量子力学导论 第九章 chap9 力学量本征值问题的代数解法范文
- 格式:doc
- 大小:1.02 MB
- 文档页数:21
曾谨言《量子力学教程》(第3版)笔记和课后习题(含考研真题)详解完整版>精研学习网>免费在线试用20%资料全国547所院校视频及题库资料考研全套>视频资料>课后答案>往年真题>职称考试目录隐藏第1章波函数与Schrödinger方程1.1复习笔记1.2课后习题详解1.3名校考研真题详解第2章一维势场中的粒子2.1复习笔记2.2课后习题详解2.3名校考研真题详解第3章力学量用算符表达3.1复习笔记3.2课后习题详解3.3名校考研真题详解第4章力学量随时间的演化与对称性4.1复习笔记4.2课后习题详解4.3名校考研真题详解第5章中心力场5.1复习笔记5.2课后习题详解5.3名校考研真题详解第6章电磁场中粒子的运动6.1复习笔记6.2课后习题详解6.3名校考研真题详解第7章量子力学的矩阵形式与表象变换7.1复习笔记7.2课后习题详解7.3名校考研真题详解第8章自旋8.1复习笔记8.2课后习题详解8.3名校考研真题详解第9章力学量本征值问题的代数解法9.1复习笔记9.2课后习题详解9.3名校考研真题详解第10章微扰论10.1复习笔记10.2课后习题详解10.3名校考研真题详解第11章量子跃迁11.1复习笔记11.2课后习题详解11.3名校考研真题详解第12章其他近似方法12.1复习笔记12.2课后习题详解12.3名校考研真题详解内容简介隐藏本书是曾谨言主编的《量子力学教程》(第3版)的学习辅导书,主要包括以下内容:(1)梳理知识脉络,浓缩学科精华。
本书每章的复习笔记均对该章的重难点进行了整理,并参考了国内名校名师讲授该教材的课堂笔记。
因此,本书的内容几乎浓缩了该教材的所有知识精华。
(2)详解课后习题,巩固重点难点。
本书参考大量相关辅导资料,对曾谨言主编的《量子力学教程》(第3版)的课后思考题进行了详细的分析和解答,并对相关重要知识点进行了延伸和归纳。
(3)精编考研真题,培养解题思路。
第六章 中心力场6.1) 利用6.1.3节中式(17)、(18),证明下列关系式相对动量 ()21121p m p m M r p-==∙μ (1) 总动量 21p p R M P+==∙ (2)总轨迹角动量p r P R p r p r L L L⨯+⨯=⨯+⨯=+=221121 (3)总动能 μ222222222121M P m p m p T +=+= (4)反之,有 ,11r m R r μ+= r m R r22μ-= (5)m p +=21μ,m p -=12μ(6)以上各式中,()212121 ,m m m m m m M +=+=μ证: 212211m m r m r m R ++=, (17) 21r r -=, (18)相对动量 ()21122121211p m p m M r r m m m m r p-=⎪⎪⎭⎫ ⎝⎛-+==∙∙∙μ (1’) 总动量 ()2121221121p p m m r m r m m m R M P+=+++==∙∙∙(2’)总轨迹角动量 221121p r p r L L L⨯+⨯=+=)5(2211p m up m u ⨯⎪⎪⎭⎫⎝⎛-+⨯⎪⎪⎭⎫ ⎝⎛+= ()()2112211p m p m Mp p -⨯++⨯= )2)(1(p r P R ⨯+⨯=由(17)、(18)可解出21,r r,即(5)式;由(1’)(2’)可解出(6)。
总动能()22112262221212222m p P m m p P m m p m p T ⎪⎪⎭⎫⎝⎛-+⎪⎪⎭⎫ ⎝⎛+=+=μμ2122222122112222122222m m u m P m m u m m u m P m m u ⋅-++⋅++=()()⎪⎪⎭⎫⎝⎛+++++=2122221222211112122m m p P m m m P m m mμ2222M P += (4’) [从(17),(18)式可解出(5)式;从(1),(2)式可解出(6)式].6.2) 同上题,求坐标表象中、和的算术表示式r i p ∇-= R i P ∇-= ,p r P R L⨯+⨯=解: ()()211221121r r m m Mi p m p m M ∇-∇-=-=(1) 其中 1111z y x r ∂∂+∂∂+∂∂=∇, 而xX M m x x x X x X x ∂∂+∂∂=∂∂∂∂+∂∂∂∂=∂∂1111, 同理,y Y M m y ∂∂+∂∂=∂∂11zZ M m z ∂∂+∂∂=∂∂11; (利用上题(17)(18)式。
量子力学中的哈密顿算符与本征值量子力学是描述微观粒子行为的重要理论,其中的哈密顿算符是至关重要的概念。
本文将介绍哈密顿算符以及与其相关的本征值的概念。
在量子力学中,哈密顿算符是描述量子系统能量的算符。
它是量子力学中的基本方程之一,与经典力学中的哈密顿函数相对应。
哈密顿算符通常表示为H。
对于一个粒子来说,哈密顿算符是动能算符与势能算符之和,即H = T + V。
其中动能算符T描述粒子的动能,而势能算符V描述粒子所处位置的势能。
哈密顿算符在量子力学中的应用非常广泛。
通过求解哈密顿算符的本征值问题,可以得到系统的能级和能量本征态。
这对于研究微观粒子的行为和性质具有重要意义。
通过量子化的哈密顿算符,可以计算出粒子在不同能级上的概率分布,从而推导出一系列的物理量。
量子力学中的哈密顿算符的本征值问题可以用一般的线性代数方法求解。
本征值问题可以被表示为H |ψ⟩= E |ψ⟩,其中H是哈密顿算符,|ψ⟩是波函数,E是该波函数所对应的能量本征值。
通过对波函数的特定形式进行假设,我们可以将本征值问题转化为代数问题,进而求解。
当我们求解本征值问题时,哈密顿算符的本征值表示了体系所具备的能量取值,而对应的本征态则描述了这些能量取值所对应的粒子状态。
通过研究本征态的性质,我们可以了解粒子在不同能级上的行为和性质。
例如,基态对应哈密顿算符的最小本征值,描述了量子系统的最低能量状态。
而激发态则对应较高的本征值,描述了系统更高能级的状态。
哈密顿算符的本征值问题在实际应用中扮演着重要角色。
在量子化学中,研究分子的能级和分子轨道可以通过求解分子哈密顿算符的本征值问题来实现。
在固体物理中,通过求解固体哈密顿算符的本征值问题,可以得到固体中电子的能带结构和能带间隙等信息。
这些研究对于理论计算和实验研究都具有重要意义。
除了本征值问题的求解,哈密顿算符还可以用于描述系统的演化过程。
根据薛定谔方程,量子系统的演化可以由哈密顿算符和波函数的时间演化算符共同决定。
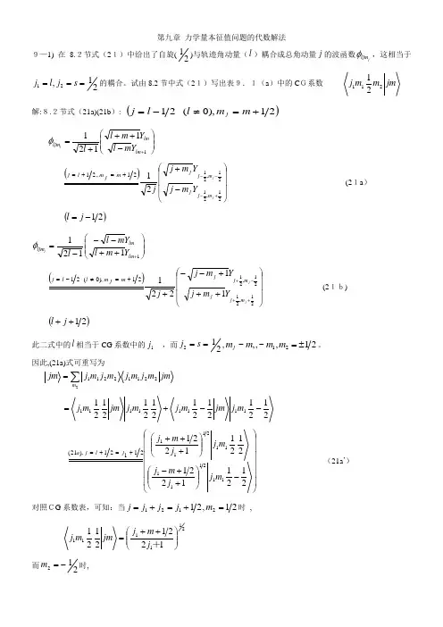
第九章 力学量本征值问题的代数解法9—1) 在8.2节式(21)中给出了自旋(21)与轨迹角动量(l )耦合成总角动量j 的波函数j ljm φ,这相当于21,21===s j l j 的耦合。
试由8.2节中式(21)写出表9.1(a )中的C G系数jm m m j 21121解:8.2节式(21a)(21b ):()21),0( 21+=≠-=m ml l j jjljm φ⎪⎪⎭⎫ ⎝⎛-+++=+11121lm lm Y m l Y m l l ()⎪⎪⎪⎭⎫⎝⎛-++---+=+=21,2121,212121,21j j m j j m j j Y m j Y m j j m j m l j (21a )()21-=j ljljm φ⎪⎪⎭⎫⎝⎛++---=+11121lm lm Y m l Y m l l ()⎪⎪⎪⎭⎫⎝⎛+++--+++-++=≠-=21,2121,211122121),0( 21j j m j j m j j Y m j Y m j j m j m l l j (21b)()21++j l此二式中的l 相当于CG 系数中的1j ,而212==s j ,21,~,,~21±=m m m m j 。
因此,(21a)式可重写为jm ∑=222112211m jm m j m j m j m j212121212121212111111111--+=m j jm m j m j jm m j ⎪⎪⎪⎪⎪⎪⎭⎫⎝⎛-⎪⎪⎭⎫ ⎝⎛++-⎪⎪⎭⎫ ⎝⎛++++=+=21211221212112211121111111121121),21(m j j m j m j j m j j l j a (21a ’) 对照CG 系数表,可知:当21121+=+=j j j j ,212=m 时,21111112212121⎪⎪⎭⎫ ⎝⎛++=+j m j jm m j 而212-=m 时,21111112212121⎪⎪⎭⎫ ⎝⎛+-=-+j m j jm m j 对于21211-=-=j l j 的(21b)式,有21111111221,212121⎪⎪⎭⎫ ⎝⎛+--=-+j m j m j m j21111111221,212121⎪⎪⎭⎫ ⎝⎛++=--+j m j m j m j9-2)设两个全同粒子角动量21j j j ==,耦合成总角动量J ,JM j 2ψ()()21212121jm jm m m JM m j jm ψψ∑=(1)利用CG 系数的对称性,证明()JMjJj JM j p 22212ψψ--=由此证明,无论是Bos e子或Fermi 子,J 都必须取偶数证:由式(1),JM j p 212ψ()()12212121jm jm m m JM jm jm ψψ∑=把21m m ↔, ()()12122112jm jm m m JM jm jm ψψ∑=利用CG 系数的对称性 ()()()21212112212jm jm m m Jj JM m j m j ψψ∑--=()JMjJj 22ψ--= (2)对于Fer mi 子,=j 半奇数,=j 2奇数,但要求ψψ-=12p , 即要求()12-=--Jj ,所以J 必须为偶数。
《作为本征值问题的量子化》一、引言量子力学是描述微观世界行为的理论框架,它涉及到一系列本征值问题的研究。
本文旨在探讨量子力学中的本征值问题,并介绍其量子化的方法。
二、什么是本征值问题在量子力学中,本征值问题是指对于一个物理量,通过对相应的本征函数进行测量,所得到的结果为一个确定的值。
物理量的本征函数称为本征态,对应的确定值称为本征值。
三、解析方法与数值解方法解决本征值问题时,可以使用解析方法和数值解方法。
解析方法适用于一些简单的物理系统,可以通过代数运算得到本征值和本征函数的解析表达式。
数值解方法则适用于复杂的系统,通过数值计算得到本征值和本征函数的近似结果。
四、薛定谔方程与本征值问题薛定谔方程是描述量子力学系统演化的基本方程。
在薛定谔方程中,本征值问题的求解变成了对薛定谔方程的求解。
通过求解薛定谔方程,我们可以得到系统的能级和相应的本征态。
五、量子化的方法量子化是将经典力学中的物理量转化为量子力学中的算符的过程。
常见的量子化方法有正则量子化和路径积分量子化。
正则量子化方法通过运算符代数的方法,将经典力学中的变量和动力学变量转化为算符和算符的对易关系。
路径积分量子化方法则通过积分路径的方法,将经典力学中的轨迹转化为路径积分,并引入泛函积分的概念。
六、本征值问题的应用本征值问题在量子力学中有广泛的应用。
在原子物理中,本征值问题帮助我们理解原子的能级结构与谱线的出现规律。
在固体物理中,本征值问题有助于描述晶体的电子结构与能带分布。
在量子力学中,本征值问题也是计算量子态演化和量子测量的基础。
七、结论本征值问题是量子力学中的重要概念,通过对本征值问题的研究,我们可以了解量子系统的能级结构和本征态的特性。
通过正确的量子化方法,我们可以将经典物理量转化为量子力学中的算符,从而进行量子力学的计算和描述。
本征值问题的应用涵盖了多个物理领域,对于我们深入理解和应用量子力学具有重要意义。
量子力学中的哈密顿算符和本征值问题量子力学是一门研究微观领域的物理学科,它描述了原子、分子和基本粒子的行为。
在量子力学中,哈密顿算符是非常重要的一个概念,用来描述系统的总能量。
本文将探讨哈密顿算符的定义、性质以及本征值问题。
一、哈密顿算符的定义哈密顿算符是量子力学中描述系统总能量的算符。
它的定义如下:$$H = \sum_{i=1}^{N} \frac{-\hbar^{2}}{2m_{i}}\nabla_{i}^{2} + V(\vec{r_{1}},\vec{r_{2}},...,\vec{r_{N}}) $$其中,$N$是系统中粒子的数目,$m_{i}$是第$i$个粒子的质量,$\nabla_i^2$是第$i$个粒子的拉普拉斯算符,$V$是系统的势能。
哈密顿算符的物理意义是描述系统的总能量。
二、哈密顿算符的性质哈密顿算符具有以下性质:1. 哈密顿算符是一个厄米算符,即$H^\dagger = H$。
这意味着它的本征值是实数。
2. 哈密顿算符是线性算符,即对于任何两个波函数$\psi_1$和$\psi_2$,有$$H(\alpha\psi_1 + \beta\psi_2) = \alpha H\psi_1 + \beta H\psi_2$$其中,$\alpha$和$\beta$是任意复数。
3. 哈密顿算符是一个厄米算符,它的本征函数是正交的。
即如果$\psi_n$和$\psi_m$是哈密顿算符的不同本征值所对应的本征函数,那么它们满足正交条件:$$\int\psi_n^*(\vec{r})\psi_m(\vec{r})d\tau = \delta_{nm}$$其中,$\delta_{nm}$是克罗内克(Kronecker)δ符号。
三、哈密顿算符的本征值问题哈密顿算符的本征值问题是指求出哈密顿算符的所有本征值和本征函数的问题。
在一维问题中,哈密顿算符的本征值问题可以表示为:$$H\psi_n(x) = E_n\psi_n(x)$$其中,$\psi_n(x)$是哈密顿算符的第$n$个本征函数,$E_n$是它的第$n$个本征值。
量子力学中的算符与本征值量子力学是一门具有浓厚抽象性和深远影响的科学学科,而算符与本征值则是它的核心概念之一。
在这篇文章中,我们将深入探讨算符与本征值在量子力学中的重要性和应用。
量子力学中的算符是用来描述物理量的数学运算符号,通常用字母表示,如动量算符p、位置算符x、能量算符H等。
这些算符与经典力学中的物理量类似,但它们的性质和运用有着本质的不同。
在量子力学中,算符具有两个重要的特性:线性性和非对易性。
线性性意味着一个算符作用于多个态的叠加态时,其结果等于对每个态作用后的叠加;非对易性则表明两个算符的乘积与它们的顺序有关。
量子力学的核心理论是薛定谔方程,它描述了体系的波函数在时间和空间上的演化规律。
在解薛定谔方程的过程中,算符与本征值的重要性得以彰显。
我们知道,算符作用于波函数可以得到一组数,这些数便是算符的本征值。
而与之对应的,是一组与本征值对应的本征态,它们是算符在某个特定本征值下的特殊解。
本征值和本征态的组合构成了量子力学的基本框架。
算符与本征值不仅仅是量子力学的数学形式,更具有实际的物理意义。
我们以动量算符p为例来说明。
当动量算符作用于某个波函数时,它会得到一个数,这个数便是动量算符的本征值。
然而,本征值本身并没有很大的意义,更重要的是与之对应的本征态。
本征态描述了体系的物理状态,通过对本征态的展开,我们可以得到某个动量本征值下的概率分布。
这使得我们能够研究粒子的运动规律和性质。
除了描述物理量,算符还可以描述物理过程中的变换。
我们以位置算符x为例。
当位置算符作用于一个波函数时,它将会使波函数发生平移。
这个平移的大小正好等于位置算符的本征值。
因此,通过位置算符,我们可以研究粒子运动的轨迹与位置分布。
而对于一些对称性问题,如空间反演对称性和时间反演对称性等,我们可以利用相应的算符来描述相应的变换关系。
算符与本征值的重要性和广泛应用不仅限于基本的量子力学理论,还涉及到其他领域的研究。
在固体物理和材料科学中,电子结构的计算和分析通常涉及到算符的代数运算和本征值的求解。
量子力学中的量子力学力学量的本征态问题量子力学是描述微观领域中粒子行为的理论,它具有独特的性质和规律。
在量子力学中,存在一些基本的物理量,称为力学量。
这些力学量包括位置、动量、角动量等,它们是描述粒子运动和性质的重要指标。
在量子力学中,研究力学量的本征态问题是解决量子系统的基本方法之一。
本文将从本征值问题、本征态问题和应用三个方面介绍量子力学中力学量的本征态问题。
一、本征值问题在量子力学中,力学量可以用算符表示。
对于一个力学量对应的算符,它的本征值即为测量该力学量时可能得到的结果。
本征值问题是指找到力学量算符的本征值和本征态的问题。
对于一个给定的力学量算符,我们需要找到它的本征值和本征态,以描述量子系统的性质。
量子力学中,力学量算符的本征值问题可以表示为如下方程:\[\hat{A}|\Psi\rangle = a|\Psi\rangle \]其中,\(\hat{A}\)表示力学量算符,\(|\Psi\rangle\)表示该力学量的本征态,\(a\)表示对应的本征值。
通过求解这个方程,我们可以得到力学量算符的本征值和本征态。
二、本征态问题对于力学量的本征值问题,我们还可以进一步研究力学量的本征态问题。
在量子力学中,本征态是相对于某个力学量的算符,它是力学量所对应的本征值的特定状态。
通过求解本征值问题,我们可以得到一系列的本征态,它们构成了力学量算符的本征态空间。
量子力学中,力学量算符的本征态满足正交归一条件,即:\[\langle\Psi_i|\Psi_j\rangle = \delta_{ij}\]其中,\(\langle\Psi_i|\)表示第\(i\)个本征态的共轭转置,\(\Psi_j\rangle\)表示第\(j\)个本征态。
通过求解本征态问题,我们可以得到一组满足正交归一条件的本征态,它们是力学量算符的基态。
三、应用量子力学中力学量的本征态问题在许多应用中起着重要的作用。
例如,动量算符的本征态问题可以用于描述粒子的动量分布和运动状态。
第九章 力学量本征值问题的代数解法§9.1 一维谐振子的Schrödinger 因式分解法 升、降算符一、Hamilton 量的代数表示 一维谐振子的Hamilton 量可表为2222121x p H μωμ+=采用自然单位(1===ωμ ),(此时能量以ω 为单位,长度以μω/ 为单位,动量以ωμ 为单位)则222121x p H +=而基本对易式是[]i p x =,。
令)(21ip x a +=,)(21ip x a -=+ 其逆为)(21a a x +=+,)(2a a ip -=+。
利用上述对易式,容易证明(请课后证明)1],[=+a a将两类算符的关系式)(21a a x +=+,)(2a a ip -=+ 代入一维谐振子的Hamilton 量222121x p H +=,有 ⎪⎭⎫ ⎝⎛+=⎪⎭⎫ ⎝⎛+=+21ˆ21N a a H上式就是Hamilton 量的因式分解法,其中a a N+=ˆ。
由于N Nˆˆ=+,而且在任何量子态ψ下 0),(),(≥==+ψψψψa a a a N所以Nˆ为正定厄米算符二、Hamilton 量的本征值下面证明,若N ˆ的本征值为n , ,2,1,0=n ,则H 的本征值nE 为(自然单位,ω ) ⎪⎭⎫ ⎝⎛+=21n E n , ,2,1,0=n证明:设|n >为Nˆ的本征态( n 为正实数),即 n n n N=ˆ 利用1],[=+a a 及a a N+=ˆ容易算出 ++=a a N],ˆ[,a a N -=],ˆ[ 因此n a n a N-=],ˆ[。
但上式 左边n na n a N n N a n a N-=-=ˆˆˆ 由此可得n a n n a N)1(ˆ-=。
这说明,>n a |也是Nˆ的本征态,相应本征值为)1(-n 。
如此类推,从Nˆ的本征态>n |出发,逐次用a 运算,可得出N ˆ的一系列本征态 >n |,>n a |,>n a |2,…相应的本征值为n ,1-n ,2-n ,…因为Nˆ为正定厄米算子,其本征值为非负实数。
第九章 力学量本征值问题的代数解法§9.1 一维谐振子的Schrödinger 因式分解法 升、降算符一、Hamilton 量的代数表示 一维谐振子的Hamilton 量可表为2222121x p H μωμ+=采用自然单位(1===ωμ ),(此时能量以ω 为单位,长度以μω/ 为单位,动量以ωμ 为单位)则222121x p H +=而基本对易式是[]i p x =,。
令)(21ip x a +=,)(21ip x a -=+ 其逆为)(21a a x +=+,)(2a a ip -=+。
利用上述对易式,容易证明(请课后证明)1],[=+a a将两类算符的关系式)(21a a x +=+,)(2a a ip -=+ 代入一维谐振子的Hamilton 量222121x p H +=,有 ⎪⎭⎫ ⎝⎛+=⎪⎭⎫ ⎝⎛+=+21ˆ21N a a H上式就是Hamilton 量的因式分解法,其中a a N+=ˆ。
由于N Nˆˆ=+,而且在任何量子态ψ下 0),(),(≥==+ψψψψa a a a N所以Nˆ为正定厄米算符二、Hamilton 量的本征值下面证明,若N ˆ的本征值为n , ,2,1,0=n ,则H 的本征值nE 为(自然单位,ω ) ⎪⎭⎫ ⎝⎛+=21n E n , ,2,1,0=n证明:设|n >为Nˆ的本征态( n 为正实数),即 n n n N=ˆ 利用1],[=+a a 及a a N+=ˆ容易算出 ++=a a N],ˆ[,a a N -=],ˆ[ 因此n a n a N-=],ˆ[。
但上式 左边n na n a N n N a n a N-=-=ˆˆˆ 由此可得n a n n a N)1(ˆ-=。
这说明,>n a |也是Nˆ的本征态,相应本征值为)1(-n 。
如此类推,从Nˆ的本征态>n |出发,逐次用a 运算,可得出N ˆ的一系列本征态 >n |,>n a |,>n a |2,…相应的本征值为n ,1-n ,2-n ,…因为Nˆ为正定厄米算子,其本征值为非负实数。
若设最小本征值为0n ,相应的本征态为0n ,则00=n a此时0000ˆn n a a n N ===+ 即0n 是N ˆ的本征值为0的本征态,或00=n 。
此态记为>0|,又称为真空态,亦即谐振子的最低能态(基态),对应的能量本征值 ( 加上自然单位)为2/ω 。
利用++=a a N],ˆ[ 同样可以证明n a n n a N+++=)1(ˆ 这说明n a +也是Nˆ的本征态,本征值为)1(+n 。
利用上式及000ˆ=N, 从0出发,逐次用+a 运算,可得出Nˆ的全部本征态: 利用1],[=+a a ,有Na a aa ˆ11+=+=++。
已知0是Nˆ的本征态,本征值是0 由n a n n a N+++=)1(ˆ可知 010ˆ++⋅=a a N即0+a 也是Nˆ的本征态,本征值是1。
下面看02+a 是否也是Nˆ的本征态,本征值是多少? 显然2000ˆ00)ˆ1(000ˆ22222+++++++++++++++=+=+=+=⋅=⋅=a a a a a N a a a N a a a a a a a a a N故02+a也是Nˆ的本征态,本征值是2。
这样对本征态 >0|,>+0|a ,>+0|2a ,…Nˆ本征值为0, 1, 2,… H 本征值为2/1, 2/3, 2/5,…所以,+a 可以成为上升算符,a 可以称为下降算符。
证毕。
这种描述体系状态的表象叫粒子数表象。
利用归纳法可以证明(课下证):Nˆ(即H )的归一化本征态可表为(为什么?)0)(!1n a n n +=且满足n n n H ⎪⎭⎫ ⎝⎛+=21,n n n n '='δ由0)(!1n a n n +=得 0)()!1(111+++=+n a n n所以>++=>++=>>=+++++1|10|)()!1(10|)(!1|11n n a n n a n n a n n从而有>>=-+n n n a |1|而由n n n a a n N>=>=+||ˆ得 n n n a a n>=+|1 所以>>=-++n a a nn a |11|或>->=++1||n n a n a a 上式作用任一左矢|m <,有>->=<<++1||||n n a m n a a m利用1],[=+a a ,有1-=++aa a a ,代入上式,即>->=<-<++1|||1|n n a m n aa m或>->=<<-><++1|||||n n a m n m n aa m 利用>++>=+1|1|n n n a ,上式变为>>=<<->++<n n m n m n n a m |||1|1|移项,得>+>=<+<n n m n a m |1|1||。
上式对任意m 都成立,所以>+>=+n n n a |11|或>->=1||n n n a 。
连同>++>=+1|1|n n n a ,这就是下降和上升算符的定义,很有用处。
三、升降算符的应用1. 坐标和动量算符的矩阵元计算 利用>++>=+1|1|n n n a>->=1||n n n a以及)(21a a x +=+,)(2a a i p -=+ 容易证明:⎪⎪⎩⎪⎪⎨⎧-+=++=-'+''-'+''μωδδμωδδ)1(2,)1(211111n n n n n n n n n n n n n n ip n n x拿第一式的证明为例。
因为)(21a a x +=+, 所以)1(21)1|'1|'1(21)1||'1|1|'(21)||'||'(21||'1,'1,''-++++=>-<+>+<+=>-<+>++<=><+><=>=<n n n n n n n n n n n n n n n n n n n n n a n n a n n x n x δδ 2. 能量本征态在坐标表象中的表示 考虑基态>0|,它满足00|>=a即00)(=+ip x 。
在坐标表象中,上式可以写为00|'=+<ip x x插入完备性关系1|''''|''d =<>⎰x x x 得00|''''||'''d >=<>+<⎰x x ip x x x已经知道)'''('''||'x x x i x p x -∂∂->=<δ令1= ,代入前式可以得出00|'')]}'''('d d[)'''('{''d >=<--+-⎰x x x x ii x x x x δδ 利用积分中δ函数的性质可得00|''d d '>=<⎪⎭⎫ ⎝⎛+x x x把x x →',并注意)(0|0x x ψ>=<,有0)(d d 0=⎪⎭⎫ ⎝⎛+x x x ψ解出得202)(x ex -∝ψ添上自然单位,可得出在坐标表象中的归一化基态波函数为22410)(x ex ωμπμωψ-⎪⎭⎫ ⎝⎛= 而坐标表象中激发态的波函数为0!1)(n n a x n n x x +==ψ 由于)(21ip x a -=+,添上长度的自然单位μωα/1 =,可得⎪⎭⎫ ⎝⎛-=+x x a d d 121αα所以241222d d 1!1)(x nn e x x n x αααπαψ-⎪⎭⎫ ⎝⎛-⎪⎪⎭⎫ ⎝⎛= 上次课复习)(21ip x a +=,)(21ip x a -=+ )(21a a x +=+,)(2a a ip -=+ 222121x p H +=,⎪⎭⎫ ⎝⎛+=⎪⎭⎫ ⎝⎛+=+21ˆ21N a a H , ⎪⎭⎫ ⎝⎛+=21n E n , ,2,1,0=n>++>=+1|1|n n n a ,>->=1||n n n a ,0)(!1n a n n +=升降算符的应用四、S-方程因式分解的条件上述的因式分解法是Schrödinger 提出来的。
可以证明,对于存在束缚态的一维势阱()x V ,只要基态能量0E 有限, '0ψ存在,则可定义相应的升降算符,并对Hamilton 量进行因式分解。
另外还可以证明,对于r 幂函数形式的中心势)(r V ,只当r r V /1~)((Coulomb 势)或2~)(r r V (各向同性谐振子势)时,径向S-方程才能因式分解。
总之,S -方程的因式分解与经典粒子束缚运动轨道的闭合性有某种关系。
§9.2 角动量算符的本征值和本征态前面我们学习了轨道角动量、自旋角动量的性质(本征值和本征态)以及它们之间的耦合问题。
下面我们对角动量算符的本征值和本征态作一般的讨论。
一、一般角动量算符的对易关系如果算符j ,其三个分量z y x j j j ,,满足下列对易关系z y x j i j j =],[,x z y j i j j =],[,y x z j i j j =],[则以z y x j j j ,,作为三个分量的矢量算符j 称为角动量算符。
且式z y x j i j j =],[,x z y j i j j =],[,y x z j i j j =],[称为角动量的基本对易式。
轨道角动量l ,自旋角动量s 以及总角动量j s l =+的各分量都满足此基本对易式。
以下根据此基本对易式及角动量算符的厄米性来求出角动量的本征值和本征态。
定义2222z y x j j j j ++=利用角动量分量间的一般对易式容易证明:0],[2=αj j ,z y x ,,=α定义y x j j j i ±=±其逆表示为)(21-++=j j j x ,)(i21-+-=j j j y 同样可以证明:±±±=j j j z ],[z z j j j j j ±-=±22 z j j j j j 2=-+--+)(222z j j j j j j -=++--+利用角动量的定义及分量的对易关系,上述几个式子是很容易证明的。