二次根式单元测试综合卷检测试题
- 格式:doc
- 大小:1.02 MB
- 文档页数:19
二次根式单元测试题班级:姓名: 成绩:一、选择题〔每题 3 分,共 30 分〕1.假设 3 m 为二次根式,那么 m 的取值为〔 〕A .m ≤ 3B .m <3C .m ≥ 3D .m > 32.假设式子x 2有意义,那么 x 的取值范围是〔 〕x 3A 、x ≥2B 、x ≠3C 、x >2 且 x ≠3D 、 x ≥ 2 且 x ≠3 3.假设8 n 是整数,那么正整数 n 的最大值是〔〕A 、4 B、 6 C、7D 、84.化简二次根式 ( 5) 2 3 得〔〕A . 53B .5 3C . 53D .305.以下二次根式中,最简二次根式是〔 〕A . 3a2B .1 C . 153D . 14336.计算:a ab1 等于〔 〕babA .1abB .1abC . ab 2ab7.化简:x 2 y xy =〔〕x1abD . b abbA 、xyB 、yC 、xD 、 x y8.直角三角形的两直角边长分别是 4 和 6,那么其斜边长是〔〕A 、4B 、6C 、10D 、2 139.以下各式与 3 不是同类二次根式的是〔 〕A 、 12B 、 27C 、 8D 、751二、填空题〔每题 3 分,共 30 分〕11.当 x___________时,34x 在实数范围内有意义.12.计算:①(3)2=;② ( 25)2=13.比较大小: 3 2 ______ 2 3.14.化简:① 11721082=;② (96150)6 =15.在实数范围内分解因式x2 5 =16.当 x时,2x1212x17.要切一块面积为 6400 cm2的正方形大理石地板砖,那么它的边长要切成㎝18.:x2x y 20,那么 x2xy19.若是x225 ,那么 x;若是 x 3 29 ,那么 xv 220.:在公式中g v为速度,那么vr三、解答题〔共60 分〕21.化简〔每题 4 分,共 8 分〕〔 1〕 ( 144) ( 169)〔2〕m2 n18 22.计算:〔每题 4 分,共 16 分〕〔1〕12838414.〔2〕112213.22335〔3〕45458 4 2〔4〕(56)( 56)23.假设最简二次根式222 与n212是同类二次根式,求m、n 的值.〔 7 分〕33m4m 1024.化简求值:x22x x,其中 x 3 2〔7分〕x 1 1 x x125.假设二次根式2x 3 和x 1 都有意义,求x 的取值范围〔 7 分〕26.实数a, b在数轴上的对应点以以下图,化简:(a b) 2a2〔7分〕27. Rt△ABC 中,∠ ACB=90 °, AC= 2 2,BC=10 ,求AB上的高CD的长〔8 分〕CB D A。
二次根式单元测试题及答案doc一、选择题1. 下列哪个选项不是二次根式?A. √3B. 2√2C. √xD. 3x2. 二次根式的乘法法则是什么?A. √a × √b = √abB. √a × √b = √a + bC. √a × √b = a + bD. √a × √b = √(a + b)3. 如果√a = √b,那么a和b的关系是什么?A. a = bB. a = b^2C. a^2 = bD. a^2 = b^24. 以下哪个表达式不能简化为一个更简单的二次根式?A. √(2x^2)B. √(3x)C. √(4y^2)D. √(5z)5. 计算√(1/4)的结果是什么?A. 1/2B. 1/4C. 2D. 4二、填空题6. √(9x^2) 可以简化为 __________。
7. 如果√(2y) = √8,那么y的值是 __________。
8. 根据二次根式的除法法则,√(a/b) = __________。
9. √(25) + √(4) 的结果是 __________。
10. 计算(√3 + √2)^2 的结果,不展开,直接写出答案 __________。
三、解答题11. 计算下列表达式的值:(a) √(81x^4)(b) (√2 + √3)(√2 - √3)12. 简化下列二次根式,并合并同类项:√(18a^2b) + √(2a^2b) - 3√(2a^2b)四、应用题13. 一个正方形的面积是50平方厘米,求这个正方形的边长。
如果边长是一个整数,求出所有可能的边长。
答案:一、选择题1. D2. A3. D4. D5. A二、填空题6. 3x7. 48. √(ab) / √b9. 710. 7三、解答题11. (a) 9|x|^2(b) 2 - 312. √(18a^2b) + √(2a^2b) - 3√(2a^2b) = 3√(2a^2b) -2√(2a^2b) = √(2a^2b)四、应用题13. 边长为√50,即边长为5√2厘米。
二次根式单元测试题(卷)经典3套二次根式单元测试题一一、填空题(每题2分,共20分)1、当a=0时,有意义1-a=12、计算:(-3/2)^2=9/432)^2=10241-1/2)×(1+1/2)=3/43、计算:(1)×(-27)=-272)8a^3b^2c=8abc^2×a^2b4、计算:(a>0,b>0,c>0)5、计算:(1)=1/42)=3a/86、如果xy>0,化简-xy^2=-y^2x7、32+42=25,332+442=221,3332+4442= 则33×(32+44)×(42+25)=8、(2-1)2005×(2+1)2006=3×(3^2005)9、观察以下各式:1=2-1。
1/2=3-2。
1/3=4-3利用以上规律计算:1+1/2+1/3+…+1/2007)/[(2+1)+(3+2)+(4+3)+…+(2006+2005 )]=2007/401310、已知x=3+√2,y=3-√2,则(y/x+1)/(x/y+1)=1二、选择题(每题3分,共30分)11、若2x+3有意义,则x≤-3或x≥212、化简(2-a)^2+a^-2的结果是4+2a13、能使等式x/(x-3)=x/x成立的条件是x≠0且x≠314、下列各式中,是最简二次根式的是y/215、已知x+1/x=5那么x-1/x的值是2或-216、如果a^2-2ab+b^2=-1,则a≠b17、已知xy>0,化简二次根式√(x-y^2/x^2)的正确结果为(y/|x|)√(x-y^2)18、如图,Rt△AMC中,∠C=90°,∠AMC=30°,AM∥BN,MN=23cm,XXX=1cm,则AC的长度为3cm。
19、下列说法正确的个数是()①2的平方根是同类二次根式;②2-1与2+1互为倒数;③2^3/2与(2/3)^-2互为倒数;④3√2是同类三次根式。
二次根式单元测试题及答案word一、选择题1. 计算下列二次根式的结果:A. √16 = 4B. √25 = 5C. √36 = 6D. √49 = 7答案:A2. 以下哪个表达式是正确的?A. √(-4) = 2iB. √(-9) = 3iC. √(-16) = 4iD. √(-25) = 5i答案:C3. 根据二次根式的乘法法则,下列哪个等式是正确的?A. √2 * √8 = √16B. √3 * √3 = √9C. √5 * √5 = √20D. √7 * √7 = √49答案:D二、填空题4. 计算√(2x^2) 的结果,其中 x = 3。
答案:3√25. 如果√(a^2) = a,那么 a 的取值范围是:答案:a ≥ 06. 将下列二次根式化为最简形式:√(48) = √(16 * 3) = 4√3答案:4√3三、计算题7. 计算下列表达式的值:(5√2 + 3√3)^2答案:79 + 30√68. 简化下列二次根式:√(2/9) * √(18/4)答案:√(2 * 2) = 2四、解答题9. 证明:√(a^2 + b^2) = √a^2 + √b^2 只有在 a = b = 0 时成立。
答案:略(根据二次根式的性质进行证明)10. 解下列方程:x^2 - 4√3x + 12 = 0答案:x = 2√3五、综合题11. 已知 a, b 是正整数,且√a + √b = 9,求 a 和 b 的值。
答案:a = 1, b = 64 或 a = 4, b = 4912. 一个直角三角形的两条直角边分别是3√2 和 6,求斜边的长度。
答案:斜边长度为 9六、附加题13. 如果√(2x + 1) + √(2 - 2x) = 2,求 x 的值。
答案:x = 0注意:本试题及答案仅供参考,具体题目和答案可能会根据教学大纲和教材内容有所变动。
二次根式单元测试题及答案题目1. 化简下列根式:$\sqrt{12}$答案:$\sqrt{12} = \sqrt{4 \cdot 3}=2\sqrt{3}$题目2. 计算下列各根式的值并化简:$\sqrt{9}+\sqrt{16}$答案:$\sqrt{9}+\sqrt{16} = 3+4=7$题目3. 计算下列各根式的值:$\sqrt{25} - \sqrt{9}$答案:$\sqrt{25} - \sqrt{9} = 5 - 3 = 2$题目4. 计算下列各根式的值:$2\sqrt{8} - 3\sqrt{18}$答案:$2\sqrt{8} - 3\sqrt{18} = 2\sqrt{4 \cdot 2} - 3\sqrt{9 \cdot 2} \\ = 2 \cdot 2\sqrt{2} - 3 \cdot 3\sqrt{2} \\= 4\sqrt{2} - 9\sqrt{2} \\= -5\sqrt{2}$题目5. 求下列各根式的值:$(\sqrt{5}+2)^2$答案:$(\sqrt{5}+2)^2 = (\sqrt{5}+2)(\sqrt{5}+2) \\= 5 + 2\sqrt{5} + 2\sqrt{5} + 4 \\= 9 + 4\sqrt{5}$题目6. 将下列各根式化为最简根式:$\sqrt{72}$答案:$\sqrt{72} = \sqrt{36 \cdot 2} = \sqrt{6^2 \cdot 2} \\= 6\sqrt{2}$题目7. 将下列各根式化为最简根式:$2\sqrt{50}$答案:$2\sqrt{50} = 2 \cdot \sqrt{25 \cdot 2} = 2 \cdot 5\sqrt{2} \\ = 10\sqrt{2}$题目8. 将下列各根式化为最简根式:$3\sqrt{27}$答案:$3\sqrt{27} = 3\sqrt{9 \cdot 3} = 3 \cdot 3\sqrt{3} \\= 9\sqrt{3}$题目9. 求解下列方程:$x^2 - 4 = 0$答案:$x^2 - 4 = 0 \\(x - 2)(x + 2) = 0 \\x - 2 = 0 \quad \text{或} \quad x + 2 = 0 \\x = 2 \quad \text{或} \quad x = -2$题目10. 求解下列方程:$2x^2 - 16 = 0$答案:$2x^2 - 16 = 0 \\2(x^2 - 8) = 0 \\x^2 - 8 = 0 \\(x - \sqrt{8})(x + \sqrt{8}) = 0 \\x - \sqrt{8} = 0 \quad \text{或} \quad x + \sqrt{8} = 0 \\x = \sqrt{8} \quad \text{或} \quad x = -\sqrt{8} \\x = 2\sqrt{2} \quad \text{或} \quad x = -2\sqrt{2}$题目11. 求解下列方程:$x^2 + 5x + 6 = 0$答案:$x^2 + 5x + 6 = 0 \\(x + 2)(x + 3) = 0 \\x + 2 = 0 \quad \text{或} \quad x + 3 = 0 \\x = -2 \quad \text{或} \quad x = -3$题目12. 求解下列方程:$2x^2 + 7x + 3 = 0$答案:$2x^2 + 7x + 3 = 0 \\(2x + 1)(x + 3) = 0 \\2x + 1 = 0 \quad \text{或} \quad x + 3 = 0 \\x = -\frac{1}{2} \quad \text{或} \quad x = -3$题目13. 解方程组:$$\begin{cases}x^2 + y^2 = 25 \\x + y = 7\end{cases}$$答案:将第二个方程展开得到 $y = 7-x$,代入第一个方程得到:$$x^2 + (7-x)^2 = 25 \\x^2 + 49 - 14x + x^2 = 25 \\2x^2 - 14x + 24 = 0 \\x^2 - 7x + 12 = 0 \\(x - 3)(x - 4) = 0 \\x - 3 = 0 \quad \text{或} \quad x - 4 = 0 \\x = 3 \quad \text{或} \quad x = 4$$代入第二个方程可得:当 $x = 3$ 时,$y = 7 - 3 = 4$;当 $x = 4$ 时,$y = 7 - 4 = 3$。
二次根式单元测试卷一、 选择题(每题3分共30分) 1.下列式子中二次根式的个数有( );⑶1)x >A .2个 B.3个 C.4个 D.5个2.要使二次根式2x-6 有意义,x 应满足的条件是( )A .x ≥3B .x <3C .x >3D .x ≤3 3.下列二次根式中,与24 是同类二次根式的是( )A .18B .30C .48D .54 4.下列根式中是最简二次根式的是( )A .a2+1B .12 C .8 D .275.把m m 1-根号外的因式移到根号内,得( )A .mB .m -C .m --D .m -6.10b -=,那么2007)b a (+的值为( )A.-1B.1C.20073D.20073-7.已知12-n 是正整数,则实数n 的最大值为( )A .12B .11C .8D .3 8.若x ·x-6 = x(x-6) ,则( )A .x ≥0B .x ≥6C .0≤x ≤6D .x 为一切实数9.若0a >且2a x a -<<-,则化简22x a x a ++的结果为( )A.4aB.6x -2aC.2x +2aD.2a -2x10.若化简|1-x|-1682+-x x 的结果为2x-5则x 的取值范围是( )A.x 为任意实数B.1≤x ≤4C.x ≥1D.x ≤4 二、填空题(每空4分共24分) 11.比较大小:-32___________-2 312.请写出3的两个同类二次根式:____________________13.若3的整数部分是a ,小数部分是b ,则=-b a 3 ______________14.= ___= ___=____ 15.在实数范围内分解因式: 494-x =________二、 计算题(每题5分共20分)16. 4 5 + 45 - 8 17.(12 - 33)×2418.0(3)1--+19.1)a四、(本题共3题,共26分)20.已知:x y==yx11+的值。
《二次根式》单元测试题(一)判断题:(每小题1分,共5分)1.ab 2)2(-=-2ab .…………………( )【提示】2)2(-=|-2|=2.【答案】×. 2.3-2的倒数是3+2.( )【提示】231-=4323-+=-(3+2).【答案】×.3.2)1(-x =2)1(-x .…( )【提示】2)1(-x =|x -1|,2)1(-x =x -1(x ≥1).两式相等,必须x ≥1.但等式左边x 可取任何数.【答案】×. 4.ab 、31b a 3、b a x 2-是同类二次根式.…( )【提示】31b a 3、bax 2-化成最简二次根式后再判断.【答案】√. 5.x 8,31,29x +都不是最简二次根式.( )29x +是最简二次根式.【答案】×. (二)填空题:(每小题2分,共20分) 6.当x __________时,式子31-x 有意义.【提示】x 何时有意义?x ≥0.分式何时有意义?分母不等于零.【答案】x ≥0且x ≠9. 7.化简-81527102÷31225a =_.【答案】-2a a .【点评】注意除法法则和积的算术平方根性质的运用.8.a -12-a 的有理化因式是____________.【提示】(a -12-a )(________)=a 2-22)1(-a .a +12-a .【答案】a +12-a . 9.当1<x <4时,|x -4|+122+-x x =________________.【提示】x 2-2x +1=( )2,x -1.当1<x <4时,x -4,x -1是正数还是负数?x -4是负数,x -1是正数.【答案】3.10.方程2(x -1)=x +1的解是____________.【提示】把方程整理成ax =b 的形式后,a 、b 分别是多少?12-,12+.【答案】x =3+22.11.已知a 、b 、c 为正数,d 为负数,化简2222dc abd c ab +-=______.【提示】22d c =|cd |=-cd . 【答案】ab +cd .【点评】∵ab =2)(ab (ab >0),∴ab -c 2d 2=(cd ab +)(cd ab -).12.比较大小:-721_________-341.【提示】27=28,43=48.【答案】<.【点评】先比较28,48的大小,再比较281,481的大小,最后比较-281与-481的大小. 13.化简:(7-52)2000·(-7-52)2001=______________.【提示】(-7-52)2001=(-7-52)2000·(_________)[-7-52.](7-52)·(-7-52)=?[1.]【答案】-7-52. 【点评】注意在化简过程中运用幂的运算法则和平方差公式. 14.若1+x +3-y =0,则(x -1)2+(y +3)2=____________.【答案】40.【点评】1+x ≥0,3-y ≥0.当1+x +3-y =0时,x +1=0,y -3=0.15.x ,y 分别为8-11的整数部分和小数部分,则2xy -y 2=____________.【提示】∵ 3<11<4,∴_______<8-11<__________.[4,5].由于8-11介于4与5之间,则其整数部分x =?小数部分y =?[x =4,y =4-11]【答案】5.【点评】求二次根式的整数部分和小数部分时,先要对无理数进行估算.在明确了二次根式的取值X 围后,其整数部分和小数部分就不难确定了. (三)选择题:(每小题3分,共15分)16.已知233x x +=-x 3+x ,则………………( )(A )x ≤0 (B )x ≤-3 (C )x ≥-3 (D )-3≤x ≤0【答案】D .【点评】本题考查积的算术平方根性质成立的条件,(A )、(C )不正确是因为只考虑了其中一个算术平方根的意义.17.若x <y <0,则222y xy x +-+222y xy x ++=………………………( )(A )2x (B )2y (C )-2x (D )-2y 【提示】∵x <y <0,∴x -y <0,x +y <0. ∴222y xy x +-=2)(y x -=|x -y |=y -x .222y xy x ++=2)(y x +=|x +y |=-x -y .【答案】C . 【点评】本题考查二次根式的性质2a =|a |.18.若0<x <1,则4)1(2+-x x -4)1(2-+xx 等于………………………( )(A )x2 (B )-x2 (C )-2x (D )2x【提示】(x -x 1)2+4=(x +x 1)2,(x +x 1)2-4=(x -x1)2.又∵0<x <1,∴x +x 1>0,x -x1<0.【答案】D .【点评】本题考查完全平方公式和二次根式的性质.(A )不正确是因为用性质时没有注意当0<x <1时,x -x1<0. 19.化简aa 3-(a <0)得………………………………………………………………( ) (A )a - (B )-a (C )-a - (D )a 【提示】3a -=2a a ⋅-=a -·2a =|a |a -=-a a -.【答案】C . 20.当a <0,b <0时,-a +2ab -b 可变形为………………………………………( )(A )2)(b a + (B )-2)(b a - (C )2)(b a -+- (D )2)(b a ---【提示】∵a <0,b <0,∴ -a >0,-b >0.并且-a =2)(a -,-b =2)(b -,ab =))((b a --. 【答案】C .【点评】本题考查逆向运用公式2)(a =a (a ≥0)和完全平方公式.注意(A )、(B )不正确是因为a <0,b <0时,a 、b 都没有意义.(四)在实数X 围内因式分解:(每小题3分,共6分) 21.9x 2-5y 2;【提示】用平方差公式分解,并注意到5y 2=2)5(y .【答案】(3x +5y )(3x -5y ). 22.4x 4-4x 2+1.【提示】先用完全平方公式,再用平方差公式分解.【答案】(2x +1)2(2x -1)2. (五)计算题:(每小题6分,共24分) 23.(235+-)(235--);【提示】将35-看成一个整体,先用平方差公式,再用完全平方公式.【解】原式=(35-)2-2)2(=5-215+3-2=6-215.24.1145--7114--732+;【提示】先分别分母有理化,再合并同类二次根式. 【解】原式=1116)114(5-+-711)711(4-+-79)73(2--=4+11-11-7-3+7=1. 25.(a 2m n -mab mn +m nn m )÷a 2b 2mn ; 【提示】先将除法转化为乘法,再用乘法分配律展开,最后合并同类二次根式. 【解】原式=(a 2m n -mab mn +m nn m )·221b a nm=21bn m m n ⋅-mab 1n m mn ⋅+22b ma n n m n m ⋅ =21b-ab 1+221b a =2221b a ab a +-. 26.(a +ba abb +-)÷(b ab a ++a ab b --ab b a +)(a ≠b ).【提示】本题应先将两个括号内的分式分别通分,然后分解因式并约分. 【解】原式=ba abb ab a +-++÷))(())(()()(b a b a ab b a b a b a b b b a a a -+-+-+--=b a b a ++÷))((2222b a b a ab b a b ab b ab a a -++----=b a b a ++·)())((b a ab b a b a ab +-+-=-b a +. 【点评】本题如果先分母有理化,那么计算较烦琐.(六)求值:(每小题7分,共14分)27.已知x =2323-+,y =2323+-,求32234232y x y x y x xy x ++-的值.【提示】先将已知条件化简,再将分式化简最后将已知条件代入求值. 【解】∵x =2323-+=2)23(+=5+26, y =2323+-=2)23(-=5-26. ∴x +y =10,x -y =46,xy =52-(26)2=1.32234232y x y x y x xy x ++-=22)())((y x y x y x y x x +-+=)(y x xy y x +-=10164⨯=652.【点评】本题将x 、y 化简后,根据解题的需要,先分别求出“x +y ”、“x -y ”、“xy ”.从而使求值的过程更简捷. 28.当x =1-2时,求2222ax x a x x+-++222222ax x x a x x +-+-+221ax +的值.【提示】注意:x 2+a 2=222)(a x +,∴x 2+a 2-x 22a x +=22a x +(22a x +-x ),x 2-x 22a x +=-x (22a x +-x ). 【解】原式=)(2222x a x a x x-++-)(22222x a x x a x x -++-+221ax +=)()()2(22222222222x a x a x x x a x x a x x a x x -++-+++-+- =)()(22222222222222x a x a x x x a x x a x a x x x -++-+++++-=)()(222222222x a x a x x a x x a x -+++-+=)()(22222222x a x a x x x a x a x -++-++=x1.当x =1-2时,原式=211-=-1-2.【点评】本题如果将前两个“分式”分拆成两个“分式”之差,那么化简会更简便.即原式=)(2222x a x a x x-++-)(22222x a x x a x x -++-+221ax +=)11(2222a x xa x +--+-)11(22x x a x --++221a x +=x1.七、解答题:(每小题8分,共16分) 29.计算(25+1)(211++321++431++…+100991+).【提示】先将每个部分分母有理化后,再计算. 【解】原式=(25+1)(1212--+2323--+3434--+…+9910099100--)=(25+1)[(12-)+(23-)+(34-)+…+(99100-)]=(25+1)(1100-) =9(25+1).【点评】本题第二个括号内有99个不同分母,不可能通分.这里采用的是先分母有理化,将分母化为整数,从而使每一项转化成两数之差,然后逐项相消.这种方法也叫做裂项相消法. 30.若x ,y 为实数,且y =x 41-+14-x +21.求xy y x ++2-xyy x +-2的值. 【提示】要使y 有意义,必须满足什么条件?].014041[⎩⎨⎧≥-≥-x x 你能求出x ,y 的值吗?].2141[⎪⎪⎩⎪⎪⎨⎧==y x【解】要使y 有意义,必须⎩⎨⎧≥-≥-014041[x x ,即⎪⎪⎩⎪⎪⎨⎧≥≤.4141x x ∴x =41.当x =41时,y =21.又∵xy y x ++2-xy y x +-2=2)(xy y x+-2)(xy y x -=|xyyx +|-|xy y x -|∵x =41,y =21,∴yx <xy .∴ 原式=xy yx +-yxxy +=2yx 当x =41,y =21时,原式=22141=2.【点评】解本题的关键是利用二次根式的意义求出x 的值,进而求出y 的值.。
二次根式单元测试〔中考实战〕一.选择题〔共 10 小题〕1.〔2021?宜昌〕假设式子在实数范围内有意义,那么x 的取值范围是〔〕A .x=1B .x ≥1C .x >1D . x < 12.〔2021?宜宾〕二次根式的值是〔〕A .﹣3B .3 或﹣ 3C .9D . 33.〔2021?新疆〕以下各式计算正确的选项是〔 〕A .B . 〔﹣ 3〕 ﹣2=﹣C .a 0=1D .4.〔2021?泸州〕设实数 a ,b 在数轴上对应的地址以以下图,化简 的结果是〔〕A .﹣2a+bB .2a+bC .﹣ bD . b5.〔2021?凉山州〕,那么 2xy 的值为〔〕A .﹣15B .15C .D .6.〔2021?襄阳〕函数 y= 的自变量 x 的取值范围是〔〕A .x >0B .x ≥﹣ 2C .x >﹣ 2D . x ≠﹣27.〔2021?济宁〕 a 为实数,那么等于〔 〕A .aB .﹣aC .﹣1D . 0.〔 荆门〕假设 =〔 x+y 〕 2,那么 x ﹣y 的值为〔〕8 2021?A .﹣1B .1C .2D . 39.〔 2004?泰州〕假设代数式 +的值为 2,那么 a 的取值范围是〔〕A .a ≥4B .a ≤2C .2≤a ≤4D . a=2 或 a=410.〔 2002?鄂州〕假设 x <0,且常数 m 满足条件,那么化简所得的结果是〔〕A .xB .﹣xC .x ﹣2D . 2﹣ x二.填空题〔共 12 小题〕11.〔2021?盘锦〕假设式子有意义,那么x的取值范围是_________.12.〔2021?自贡〕函数中,自变量x的取值范围是_________.13.〔2021?眉山〕直线 y=〔3﹣a〕x+b﹣2 在直角坐标系中的图象以以下图,化简:=_________ .14.〔2021?孝感〕使是整数的最小正整数n= _________.15.〔2021?黔东南州〕把根号外的因式移到根号内后,其结果是_________.16.〔2002?娄底〕假设=﹣1,那么 x _________.17.〔2001?沈阳〕 x≤1,化简=_________ .18.〔2021?肇庆〕计算的结果是_________.19.〔2021?大连〕计算:〔〕〔〕=_________ .20.〔2006?厦门〕计算:〔?〔〕﹣1= _________.〕 +21.〔2007?河池〕化简:=_________.22.〔2021?威海〕计算的结果是_________ .三.解答题〔共 8 小题〕23.〔2003?海南〕先化简,后求值:〔x+1〕2﹣x〔x+2y〕﹣2x ,其中 x= +1,y=﹣1.24.计算题:〔1〕;〔2〕.25.计算:〔﹣〕226.计算:.27.计算: 12.28.〔2021?鄂尔多斯〕〔1〕计算﹣ 22+﹣〔〕﹣1×〔π﹣〕0;〔2〕先化简,再求值:÷〔a+〕,其中a=﹣1,b=1.30.〔2021?绵阳〕〔1〕计算:〔π﹣ 2〕0﹣|+ |×〔﹣〕;〔2〕化简:〔 1+ 〕+〔2x﹣〕1 .以下说法正确的选项是〔〕A.假设a2a,那么a<0B.假设a2,那么aaC. a 4b8 a 2b4D. 5 的平方根是5m 12 .二次根式32(m 3) 的值是〔〕A.3 2B.2 3C.2 2D. 03 .化简| x y| x 2 ( x y0) 的结果是〔〕A.y 2x B.y C.2x y D.y4 .假设a是二次根式,那么a, b 应满足的条件是〔〕bA.a, b 均为非负数B. a, b 同号C. a≥ 0, b>0D.ab5 . a<b,化简二次根式3〕a b 的正确结果是〔A.a ab B. a ab29.〔2021?仙桃〕先化简,再求值:,其中x=2﹣.C.a ab D.a ab16 .把m根号外的因式移到根号内,得〔〕m14.计算:122718;(348 4 27 2 3)。
二次根式单元测试题及答案word一、选择题(每题3分,共30分)1. 下列选项中,哪一个是二次根式?A. \(\sqrt{2}\)B. \(2\sqrt{2}\)C. \(\sqrt{2} + 1\)D. \(\sqrt{2} \times 3\)答案:A2. 计算 \(\sqrt{4}\) 的值是多少?A. 1B. 2C. 4D. -2答案:B3. 如果 \(x = \sqrt{9}\),那么 \(x\) 的值是多少?A. 3B. -3C. 3或-3D. 9答案:A4. 将 \(\sqrt{3} \times \sqrt{3}\) 化简,结果是多少?A. \(\sqrt{9}\)B. \(3\sqrt{3}\)C. 3D. \(\sqrt{3}\)答案:C5. 计算 \(\sqrt{16} - \sqrt{4}\) 的值是多少?A. 2B. 4C. 0D. 2\(\sqrt{2}\)答案:A6. 根据二次根式的性质,\(\sqrt{a^2} = |a|\),下列哪个选项是正确的?A. \(\sqrt{(-2)^2} = 2\)B. \(\sqrt{(-2)^2} = -2\)C. \(\sqrt{(-2)^2} = \pm 2\)D. \(\sqrt{(-2)^2} = -\sqrt{2}\)答案:A7. 计算 \(\sqrt{2} + \sqrt{2} = ?\)A. \(2\sqrt{2}\)B. \(\sqrt{4}\)C. 4D. \(\sqrt{8}\)答案:A8. 已知 \(a = \sqrt{7}\),\(b = \sqrt{3}\),那么 \(a^2 - b^2\) 的值是多少?A. 4B. 7C. 10D. 14答案:C9. 下列哪个表达式可以化简为 \(\sqrt{2}\)?A. \(\sqrt{4}\)B. \(\sqrt{8} \div 2\)C. \(\sqrt{2} \times \sqrt{2}\)D. \(\sqrt{2} + \sqrt{2}\)答案:B10. 计算 \(\sqrt{25} \times \sqrt{4}\) 的值是多少?A. 10B. 20C. 50D. 100答案:A二、填空题(每题4分,共20分)1. \(\sqrt{81}\) 的值是 ________。
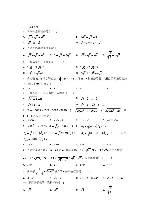
一、选择题1.下列计算正确的是( )A =B .3=C 2=D 2.下列各式计算正确的是( )A =B .2=C =D =3.下列运算中,正确的是 ( )A . 3B .×=6C . 3D .4.若实数m 、n 满足等式02m +=-,且m 、n 恰好是等腰ABC 的两条边的边长,则ABC 的周长( ) A .12B .10C .8D .65.下列方程中,有实数根的方程是( )A 0=B 10=C 2=D 1=.6.若2019202120192020a =⨯-⨯,b =,c a ,b ,c 的大小关系是( ) A .a b c <<B .a c b <<C .b a c <<D .b c a <<7.设,n k 为正整数,1A =2A =3A =4A =…k A =….,已知1002005A =,则n =( ).A .1806B .2005C .3612D .40118.下列计算或判断:(1)±3是27的立方根;(2;(32;(4;(5)A .1个B .2个C .3个D .4个9.使式子214x -x 的取值范围是( ) A .x≥﹣2B .x >﹣2C .x >﹣2,且x ≠2D .x≥﹣2,且x ≠210.下列属于最简二次根式的是( )A B CD二、填空题11.将2(3)(0)3a a a a-<-化简的结果是___________________.12.已知a ,b 是正整数,且满足15152()a b+是整数,则这样的有序数对(a ,b )共有____对.13.如果表示a 、b 的实数的点在数轴上的位置如图所示,那么化简|a ﹣b |+2()a b +的结果是_____.14.下面是一个按某种规律排列的数阵:11第行325 62第行7223 10 11 233第行 13154 1732 19254第行根据数阵排列的规律,第 5 行从左向右数第 3 个数是 ,第 n (n 3≥ 且 n 是整数)行从左向右数第 n 2- 个数是 (用含 n 的代数式表示). 15.已知:5+22可用含x 2=_____. 16.已知整数x ,y 满足20172019y x x =+--,则y =__________.17.把1a- 18.计算:200820092+323⋅-=_________.19.20n n 的最小值为___20.1+x有意义,则x 的取值范围是____.三、解答题21.先阅读下列解答过程,然后再解答:2m n +,a b ,使a b m +=,ab n =,使得22)a b m +=a b n =)a b ==>7,12m n ==,由于437,4312+=⨯=,即:227+=,=2===+。
二次根式单元测试一、填空题(3×10=30)1.数5的平方根是 ,算术平方根是 ;2。
4的平方根是 ,a 2的算数平方根是 ;3。
若二次根式有意义,则的取值范围是___________. 4。
已知,则。
5.比较大小:。
6。
在实数范围内因式分解:。
7。
若,则__________。
82111a a a +-=-成立的条件是 ; 9.16a -是整数,则非负整数a = ,16a -的值为 ;10.在一个半径为2m 的圆形纸片上截出一个面积最大的正方形,则这个正方形的边长是 .二。
选择题(3×8=24)11.2x -,二次根式能表示的最小实数是( )A 。
0 B.2 C 2 D 。
不存在4.若x<0,则xx x 2-的结果是( ) A .0 B .—2 C .0或—2 D .25.下列二次根式中属于最简二次根式的是( )A .14B .48C .ba D .44+a 6. 已知25523y x x =---则2xy 的值为( )A .15-B .15C .152-D . 152 7.化简6151+的结果为( ) A .3011 B .33030 C .30330 D .1130 8.小明的作业本上有以下四题:①24416a a =; ②a a a 25105=⨯; ③a aa a a =•=112;④a a a =-23.做错的题是( )A .①B .②C .③D .④9.若最简二次根式a a 241-+与的被开方数相同,则a 的值为( )A .43-=a B .34=a C .a=1 D .a= -1 10. 计算221-631+8的结果是( ) A .32-23 B .5-2C .5-3D .22 三.解答题(共66分)19。
(16分)计算:(1)21437⎪⎪⎭⎫ ⎝⎛- (2) )459(43332-⨯(3)2484554+-+ (4)2332326--20.(5分)化简求值:2a (a+b )-(a+b )2,其中ab;21。
第21章 二次根式单元测试(时间90分钟,满分100分)一、选择题(每小题2分,共20分) 1.下列式子一定是二次根式的是( )A .2--xB .xC .22+xD .22-x 2.若b b -=-3)3(2,则( )A .b>3B .b<3C .b ≥3D .b ≤3 3.下面计算正确的是( )A.3333+=B.2733÷=C.235= D.2(2)2-=-4.若x<0,则xx x 2-的结果是( )A .0B .—2C .0或—2D .2 5.下列二次根式中属于最简二次根式的是( ) A .14 B .48 C .baD .44+a 6. 已知25523y x x =-+--,则2xy 的值为( )A .15-B .15C .152-D . 1527.小明的作业本上有以下四题:①24416a a =; ②a a a 25105=⨯; ③a aa a a =∙=112;④a a a =-23。
做错的题是( )A .①B .②C .③D .④ 8.化简6151+的结果为( )A .3011 B .33030 C .30330 D .1130 9.若最简二次根式a a 241-+与的被开方数相同,则a 的值为( ) A .43-=a B .34=a C .a=1 D .a= —110. 计算221-631+8的结果是( ) A .32-23 B .5-2C .5-3D .22二、填空题(每小题2分,共20分)11.①=-2)3.0( ;②=-2)52( 。
12.二次根式31-x 有意义的条件是 。
13.若m<0,则332||m m m ++= 。
14.1112-=-∙+x x x 成立的条件是 。
15.比较大小:32 π。
16.=∙y xy 82 ,=∙2712 。
17.计算3393aa a a-+= 。
18.23231+-与的关系是 。
19.若35-=x ,则562++x x 的值为 。