2019年华中师范大学文学院硕士研究生复试成绩公示 (学硕)
- 格式:pdf
- 大小:85.11 KB
- 文档页数:3
【19考研经验分享】华师文学院考研经验等了好久啊,4月25日华师的拟录取名单才出来,幸运上岸。
因为自己当初也曾同样受益于前辈们的经验分享,所以想把自己的一点经验或者说经历分享出来,给考研的同学们一些借鉴。
初试359分,专业课117和118,很一般的分数,不过自己还算满意(自己定的目标是350分)。
我的情况少见一点,跨专业,跨学历(本科结业),跨学校,报考大学生士兵专项研究生计划,各种情况都集中在了我身上,前期准备工作花了很多精力,也知道收集信息的不易,特别是报考专项计划的信息,每个学校基本很少有具体的解释,网上很难查到(华师的大学生士兵计划的复试线是240)。
很多学校对同等学力考生来说有额外的要求,比如在核心期刊发表过论文之类,或者不接收同等学力跨考。
当时,我几乎把国内(台湾香港也有看,不过要求更多[欣慰])所有一本院校的招生简章翻看了一遍,把能够报考的学校都写了下来,去看它们的参考书目,然后对照每个学校专项计划的名额,最后选了华师。
华师的大综合有点吓人,特别是对我这种没有专业基础的跨考生,中外文学史,文学理论批评,语言学几大类都包含了,又多又杂,不过好处是考察的知识点相对浅一点。
确定了学校之后,就开始买参考书看,中国文学史4本,现当代3本,外国文学史4本,文学理论、文学批评、语言学概论、现代汉语、古代汉语各一本总共是16本,大概是从17年的九月开始的,一遍看下来差不多快半年,还不包括语言学,古代汉语和现代汉语(当时还在部队服役,自己能利用的时间有限)。
这个阶段其实是最有意思的,没有什么压力,不求甚解的泛读了一遍,这个过程中还参照了川大的参考书,川大四卷本的中国文学史是繁体的,涉及的内容相对深入一点,可以作为激发兴趣点来读,但是不建议花太多时间,没有针对性。
语言学概论、古代汉语、现代汉语可以先不读,即使是跨专业的同学,可以留到后面做笔记时精读重点的知识点就可以了。
有一定专业基础的同学完全可以直接略过这一步,我自己是因为刚开始完全不知道怎么学,对考研没有概念,才把这些参考当闲书来看的。
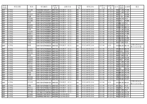
华中师范大学文学院2020年中国语言文学专业研究生复试名单序号报考研究方向名称姓名考生编号政治理论成绩外国语成绩业务课一成绩业务课二成绩总分备注1 文艺学袁萌萌105110107408939 80 67 126 116 3892 文艺学万铭汐105110107408970 77 73 120 114 3843 文艺学罗童心105110107302281 82 77 113 104 3764 文艺学陈源105110107408987 74 71 118 107 3705 文艺学邓敏萱105110107408986 72 74 119 105 3706 文艺学孔会亚105110107408946 75 60 125 108 3687 文艺学赵博文105110107302283 73 68 114 113 3688 文艺学许玉洁105110107408931 72 69 120 104 3659 文艺学胡真105110107408975 77 77 110 100 36410 文艺学郝楠105110107408907 73 78 107 106 36411 文艺学邓玉105110107408988 76 72 115 100 36312 文艺学侯菊梅105110107408958 76 67 119 99 36113 文艺学董倩倩105110107408927 75 72 109 104 36014 文艺学熊清红105110107408916 71 61 122 105 35915 文艺学欧阳萍105110107408976 77 52 120 109 35816 文艺学华烨105110107408959 70 69 115 104 35817 文艺学陈蓉105110107408909 70 77 116 95 35818 文艺学罗民105110107408943 73 68 112 102 3551 语言学及应用语言学何丽君105110107409011 73 72 134 107 3862 语言学及应用语言学鲁颜玲105110107409005 64 61 131 116 3723 语言学及应用语言学龚奕凡105110107409015 82 69 119 96 3664 语言学及应用语言学张敏105110107409008 77 59 131 97 3645 语言学及应用语言学胡辰诗105110107409000 69 80 122 87 3586 语言学及应用语言学龙迎凤105110107409019 55 41 105 87 288 少数民族骨干1 汉语言文字学吴小燕105110107409025 75 64 128 108 3752 汉语言文字学吴凡105110107409039 65 67 135 92 359 1 中国古典文献学曾芷倩105110107409052 70 75 113 113 3711 中国古代文学贾守烨105110107302321 74 75 119 110 3782 中国古代文学黄佳洁105110107302333 70 72 112 114 3683 中国古代文学覃莉105110107302339 74 68 118 107 3674 中国古代文学曹澍琪105110107409090 75 71 114 102 3625 中国古代文学聂苏雅105110107409188 69 77 109 106 3616 中国古代文学孙泽豪105110107409212 73 79 109 100 3617 中国古代文学李为为105110107409093 76 78 106 99 3598 中国古代文学陈一燃105110107409115 72 63 119 104 3589 中国古代文学闫明君105110107409150 73 64 120 100 35710 中国古代文学杨倩105110107409109 68 73 113 103 35711 中国古代文学戴军倩105110107409180 66 76 118 96 35612 中国古代文学蓝少敏105110107409062 67 66 105 95 333 少数民族骨干1 中国现当代文学艾宇佳105110107302352 82 69 121 116 3882 中国现当代文学王刘凌波105110107409407 73 74 117 120 384优秀夏令营营员3 中国现当代文学李涵105110107409310 64 74 126 113 3774 中国现当代文学王晓彤105110107409328 74 72 118 109 3735 中国现当代文学曾慧105110107302368 77 76 116 102 3716 中国现当代文学孟苛苛105110107409332 67 74 124 97 3627 中国现当代文学周功耀105110107409299 72 70 111 108 3618 中国现当代文学庄莲105110107409313 68 68 120 104 3609 中国现当代文学刘淑娇105110107409394 76 63 119 99 35710 中国现当代文学李佳欣105110107302353 71 77 106 103 35711 中国现当代文学曹潇潇105110107409298 73 66 116 100 35512 中国现当代文学金媛105110107409296 74 75 107 99 35513 中国现当代文学赵巧梅105110107409262 71 62 111 100 344 退役大学生士兵14 中国现当代文学岑晓婧105110107409396 74 50 121 106 351 少数民族骨干15 中国现当代文学杨戬帆105110107409387 76 54 103 103 336 少数民族骨干1 比较文学与世界文学侯卓灵105110107302385 76 75 120 112 3832 比较文学与世界文学黄绮105110107302377 74 75 127 106 3823 比较文学与世界文学杨彭倩105110107409488 77 75 117 108 3774 比较文学与世界文学张妍105110107409494 76 76 116 105 3735 比较文学与世界文学汪道霞105110107302378 71 65 110 120 3666 比较文学与世界文学王梦珺105110107409456 75 52 124 114 3657 比较文学与世界文学孙婧105110107409471 72 79 111 103 3658 比较文学与世界文学吴容梅105110107409505 74 75 110 104 3639 比较文学与世界文学徐颖105110107409491 72 85 102 102 36110 比较文学与世界文学邵宇欣105110107409442 72 65 116 106 3591 中国民间文学姜帅杰105110107409551 80 76 124 104 3842 中国民间文学成亚妮105110107409559 75 69 121 114 3793 中国民间文学李旭105110107409524 77 68 118 107 3704 中国民间文学张素素105110107409541 76 67 121 105 3695 中国民间文学张琴105110107409513 70 83 111 102 3666 中国民间文学何洁105110107409564 73 81 110 95 3597 中国民间文学刘文静105110107302396 74 61 119 102 356 1 对外汉语教学陈彤105110107409586 72 63 125 110 370华中师范大学文学院2020年汉语国际教育专业研究生复试名单序号姓名考生编号政治理论成绩外国语成绩业务课一成绩业务课二成绩总分1 胡姗姗105110107408843 77 77 125 125 4042 阎冬105110107408844 77 69 130 122 3983 王远远105110107408873 74 67 133 123 3974 叶佳红105110107408857 71 75 123 123 3925 丁曌105110107302255 64 71 128 126 3896 侯晓花105110107408861 75 76 113 118 3827 杨霞燕105110107408856 64 80 124 114 3828 董晴晴105110107408859 74 64 127 116 3819 廖广梅105110107408898 72 74 120 114 38010 罗诗瑶105110107408891 71 65 123 118 37711 郑琰105110107408875 77 63 125 111 37612 王柯105110107408890 78 62 122 112 37413 汪奕岑105110107302254 72 62 119 121 37414 杨逸舟105110107408896 67 82 111 114 37415 付悦105110107408874 76 63 117 114 37016 王冰清105110107408881 70 67 111 120 36817 胡文静105110107408852 73 70 119 102 36418 苏倩105110107408880 78 51 123 111 36319 李梓菁105110107408865 70 65 109 118 36220 杨文卿105110107408884 78 55 113 112 35821 代娥105110107302247 67 68 116 107 35822 周亚萍105110107408853 74 72 110 102 35823 王玉莹105110107408894 71 67 105 113 35624 王璟瑜105110107408862 64 74 106 112 35625 龙思雨105110107408871 67 59 115 113 35426 李朋105110107408885 75 68 102 109 35427 李雅姝105110107302249 69 77 96 111 35328 代陈银105110107408848 67 68 115 102 35229 姚淑鸽105110107302244 67 59 115 109 35030 唐雪105110107408855 73 49 118 109 34931 丁艺105110107408901 63 66 104 116 34932 邹杨105110107408887 71 66 101 109 347华中师范大学文学院2020年学科教学(语文)专业研究生复试名单序号姓名考生编号政治理论成绩外国语成绩业务课一成绩业务课二成绩总分1 李钰105110107408735 78 78 122 115 3932 代金稳105110107302204 81 74 126 111 3923 朱文静105110107408511 70 83 126 110 3894 欧逸芳105110107408738 77 78 124 108 3875 孙颖105110107408657 80 76 123 107 3866 刘越越105110107408548 75 75 129 105 3847 赵小雪105110107408623 74 68 121 115 3788 熊沐恩105110107302197 74 81 123 100 3789 伍思帆105110107408527 71 77 119 108 37510 魏彤彤105110107408621 84 82 106 102 37411 李嘉琪105110107408770 70 76 117 106 36912 曾菲菲105110107408570 74 78 115 102 36913 潘巧云105110107408736 75 77 119 96 36714 陈楚楚105110107302239 76 78 117 96 36715 陈德惠105110107408708 78 79 112 98 36716 方舟105110107302195 71 73 121 100 36517 袁莹莹105110107408585 77 74 116 98 36518 谭智雅105110107408783 71 75 118 101 36519 刘宇航105110107408569 72 77 118 98 36520 应允冷夕105110107302198 74 76 118 94 36221 蔡齐彤105110107302209 66 79 119 98 36222 张英盼105110107408777 74 80 111 97 36223 王璐105110107302208 71 70 117 103 36124 邓妮茹105110107408774 75 68 114 102 35925 王鑫105110107408505 72 78 111 98 35926 韩琴105110107408480 73 71 110 104 35827 付憧105110107408601 67 76 115 99 35728 周依霖105110107408739 70 57 119 110 35629 李雯霄105110107408559 81 63 114 98 35630 穆书雯105110107302221 76 57 115 105 35331 陶然105110107302224 70 68 118 97 35332 赵思惠105110107302213 73 73 110 97 35333 高云秋105110107408473 74 76 101 102 35334 刘漫105110107408752 78 64 112 98 35235 周橦鑫105110107408678 74 71 108 99 35236 李梦雨105110107408682 64 75 107 106 352。