最新侯风波版《高等数学》练习答案
- 格式:doc
- 大小:114.50 KB
- 文档页数:20
(完整版)侯风波版《⾼等数学》练习答案第⼀章函数习题函数⼀、填空题:略.⼆、略.三、图略.四、图略;0,2,6-.五、1.函数)(x f 与)(x g 不相同; 2.函数)(x f 与)(x g 是同⼀个函数.六、3)2(log t y a +=.七、1. 1,2,sin ,log +====x w v v u u y w a ; 2. 1,lg ,,arcsin -====x w w v v u u y ; 3. 1e ,,cos 2-===x v v u u y ;4. 12,ln ,cos ,22+-====x x w w v v u u y .第⼆章极限与连续习题⼀极限的概念⼀、判断题:略.⼆、图略;)(lim 0x f x →=0. 三、(1))(x f ⽆定义,2)1(=g ,3)1(=h ;(2)2)(lim 1=→x f x ;2)(lim 1=→x g x ;2)(lim 1=→x h x . 四、左极限0)(lim 0=-→x f x ;右极限1)(lim 0=+→x f x ;函数在0=x 处的极限不存在. 五、(1)2)(lim 1=-→x f x ;1)(lim 1=+→x f x ;)(lim 1 x f x →不存在;(2)=-→)(lim 23x f x 49)(lim 23=+→x f x ;49)(lim 23=→x f x ;(3)4)(lim 2=-→x f x ;8)(lim 2=+→x f x ;)(lim 2x f x →不存在.习题⼆极限的四则运算⼀、求下列极限1. 30;2. 17;3. 40;4.41.⼆、x x ++210;1.三、求下列极限1. 12-;2. 0;3. 4;4.61.四、求下列极限 1.32; 2. 32.五、1.六、1-.习题三两个重要极限⼀、求下列极限1. 1;2. 16;3.241;4. 1;5. 1;6. 8.⼆、求下列极限1. 3e ;2. 2e -;3. 9e ;4.2e1.习题四⽆穷⼩与⽆穷⼤⼀、1. ∞→x ; 2. -→0x .⼆、1. +-→1x 及+∞→x ; 2. ∞→x .三、1. 1-→x ; 2. 1→x .四、求下列极限1. 0;2. 0.五、234sin x x 是⽐⾼阶的⽆穷⼩.六、提⽰:由极限运算及等价⽆穷⼩定义.习题五函数的连续与间断⼀、选择题:略.⼆、2=a .三、1. 可去间断点是1=x ;2. 7-=x 为函数的第⼆类间断点;1=x 为函数的跳跃间断点.四、求下列极限1. 0;2. 21;3. 21; 4. 4. 五、(]4,1为函数的定义区间,即为函数的连续区间.第三章导数与微分习题⼀导数的定义⼀、1. 2)1(='f ;2. 43)2(-='f . ⼆、a y ='.三、0)0(='f .四、左导数 1)0(='+f ,右导数为 0)0(_='f ,函数在0=x 处的导数不存在.五、在(1,1)点处切线平⾏于直线.习题⼆导数的四则运算⼀、填空题:略.⼆、求下列函数的导数 1. 2ln 354x x y +='; 2. )cos (sin e x x y x +='; 3. 3223351--+-='x xy ; 4. ]sin ln )1(cos )1ln 2[(cos 122x x x x x x x x xy ++++='; 5. 2211sec 3x x y --=';6. 221arctan 2x x x x y ++='.三、①定义域R 即为函数的连续区间;② x x x x x y cos sin 52d d 5253+=-;③由定义,0)0(='f ;④ x x x x x f cos sin 52)(5253+='-.习题三复合函数求导⼀、填空题:略.⼆、求下列函数的导数1. 222cos sin 2sin 2sin x x x x x y +?=';2. ]1tan 2cos 2)1(1[sec e 222sin xx x x y x ?+-='; 3. 10199)1()1(200x x y -+='; 4. ]1sin 11[cos e1cos x x x y x x +='; 5. x x x y 3cos 3sin 31-+='; 6. )ln(ln ln 21x x x y ='.三、)(2sin )(?+=wt w t v ;)(2cos 2)(2?+=wt w t a .四、)]()e (e )e ([e)(x f f f y x x x x f '+'='.习题四隐函数对数函数求导⾼阶导数⼀、是⾮题:略.⼆、求下列⽅程所确定的隐函数)(x f y =的导数1. ()x x y y x x -+-='e sin e 1;2. xy y y x yx --='++e e .三、⽤对数求导法求下列函数的导数 1.41='y 4)3)(2()423()1)(1(3---+-x x x x x )312142341311(------++-x x x x x 2. )2ln 2(d d 2+=x x x y x .四、切线⽅程为0=y .五、求下列函数的⼆阶导数1. )49(1053+=''x x y ;2. x x y x cos 2e 1222--=''; 3. 8)21(360x y -='';4. =''y x 2sin 4006-.习题五微分⼀、填空题:略.⼆、求下列函数的微分1. ()x x x x y d sin 1)cos 1(2d +-+=;2. x x x y x d )3cos 33sin 2(e d 2+=;3. x xx y d ln 21d 3-=; 4. x y x x d e1e 3d 2613+++=. 三、求⽅程所确定的隐函数)(x f y =的微分y d 1. x y x xy y x d cos 2e d 2--=; 2. x ya xb y d d 22-=. 四、利⽤微分计算下列各数的近似值 1. 0033.101.13≈; 2. 21.1e 21.0≈.五、球的体积扩⼤约为3πcm 1800.第四章微分学的应⽤习题⼀洛必达法则⼀、是⾮题:略.⼆、求下列各式的极限1. 0;2. 1;3. 1;4. 0.三、求下列各式的极限1. 0;2. 0.四、求下列极限1. 0;2. 1;3. 1;4.21e -;5. 3;6. 0.习题⼆函数的单调性⼀、单项选择题:略.⼆、求下列函数的单调区间1. 单增区间),2()0,(+∞-∞Y ,单减区间)2,0(;2. 单增区间)0,(-∞,单减区间),0(+∞;3. 单增区间),21(+∞,单减区间)21,0(;4. 单增区间),0()1,(+∞--∞Y ,单减区间)0,1(-.三、提⽰:利⽤函数单调性证明.四、单调递增区间),21(+∞,单调递减区间)21,(-∞.习题三函数的极值⼀、单项选择题:略.⼆、1.)(x f '; 2.)(x f ''; 3. 极⼩值; 4. 3)1(=f .三、最⼤值为10)1(=-f ,最⼩值为22)3(-=f .四、极⼤值为0)0(=f ,极⼩值为41)22()22(-==-f f .五、当直径r 2与⾼h 之⽐为11∶时,所⽤的材料最少.习题四曲线的凹凸性与拐点⼀、填空题:略.⼆、曲线在)332,(--∞及),332(+∞内上凹,在)332,332(-内下凹,拐点为)910,332(--和)910,332(-.三、函数在)2,0(上的极⼤值为2723)31(-=f,极⼩值为1)1(-=f;最⼤值为1)2(=f,最⼩值为1)1(-=f;拐点为)272532(-,.四、⽰意图:第五章不定积分习题⼀不定积分的概念与基本公式⼀、填空题:略.⼆、选择题:略.三、计算下列不定积分1. Cx+13 3;2. C xxx + -5 3 ln 5 3 3;3. C xxx + + --ln 2 sin 3 1;4. C xxx+ +arcsin2cos.四、求解下列各题1. Cxxf x+='2e2d)(;2. xxf x2sece)(+=;3.所求函数为233+-=xxy.习题⼆不定积分的换元积分法⼀、填空题:略.⼆、选择题:略.三、多步填空题:略.四、计算下列不定积分 1. C x +--21; 2.C x +2arcsin 21; 3.C x x +++24arctan )1ln(41; 4.C x x ++3tan 31tan ; 5.()()C x x ++-+1213223; 6.C xx +--3arccos 392.习题三分部积分法简单有理函数的积分⼀、填空题:略.⼆、多步填空题:略.三、求下列不定积分 1. ()C x x +-++11e 21; 2. C x x x x x ++--4ln )2(22; 3. C x x x ++-e )22(2; 4. C x x x +-+212)1(arcsin ; 5. C x x x ++-sin 2cos 2; 6. C x x +--3 )2(ln 2. 四、?''x f x x d )e (e 2C f f xx x +-'=)e ()e (e .第六章定积分习题⼀定积分的概念微积分基本公式⼀、选择题:略.⼆、求下列定积分 1. 43433-;2. 3424-;3. 2;4. 4π1-;5. 4;6. 61. 三、解答下列各题1. x x x f 2sin )(4='; 2. 23d )(lim 200=?→x t t f x x ; 3.67d )(21=?-x x f .习题⼆定积分的换元积分法与分部积分法⼀、填空题:略.⼆、求下列定积分 1. )e 2(2-; 2. 32π2; 3. )1e (412+; 4. 12312π-+; 5. 49ln ; 6. 22a ; 7. )1e (212-π; 8. 3212ln -+.习题三定积分的应⽤⼀、32=S . ⼆、h r V 23π=. 三、(1)2=S ;(2)2π2=V . 四、两部分⾯积⽐为 )34π2(+:)34π2π8(--= )4π6(+:)4π18(-. 五、4π4r W ?=ρ.六、g P ρ18=.习题四反常积分⼀、填空题:略.⼆、选择题:略.三、计算下列⼴义积分 1.21; 2. 2π.四、?∞+∞-+x x x d 12发散.第七章常微分⽅程习题⼀常微分⽅程的基本概念与分离变量法⼀、判断正误:略.⼆、填空题:略.三、多步填空题:略.四、求解下列各题 1.C xy +=-3112(其中1C C -=为任意常数); 2. 冷却规律为kt t T -+=e 3020)(.习题⼆⼀阶线性微分⽅程⼀、填空题:略.⼆、多步填空题:略.三、通解为2e 1x C y -+=(其中C 为任意常数).习题三⼆阶常系数齐次线性微分⽅程⼀、填空题:略.⼆、多步填空题:略.三、求下列微分⽅程的通解1. =y x x C C -+e e 261;2. =y x x C C 521e )(+;3. =y )23sin 23cos (e 2121x C x C x +; 4. =y x C 25e -.四、1e 2)(-==x y x f .习题四⼆阶常系数⾮齐次线性微分⽅程⼀、填空题:略.⼆、多步填空题:略.三、x x x y e )9834(e 3613454+-++-=.四、求下列微分⽅程满⾜初始条件的特解(1)x x x y 22e )(-+=;(2)x y sin =.第⼋章空间解析⼏何习题⼀空间直⾓坐标系与向量的概念⼀、填空题:略.⼆、选择题:略.三、求解下列问题 1. k j i 3223-+-=-;2. ()14=AB d ;3. 939393,, 和---939393,,; 4. ),,(002-C .习题⼆向量的点积与叉积⼀、是⾮题:略.⼆、填空题:略.三、选择题:略.三、求解下列各题 1. -±837833835,,; 2. {}4,6,12-±=b ; 3. 213S ABC =?.习题三平⾯和直线⼀、填空题:略.⼆、选择题:略.三、求解下列问题1. 534=++z y x ;2. 2=-y z ;3. 211211-=--=-z y x ; 4. ①5-=p ;②7=p .习题四曲⾯与空间曲线⼀、填空题:略.⼆、选择题:略.三、求解下列问题1. ⽅程为x z y 422=+,是旋转抛物⾯; 2. 投影⽅程为?==+;0,52x z y 3. 投影⽅程为?==++.0,0422y z x第九章多元函数微分学习题⼀多元函数及其极限⼀、填空题:略.⼆、函数的定义域为{}41),(22<+≤y x y x ;草图三、4 142lim 00-=+-→→xy xy y x .四、表⾯积rh π2r πS 2?+?=,体积h r πV 2?=.五、)0,0(),(f y x f -??=22)()())((y x y x ?+.习题⼆偏导数及⾼阶偏导数⼀、是⾮题:略.⼆、填空题:略.三、解下列各题 1. x x z 4=??,29y y z=??; 2. 34xy x z =??,226y x y z=??; 3. y x x z ln 2+=??,y xy x y z=+=??10,222=??x z ,222y x y z -=??,y x y z 12=; 4. z y x f arctan =??,z x y f arctan =??,21z xyz f +=??.四、略.习题三全微分⼀、填空题:略.⼆、解答下列各题1. y x x x x y z d ln d )1(ln d ++=;2. z z y y z x x x yx u y y d cos d )sin ln (d d 1+++=-;3. 119.0-=?z ;4. 125.0d -=z .三、01.003.0cos 01.0sin ≈.四、对⾓线变化约为m 045.0.五、所需⽔泥的近似值为3m 4.9.习题四复合函数的偏导数⼀、填空题:略.⼆、多步填空题:略.三、解下列各题 1.1d d -=t z ; 2. y z x z =??,2)(y y x z y z +-=??; 3.)cos sin 2(cos 2x x x y xy xz +=??,)2sin (cos sin 22y y y x x y z -=??.习题五偏导数的⼏何应⽤⼀、填空题:略.⼆、求解下列各题1. 切线⽅程为 312111-=-=-z y x 和27272913-=-=-z y x ; 2. 切平⾯⽅程为 )3()1(4)1(2-+--+z y x =0;3. 切线⽅程为 1191161--=-=-z y x ,法平⾯⽅程为 0)1(1)1(9)1(16=---+-z y x .习题六多元函数的极值⼀、判断题:略.⼆、选择题:略.三、计算下列各题1. 函数在)1,2(点取得极⼩值24-;2. 当端⾯半径与半圆柱⾼满⾜2:1:=h r 时,所⽤材料最省.第⼗章多元函数积分学习题⼀⼆重积分及其在直⾓坐标系下的计算⼀、判断题:略.⼆、填空题:略.三、计算下列各题1. 0=I ;2. ①?==20202332d d x y y x I ;②332d d 40222==??y x y y I ; 3. 2 1d e d 1002==y y x x y I .习题⼆极坐标下⼆重积分的计算及⼆重积分的应⽤⼀、填空题:略.⼆、多步填空题提⽰:y x D y x d d e )(22??+-θr D r d rd e 2??-=??π-=2010d e d 2r r θr ?π-=20102)d(e 21d 2r θr θd )e 11(2120-=?π)e 11(π-=.三、求解下列各题 1. π2 2d d )cos(22=+??y x y x D ;(提⽰:化为极坐标下的⼆重积分); 2. π32=V ;3. 薄⽚的质量为121.第⼗⼀章级数习题⼀数项级数⼀、判断题:略.⼆、选择题:略.三、判断下列级数的敛散性1. ∑∞=-1)1(n n 发散; 2. ΛΛ+++++n21614121发散; 3. ∑∞=+1)1(1n n x 当0>x 或2-21n nn 收敛;5. ∑∞=--112)1(n n n n 收敛; 6. ∑∞=-+13)1(2n n n收敛.习题⼆幂级数⼀、填空题:略.⼆、求解下列各题1. 级数∑∞=+0122n n n x n 的收敛半径为21=R ; 2. 级数∑∞=++012122n n nx n 的收敛半径为22=R ; 3. 级数∑∞=-02)1(n n nn x 的收敛域为)3,1[-; 4. 级数∑∞=-011n n nx 的和函数为2)1(1)(x x S +=; 5. 级数ΛΛ+-+++-123123n x x x n 的和函数为21)11ln()(x x x S -+=.习题三函数的幂级数展开⼀、填空题:略.⼆、求解下列各题1. 展开为ΛΛ++-+-+-+=++)1()2()1(3)2(2)2(22ln )2ln(132n x x x x x n n ,收敛域为]2,2(-∈x ; 2.展开为ΛΛ+-++?-?=+)!2(2)2()1(!42)2(!22)2(sin 21422n x x x x n n ,收敛域为),(+∞-∞∈x ; 3. x 2=ΛΛ++++++n x n x x xx n x x x !2)2(ln !32)2(ln !22)2(ln 2ln 213322,收敛区间为),(+∞-∞∈x ;4. 展开式为∑∑∞=∞=---=++002)2()1(21)1(231n n n n n n x x x x ,收敛区间为)1,1(-.。
高等数学(上) 第一章 函数与极限1. 设 ⎪⎩⎪⎨⎧≥<=3||,03|||,sin |)(ππϕx x x x , 求).2(446ϕπϕπϕπϕ、、、⎪⎭⎫⎝⎛-⎪⎭⎫ ⎝⎛⎪⎭⎫ ⎝⎛6sin )6(ππϕ=21= 224sin )4(==ππϕ()0222)4sin()4(==-=-ϕππϕ2. 设()x f 的定义域为[]1,0,问:⑴()2x f ; ⑵()x f sin ; ⑶()()0>+a a x f ; ⑷()()a x f a x f -++ ()0>a 的定义域是什么?(1)][;,-的定义域为所以知-11)(,111022x f x x ≤≤≤≤ []ππππ)12(,2)(sin ),()12(21sin 0)2(+∈+≤≤≤≤k k x f Z k k x k x 的定义域为所以知由][a a a x f a x a a x -+-≤≤≤+≤1,)(110)3(-的定义域为所以知-由][φ时,定义域为当时,定义域为当从而得-知由211,210111010)4(>-≤<⎩⎨⎧+≤≤-≤≤⎩⎨⎧≤-≤≤+≤a a a a a x a a x a a x a x3. 设()⎪⎩⎪⎨⎧>-=<=111011x x x x f ,()x e x g =,求()[]x g f 和()[]x f g ,并做出这两个函数的图形。
⎪⎪⎩⎪⎪⎨⎧>=<==⎪⎩⎪⎨⎧>-=<=⎪⎩⎪⎨⎧>-=<=-1,1,11,)]([.)20,10,00,1)]([1)(,11)(,01)(,1)]([.)11)(x e x x e e x f g x x x x g f x g x g x g x g f x f 从而得4. 设数列{}n x 有界, 又,0lim =∞→n n y 证明: .0lim =∞→n n n y x{}结论成立。
习题9-11.写出下列级数的前五项:(1) ∑∞=++1211n n n; (2) ∑∞=⋅-12)12(1n nn ; (3) ∑∞=-1)1(n nn ; (4)∑∞=1n nne.解 (1)第一项为1,第二项为53,第三项为104,第四项为175,第五项为266。
(2)第一项为21,第二项为121,第三项为401,第四项为1121,第五项为2881。
(3)第一项为-1,第二项为21,第三项为31-,第四项为41,第五项为51-。
(4)第一项为e ,第二项为22e ,第三项为33e ,第四项为44e ,第五项为55e 。
2.写出下列级数的一般项:(1) 1111357++++… (2) 1112ln 23ln 34ln 4+++…(3) 11234024567-++++++…(4)2345625101726a a a a a -+-+-…解 (1) 121-=n u n (2)()()1ln 11++=n n u n(3)12+-=n n u n (4)()11211-+-=+n a u n n n3.根据级数收敛与发散的定义,判别下列级数的敛散性,如果收敛,并求其和. (1)∑∞=12n n ; (2)∑∞=+-1)12)(12(1n n n ; (3)∑∞=++-+1)122(n n n n .解:(1) 级数的部分和为()222-12-121-==+n nn S 因为 ()+∞=-=+∞→∞→22lim lim 1n n n n S所以级数∑∞=12n n发散.(2)因为()()⎪⎭⎫⎝⎛+=+-121-1-212112121n n n n所以级数的部分和为 ()()12121751531311+-++⨯+⨯+⨯=n n S n⎪⎭⎫⎝⎛+++++=121-1-2171-5151-3131-121n n ⎪⎭⎫ ⎝⎛+=121-121n 12+=n n而 21121lim12limlim =+=+=∞→∞→∞→nn nS n n n n 所以级数∑∞=+-1)12)(12(1n n n 收敛.且级数的和为21.(3)因为()()()n n n n n n n -+-+-+=+++11212-2所以级数的部分和为()()n n n S n ++++++++=12-2232-4122-3 )(()()()()()nn n n -11-22-3-3-41-2-2-3+-+++++= )(()()1212--+-+=n n()()12121--+++=n n而 ()()2-112lim121limlim =--+++=∞→∞→∞→n n n n n n s所以级数∑∞=+-1)12)(12(1n n n 收敛.且级数的和为2-1. 4.判别下列级数的敛散性,若收敛,并求其和. (1) 1111124816-+-+-… (2) 234e e e e -+-+… (3) 2233121212()()()232323++++++… (4) 231ln 3ln 3ln 3++++ (5)∑∞=+1)11ln(n n n(6)∑∞=1sinn nn π(7) 231sin1sin 1sin 1-+-+ (8)++-++⋅+⋅+⋅)15)(45(1161111161611n n解:(1) 级数的部分和可写为∑=-⎪⎭⎫ ⎝⎛⨯-=nn n n n s 1142141因为∑∞=-1141n n 是41=q 的等比数列,收敛并且和为3441-11=.同理∑∞=⨯1421n n是41=q 的等比数列,收敛并且和为3241-1121=⨯. 根据级数性质,∑∞=-⎪⎭⎫⎝⎛⨯-1142141n n n 也收敛,其和为 ∑∞=-⎪⎭⎫ ⎝⎛⨯-1142141n n n =∑∞=-1141n n -∑∞=⨯1421n n=3232-34=(2) 级数的部分和可写为()()()()n n n nn nn n e e e ee e e e e ees 2222221212111111-+=-----=-=∑=- 因为 ()-∞=-+=∞→∞→n n n n e ees 211limlim所以根据定义,该级数发散。
习 题 答 案习题1.11.(1)⇒-≥⇒≥+34043x x 4[,)3-+∞(2)()()⇒≠≠⇒--=+-=121222322x x x x x x y 且(,1)(1,2)(2,)-∞+∞ (3)⇒≤⇒≥-101x x [1,1]- (4)⇒>-+011xx(1,1)- (5)⇒>+≥+0102x x 或(1,0)(0,)-+∞(6)⇒≤≤120x 1[0,]2(7)(,)-∞+∞;(8),().4x k k Z ππ≠+∈2.(1)[1,1]-;(2)[,1]a a --;(3)[2,(21)],().k k k Z ππ+∈3.(1)不相同;(2)相同;(3)相同;(4)相同.4. 0;;;;.2342ππππ--5.(1)⇒+=-+-2)2()2)(2(x x x x (,2)(2,)-∞+∞;(2)(,).-∞+∞6. 2;6-;()1,112,1x x f x x x +<-⎧+=⎨+≥-⎩;()1,11.,1x x f x x x -<⎧-=⎨≥⎩7.()()2233.x x x x +∆+∆ 8. ()21.x x -9. 偶函数;奇函数;奇函数;非奇非偶函数.10.(1)2,31uy u x ==-;(2)2ln ,1y u u v x ===-;(3)2,cos ,31y u u v v x ===-;(4)21ln ,tan ,2x y u u v v +===;(5)32,arcsin,1y u u v x ===-;(6)1,cos ,2.y u v v w w x ==+==11. ()22,(0,).2aV a x x x =-∈12. 232,[0,].3R h V h H H π=∈习题1.21 ()0lim 1x f x -→=,()0lim 1x f x +→=,()0lim 1x f x →=; ()1lim 2x f x -→=,()1lim 1x f x +→=,()1lim x f x →不存在. 2 略 3=-+=-→12)(25lim x xx f x 14不存在==→x x f x )(lim 22422)(lim 3=-=→x x f x4 (1)21;(2)13-;(3)4;(4)23x ;(5)12;(6)0; (7)3;(8)1;(9)0;(10)32;(11)14;(12)1.2-5 (1),1x x →∞→;(2)2,x x →±→∞; (3)1,x x →→+∞; (4),();,().2x k k Z x k k Z πππ→+∈→∈6 (1)0;(2)0;(3)0;(4)0;(5)35;(6)∞;(7)0;(8)0. 7 (1)269x x ++是比3x +高价的无穷小;(2)等价.8 (1)23;(2)1;(3)2;(4)23;(5)1;(6)1;(7)1;(8;(9)2e ;(10)6e ;(11)2e -;(12)1ee ;(13)3e ;(14).e习题1.31 在12x =处连续;在1x =处不连续;在2x =处连续. 2 (1)1x =-是第二类间断点,无穷间断点;(2)2x =是第二类间断点,无穷间断点;1x =是第一类间断点,可去间断点; (3)0x =是第一类间断点,跳跃间断点; (4)0x =是第一类间断点,可去间断点.3 (1)[2,7];(2)(,1),(1,2),(2,)-∞+∞;(3)(,0),(0,5)-∞;(4)(,1),(1,).-∞+∞4 略.复习题11(1)偶函数; (2)偶函数; (3)奇函数.2 (1)43;(2)164-;(3)43;(4)4-;(5)1;(6)2a ;(7)12;(8)1e -;(9)ke -;(10)2;(11)1-;(12)0. 3 0,18.a b == 4 1, 2.a b ==-5 ()1lim 2;x f x +→=()1lim 2;x f x -→=-()1lim x f x →不存在. 6 1a =.7 ln 2c =. 8 略. 9 略习题2.11 (1)正确;(2)正确.2 (1)199200x ;(2(3)72x 3 (1,1).4 11(,)24,14y x =-. 习题2.21 (1)732481x x ++; (2)2cos x ; (3)cos sin x x x -; (4)23x x e +; (5)2ln 22x x +;(6)1xe x+; 2 (1)99200(21)x -; (2)22(41)xxx e ++; (3)3cos(3)x π+;(4)sin 2x -; (5)2(2sin cos )xe x x +; (6)221xx +; (7)22sec 2x ;(8)23csc 3x -. 3 (1)10; (2)9sin(31)x -+.习题2.31 22x e ,ln(1)x +,2ln 2x .2 1.00067.3 (1)(2cos )x x dx +; (2)2sec xdx ; (3)()xxe xe dx +; (4)99200(21)x dx -. 4 0.0033..习题2.41 略.2 (1)8;(2)3;(3)0;(4)2.习题2.51 (,)-∞+∞.2 (,0)-∞单增,(0,)+∞单减.3 e ,0.习题2.61 略.复习题 21 (1)x 4-; (2) 32x -; (3) 332x. 2 2ax b +,b ,a b +,0.3 27.4 096=--y x .5 0=x ,32=x . 6 不可导,因为)1()1(+-'≠'f f . 7 可导.8 (1) 16-x ; (2) 1)(-++b a xb a ; (3) 211x x +;(4) 34x x -; (5) xx x 2153+-; (6) x x 262-;(7) )11(21x x +-;(8) )13(21+x x;(9)b a a +;(10) )(2b a x +-; (11) ])([111-+--+++b a b a x b a x x ab .9 (1) 111232++x x ;(2)1ln +x ;(3))1ln (1+-x n x n ;(4)a x ln 21; (5) 2)1(2--x ;(6) 222)1(55x x +-;(7) 2)2(43x -- ; (8) 21)(n n cx b acnx +--; (9) 2)ln 1(2x x +- ; (10)22)1(42x x x+--.10 (1) x x cos ; (2) 2)cos 1(sin cos 1x x x x ---;(3) x x x tan sec )1(2--; (4) xcos 15+; (5)xxx x x x x x 22sin cos sin sin cos -+-; (6) x x x x x x sin ln cos ln sin ++. 11 0=-+πy x . 12 点)1,0(.13 (1) )541)(1(22x x x +++ ; (2) 34-x ;(3) )161120()45()53(42+++x x x ; (4)23511645x x x ++ ; (5)2)3()2)(4(+++x x x ; (6) 22ax x-; (7) 32)1(1x -; (8)a x x ln )1(22+ ;(9) 222a x x - ; (10) )ln 11(21x x +;(11) )1(1x x -; (12) nx n cos ; (13) x x n n cos sin 1-;(14) n n x nx cos 1-;(15) x n x n n )1cos(sin 1+-; (16) 2sin 2cos 232x x -;(17) 2tan 212x;(18)x x csc sin 1=; (19) x x x 1cos 1sin 2-;(20)x x ln 1; (21) 221ax -; (22) x x n n 1cos sin +;(23) 22)sin (cos x x x x +; (24) a x a x a x a x a cot csc tan (sec 222-. 14 (1)241x -; (2)211x +;(3) 212x +;(4) 2221)1(arccos 11x x xx x --+-- ; (5)242arcsin2x x-; (6) 212x - ; (7) 0.15 (1) x y x y --22 ; (2) ax y ay -; (3) 1-y y; (4) yy xe e -1.16 (1)x e 44; (2))1(ln +a e a x x ;(3) 22x xe --;(4) x e e e x---; (5) a a ax x a ln 1+-;(6) x e x121-;(7) )3sin 33(cos x x e x +--; (8) 2222cos )12(-+-++x x x x e e x ;(9) x e x x 1tan 221sec 1⋅-; (10) 2)(4x x e e -+;(11))1(ln ln +x e xx ; (12))3cos 33sin 23sin 2(2x x x x x xe x +--.17 (1) )111(112xx x x x --+-; (2) ])9(39112[)3(312322x x x x x x x x --+-+⋅+--; (3) 221)1(xn x x n +⋅++;(4) )()()()(22112121nn a n a a a x a a x a a x a a x a x a x n -++-+-⋅--- . 18 (1) )]21sin[ln(212x x ++-; (2) )ln 1ln (ln )(ln xx x x +; (3) xx e xx xx xe x x x e xex x ++++⋅+++)1(ln 2)1ln 2(221; (4) xxy -; (5) ])()([)()(x f x x x f e x f e e f e ⋅'+⋅';(6) )1(arcsin 112x f x x '--;(7) ))((1-++'e x e x ex e x e f ;(8) )](cos )(sin [2sin 22x f x f x '-'; (9) 2)1(1x +-. 19 略.20 略. 21 略.22 (1) a a n x ln ; (2) nn x n )1()!1()1(1+---; (3) )2cos(x n +π; (4) n m n x n m m m y -++--=)1)(1()1()( ,特别当m 为正整数时,若n m >时,结果与前相同;n m =,!)(m y n =;n m <,0)(=n y .23 (1) 222)1(22x x +- ;(2) x 1;(3)212arctan 2x x x ++;(4) )23(222x xe x +; (5) 32ya -.24 kt ake --;kt e ak -2;ak -;2ak . 25 略.26 (1)0, 1,- 1; (2)0.09,- 0.1,- 0.01;;(3)0.0099,- 0.01,- 0.0001.27 (1) xdx 6; (2) dx xx21--;(3) dx x 2;(4) dx x x 222)1(1-+; (5) dx x x e x)sin (cos +--; (6) dx xx 221-;(7) dx x a 22-;(8) dx y a xb 22- ;(9) dxx x )1(2332--;(10) dx e e x x )2(22--; (11) dx x 2sec 212; (12) dx ye y-2.28 (1) 99.0; (2) 0017.2 ;(3) 01.0;(4) 05.1;(5) 495.0;(6) 7954.0.29 (1)满足,41=ξ; (2) 满足 ,0=ξ; (3) 满足,2=ξ; (4) 满足,0=ξ.30 (1)满足, a 33=ξ;(2) 满足,2ln 1=ξ; (3)满足,3435-=ξ(或3435+=ξ舍去). 31 略.32 略 . 33 略.34 (1) 2;(2) 1 ; (3) ∞ ; (4) 0 ;(5) ∞;(6) 0;(7)1 ;(8)0 ;(9)21;(10)e ;(11)1;(12)1.35 (1) )1,(--∞∈x ,y 单调递减;),1(∞+-∈x ,y 单调递增 ; (2) ),(∞+-∞∈x ,y 单调递增;(3) )1,0()1,(⋃--∞∈x ,y 单调递减;),1()0,1(∞+⋃-∈x ,y 单调递增; (4) )0,(-∞∈x ,y 单调递增; ),0(∞+∈x ,y 单调递减; (5) ),0()2,(∞+⋃--∞∈x ,y 单调递增;)0,1()1,2(-⋃--∈x , y 单调递减;(6) )21,0(∈x ,y 单调递减;),21(∞+∈x , y 单调递增.36 略. 37 略.38 (1) 极大值70==x y ,极小值32==x y;(2) 极大值11==x y ,极小值11-=-=x y ;(3) 极大值2321==x y ; (4) 极小值00==x y ,极大值224-==e y x ;(5)极小值051===-=x x yy ,极大值32118881==x y ;(6) 极大值32==x y ;(7) 极大值00==x y ,极小值35225453-==x y ; (8) 极小值4273==x y . 39 (1) 极大值01=-=x y,极小值323-==x y; (2) 极大值27437==x y ,极小值03==x y ; (3) 极小值2ln 421-==x y;(4) 极小值222ln 21=-=x y .40 (1) 最小值41=±=x y,最大值132=±=x y ;(2) 最小值00==x y ,最大值5ln 2==x y;(3) 最小值00==x y ,最大值21121===-=x x yy ; (4) 最小值00==x y,最大值64==x y.41 底边长6米,高3米. 42 长18米,宽12米. 43 底半径3150π米,高为底半径2倍.44 12次/日, 6只/次. 45 2小时. 46nx x x n+++ 21.(4)上凹,无拐点.48 (1)水平渐近线0=y ;(2)水平渐近线0=y ;(3) 铅垂渐近线0=x ; (4)水平渐近线1=y ,铅垂渐近线0=x ;(5) 铅垂渐近线1-=x ,水平渐近线0=y ; (6) 斜渐近线x y =; (7) 铅垂渐近线0=x ,斜渐近线x y =; 49 略 .习题3.11 略.2 略.3 略.习题3.21 (1) sin 20(1);42x e dx e πππ<<⎰ 1321(2)4(435)16.x x --<-+<⎰2 (1) 1120(1).xdx x >⎰⎰习题3.31(1) ();f x x '=(2) ()x ϕ'=(3)2()sin 2sin ,x x x x ϕ'=- (0)0.ϕ'= 23cos .ydy x dx e =-3 (1)2; (2)2习题3.42 (1)ln 3arcsin ;x x C -+ (2)522;5x x C ++ (3) 322ln ;3x x e x C ---++1(4)arctan ;x C x -++ (5)1(tan cot );4t t C -++ (6).1ln x x a e C a ++3 1).y =习题3.51 (1)81(23);16x C --++ (2)1cos();t a C ωω-++;C +210(4);2ln10x C + (5);C + (6)21ln 32.4x C --+ 211(7)(13);6x C --++ 21(8);4C -+ ()319;3e x C --+(10);C + ()322(11)ln ;3x C + (12)ln ln ;x C +(13)ln arcsin;2x C + (14)2cot ;C - (15)31sin sin ;3x x C -+(16);C + (17)arctan ;x e C + (18)31tan tan ;3x x C ++(19)(arcsin ;C + (20) 11ln.43xC x++-2 ()()()53222211111;53x x C ---+ ()(22ln 1;C ++()3ln ;C -+ ()14;2C a +()15;2C + ()16arccos ;C x + ())734;x e C ++ (8) ()8.C +;3π(2);16π (3)2;2π-(4)(5) )21; (6)27.144π 4 略5 ()1arccos ;x x C ()[]2ln ln(ln )1;x x C -+()()21322;x x x C e-+++ ()424;C +()5;x x C ++ ()[]65(cos 22sin 2);10xe x x C -++()27tan ln cos ;2x x x x C +-+ ()[]8sin(ln )cos(ln ).2xx x C -+6 (1) 11;22π⎛⎫- ⎪⎝⎭(2) ()12;5x e -(3) 121;e ⎛⎫- ⎪⎝⎭(4) 0;(5)35;128π (6) .2π 习题3.6(1);2π (2) 1; (3) ;π (4) 发散.习题3.7125.3 2 18. 3 1.3 4 12.5 45.86 1ln 2.2-7 128.3839 (1) 256; ()2 ()(318ln 2.+310.2π 11(1);2π (2)2.π12 8.5π(13ln 2.+14 22.a π复习题31 ()3311tan ;ln 33x x x C -++()45272333339912;573a x a x a x x C -+-+()()2231311;3x C -+ ()134ln ;52x C x -++()25ln 3;x x C -+()()6ln 1;x x e C -++()2317(31)(2);5x x C +++()218arctan ;21x x C x ⎛⎫++ ⎪+⎝⎭()9arcsin ;x C - (10) ()102sin 4cos ;22x xx C ++()211;x xe C --+ ()12tan lnsin .x x x C -+2 (1) 251ln 26;22-(2)0; (3) 42arctan 2;- (4) 2;2π- (5) ;π (6) 1;84π-()7;3π- (8) 125;e --(9) 62;e - (10) 22.e - 3 (1)1;2π-(2) 1.4 (1) 1; (2) 1.25 .e6最小值为0.7 690.8 2ln 2.y x x =-9 12.e e +-10 ()12.3π+11 15.2π习题 4.11(1)√;(2)×;(3)×;(4)√. 2(1)!;n (2)11(1);21n n ---(3)1;ln(1)n n +(4)2;1n n -+(5)31(1);!n n n --(6)2.2!n x n 3(1)收敛 1;2(2)发散;(3)收敛4;11(4)发散;(5)发散;(6)发散;(7)发散;(8)收敛35;(9)发散. 4 收敛 5.45 .m习题 4.21(1)收敛;(2)收敛;(3)收敛;(4)发散.2(1)收敛;(2)发散;(3)发散;(4)发散;(5)发散;(6)收敛;(7)收敛;(8)收敛;(9)收敛.3(1)绝对收敛;(2)绝对收敛;(3)条件收敛;(4)发散;(5)条件收敛;(6)绝对收敛;(7)发散;(8)绝对收敛;(9)绝对收敛.习题 4.3 1(1)(-1,1);(2)(-∞,+∞);(3)[-2,2);(4)[-1,1];(5)(-2,2);(6)(-∞,+∞);(7){0};(8)[-1,1];(9)[-34,32). 2 (1)21,(1)x -()1,1;x ∈-(2)11ln ,21xx+- ()1,1;x ∈- (3)(1)ln(1),x x x --+[)1,1.x ∈- 习题 4.41201(1),!nn x n ∞=∑(),;x ∈-∞+∞()202(1),nnn x ∞=-∑()1,1;x ∈-()201(1)43,2(2)!n n nn x n ∞=-⋅∑(),;x ∈-∞+∞()21211(1)4,2(21)!n n n n x n ∞--=--∑(),;x ∈-∞+∞()11(1)5,2n n nn x n -∞=-∑(]2,2;x ∈-()06(1)(1),nnn n x ∞=-+∑()1,1;x ∈-()01(1)72,52n n nn n x ∞=⎡⎤--⎢⎥⎣⎦∑11,;22x ⎛⎫∈- ⎪⎝⎭ ()210(1)8,(21)(21)!nn n x n n ∞+=-++∑(),.x ∈-∞+∞ 2 ()110111(4),23nn n n x ∞++=⎛⎫-+ ⎪⎝⎭∑()6,2;x ∈--(2)()20(1)(1)2(1).3n n n n n x ∞+=-+-∑ 3(1)0.156;(2)1.099;(3)3.003;(4)0.946.习题 4.5 1(1)相等;(2)0 , 0 , 2 , n n 2)1(1+-;(3)π , []1)1(22--nn π, 0. 2(1)14sin(21)(),21n An xf x n π∞=-=-∑(),,;x x k k Z π-∞<<+∞≠∈(2)132sin(21)(),221n n x f x n ππ∞=-=+-∑ (),,;x x k k Z π-∞<<+∞≠∈ (3)212cos(21)sin ()(1),4(21)n n n x nx f x n n ππ∞=⎡⎤-=-++-⎢⎥-⎣⎦∑ (),,;x x k k Z π-∞<<+∞≠∈(4)214cos(21)(),2(21)n n xf x n ππ∞=-=--∑ ();x -∞<<+∞ (5)214cos(21)(),2(21)n n xf x n ππ∞=-=+-∑ ();x -∞<<+∞ (6)1233()(1)sin ,n n f x nx n n ππ∞=+⎡⎤=+-⎢⎥⎣⎦∑ (),,;x x k k Z π-∞<<+∞≠∈ (7)21(1)()sin ,19n n nf x nx nπ∞=-=-∑ (),,;x x k k Z π-∞<<+∞≠∈ (8)18(1)()2sin(21),21n n f x n x n π∞=-=+--∑1,(),.2x x k k Z π⎛⎫-∞<<+∞≠+∈ ⎪⎝⎭习题 4.61(1)2214sin2(1)2()[]sin ,2n n n n xf x n n ππππ∞=-=-∑ (),2,;x x k k Z -∞<<+∞≠∈ (2)11(1)()8sin ,2n n nxf x n -∞=-=⋅∑ (),2,;x x k k Z π-∞<<+∞≠∈(3) 2211cos 2(21)sin 2()[(1)],4(21)n n n x n x f x n n ππππ∞=-=-+--∑ ⎪⎭⎫⎝⎛∈+≠+∞<<∞-Z k k x x ,212,; (4)nx nn nx f n n2cos ]2sin)1([11613)(12∑∞=--+=πππ,⎪⎭⎫⎝⎛∈+≠+∞<<∞-Z k k x x ,4)12(,π; 2 ∑∞=--+=1234cos 141232sin 2)(n t n n E t E Ex f ππππ, ()+∞<<∞-x ; 3 ∑∞=---=12sin )1(41)(n n x n n x f ππ, ()22<<-x ; 4 x n n x f n )12sin(121)(1--=∑∞= ()0,≠<<-x x ππ, (1)2π=x ,(2)3π=x ; 5 ∑∞=--+--=1332sin ])1(1)1(34[)(n n n x n n n x f πππ, )210(<<x ; ∑∞=+-+=12122cos )1(11211)(n n nx n x f π, )210(≤≤x . 习题 4.71 ()∑∞+≠-∞=+=024sin4)(n n x n i e nn ee xf πππ. 复习题41 (1)×;(2)√;(3)√;(4)√;(5)×.2 (1)A;(2)C;(3)B;(4)B;(5)C.3 (1)收敛;(2)收敛;(3)绝对收敛;(4)发散;(5)当10≤<a 时,发散;当1>a 时收敛;(6)收敛;(7)收敛;(8)收敛;(9)发散;(10)发散;(11)收敛;(12)发散.4 (1)x x x x -+-+arctan 2111ln 41 , ()1,1-∈x ;(2)3)1(2x -, ()1,1-∈x ; 5 (1)∑∞=0!)(ln n nn x n a , ()+∞∞-∈,x ;(2)∑∞=121n n n x n , [)2,2-∈x ;(3)∑∞=-+12)!2(4)1(1n nn n x n ,()+∞∞-∈,x ;(4)∑∞=+++-+111)1()1(n n n x n n x ,(]1,1-∈x ;(5)∑∞=-⋅⋅⋅+12!)21(23211n n x n n ()1,1-∈x ; (6)∑∞=+-+-01])1(31[41n nn n x ,()1,1-∈x .6 (1)∑∞=--0)2(2)1(21n nn n x , ()4,0∈x ;(2)∑∞=---11)1(2)1(n n nn x n , ()+∞∞-∈,x . 7 (1)1.3956;(2)0.9848;(3)1.9991;(4)0.4940.8 (1)∑∞=⎥⎦⎤⎢⎣⎡-----=12sin )1()12()12cos(343)(n n n nx n x n x f ππ , ()Z k k x x ∈+≠+∞<<∞-,)12(,π;(2)nx n n x f n n sin 52)1(52)(1∑∞=⎥⎦⎤⎢⎣⎡+--=ππ, ()Z k k x x ∈≠+∞<<∞-,,π; (3)∑∞=--+-=112)12(2sin 123)(n n x n x f π, ⎪⎭⎫⎝⎛∈≠+∞<<∞-Z k k x x ,2,;(4)∑∞=---=122)12(2)12(cos223)(n n x n x f ππ, ()+∞<<∞-x . 9 ∑∞=--=12sin 2)1(2)(n n nx n Ax f π, )2,0(ππ≠≤≤x x ; x n n A A x f n n )12cos(12)1(22)(11---+=∑∞=-π, )2,0(ππ≠≤<x x . 10 ()x n i x n n e n ix f )12(021)12()1(2)(--∞≠-∞=-∑---=π. 习 题 5.11(1)一阶;(2)二阶;(3)一阶;(4)二阶.2(1)是;(2)否;(3)否;(4)是. 4 2'y x =. 52dp pk dT T=,其中k 为比例常数. 习题 5.21(1)是;(2)否;(3)否;(4)是;(5)否. 2(1)arcsin arcsin y x C -=;(2)cos xy Ce -=;(3)ln x y e C =-+;(4)Cxy e =;(5)441y x =-;(6)2y x =;(7)21ln 11xy -+=; (8)22y x =;(9)sin ;yCx x= (10) 2yx y Ce =.3 6xy =.4 10102ln 25050t t es ⋅==⋅5 )39/()31000()(33t t t y +⋅= ,500)6(=y (尾).习题5.31(1)2321x y Ce=-;(2)2211()22xy Ce x x =-++;(3)2121x y Ce =-;(4)()xy e x C -=+;(5)sin ()xy ex C -=+;(6)1(cos )y x C x=-+. 2(1)x a e e ab y x -+=;(2)3(21)y x x -=-;(3).cos x y x=3 3(1).xy e x =--4 2.a x Cy y=±习题 5.41(1)412;12x y C x C =++ (2)21214x y e C x C =++;(3)212()2xx y x C e C =-+++;(4)12ln y C x C =+;(5)1121C xC y C e -=;(6)12arcsin().x y C C =±++2(1)y =;(2)4(1).2xy =+3 3 1.62x xy =++ 4 23.ty e =-+习题 5.51(2)(3)(6)线性相关,(1)(4)(5)(7)(8)线性无关.习题 5.61(1)312xxy C eC e--=+;(2)2212xxy C e C e =+;(3)212xy C C e =+;(4)212()x y C C x e =+;(5)12cos 2sin 2y C x C x =+;(6)512()xy C C x e -=+;(7)12()xy e C C -=+;(8)1212(cossin ).22x y e C x C x -=+ 2(1)342xxy e e =+;(2)/2(2)x y x e -=+;(3)4xx y ee -=-;(4)23sin 5.xy e x -=3 6sin 2.ts e t -=习题 5.71(1)221211()23xxxy C e C e x x e -=++-;(2)2212(cos sin )2x x x e y C e C e x x =+-+; (3)341215xx x y C eC e e -=++;(4)12cos sin 2(1)xy C x C x x e =++-; (5)12cos sin 2cos y C x C x x x =+-; (6)2212142(cos 2sin 2)()525125xxy e C x C x x x e =+++-; (7)2312(cos 25sin 2).52xxxe y C eC e x x -=+-+2 22cos 2sin 2cos 4.33s t t t =-- 提示:取平衡位置o 为原点,s 轴的正向向下,由牛顿第二定律,物体的运动满足微分方程⎪⎪⎩⎪⎪⎨⎧-==+-===2,04cos 400200500022t t dt ds s t s dtsd 复习题 51(1)2y x C -=;(2)0ln 33=+x y ;(3)cos sin x y C =;(4)12()xy C C x e-=+;(5)21y x =+; (6)2().y x Ax Bx C =++2(1)A;(2)D;(3)A;(4)C;(5)C;(6)B;(7)A;(8)C;(9)B;(10)B;(11)A (12)C.3(1)21x y Ce =-;(2)6313xx y Cee =-;(3)12()x y e C C -=+; (4)3121(1)4x x x y C e C e x e -=+-+;(5)21268()cos sin .2525xy C C x e x x =++-4(1)24y x =;(2)cos x y x =;(3)(42)xy x e -=+;(4)45511.16416x y e x =-+5 1.xy ex -=+-6 2.4分.7 (1)0.1452017tH e-=+;(2)变为20℃;(3)当日7时36分.习题 6.11(1)133-s ; (2)21+s ; (3)1332+s s ; (4)222+s ; (5)1642+s ; (6))2(2--s s .2(1)t t u t u sin )]()([π--, 11)]([2++=-s e t f L sπ.(2))()2(2t u t u --, s e t f L s 12)]([2-=-.(3))2()1(---t u t u , se e tf L ss 2)]([---=.(4))()cos ()(cos π-⋅--⋅t u t t t u t , ⎪⎭⎫ ⎝⎛+++++=-111)]([222s s s se s s tf L s ππ. 3 略4(1) +-+-+=)2()1()()(t u t u t u t f ;(2)[] +-+--⋅=)2()()()(T t u T t u E t u t TEt f ; (3)[] --+--=)2(2)(2)()(b t u b t u t u A t f ;(4) +--+--+=)2sin()2(2)sin()(2sin )()(ππππt t u t t u t t u t f .习题 6.21(1)s -11;(2))1(31+s ; (3)9124-s ; (4)253382++-s s s ; (5)224s s+; (6)32269s s s +-; (7)1722+-s s; (8)3)7(2-s ; (9)22)9(6+-s s ; 2(1))100(2002+s s ;(2)362+-s s ;(3)ss s s 223ππ+-;(4)33222+-⋅s s ; (5)443127223+-++-s s s e t;(6)222)4(82+-s s ;(7)9)2(22+--s s ;(8))25)(1(153222+++s s s ; (9)323)4(242+-s s s ; (10)s s 1arctan 1或⎪⎭⎫ ⎝⎛-s s arctan 21π ;(11)22]9)2[(126+++s s ; (12)⎪⎭⎫ ⎝⎛+++--s ss s e s s ππ222111. 3(1)23)(+=s t y ;(2))1)(4(1)(2++=s s s t y ;(3))()(222ωω+=s s t y ;(4)22)(ωω+=s t y .43+s s. 习题 6.31(1)te 2;(2)2321te -;(3)t 5cos 2;(4)t 23sin 31;(5)t t 4sin 454cos 3-;(6)4322416121t t t t -+-;(7)t t 3sin 33;(8)t e t cos 2-;(9)t t e e 2346---. 2(1)t t e e 352123---;(2)tt t e te e --+412141;(3)t e t 23cos 121-+; (4)()t e t t 2212283-++-;(5)t t 52sin 54110sin 1023-;(6)t t e t sin cos 22+-;(7)tte 21+;(8)t t e e 22121--+-; (9))2cos 42sin 3()2sin 32cos 4(2t t e t t e tt-++-.习题 6.41(1)t e t t y 44343)(--+=;(2)t e t t y )1()(+=;(3))cos sin 1(21)(t t t y --=; (4)tte e t y 2342)(-+=;(5)t t t t y 24cos 34sin )(++-=; (6)t t t e e e t y 237431)(-+=-. 2(1)⎪⎩⎪⎨⎧==t t e t y e t x )()(;(2)⎪⎩⎪⎨⎧==--te t y t e t x ttcos )(sin )(.3(1))1(4)(5tet i --=;(2))(5)(53t t e e t i ---=;(3))5sin 5cos (25)(5t t e t i t+-=-. 4 )4(51)(221tt e e t y -+=.5 As s W ρ=)(.复习题61(1)√;(2)×;(3)×;(4)×;(5)√;(6)×.2(1)拉氏, 象, 拉氏逆 , 原象;(2))(s sF ,)(2s F s ;(3))(λ-s F , )(a t f -. 3(1)15962+++s s ;(2)13612++-s s s ;(3)⎪⎭⎫ ⎝⎛+-+--s ss e s s ππ2222211121;(4)3)3(2-s s . 4(1)⎪⎭⎫ ⎝⎛+3221t t e t;(2))cos (sin 21t t t +;(3))3sin 23cos 3(t t e t +-; (4)te t t -+22sin 222cos ;(5)t t e e ---242(6)tt t te e e 2223-+-.5(1))cos 1()(t e t y t-=-;(2)t t t y 2cos sin 2)(--=;(3)t t t y 3sin 61)(=; (4)t tte ee t y 3232)(+-=.6(1)⎪⎩⎪⎨⎧+-=--=----tt tt ee t y e e t x 22242)(23)(;(2)⎪⎪⎩⎪⎪⎨⎧==tt y t t x 2sin 53)(2cos 51)(.7 RCte RE t i -=)(.8 RCsRCss W +=1)( , )()(T t u e e t u RC Tt RC t R --=--.习题7.11(1)平面平行z 轴; (2)平面过点⎪⎭⎫ ⎝⎛0,38,0且平行于xoz 平面; (3)平面过y 轴; (4)过坐标原点. 2 (0,6,0). 3 表示球心在⎪⎭⎫⎝⎛21,0,21,半径为1的球面. 4(1)012382648333222=++--++z y x z y x ;(2)0112622=++--z y x z .5. (1)14)2()3()1(222=++-+-z y x ;(2)0222=-++z y x .习题 7.21 1,),(2y x f t . 2 yyxy x f +-=11),(2. 3 (1){}012),(2>+-=x y y x D ;(2){}0,0),(>->+=y x y x y x D(3) ⎭⎬⎫⎩⎨⎧≤+=1),(2222b y a x y x D ; (4)⎭⎬⎫⎩⎨⎧≤=1),(x y y x D . 4 (1)6π ; (2)41-; (3)0; (4)0. 5 略.6(1){}02),(2=-=x y y x D ;(2)πk x =或πk y =(k 为整数).习题7.31(1);,12yxx y z y y x z -=∂∂+=∂∂ (2);)(12,)(112222y x yy z y x x z -+-=∂∂-+=∂∂(3);)cos()()sin(,)cos()()sin(y x y x y x yzy x y x y x x z-+--=∂∂-++-=∂∂(4) ;)ln(21,)ln(21xy y y z xy x x z =∂∂=∂∂ 2 1.3(1);812,16,812222222222x y y z xy y x z y x x z -=∂∂-=∂∂∂-=∂∂ (2).)1(,)ln 1(,ln 22212222---=∂∂+=∂∂∂=∂∂x x x y x x yz y x y y x z y y x z 习题7.41 (1);sin cos ydy e ydx e dz xx-= (2) ;)11()1(2dy yx dx y y dz -++= (3);)(1dy dx xye x dz x y--= (4).)()(2322xdy ydx y x x dz -+-=2 .125.0,119.0-=-=∆dz z习题7.51).cos (sin )cos (sin 2sin ),sin (cos 2sin 2333332y y x y y y x yz y y y x x z +++-=∂∂-=∂∂ 2 .cot )sin ln(2,)sin ln(2223222y yx y x y x y z y x y x y x x z +-=∂∂+=∂∂ 3 ).6(cos 22sin 3t t e t t -- 4.)43(1)21(6232t t t t ---5 z y z x f f y z f f x z '+'=∂∂'+'=∂∂1,1 6 .2cos 2xyy e y x--习题7.61 极大值 (3,2)33f -=, 极小值 .3)0,1(-=f2 极大值 41)21,21(=z . 3 ),(y x 达最大时,总产量为10;max 64;80;(6,4)500.x y p L L =====、4 应做成棱长为3V 的正方体时用料最省.5 当矩形的边长为32p 及 3p时,绕短边旋转所得圆柱体的体积最大. 复习题71 (1);22≤≤->x y x 且 (2);51)(,)(,1)(,1)(d c b a 无定义 (3) ;1)(,0)(,0)(,0)(2kk d c b a +(4);21(5);12)(,3)(,2)(c b a (6));(31dy dx + (7);)3()3(222x x e x x x+-+(8).0),(;0),(),()],([000000200<''<''''-''y x f y x f y x f y x f xx yy xx xy2 (1)不正确;(2)正确;(3)不正确;(4)正确;(5)不正确;(6)在一般情况下,不连续不行.3 ;)1(B ;)2(C ;)3(D ;)4(A ;)5(A ;)6(B ;)7(A .)8(C4 极小值为.1)1,1(-=z5 .52=d习题8.11 23))DDx y d x y d σσ+≤+⎰⎰⎰⎰((.2 (1) 28I ≤≤;(2)36100I ππ≤≤;(3)02I ≤≤.习题8.21 (1)763;(2) 655;(3) 9;(4) 83;(5) 2e -;(6) 18.2 (1) 4(1)e π-;(2)2ln 214π-;(3) 2364π;(4) 439π-. 习题8.31 (1)163;(2) 83.2 (1) 196π;(2)321)3π. 复习题81 (1) 0; (2) 100π; (3)10(,)ydy f x y dx ⎰; (4) 211(,)yy dy f x y dx -⎰⎰;(5)223cos 04()d f r rdr πθπθ⎰⎰; (6) 0.2 (1) A ; (2) B ; (3) D ; (4) C ; (5) A .3 (1) 2- ; (2)458 ; (3) 11(1)2e-; (4) 94.4 (1) 34π; (2) 26π-; (3) 264π .592. 6 16.习题8.11 (1)4;(2)0;(3)18;(4)-40.2 (1)8;(2)136;3 (1)14;(2)0;(3)120;(4)1;(5)abcde; (6) 1.4 (1)1213x x =-⎧⎨=⎩; (2)123213x x x =⎧⎪=⎨⎪=⎩.5 略.习题8.21 1,2x y =-=-.2(1)304751--⎛⎫ ⎪---⎝⎭; (2)013411⎛⎫⎪- ⎪⎪⎝⎭. 3 (1)242436-⎛⎫ ⎪- ⎪ ⎪-⎝⎭; (2)3145⎛⎫ ⎪⎝⎭;(3)234355004⎛⎫ ⎪ ⎪ ⎪⎝⎭039449198⎛⎫ ⎪-⎝⎭;(4)234355004⎛⎫⎪⎪ ⎪⎝⎭. 4 三公司生产成本最少. 5 略.习题8.31(1)是; (2)不是; (3)不是; (4)是.2(1)100220105500111-⎛⎫ ⎪- ⎪ ⎪⎝⎭; (2)110000100001-⎛⎫⎪ ⎪ ⎪⎝⎭;(3)1001010100100000⎛⎫ ⎪-⎪⎪ ⎪⎝⎭;(4)1010010000010000⎛⎫⎪⎪⎪ ⎪⎝⎭. 3 略.习题8.41(1)3; (2)2 ; (3)3 ; (4)3. 2 有可能存在r 阶子式为零.习题8.51(1)2A =; (2)*111022113A -⎛⎫⎪=- ⎪ ⎪--⎝⎭; (3)1111222011113222A -⎛⎫-⎪ ⎪=- ⎪ ⎪-- ⎪⎝⎭. 2 (1)23112-⎛⎫ ⎪ ⎪-⎝⎭; (2)10010021003⎛⎫ ⎪⎪⎪- ⎪⎪ ⎪⎝⎭;(3)1210121002⎛⎫ ⎪ ⎪-- ⎪ ⎪ ⎪⎝⎭; (4)1324411122201⎛⎫- ⎪ ⎪ ⎪--⎪ ⎪- ⎪ ⎪⎝⎭. 3(1)020.615 1.8110.4X ⎛⎫⎪= ⎪ ⎪-⎝⎭; (2)50291911X -⎛⎫= ⎪-⎝⎭.4 略.习题8.61(1)1211558855001001x c c ⎛⎫⎛⎫- ⎪ ⎪ ⎪ ⎪ ⎪ ⎪- ⎪ ⎪=+ ⎪ ⎪ ⎪ ⎪ ⎪ ⎪ ⎪ ⎪⎝⎭⎝⎭; (2)x O =(零解).2(1)121133*********x c c --⎛⎫⎛⎫⎛⎫⎪ ⎪ ⎪- ⎪ ⎪ ⎪=++ ⎪ ⎪ ⎪ ⎪ ⎪ ⎪⎝⎭⎝⎭⎝⎭; (2)523101x c -⎛⎫⎛⎫ ⎪ ⎪=-+ ⎪ ⎪ ⎪ ⎪⎝⎭⎝⎭. 3 123,,P P P 分别组装2万只、1万只、3万只.4 略.复习题81 (1)()ab b c -; (2)51.2 413a -<<.3 (1)0;(2)3142531524a a a a a -;(3)()22na b -;(4)()()()1221n n i i b a b a b a b b a b =⎡⎤---+⎢⎥-⎣⎦∑.4 (1)220206372-⎛⎫ ⎪-- ⎪ ⎪-⎝⎭;(2)157524348⎛⎫ ⎪ ⎪ ⎪⎝⎭;(3)25105389710⎛⎫ ⎪ ⎪ ⎪⎝⎭; (4)0710********⎛⎫ ⎪⎪ ⎪⎝⎭.5 证明略.6 (1)26101333545--⎛⎫ ⎪⎪ ⎪-⎝⎭; (2)略. 7(1)d b ad bcad bc c a ad bcad bc -⎛⎫ ⎪--⎪- ⎪⎪--⎝⎭; (2)121012001-⎛⎫ ⎪- ⎪ ⎪⎝⎭;(3)3500120000230034-⎛⎫⎪- ⎪ ⎪- ⎪⎝⎭(4)2262617175201310214153--⎛⎫ ⎪--⎪ ⎪--- ⎪--⎝⎭. 8(1)1; (2)2; (3)3; (4)2.9 (1)121x ⎛⎫ ⎪= ⎪ ⎪⎝⎭; (2)511201x c ⎛⎫⎛⎫ ⎪ ⎪=-+- ⎪ ⎪ ⎪ ⎪⎝⎭⎝⎭; (3)12221010102001x c c -⎛⎫⎛⎫⎛⎫ ⎪ ⎪ ⎪⎪ ⎪ ⎪=++ ⎪ ⎪ ⎪- ⎪ ⎪ ⎪⎝⎭⎝⎭⎝⎭(4)12311411010001x c c --⎛⎫⎛⎫⎛⎫ ⎪ ⎪ ⎪- ⎪ ⎪ ⎪=++ ⎪ ⎪ ⎪ ⎪ ⎪ ⎪⎝⎭⎝⎭⎝⎭;(5)12374130100602100100001x c c c ---⎛⎫⎛⎫⎛⎫⎛⎫⎪ ⎪ ⎪ ⎪⎪ ⎪ ⎪ ⎪ ⎪ ⎪ ⎪ ⎪=+++- ⎪ ⎪ ⎪ ⎪⎪ ⎪ ⎪ ⎪ ⎪ ⎪ ⎪ ⎪⎝⎭⎝⎭⎝⎭⎝⎭(6)212x⎛⎫⎪= ⎪⎪-⎝⎭;(7)x O=(零解); (8)128 1.50050.51001x c c--⎛⎫⎛⎫⎪ ⎪⎪ ⎪⎪ ⎪=+⎪ ⎪⎪ ⎪⎪ ⎪⎝⎭⎝⎭.10(1)唯一解 ; (2)无解.11 生产过程中的消耗依次为:613元,2169元,974元,1450元.12 总收入分别为824万、853万、800万;总利润分别为193万、201万、188万.13 分别取30kg,20kg,50kg.14 价格因素首先考虑.。
高等数学侯风波微分方程思考题全文共四篇示例,供您参考第一篇示例:高等数学是大多数理工科学生必修的一门课程,微分方程侯风波教授是中国数学界的泰斗之一,他在微分方程领域有着深厚的造诣。
微分方程作为高等数学中的重要内容,对于理工科学生来说是非常重要的基础知识。
今天我们将围绕侯风波教授的微分方程思考题展开讨论,希望能够帮助大家更好地理解和应用微分方程知识。
1. 试题一:设某个物体的运动满足微分方程dy/dx=ky,其中y是物体的位移,x是时间,k是一个常数。
请问这个微分方程描述的是什么样的运动?请用数学语言详细解释。
这个微分方程描述了一种指数衰减的运动。
当k大于0时,表示物体的运动是指数增长,当k小于0时,表示物体的运动是指数衰减。
这是因为dy/dx与y之间的关系是指数函数,根据指数函数的性质可得到上述结论。
实际生活中,很多物理现象都可以用指数函数描述,比如放射性物质的衰变、弹簧振子的振动等都可以用指数函数进行描述。
2. 试题二:已知微分方程y''+p(x)y'+q(x)y=f(x)描述了某个力学系统的运动,其中y是系统的位移,x是时间,p(x)、q(x)和f(x)是已知函数。
请问对于这个微分方程来说,能否使用解耦变量的方法求解?如果可以,请详细解释解耦变量的步骤和求解过程。
对于这个微分方程,我们可以利用解耦变量的方法求解。
解耦变量的基本思路是引入新的变量,将原微分方程化为一组关于新变量的简单微分方程,然后通过求解新微分方程来得到原微分方程的解。
在这个微分方程中,引入新的变量u=y',则原微分方程变为u'+p(x)u+q(x)y=f(x),然后我们再利用变量代换的方法,将这个方程化为u'+p(x)u=g(x)的形式,其中g(x)是一个新的已知函数,接下来可以通过分离变量的方法对这个新微分方程进行求解。
3. 试题三:已知某个电路的电压满足微分方程Ldi/dt+Ri=V,其中i是电路中的电流,t是时间,L、R、V是已知常数。
《高等数学》-详细上册答案(一--七)2014届高联高级钻石卡基础阶段学习计划《高等数学》上册(一----七)第一单元、函数极限连续使用教材:同济大学数学系编;《高等数学》;高等教育出版社;第六版;同济大学数学系编;《高等数学习题全解指南》;高等教育出版社;第六版;核心掌握知识点:1.函数的概念及表示方法;2.函数的有界性、单调性、周期性和奇偶性;3.复合函数、分段函数、反函数及隐函数的概念;4.基本初等函数的性质及其图形;5.极限及左右极限的概念,极限存在与左右极限之间的关系;6.极限的性质及四则运算法则;7.极限存在的两个准则,会利用其求极限;两个重要极限求极限的方法;8.无穷小量、无穷大量的概念,无穷小量的比较方法,利用等价无穷小求极限;9.函数连续性的概念,左、右连续的概念,判断函数间断点的类型;连续函数的性质和初等函数的连续性,闭区第一天2h 第1章第1节 映射与函数 函数的概念 函数的有界性、单调性、周期性和奇偶性 复合函数、反函数、分段函数和隐函数 初等函数具体概念和形式,函数关系的建立 习题1-14(3) (6)(8),5(3)★, 9(2),15(4)★,17★4(4)(7),5(1),7(2),15(1) 本节有两部分内容考研不要求,不必学习: 1. “二、映射”; 2. 本节最后——双曲函数和反双曲函数第二天 3h 第1章第2节 数列的极限数列极限的定义数列极限的性质(唯一性、有界性、保号性)习题 1-21(2) (5) (8)★3(1) 1. 大家要理解数列极限的定义中各个符号的含义与数列极限的几何意义; 2. 对于用数列极限的定义证明,看懂即可。
第1章第3节函数的极限函数极限的概念函数的左极限、右极限与极限的存在性函数极限的基本性质(唯一性、局部有界性、局部保号性、不等式性质,函数极限与数列极限的关系等)习题1-32,4★3,1. 大家要理解函数极限的定义中各个符号的含义与函数极限的几何意义;2. 对于用函数极限的定义证明,看懂即可。
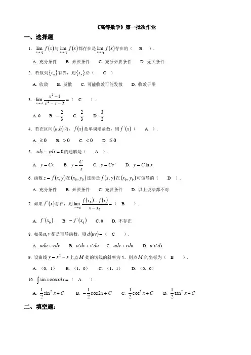
《高等数学》第一批次作业一、选择题1.()x f x x +→0lim 与()x f x x -→0lim 都存在是()x f x x 0lim →存在的( B ). A. 充分条件 B. 必要条件 C. 充分必要条件 D. 无关条件 2.若数列{}n x 有界,则{}n x 必( C )A. 收敛B. 发散C. 可能收敛可能发散D. 收敛于零3.=----→21lim 221x x x x ( C ).A. 0B. 32-C. 32D. 23 4.若在区间()b a ,内,()x f 是单调增函数,则()x f '( A ).A. 0≥B. 0>C. 0<D. 0≤ 5.0=-ydx xdy 的通解是( A ). A. Cx y = B. xCy =C. x Ce y =D. x C y ln = 6. 函数()y x f z ,=在()00,y x 连续是()y x f ,在()00,y x 可偏导的( D ). A. 充分条件 B. 必要条件 C. 充要条件 D. 以上说法都不对 7. 如果()x f'存在,则()()=--→000limx x x f x f xx ( B ).A. ()0'x fB. ()0'x f -C. 0D. 不存在 8. 如果v u ,都是可导函数,则()=uv d ( C ).A. vdv udu +B. du v dv u ''+C. vdu udv +D. dx v u ''9. 设曲线x x y -=2上点M 处的切线的斜率为1,则点M 的坐标为( B ). A. (0,1) B. (1,0) C. (1,1) D. (0,0) 10.⎰=xdx x cos sin ( A ).A.C x +2sin 21 B. C x +-2cos 21 C. C x +2cos 21 D. C x +2tan 21二、填空题:1.=⎪⎭⎫ ⎝⎛-→xx x 2031lim 32-e .2. =+-∞→252lim 323x x x x 52 . 3.⎰=205sin cos πxdx x61. 4. 函数的单调减区间为 ()+∞,0 .5.⎰-=112sin xdx x 0 .6. 微分方程()()12''2'''=+y y是 3 阶微分方程.7. 函数3223x x y -=的凹区间为 ⎪⎭⎫ ⎝⎛∞-21, . 8. 由曲线2x y =,1=x 及x 轴围成的封闭区域面积为32. 9. 曲线2x y =在点()1,1处的切线方程为 12-=x y . 10. 已知yx z =,则=∂∂xz1-y yx 三、计算题:求定积分⎰-1dx xe x .解:⎰⎰---=11x xxde dx xe⎪⎭⎫ ⎝⎛--=⎰--1010dx e xe xx()()⎥⎦⎤⎢⎣⎡-+--=⎰--1010x d e e x ⎪⎭⎫ ⎝⎛+-=--101x e e()[]111-+-=--e e121--=e四、证明题:当0>x 时,试证()x x +>1ln 成立.证:设()()x x x f +-=1ln ,则()xxx f+=1', ∵()x f 在[]+∞,0上连续,且在()+∞,0内可导,()0'>x f , ∴()x f 在[]+∞,0上单调增加, ∵()00=f∴当0>x 时,()01ln >+-x x 即()x x +>1ln《高等数学》第二批次作业一、选择题1. 当0→x 时,x x 22+是2sin x 的( C ).A. 等价无穷小B. 同阶但不等价无穷小C. 低阶无穷小D. 高阶无穷小 2. 设函数()2x x f =,则()()=∆-∆+→∆xx f x x f x 0002lim( C ).A. 0xB. 02xC. 04xD. 202x3. 当0x x →时, ()A x f -为无穷小量是()A x f x x =→0lim 的( B ).A. 无关条件B. 充分必要条件C. 充分条件D. 必要条件4. 函数()y x f z ,=在点()00,y x 处偏导数存在是函数在该点可微的( B ). A. 充分条件 B. 必要条件 C. 充分必要条件 D. 无关条件5. ()=-→xx x x 21lim 0( D ).A. 1-eB. eC. 2eD. 2-e6. 微分方程()0'4''3=-yy yx 的阶数是( B ).A. 1B. 2C. 3D. 4 7.=⎰dx x x2ln ( C ).A. C x +lnB. ()C x x +--1ln 1C. ()C x x ++-1ln 1D. ()C x x+-1ln 18. 下列函数中( D )在区间[]1,1-上满足罗尔定理的条件.A. x y -=1B. 321x y -=C. x xe y =D. 12-=x y9. 当1→x 时, 1-x 与()1-x k 等价,则=k ( A ).A.21 B. 2 C. 1 D. 21- 10. 函数1+=x x y 在点1-=x 处的导数为( D ). A.0 B. 1 C. 1- D. 不存在二、填空题:1. 设()32922---=x x x x f ,则3=x 是函数()f x 的第 一 类间断点.2. ()x f 在点0x 可导是()x f 在点0x 可微的 充要 条件.3. 函数33x x y -=的单调增区间为 [-1,1] .4. =-→xe x x 1lim30 3 . 5. 函数33x x y -=的极小值为 ()21-=-f . 6. 已知()243x y +=,则='y ()x 432+ .7. 微分方程x y =''的通解为=y21361C x C x ++ . 8. =⎰→xdt t xx 020cos lim1 .9. 已知函数y x xy z 22+=,则=dz ()()dy x xy dx xy y 2222+++ 10. 由曲线2x y =与2y x =围成的封闭区域面积为31. 三、计算题:求函数x e x y 23=的微分. 解:因为'23')(x e x y =x x e x e x 232223+=)23(22x e x x +=所以 dx x e x dx y dy x )23(22'+==四、证明题:证明方程015=++x x 在区间()0,1-内有且只有一个实根.证:令()15++=x x x f ,因()x f 在闭区间]0,1[-连续,且()011<-=-f ,()010>=f 。
高等数学课后答案习题1-11. 设A =(-∞, -5)⋃(5, +∞), B =[-10, 3), 写出A ⋃B , A ⋂B , A \B 及A \(A \B )的表达式. 解 A ⋃B =(-∞, 3)⋃(5, +∞), A ⋂B =[-10, -5),A \B =(-∞, -10)⋃(5, +∞),A \(A \B )=[-10, -5).2. 设A 、B 是任意两个集合, 证明对偶律: (A ⋂B )C =A C ⋃B C . 证明 因为x ∈(A ⋂B )C ⇔x ∉A ⋂B ⇔ x ∉A 或x ∉B ⇔ x ∈A C 或x ∈B C ⇔ x ∈A C ⋃B C , 所以 (A ⋂B )C =A C ⋃B C .3. 设映射f : X →Y , A ⊂X , B ⊂X . 证明(1)f (A ⋃B )=f (A )⋃f (B ); (2)f (A ⋂B )⊂f (A )⋂f (B ). 证明 因为y ∈f (A ⋃B )⇔∃x ∈A ⋃B , 使f (x )=y⇔(因为x ∈A 或x ∈B ) y ∈f (A )或y ∈f (B )⇔ y ∈f (A )⋃f (B ), 所以 f (A ⋃B )=f (A )⋃f (B ). (2)因为y ∈f (A ⋂B )⇒∃x ∈A ⋂B , 使f (x )=y ⇔(因为x ∈A 且x ∈B ) y ∈f (A )且y ∈f (B )⇒ y ∈ f (A )⋂f (B ), 所以 f (A ⋂B )⊂f (A )⋂f (B ).4. 设映射f : X →Y , 若存在一个映射g : Y →X , 使X I f g = , Y I g f = , 其中I X 、I Y 分别是X 、Y 上的恒等映射, 即对于每一个x ∈X , 有I X x =x ; 对于每一个y ∈Y , 有I Y y =y . 证明: f 是双射, 且g 是f 的逆映射: g =f -1.证明 因为对于任意的y ∈Y , 有x =g (y )∈X , 且f (x )=f [g (y )]=I y y =y , 即Y 中任意元素都是X 中某元素的像, 所以f 为X 到Y 的满射.又因为对于任意的x 1≠x 2, 必有f (x 1)≠f (x 2), 否则若f (x 1)=f (x 2)⇒g [ f (x 1)]=g [f (x 2)] ⇒ x 1=x 2. 因此f 既是单射, 又是满射, 即f 是双射.对于映射g : Y →X , 因为对每个y ∈Y , 有g (y )=x ∈X , 且满足f (x )=f [g (y )]=I y y =y , 按逆映射的定义, g 是f 的逆映射.5. 设映射f : X →Y , A ⊂X . 证明:(1)f -1(f (A ))⊃A ;(2)当f 是单射时, 有f -1(f (A ))=A .证明 (1)因为x ∈A ⇒ f (x )=y ∈f (A ) ⇒ f -1(y )=x ∈f -1(f (A )), 所以 f -1(f (A ))⊃A .(2)由(1)知f -1(f (A ))⊃A .另一方面, 对于任意的x ∈f -1(f (A ))⇒存在y ∈f (A ), 使f -1(y )=x ⇒f (x )=y . 因为y ∈f (A )且f 是单射, 所以x ∈A . 这就证明了f -1(f (A ))⊂A . 因此f -1(f (A ))=A . 6. 求下列函数的自然定义域: (1)23+=x y ;解 由3x +2≥0得32->x . 函数的定义域为) ,32[∞+-.(2)211xy -=;解 由1-x 2≠0得x ≠±1. 函数的定义域为(-∞, -1)⋃(-1, 1)⋃(1, +∞). (3)211x x y --=;解 由x ≠0且1-x 2≥0得函数的定义域D =[-1, 0)⋃(0, 1]. (4)241x y -=; 解 由4-x 2>0得 |x |<2. 函数的定义域为(-2, 2). (5)x y sin =;解 由x ≥0得函数的定义D =[0, +∞). (6) y =tan(x +1);解 由21π≠+x (k =0, ±1, ±2, ⋅ ⋅ ⋅)得函数的定义域为 12-+≠ππk x (k =0, ±1, ±2, ⋅ ⋅ ⋅).(7) y =arcsin(x -3);解 由|x -3|≤1得函数的定义域D =[2, 4]. (8)xx y 1arctan 3+-=;解 由3-x ≥0且x ≠0得函数的定义域D =(-∞, 0)⋃(0, 3). (9) y =ln(x +1);解 由x +1>0得函数的定义域D =(-1, +∞).(10)xe y 1=.解 由x ≠0得函数的定义域D =(-∞, 0)⋃(0, +∞).7. 下列各题中, 函数f (x )和g (x )是否相同?为什么? (1)f (x )=lg x 2, g (x )=2lg x ; (2) f (x )=x , g (x )=2x ;(3)334)(x x x f -=,31)(-=x x x g .(4)f (x )=1, g (x )=sec 2x -tan 2x . 解 (1)不同. 因为定义域不同.(2)不同. 因为对应法则不同, x <0时, g (x )=-x . (3)相同. 因为定义域、对应法则均相相同. (4)不同. 因为定义域不同.8. 设⎪⎩⎪⎨⎧≥<=3||03|| |sin |)(ππϕx x x x , 求)6(πϕ, )4(πϕ, )4(πϕ-, ϕ(-2), 并作出函数y =ϕ(x )的图形. 解 21|6sin |)6(==ππϕ, 22|4sin |)4(==ππϕ, 22|)4sin(|)4(=-=-ππϕ, 0)2(=-ϕ. 9. 试证下列函数在指定区间内的单调性: (1)x x y -=1, (-∞, 1);(2)y =x +ln x , (0, +∞).证明 (1)对于任意的x 1, x 2∈(-∞, 1), 有1-x 1>0, 1-x 2>0. 因为当x 1<x 2时, 0)1)(1(112121221121<---=---=-x x x x x x x x y y , 所以函数x x y -=1在区间(-∞, 1)内是单调增加的.(2)对于任意的x 1, x 2∈(0, +∞), 当x 1<x 2时, 有0l n )()l n ()l n (2121221121<+-=+-+=-x xx x x x x x y y ,所以函数y =x +ln x 在区间(0, +∞)内是单调增加的.10. 设 f (x )为定义在(-l , l )内的奇函数, 若f (x )在(0, l )内单调增加, 证明f (x )在(-l , 0)内也单调增加.证明 对于∀x 1, x 2∈(-l , 0)且x 1<x 2, 有-x 1, -x 2∈(0, l )且-x 1>-x 2. 因为f (x )在(0, l )内单调增加且为奇函数, 所以f (-x 2)<f (-x 1), -f (x 2)<-f (x 1), f (x 2)>f (x 1),这就证明了对于∀x 1, x 2∈(-l , 0), 有f (x 1)< f (x 2), 所以f (x )在(-l , 0)内也单调增加. 11. 设下面所考虑的函数都是定义在对称区间(-l , l )上的, 证明: (1)两个偶函数的和是偶函数, 两个奇函数的和是奇函数;(2)两个偶函数的乘积是偶函数, 两个奇函数的乘积是偶函数, 偶函数与奇函数的乘积是奇函数.证明 (1)设F (x )=f (x )+g (x ). 如果f (x )和g (x )都是偶函数, 则 F (-x )=f (-x )+g (-x )=f (x )+g (x )=F (x ),所以F (x )为偶函数, 即两个偶函数的和是偶函数. 如果f (x )和g (x )都是奇函数, 则F (-x )=f (-x )+g (-x )=-f (x )-g (x )=-F (x ), 所以F (x )为奇函数, 即两个奇函数的和是奇函数.(2)设F (x )=f (x )⋅g (x ). 如果f (x )和g (x )都是偶函数, 则 F (-x )=f (-x )⋅g (-x )=f (x )⋅g (x )=F (x ),所以F (x )为偶函数, 即两个偶函数的积是偶函数. 如果f (x )和g (x )都是奇函数, 则F (-x )=f (-x )⋅g (-x )=[-f (x )][-g (x )]=f (x )⋅g (x )=F (x ), 所以F (x )为偶函数, 即两个奇函数的积是偶函数. 如果f (x )是偶函数, 而g (x )是奇函数, 则F (-x )=f (-x )⋅g (-x )=f (x )[-g (x )]=-f (x )⋅g (x )=-F (x ), 所以F (x )为奇函数, 即偶函数与奇函数的积是奇函数.12. 下列函数中哪些是偶函数, 哪些是奇函数, 哪些既非奇函数又非偶函数? (1)y =x 2(1-x 2); (2)y =3x 2-x 3;(3)2211x xy +-=;(4)y =x (x -1)(x +1); (5)y =sin x -cos x +1;(6)2x x aa y -+=.解 (1)因为f (-x )=(-x )2[1-(-x )2]=x 2(1-x 2)=f (x ), 所以f (x )是偶函数.(2)由f (-x )=3(-x )2-(-x )3=3x 2+x 3可见f (x )既非奇函数又非偶函数.(3)因为())(111)(1)(2222x f xx x x x f =+-=-+--=-, 所以f (x )是偶函数. (4)因为f (-x )=(-x )(-x -1)(-x +1)=-x (x +1)(x -1)=-f (x ), 所以f (x )是奇函数.(5)由f (-x )=sin(-x )-cos(-x )+1=-sin x -cos x +1可见f (x )既非奇函数又非偶函数.(6)因为)(22)()()(x f a a a a x f x x x x =+=+=-----, 所以f (x )是偶函数. 13. 下列各函数中哪些是周期函数?对于周期函数, 指出其周期: (1)y =cos(x -2);解 是周期函数, 周期为l =2π. (2)y =cos 4x ;解 是周期函数, 周期为2π=l .(3)y =1+sin πx ;解 是周期函数, 周期为l =2. (4)y =x cos x ;解 不是周期函数.(5)y =sin 2x .解 是周期函数, 周期为l =π. 14. 求下列函数的反函数:(1)31+=x y 错误!未指定书签。
高等数学课后习题及参考答案(第十二章)习题12-11. 试说出下列各微分方程的阶数:(1)x (y ')2-2yy '+x =0;解 一阶.(2)x 2y '-xy '+y =0;解 一阶.(3)xy '''+2y '+x 2y =0;解 三阶.(4)(7x -6y )dx +(x +y )dy =0;解 一阶.(5)022=++C Q dt dQ R dtQ d L ; 解 二阶.(6)θρθρ2sin =+d d . 解 一阶.2. 指出下列各题中的函数是否为所给微分方程的解:(1)xy '=2y , y =5x 2;解 y '=10x .因为xy '=10x 2=2(5x 2)=2y , 所以y =5x 2是所给微分方程的解.(2)y '+y =0, y =3sin x -4cos x ;解 y '=3cos x +4sin x .因为y '+y =3cos x +4sin x +3sin x -4cos x =7sin x -cos x ≠0,所以y =3sin x -4cos x 不是所给微分方程的解.(3)y ''-2y '+y =0, y =x 2e x ;解 y '=2xe x +x 2e x , y ''=2e x +2xe x +2xe x +x 2e x =2e x +4xe x +x 2e x .因为y ''-2y '+y =2e x +4xe x +x 2e x -2(2xe x +x 2e x )+x 2e x =2e x ≠0,所以y =x 2e x 不是所给微分方程的解.(4)y ''-(λ1+λ2)y '+λ1λ2y =0, x x e C e C y 2121λλ+=.解 x x e C e C y 212211λλλλ+=', x x e C e C y 21222211λλλλ+=''.因为y y y 2121)(λλλλ+'+-'')())((2121212121221121222211x x x x x x e C e C e C e C e C e C λλλλλλλλλλλλλλ++++-+= =0,所以x x e C e C y 2121λλ+=是所给微分方程的解.3. 在下列各题中, 验证所给二元方程所确定的函数为所给微分方程的解:(1)(x -2y )y '=2x -y , x 2-xy +y 2=C ;解 将x 2-xy +y 2=C 的两边对x 求导得2x -y -xy '+2y y '=0,即 (x -2y )y '=2x -y ,所以由x 2-xy +y 2=C 所确定的函数是所给微分方程的解.(2)(xy -x )y ''+xy '2+yy '-2y '=0, y =ln(xy ).解 将y =ln(xy )的两边对x 求导得y yx y '+='11, 即x xy y y -='. 再次求导得)(1)()()1()(2222y y y y y x x xy x xy y y y x x xy y x y y x xy y y '+'-'-⋅-=-+-'-=--'+--'=''. 注意到由y y x y '+='11可得1-'='y x y yx , 所以 )2(1])1([12y y y y x xxy y y y y y x x xy y '+'-'-⋅-='+'-'-'-⋅-='', 从而 (xy -x )y ''+xy '2+yy '-2y '=0,即由y =ln(xy )所确定的函数是所给微分方程的解.4. 在下列各题中, 确定函数关系式中所含的参数, 使函数满足所给的初始条件:(1)x 2-y 2=C , y |x =0=5;解 由y |x =0=0得02-52=C , C =-25, 故x 2-y 2=-25.(2)y =(C 1+C 2x )e 2x , y |x =0=0, y '|x =0=1;解 y '=C 2e 2x +2(C 1+C 2x )e 2x .由y |x =0=0, y '|x =0=1得⎩⎨⎧=+=10121C C C , 解之得C 1=0, C 2=1, 故y =xe 2x .(3)y =C 1sin(x -C 2), y |x =π=1, y '|x =π=0.解 y '=C 1cos(x -C 2).由y |x =π=1, y '|x =π=0得⎩⎨⎧=-=-0)cos(1)sin(2121C C C C ππ, 即⎩⎨⎧=-=0cos 1sin 2121C C C C , 解之得C 1=1, 22π=C , 故)2sin(π-=x y , 即y =-cos x . 5. 写出由下列条件确定的曲线所满足的微分方程:(1)曲线在点(x , y )处的切线的斜率等于该点横坐标的平方;解 设曲线为y =y (x ), 则曲线上点(x , y )处的切线斜率为y ', 由条件y '=x 2, 这便是所求微分方程.(2)曲线上点P (x , y )处的法线与x 轴的交点为Q , 且线段PQ 被y 轴平分. 解 设曲线为y =y (x ), 则曲线上点P (x , y )处的法线斜率为y '-1, 由条件第PQ 中点的横坐标为0, 所以Q 点的坐标为(-x , 0), 从而有y x x y '-=+-10, 即yy '+2x =0. 6. 用微分方程表示一物理命题: 某种气体的气压P 对于温度T 的变化率与气压成正比, 所温度的平方成反比.解 2TP k dT dP =, 其中k 为比例系数. 习题12-21. 求下列微分方程的通解:(1)xy '-y ln y =0;解 分离变量得dx xdy y y 1ln 1=, 两边积分得⎰⎰=dx xdy y y 1ln 1, 即 ln(ln y )=ln x +ln C ,故通解为y =e Cx .(2)3x 2+5x -5y '=0;解 分离变量得5dy =(3x 2+5x )dx ,两边积分得⎰⎰+=dx x x dy )53(52,即 123255C x x y ++=, 故通解为C x x y ++=232151, 其中151C C =为任意常数.(3)2211y y x -='-;解 分离变量得2211x dx y dy -=-, 两边积分得⎰⎰-=-2211x dx y dy 即 arcsin y =arcsin x +C ,故通解为y =sin(arcsin x +C ).(4)y '-xy '=a (y 2+y ');解 方程变形为(1-x -a )y '=ay 2,分离变量得dx x a a dy y--=112, 两边积分得⎰⎰--=dx x a a dy y112, 即 1)1ln(1C x a a y----=-, 故通解为)1ln(1x a a C y --+=, 其中C =aC 1为任意常数. (5)sec 2x tan ydx +sec 2y tan xdy =0;解 分离变量得dx xx y y y tan sec tan sec 22-=, 两边积分得⎰⎰-=dx xx y y y tan sec tan sec 22, 即 ln(tan y )=-ln(tan x )+ln C ,故通解为tan x tan y =C .(6)y x dxdy +=10; 解 分离变量得10-y dy =10x dx ,两边积分得⎰⎰=-dx dy x y 1010,即 10ln 10ln 1010ln 10C x y +=--, 或 10-y =10x +C ,故通解为y =-lg(C -10x ).(7)(e x +y -e x )dx +(e x +y +e y )dy =0;解 方程变形为e y (e x +1)dy =e x (1-e y )dx ,分离变量得dx e e dy e e xx y y +=-11, 两边积分得⎰⎰+=-dx eedy e ex x y y 11, 即 -ln(e y )=ln(e x +1)-ln C ,故通解为(e x +1)(e y -1)=C .(8)cos x sin ydx +sin x cos ydy =0;解 分离变量得dx xx dy y y sin cos sin cos -=, 两边积分得⎰⎰-=dx xx dy y y sin cos sin cos , 即 ln(sin y )=-ln(sin x )+ln C ,故通解为sin x sin y =C .(9)0)1(32=++x dxdy y ; 解 分离变量得(y +1)2dy =-x 3dx ,两边积分得⎰⎰-=+dx x dy y 32)1(,即 14341)1(31C x y +-=+, 故通解为4(y +1)3+3x 4=C (C =12C 1).(10)ydx +(x 2-4x )dy =0.解 分离变量得dx xx dy y )411(4-+=, 两边积分得⎰⎰-+=dx xx dy y )411(4, 即 ln y 4=ln x -ln(4-x )+ln C ,故通解为y 4(4-x )=Cx .2. 求下列微分方程满足所给初始条件的特解:(1)y '=e 2x -y , y |x =0=0;解 分离变量得e y dy =e 2x dx ,两边积分得⎰⎰=dx e dy e x y 2,即 C e e x y +=221, 或 )21ln(2C e y x +=. 由y |x =0=0得0)21ln(=+C , 21=C , 所以特解)2121ln(2+=x e y . (2)cos x sin ydy =cos y sin xdx , 4|0π==x y ; 解 分离变量得tan y dy =tan x dx ,两边积分得⎰⎰=xdx ydy tan tan ,即 -ln(cos y )=-ln(cos x )-ln C ,或 cos y =C cos x .由4|0π==x y 得C C ==0cos 4cos π, 21=C , 所以特解为x y cos cos 2=.(3)y 'sin x =y ln y , e y x ==2π;解 分离变量得dx xdy y y sin 1ln 1=, 两边积分得⎰⎰=dx xdy y y sin 1ln 1, 即 C x y ln )2ln(tan )ln(ln +=,或2tan x C e y =. 由e y x ==2π得4tan πC ee =, C =1, 所以特解为2tan x e y =.(4)cos ydx +(1+e -x )sin ydy =0, 4|0π==x y ; 解 分离变量得dx e e dy y y xx +=-1cos sin , 两边积分得⎰⎰+=-dx e e dy y y xx 1cos sin , 即 ln|cos y |=ln(e x +1)+ln |C |,或 cos y =C (e x +1).由4|0π==x y 得)1(4cos 4+=ππe C , 42=C , 所以特解为)1(42cos +=x e y . (5)xdy +2ydx =0, y |x =2=1.解 分离变量得dx xdy y 21-=, 两边积分得⎰⎰-=dx xdy y 21, 即 ln y =-2ln x +ln C ,或 y =Cx -2.由y |x =2=1得C ⋅2-2=1, C =4, 所以特解为24xy =.3. 有一盛满了水的圆锥形漏漏斗, 高为10cm , 顶角为60︒, 漏斗下面有面积为0. 5cm 2的孔, 求水面高度变化的规律及流完所需的时间.解 设t 时该已流出的水的体积为V , 高度为x , 则由水力学有x dtdV )9802(5.062.0⨯⨯⨯=, 即dt x dV )9802(5.062.0⨯⨯⨯=. 又因为330tan x x r =︒=, 故 dx x dx r V 223ππ-=-=, 从而 dx x dt x 23)9802(5.062.0π-=⨯⨯⨯, 即 dx x dt 2398025.062.03⨯⨯⨯=π,因此 C x t +⨯⨯⨯-=2598025.062.032π. 又因为当t =0时, x =10, 所以251098025.062.053⨯⨯⨯⨯=πC ,故水从小孔流出的规律为 645.90305.0)10(98025.062.0532252525+-=-⨯⨯⨯⨯=x x t π. 令x =0, 得水流完所需时间约为10s .4. 质量为1g (克)的质点受外力作用作直线运动, 这外力和时间成正比, 和质点运动的速度成反比. 在t =10s 时, 速度等于50cm/s , 外力为4g cm/s 2, 问从运动开始经过了一分钟后的速度是多少?解 已知v t k F =, 并且法t =10s 时, v =50cm/s , F =4g cm/s 2, 故50104k =, 从而k =20, 因此vt F 20=. 又由牛顿定律, F =ma , 即vt dt dv 201=⋅, 故v dv =20t d t . 这就是速度与时间应满足的微分方程. 解之得C t v +=221021, 即C t v 2202+=.由初始条件有C +⨯=⨯2210105021, C =250. 因此 500202+=t v .当t =60s 时, cm/s 3.26950060202=+⨯=v .5. 镭的衰变有如下的规律: 镭的衰变速度与它的现存量R 成正比. 由经验材料得知, 镭经过1600年后, 只余原始量R 0的一半. 试求镭的量R 与时间t 的函数关系.解 由题设知,R dt dR λ-=, 即dt RdR λ-=, 两边积分得ln R =-λt +C 1,从而 )( 1C t e C Ce R ==-λ.因为当t =0时, R =R 0, 故R 0=Ce 0=C , 即R =R 0e -λt .又由于当t =1600时, 021R R =, 故λ16000021-=e R R , 从而16002ln =λ. 因此 t t e R e R R 000433.0010002ln 0--==.6. 一曲线通过点(2, 3), 它在两坐标轴间的任一切线线段均被切点所平分, 求这曲线方程.解 设切点为P (x , y ), 则切线在x 轴, y 轴的截距分别为2x , 2y , 切线斜率为xy x y -=--2002, 故曲线满足微分方程: xy dx dy -=, 即dx x dy y 11-=, 从而 ln y +ln x =ln C , xy =C .因为曲线经过点(2, 3), 所以C =2⨯3=6, 曲线方程为xy =6.7. 小船从河边点O 处出发驶向对岸(两岸为平行直线). 设船速为a , 船行方向始终与河岸垂直, 又设河宽为h , 河中任一点处的水流速度与该点到两岸距离的乘积成正比(比例系数为k ). 求小船的航行路线.解 建立坐标系如图. 设t 时刻船的位置为(x , y ), 此时水速为)(y h ky dt dx v -==, 故dx =ky (h -y )dt .又由已知, y =at , 代入上式得dx =kat (h -at )dt ,积分得C t ka kaht x +-=3223121. 由初始条件x |t =0=0, 得C =0, 故3223121t ka kaht x -=. 因此船运动路线的函数方程为⎪⎩⎪⎨⎧=-=ayy t ka kaht x 3223121, 从而一般方程为)312(32y y h a k x -=.习题12-31. 求下列齐次方程的通解:(1)022=---'x y y y x ;解 原方程变为1)(2--=x y x y dx dy . 令xy u =, 则原方程化为 12-+=+u u dx du x u , 即dx x du u 1112=-, 两边积分得C x u u ln ln )1ln(2+=-+, 即Cx u u =-+12, 将xy u =代入上式得原方程的通解Cx x y x y =-+1)(2, 即222Cx x y y =-+. (2)xy y dx dy xln =; 解 原方程变为x y x y dx dy ln =.令xy u =, 则原方程化为 u u dxdu x u ln =+, 即dx x du u u 1)1(ln 1=-, 两边积分得ln(ln u -1)=ln x +ln C , 即u =e Cx +1, 将xy u =代入上式得原方程的通解 y =xe Cx +1.(3)(x 2+y 2)dx -xydy =0;解 这是齐次方程. 令xy u =, 即y =xu , 则原方程化为 (x 2+x 2u 2)dx -x 2u (udx +xdu )=0, 即dx xudu 1=, 两边积分得u 2=ln x 2+C , 将xy u =代入上式得原方程的通解 y 2=x 2(ln x 2+C ).(4)(x 3+y 3)dx -3xy 2dy =0;解 这是齐次方程. 令xy u =, 即y =xu , 则原方程化为 (x 3+x 3u 3)dx -3x 3u 2(udx +xdu )=0, 即dx x du u u 121332=-, 两边积分得C x u ln ln )21ln(213+=--, 即2312xC u -=, 将xy u =代入上式得原方程的通解 x 3-2y 3=Cx .(5)0ch 3)ch 3sh 2(=-+dy xy x dx x y y x y x ; 解 原方程变为x y x y dx dy +=th 32.令xy u =, 则原方程化为 u u dx du x u +=+th 32, 即dx xdu u u 2sh ch 3=, 两边积分得3ln(sh u )=2ln x +ln C , 即sh 3u =Cx 2, 将xy u =代入上式得原方程的通解 22sh Cx x y =. (6)0)1(2)21(=-++dy yx e dx e y xy x . 解 原方程变为yx yxe e y x dy dx 21)1(2+-=. 令yx u =, 则原方程化为 u u e e u dy du y u 21)1(2+-=+, 即uu e e u dy du y 212++-=, 分离变量得dy y du e u e uu 1221-=++, 两边积分得ln(u +2e u )=-ln y +ln C , 即y (u +2e u )=C , 将yx u =代入上式得原方程的通解 C e yx y y x =+)2(, 即C ye x y x=+2. 2. 求下列齐次方程满足所给初始条件的特解:(1)(y 2-3x 2)dy +2xydx =0, y |x =0=1;解 这是齐次方程. 令x y u =, 即y =xu , 则原方程化为(x 2u 2-3x 2)(udx +xdu )+2x 2udx =0,即 dx x du u u u 1332=--, 或dx x du u u u 1)11113(=-+++- 两边积分得-3ln |u |+ln|u +1|+ln|u -1|=ln|x |+ln|C |, 即u 2-1=Cxu 3, 将xy u =代入上式得原方程的通解 y 2-x 2=Cy 3.由y |x =0=1得C =1, 故所求特解为y 2-x 2=y 3.(2)xy y x y +=', y |x =1=2; 解 令xy u =, 则原方程化为 u u dx du x u +=+1, 即dx xudu 1=, 两边积分得C x u +=ln 212, 将xy u =代入上式得原方程的通解 y 2=2x 2(ln x +C ).由y |x =1=2得C =2, 故所求特解为y 2=2x 2(ln x +2).(3)(x 2+2xy -y 2)dx +(y 2+2xy -x 2)dy =0, y |x =1=1.解 这是齐次方程. 令xy u =, 即y =xu , 则原方程化为 (x 2+2x 2u -x 2u 2)dx +(x 2u 2+2x 2u -x 2)(udx +xdu )=0,即 dx x du u u u u u 1112232-=+++-+, 或 dx xdu u u u 1)1211(2=+-+, 两边积分得ln|u +1|-ln(u 2+1)=ln|x |+ln|C |, 即u +1=Cx (u 2+1), 将xy u =代入上式得原方程的通解 x +y =C (x 2+y 2).由y |x =1=1得C =1, 故所求特解为x +y =(x 2+y 2).3. 设有连结点O (0, 0)和A (1, 1)的一段向上凸的曲线弧A O, 对于A O 上任一点P (x , y ), 曲线弧P O 与直线段OP 所围图形的面积为x 2, 求曲线弧A O 的方程.解 设曲线弧A O的方程为y =y (x ). 由题意得 20)(21)(x x xy dx x y x=-⎰, 两边求导得x x y x x y x y 2)(21)(21)(='--, 即 4-='xy y . 令xy u =, 则有 4-=+u dx du x u , 即dx xdu u 41-=, 两边积分得u =-4ln x +C . 将xy u =代入上式得方程的通解 y =-4x ln x +Cx .由于A (1, 1)在曲线上, 即y (1)=1, 因而C =1, 从则所求方程为y =-4x ln x +x .习题12-41. 求下列微分方程的通解:(1)x e y dx dy -=+; 解 )()()(C x e C dx e e e C dx e e e y x x x x dx x dx +=+⋅=+⎰⋅⎰=-----⎰⎰. (2)xy '+y =x 2+3x +2;解 原方程变为xx y x y 231++=+'.])23([11C dx e x x e y dx x dx x +⎰⋅++⎰=⎰- ])23([1])23([12C dx x x xC xdx x x x +++=+++=⎰⎰ xC x x C x x x x +++=+++=22331)22331(1223. (3)y '+y cos x =e -sin x ;解 )(cos sin cos C dx e e e y xdx x dx +⎰⋅⎰=⎰--)()(sin sin sin sin C x e C dx e e e x x x x +=+⋅=---⎰.(4)y '+y tan x =sin 2x ;解 )2sin (tan tan C dx e x e y xdx xdx +⎰⋅⎰=⎰-)2sin (cos ln cos ln C dx e x e x x +⋅=⎰-⎰+⋅=)cos 1cos sin 2(cos C dx xx x x =cos x (-2cos x +C )=C cos x -2cos 2x .(5)(x 2-1)y '+2xy -cos x =0;解 原方程变形为1cos 1222-=-+'x x y x x y . )1cos (1221222C dx e x x e y dx x xdx x x +⎰⋅-⎰=⎰--- )(sin 11])1(1cos[112222C x x C dx x x x x +-=+-⋅--=⎰. (6)23=+ρθρd d ; 解 )2(33C d e e d d +⎰⋅⎰=⎰-θρθθ)2(33C d e e +=⎰-θθθθθθ33332)32(--+=+=Ce C e e .(7)x xy dx dy 42=+; 解 )4(22C dx e x e y xdx xdx +⎰⋅⎰=⎰-)4(22C dx e x e x x +⋅=⎰-2222)2(x x x Ce C e e --+=+=.(8)y ln ydx +(x -ln y )dy =0;解 原方程变形为yx y y dy dx 1ln 1=+. )1(ln 1ln 1C dy e y e x dy y y dy y y +⎰⋅⎰=⎰- )ln 1(ln 1C ydy yy +⋅=⎰ yC y C y y ln ln 21)ln 21(ln 12+=+=. (9)3)2(2)2(-+=-x y dxdy x ; 解 原方程变形为2)2(221-=--x y x dx dy . ])2(2[21221C dx e x e y dx x dx x +⎰⋅-⎰=⎰--- ⎰+-⋅--=]21)2(2)[2(2C dx x x x =(x -2)[(x -2)2+C ]=(x -2)3+C (x -2).(10)02)6(2=+-y dxdy x y . 解 原方程变形为y x y dy dx 213-=-. ])21([33C dy e y e x dy y dy y +⎰⋅-⎰=⎰- )121(33C dy yy y +⋅-=⎰32321)21(Cy y C y y +=+=. 2. 求下列微分方程满足所给初始条件的特解:(1)x x y dxdy sec tan =-, y |x =0=0; 解 )sec (tan tan C dx e x e y xdx xdx +⎰⋅⎰=⎰-)(cos 1)cos sec (cos 1C x xC xdx x x +=+⋅=⎰. 由y |x =0=0, 得C =0, 故所求特解为y =x sec x .(2)xx x y dx dy sin =+, y |x =π=1; 解 )sin (11C dx e x x e y dx x dx x +⎰⋅⎰=⎰- )cos (1)sin (1C x xC xdx x x x +-=+⋅=⎰. 由y |x =π=1, 得C =π-1, 故所求特解为)cos 1(1x xy --=π. (3)x e x y dx dy cos 5cot =+, 4|2-==πx y ; 解 )5(cot cos cot C dx e e e y xdx x xdx +⎰⋅⎰=⎰- )5(sin 1)sin 5(sin 1cos cos C e xC xdx e x x x +-=+⋅=⎰. 由4|2-==πx y , 得C =1, 故所求特解为)15(sin 1cos +-=x e x y . (4)83=+y dxdy , y |x =0=2; 解 )8(33C dx e e y dx dx +⎰⋅⎰=⎰-x x x x x Ce C e e C dx e e 3333338)38()8(---+=+=+=⎰. 由y |x =0=2, 得32-=C , 故所求特解为)4(323x e y --=.(5)13232=-+y xx dx dy , y |x =1=0. 解 )1(32323232C dx e e y dx x x dx x x +⎰⋅⎰=⎰--- )21()1(22221131313C e e x C dx e x e x x x x x +=+=--⎰. 由y |x =1=0, 得eC 21-=, 故所求特解为)1(211132--=x e x y . 3. 求一曲线的方程, 这曲线通过原点, 并且它在点(x , y )处的切线斜率等于2x +y .解 由题意知y '=2x +y , 并且y |x =0=0.由通解公式得)2()2(C dx xe e C dx xe e y x x dx dx +=+⎰⎰=⎰⎰--=e x (-2xe -x -2e -x +C )=Ce x -2x -2.由y |x =0=0, 得C =2, 故所求曲线的方程为y =2(e x -x -1).4. 设有一质量为m 的质点作直线运动, 从速度等于零的时刻起, 有一个与运动方向一至、大小与时间成正比(比例系数为k 1)的力作用于它, 此外还受一与速度成正比(比例系数为k 2)的阻力作用. 求质点运动的速度与时间的函数关系.解 由牛顿定律F =ma , 得v k t k dtdv m 21-=, 即t m k v m k dt dv 12=+. 由通解公式得)()(222211C dt e t m k e C dt e t m k ev t m k t m k dt m k dt m k +⋅=+⎰⋅⎰=⎰⎰-- )(22222121C e k m k te k k e t m kt m k t m k +-=-. 由题意, 当t =0时v =0, 于是得221k m k C =. 因此)(22122121222k m k e k m k te k k e v t m k t m k t m k +-=- 即 )1(222121t m k e k m k t k k v ---=. 5. 设有一个由电阻R =10Ω、电感L =2h(亨)和电源电压E =20sin5t V (伏)串联组成的电路. 开关K 合上后, 电路中有电源通过. 求电流i 与时间t 的函数关系. 解 由回路电压定律知01025sin 20=--i dt di t , 即t i dtdi 5sin 105=+. 由通解公式得t dt dt Ce t t C dt e t e i 5555cos 5sin )5sin 10(--+-=+⎰⋅⎰=⎰.因为当t =0时i =0, 所以C =1. 因此)45sin(25cos 5sin 55π-+=+-=--t e e t t i t t (A).6. 设曲dy x x xf dx x yf L])(2[)(2-+⎰在右半平面(x >0)内与路径无关, 其中f (x )可导, 且f (1)=1, 求f (x ).解 因为当x >0时, 所给积分与路径无关, 所以])(2[)]([2x x xf xx yf y -∂∂=∂∂, 即 f (x )=2f (x )+2xf '(x )-2x ,或 1)(21)(=+'x f xx f . 因此 x C x C dx x x C dx e e x f dx x dx x +=+=+⎰⋅⎰=⎰⎰-32)(1)1()(2121. 由f (1)=1可得31=C , 故x x x f 3132)(+=. 7. 求下列伯努利方程的通解:(1))sin (cos 2x x y y dxdy -=+; 解 原方程可变形为x x ydx dy y sin cos 112-=+, 即x x y dx y d cos sin )(11-=---. ])cos sin ([1C dx e x x e y dx dx +⎰⋅-⎰=--⎰x Ce C dx e x x e x x x sin ])sin (cos [-=+-=⎰-, 原方程的通解为x Ce yx sin 1-=. (2)23xy xy dxdy =-; 解 原方程可变形为x y x dxdy y =-1312, 即x xy dx y d -=+--113)(. ])([331C dx e x e y xdx xdx +⎰⋅-⎰=⎰--)(222323C dx xe e x x +-=⎰- 31)31(222232323-=+-=--x x x Ce C e e , 原方程的通解为311223-=-x Ce y . (3)4)21(3131y x y dx dy -=+; 解 原方程可变形为 )21(31131134x y dx dy y -=+, 即12)(33-=---x y dx y d . ])12([3C dx e x e y dx dx +⎰⋅-⎰=--⎰x x x Ce x C dx e x e +--=+-=⎰-12])12([, 原方程的通解为1213--=x Ce yx .(4)5xy y dxdy =-; 解 原方程可变形为 x ydx dy y =-4511, 即x y dx y d 44)(44-=+--. ])4([444C dx e x e y dx dx +⎰⋅-⎰=⎰--)4(44C dx xe e x +-=⎰-x Ce x 441-++-=, 原方程的通解为x Ce x y44411-++-=.(5)xdy -[y +xy 3(1+ln x )]dx =0.解 原方程可变形为)ln 1(11123x yx dx dy y +=⋅-⋅, 即)ln 1(22)(22x y x dx y d +-=+--. ])ln 1(2[222C dx e x e y dx x dx x +⎰⋅+-⎰=⎰-- ])ln 1(2[122C dx x x x++-=⎰ x x x x C 94ln 322--=, 原方程的通解为x x x x C y 94ln 32122--=. 8. 验证形如yf (xy )dx +xg (xy )dy =0的微分方程, 可经变量代换v =xy 化为可分离变量的方程, 并求其通解.解 原方程可变形为)()(xy xg xy yf dx dy -=. 在代换v =xy 下原方程化为)()(22v g x v vf x v dx dv x -=-,即dx xdu v f v g v v g 1)]()([)(=-, 积分得 C x du v f v g v v g +=-⎰ln )]()([)(, 对上式求出积分后, 将v =xy 代回, 即得通解.9. 用适当的变量代换将下列方程化为可分离变量的方程, 然后求出通解:(1)2)(y x dxdy +=; 解 令u =x +y , 则原方程化为21u dx du =-, 即21ududx +=. 两边积分得x =arctan u +C .将u =x +y 代入上式得原方程的通解x =arctan(x +y )+C , 即y =-x +tan(x -C ).(2)11+-=yx dx dy ; 解 令u =x -y , 则原方程化为111+=-udx du , 即dx =-udu . 两边积分得1221C u x +-=. 将u =x +y 代入上式得原方程的通解12)(21C y x x +--=, 即(x -y )2=-2x +C (C =2C 1). (3)xy '+y =y (ln x +ln y );解 令u =xy , 则原方程化为u x u x u x udx du x x ln )1(2=+-, 即du uu dx x ln 11=. 两边积分得ln x +ln C =lnln u , 即u =e Cx .将u =xy 代入上式得原方程的通解xy =e Cx , 即Cx e x y 1=.(4)y '=y 2+2(sin x -1)y +sin 2x -2sin x -cos x +1;解 原方程变形为y '=(y +sin x -1)2-cos x .令u =y +sin x -1, 则原方程化为x u x dx du cos cos 2-=-, 即dx du u=21. 两边积分得C x u+=-1. 将u =y +sin x -1代入上式得原方程的通解C x x y +=-+-1sin 1, 即Cx x y +--=1sin 1.(5)y (xy +1)dx +x (1+xy +x 2y 2)dy =0 .解 原方程变形为)1()1(22y x xy x xy y dx dy +++-=. 令u =xy , 则原方程化为)1()1(1222u u x u u x udx du x +++-=-, 即)1(1223u u x u dx du x ++=. 分离变量得du uu u dx x )111(123++=. 两边积分得u uu C x ln 121ln 21+--=+. 将u =xy 代入上式得原方程的通解xy xyy x C x ln 121ln 221+--=+, 即 2x 2y 2ln y -2xy -1=Cx 2y 2(C =2C 1).习题12-51. 判别下列方程中哪些是全微分方程, 并求全微分方程的通解:(1)(3x 2+6xy 2)dx +(6x 2y +4y 2)dy =0;解 这里P =3x 2+6xy 2, Q =6x 2y +4y 2. 因为xQ xy y P ∂∂==∂∂12, 所以此方程是全微分方程, 其通解为C dy y y x dx x y x =++⎰⎰02202)46(3, 即 C y y x x =++3223343. (2)(a 2-2xy -y 2)dx -(x +y )2dy =0;解 这里P =a 2-2xy -y 2, Q =-(x +y )2. 因为xQ y x y P ∂∂=--=∂∂22, 所以此方程是全微分方程, 其通解为C dy y x dx a y x =+-⎰⎰0202)(, 即 a 2x -x 2y -xy 2=C .(3)e y dx +(xe y -2y )dy =0;解 这里P =e y , Q =xe y -2y . 因为xQ e y P y ∂∂==∂∂, 所以此方程是全微分方程, 其通解为C dy y xe dx e y y x =-+⎰⎰000)2(, 即 xe y -y 2=C .(4)(x cos y +cos x )y '-y sin x +sin y =0;解 原方程变形为(x cos y +cos x )dy -(y sin x +sin y )dx =0.这里P =-(y sin x +sin y ), Q =x cos y +cos x . 因为xQ x y y P ∂∂=-=∂∂sin cos , 所以此方程是全微分方程, 其通解为C dy x y x dx y x =++⎰⎰00)cos cos (0, 即 x sin y +y cos x =C .解(5)(x 2-y )dx -xdy =0;解 这里P =x 2-y , Q =-x . 因为xQ y P ∂∂=-=∂∂1, 所以此方程是全微分方程, 其通解为C xdy dx x y x =-⎰⎰002, 即 C xy x =-331. (6)y (x -2y )dx -x 2dy =0;解 这里P =y (x -2y ), Q =-x 2. 因为y x y P 4-=∂∂, x xQ 2-=∂∂, 所以此方程不是全微分方程.(7)(1+e 2θ)d ρ+2ρe 2θd θ=0;解 这里P =1+e 2θ, Q =2ρe 2θ. 因为xQ e y P ∂∂==∂∂θ22, 所以此方程是全微分方程, 其通解为C d e d =+⎰⎰θθρθρρ02022,即 ρ(e 2θ+1)=C .(8)(x 2+y 2)dx +xydy =0.解 这里P =x 2+y 2, Q =xy . 因为y y P 2=∂∂, y xQ =∂∂, 所以此方程不是全微分方程.2. 利用观察法求出下列方程的积分因子, 并求其通解:(1)(x +y )(dx -dy )=dx +dy ;解 方程两边同时乘以yx +1得 yx dy dx dy dx ++=-, 即d (x -y )=d ln(x +y ), 所以yx +1为原方程的一个积分因子, 并且原方程的通解为 x -y =ln(x +y )+C .(2)ydx -xdy +y 2xdx =0;解 方程两边同时乘以21y得 02=+-xdx y xdy ydx , 即0)2()(2=+x d y x d , 所以21y为原方程的一个积分因子, 并且原方程的通解为 C x y x =+22. (3)y 2(x -3y )dx +(1-3y 2x )dy =0;解 原方程变形为xy 2dx -3y 3dx +dy -3x 2dy =0, 两边同时乘以21y并整理得 0)33(2=+-+xdy ydx y dy xdx , 即0)(3)1()2(2=--xy d y d x d , 所以21y为原方程的一个积分因子, 并且原方程的通解为 C xy yx =--3122. (4)xdx +ydy =(x 2+y 2)dx ;解 方程两边同时乘以221y x +得022=-++dx y x ydy xdx , 即0)]ln(21[22=-+dx y x d , 所以221y x +为原方程的一个积分因子, 并且原方程的通解为 x 2+y 2=Ce 2x .(5)(x -y 2)dx +2xydy =0;解 原方程变形为xdx -y 2dx +2xydy =0, 两边同时乘以21x得 0222=-+x dx y xydy x dx , 即0)()(ln 2=+x y d x d , 所以21x为原方程的一个积分因子, 并且原方程的通解为 C xy x =+2ln , 即x ln x +y 2=Cx . (6)2ydx -3xy 2dx -xdy =0.解 方程两边同时乘以x 得2xydx -x 2dy -3x 2y 2dx =0, 即yd (x 2)-x 2dy -3x 2y 2dx =0,再除以y 2得03)(2222=--dx x ydy x x yd , 即0)(32=-x y x d 所以2yx为原方程的一个积分因子, 并且原方程的通解为 032=-x yx . 3. 验证)]()([1xy g xy f xy -是微分方程yf (xy )dx +xg (xy )dy =0的积分因子, 并求下列方程的通解: 解 方程两边乘以)]()([1xy g xy f xy -得0])()([)]()([1=+-dy xy xg dx xy yf xy g xy f xy , 这里)]()([)(xy g xy f x xy f P -=, )]()([)(xy g xy f y xy g Q -=. 因为x Q xy g xy f xy g xy f xy g xy f yP ∂∂=-'-'=∂∂2)]()([)()()()(, 所以)]()([1xy g xy f xy -是原方程的一个积分因子. (1)y (x 2y 2+2)dx +x (2-2x 2y 2)dy =0;解 这里f (xy )=x 2y 2+2, g (xy )=2-2x 2y 2 , 所以3331)]()([1y x xy g xy f xy =- 是方程的一个积分因子. 方程两边同乘以3331y x 得全微分方程 032323222232=-++dy y x y x dx y x x , 其通解为C dy y x y x dx x x y x =-++⎰⎰132221323232, 即 C yx y x =-+-)11ln (ln 31222, 或2212y x e Cy x =.(2)y (2xy +1)dx +x (1+2xy -x 3y 3)dy =0.解 这里f (x y )=2x y +1, g (x y )=1+2x y -x 3 y 3 , 所以441)]()([1yx xy g xy f xy =- 是方程的一个积分因子. 方程两边同乘以441yx 得全微分方程 02112433334=-+++dy y x y x xy dx y x xy ,其通解为C dy y x y x xy dx x x y x =-+++⎰⎰14333142112, 即 C y y x y x =++||ln 3113322. 4. 用积分因子法解下列一阶线性方程:(1)xy '+2y =4ln x ;解 原方程变为x xy x y ln 42=+', 其积分因子为 22)(x e x dx x =⎰=μ, 在方程x xy x y ln 42=+'的两边乘以x 2得 x 2y '+2xy =4x ln x , 即(x 2y )'=4x ln x , 两边积分得C x x x xdx x y x +-==⎰222ln 2ln 4, 原方程的通解为21ln 2x C x y +-=. (2)y '-tan x ⋅y =x .解 积分因子为x e x xdx cos )(tan =⎰=-μ,在方程的两边乘以cos x 得cos x ⋅y '-sin x ⋅y =x cos x , 即(cos x ⋅y )'=x cos x , 两边积分得C x x x xdx x y x ++==⋅⎰cos sin cos cos , 方程的通解为xC x x y cos 1tan ++=.习题12-61. 求下列各微分方程的通解:(1)y ''=x +sin x ;解 12cos 21)sin (C x x dx x x y +-=+='⎰, 21312sin 61)cos 21(C x C x x dx C x x y ++-=+-=⎰, 原方程的通解为213sin 61C x C x x y ++-=. (2)y '''=xe x ;解 12C e xe dx xe y x x x +-==''⎰,21122)2(C x C e xe dx C e xe y x x x x ++-=+-='⎰,3221213)22(C x C x C e xe dx C x C e xe y x x x x +++-=++-=⎰,原方程的通解为32213C x C x C e xe y x x +++-=.(3)211xy +=''; 解 12arctan 11C x dx xy +=+='⎰ x C dx xxx x dx C x y 1211arctan )(arctan ++-=+=⎰⎰ 212)1ln(21arctan C x C x x x +++-=, 原方程的通解为2121ln arctan C x C x x x y +++-=.(4)y ''=1+y '2;解 令p =y ', 则原方程化为p '=1+p 2, 即dx dp p=+211, 两边积分得arctan p =x +C 1, 即y '=p =tan(x +C 1),211|)cos(|ln )tan(C C x dx C x y ++-=+=⎰,原方程的通解为21|)cos(|ln C C x y ++-=.(5)y ''=y '+x ;解 令p =y ', 则原方程化为p '-p =x ,由一阶线性非齐次方程的通解公式得1)()(111--=+=+⎰⋅⎰=⎰⎰--x e C C dx xe e C dx e x e p x x x dx dx ,即 y '=C 1e x -x -1,于是 221121)1(C x x e C dx x e C y x x +--=--=⎰, 原方程的通解为22121C x x e C y x +--=. (6)xy ''+y '=0;解 令p =y ', 则原方程化为x p '+p =0, 即01=+'p xp , 由一阶线性齐次方程的通解公式得xC e C e C p x dx x 1ln 111==⎰=--, 即 xC y 1=', 于是 211ln C x C dx xC y +==⎰, 原方程的通解为y =C 1ln x +C 2 .(7)yy ''+'=y '2;解 令p =y ', 则dy dp p dx dy dy dp y =⋅='', 原方程化为 21p dy dp yp =+, 即dy y dp p p 112=-, 两边积分得||ln ||ln |1|ln 2112C y p +=-, 即22121y C p ±-. 当|y '|=|p |>1时, 方程变为2211y C y +±=', 即dx dy y C ±=+21)(11, 两边积分得arcsh(C 1y )=±C 1x +C 2,即原方程的通解为)(sh 1121x C C C y ±=. 当|y '|=|p |<1时, 方程变为2211y C y -±=', 即dx dy y C ±=-21)(11, 两边积分得arcsin(C 1y )=±C 1x +C 2,即原方程的通解为)(sin 1121x C C C y ±=.(8)y 3y ''-1=0;解 令p =y ', 则dydp p y ='', 原方程化为 013=-dydp p y , 即pdp =y -3dy , 两边积分得122212121C y p +-=-, 即p 2=-y -2+C 1, 故 21--±='y C y , 即dx dy y C ±=--211, 两边积分得)(12121C x C y C +±=-,即原方程的通解为C 1y 2=(C 1x +C 2)2 .(9)yy 1=''; 解 令p =y ', 则dy dp py ='', 原方程化为 y dy dp p 1=, 即dy ypdp 1=, 两边积分得122221C y p +=, 即1244C y p +=, 故 12C y y +±=', 即dx dy C y ±=+11, 两边积分得原方程的通211231]2)(32[C C y C C y x ++-+±=. (10)y ''=y '3+y '.解 令p =y ', 则dydp py ='', 原方程化为 p p dy dp p +=3, 即0)]1([2=+-p dydp p . 由p =0得y =C , 这是原方程的一个解.由0)1(2=+-p dydp 得 arctan p =y -C 1, 即y '=p =tan(y -C 1),从而 )sin(ln )tan(1112C y dy C y C x -=-=+⎰, 故原方程的通解为 12arcsin C e y C x +=+.2. 求下列各微分方程满足所给初始条件的特解:(1)y 3 y ''+1=0, y |x =1=1, y '|x =1=0;解 令p =y ', 则dydp p y ='', 原方程化为013=+dy dp py , 即dy y pdp 31-=, 两边积分得1221C y p +=, 即y y C y 211+±='. 由y |x =1=1, y '|x =1=0得C 1=-1, 从而yy y 21-±=', 分离变量得dx dy yy =-±21, 两边积分得221C x y +=-±, 即22)(1C x y +-±=.由y |x =1=1得C 2=-1, 2)1(1--=x y , 从而原方程的通解为22x x y -=.(2)y ''-ay '2=0, y |x =0=0, y '|x =0=-1;解 令p =y ', 则原方程化为02=-ap dx dp , 即adx dp p=21, 两边积分得11C ax p+=-, 即11C ax y +-='. 由y '|x =0=-1得C 1=1, 11+-='ax y , 两边积分得 2)1ln(1C ax ay ++-=. 由y |x =0=0得C 2=0, 故所求特解为)1ln(1+-=ax ay . (3)y '''=e ax , y |x =1=y '|x =1=y ''|x =1=0;解 11C e adx e y ax ax +==''⎰. 由y ''|x =1=0得a e aC 11-=. 2211)11(C x e a e a dx e a e a y a ax a ax +-=-='⎰. 由y '|x =1=0得a a e ae a C 2211-=. dx e ae a x e a e a y a a a ax )1111(22⎰-+-= 322311211C x e a x e a x e a e a a a a ax +-+-=. 由y |x =1=0得a a a a e ae a e a e a C 32312111-+-=, 故所求特解为 322232)22()1(2a a a e a x a e a x e a e y a a a ax ----+-=. (4)y ''=e 2y , y |x =0=y '|x =0=0;解 令p =y ', 则dydp p y ='', 原方程化为 y e dydp p 2=, 即pdp =e 2y dy , 积分得p 2=e 2y +C 1, 即12C e y y +±='.由y |x =0=y '|x =0=0得C 1=-1, 故12-±='y e y , 从而dx dy e y ±=-112,积分得-arcsin e -y =±x +C 2.由y |x =0=0得22π-=C , 故 x x e y cos )2sin(=-=-π , 从而所求特解为y =-lncos x .(5)y y 3='', y |x =0=1, y '|x =0=2;解 令p =y ', 则dy dp py ='', 原方程化为 y dydp p 3=, 即dy y pdp 3=, 两边积分得12322221C y p +=, 即1232C y y +±='. 由y |x =0=1, y '|x =0=2得C 1=0,432y y =', 从而dx dy y 243=-, 两边积分得24124C x y +=, 即42)4121(C x y +=. 由y |x =0=1得C 2=4, 故原方程的特解为4)121(+=x y . (6)y ''+y '2=1, y |x =0=0, y '|x =0=0.解 令p =y ', 则dydp p y ='', 原方程化为 12=+p dydp p , 即2222=+p dy dp , 于是 1)2(211222+=+⎰⋅⎰=--⎰y dy dy e C C dy e e p ,即 121+±='-y e C y .由y |x =0=0, y '|x =0=0得C 1=-1, y e y 21--±='.故dx dy ey ±=--211, 两边积分得 22)1ln(C x e e y y +±=-+.由y |x =0=0得C 2=0, x e e y y ±=-+)1ln(2,从而得原方程的特解y =lnch x .3. 试求y ''=x 的经过点M (0, 1)且在此点与直线121+=x y 相切的积分曲线. 解 1221C x y +=', 21361C x C x y ++=. 由题意得y |x =0=1, 21|0='=x y . 由21|0='=x y 得211=C , 再由y |x =0=1得C 2=1, 因此所求曲线为 121613++=x x y . 4. 设有一质量为m 的物体, 在空中由静止开始下落, 如果空气阻力为R =c 2v 2(其中c 为常数, v 为物体运动的速度), 试求物体下落的距离s 与时间t 的函数关系.解 以t =0对应的物体位置为原点, 垂直向下的直线为s 正轴, 建立坐标系. 由题设得⎪⎩⎪⎨⎧==-===0| |0022t t v s v c mg dt dv m . 将方程分离变量得dt v c mg mdv =-22, 两边积分得1||ln C kt mgcv mg cv +=-+(其中m g c k 2=) 由v |t =0=0得C 1=0, kt mg cv mg cv =-+||ln , 即kt e mgcv mg cv =-+. 因为mg >c 2v 2, 故kt e cv mg mg cv )(-=+, 即)1()1(kt kt e mg e cv -=+,或 ktkt e e c mg dt ds +-⋅-=11, 分离变量并积分得211ln C e e ck mg s ktkt +++-=-. 由s |t =0=0得C 2=0, 故所求函数关系为ktkt e e ck mg s ++-=-11ln , 即)(ch ln 2t m g c c m s =.习题12-71. 下列函数组在其定义区间内哪些是线性无关的?(1)x , x 2;解 因为x xx =2不恒为常数, 所以x , x 2是线性无关的. (2)x , 2x ;解 因为22=xx , 所以x , 2x 是线性相关的. (3)e 2x , 3e 2x ;解 因为332=x x ee , 所以e 2x , 3e 2x 是线性相关的. (4)e -x ; e x ;解 因为x x x e ee 2=-不恒为常数, 所以e -x ; e x 是线性无关的. (5)cos2x , sin2x ;解 因为x xx 2tan 2cos 2sin =不恒为常数, 所以cos2x , sin2x 是线性无关的. (6) 2x e , 22x xe ;解 因为x e xe x x 2222=不恒为常数, 所以2x e , 22x xe 是线性无关的.。
高等数学课后习题及参考答案(第十章)习题 10-11. 设在xOy 面内有一分布着质量的曲线弧L , 在点(x , y )处它的线密度为μ(x , y ), 用对弧长的曲线积分分别表达:(1)这曲线弧对x 轴、对y 轴的转动惯量I x , I y ; (2)这曲线弧的重心坐标x , y .解 在曲线弧L 上任取一长度很短的小弧段ds (它的长度也记做ds ), 设(x , y )为小弧段ds 上任一点.曲线L 对于x 轴和y 轴的转动惯量元素分别为 dI x =y 2μ(x , y )ds , dI y =x 2μ(x , y )ds . 曲线L 对于x 轴和y 轴的转动惯量分别为 ⎰=Lx ds y x y I ),(2μ, ⎰=Ly ds y x x I ),(2μ.曲线L 对于x 轴和y 轴的静矩元素分别为 dM x =y μ(x , y )ds , dM y =x μ(x , y )ds . 曲线L 的重心坐标为⎰⎰==L L y dsy x ds y x x M M x ),(),(μμ, ⎰⎰==LL x ds y x dsy x y M M y ),(),(μμ. 2. 利用对弧长的曲线积分的定义证明: 如果曲线弧L 分为两段光滑曲线L 1和L 2, 则⎰⎰⎰+=12),(),(),(LL L ds y x f ds y x f ds y x f .证明 划分L , 使得L 1和L 2的连接点永远作为一个分点, 则∑∑∑+===∆+∆=∆111111),(),(),(n n i i i i ni n i i i i i i i s f s f s f ηξηξηξ.令λ=max{∆s i }→0, 上式两边同时取极限∑∑∑+=→=→=→∆+∆=∆nn i i i i n i i i i ni i i i s f s f s f 111011),(lim),(lim ),(lim ηξηξηξλλλ,即得⎰⎰⎰+=12),(),(),(LL L ds y x f ds y x f ds y x f .3. 计算下列对弧长的曲线积分:(1)⎰+Ln ds y x )(22, 其中L 为圆周x =a cos t , y =a sin t (0≤t ≤2π);解⎰+L nds y x)(22⎰+-+=π20222222)cos ()sin ()sin cos (dt t a t a t a t a n=⎰+-+π20222222)cos ()sin ()sin cos (dt t a t a t a t a n ⎰++==ππ2012122n n a dt a .(2)⎰+Lds y x )(, 其中L 为连接(1, 0)及(0, 1)两点的直线段;解 L 的方程为y =1-x (0≤x ≤1);⎰⎰'-+-+=+102])1[(1)1()(dx x x x ds y x L22)1(1=-+=⎰dx x x .(3)xdx L⎰, 其中L 为由直线y =x 及抛物线y =x 2所围成的区域的整个边界; 解 L 1: y =x 2(0≤x ≤1), L 2: y =x (0≤x ≤1) .xdx L ⎰xdx xdx LL ⎰⎰+=21⎰⎰'++'+=102122)(1])[(1dx x x dx x x⎰⎰++=10102241xdx dx x x )12655(121-+=.(4)ds ey x L22+⎰, 其中L 为圆周x 2+y 2=a 2, 直线y =x 及x 轴在第一象限内所围成的扇形的整个边界; 解 L =L 1+L 2+L 3, 其中 L 1: x =x , y =0(0≤x ≤a ),L 2: x =a cos t , y =a sin t )40(π≤≤t ,L 3: x =x , y =x )220(a x ≤≤,因而ds eds eds eds ey x L y x L y x L y x L22322222122++++⎰⎰⎰⎰++=,⎰⎰⎰+++-++=axa ax dx e dt t a t a e dx e 220222402202211)cos ()sin (01π2)42(-+=a e a π.(5)⎰Γ++ds z y x 2221, 其中Γ为曲线x =e t cos t , y =e t sin t , z =e t 上相应于t 从0变到2的这段弧;解 dt dtdz dt dydt dx ds 222)()()(++=dt e t e t e t e t e t t t t t 222)cos sin ()sin cos (+++-=dt e t 3=,⎰⎰++=++Γ20222222223sin cos 11dt e et e t e ds z y x t t t t ⎰----=-==2220)1(23]23[23e e dt e t t .(6)⎰Γyzds x 2, 其中Γ为折线ABCD , 这里A 、B 、C 、D 依次为点(0, 0, 0)、 (0, 0, 2)、(1, 0, 2)、(1, 3, 2); 解 Γ=AB +BC +CD , 其中 AB : x =0, y =0, z =t (0≤t ≤1), BC : x =t , y =0, z =2(0≤t ≤3), CD : x =1, y =t , z =2(0≤t ≤3), 故yzds x yzds x yzds x yzds x CD BC AB 2222⎰⎰⎰⎰++=Γ9010200322231=++++=⎰⎰⎰dt t dt dt .(7)⎰Lds y 2, 其中L 为摆线的一拱x =a (t -sin t ), y =a (1-cos t )(0≤t ≤2π);解⎰⎰'+'--=L dt t a t t a t a ds y π2022222])(cos [])sin ([)cos 1(⎰--=π2023cos 1)cos 1(2dt t t a 315256a =.(8)⎰+Lds y x )(22, 其中L 为曲线x =a (cos t +t sin t ), y =a (sin t -t cos t )(0≤t ≤2π).解 dt dtdydt dx ds 22)()(+=atdt dt t at t at =+=22)sin ()cos (atdt t t t a t t t a ds y x L ])cos (sin )sin (cos [)(22202222-++=+⎰⎰π⎰+=+=πππ2023223)21(2)1(a tdt t a .4. 求半径为a , 中心角为2ϕ的均匀圆弧(线密度μ=1)的重心. 解 建立坐标系如图10-4所示, 由对称性可知0=y , 又 ⎰==L x xds a M M x ϕ21⎰-⋅=ϕϕθθϕad a a cos 21ϕϕsin a =, 所以圆弧的重心为)0 ,sin (ϕϕa5. 设螺旋形弹簧一圈的方程为x =a cos t , y =a sin t , z =kt , 其中0≤1≤2π, 它的线密度ρ(x , y , z )=x 2+y 2+z 2, 求:(1)它关于z 轴的转动惯量I z ; (2)它的重心. 解 dt t z t y t x ds )()()(222'+'+'=dt k a 22+=. (1)⎰+=Lz ds z y x y x I ),,()(22ρds z y x y x L))((22222+++=⎰dt k a t k a a ⎰++=π20222222)()43(32222222k a k a a ππ++=. (2)⎰⎰++==LLds z y x ds z y x M )(),,(222ρ⎰++=π2022222)(dt k a t k a)43(3222222k a k a ππ++=, ds z y x x M x L)(1222⎰++=⎰++=π2022222)(cos 1dt k a t k a t a M2222436k a ak ππ+=, ds z y x y M y L)(1222⎰++=⎰++=π2022222)(sin 1dt k a t k a t a M2222436k a ak ππ+-=, ds z y x z M z L)(1222⎰++=⎰++=π2022222)(1dt k a t k a kt M22222243)2(3k a k a k πππ++=,故重心坐标为)43)2(3 ,436 ,436(22222222222222k a k a k k a ak k a ak πππππππ+++-+.习题 10-21. 设L 为xOy 面内直线x =a 上的一段, 证明:⎰=L dx y x P 0),(.证明 设L 是直线x =a 上由(a , b 1)到(a , b 2)的一段, 则L : x =a , y =t , t 从b 1变到b 2. 于是00) ,())( ,(),(2121⎰⎰⎰=⋅==b b b b L dt t a P dt dtda t a P dx y x P . 2. 设L 为xOy 面内x 轴上从点(a , 0)到(b , 0)的一段直线, 证明⎰⎰=Lbadx x P dx y x P )0 ,(),(.证明L : x =x , y =0, t 从a 变到b , 所以⎰⎰⎰='=baL b adx x P dx x x P dx y x P )0 ,())(0 ,(),(.3. 计算下列对坐标的曲线积分:(1)⎰-Ldx y x )(22, 其中L 是抛物线y =x 2上从点(0, 0)到点(2, 4)的一段弧;解 L : y =x 2, x 从0变到2, 所以⎰⎰-=-=-L dx x x dx y x2042221556)()(.(2)⎰Lxydx , 其中L 为圆周(x -a )2+y 2=a 2(a >0)及x 轴所围成的在第 一象限内的区域的整个边界(按逆时针方向绕行); 解 L =L 1+L 2, 其中L 1: x =a +a cos t , y =a sin t , t 从0变到π, L 2: x =x , y =0, x 从0变到2a , 因此⎰⎰⎰+=21L L L xydx xydx xydx⎰⎰+'++=adx dt t a a t a t a 200)cos (sin )cos 1(π3020232)sin sin sin (a t td tdt a πππ-=+-=⎰⎰.(3)⎰+Lxdy ydx , 其中L 为圆周x =R cos t , y =R sin t 上对应t 从0到2π的一段弧;解 ⎰⎰+-=+L dt t tR R t R t R xdy ydx ]cos cos )sin (sin [20π⎰==20202cos πtdt R .(4)⎰+--+L y x dy y x dx y x 22)()(, 其中L 为圆周x 2+y 2=a 2(按逆时针方向绕行);解 圆周的参数方程为: x =a cos t , y =a sin t , t 从0变到2π, 所以⎰+--+L yx dyy x dx y x 22)()( ⎰---+=π202)]cos )(sin cos ()sin )(sin cos [(1dt t a t a t a t a t a t a a ⎰-=-=ππ202221dt a a .(5)ydz zdy dx x -+⎰Γ2, 其中Γ为曲线x =k θ, y =a cos θ, z =a sin θ上对应θ从0到π的一段弧; 解⎰⎰--+=-+Γπθθθθθθ022]cos cos )sin (sin )[(d a a a a k k ydz zdy dx x233220331)(a k d a k ππθθπ-=-=⎰.(6)dz y x ydy xdx )1(-+++⎰Γ, 其中Γ是从点(1, 1, 1)到点(2, 3, 4)的一段直线;解 Γ的参数方程为x =1+t , y =1+2t , z =1+3t , t 从0变到1.⎰Γ-+++dz y x ydy xdx )1(⎰-+++++++=1)]1211(3)21(2)1[(dt t t t t⎰=+=1013)146(dt t .(7)⎰Γ+-ydz dy dx , 其中Γ为有向闭折线ABCA , 这里的A , B , C依次为点(1, 0, 0), (0, 1, 0), (0, 0, 1); 解 Γ=AB +BC +CA , 其中AB : x =x , y =1-x , z =0, x 从1变到0, BC : x =0, y =1-z , z =z , z 从0变到1, CA : x =x , y =0, z =1-x , x 从0变到1, 故ydz dy dx ydz dy dx ydz dy dx ydz dy dx CA BC AB +-++-++-=+-⎰⎰⎰⎰Γ⎰⎰⎰+-+'--+'--=101010)]1()1([])1(1[dx dt z z dx x 21=.(8)dy xy y dx xy x L)2()2(22-+-⎰, 其中L 是抛物线y =x 2上从(-1, 1)到(1, 1)的一段弧.解 L : x =x , y =x 2, x 从-1变到1, 故⎰-+-L dy xy y dx xy x )2()2(22⎰--+-=113432]2)2()2[(dx x x x x x 1514)4(21042-=-=⎰dx x x 4. 计算⎰-++Ldy x y dx y x )()(, 其中L 是:(1)抛物线y =x 2上从点(1, 1)到点(4, 2)的一段弧; 解 L : x =y 2, y =y , y 从1变到2, 故⎰-++L dy x y dx y x )()(⎰=⋅-+⋅+=2122334]1)(2)[(dy y y y y y . (2)从点(1, 1)到点(4, 2)的直线段; 解 L : x =3y -2, y =y , y 从1变到2, 故⎰-++L dy x y dx y x )()(11]1)23()23[(21=⋅+-+⋅+-=⎰dy y y y y y(3)先沿直线从点(1, 1)到(1, 2), 然后再沿直线到点(4, 2)的折线; 解 L =L 1+L 2, 其中L 1: x =1, y =y , y 从1变到2, L 2: x =x , y =2, x 从1变到4, 故⎰-++L dy x y dx y x )()(dy x y dx y x dy x y dx y x L L )()()()(21-+++-++=⎰⎰14)2()1(4121=++-=⎰⎰dx x dy y .(4)沿曲线x =2t 2+t +1, y =t 2+1上从点(1, 1)到(4, 2)的一段弧. 解 L : x =2t 2+t +1, y =t 2+1, t 从0变到1, 故⎰-++L dy x y dx y x )()(332]2)()14)(23[(1022=⋅--++++=⎰dt t t t t t t .5. 一力场由沿横轴正方向的常力F 所构成, 试求当一质量为m 的质点沿圆周x 2+y 2=R 2按逆时针方向移过位于第一象限的那一段时 场力所作的功.解 已知场力为F =(|F |, 0), 曲线L 的参数方程为 x =R cos θ, y =R sin θ,θ从0变到2π, 于是场力所作的功为R F d R F dx F d W LL||)sin (||||20-=-⋅==⋅=⎰⎰⎰πθθr F .6. 设z 轴与力方向一致, 求质量为m 的质点从位置(x 1, y 1, z 1) 沿直线移到(x 2, y 2, z 2)时重力作的功.解 已知F =(0, 0, mg ). 设Γ为从(x 1, y 1, z 1)到(x 2, y 2, z 2)的直线, 则重力所作的功为⎰⎰⎰ΓΓ-==++=⋅=21)(0012z z z z mg dz mg mgdz dy dx d W r F .7. 把对坐标的曲线积分⎰+Ldy y x Q dx y x P ),(),(化成对弧长的曲线积分, 其中L 为:(1)在xOy 面内沿直线从点(0, 0)到(1, 1); 解 L 的方向余弦214cos cos cos ===πβα,故⎰+L dy y x Q dx y x P ),(),(ds y x Q y x P L]cos ),(cos ),([βα+=⎰⎰+=L ds y x Q y x P 2),(),(.(2)沿抛物线y =x 2从点(0, 0)到(1, 1);解 曲线L 上点(x , y )处的切向量为τ=(1, 2x ), 单位切向量为 )412,411()cos ,(cos 22x x x ++==τβαe ,故⎰+L dy y x Q dx y x P ),(),(ds y x Q y x P L ]cos ),(cos ),([βα+=⎰⎰++=L ds xy x xQ y x P 241),(2),(. (3)沿上半圆周x 2+y 2=2x 从点(0, 0)到(1, 1). 解 L 的方程为22x x y -=, 其上任一点的切向量为 )21 ,1(2x x x --=τ, 单位切向量为)1 ,2()cos ,(cos 2x x x --==τβαe ,故⎰+L dy y x Q dx y x P ),(),(ds y x Q y x P L ]cos ),(cos ),([βα+=⎰⎰-+-=Lds y x Q x y x P x x )],()1(),(2[2.8. 设Γ为曲线x =t , y =t 2, z =t 3上相应于t 从0变到1的曲线弧,把对坐标的曲线积分⎰Γ++Rdz Qdy Pdx 化成对弧长的曲线积分.解 曲线Γ上任一点的切向量为 τ=(1, 2t , 3t 2)=(1, 2x , 3y ), 单位切向量为)3 ,2 ,1(9211)cos ,cos ,(cos 22y x yx ++==τγβαe ,ds R Q P Rdz Qdy Pdx L ]cos cos cos [γβα++=++⎰⎰Γ⎰++++=L ds y x yRxQ P 2294132.习题 10-31. 计算下列曲线积分, 并验证格林公式的正确性:(1)⎰++-ldy y x dx x xy )()2(22, 其中L 是由抛物线y =x 2及y 2=x 所围成的区域的正向边界曲线; 解 L =L 1+L 2, 故⎰++-L dy y x dx x xy )()2(22⎰⎰++-+++-=21)()2()()2(2222L L dy y x dx x xy dy y x dx x xy⎰⎰++-+++-=112243423)](2)2[(]2)()2[(dy y y y y y dx x x x x x301)242()22(1010245235=++--++=⎰⎰dy y y y dx x x x ,而dxdy x dxdy yPx Q DD)21()(-=∂∂-∂∂⎰⎰⎰⎰⎰⎰-=102)21(y y dx x dy301)(42121=+--=⎰dy y y y y , 所以⎰⎰⎰+=∂∂-∂∂l DQdy Pdx dxdy yPx Q )(.(2)⎰-+-ldy xy y dx xy x )2()(232, 其中L 是四个顶点分别为(0, 0)、 (2, 0)、(2, 2)、和(0, 2)的正方形区域的正向边界.解 L =L 1+L 2+L 3+L 4, 故⎰-+-L dy xy y dx xy x )2()(232dy xy y dx xy x L L L L )2())((2324321-+-+++=⎰⎰⎰⎰ ⎰⎰⎰⎰+-+-+=202002022222)8()4(dy y dx x x dy y y dx x 8482020=-+=⎰⎰ydy xdx , 而 dxdy xy y dxdy y P x Q DD )32()(2+-=∂∂-∂∂⎰⎰⎰⎰ ⎰⎰+-=20220)32(dy xy y dx 8)48(20=-=⎰dx x , 所以 ⎰⎰⎰+=∂∂-∂∂l D Qdy Pdx dxdy yP x Q )(. 2. 利用曲线积分, 求下列曲线所围成的图形的面积:(1)星形线x =a cos 3t , y =a sin 3t ;解 ⎰⎰-⋅⋅-=-=L dt t t a t a ydx A π2023)sin (cos 3sin ⎰==ππ20224283cos sin 3a tdt t a . (2)椭圆9x 2+16y 2=144;解 椭圆9x 2+16y 2 =144的参数方程为x =4cos θ, y =3sin θ, 0≤θ≤2π, 故⎰-=Lydx xdy A 21 ⎰-⋅-⋅=πθθθθθ20)]sin 4(sin 3cos 3cos 4[21d ⎰==ππθ20126d . (3)圆x 2+y 2=2ax .解 圆x 2+y 2=2ax 的参数方程为x =a +a cos θ, y =a sin θ, 0≤θ≤2π,故 ⎰-=Lydx xdy A 21 ⎰-⋅-⋅+=πθθθθθ20)]sin (sin cos )cos 1([21d a a a a 2202)cos 1(2a d a ⎰=+=ππθθ.3. 计算曲线积分⎰+-L y x xdy ydx )(222, 其中L 为圆周(x -1)2+y 2=2, L 的方 向为逆时针方向.解 )(222y x y P +=, )(222y x x Q +-=. 当x 2+y 2≠0时 y P x Q ∂∂=∂∂0)(2)(22222222222=+--+-=y x y x y x y x . 在L 内作逆时针方向的ε小圆周l : x =εcos θ, y =εsin θ(0≤θ≤2π),在以L 和l 为边界的闭区域D ε上利用格林公式得0)(=∂∂-∂∂=+⎰⎰⎰-+dxdy y P x Q Qdy Pdx D l L ε, 即 ⎰⎰⎰+=+-=+-lL l dy Pdx Qdy Pdx Qdy Pdx . 因此 ⎰⎰+-=+-l L y x xdy ydx y x xdy ydx )(2)(22222⎰--=πθεθεθε20222222cos sin d ⎰-=-=ππθ2021d .4. 证明下列曲线积分在整个xOy 面内与路径无关, 并计算积分值:(1)⎰-++)3 ,2()1 ,1()()(dy y x dx y x ;解 P =x +y , Q =x -y , 显然P 、Q 在整个xOy 面内具有一阶连续偏 导数, 而且1=∂∂=∂∂xQ y P , 故在整个xOy 面内, 积分与路径无关.取L 为点(1, 1)到(2, 3)的直线y =2x -1, x 从1变到2, 则⎰⎰-+-=-++)3 ,2()1 ,1(21)]1(2)13[()()(dx x x dy y x dx y x ⎰=+=2125)1(dx x . (2)⎰-+-)4 ,3()2 ,1(2232)36()6(dy xy y x dx y xy ;解 P =6xy 2-y 3, Q =6x 2y -3xy 2, 显然P 、Q 在整个xOy 面内具有一阶连续偏导数, 并且2312y xy xQ y P -=∂∂=∂∂, 故积分与路径无关, 取路径 (1, 2)→(1, 4)→(3, 4)的折线, 则⎰-+-)4 ,3()2 ,1(2232)36()6(dy xy y x dx y xy236)6496()3642312=-+-=⎰⎰dx x dy y y .(3)⎰-++-)1 ,2()0 ,1(324)4()32(dy xy x dx y xy .解 P =2xy -y 4+3, Q =x 2-4xy 3, 显然P 、Q 在整个xOy 面内具有一阶连续偏导数, 并且342y x xQ y P -=∂∂=∂∂, 所以在整个xOy 面内积分与 路径无关, 选取路径为从(1, 0)→(1, 2)→(2, 1)的折线, 则⎰-++-)1 ,2()0 ,1(324)4()32(dy xy x dx y xy⎰⎰=++-=102135)1(2)41(dx x dy y .5. 利用格林公式, 计算下列曲线积分:(1)⎰-+++-Ldy x y dx y x )635()42(, 其中L 为三顶点分别为(0, 0)、 (3, 0)和(3, 2)的三角形正向边界;解 L 所围区域D 如图所示, P =2x -y +4, Q =5y +3x -6,4)1(3=--=∂∂-∂∂yP x Q , 故由格林公式,得⎰-+++-L dy x y dx y x )6315()42(dxdy y P x Q D)(∂∂-∂∂=⎰⎰ 124==⎰⎰dxdy D.(2)⎰-+-+Lx x dy ye x x dx e y x xy x y x )2sin ()sin 2cos (222, 其中L 为正 向星形线323232a y x =+(a >0);解 x e y x xy x y x P 22sin 2cos -+=, x ye x x Q 2sin 2-=,0)2cos sin 2()2cos sin 2(22=-+--+=∂∂-∂∂x x ye x x x x ye x x x x yP x Q , 由格林公式⎰-+-+L x x dy ye x x dx e y x xy x y x )2sin ()sin 2cos (2220)(=∂∂-∂∂=⎰⎰dxdy yP x Q D . (3)⎰+-+-Ldy y x x y dx x y xy )3sin 21()cos 2(2223, 其中L 为在抛物线 2x =πy 2上由点(0, 0)到)1 ,2(π的一段弧; 解 x y xy P cos 223-=, 223sin 21y x x y Q +-=,0)cos 26()6cos 2(22=--+-=∂∂-∂∂x y xy xy x y yP x Q , 所以由格林公式0)(=∂∂-∂∂=+⎰⎰⎰++-dxdy yP x Q Qdy Pdx D OB OA L , 其中L 、OA 、OB 、及D 如图所示.故 ⎰⎰++=+AB OA L Qdy Pdx Qdy Pdx4)4321(02201022πππ=+-+=⎰⎰dy y y dx . (4)⎰+--L dy y x dx y x )sin ()(22, 其中L 是在圆周22x x y -=上由点(0, 0)到点(1, 1)的一段弧.解 P =x 2-y , Q =-x -sin 2y ,0)1(1=---=∂∂-∂∂y P x Q , 由格林公式有0)(=∂∂-∂∂-=+⎰⎰⎰++dxdy y P x Q Qdy Pdx DBO AB L , 其中L 、AB 、BO 及D 如图所示.故 ⎰⎰++--=+--L OB BA dy y x dx y x dy y x dx y x )sin ()()sin ()(22222sin 4167)sin 1(102102+-=++-=⎰⎰dx x dy y .6. 验证下列P (x , y )dx +Q (x , y )dy 在整个xOy 平面内是某一函数u (x , y )的全微分, 并求这样的一个u (x , y ):(1)(x +2y )dx +(2x +y )dy ;证明 因为yP x Q ∂∂==∂∂2, 所以P (x , y )dx +Q (x , y )dy 是某个定义在整 个xOy 面内的函数u (x , y )的全微分.⎰++++=),()0,0()2()2(),(y x C dy y x dx y x y x u C y xy x +++=22222. (2)2xydx +x 2dy ;解 因为y P x x Q ∂∂==∂∂2, 所以P (x , y )dx +Q (x , y )dy 是某个定义在整个 xOy 面内的函数u (x , y )的全微分.⎰++=),()0,0(22),(y x C dy x xydx y x u ⎰⎰+=++=y yC y x C xydx dy 00220. (3)4sin x sin3y cos xdx –3cos3y cos2xdy解 因为yP x y x Q ∂∂==∂∂2sin 3cos 6, 所以P (x , y )dx +Q (x , y )dy 是某个 定义在整个xOy 平面内的函数u (x , y )的全微分.⎰+-=),()0,0(2cos 3cos 3cos 3sin sin 4),(y x C xdy y xdx y x y x u C y x C xdy y dx xy +-=+-+=⎰⎰3sin 2cos 2cos 3cos 3000. (4)dy ye y x x dx xy y x y )128()83(2322++++解 因为yP xy x x Q ∂∂=+=∂∂1632, 所以P (x , y )dx +Q (x , y )dy 是某个定 义在整个xOy 平面内的函数u (x , y )的全微分. ⎰+++++=),()0,0(232)128()823(),(y x y C dy ye y x x dx xy iy xh y x u C dx xy y x dy ye yx y +++=⎰⎰0022)83(12C e ye y x y x y y +-++=)(124223.(5)dy y x x y dx x y y x )sin sin 2()cos cos 2(22-++解 因为yP y x x y x Q ∂∂=-=∂∂sin 2cos 2, 所以P (x , y )dx +Q (x , y )dy 是 某个函数u (x , y )的全微分 ⎰⎰+-+=x y C dy y x x y xdx y x u 002)sin sin 2(2),( C y x x y ++=cos sin 22.7. 设有一变力在坐标轴上的投影为X =x +y 2, Y =2xy -8, 这变力确 定了一个力场, 证明质点在此场内移动时, 场力所做的功与路径无关. 解 场力所作的功为⎰Γ-++=dy xy dx y x W )82()(2. 由于yX y x Y ∂∂==∂∂2, 故以上曲线积分与路径无关, 即场力所作的功 与路径无关.习题10-41. 设有一分布着质量的曲面∑, 在点(x , y , z )处它的面密度为μ(x , y , z ), 用对面积的曲面积分表达这曲面对于x 轴的转动惯量.解. 假设μ(x , y , z )在曲面∑上连续, 应用元素法, 在曲面∑上任意一点(x , y , z )处取包含该点的一直径很小的曲面块dS (它的面积也记做dS ), 则对于x 轴的转动惯量元素为dI x =(y 2+z 2)μ(x , y , z )dS ,对于x 轴的转动惯量为dS z y x z y I x ),,()(22μ+=∑⎰⎰.2. 按对面积的曲面积分的定义证明公式dS z y x f dS z y x f dS z y x f ),,(),,(),,(21∑∑∑⎰⎰⎰⎰⎰⎰+=,其中∑是由∑1和∑2组成的.证明 划分∑1为m 部分, ∆S 1, ∆S 2, ⋅⋅⋅, ∆S m ;划分∑2为n 部分, ∆S m +1, ∆S m +2, ⋅⋅⋅, ∆S m +n ,则∆S 1, ⋅⋅⋅, ∆S m , ∆S m +1, ⋅⋅⋅, ∆S m +n 为∑的一个划分, 并且i i i i nm m i i i i i m i i i i i n m i S f S f S f ∆∑+∆∑=∆∑++==+=),,(),,(),,(111ζηξζηξζηξ. 令}{max 11i mi S ∆=≤≤λ, }{max 12i n m i m S ∆=+≤≤+λ, } ,max{21λλλ=, 则当 λ→0时, 有dS z y x f dS z y x f dS z y x f ),,(),,(),,(21∑∑∑⎰⎰⎰⎰⎰⎰+=.3. 当∑是xOy 面内的一个闭区域时, 曲面积分dSz y x f ),,(∑⎰⎰与二重积分有什么关系?解 ∑的方程为z =0, (x , y )∈D ,dxdy dxdy z z dS y x=++=221, 故 dxdy z y x f dS z y x f D),,(),,(⎰⎰⎰⎰=∑.4. 计算曲面积分dS z y x f ),,(∑⎰⎰, 其中∑为抛物面z =2-(x 2+y 2)在xOy 面上方的部分, f (x , y , z )分别如下:(1) f (x , y , z )=1;解 ∑: z =2-(x 2+y 2), D xy : x 2+y 2≤2,dxdy y x dxdy z z dS y x22224411++=++=. 因此 dxdy y x dS z y x f xyD 22441),,(++=⎰⎰⎰⎰∑ ⎰⎰+=πθ2020241rdr r d ππ313])41(121[2202/32=+=r . (2) f (x , y , z )=x 2+y 2;解 ∑: z =2-(x 2+y 2), D xy : x 2+y 2≤2, dxdy y x dxdy z z dS y x22224411++=++=. 因此 dxdy y x y x dS z y x f xyD 2222441)(),,(+++=⎰⎰⎰⎰∑ ⎰⎰+=πθ2020241rdr r d ππ301494122022=+=⎰rdr r r . (3) f (x , y , z )=3z .解 ∑: z =2-(x 2+y 2), D xy : x 2+y 2≤2,dxdy y x dxdy z z dS y x22224411++=++=. 因此 dS z y x f ),,(∑⎰⎰dxdy y x y x xyD 2222441)](2[3+++-=⎰⎰⎰⎰+-=πθ20202241)2(3rdr r r d ππ1011141)2(62022=+-=⎰rdr r r . 5. 计算dS y x )(22+∑⎰⎰, 其中∑是: (1)锥面22y x z +=及平面z =1所围成的区域的整个边界曲面;解 将∑分解为∑=∑1+∑2, 其中∑1: z =1 , D 1: x 2+y 2≤1, dS =dxdy ;∑1:22y x z +=, D 2: x 2+y 2≤1, dxdy dxdy z z dS y x2122=++=. dS y x dS y x dS y x )()()(22222221+++=+∑∑∑⎰⎰⎰⎰⎰⎰ dxdy y x dxdy y x D D )()(222221+++=⎰⎰⎰⎰⎰⎰=πθ20103dr r d +⎰⎰πθ201032dr r d πππ221222+=+=. 提示: dxdy dxdy yx y y x x dS 21222222=++++=.(2)锥面z 2=3(x 2+y 2)被平面z =0及z =3所截得的部分. 解 ∑:223y x z +=, D xy : x 2+y 2≤3,dxdy dxdy z z dS y x2122=++=, 因而 πθπ922)()(302202222==+=+⎰⎰⎰⎰⎰⎰∑rdr r d dxdy y x dS y x xy D . 提示: dxdy dxdy y x y y x x dS 2])(326[])(326[1222222=++++=.6. 计算下面对面积的曲面积分:(1)dS y x z )342(++∑⎰⎰, 其中∑为平面1432=++z y x 在第一象限中的部分;解 y x z 3424:--=∑, x y x D xy 2310 ,20 :-≤≤≤≤, dxdy z z dS y x 221++=dxdy 361=, 61436143614)342(==⋅=++⎰⎰⎰⎰⎰⎰∑dxdy dxdy dS y x z xy xyD D . (2)dS z x x xy )22(2+--∑⎰⎰, 其中∑为平面2x +2y +z =6在第一象限中的部分;解 ∑: z =6-2x -2y , D xy : 0≤y ≤3-x , 0≤x ≤3,dxdy dxdy z z dS y x3122=++=, dS z x x xy )22(2+--∑⎰⎰ dxdy y x x x xy xyD 3)22622(2--+--=⎰⎰⎰⎰--+--=x dy y xy x x dx 30230)22236(3 427)9103(33023-=+-=⎰dx x x . (3)dS z y x )(++∑⎰⎰, 其中∑为球面x 2+y 2+z 2=a 2上z ≥h (0<h <a )的部分;解 ∑:222y x a z --=, D xy : x 2+y 2≤a 2-h 2,dxdy z z dS y x 221++=dxdy y x a a 222--=,dxdy yx a a y x a y x dS z y x xy D 222222)()(----++=++⎰⎰⎰⎰∑ )(||22h a a D a adxdy xy D xy-===⎰⎰π(根据区域的对称性及函数的奇偶性).提示: dxdy yx a y y x a x dS 22222222)()(1+--++--+=dxdy y x a a 222--=, (4)dS zx yz xy )(++∑⎰⎰, 其中∑为锥面22y x z +=被x 2+y 2=2ax所截得的有限部分.解 ∑: 22y x z +=, D xy : x 2+y 2≤2ax ,dxdy dxdy z z dS y x2122=++=, dxdy y x y x xy dS zx yz xy xyD ])([2)(22+++=++⎰⎰⎰⎰∑ ⎰⎰++=-θππθθθθcos 202222)]sin (cos cos sin [2a rdr q r r dθθθθθθππd a )cos sin cos cos (sin 24422554⎰-++= 421564a =. 提示: dxdy yx y y x x dS 2222221++++=. 7. 求抛物面壳)10)((2122≤≤+=z y x z 的质量, 此壳的面密度为μ=z .解 ∑: )(2122y x z +=, D xy : x 2+y 2≤2, dxdy y x dxdy z z dS y x222211++=++=.故 dxdy y x y x zdS M xyD 22221)(21+++==⎰⎰⎰⎰∑ ⎰⎰+=πθ202022121rdr r r d )136(152+=π. 8. 求面密度为μ0的均匀半球壳x 2+y 2+z 2=a 2(z ≥0)对于z 轴的转动惯量. 解 ∑: 222y x a z --=, D xy : x 2+y 2≤a 2,dxdy z z dS y x 221++=dxdy yx a a 222--=, dxdy y x a a y x dS y x I z 222022022)()(--+=+=∑∑⎰⎰⎰⎰μμ ⎰⎰-=a dr ya r d a 0223200πθμ 4034a πμ=.提示:dxdy yx a y y x a x dS 22222222)()(1---+---+=dxdy y x a a 222--=.习题10-51. 按对坐标的曲面积分的定义证明公式:dydz z y x P z y x P )],,(),,([21±∑⎰⎰dydz z y x P dydz z y x P )],,(),,(21∑∑⎰⎰⎰⎰±=.解 证明把∑分成n 块小曲面∆S i (∆S i 同时又表示第i 块小曲面的面 积), ∆S i 在yOz 面上的投影为(∆S i )yz , (ξi , ηi ,ζi )是∆S i 上任意取定的一点, λ是各小块曲面的直径的最大值, 则dydzz y x P z y x P )],,(),,([21±∑⎰⎰ yz i i i i i i i n i S P P ))](,(),([lim ,2,110∆±==→∑ζηξζηξλyz i i i i ni yz i i i i n i S P S P ))(,(lim ))(,(lim ,210,110∆±∆==→=→∑∑ζηξζηξλλ dydz z y x P dydz z y x P )],,(),,(21∑∑⎰⎰⎰⎰±=.2. 当∑为xOy 面内的一个闭区域时, 曲面积分dxdy z y x R ),,(∑⎰⎰与二重积分有什么关系?解 因为∑: z =0, (x , y )∈D xy , 故dxdy z y x R dxdy z y x R xyD ),,(),,(⎰⎰⎰⎰±=∑,当∑取的是上侧时为正号, ∑取的是下侧时为负号.3. 计算下列对坐标的曲面积分:(1)zdxdy y x 22∑⎰⎰其中∑是球面x 2+y 2+z 2=R 2的下半部分的下侧;解 ∑的方程为222y x R z ---=, D xy : x 2+y 2≤R , 于是zdxdy y x 22∑⎰⎰dxdy y x R y x xyD )(22222----=⎰⎰ ⎰⎰⋅-⋅⋅=πθθθ20222202sin cos rdr r R r r d R⎰⎰-=πθθ20052222sin 41R dr r r R d 71052R π=. (2)ydzdx xdydz zdxdy ++∑⎰⎰, 其中z 是柱面x 2+y 2=1被平面z =0及z =3所截得的第一卦限内的部分的前侧;解 ∑在xOy 面的投影为零, 故0=∑⎰⎰zdxdy .∑可表示为21y x -=, (y , z )∈D yz ={(y , z )|0≤y ≤1, 0≤z ≤3}, 故 ⎰⎰⎰⎰⎰⎰⎰-=-=-=∑3010102221311dy y dy y dz dydz y xdyz yz D ∑可表示为21x y -=, (z , x )∈D zx ={(z , x )|0≤z ≤3, 0≤x ≤1}, 故dzdx x ydzdx zx D 21-=⎰⎰⎰⎰∑⎰⎰⎰-=-=30101022131dx x dx x dz . 因此 ydzdx xdydz zdxdy ++∑⎰⎰)13(2102dx x ⎰-=ππ2346=⨯=. 解法二 ∑前侧的法向量为n =(2x , 2y , 0), 单位法向量为)0 , ,(1)cos ,cos ,(cos 22y x y x +=γβα, 由两种曲面积分之间的关系,dS z y x ydzdx xdydz zdxdy )cos cos cos (γβα++=++∑∑⎰⎰⎰⎰π23)(222222==+=+⋅++⋅=∑∑∑⎰⎰⎰⎰⎰⎰dS dS y x dS y x y y y x x x . 提示: dS ∑⎰⎰表示曲面的面积.(3)dxdy z z y x f dzdx y z y x f dydz x z y x f ]),,([]),,(2[]),,([+++++∑⎰⎰, 其中f (x , y , z )为连续函数, ∑是平面x -y +z =1在第四卦限部分的上侧; 解 曲面∑可表示为z =1-x +y , (x , y )∈D xy ={(x , y )|0≤x ≤1, 0≤y ≤x -1}, ∑上侧的法向量为n =(1, -1, 1), 单位法向量为)31 ,31 ,31()cos ,cos ,(cos -=γβα, 由两类曲面积分之间的联系可得dxdy z z y x f dzdx y z y x f dydz x z y x f ]),,([]),,(2[]),,([+++++∑⎰⎰dS z f y f x f ]cos )(cos )2(cos )[(γβα+++++=∑⎰⎰dS z f y f x f ]31)()31()2(31)(⋅++-⋅++⋅+=∑⎰⎰ 2131)(31===+-=⎰⎰⎰⎰⎰⎰∑∑dxdy dS dS z y x xyD .(4)⎰⎰∑++yzdzdx xydydz xzdxdy , 其中∑是平面x =0, y =0, z =0, x +y +z =1所围成的空间区域的整个边界曲面的外侧.解 ∑=∑1+∑2+∑3+∑4, 其中∑1: x =0, D yz : 0≤y ≤1, 0≤z ≤1-y ,∑2: y =0, D zx : 0≤z 1, 0≤x ≤1-z ,∑3: z =0, D xy : 0≤x ≤1, 0≤y ≤1-x ,∑4: z =1-x -y , D xy : 0≤x ≤1, 0≤y ≤1-x ,于是 ⎰⎰⎰⎰⎰⎰⎰⎰⎰⎰∑∑∑∑∑+++=4321xzdxdy xzdxdy 4000∑⎰⎰+++= dxdy y x x xy D )1(--=⎰⎰⎰⎰-=--=1010241)1(x dy y x xdx . 由积分变元的轮换对称性可知241⎰⎰⎰⎰∑∑==yzdzdx xydydz . 因此⎰⎰∑=⨯=++812413yzdzdx xydydz xzdxdy .解 ∑=∑1+∑2+∑3+∑4, 其中∑1、∑2、∑3是位于坐标面上的三块; ∑4: z =1-x -y , D xy : 0≤x ≤1, 0≤y ≤1-x .显然在∑1、∑2、∑3上的曲面积分均为零, 于是⎰⎰∑++yzdzdx xydydz xzdxdyyzdzdx xydydz xzdxdy ++=∑⎰⎰4dS xz yz xy )cos cos cos (4γβα++=∑⎰⎰dS xz yz xy )(34++=∑⎰⎰81)]1)(([3=--++=⎰⎰dxdy y x y x xy xyD . 4. 把对坐标的曲面积分dxdy z y x R dzdx z y x Q dydz z y x P ),,(),,(),,(++∑⎰⎰化成对面积的曲面积分:(1)∑为平面63223=++z y x 在第一卦限的部分的上侧;解 令63223),,(-++=z y x z y x F , ∑上侧的法向量为:)32 ,2 ,3(),,(==z y x F F F n ,单位法向量为)32 ,2 ,3(51)cos ,cos ,(cos =γβα, 于是 Rdxdy Qdzdx Pdydz ++∑⎰⎰dS R Q P )cos cos cos (γβα++=∑⎰⎰dS R Q P )3223(51++=∑⎰⎰. (2)∑是抛物面z =8-(x 2+y 2)在xOy 面上方的部分的上侧.解 令F (x , y , z )=z +x 2+y 2-8, ∑上侧的法向量n =(F x , F y , F z )=(2x , 2y , 1),单位法向量为)1 ,2 ,2(4411)cos ,cos ,(cos 22y x y x ++=γβα, 于是 Rdxdy Qdzdx Pdydz ++∑⎰⎰dS R Q P )cos cos cos (γβα++=∑⎰⎰dS R yQ xP yx )22(441122++++=∑⎰⎰.10-61. 利用高斯公式计算曲面积分:(1)⎰⎰∑++dxdy z dzdx y dydz x 222, 其中∑为平面x =0, y =0, z =0, x =a ,y =a , z =a 所围成的立体的表面的外侧;解 由高斯公式原式dv z y x dv z R y Q x P )(2)(++=∂∂+∂∂+∂∂=ΩΩ⎰⎰⎰⎰⎰⎰ ⎰⎰⎰⎰⎰⎰===Ωaa a a dz dy xdx xdv 0400366(这里用了对称性).(2)⎰⎰∑++dxdy z dzdx y dydz x 333, 其中∑为球面x 2+y 2+z 2=a 2的外侧;解 由高斯公式原式dv z y x dv z R y Q x P )(3)(222++=∂∂+∂∂+∂∂=ΩΩ⎰⎰⎰⎰⎰⎰ ⎰⎰⎰=ππϕϕθ20004sin 3a dr r d d 5512a π=. (3)⎰⎰∑++-+dxdy z y xy dzdx z y x dydz xz )2()(2322, 其中∑为上半球体 x 2+y 2≤a 2, 2220y x a z --≤≤的表面外侧;解 由高斯公式原式dv y x z d z R y Q x P )()(222++=∂∂+∂∂+∂∂=ΩΩ⎰⎰⎰⎰⎰⎰ ⎰⎰⎰=ππϕϕθ2020022sin a dr r r d d 552a π=. (4)⎰⎰∑++zdxdy ydzdx xdydz 其中∑界于z =0和z =3之间的圆柱体x 2+y 2≤9的整个表面的外侧;解 由高斯公式原式π813)(==∂∂+∂∂+∂∂=ΩΩ⎰⎰⎰⎰⎰⎰dv dv z R y Q x P . (5)⎰⎰∑+-yzdxdy dzdx y xzdydz 24,其中∑为平面x =0, y =0, z =0, x =1,y =1, z =1所围成的立体的全表面的外侧.解 由高斯公式原式dv y y z dv z R y Q x P )24()(+-=∂∂+∂∂+∂∂=ΩΩ⎰⎰⎰⎰⎰⎰ ⎰⎰⎰=-=10101023)4(dz y z dy dx . 2. 求下列向量A 穿过曲面∑流向指定侧的通量: (1)A =yz i +xz j +xy k , ∑为圆柱x +y 2≤a 2(0≤z ≤h )的全表面, 流向外侧; 解 P =yz , Q =xz , R =xy ,⎰⎰∑++=Φxydxdy xzdzdx yzdydzdv z xy y xz x yz ))()()((∂∂+∂∂+∂∂=Ω⎰⎰⎰00==Ω⎰⎰⎰dv . (2)A =(2x -z )i +x 2y j - xz 2k , ∑为立方体0≤x ≤a , 0≤y ≤a , 0≤z ≤a ,的全表面, 流向外侧;解 P =2x -z , Q =x 2y , R =-xz 2,⎰⎰∑++=ΦRdxdy Qdzdx Pdydzdv xz x dv z r y Q x P )22()(2-+=∂∂+∂∂+∂∂=ΩΩ⎰⎰⎰⎰⎰⎰ ⎰⎰⎰-=-+=a a a a a dz xz x dy dx 023200)62()22(. (3)A =(2x +3z )i -(xz +y )j +(y 2+2z )k , ∑是以点(3, -1, 2)为球心, 半径R =3的球面, 流向外侧.解 P =2x +3z , Q =-(xz +y ), R =y 2+2z ,⎰⎰∑++=ΦRdxdy Qdzdx Pdydzdv dv z R y Q x P )212()(+-=∂∂+∂∂+∂∂=ΩΩ⎰⎰⎰⎰⎰⎰π1083==Ω⎰⎰⎰dv . 3. 求下列向量A 的散度:(1)A =(x 2+yz )i +(y 2+xz )j +(z 2+xy )k ;解 P =x 2+yz , Q =y 2+xz , R =-z 2+xy ,)(2222div z y x z y x zR y Q x P ++=++=∂∂+∂∂+∂∂=A . (2)A =e xy i +cos(xy )j +cos(xz 2)k ;解 P =e xy , Q =cos(xy ), R =cos(xz 2),)sin(2sin div 2xz xz xy x ye zR y Q x P xy --=∂∂+∂∂+∂∂=A . (3)A =y 2z i +xy j +xz k ;解 P =y 2, Q =xy , R =xz ,x x x zR y Q x P 20div =++=∂∂+∂∂+∂∂=A . 4. 设u (x , y , z )、v (x , y , z )是两个定义在闭区域Ω上的具有二阶连续 偏导数的函数, n u ∂∂, nv ∂∂依次表示u (x , y , z )、v (x , y , z )沿∑的外法线方向 的方向导数. 证明dS n u v n v u dxdydz u v v u )()∂∂-∂∂=∆-∆⎰⎰⎰⎰⎰∑Ω, 其中∑是空间闭区间Ω的整个边界曲面, 这个公式叫作林第二公式. 证明 由第一格林公式(见书中例3)知dxdydz z v y v x v u )(222222∂∂+∂∂+∂∂Ω⎰⎰⎰ dxdydz z v z u y v y u x v x u dS n v u )(∂∂∂∂+∂∂∂∂+∂∂∂∂-∂∂=⎰⎰⎰⎰⎰∑Ω, dxdydz z u y u x u v )(222222∂∂+∂∂+∂∂Ω⎰⎰⎰dxdydz z v z u y v y u x v x u dS n u v )(∂∂∂∂+∂∂∂∂+∂∂∂∂-∂∂=⎰⎰⎰⎰⎰∑Ω. 将上面两个式子相减, 即得dxdyd z u y u x u v z v y v x v u )]()([222222222222∂∂+∂∂+∂∂-∂∂+∂∂+∂∂Ω⎰⎰⎰ ⎰⎰∑∂∂-∂∂=dS n u v n v u )(. 5. 利用高斯公式推证阿基米德原理: 浸没在液体中所受液体的压力 的合力(即浮力)的方向铅直向上, 大小等于这物体所排开的液体的重力. 证明 取液面为xOy 面, z 轴沿铅直向下, 设液体的密度为ρ, 在物 体表面∑上取元素dS 上一点, 并设∑在点(x , y , z )处的外法线的方向余 弦为cos α, cos β, cos γ, 则dS 所受液体的压力在坐标轴x , y , z 上的分量 分别为-ρz cos αdS , -ρz cos β dS , -ρz cos γ dS ,∑所受的压力利用高斯公式进行计算得00cos ==-=Ω∑⎰⎰⎰⎰⎰dv dS z F x αρ,00cos ==-=Ω∑⎰⎰⎰⎰⎰dv dS z F y βρ,||cos Ω-=-=-=-=ΩΩ∑⎰⎰⎰⎰⎰⎰⎰⎰ρρργρdv dv dS z F z ,其中|Ω|为物体的体积. 因此在液体中的物体所受液体的压力的合力, 其方向铅直向上, 大小等于这物体所排开的液体所受的重力, 即阿基 米德原理得证.习题10-71. 利用斯托克斯公式, 计算下列曲线积分:(1)⎰Γ++xdz zdy ydx , 其中Γ为圆周x 2+y 2+z 2=a 2, , 若从z 轴 的正向看去, 这圆周取逆时针方向;解 设∑为平面x +y +z =0上Γ所围成的部分, 则∑上侧的单位法向量为)31,31,31()cos ,cos ,(cos ==γβαn .于是 ⎰Γ++xdz zdy ydx dS x z y zy x ∂∂∂∂∂∂=∑⎰⎰γβαcos cos cos 2333)cos cos cos (a dS dS πγβα-=-=---=∑∑⎰⎰⎰⎰.提示:dS ∑⎰⎰表示∑的面积, ∑是半径为a 的圆.(2)⎰Γ-+-+-dz y x dy x z dz z y )()()(, 其中Γ为椭圆x 2+y 2=a 2, 1=+b z a x(a >0, b >0), 若从x 轴正向看去, 这椭圆取逆时针方向;解 设∑为平面1=+b z a x 上Γ所围成的部分, 则∑上侧的单位法向量为) ,0 ,()cos ,cos ,(cos 2222b a b b a b ++==γβαn . 于是 ⎰Γ-+-+-dz y x dy x z dx z y )()()(dS y x x z z y zy x ---∂∂∂∂∂∂=∑⎰⎰γβαcos cos cos dS b a b a dS ∑∑⎰⎰⎰⎰++-=---=22)(2)cos 2cos 2cos 2(γβα)(2)(2)(22222b a a dxdy a b a dxdy a b a b a b a xyxyD D +-=+-=+++-=⎰⎰⎰⎰π.提示: ∑(即x ab b z -=)的面积元素为dxdy a b a dxdy a b dS 222)(1+=+=.(3)⎰Γ+-dz yz xzdy ydx 23, 其中Γ为圆周x 2+y 2=2z , z =2, 若从z 轴的正向看去, 这圆周是取逆时针方向;解 设∑为平面z =2上Γ所围成的部分的上侧, 则⎰Γ+-dz yz xzdy ydx 2323yz xz y zy x dxdydzdx dydz -∂∂∂∂∂∂=∑⎰⎰ ππ2025)3()(22-=⨯-=+-+=∑⎰⎰dxdy z dydz x z .(4)⎰Γ-+dz z xdy ydx 232, 其中Γ为圆周x 2+y 2+z 2=9, z =0, 若从z 轴的正向看去, 这圆周是取逆时针方向.解 设∑为xOy 面上的圆x 2+y 2≤9的上侧, 则⎰Γ-+dz z xdy ydx 232232z x y zy x dxdydzdx dydz -∂∂∂∂∂∂=∑⎰⎰ π9===⎰⎰⎰⎰∑dxdy dxdy xyD .2. 求下列向量场A 的旋度: (1)A =(2z -3y )i +(3x -z )j +(-2x )k ;解 k j i kj i A 6422332++=---∂∂∂∂∂∂=x y z x y z z y x rot . (2)A =(sin y )i -(z -x cos y )k ;解 j i kji A +=--+∂∂∂∂∂∂=0)cos (sin y x z y z z yx rot . (3)A =x 2sin y i +y 2sin(xz )j +xy sin(cos z )k .解 )sin(cos )sin(sin 22z xy xz y y x z y x ∂∂∂∂∂∂=kj i A rot=[x sin(cos z )-xy 2cos(xz )]i -y sin(cos z )j +[y 2z cos(xz )-x 2cos y ]k . 3. 利用斯托克斯公式把曲面积分dS n A ⋅∑⎰⎰rot 化为曲线积分, 并计算积分值,其中A 、∑及n 分别如下:(1)A =y 2i +xy j +xz k , ∑为上半球面221y x z --=, 的上侧, n 是∑的 单位法向量;解 设∑的边界Γ : x 2+y 2=1, z =0, 取逆时针方向, 其参数方程为 x =cos θ, y =sin θ, z =0(0≤θ≤2π, 由托斯公式dS n A ⋅∑⎰⎰rot ⎰Γ++=Rdz Qdy Pdx ⎰Γ++=xzdz xydy dx y 2⎰=+-=πθθθθθ20220]sin cos )sin ([sin d .(2)A =(y -z )i +yz j -xz k , ∑为立方体0≤x ≤2, 0≤y ≤2, 0≤z ≤2的表面外侧 去掉xOy 面上的那个底面, n 是∑的单位法向量. 解dS n A ⋅∑⎰⎰rot ⎰Γ++=Rdz Qdy Pdx⎰Γ-++-=dz xz yzdy dx x y )()(⎰⎰Γ-===0242dx ydx .4. 求下列向量场A 沿闭曲线Γ(从z 轴正向看依逆时针方向)的环流量: (1)A =-y i +x j +c k (c 为常量), Γ为圆周x 2+y 2=1, z =0; 解θθθθθπd cdz xdy ydx L ]cos cos )sin ()(sin [(20+--=++-⎰⎰⎰==ππθ202d .(2)A =(x -z )i +(x 3+yz )j -3xy 2k , 其中Γ为圆周222y x z +-=, z =0. 解 有向闭曲线Γ的参数方程为x =2cos θ, y =2sin θ, z =0(0≤π≤2π). 向量场A 沿闭曲线Γ的环流量为⎰⎰-++-=++LL dz xy dy yz x dx z x Rdz Qdy Pdx 223)()(。
侯风波版《高等数学》练习答案第一章函数习题函数一、填空题:略.二、略.三、图略.四、图略;«Skip Record If...»,«Skip Record If...»,«Skip Record If...».五、1.函数«Skip Record If...»与«Skip Record If...»不相同;2.函数«Skip Record If...»与«Skip Record If...»是同一个函数.六、«Skip Record If...».七、1. «Skip Record If...»;2. «Skip Record If...»;3. «Skip Record If...»;4. «Skip Record If...».第二章极限与连续习题一极限的概念一、判断题:略.二、图略;«Skip Record If...»=0.三、(1)«Skip Record If...»无定义,«Skip Record If...»,«Skip Record If...»;(2)«Skip Record If...»;«Skip Record If...»;«Skip Record If...».四、左极限«Skip Record If...»;右极限«Skip Record If...»;函数在«Skip Record If...»处的极限不存在.五、(1)«Skip Record If...»;«Skip Record If...»;«Skip Record If...»不存在;(2)«Skip Record If...»«Skip Record If...»;«Skip Record If...»;(3)«Skip Record If...»;«Skip Record If...»;«Skip Record If...»不存在.习题二极限的四则运算一、求下列极限1. «Skip Record If...»;2. «Skip Record If...»;3. «Skip Record If...»;4. «Skip Record If...».二、«Skip Record If...»;1.三、求下列极限1. «Skip Record If...»;2. «Skip Record If...»;3. «Skip Record If...»;4. «Skip Record If...».四、求下列极限1. «Skip Record If...»;2. «Skip Record If...».五、«Skip Record If...».六、«Skip Record If...».习题三两个重要极限一、求下列极限1. «Skip Record If...»;2. «Skip Record If...»;3. «Skip Record If...»;4. «Skip Record If...»;5. «Skip Record If...»;6. «Skip Record If...».二、求下列极限1. «Skip Record If...»;2. «Skip Record If...»;3. «Skip Record If...»;4. «Skip Record If...».习题四无穷小与无穷大一、1. «Skip Record If...»; 2. «Skip Record If...».二、1. «Skip Record If...»及«Skip Record If...»; 2. «Skip Record If...».三、1. «Skip Record If...»; 2. «Skip Record If...».四、求下列极限1. «Skip Record If...»;2. «Skip Record If...».五、«Skip Record If...»高阶的无穷小.六、提示:由极限运算及等价无穷小定义.习题五函数的连续与间断一、选择题:略.二、«Skip Record If...».三、1. 可去间断点是«Skip Record If...»;2. «Skip Record If...»为函数的第二类间断点;«Skip Record If...»为函数的跳跃间断点.四、求下列极限1. «Skip Record If...»;2. «Skip Record If...»;3. «Skip Record If...»;4. «Skip Record If...».五、«Skip Record If...»为函数的定义区间,即为函数的连续区间.第三章导数与微分习题一导数的定义一、1. «Skip Record If...»;2. «Skip Record If...».二、«Skip Record If...».三、«Skip Record If...».四、左导数 «Skip Record If...»,右导数为 «Skip Record If...»,函数在«Skip Record If...»处的导数不存在.五、在(1«Skip Record If...»,1)点处切线平行于直线.习题二导数的四则运算一、填空题:略.二、求下列函数的导数1. «Skip Record If...»;2. «Skip Record If...»;3. «Skip Record If...»;4. «Skip Record If...»;5. «Skip Record If...»;6. «Skip Record If...».三、①定义域«Skip Record If...»即为函数的连续区间;② «Skip Record If...»;③由定义,«Skip Record If...»;④ «Skip Record If...».习题三复合函数求导一、填空题:略.二、求下列函数的导数1. «Skip Record If...»;2. «Skip Record If...»;3. «Skip Record If...»;4. «Skip Record If...»;5. «Skip Record If...»;6. «Skip Record If...».三、«Skip Record If...»;«Skip Record If...».四、«Skip Record If...».习题四隐函数对数函数求导高阶导数一、是非题:略.二、求下列方程所确定的隐函数«Skip Record If...»的导数1. «Skip Record If...»;2. «Skip Record If...».三、用对数求导法求下列函数的导数1.«Skip Record If...»«Skip Record If...»«Skip Record If...»2. «Skip Record If...».四、切线方程为«Skip Record If...».五、求下列函数的二阶导数1. «Skip Record If...»;2. «Skip Record If...»;3. «Skip Record If...»;4. «Skip Record If...»«Skip Record If...».习题五微分一、填空题:略.二、求下列函数的微分1. «Skip Record If...»;2. «Skip Record If...»;3. «Skip Record If...»;4. «Skip Record If...».三、求方程所确定的隐函数«Skip Record If...»的微分«Skip Record If...»1. «Skip Record If...»;2. «Skip Record If...».四、利用微分计算下列各数的近似值1. «Skip Record If...»;2. «Skip Record If...».五、球的体积扩大约为«Skip Record If...».第四章微分学的应用习题一洛必达法则一、是非题:略.二、求下列各式的极限1. «Skip Record If...»;2. «Skip Record If...»;3. «Skip Record If...»;4. «Skip Record If...».三、求下列各式的极限1. «Skip Record If...»;2. «Skip Record If...».四、求下列极限1. «Skip Record If...»;2. «Skip Record If...»;3. «Skip Record If...»;4.«Skip Record If...»;5. «Skip Record If...»;6. «Skip Record If...».习题二函数的单调性一、单项选择题:略.二、求下列函数的单调区间1. 单增区间«Skip Record If...»,单减区间«Skip Record If...»;2. 单增区间«Skip Record If...»,单减区间«Skip Record If...»;3. 单增区间«Skip Record If...»,单减区间«Skip Record If...»;4. 单增区间«Skip Record If...»,单减区间«Skip Record If...».三、提示:利用函数单调性证明.四、单调递增区间«Skip Record If...»,单调递减区间«Skip Record If...».习题三函数的极值一、单项选择题:略.二、1.«Skip Record If...»; 2.«Skip Record If...»; 3. 极小值; 4. «Skip Record If...».三、最大值为«Skip Record If...»,最小值为«Skip Record If...».四、极大值为«Skip Record If...»,极小值为«Skip Record If...».五、当直径«Skip Record If...»与高«Skip Record If...»之比为«Skip Record If...»时,所用的材料最少.习题四曲线的凹凸性与拐点一、填空题:略.二、曲线在«Skip Record If...»及«Skip Record If...»内上凹,在«Skip Record If...»内下凹,拐点为«Skip Record If...»和«Skip Record If...».三、函数在«Skip Record If...»上的极大值为«Skip Record If...»,极小值为«Skip Record If...»;最大值为«Skip Record If...»,最小值为«Skip Record If...»;拐点为«Skip Record If...».四、示意图:第五章不定积分习题一不定积分的概念与基本公式一、填空题:略.二、选择题:略.三、计算下列不定积分1. «Skip Record If...»;2. «Skip Record If...»;3. «Skip Record If...»;4. «Skip Record If...».四、求解下列各题1. «Skip Record If...»;2. «Skip Record If...»;3.所求函数为«Skip Record If...».习题二不定积分的换元积分法一、填空题:略.二、选择题:略.三、多步填空题:略.四、计算下列不定积分1. «Skip Record If...»;2. «Skip Record If...»;3. «Skip Record If...»;4. «Skip Record If...»;5. «Skip Record If...»;6. «Skip Record If...».习题三分部积分法简单有理函数的积分一、填空题:略.二、多步填空题:略.三、求下列不定积分1. «Skip Record If...»;2. «Skip Record If...»;3. «Skip Record If...»;4. «Skip Record If...»;5. «Skip Record If...»;6. «Skip Record If...».四、«Skip Record If...»«Skip Record If...».第六章定积分习题一定积分的概念微积分基本公式一、选择题:略.二、求下列定积分1. «Skip Record If...»;2. «Skip Record If...»;3. «Skip Record If...»;4. «Skip Record If...»;5. «Skip Record If...»;6. «Skip Record If...».三、解答下列各题1. «Skip Record If...»;2. «Skip Record If...»;3. «Skip Record If...».习题二定积分的换元积分法与分部积分法一、填空题:略.二、求下列定积分1. «Skip Record If...»;2. «Skip Record If...»;3. «Skip Record If...»;4. «Skip Record If...»;5. «Skip Record If...»;6. «Skip Record If...»;7. «Skip Record If...»;8. «Skip Record If...».习题三定积分的应用一、«Skip Record If...».二、«Skip Record If...».三、(1)«Skip Record If...»;(2)«Skip Record If...».四、两部分面积比为«Skip Record If...»:«Skip Record If...»= «Skip Record If...»:«Skip Record If...».五、«Skip Record If...».六、«Skip Record If...».习题四反常积分一、填空题:略.二、选择题:略.三、计算下列广义积分1.«Skip Record If...»;2. «Skip Record If...».四、«Skip Record If...»发散.第七章常微分方程习题一常微分方程的基本概念与分离变量法一、判断正误:略.二、填空题:略.三、多步填空题:略.四、求解下列各题1.«Skip Record If...»(其中«Skip Record If...»为任意常数);2. 冷却规律为«Skip Record If...».习题二一阶线性微分方程一、填空题:略.二、多步填空题:略.三、通解为«Skip Record If...»(其中«Skip Record If...»为任意常数).习题三二阶常系数齐次线性微分方程一、填空题:略.二、多步填空题:略.三、求下列微分方程的通解1. «Skip Record If...»«Skip Record If...»;2. «Skip Record If...»«Skip Record If...»;3. «Skip Record If...»«Skip Record If...»;4. «Skip Record If...»«Skip Record If...».四、«Skip Record If...».习题四二阶常系数非齐次线性微分方程一、填空题:略.二、多步填空题:略.三、«Skip Record If...».四、求下列微分方程满足初始条件的特解(1)«Skip Record If...»;(2)«Skip Record If...».第八章空间解析几何习题一空间直角坐标系与向量的概念一、填空题:略.二、选择题:略.三、求解下列问题1. «Skip Record If...»;2. «Skip Record If...»;3. «Skip Record If...»和 «Skip Record If...»;4. «Skip Record If...».习题二向量的点积与叉积一、是非题:略.二、填空题:略.三、选择题:略.三、求解下列各题1. «Skip Record If...»;2. «Skip Record If...»;3. «Skip Record If...».习题三平面和直线一、填空题:略.二、选择题:略.三、求解下列问题1. «Skip Record If...»;2. «Skip Record If...»;3. «Skip Record If...»;4. ①«Skip Record If...»;②«Skip Record If...».习题四曲面与空间曲线一、填空题:略.二、选择题:略.三、求解下列问题1. 方程为«Skip Record If...»,是旋转抛物面;2. 投影方程为«Skip Record If...»3. 投影方程为«Skip Record If...»第九章多元函数微分学习题一多元函数及其极限一、填空题:略.二、函数的定义域为«Skip Record If...»;草图三、«Skip Record If...».四、表面积«Skip Record If...»,体积«五、«Skip Record If...»=«Skip Record If...».习题二偏导数及高阶偏导数一、是非题:略.二、填空题:略.三、解下列各题1. «Skip Record If...»,«Skip Record If...»;2. «Skip Record If...»,«Skip Record If...»;3. «Skip Record If...»,«Skip Record If...»,«Skip Record If...»,«Skip Record If...»,«Skip Record If...»;4. «Skip Record If...»,«Skip Record If...»,«Skip Record If...».四、略.习题三全微分一、填空题:略.二、解答下列各题1. «Skip Record If...»;2. «Skip Record If...»;3. «Skip Record If...»;4. «Skip Record If...».三、«Skip Record If...».四、对角线变化约为«Skip Record If...».五、所需水泥的近似值为«Skip Record If...».习题四复合函数的偏导数一、填空题:略.二、多步填空题:略.三、解下列各题1. «Skip Record If...»;2. «Skip Record If...»,«Skip Record If...»;3. «Skip Record If...»,«Skip Record If...».习题五偏导数的几何应用一、填空题:略.二、求解下列各题1. 切线方程为 «Skip Record If...»和«Skip Record If...»;2. 切平面方程为 «Skip Record If...»=«Skip Record If...»;3. 切线方程为 «Skip Record If...»,法平面方程为 «Skip Record If...».习题六多元函数的极值一、判断题:略.二、选择题:略.三、计算下列各题1. 函数在«Skip Record If...»点取得极小值«Skip Record If...»;2. 当端面半径与半圆柱高满足«Skip Record If...»时,所用材料最省.«Skip Record If...»第十章多元函数积分学习题一二重积分及其在直角坐标系下的计算一、判断题:略.二、填空题:略.三、计算下列各题1. «Skip Record If...»;2. ①«Skip Record If...»;②«Skip Record If...»;3.«Skip Record If...».习题二极坐标下二重积分的计算及二重积分的应用一、填空题:略.二、多步填空题提示:«Skip Record If...»«Skip Record If...»«Skip Record If...»«Skip Record If...»«Skip Record If...»«Skip Record If...».三、求解下列各题1. «Skip Record If...»;(提示:化为极坐标下的二重积分);2. «Skip Record If...»;3. 薄片的质量为«Skip Record If...».第十一章级数习题一数项级数一、判断题:略.二、选择题:略.三、判断下列级数的敛散性1. «Skip Record If...»发散;2. «Skip Record If...»发散;3. «Skip Record If...»当«Skip Record If...»或«Skip Record If...»时收敛,当«Skip Record If...»时发散;4. «Skip Record If...»收敛;5. «Skip Record If...»收敛;6. «Skip Record If...»收敛.习题二幂级数一、填空题:略.二、求解下列各题1. 级数«Skip Record If...»的收敛半径为«Skip Record If...»;2. 级数«Skip Record If...»的收敛半径为«Skip Record If...»;3. 级数«Skip Record If...»的收敛域为«Skip Record If...»;4. 级数«Skip Record If...»的和函数为«Skip Record If...»;5. 级数«Skip Record If...»的和函数为«Skip Record If...».习题三函数的幂级数展开一、填空题:略.二、求解下列各题1. 展开为 «Skip Record If...»,收敛域为«Skip Record If...»;2.展开为«Skip Record If...»,收敛域为«Skip Record If...»;3. «Skip Record If...»=«Skip Record If...»,收敛区间为«Skip Record If...»;4. 展开式为«Skip Record If...»,收敛区间为«Skip Record If...».。