成都市50所重点初中电话联系方式(精)
- 格式:doc
- 大小:15.00 KB
- 文档页数:3
成都市的所有中学成都所有中学的排名:国家级示范性普通高级中学石室中学成都七中树德中学四川师大附中成都二十中双流中学温江中学棠湖中学彭州中学新都一中大弯中学省级示范性普通高级中学四川大学附属中学(成都十二中)成都六中成都八中成都市武侯高级中学成都铁中西南交通大学附属中学盐道街中学列五中学晋原中学西北中学华西中学成都十八中玉林中学川化中学成飞中学中和中学金堂中学邛崃一中彭州一中新津中学航天中学中铁二局一中龙泉中学崇庆中学郫县一中郫县二中都江堰中学市级示范性普通高级中学成都实验外国语学校: 成都市外国语学校成都大学附属中学成都市实验中学成都三中成都十一中成都十四中成都十六中成都十七中成都十九中成都二十四中成都二十八中(协进中学)成都三十七中成都四十九中成都五十中高新区一中华阳中学金牛中学都江堰外国语实验学校双流艺体中学淮口中学郫县三中温江二中新都二中高埂中学蒙阳中学籍田中学安仁中学蜀城中学新都四中都江堰一中都江堰四中。
高新区1、成都外国语学校成都市高新西区2、成都七中高新校区剑南大道西侧3、成都七中初中部高新区天环街199号4、高新实验中学高新区紫荆西路27号5、电子科技大学实验中学高新区(西区)西源大道天骄路333号6、成都市玉林中学玉林东路11号7、成都市玉林中学石羊校区高新区剑南大道88号8、成都美视国际学校成都天府大道中段9、成都高新大源学校高新区大源村10、成都高新顺江学校高新区(西区)顺源北巷38号11、成都高新和平学校高新区天和路10号12、高新区新源学校成都高新区新园大道567号13、成都市第五十二中学郫县团结镇靖源上街139号14、成都高新滨河学校成都高新西区独柏环街111号15 石室天府中学高新区剑南大道西段成华区1、成都列五中学成都市双林路双园巷9号成都列五中学2、成都市实验中学成都市二仙桥北二路三号3、成都列五联合中学成都市双桥路248号 844406004、成都市第四十九中学校成都市建设北路三段56号附3号5、成都大学附属中学成都市三友路135号6、成都石室中学初中学校成都市一环路东二段培华西路3号7、成都市双庆中学成都市长天路9号8、成都市双语实验学校成都市双林路189号9、成都市华建学校成都市槐树店路26号10、嘉祥外国语学校成华校区成都市二仙桥北二路3号11、成都南华实验学校成华大道崔家店3号12、成都市成华区才艺学校成华区二仙桥北路31号13、成都蜀辉实验学校成华区二仙桥西路5号14、成华区新阳光学校成华区蜀陵路198号15、成华区和谐学校青龙街办石岭社区九组16、成都华西中学成都市八里小区双建路双建南巷1号17、三十八中学成都市龙潭寺隆兴路8号18、成都市第四十中学(省属) 成都市成华区新街150号锦江区1、成都七中育才学校锦江区双槐树街54号2、成都市七中嘉祥外国语学校成都市锦江区晨辉北路3、四川师大附属实验学校川师南大门斜对面4、盐道街中学实验学校锦江区琉璃场街一号5、七中育才学校三圣分校锦江区三省街道办红砂村联合四组6、四川师范大学附属中学外国语学校成都市锦江区沙河堡大观堰街2号7、成都市第三中学红星路二段83号8、成都市田家炳中学成都市顺江路369号9、四川省成都市第十七中学成都市锦江区牛王庙巷37号10、成都市盐道街中学(初中部)成都市滨江中路7号11、四川师范大学附属中学锦江区劼人路318号12、成都市盐道街外语学校成都市机场路189号13、成都市七中育才学道街分校成都市东南里5号14、锦江实验学校锦江区成龙街办国槐社区碟花街577号15、北京师范大学成都实验中学成都市红星路一段37号金牛区1、成都实验外国语学校西区成都市麓山大道二段2、金牛实验中学北区(原锦西中学) 成都市金牛区星月街83号3、成都市第八中学成都市一环路北三段72号4、成都市第二十中学(初中部) 成都市金牛区同育街38号5、成都市第十八中学成都市金牛区白果林小区金罗路4号6、成都市金牛中学成都市土桥金周路52号7、成都市第三十六中学金牛区天回镇金华寺南路288号8、成都市第三十三中高笋塘红旗巷9号9、成都市通锦中学成都市通锦路15号10、成都市人民北路中学成都市金牛区白马寺街15号11、成都市铁路中学一环路北二段34号12、西南交大附中成都市交大路174号13、七中万达学校成都市金牛区盛安路61003614、成都石室外语学校成都市金牛区黄金路1号15、成都市金牛实验中学(本部) 金牛区白果林小区中新路2号青羊区1、成都市石室联合中学成都市陕西街29号2、成都树德实验中学东马棚街9号3、成都市文翁实验学校青羊区文家场正街184号附2号4、成都树德实验中学东区(24中)人民中路一段二十四号5、成都市树德实验中学(西区) 成都市草堂北支路号6、成都市青羊实验联合中学太升北路13号7、成都市青羊实验中学成都市双新南路一号8、成都树德中学(光华校区) 西三环路与光华大道交界处9、成都市石室联合中学(西区) 成都市青羊区文苑路1号10、四川师大实验外国语学校四川成都锦西小区锦西路66号11、成都体育中学12、成都市成飞中学成都市黄田坝经一路121号13、成都市三十七中学成都市青羊区光华大道一段469号14、成都市石室联合中学蜀华分校成都市蜀华街43号15、成都市第十一中学成都市育婴堂街33号16、成都市锦城学校成都市包家巷83号武侯区1、西川中学成都市肖家河广福桥街3号2、成都市棕北中学武侯区科院街10号(科院校区)武侯区桐梓林南路10号(桐梓林校区)3、成都市西北中学成都市人民西路108号4、成都市第十二中学科华校区成都市航空路16号5、成都石室锦城外国语学校成都市武侯区小天竺街1036、成都石室双楠实验学校成都市武侯区双楠路3号7、成都市武侯实验中学成都市武侯区新苗东街5号8、成都市43中红牌楼董家湾北路9、成都市机投中学武侯区机投镇10、武侯外国语学校武侯区机头镇金川路。
一、成都高新区中学校名、地址等情况(一)玉林中学该校始建于1988年。
现占地面积103亩,有三个教学区(芳草、玉林、肖家河),建筑面积9万多平方米。
学校先后成为四川省校风示范学校、四川省重点中学。
现有在职教师409人(其中特级教师8人,市学科带头人4人),教学班116个(其中高中57个,初中59个),学生5709人(其中高中3178人,初中2531人)。
校长:唐方剑学校地址:芳草校区:芳草东街80号石羊校区:剑南大道北段688号玉林校区:玉林东路11号肖家河校区:肖家河街69号(总部):芳草东街80号咨询电话:乘车路线:12、26、77、79、93、114路公交车直达。
联系电话:、(二)高新实验中学该校始建于1991年,由六家企事业单位集资办学,业务接受市教育局指导。
2005年9月启动新北校区办学。
学校占地120亩,建筑面积43000余m2。
先后获得四川省校风示范学校、成都市示范性普通高中。
现有在职教师149人(其中特级教师2人,市学科带头人1人),教学班41个(其中高中23个,初中18个),学生2101人(其中高中1246人,初中855人)。
校长:凌文才学校地址:紫荆校区:紫荆西路27号新北校区:新义路146号联系电话:电子简历投送至:(三)四川省成都市中和中学学校始创于1931年,现系四川省示范性高中、四川省校风示范校;占地128亩,现有91个教学班,教职员工324人,学生5519人(住校生3453人)。
学校以“崇尚师德、崇尚学识”为教风,现有“特级教师4名,全国、省、市学科带头人等名优教师72名,中学高级教师111名、中学一级教师140名”。
学校地址:成都高新区中和街道新中街100号联系电话:(四)成都石室天府中学是由成都高新区管委会和成都石室中学(四中)联合举办并重点打造的直属于高新区管委会管理的全寄宿制公办学校。
成都高新区政府投入2.5亿元打造,学校座落于成都高新区剑南大道北段,交通便利、环境优美,占地总面积160亩,建筑面积66832.7平方米。
序号属地民办普通中小学内容校长电话(区号:028-)地址邮编 普 通 高 中1市管北京师范大学成都实验中学初中、高中刘增利86945017红星路一段37号610017 2市管成都市盐道街中学外语学校小学\初\高中谢丹琦85961001双流县机场路189号610211 3市管成都外国语学校初中、高中王建伟87820651天目路611731 4市管成都市实验外国语学校初中、高中温瑞征86318858金牛区一环路北一段134#610031 5锦江四川师大附属实验学校小学\初(高中)谢祥琼84761138锦江区四川师范大学校内610068 6锦江成都七中嘉祥外国语学校初中、高中吴 丽85918087锦江区琉璃乡金象寺610023 7青羊四川师大实验外国语学校小学\初\高中熊大贤87312552青羊区锦西小区锦康路66号610071 8金牛成都石室外语学校初中、高中68018009金牛区金牛乡黄金路1号610000 9金牛成都市实验外国语学校(西区)初中、高中肖明华87820646百草路611731 10金牛成都市金牛实验中学外国语学校初中、高中钟泰铬87507236金牛区金牛乡郎家村610036 11武侯成都石室外国语实验学校小学\初\高中伯 钧68184298武侯金花镇金兴南路32号610041 12武侯成都西川中学初、高中戴高龄85083955武侯区广福桥街3号610041 13武侯四川成都七中东方闻道网校初、高中王志坚85442231武侯区四维村6#七中校内610000 14成华成都十二中华智学校初、高中林毅84319887成华区双桥路211号610016 15高新成都美视国际学校小学\初\高中林华玉85330073人民南路南延线天府大道610024 16青白江北大附中成都实验学校初中、高中雷丽霞83680808青白江区石家碾东路610300 17新都新都一中实验学校初中、高中刘旭东86398002新都区海都大道北侧610500 18新都成都市三原外国语学校初中、高中杨能生83909556新都区三河镇蜀隆大道610503 19温江成都新世纪外国语学校小学\初\高中刘克均82716008温江区文武路207号611130 20温江成都七中实验学校小学\初\高中余森82607666温江区光华大道延伸线610000 21双流四川双流棠湖中学外语实验学校小学\初\高中黄光成86508608西南航空港临湾路3段9#610200 22双流成都双流中学实验学校(06年)小学\初\高中高志文85733563双流东升镇迎春路4段2号610200 23郫县成都树德联合学校小学\初\高中王 平87843801郫县犀浦镇泰山大道611731 24都江堰光亚学校小学\初\高中卿光亚87224909都江堰市胥家乡高桥村611833 25都江堰都江堰私立玉垒中学校初中、高中达定万87223980都江堰市胥家乡新店村611833 26都江堰都江堰育才学校初中、高中何志君87292283都江堰胥家乡羊叉村2组611830 27邛崃四川省邛崃市泽民中学校初中、高中唐开平138********邛崃市临邛镇南环路侧611530 28邛崃邛崃市强项实验学校初中、高中王 飞133********邛崃市前进镇611532 普 通 初 中29金牛成都金牛区精英文武学校小学、初中杨友生83114798金牛区洞子口乡友联村8队610032 30武侯成都武侯外国语学校小学、初中向显文85037779武侯簇桥镇锦南路109号610041 31武侯成都市春晖学校小学、初中胡汉雄87443138武侯机投街办草金东路22#61004532龙泉驿四川师范大学附属试验小学东山学校(08年)小学、初中邹 芳88436828龙泉驿区柏合镇黎明村1组61010033双流成都华兴外国语实验学校小学、初中陈茂儒85601617双流县华阳镇龙灯山610213 34新津新津中学实验外国语学校(07)小学、初中谢永年82510909新津县五津镇城北村游河心611430 35新津北大附中成都新津实验学校(08年)小学、初中房宝林82410828新津县花源镇柳河村611430 36大邑大邑县安仁外国语实验学校初 中陈文良88315187大邑县安仁镇仁和街41#611331 37大邑大邑县外国语学校初 中侯国祥88296990大邑县晋原镇晋原中学611330 38蒲江蒲江中学实验学校初 中王祥高88531254蒲江县鹤山镇河西路611630 39彭州四川省彭州中学实验学校(06年)初 中刘 江83704191彭州市致和镇高山村611930 40青羊成都黄田坝双语学校([2005]11号)小学、初中韦校长138********青羊区苏坡乡黄田村6组610000 41金牛成都市英才学校小学、初中周安军83127473金牛区商贸大道一段610081成都市民办中小学(含职业)名单。
一、成都的4中、7中、9中。
【三校】:是指“四、七、九”三所学校,【四区】:是指石室中学(文庙校区)、七中(林荫校区)、树德中学(宁夏校区、光华校区)。
【三校四区】在同一批次分统、调招录取。
2010年以后叫【三校七区】增加石室中学(北湖校区)、成都七中(高新校区)、树德中学(成龙校区)二、4、7、9中是怎样招生的?先看2009年的招生情况02001 石室中学校址:成都市文庙前街93号班数:16 计划800名(其中含指标到校生、对口保送生共220名,艺体特长生108名) 统招 720名调招 80名备注:另招收2个外地学生班,2个剑桥英语项目班。
注:此处的统招人数720名要扣除:“保送生”、“特长生”,所以实际对成都五城区的统招人数为:720-220-108=392名。
注:1. 4、7、9 在成都五城区实际共招收1215名统招生、225名调招生。
共计:1440人。
2010年4、7、9新校区招生,估计增加400×3=1200名。
(对比光华的人数)2. 保送生指:【指标到校生】、【部分初中 对口保送生】、【直升生】。
a. 【指标到校生】:479向所在服务区学校分配名额。
占学校统一招生计划,比例为479统招计划的15%(07年)、25%(08年)、35%(09年)50%(10年)。
b. 【对口保送生】:根据2007文件:保送生政策执行到2009年截至。
今年有没有 还要看文件。
c. 【直升生】:现阶段指普高。
今后479自己的初中部咋个直升,还不知道。
2009年部分初中学校对口保送国家级示范性高中具体情况注:1. 以上每个分数和实际的分数可能有2-3分的误差,以前记录的。
2. 以上各个分数都包含加分。
3. 2010年中考,取消区优干、区三好加分,体育、科技、艺术等加分大多数都从以前的15分调整为5分,再加上4、7、9新校区招生,如果2010中考难度不变的话,今年各校的录取分数估计会下降12-15分。
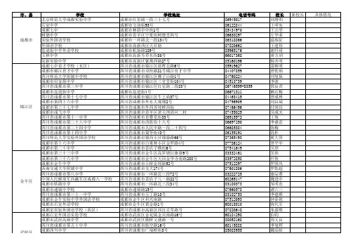
成都市50所初中学校地址电话序号学校名称办学性质地点电话备注1 石室中学初中学校公办一环路东二段培华西路3号84365304 兼并了30中2 石室联合中学公办陕西街29号(天府广场西南侧 86113484 原10中3 成都石室外语学校金牛区黄金路1号68018008;680186664 石室外国语实验学校武侯大道金兴南路16号85360303;853732085 石室锦城外国语学校成都市小天竺街103号855579746 7中育才学校公办锦江区双槐树街54号84442764 ;84442613 原35中7 7中育才学道分校公办滨江东路东南里5号86650207-2338 7中育才三圣乡分校公办锦江区三圣街道办红砂村联合四组846750339 7中实验学校光华大道281号10 7中初中部公办高新区科华路南延线天环街199号11 7中嘉祥外国语学校锦江区晨辉北路6号(金象花园背后 85913229;8591123612 7中嘉祥外国语学校成华校区84113128;8591780013 7中嘉祥外国语学校郫县校区14 树德实验中学公办青羊区东马棚街9号86635204 兼并了1中15 树德实验中学(西区公办草堂北支路5号8736407016 树德联合学校高新西区泰山大道133号(犀浦镇 8784380317 树德中学光华校区成都市光华大道一段东1341号18 成都外国语学校高新西区87820768;8782218819 成都实验外国语学校成都市一环路北一段134号86318899;8631891820 成都实验外国语学校(西区麓山大道二段6190966921 西川中学肖家河广福桥3号8508515322 川大附中初中部(望江校区公办8522155823 川大附中初中部(科华校区公办航空路68145007 原50中校址24 川师附中初中部公办牛市口海椒市省重25 川师附属实验学校川师南大门外86002257;8600226726 川师实验外国语学校锦西小区锦西路66号8731255227 玉林中学公办芳草东街80号(总部 66017328;66017368 省示范28 棕北中学公办成都市科院路10号85227876 省示范29 棕北联中公办成都市桐梓林街10号8515192330 列五中学初中部公办红星路一段马镇街8号8695778031 列五中学双桥校区双桥路248号8446308132 青羊实验中学公办青羊区双新南路1号8170859333 20中初中部公办金牛区同育街38号87535606;87535607 国家示范34 18中公办抚琴北巷1号87786960;87764610 省重35 成都铁路中学公办成都市一环路北二段34号83180373 83433830 省示范/省重36 北大附中成都实验学校青白江83660000;83663333 北大与四川省合作37 北大附中成都新津实验学校新津县花源82513676;82512018 北大附中投资38 北师大成都实验中学红星路一段37号北师大与成都市合作39 三原外国语学校新都区蜀龙大道83906111;8390622240 盐道街中学初中部公办滨江中路7号8665865241 成都市盐道街外语学校机场路189号85961001;85960695 国资投资42 棠湖中学外语实验学校航空港临港路三段9号86508899;8588309843 华阳中学公办华阳正北中街210号85627356;85627923 省示范44 双流中学实验学校双流中学的初中部85733508;85733808 国家示范45 成都武侯外国语学校金川路112号(草金立交 85363777;8536101546 新都一中公办83972039 省重/国家示范47 华西中学(电子科大附中公办双建路双建南巷1号83241039;83241025 省重,原13中48 大弯中学公办青白江区学苑路128号028-******** 国家示范49 成都市实验中学公办二仙桥北二路3号84111662;84118208 将来的北外成都附校50 龙泉外国语实验学校龙泉驿区新驿南街18号84853149。
来源:479网 2013-01-24 17:29:39[标签:成都初中成都初中学校成都中考网]成都中考网1月24日成都50所初中学校地址和电话,以方便家长查询。
摘要:成都市名气最大的公立学校。
万里挑一的网班,其师资力量配置和学生的成绩更是成都市首屈一指。
成都中考网1月15日成都市一类重点中学简介。
成都市七中育才学校成都市名气最大的公立学校。
万里挑一的网班,其师资力量配置和学生的成绩更是成都市首屈一指。
随着众多私立学校的异军突起,育才学校的生源受到了极大的影响,加之还有大量的摇号生和关系生,其2012级学生的成绩已经略输给了七中初中部。
地址:成都市锦江区双槐树街54号联系电话:成都七中初中部办学刚两届的新学校。
高新区还是有钱,学校设施算是公立学校里好的,老师待遇也不错。
这两届是学校创品牌的时候,老师卖力,学生用功,很多补课老师都是义务的。
2012级开办了创新教育基地班,对学生进行创新精神和创新能力的培养。
学生成绩属于公立学校的一流。
目前一流的公立学校和一流私立学校的成绩还是有比较大的一段差距。
就数学平均分来说大概要差十几分。
这主要是由生源情况决定的。
私立都是通过考试选出来的,而公立学校即便有少部分非常优秀的学生,但摇号生和关系生注定会极大的牵制平均分。
一个班的学习成绩差距很大,这是公立学校不可避免的问题。
私立学校生源比较整齐,但高昂的学费和必须住校的问题也是家长要考虑的事。
地址:成都市高新区天环街199号联系方式:成都外国语学校一所综合性非常强的学校,无论在外语和数理化竞赛上都表现得非常出色。
招生数量超过二十个班,2012届数学实验班四个,优生群体数量在成都市排第一,其影响力在09年小升初中也位居成都市第一。
中考前学校设有专门的直升生考试,以留住优生群体。
高中办学水平一流,高中出口成绩成都市数一数二。
地址:成都市羊西线高新西区招生咨询电话:成都七中嘉祥外国语学校一所数学很好的学校,初中数学平均成绩位列成都市第一,学生在数学上花的时间也是最多的。
四川省成都初中排名前10排行榜1,成都七中嘉祥外国语学校2000年,嘉祥教育集团第一所学校成立,这就是成都七中嘉祥外国语学校&成都嘉祥外国语学校。
学校始终以“办百年名校”为长远目标,以“创中华名校育国际英才”为办学目标,坚持“以生为本、以师为根、多元创新、和谐共赢”的办学理念,致力培养“包容坚毅、健康快乐、德佳优先、国际”的嘉祥才子,以良好的校风和优异的业绩2,成都市西川中学简介成都西川中学是一所由四川省教育厅批准,以寄宿制为主的民办普通完全中学,是中学数学教改实验基地,是教育部北师大基础教育课程研究中心的"全国新世纪初中数学实验基地"学校,是成都市体育传统项目学校。
该校被四川省推荐为全国首批表彰的"民办中小学先进集体",荣获"四川省民办教育先进集体"称号、荣获由中国民办教育协会、中小学专业委员会3,四川师范大学附属第一实验中学师大一中凭借严明的校风、严谨的学风和一流的教学质量,多年来一直稳居成都市初中教学水平前三甲。
学校教师队伍阵容强大,本科学历全面覆盖,硕士研究生比例高达35%,中高级职称达85%,特级教师、学科带头人、市级以上优秀教师、优秀班主任,市级以上各类赛课一等奖以上获得者达55%,锦江师大一中,办学至今已逾半个世纪。
学校位于环境优美4,电子科技大学实验中学电子科技大学实验中学(以下简称科大实验)是2009年由电子科技大学与成都高新区联合创办的公立高完中。
2016年6月,成都市教育局批准年轻的科大实验高中招生第二批次录取。
科大实验是成都市六城区实施全封闭、住宿制管理的公立学校,是严格与关爱相融的学校,是弥漫着创新创造力的学校,当然也是大学味道最浓的学校。
学校地处川蜀文化发源地5,成都外国语学校成都外国语学校创办于1989年,是经四川省教育厅批准,四川省第一所具有外语特色的高完中,是教育部批准的具有保送资格的外国语学校(全国仅16所,四川唯1所)、国家拔尖创新人才培养试点学校(全省仅6所)、全国安全教育先进单位、四川省普通高中课程改革样本学校、四川省校风示范学校、四川省民办教育先进集体、四川省阳光体育示范校6,成都七中育才学校成都七中育才学校成立于1997年,依托百年名校成都七中的高位发展,在短短20年的办学历程中,志存高远,追求卓越的七中育才,已经成长为成都市、四川省乃至全国都有影响力的名校,构筑起初中教育新高度,引领着成都市乃至四川省的初中教育发展,成为中国初中教育的一个品牌,并正向着“优质教育示范校”,“素质教育实验校”的办学目标前进成都市树德实验中学7,成都市树德实验中学,是成都市青羊区教育局直属的公办全日制普通初级中学。
成都50所初中学校地址和电话汇总来源:479网 2013-01-24 17:29:39[标签: ]• 成都中考网1月24日 成都50所初中学校地址和电话,以方便家长查询。
序号 学校名称 办学性质 地 点 电话 备注1 石室中学初中学校 公办 一环路东二段培华西路3号兼并了30中 2 石室联合中学 公办 陕西街29号(天府广场西南侧) 原10中3 成都石室外语学校 金牛区黄金路1号;4 石室外国语实验学校武侯大道金兴南路16号 5 石室锦城外国语学校 成都市小天竺街103号6 7中育才学校 公办 锦江区双槐树街54号;原35中 7 7中育才学道分校 公办 滨江东路东南里5号-233 8 7中育才三圣乡分校 公办 锦江区三圣街道办红砂村联合四组9 7中实验学校 光华大道281号10 7中初中部 公办 高新区科华路南延线天环街199号11 7中嘉祥外国语学校 锦江区晨辉北路6号(金象花园背后) ;12 7中嘉祥外国语学校成华校区 ;摘要:成都市名气最大的公立学校。
万里挑一的网班,其师资力量配置和学生的成绩更是成都市首屈一指。
成都中考网1月15日成都市一类重点中学简介。
成都市七中育才学校成都市名气最大的公立学校。
万里挑一的网班,其师资力量配置和学生的成绩更是成都市首屈一指。
随着众多私立学校的异军突起,育才学校的生源受到了极大的影响,加之还有大量的摇号生和关系生,其2012级学生的成绩已经略输给了七中初中部。
地址:成都市锦江区双槐树街54号联系电话:成都七中初中部办学刚两届的新学校。
高新区还是有钱,学校设施算是公立学校里好的,老师待遇也不错。
这两届是学校创品牌的时候,老师卖力,学生用功,很多补课老师都是义务的。
201 2级开办了创新教育基地班,对学生进行创新精神和创新能力的培养。
学生成绩属于公立学校的一流。
目前一流的公立学校和一流私立学校的成绩还是有比较大的一段差距。
就数学平均分来说大概要差十几分。
这主要是由生源情况决定的。
亚太教育
2021·04 第07
期
ASIA—PACIFIC EDUCATION
四川省成都市龙泉中学校
四川省成都市龙泉中学校是四川省一级示范性普通高中,创办于1944年。
学校现有69个教学班,2600余名学生,在编在岗教职工317人,特级教师9人,特级校长1人,四川省突出贡献优秀专家1人,四川省学术技术带头人1人,市学科带头人12人,正高级教师3人,高级教师123人,区级以上名优骨干教师160余人。
学校肩负“扛区域大旗,做全市先锋,创全国一流”使命,恪守“三育并重,文武合一”校训,践行“和合”教育理念,树立“党建引领、文化浸润、管理育人、卓越领航”办学思想,发扬“负重攀登、永不放弃,拒绝平庸、争创一流”的精神,全面提高育人质量,落实立德树人根本任务,办人民满意教育。
学校先后获得了“四川省校风示范校”“全国十佳育人先进学校”“四川省德育先进集体” “安全教育实验区全国示范学学、同济大学、加州大学伯克利分校、哥伦比亚大学、
曼彻斯特大学、悉尼大学、华盛顿大学等国内外名校输送了一批批优秀学子,龙泉中学“卓尔不群”的思想光辉已辐射到世界各地。
学校名称:四川省成都市龙泉中学校学校类别:普通高中学校性质:公办学校地址:成都市龙泉驿区鲸龙路1057号咨询电话:(028)66737329官方网站:/
官方微信 官方微博。
七中重点/示范校公办校成都市武侯区林荫中街1号(林荫校区)(028)85442231七中万达重点/示范校普通校金牛区盛安路1号62019582(国际部)树德外国语重点/示范校公办校成都市锦江区百日红西路398号(028)62500307树德光华重点/示范校公办校成都市光华大道一段东1341号(028)87460958树德重点/示范校公办校成都市宁夏街树德里4号(028)86630297石室重点/示范校公办校文庙前街93号(028)86000271石室天府公办校成都市高新区剑南大道北段590号028-********列五重点/示范校公办校双林路双园巷9号(028)84318573玉林重点/示范校公办校芳草东街80(028)66017366铁中重点/示范校一环路北二段34号(人北十字路口向西500米一环路侧028-******** 83433830盐道街中学重点/示范校成都市盐道街4号(高中部)028-********、028-********华西中学重点/示范校公办校成都市八里小区双建路双建南巷1号028-********田家炳重点/示范校公办校成都市锦江区三官堂街104号028-********西南交通大学附属中学重点/示范校成都市金牛区交大路174号(028)87601806十八中重点/示范校成都市一环路西三段抚琴北巷一号028-********;87740187成都实验外国语民办校成都市高新西区华阳麓山大道二段七号(028)61909605盐道街外语民办校成都市机场路189号028- 85961001石室外国语实验学校民办校武侯区金兴南路16号028-********石室外语学校民办校成都市金牛区黄金路1号68018010成都七中嘉祥外国语学校民办校成都市锦江区晨辉北路6号028-********成都外国语民办校四川省成都市天府新区犀浦街道百草路35号北京师范大学成都实验中学民办校成都市红星路一段37号(028)86932875电子科技大学实验中学公办校成都市高新区(西区)西源大道天骄路333号028-********四川省成都高新实验中学公办校成都市高新区紫荆西路27号028-********中和中学公办校高新区中和街道新中街100号028 - 85655700西北中学公办校成都市武侯祠大街建国巷1号028-********石室锦城外国语学校公办校成都市小天竺街103号8555845685557970四川大学附属中学公办校望江高中部-武侯区太平南新街68号85223369第二十中公办校四川省成都市外西茶店子横街6号028-********(高中部办公室)028-87534345(高中部教务处)双流中学公办校双流县广场路39号(028)85772907 双流棠湖中学公办校四川省双流县东升镇棠中路二段87号028-********成都市实验中学公办校成华区青龙路781号028-********第八中学公办校四川省成都市一环路北三段72号028-********有,成都楷博专修学校有有,华樱有有无有无无无无无仅查到2年前有法语预备班有有无有,PGA国际班无,但有些国际交流项目有无无无无无。
成都市50所初中学校地址电话
序号学校名称办学性质地点电话备注
1 石室中学初中学校公办一环路东二段培华西路3号84365304 兼并了30中
2 石室联合中学公办陕西街29号(天府广场西南侧 86113484 原10中
3 成都石室外语学校金牛区黄金路1号68018008;68018666
4 石室外国语实验学校武侯大道金兴南路16号85360303;85373208
5 石室锦城外国语学校成都市小天竺街103号85557974
6 7中育才学校公办锦江区双槐树街54号84442764 ;84442613 原35中
7 7中育才学道分校公办滨江东路东南里5号86650207-233
8 7中育才三圣乡分校公办锦江区三圣街道办红砂村联合四组84675033
9 7中实验学校光华大道281号
10 7中初中部公办高新区科华路南延线天环街199号
11 7中嘉祥外国语学校锦江区晨辉北路6号(金象花园背后
85913229;85911236
12 7中嘉祥外国语学校成华校区84113128;85917800
13 7中嘉祥外国语学校郫县校区
14 树德实验中学公办青羊区东马棚街9号86635204 兼并了1中
15 树德实验中学(西区公办草堂北支路5号87364070
16 树德联合学校高新西区泰山大道133号(犀浦镇 87843803
17 树德中学光华校区成都市光华大道一段东1341号
18 成都外国语学校高新西区87820768;87822188
19 成都实验外国语学校成都市一环路北一段134号86318899;86318918
20 成都实验外国语学校(西区麓山大道二段61909669
21 西川中学肖家河广福桥3号85085153
22 川大附中初中部(望江校区公办85221558
23 川大附中初中部(科华校区公办航空路68145007 原50中校址
24 川师附中初中部公办牛市口海椒市省重
25 川师附属实验学校川师南大门外86002257;86002267
26 川师实验外国语学校锦西小区锦西路66号87312552
27 玉林中学公办芳草东街80号(总部 66017328;66017368 省示范
28 棕北中学公办成都市科院路10号85227876 省示范
29 棕北联中公办成都市桐梓林街10号85151923
30 列五中学初中部公办红星路一段马镇街8号86957780
31 列五中学双桥校区双桥路248号84463081
32 青羊实验中学公办青羊区双新南路1号81708593
33 20中初中部公办金牛区同育街38号87535606;87535607 国家示范
34 18中公办抚琴北巷1号87786960;87764610 省重
35 成都铁路中学公办成都市一环路北二段34号83180373 83433830 省示范/省重
36 北大附中成都实验学校青白江83660000;83663333 北大与四川省合作
37 北大附中成都新津实验学校新津县花源82513676;82512018 北大附中投资
38 北师大成都实验中学红星路一段37号北师大与成都市合作
39 三原外国语学校新都区蜀龙大道83906111;83906222
40 盐道街中学初中部公办滨江中路7号86658652
41 成都市盐道街外语学校机场路189号85961001;85960695 国资投资
42 棠湖中学外语实验学校航空港临港路三段9号86508899;85883098
43 华阳中学公办华阳正北中街210号85627356;85627923 省示范
44 双流中学实验学校双流中学的初中部85733508;85733808 国家示范
45 成都武侯外国语学校金川路112号(草金立交 85363777;85361015
46 新都一中公办83972039 省重/国家示范
47 华西中学(电子科大附中公办双建路双建南巷1号83241039;83241025 省重,原13中
48 大弯中学公办青白江区学苑路128号028-******** 国家示范
49 成都市实验中学公办二仙桥北二路3号84111662;84118208 将来的北外成都附校
50 龙泉外国语实验学校龙泉驿区新驿南街18号84853149。