是三阶矩阵,已知0|3|,0|2|,0||=-=-=+A E A E A E ,求|4|A E +.解:因,0||)1(||3=+-=--A E A E 0|3|,0|2|=-=-A E A E ,故三阶矩阵A 的全部特征值为-1,2, 3.因此A E +4的特征值为,734,624,3)1(4=+=+=-+于是126763|4|=⨯⨯=+A E .8. 已知向量)1,,1(k =αT 是矩阵⎪⎪⎪⎭⎫ ⎝⎛=211121112A 的逆矩阵1-A 的特征向量,求常数k 的值.解:因α是1-A 的特征向量,故也是A 的特征向量.设对应的特征值为λ,于是由λαα=A 可得⎪⎩⎪⎨⎧=++=++=++λλλ2112112k k k k ,解得2-=k 或1=k .9. 证明:如果矩阵A 可逆,则BA AB ~.证明:因BA BA A A A AB A ==--))(()(11,且A 可逆,则BA AB ~.10. 如果B A ~,证明:存在可逆矩阵P ,使得BP AP ~.证明:因B A ~,故存在可逆矩阵P ,使得AP P B 1-=.将上式两端右乘,P 得P AP P AP P BP )(11--==,即BP AP ~.11. 如果B A ~,D C ~,证明:⎪⎪⎭⎫ ⎝⎛⎪⎪⎭⎫ ⎝⎛D O O B C O O A ~. 证明:因B A ~,D C ~,故存在可逆矩阵Q P ,,使得CQ Q D AP P B 11,--==.于是有⎪⎪⎭⎫ ⎝⎛=⎪⎪⎭⎫ ⎝⎛⎪⎪⎭⎫ ⎝⎛⎪⎪⎭⎫ ⎝⎛=⎪⎪⎭⎫ ⎝⎛⎪⎪⎭⎫ ⎝⎛⎪⎪⎭⎫ ⎝⎛---D O O B Q O O P C O O A Q OO P Q O O P C O O A Q O O P 111. 而⎪⎪⎭⎫ ⎝⎛Q O O P 可逆,故⎪⎪⎭⎫ ⎝⎛⎪⎪⎭⎫ ⎝⎛D O O B C O O A ~.12. 已知A 为二阶矩阵,且0||<A ,证明:存在可逆矩阵P ,使得AP P 1-为对角矩阵.证明:A 为二阶矩阵,且0||<A ,故A 必有两个不等特征值,因此必存在可逆矩阵P ,使得AP P 1-为对角矩阵.13. 已知矩阵⎪⎪⎪⎭⎫ ⎝⎛--=x A 14020112与矩阵⎪⎪⎪⎭⎫ ⎝⎛-=21y B 相似,求(1) 常数x 和y 的值;(2) 可逆矩阵P ,使得B AP P =-1.解:(1)因B A ~,故B A 与有相同的特征值.而B 的特征值为2,,1y -,故-1,2也是A 的特征值.而=-A E λ]42)2()[2(140201122+--+-=-----+x x xλλλλλλ. 将1-=λ代入上式中得3=x .于是可得)1()2(2+-=-λλλA E ,故有A 的特征值为2,2,1-,因此2=y .(2)由(1)知A 的特征值为11-=λ,23,2=λ(二重).对应11-=λ的无关特征向量为)1,0,1(1=αT ,对应23,2=λ的无关特征向量为)0,4,1(2=αT ,)4,0,1(3=αT ,令⎪⎪⎪⎭⎫ ⎝⎛=401040111P ,则P 可逆,且B AP P =-1.14. 设三阶矩阵A 的特征值为1, 2, 3, 对应的特征向量分别为)1,1,1(T ,)1,0,1(T ,)1,1,0(T ,求(1)A ;(2)n A .解:(1)令⎪⎪⎪⎭⎫ ⎝⎛=111101011P ,则⎪⎪⎪⎭⎫ ⎝⎛=-3211AP P .而⎪⎪⎪⎭⎫ ⎝⎛---=-1011101111P 则⎪⎪⎪⎭⎫ ⎝⎛----=⎪⎪⎪⎭⎫ ⎝⎛=-4122121113211P P A . (2)因⎪⎪⎪⎭⎫ ⎝⎛==-3211ΛAP P ,所以1-=P P A Λ,故 ⎪⎪⎪⎭⎫ ⎝⎛---⎪⎪⎪⎭⎫ ⎝⎛⎪⎪⎪⎭⎫ ⎝⎛==-1011101113211111010111n nn n P P A Λ⎪⎪⎪⎭⎫ ⎝⎛-+------=13221311313112211n n n n n n n n. 15. 判断第1题中各矩阵是否可以对角化?若可以对角化,求出可逆矩阵P ,使得AP P 1-为对角阵.解:由第1题结果知(1) 可以对角化, ⎪⎪⎭⎫ ⎝⎛-=1111P ; (2) 可以对角化, ⎪⎪⎪⎭⎫ ⎝⎛---=110111011P ;(3) 可以对角化, ⎪⎪⎪⎭⎫ ⎝⎛--=212221122P ; (4) (5) 不可以对角化;(6) 可以对角化, ⎪⎪⎪⎭⎫ ⎝⎛--=103012111P .16. 证明正交矩阵的实特征值只能是1或1-.证明:设A 为正交矩阵,则AA T E A A T ==.设矩阵A 的特征值为λ,对应的特征向量为α,即λαα=A .将上式两端取转置得TT T A λαα=.将上面两式左右相乘得ααλααT T T A A 2=,即ααλααT T 2=.而ααT 为非零常数,故1,12±==λλ.17. 设⎪⎪⎪⎭⎫ ⎝⎛=111111111A ,求正交矩阵P ,使得AP P 1-为对角阵.解:矩阵A 的特征多项式为=-A E λ)3(1111111112-=---------λλλλλ, 所以A 的特征值为02,1=λ(二重),33=λ.对于02,1=λ,解对应齐次线性方程组=-X A E )0(O ,可得它的一个基础解系为)0,1,1(1-=αT ,)1,0,1(2-=αT .将其正交化,取⎪⎪⎪⎭⎫ ⎝⎛-=0111β,⎪⎪⎪⎪⎪⎪⎭⎫ ⎝⎛-=⎪⎪⎪⎭⎫ ⎝⎛--⎪⎪⎪⎭⎫ ⎝⎛-=-=1212101121101),(),(1111222ββββααβ, 再单位化,得⎪⎪⎪⎪⎪⎪⎪⎭⎫ ⎝⎛-==⎪⎪⎪⎪⎪⎪⎪⎭⎫⎝⎛-==366666,02222222111ββγββγ; 对于33=λ,解对应齐次线性方程组=-X A E )3(O ,可得它的一个基础解系为)1,1,1(3=αT.将其单位化,得⎪⎪⎪⎪⎪⎪⎪⎭⎫ ⎝⎛==333333333ααγ. 令⎪⎪⎪⎪⎪⎪⎪⎭⎫ ⎝⎛--=33360336622336622P ,则⎪⎪⎪⎭⎫⎝⎛==-3001ΛAP P . 18. 设三阶实对称矩阵A 的特征值为1,23,21=-=λλ, 属于1λ的特征向量为)1,1,0(1=αT,求属于3,2λ的特征向量及矩阵A .解:设属于13,2=λ的无关特征向量为32,αα.因A 是实对称矩阵,故123,21=-=λλ的特征向量与的特征向量必正交,于是⎪⎩⎪⎨⎧==03121ααααTT , 即32,αα是齐次线性方程组O X T=1α的两个线性无关解向量.求得上述方程组的基础解系为)0,0,1(T ,)1,1,0(-T,故取)0,0,1(1=αT,)1,1,0(2-=αT,因此属于13,2=λ的全部特征向量为)0,0,1(1k T)1,1,0(2-+k T(21,k k 不全为零);令⎪⎪⎪⎭⎫⎝⎛-=101101010P ,则⎪⎪⎪⎭⎫ ⎝⎛-==-1121ΛAP P . 而⎪⎪⎪⎪⎪⎭⎫ ⎝⎛--=-21210011212101P ,故⎪⎪⎪⎪⎪⎪⎭⎫⎝⎛----==-21230232100011P P A Λ. (B)1. 设n 阶矩阵A 的各行元素之和为常数a ,证明:a =λ是矩阵A 的一个特征值,)1,,1,1( T是对应的特征向量.证明:设n n ij a A ⨯=)(,其中T nj ija a)1,,1,1(,1==∑=α.由知a =λ是矩阵A 的一个特征值,)1,,1,1( =αT是对应的特征向量.2. 设⎪⎪⎪⎪⎪⎭⎫ ⎝⎛=⎪⎪⎪⎪⎪⎭⎫ ⎝⎛=n n b b b a a a 2121,βα都是非零向量,且0=βαT,记αβ=A T ,求(1)2A ;(2)A 的特征值与特征向量.解:(1)由0=βαT得0)(==TTTβααβ,于是O A T T T T ===βαβααβαβ)())((2.(2)由A 组第2题(1)知A 的特征值为0.求A 的特征向量.⎪⎪⎪⎪⎪⎭⎫⎝⎛==n n n n n n Tb a b a b a b a b a b a b a b a b a A 212221212111αβ,因βα,都是非零向量,故必存在某个i a 和j b 不为零,因此A 中元素0≠j i b a ,不妨设011≠b a .将A 做初等行变换得⎪⎪⎪⎪⎪⎭⎫⎝⎛00000021n b b b ,即1)(=A r ,故齐次线性方程组O AX =-的基础解系含有1-n 个解向量.令T n x x x ),,,(21 为T b )0,,0,(1 ,T b )0,,,0(1 ,T b ),,0,0(,1 ,得T b b )0,,0,,(121 -=α,T b b )0,,,0,(132 -=α,T n n b b ),,0,0,(,11 -=-α,于是所求特征向量为T n n b b k ),,0,0,(111 ---++,121,,,(-n k k k 不全为零).3. 已知三阶矩阵A 的特征值为2, 3, 4, 对应的特征向量分别为)1,2,1(1-=αT ,)2,1,2(2-=αT ,)2,3,3(3-=αT .令向量=β)6,5,4(T ,(1)将β用321ααα,,线性表示;(2)求βnA (n 为正整数).解:(1)由得321234αααβ++=.(2)321321234)234(ααααααβnn n n n A A A A A ++=++=)23222212++++⨯+-n n n T .4. 设A 为三阶实对称矩阵,2)(=A r ,且满足条件O A A =+232,求矩阵A 的全部特征值.解:设矩阵A 的特征值为λ,则由O A A =+232得0223=+λλ,故0=λ或2-=λ.因A 为三阶实对称矩阵,故A 必与某三阶对角矩阵Λ相似.因2)(=A r ,故2)(=Λr ,所以Λ的对角线元素有两个-2和一个0.因此A 的全部特征值为22,1-=λ(二重),03=λ.5. 设四阶矩阵A 满足AAA E ,0|2|=+T0||,2<=A E ,求*A 的一个特征值.解:因0||<A ,故矩阵A 可逆.由E AA T 2=知422||=A 得4||-=A .因,0|2|)1(|2|4=+-=--A E A E 得2-=λ是矩阵A 的一个特征值,因此*A 的一个特征值为22.6. 设⎪⎪⎪⎭⎫⎝⎛=0011100y x A 有3个线性无关的特征向量,求x 与y 满足的条件.解:矩阵A 的特征多项式为=-A E λ2)1)(1(01110-+=-----λλλλλy x ,所以A 的特征值为11-=λ,13,2=λ(二重).因A 有3个线性无关的特征向量,故齐次线性方程组=-X A E )(O 的系数矩阵的秩为1,即1)(=-A E r .而⎪⎪⎪⎭⎫ ⎝⎛---→⎪⎪⎪⎭⎫ ⎝⎛----=-000001011010101y x y x A E ,于是0=+y x .7. 问n 阶矩阵⎪⎪⎪⎪⎪⎭⎫⎝⎛111111111 与⎪⎪⎪⎪⎪⎭⎫⎝⎛00100100 n 是否相似,为什么? 解:令⎪⎪⎪⎪⎪⎭⎫⎝⎛=111111111 A ,⎪⎪⎪⎪⎪⎭⎫ ⎝⎛=00100100 n B ,则B A ~. 矩阵B 的特征值为1(01,,1-=-n n λ重),n n =λ.01,,1=-n λ对应的齐次线性方程组的系数矩阵为故属于01,,1=-n λ的无关特征向量有1-n 个;n n =λ对应的齐次线性方程组的系数矩阵为故属于n n =λ的无关特征向量有1个.因此矩阵B 有n 个线性无关的特征向量,故B 可对角化,且;00~⎪⎪⎪⎪⎪⎭⎫ ⎝⎛=n B Λ因为0||,11===++A trA n n λλλλ ,故A 的特征值必有0和非零数值.因1)()(==-A r A r ,故特征值0有1-n 个线性无关的特征向量,所以0的重数至少为1-n ,则A 的非零特征值为n ,因此矩阵A 的特征值为1(01,,1-=-n n λ重),n n =λ.因A 为实对称矩阵,故必可对角化,且⎪⎪⎪⎪⎪⎭⎫ ⎝⎛=n A 00~ Λ,于是B A ~.8. 设A 为n 阶矩阵, O A ≠,且存在正整数m ,使得O A m=,证明A 不能对角化.解:反证法.假设A 可对角化,由A 组第2题(1)知,A 的特征值都为0,故O A ~,即存在可逆矩阵P ,使得O AP P =-1,则O A =,矛盾.9. 设矩阵,22002100003000⎪⎪⎪⎪⎪⎭⎫⎝⎛-=B 矩阵B A ~,求)3()(E A r E A r -+-.解:矩阵B 的特征方程为=-B E λ0)3)(2(2=-+=λλλ,所以B 的特征值为01=λ,22-=λ,14,3=λ(二重).因矩阵B 是实对称矩阵,故属于14,3=λ的线性无关的特征向量必有2个,即224)3(=-=-B E r .因B A ~,则A 的特征值只有0,-2,3(二重),且属于3的线性无关的特征向量也有2个,即2)3(=-A E r .因1不是矩阵A 的特征值,故0||≠-A E ,即4)(=-A E r .因此6)3()(=-+-E A r E A r .。