浅析几种系综熵的统一表述
- 格式:doc
- 大小:253.00 KB
- 文档页数:11
信息熵与热力学熵信息熵与热力学熵December 2nd, 2011化学及热力学中所指的熵,是一种测量在动力学方面不能做功的能量总数。
熵亦被用于计算一个系统中的失序现象,用来衡量一个系统混乱程度的度量。
热力学熵熵是什么呢?宏观上--体系的熵等于可逆过程吸收或耗散的热量除以它的绝对温度,也就是一种测量在动力学方面不能做功的能量总数。
微观上--熵是大量微观粒子的位置和速度的分布概率的函数,是描述系统中大量微观粒子的无序性的宏观参数。
举例来讲果我们能看到橡皮筋的分子结构,我们会发现它的结构在拉紧和放松的状态时是不一样的。
放松的时候它的分子结构像一团乱麻交织在一起。
而在把橡皮筋拉长的时候,那些如同链状的分子就会沿着拉伸的方向比较整齐地排列起来。
于是我们可以看到两种状态:一种是自然,或者自发的状态。
在这种状态下结构呈混乱或无序状。
而另一种是在外界的拉力下规则地排列起来的状态。
这种无序的状态还可以从分子的扩散中观察到。
用一个密封的箱子,中间放一个隔板。
在隔板的左边空间注入烟。
我们把隔板去掉,左边的烟就会自然(自发)地向右边扩散,最后均匀地占满整个箱体。
这种状态称为无序。
在物理学里我们可以用熵的概念来描述某一种状态自发变化的方向。
比如把有规则排列的状态称为低熵而混乱的状态对应于高熵而熵则是无序性的定量量度。
热力学第二定律的结论是:一个孤立系统的熵永不减少。
换句话说,物质世界的状态总是自发地转变成无序;从低熵变到高熵。
比如,当外力去除之后,整齐排列的分子就会自然地向紊乱的状态转变;而箱子左边的烟一定会自发地向右边扩散。
这就是著名的熵增定律,熵增原理表示自然界会越来越无序。
信息熵那么信息熵是什么呢?一个 X 值域为x1,...,xn的随机变量的熵值 H 定义为:其中,E 代表了期望函数,而 I(X) 是 X 的信息量(又称为信息本体)。
I(X) 本身是个随机变量。
如果p 代表了X 的机率质量函数(probability mass function),则熵的公式可以表示为:信息熵可以认为是系统中所含有的平均信息量大小,也可以认为是描述一个系统需要的最小存储空间长度,即最少用多少个存储空间就可以描述这个系统。
正则系综
1)任意物理量的平均值:物理量A 在⼀切可能的
系统微观状态上的统计平均值2)定义能量涨落:为在⼀切可能
系统微观状态上的统计平均值3)能量相对涨落1、内能(由系综理论:内能U
是在给定N 、V 、T 的
条件下,系统的能量E 在⼀切可能的系统微观状态上
的平均值。
)2、⼴义⼒(系统状态确定在S
时,受⼒为)3、压强
4、熵(已知热⼒学中熵的表达式(闭系))下⾯由统计⼒学中的内能和⼴义⼒的表达式来构造类似的全微分公式。
5、⾃由能
正则系综理论是通过特性函数⾃由能F (N,V,T )来求其他热⼒学函数的能量的涨落适⽤对象:具有确定粒⼦数N,体积V 和温度T
的系统。
分析:具有确定的N,V,T 值的系统可设想为与⼤热源接触⽽达到平衡的系统。
配分函数
1.正则分布的量⼦表达式
2.正则分布的经典表达式正则分布热⼒学函数⼦项⽬
正则系综。
大学物理专题熵在热力学中,熵是一个非常重要的概念。
它被定义为系统无序程度的度量,对于一个封闭系统,熵增加意味着系统从有序向无序演化。
本篇文章将探讨熵在大学物理中的应用。
熵是系统无序程度的度量,它可以通过计算系统所有可能微观状态的概率来定义。
在统计物理学中,熵被定义为:S=k*lnW,其中k是玻尔兹曼常数,W是系统所有可能微观状态的数量。
熵的物理意义在于它表示了系统内部能量的分布。
在一个封闭系统中,当熵增加时,系统内部的能量分布更加均匀,意味着系统的每个部分都具有相同的能量。
因此,当系统达到最大熵时,系统的每个部分都具有相同的温度和压力。
热力学第二定律指出,在一个封闭系统中,熵总是增加的。
这意味着,系统总是朝着能量分布更加均匀的方向演化。
这个定律是热力学的基础之一,它说明了自然界的趋势是朝着更加无序的方向发展。
热力学:在热力学中,熵是一个非常重要的概念。
它被用来描述系统的状态,并且是决定系统是否能够进行热力学的关键因素之一。
统计物理学:在统计物理学中,熵被用来描述系统的微观状态。
它可以帮助我们理解系统的行为和性质。
宇宙学:在宇宙学中,熵被用来描述宇宙的演化。
由于宇宙的演化是朝着更加无序的方向发展,因此熵是描述宇宙演化的一个重要工具。
在大学物理中,熵是一个非常重要的概念。
它被用来描述系统的无序程度和能量的分布。
通过理解熵的概念和应用,我们可以更好地理解自然界的规律和现象。
熵,这个看似简单却意义深远的物理量,无论在科学还是日常生活中都扮演着重要的角色。
然而,许多人可能对其定义和物理意义并不十分了解。
本文将探讨熵的定义和熵的物理意义,以及它在我们生活和工作中的应用。
让我们来看看熵的定义。
在热力学中,熵被定义为系统的混乱度或无序度的度量。
这是一个抽象的概念,但在物理学中,我们通常用它来描述系统中的能量分布或转化。
换句话说,熵描述了系统中的能量是如何被分散或集中,以及这种分散或集中的程度。
从数学角度来看,熵通常被表示为S,其公式为S = k * lnW,其中k为玻尔兹曼常数,W为系统可能的状态数。
热力学第二定律和熵专业:能源与动力工程班级:能源14-3班姓名:王鑫学号:1462162330熵的表述在经典热力学中,可用增量定义为式中T为物质的热力学温度;dQ为熵增过程中加入物质的热量,下标“可逆”表示加热过程所引起的变化过程是可逆的。
若过程是不可逆的,则dS>(dQ/T)不可逆。
单位质量物质的熵称为比熵,记为S。
熵最初是根据热力学第二定律引出的一个反映自发过程不可逆性的物质状态参量。
热力学第二定律是根据大量观察结果总结出来的规律,有下述表述方式:①热量总是从高温物体传到低温物体,不可能作相反的传递而不引起其他的变化;②功可以全部转化为热,但任何热机不能全部地,连续不断地把所接受的热量转变为功(即无法制造第二类永动机);③在孤立系统中,实际发生过程,总使整个系统的熵值增大,此即熵增原理。
摩擦使一部分机械能不可逆地转变为热,使熵增加。
热量dQ由高温(T1)物体传至低温(T2)物体,高温物体的熵减少dS1=dQ/T1,低温物体的熵增加dS2=dQ/T2,把两个物体合起来当成一个系统来看,熵的变化是dS=dS2-dS1>0,即熵是增加的。
熵的相关定义1.比熵:在工程热力学中,单位质量工质的熵,称为比熵。
表达式为δq=Tds,s称为比熵,单位为J/ (kg·K) 或kJ/ (kg·K)。
2.熵流:系统与外界发生热交换,由热量流进流出引起的熵变。
熵流可正可负,视热流方向而定。
3.熵产:纯粹由不可逆因素引起的熵的增加。
熵产永远为正,其大小由过程不可逆性的大小决定,熵产为零时该过程为可逆过程。
熵产是不可逆程度的度量。
熵增原理孤立系统的熵永不自动减少,熵在可逆过程中不变,在不可逆过程中增加。
熵增加原理是热力学第二定律的又一种表述,它比开尔文、克劳修斯表述更为概括地指出了不可逆过程的进行方向;同时,更深刻地指出了热力学第二定律是大量分子无规则运动所具有的统计规律,因此只适用于大量分子构成的系统,不适用于单个分子或少量分子构成的系统实质:熵增原理指出:凡事是孤立系统总熵减小的过程都是不可能发生的,理想可逆的情况也只能实现总熵不变,实际过程都不可逆,所以实际热力过程总是朝着使孤立系统总熵增大的方向进行,dS>0。
熵是一个描述系统无序程度的物理量,它是热力学、信息论和统计物理等领域的重要概念。
熵的概念最早由德国物理学家克劳修斯在1850年提出,源于希腊语,意为“弄清”或“查明”。
熵在物理学中主要用于度量热力学系统的无序程度,而在信息论中,熵是对不确定性的度量。
在热力学中,熵是物质无序度(混乱度)的量度。
在隔离体系(孤立系统)中,自发反应总是朝着熵增加的方向进行。
熵变等于热量微源除以T的积分,其中T为温度。
熵变可以用来判断热力过程是否为可逆过程。
对于可逆过程,熵变为0;对于不可逆过程,熵变大于0。
在化学反应中,反应物和产物都处于标准状态下时,反应过程的熵变称为该反应的标准熵变。
在信息论中,熵是模糊变量不确定性的一种度量。
模糊集用来描述元素无法明确界定是否属于给定集合的集合类,模糊变量则是取值于这种具有不确定性的模糊集的变量。
熵在信息论中的应用主要体现在处理模糊信息,例如在决策树分类中,熵用于度量数据有序还是无序。
熵的概念在物理学、信息论等领域具有重要意义,它有助于我们理解和描述系统的无序程度和不确定性。
静熵和总熵
【实用版】
目录
1.静熵和总熵的定义
2.静熵和总熵的关系
3.静熵和总熵的应用
正文
静熵和总熵是热力学中两个重要的概念。
静熵指的是一个系统在静态状态下的熵,也就是系统在没有任何外部干扰下的混乱程度。
总熵则指的是一个系统在任意状态下的熵,包括系统在静态和动态状态下的熵。
静熵和总熵的关系可以用热力学第一定律来描述。
根据热力学第一定律,系统的总熵等于其静熵加上系统所吸收的热量和对外做的功。
这个公式表明了系统的总熵是由其静熵和外部输入的热量和功共同决定的。
静熵和总熵在热力学中有广泛的应用。
例如,在研究热机效率时,我们通常会使用静熵和总熵。
热机效率定义为系统输出的功与系统吸收的热量之比。
通过比较系统的静熵和总熵,我们可以了解热机效率的高低,从而评估热机的性能。
此外,静熵和总熵也可以用于研究热力学循环,如卡诺循环。
卡诺循环是一种理想的热力学循环,它由两个等温过程和两个绝热过程组成。
通过研究卡诺循环的静熵和总熵,我们可以了解热力学循环的效率,并为提高热力学循环的效率提供理论依据。
总之,静熵和总熵是热力学中两个重要的概念,它们描述了系统的混乱程度和热力学过程。
第1页共1页。
热力学中的熵概念与应用熵是热力学中一种重要的物理量,它是描述系统无序程度的指标。
在热力学中,熵的概念与应用非常广泛,涉及到热力学定律、热机效率以及自然界中的各种现象等。
熵最初是由德国物理学家鲁道夫·克劳修斯于19世纪提出的。
他认为,在自然界中,所有系统都趋向于无序状态,即系统的熵不断增加。
简单来说,熵可以看作是表征系统混乱程度的一个量。
熵的定义可以通过热力学中的一些基本公式来说明。
根据热力学第二定律,熵的增加总是正的,即系统的熵变大于等于零。
这意味着,在任何热力学过程中,系统的熵总是增加的,而不会减少。
熵的概念在应用中起到了重要的作用。
一个典型的例子是热机效率的计算。
根据热力学第二定律,热机效率只能小于等于某个最大值,这个最大值可以由热机工作温度的比值来确定。
具体来说,热机效率等于1减去冷热源温度的比值。
熵也可以用来解释自然界中一些普遍现象。
比如,自然界中的混合过程总是趋向于增加熵。
当两种物质混合在一起时,原本有序的分子排列就变得无序了,熵增加了。
这也是为什么我们会看到,如果不进行任何干预,咖啡和牛奶会自然混合在一起,而不是分开。
此外,熵的概念还可以用来解释一些生态学中的现象。
例如,生物体的能量流通通常会受到熵增加的限制。
能量通过食物链从一个物种传递到另一个物种,但是每一级能量都会有部分耗散为热能,再也无法利用。
这就意味着,能量的转换效率越高,整个生态系统的熵就越低。
总的来说,熵是热力学中一种重要的物理量,它可以用来描述系统的无序程度。
熵的概念和应用非常广泛,涉及到热力学定律、热机效率以及自然界中的各种现象等。
了解和应用熵的概念,可以帮助我们更好地理解和解释自然界中的各种现象,同时也有助于工程和科学领域的进展。
热力学中的熵概念及应用熵是热力学中一个非常重要的概念,它描述了系统的无序程度或者混乱程度。
熵的引入为热力学提供了一个统一的理论框架,并且在各个领域都有着广泛的应用。
本文将介绍熵的基本概念,以及它在热力学中的应用。
一、熵的基本概念熵的概念最早由克劳修斯于1850年提出,它是一个系统的状态量,用S表示。
在宏观的角度,熵可以理解为系统微观状态的统计量。
熵越大,系统的无序程度越高,反之,熵越小,系统的有序程度越高。
熵的单位通常使用焦耳每开尔文(J/K)。
熵的计算公式为:S = -ΣPi ln(Pi)其中,Pi表示系统处于第i个微观状态的概率。
二、熵的增加原理根据热力学第二定律,孤立系统中熵的增加是不可逆的。
对于一个孤立系统,当系统发生任何变化时,熵都有可能增加,但是熵不会减小。
这意味着孤立系统的无序程度只会增加,而不会减小。
熵的增加原理在自然界中有着广泛的应用,比如,热传导、化学反应、生态系统的演化等。
三、熵在能量转换中的应用根据熵的增加原理,能量转化的过程中熵总是增加的。
热机是一种将热能转化为机械能的装置,而热机效率则是衡量热能转化效率的重要指标。
根据熵的增加原理,热机效率不能达到100%,因为总会有一部分热能转化为无用的热量释放到环境中,增加了系统的熵。
四、熵在信息论中的应用熵在信息论中也有着重要的应用。
信息熵是测量信息不确定性的一个指标,其中较高的信息熵表示信息的无序程度较高,较低的信息熵表示信息的无序程度较低。
信息熵的计算公式与热力学熵的计算公式非常相似。
信息熵被广泛应用于数据压缩、密码学和数据传输等领域。
五、熵在化学中的应用在化学反应中,系统的熵变可以通过反应物和生成物的物质的摩尔比来计算。
根据熵的增加原理,当化学反应发生时,系统的熵通常会增加,尤其是在发生有机合成反应时。
化学反应的平衡常数也可以通过熵变来解释。
在一些工业过程中,如燃烧和腐蚀过程,熵的概念也可以用来描述反应的无序程度。
六、熵在生态学中的应用生态学是熵在生物领域中的应用。
高中物理热力学熵问题解析热力学熵问题在高中物理学习中是一个重要的考点,也是学生们普遍感到困惑的难点之一。
本文将通过具体的题目举例,分析熵的概念和计算方法,帮助高中学生更好地理解和解决熵相关的问题。
一、熵的概念和计算方法熵是热力学中一个重要的物理量,代表了系统的无序程度。
熵的计算方法可以通过以下公式得到:ΔS = Q/T其中,ΔS表示系统的熵变,Q表示系统吸收的热量,T表示系统的温度。
熵变的单位是焦耳/开尔文(J/K)。
例如,有一个系统吸收了100焦耳的热量,温度为300开尔文,那么系统的熵变可以计算为:ΔS = 100 J / 300 K = 0.33 J/K二、熵的应用举例1. 熵的增加与热传导假设有一个金属棒,一端放在火焰中受热,另一端放在冷水中冷却。
当金属棒从火焰一端传导热量到冷水一端时,系统的熵会发生变化。
根据熵的计算公式,可以得知热量的传导会导致系统的熵增加。
这个例子可以帮助学生理解熵与热传导的关系,以及熵增加的原因。
同时,还可以引导学生思考其他与熵增加相关的现象,如热传导导致的能量损失等。
2. 熵的增加与过程的不可逆性在自然界中,很多过程都是不可逆的,而熵的增加与过程的不可逆性有着密切的关系。
例如,一个气体从高压区域流向低压区域,系统的熵会增加。
这是因为气体分子从高压区域向低压区域运动是不可逆的,导致系统的无序程度增加。
通过这个例子,可以帮助学生理解熵与过程的不可逆性之间的联系。
同时,还可以引导学生思考其他与不可逆过程相关的现象,如摩擦、热传导等。
三、解题技巧和注意事项在解决熵相关的问题时,有一些常用的解题技巧和注意事项可以帮助学生提高解题效率和准确性。
1. 确定系统和周围的界限在计算熵变时,首先需要明确系统和周围的界限。
系统是指我们要研究的物体或物质,周围是指与系统发生能量交换的其他物体或物质。
明确界限有助于准确计算系统的热量和温度。
2. 注意热量的正负在计算熵变时,需要注意热量的正负。
热力学中的熵从无序到有序的物理学观点熵是热力学中一个重要的概念,它描述了系统的无序程度。
从物理学的角度来看,熵的变化可以被解释为系统内微观状态的变化。
本文将从物理学的角度解释熵的无序到有序的演变,并探讨其在热力学中的重要性。
一、熵的概念解释熵是热力学中一个基本的概念,它描述了系统的无序程度或混乱程度。
熵的数值越大,系统的无序程度越高,反之亦然。
熵在传统的热力学中通常用符号S表示。
熵的单位是焦耳/开尔文(J/K)。
熵的定义是基于玻尔兹曼熵公式而得到的。
根据玻尔兹曼熵公式,系统的熵可表示为S = k lnΩ,其中k是玻尔兹曼常数,Ω是系统的微观状态数。
简单来说,熵正比于系统的微观状态数的对数。
二、从无序到有序的物理学观点1. 无序态的熵在热力学系统处于无序状态时,熵的值较高。
这是因为无序态对应着系统的多种可能的微观状态。
例如,理想气体在均匀分布于一个容器中时,其分子有多种可能的排列和运动方式。
这样的多样性导致了系统的熵较高。
2. 有序态的熵当系统逐渐趋于有序态时,熵的值会降低。
有序态意味着系统的微观状态数减少,系统的排列和运动方式趋于有限且有规律。
例如,当理想气体被压缩成一个容器的一角时,分子的排列和运动方式将被限制,系统的微观状态数减少,熵减小。
三、熵变与无序到有序过程在热力学中,熵的变化可以通过熵变来表示。
系统的熵变(ΔS)与系统发生的热交换和做功有关。
根据热力学第二定律,一个孤立系统的熵不会减少,即ΔS ≥ 0。
因此,一个孤立系统内的无序度只能增加或保持不变。
当系统从无序态向有序态转变时,其熵变必然大于零。
这意味着转变过程中系统的无序度增加。
例如,当一杯糖在水中溶解时,最初的熵较低,因为糖分子有序地排列在一起。
溶解过程中,糖分子逐渐散开并与水分子混合,系统的无序度增加,熵变为正值。
四、熵的重要性及应用熵在热力学中起着重要的作用。
它是评价系统状态的重要参数,与能量转化、热力学过程以及不可逆性等密切相关。
1 熵概念的产生约150年前,科学家在发现热力学第一定律(能量守恒定律)之后不久,又在研究热机效率的理论时发现,在卡诺热机完成一个循环时,它不仅遵守能量守恒定律,而且工作物质吸收的热量Q 与当时的绝对温度T (T= t+273.16℃, t 为摄氏温标)的比值之和∑(Q/T)为零(Q, T 均不为零)。
鉴于以上物理量有这一特性,1865年德国科学家克劳修斯就把可逆过程中工质吸收的热量Q 与绝对温度T 之比值称为Entropy (即熵)。
从此,一个新概念伴随着热力学第二定律就在欧洲诞生了,Entropy 很快在热力学和统计力学领域内占据了重要地位。
1923年德国科学家普朗克来我国讲学用时,在我国字典里还找不到与之对应的汉字,胡刚复教授翻译时就在商字的上加了个火字(表示与热有关)来代表Entropy ,从而在我国的汉字库里出现了“熵”字。
11978年改革开放以后,钱三强率领我国科学家访问欧洲,带回了红极一时的耗散结构理论(比利时科学家普里高津((LPrigogine)创立,并因此获得物理诺贝尔奖),此理论对热力学问题、熵概念和热寂论多有涉及。
从此以后,“熵”成为我国学术界的热门议题,各领域的学者也就“熵”概念与熵原理发表了意见。
1987年上海译文出版社出版了美国学者里夫金(J.Rifkin)和霍华德2(THoward)著的书《Entropy, A New World View))(《熵,一种新的世界观》),于是熵这个概念在中国大地上流行起来,大学教授、改革家、哲学家以及许多学者就“熵”概念和理论发表的见解也多了起来,从此熵在我国开始了广泛的研究。
1986年新疆气象研究所的张学文建议各行业都设法把熵概念和熵原理引入到自己的领域,提出了组织跨学科研究熵的想法,并在1987年组织召开了第一届“熵与交叉科学研讨会”,该研讨会每2年开一次,一直延续至今。
国内对熵概念和熵理论的深入研究,极大的推动了熵在气象学、信息科学、股票投资、管理决策以及基础理论等各个领域的拓展,活跃了我国的科学与社会思想。
热力学关系的统一形式
热力学关系是三个主要定律的统一的解释,是物理中一个重要的概念。
其一,
热力学定律,它有关能量的吸收、转换和放射。
它说明了能量在一定的条件下,可以自发地从一段传到另一段,但不会自发永久地保存、垒在某一方向。
其二,熵定律,即物质的变化是有极限的,物质在同一温度下,熵总是逐渐增大,可以说熵定律是一种发展趋势,即热量会从高熵到低熵的变化过程。
最后,热力学第三定律,它表明绝对零度是物质运动的物理温度的一个有限值,即无法达到零度以下的温度。
热力学定律的统一解释是:当某一物质处于固定的温度时,物质的热量总是会朝熵增加的目标变化,它是不可逆的。
熵定律表明,熵总是增加,反过来表明,物质的能量朝着极端永远不会静止的方向转移,这与热力学第三定律息息相关。
热力学第三定律指出,再怎么降低温度,也不可能达到完全温度稳定状态,即零度绝对零度,也就是温度不能自发向更低的方向变动。
从上文可以看出,热力学定律的统一解释是物质的能量总是会流向熵增加的方向变化,并且它的移动不可逆,从而可以看出物质的热量会从一段热气转移到另外一段,也不会停止不变,也不可能达到完全温度稳定状态,即零度绝对零度。
这就是宏
观角度下热力学定律的统一解释。
物理教学中涉及到的几种熵及其拓展简介尹晓峰【摘要】本文着重介绍了物理教学中涉及到的克劳修斯熵、玻尔兹曼熵和信息熵的概念,详细阐述了它们的物理意义.另外本文还简单介绍了熵在其它科学领域的应用.【期刊名称】《合肥师范学院学报》【年(卷),期】2010(028)006【总页数】3页(P45-47)【关键词】信息熵;统计力学熵;玻尔兹曼熵;热力学熵;克劳修斯熵【作者】尹晓峰【作者单位】安徽大学物理与材料科学学院,安徽,合肥,230039【正文语种】中文【中图分类】G642.0熵是反映物质内部状态的一个物理量。
它不能直接测量,只能推算出来。
随着科学的发展,它几乎在每一个学科中都产生了新的变种,很难说清楚其全部成员。
熵定律存在于我们生活的每一方面,正逐步成为我们用来解释自然现象、社会现象的科学理论。
爱因斯坦曾说过“熵理论,对于整个科学来说是第一法则”。
那么熵的物理意义究竟是什么呢?本文对物理教学中涉及到的几种熵(即克劳修斯熵、玻尔兹曼熵、信息熵)的概念作了详细地介绍,同时阐述了它们的物理意义。
另外,还对熵在其它科学领域内的应用作了点简单地介绍。
文章试图使初学者对熵有较全面的了解,对物理学中涉及到的几种熵则有较深刻的认识。
热力学第二定律是独立于热力学第一定律的另一个基本规律,它要解决的是与热现象有关的能量传递和转化过程的方向性和不可逆性问题。
热力学第二定律有多种不同的表述形式,在物理化学中最常用的是下面两种说法:克劳修斯(Clausius)的说法(1850年):不可能把热从低温物体传到高温物体而不留下任何其它变化。
开尔文(Kelvin)的说法(1851年):不可能从单一热源吸热并使之全部转变为功而不留下任何其它变化。
为了能定量描述热力学第二定律,1854年德国科学家克劳修斯提出了一个新的态函数——熵 S,1865年又将热力学第二定律用不等式ΔS≥0定量来描述。
考虑到S 的物理意义与“能”相近,在字形上也应尽可能的相似,克劳修斯把它称为“entropy”,“entropy”在希腊语中的源意为“内向”,亦即“一个系统不受外部干扰时往内部最稳定态发展的特性”。
目录摘要 (1)Abstrast (1)1 绪论 (1)2 熵的定义式和熵的可加性 (2)3 各系综体系的熵 (3)3.1 微正则系综的熵 (3)3.2 正则系综的熵 (3)3.3 巨正则系综的熵 (5)3.4 等温等压系综的熵 (6)4 简述信息熵的应用 (8)5 结束语 (8)参考文献 (9)浅析几种系综熵的统一表述摘要:熵是热力学和统计物理中特有的宏观量,它蕴涵着丰富的物理含义,广泛地应用于物质结构、凝聚态物理、低温物理、化学动力学、生命科学和宇宙学以及诸如经济、社会和信息技术等领域。
本文根据微正则系统、正则系统、巨正则系统、等温等压系综的概率分布函数推导出各个系综的熵,并且推导出这几种系综的熵可用熵的定义式表示。
关键词:系综;熵;概率分布函数Analysis of Several Ensemble Entropy Unified DescriptionAbstrast:Entropy is the thermodynamics and statistical physics in the unique macro, it contains a wealth of physical meaning, is widely used in the structure of matter, condensed matter physics, low-temperature physics, chemical kinetics, life science and cosmology, such as economy, society and the information technology field.Based on microcanonical system, regular system, grand canonical system, the isothermal-isobaric ensemble probability distribution function is derived for each ensemble entropy, and deduces the several ensembles of entropy entropy can be used to define type representation.Key words:ensemble;entropy;probability distribution function1 绪论熵是一个极其重要的物理量,克劳修斯于1865年首先引入它,用来定量阐明热力学第二定律。
后来,玻耳兹曼于1872年推导了玻耳兹曼方程式和H定理;于1877年推出了玻耳兹曼关系式,赋予了熵的统计解释,大大丰富了它的物理内涵并明确了它的应用范围。
到1929年,西拉德又发现了熵与信息的关系,揭示了熵的新含义,进一步扩大了熵的应用面。
目前,不仅在自然科学与工程技术的许多领域,甚至在社会科学和人文科学中,熵也有广泛的应用。
本文就由微正则系综、正则系综、巨正则系综和等温等压系综的概率分布函数分别推导出各个系综的熵,并都可用∑-=S SkSρ㏑Sρ来表示。
2熵的定义式和熵的可加性在大多数热学[1]文献中都用熵的玻耳兹曼公式kS=㏑Ω解释其物理意义:孤立系统由非平衡态向平衡态过渡是由熵较小的宏观态向熵较大的宏观态过渡,即由微观态数少的宏观分布向包含微观状态最多的最可几分布过渡。
热力学平衡态是无序程度最大的状态,熵是系统内部微观粒子运动无序程度大小的量度。
以S ρ(S=1,2……)表示为系统处在微观状态S 的概率,S ρ满足归一化条件,即1=∑SS ρ,于是系统的熵定义为[2-4]∑-=SS k S ρ㏑S ρ (1)它作为平衡态熵k S =㏑Ω的推广,也适用于非平衡态,还作为信息熵的定义。
态函数熵是广延量,它的基本属性是可加性。
设系统由两个子系统A 、B 组成,S ρ、A S ρ、BS ρ分别表示处在微观状态S 时的系统,A 子系统,B 子系统的解释,且子系统A 、B 服从统计独立性质,则有S ρ=A S ρ⋅BS ρ 即 ㏑S ρ=㏑A S ρ+㏑B S ρ又A S ρ、B S ρ满足归一化条件:1=∑A A S S ρ,1=∑BB S S ρ 则S ρ也满足归一化条件:1=∑B A S S S ρ则 ∑-=BA S S S k S ρ㏑S ρ()A B A B A B S S S S S S k ρρρρ=-⋅∑㏑ ()A B A B A B S S S S S S k ρρρρ=-∑㏑+㏑ =A A B B B A A B B A S S S S S S S S S S k ρρρρρρ⎛⎫⎛⎫⎛⎫⎛⎫- ⎪⎪ ⎪⎪⎝⎭⎝⎭⎝⎭⎝⎭∑∑∑∑㏑㏑A B S S =+ (2) 以上说明(1)式定义的熵函数满足可加性的要求。
3 各系综体系的熵系综[5]是在一定的宏观条件下,大量性质和结构完全相同的,处于各种运动状态的,各自独立的系综的集合。
系综是统计理论的一种表达方式,是假想的概念,它并不是真实的客观实体,真实的实体是组成系综的一个个系统,这些系统具有完全相同的力学性质。
吉布斯把整个系统作为统计的个体,提出研究大量系统构成的系综在相宇中的分布,克服了气体动理论的困难,建立了统计物理。
在平衡态统计理论中,对于能量和粒子数固定的孤立系统,采用微正则系综;对于可以和大热源交换能量但粒子数固定的系统,采用正则系综;对于可以和大热源交换能量和粒子的系统,采用巨正则系综。
等温等压系综是正则系综的推广,对应于具有恒定温度和压强的体系。
下面就根据学过的理论知识[6,7]推导出熵在这四种系综中的统一表达式。
3.1 微正则系综的熵微正则系综研究的是孤立系统,是由许多具有相同能量,粒子数,体积的体系的集合。
在微正则系综中,概率分布函数为1S ρ==Ω常数,且1=∑S S ρ,并满足等概率原理的基本假设,可推导出微正则系综的熵k S =㏑Ω (3) 且该熵的表达式(3)只适用于微正则系综则 1S S S S S SS S k k k k ρρρρρ=Ω==-=-∑∑㏑㏑㏑㏑ (4) 说明微正则系综的熵可用熵的定义式(1)表示。
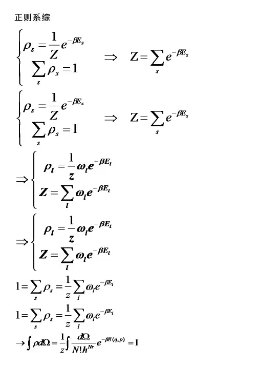
3.2 正则系综的熵通常,正则系综内每个体系的粒子数和体积都是相同的。
但每个体系都可以和系综内其他体系交换能量。
同时系综里所有体系的能量之和,以及所有系综的总个数是固定的。
在这些条件下,当系综内所有体系被分配到不同的微观态上,我们发现:每个状态上的体系个数正比于E e β-。
其中1B k Tβ=,B k 是玻耳兹曼常数,T 是绝对温度。
正则系综的配分函数Z 是: S E SZ e β-=∑由于满足归一化条件:1=∑S S ρ则在正则系综中,概率分布函数为:1S E S e Zβρ-= 内能是在给定粒子数N 、体积V 、温度T 的条件下,系统的能量在一切可能的微观状态上的平均值。
因此11S S E E S S SU E E e e Z Z βββ--⎛⎫∂===- ⎪∂⎝⎭∑∑Z β∂=-∂㏑ 由热力学和统计物理知识可得熵的表达式:S k Z Z ββ⎛⎫∂=- ⎪∂⎝⎭㏑㏑ (5) 且该熵的表达式(5)只适用于正则系综。
由统计物理得:S S S U E E ρ==∑,1=∑SS ρ则 S k Z Z ββ⎛⎫∂=- ⎪∂⎝⎭㏑㏑ ()k U Z β=+㏑S S S k E Z βρ⎛⎫=+ ⎪⎝⎭∑㏑()S S S S S k E Z ρβρ⎡⎤=-⋅--⋅⎢⎥⎣⎦∑∑㏑()S S S k E Z ρβ⎡⎤=-⋅--⎢⎥⎣⎦∑㏑ 1SE S S k e Z βρ-⎡⎤⎛⎫=-⋅⋅ ⎪⎢⎥⎝⎭⎣⎦∑㏑ S S Sk ρρ=-∑㏑ (6)说明正则系综的熵能用熵的定义式(1)来表示。
3.3 巨正则系综的熵在巨正则系综中,每个系综内的体系不仅可以和其他体系交换能量,也可以交换粒子,但系综内各体系的能量总和以及粒子数总和都是固定的。
当然系综内的体系总数也是固定不变的,而且各体系的体积是保持在一个固定值上。
巨正则系综对应于具有确定温度T 、确定体积V 和确定化学势μ的体系。
在巨正则系综中,巨配分函数为:s N E Nse αβ--Ξ=∑由于满足归一化条件:1=∑S S ρ则概率分布函数[8]为:1s N E Ns e αβρ--=Ξ由于在系统的各个可能的微观状态中,其粒子数和能量值不是确定的,系统的平均粒子数N 是粒子数N 对给定V 、T 、μ条件下一切可能的微观状态上的平均值:1s N E NsN Ne αβ--=Ξ∑ 1s N E Nse αβα--∂⎛⎫=- ⎪Ξ∂⎝⎭∑1α∂⎛⎫=-Ξ ⎪Ξ∂⎝⎭α∂=-Ξ∂㏑ 内能U 是能量E 的统计平均值:1s N E sNsU E E e αβ--==Ξ∑ 1S N E Nse αββ--⎛⎫∂=- ⎪Ξ∂⎝⎭∑1β⎛⎫∂=-Ξ ⎪Ξ∂⎝⎭β∂=-Ξ∂㏑由热力学和统计物理知识可得熵的表达式:S k αβαβ⎛⎫∂∂=Ξ-Ξ-Ξ ⎪∂∂⎝⎭㏑㏑㏑(7) 且该熵的表达式(7)只适用于巨正则系综。
由统计物理得:s Ns Ns U E E ρ==∑,Ns Ns N N ρ=∑,1Ns Nsρ=∑则 S k αβαβ⎛⎫∂∂=Ξ-Ξ-Ξ ⎪∂∂⎝⎭㏑㏑㏑()k N U αβ=Ξ++㏑Ns s Ns Ns Ns Ns Ns k N E αρβρρ⎛⎫=----Ξ⎪⎝⎭∑∑∑㏑()Ns s Nsk N E ραβ=----Ξ∑㏑1s N E Ns Nsk e αβρ--⎛⎫=-⋅ ⎪Ξ⎝⎭∑㏑ Ns Ns Nsk ρρ=-∑㏑ (8)这说明巨正则系综的熵可用熵的表达式(1)来表示。
3.4 等温等压系综的熵等温等压系综是正则系综的推广,是统计系综的一种。
这个系综对应于具有恒定温度和压强的体系。
每个系综内的体系可以和其他体系进行能量和体积交换。
但系综内各体系的能量总和以及体积总和是固定的,而且各体系有相同的粒子数。
在等温等压系综中,其配分函数为:V E V eγγγβ--∆=∑由于满足归一化条件:1V V γγρ=∑则概率分布函数为[9]:1V E V e γγγβρ--=∆由热力学和统计物理知识可知内能、体积和熵分别为,NU E γβ⎛⎫∂∆==- ⎪∂⎝⎭㏑ ,NV βγ⎛⎫∂∆=- ⎪∂⎝⎭㏑ ,,N N S k γββγβγ⎡⎤⎛⎫⎛⎫∂∆∂∆=∆--⎢⎥ ⎪ ⎪∂∂⎝⎭⎝⎭⎢⎥⎣⎦㏑㏑㏑ (9) 且该熵的表达式(9)只适用于等温等压系综。
由统计物理得:V V U E E γγγρ==∑ V V V V γγρ=∑ 1V V γγρ=∑则 ,,N N S k γββγβγ⎡⎤⎛⎫⎛⎫∂∆∂∆=∆--⎢⎥ ⎪ ⎪∂∂⎝⎭⎝⎭⎢⎥⎣⎦㏑㏑㏑ ()k U V βγ=∆++㏑ V V V V V V k V E γγγγγγγγρβρρ⎛⎫=----∆* ⎪ ⎪⎝⎭∑∑∑㏑ ()V V k V E γγγργβ=----∆∑㏑ 1N E V V k e γγγγβρ--⎛⎫=-⋅ ⎪∆⎝⎭∑㏑ V V V k γγγρρ=-∑㏑ (10) 这说明等温等压系综的熵可用熵的定义式(1)来表示。