函数极限与连续习题加答案
- 格式:doc
- 大小:1.04 MB
- 文档页数:25
1、函数()12++=x xx f 与函数()113--=x x x g 相同.错误 ∵当两个函数的定义域和函数关系相同时,则这两个函数是相同的。
∴()12++=x x x f 与()113--=x x x g 函数关系相同,但定义域不同,所以()x f 与()x g 是不同的函数。
2、如果()M x f >(M 为一个常数),则()x f 为无穷大.错误 根据无穷大的定义,此题是错误的。
3、如果数列有界,则极限存在.错误 如:数列()n n x 1-=是有界数列,但极限不存在 4、a a n n =∞→lim ,a a n n =∞→lim .错误 如:数列()n n a 1-=,1)1(lim =-∞→n n ,但n n )1(lim -∞→不存在。
5、如果()A x f x =∞→lim ,则()α+=A x f (当∞→x 时,α为无穷小).正确 根据函数、极限值、无穷小量的关系,此题是正确的。
6、如果α~β,则()α=β-αo .正确 ∵1lim =αβ,是∴01lim lim =⎪⎭⎫⎝⎛-=-αβαβα,即βα-是α的高阶无穷小量。
7、当0→x 时,x cos 1-与2x 是同阶无穷小.正确 ∵2122sin 412lim 2sin 2lim cos 1lim2022020=⎪⎪⎪⎪⎭⎫ ⎝⎛⋅⋅==-→→→x x x x x x x x x 8、 01sin lim lim 1sin lim 000=⋅=→→→xx x x x x x .错误 ∵xx 1sin lim 0→不存在,∴不可利用两个函数乘积求极限的法则计算。
9、 e x xx =⎪⎭⎫⎝⎛+→11lim 0.错误 ∵e x xx =⎪⎭⎫⎝⎛+∞→11lim10、点0=x 是函数xxy =的无穷间断点.错误 =-→x x x 00lim1lim 00-=--→x x x ,=+→x x x 00lim 1lim 00=+→xx x ∴点0=x 是函数xxy =的第一类间断点.11、函数()x f x1=必在闭区间[]b a ,内取得最大值、最小值.错误 ∵根据连续函数在闭区间上的性质,()x f x1=在0=x 处不连续 ∴函数()x f x1=在闭区间[]b a ,内不一定取得最大值、最小值 二、填空题:1、设()x f y =的定义域是()1,0,则(1)()x e f 的定义域是( (,0)-∞ );(2)()x f 2sin 1-的定义域是( ,()2x x k x k k Z πππ⎧⎫≠≠+∈⎨⎬⎩⎭);(3)()x f lg 的定义域是( (1,10) ). 答案:(1)∵10<<x e (2)∵1sin 102<-<x(3)∵1lg 0<<x2、函数()⎪⎩⎪⎨⎧≤<-=<<-+=403000222x x x x x x f 的定义域是( (]4,2- ).3、设()2sin x x f =,()12+=ϕx x ,则()[]=ϕx f ( ()221sin +x ).4、nxn n sin lim ∞→=( x ).∵x x nx n xn n x n x n n n n =⋅==∞→∞→∞→sinlim 1sinlimsin lim 5、设()11cos 11211xx x f x x x x π-<-⎧⎪⎪=-≤≤⎨⎪->⎪⎩,则()10lim x f x →--=( 2 ),()=+→x f x 01lim ( 0 ). ∵()1010lim lim (1)2x x f x x →--→--=-=,()()01lim lim 0101=-=+→+→x x f x x6、设()⎪⎩⎪⎨⎧=≠-=00cos 12x ax x x x f ,如果()x f 在0=x 处连续,则=a ( 21 ).∵21cos 1lim 20=-→x x x ,如果()x f 在0=x 处连续,则()a f xx x ===-→021cos 1lim 20 7、设0x 是初等函数()x f 定义区间内的点,则()=→x f x x 0lim ( ()0x f ).∵初等函数()x f 在定义区间内连续,∴()=→x f x x 0lim ()0x f8、函数()211-=x y 当x →( 1 )时为无穷大,当x →( ∞ )时为无穷小.∵()∞=-→2111limx x ,()011lim2=-∞→x x9、若()01lim2=--+-+∞→b ax x x x ,则=a ( 1 ),=b ( 21-). ∵()b ax x xx --+-+∞→1lim2()()()bax x x b ax x x b ax x x x +++-+++---+-=+∞→111lim 222欲使上式成立,令012=-a ,∴1a =±,上式化简为()()()2211212112lim lim lim1x x x bab ab x b ab a →+∞→+∞--++-++--+==+∴1a =,021=+ab ,12b =-10、函数()xx f 111+=的间断点是( 1,0-==x x ). 11、()34222+--+=x x x x x f 的连续区间是( ()()()+∞∞-,3,3,1,1, ).12、若2sin 2lim =+∞→x xax x ,则=a ( 2 ). ()200lim sin 2lim sin 2lim =+=+=⎪⎭⎫ ⎝⎛+=+∞→∞→∞→a a x x a x x ax x x x ∴2=a 13、=∞→x x x sin lim ( 0 ),=∞→xx x 1sin lim ( 1 ), ()=-→x x x 101lim ( 1-e ),=⎪⎭⎫ ⎝⎛+∞→kxx x 11lim ( k e ). ∵0sin 1lim sin lim =⋅=∞→∞→x x xx x x 111sinlim1sin lim ==∞→∞→xx x x x x 14、limsin(arctan )x x →∞=( 不存在 ),lim sin(arccot )x x →+∞=( 0 )三、选择填空:1、如果a x n n =∞→lim ,则数列n x 是( b )a.单调递增数列 b .有界数列 c .发散数列 2、函数()()1log 2++=x x x f a 是( a )a .奇函数b .偶函数c .非奇非偶函数∵()()11log 1)(log 22++=+-+-=-x x x x x f aa3、当0→x 时,1-x e 是x 的( c )a .高阶无穷小b .低阶无穷小c .等价无穷小4、如果函数()x f 在0x 点的某个邻域内恒有()M x f ≤(M 是正数),则函数()x f 在该邻域内( c )a .极限存在b .连续c .有界5、函数()x f x-=11在( c )条件下趋于∞+. a .1→x b .01+→x c .01-→x6、设函数()x f xxsin =,则()=→x f x 0lim ( c )a .1b .-1c .不存在 ∵1sin lim sin limsin lim000000-=-=-=-→-→-→xx x x x xx x x根据极限存在定理知:()x f x 0lim →不存在。
第一章 函数、极限与连续(A)1.区间[)+∞,a 表示不等式( )A .+∞<<x aB .+∞<≤x aC .x a <D .x a ≥ 2.若()13+=t t ϕ,则()=+13t ϕ( )A .13+tB .26+tC .29+tD .233369+++t t t 3.设函数()()x x x x f arcsin 2513ln +-++=的定义域是( )A .⎪⎭⎫ ⎝⎛-25,31B .⎪⎭⎫ ⎝⎛-25,1C .⎪⎭⎫⎝⎛-1,31 D .()1,1-4.下列函数()x f 与()x g 相等的是( )A .()2x x f =,()4x x g =B .()x x f =,()()2x x g =C .()11+-=x x x f ,()11+-=x x x g D . ()112--=x x x f ,()1+=x x g 5.下列函数中为奇函数的是( )A .2sin xx y = B .xxe y 2-= C .x x x sin 222-- D .x x x x y sin cos 2+= 6.若函数()x x f =,22<<-x ,则()1-x f 的值域为( ) A .[)2,0 B .[)3,0 C .[]2,0 D .[]3,0 7.设函数()x e x f =(0≠x ),那么()()21x f x f ⋅为( )A .()()21x f x f +B .()21x x f +C .()21x x fD .⎪⎪⎭⎫⎝⎛21x x f8.已知()x f 在区间()+∞∞-,上单调递减,则()42+x f 的单调递减区间是( ) A .()+∞∞-, B .()0,∞- C .[)+∞,0 D .不存在 9.函数()x f y =与其反函数()x fy 1-=的图形对称于直线( )A .0=yB .0=xC .x y =D .x y -=10.函数2101-=-x y 的反函数是( ) A .2lg-=x x y B .2log x y = C .xy 1log 2= D .()2lg 1++=x y 11.设函数()⎩⎨⎧=是无理数是有理数x x a x f x ,0,10<<a ,则( )A .当+∞→x 时,()x f 是无穷大B .当+∞→x 时,()x f 是无穷小C .当-∞→x 时,()x f 是无穷大D .当-∞→x 时,()x f 是无穷小 12.设()x f 在R 上有定义,函数()x f 在点0x 左、右极限都存在且相等是函数()x f 在点0x 连续的( )A .充分条件B .充分且必要条件C .必要条件D .非充分也非必要条件13.若函数()⎩⎨⎧<≥+=1,cos 1,2x x x a x x f π在R 上连续,则a 的值为( )A .0B .1C .-1D .-2 14.若函数()x f 在某点0x 极限存在,则( ) A . ()x f 在0x 的函数值必存在且等于极限值 B .()x f 在0x 函数值必存在,但不一定等于极限值 C .()x f 在0x 的函数值可以不存在 D .如果()0x f 存在的话,必等于极限值15.数列0,31,42,53,64,…是( )A .以0为极限B .以1为极限C .以n n 2-为极限 D .不存在在极限 16.=∞→xx x 1sin lim ( )A .∞B .不存在C .1D .017.=⎪⎭⎫ ⎝⎛-∞→xx x 211lim ( )A .2-eB .∞C .0D .21 18.无穷小量是( )A .比零稍大一点的一个数B .一个很小很小的数C .以零为极限的一个变量D .数零19.设()⎪⎩⎪⎨⎧≤≤-<≤<≤-=31,110,201,2x x x x x f x 则()x f 的定义域为 ,()0f = ,()1f = 。
2微积分 第一章练习题答案、选择题:F 列函数为偶函数的是( 1、 ★ A 、B 、C 均为奇函数A. y x 3 sin 2 xB. 5xcos xC. y sin x cos 5xxxD. y 22F 列函数不具有对称性的是 A. y arctanx B. 下列函数在定义域内无界的是 1A. y 1 sin x 下列各对函数不相等的是 A. C.B. )• ★对称性就是奇偶性• A 、B 、D 均奇•指数函数无对称性x “x ( C ). x 32 (x sin xC. D.ln(x , 1 x 2)).cos(ln x)C. y arcta ne xD. ysin x).B.2) D. sin 2 x cos 2 x 与 y 1 A .是幕函数 B.是指数函数 C .不是基本初等函数 D.不是函数6、对于普通分段函数,以下说法不正确的是A.定义域为各段并集 C.各段内分别为初等函数 (D ).B.整体若不能由一个解析式表示就不是初等函数 D 不是一个函数,而是多个函数 7、 函数 8、函数 函数 10、lim xf (x)在点X 。
处有定义是函数 f ( x)在点X 。
处极限存在的( f (x)在点X 0处有定义是函数 f (x)在点X 0处连续的 f (x)在点X °处连续是f (x)在点X °处极限存在的( xe (D.不存在 ) 为两个方向,D.无关)条件 B.必要)条件 A.充分)条件 x 仍为两个方向无穷;指数函数不对称111、 lim sin— x 0 (D.不存在但函数有界 1,lim sin —lim sin ux 0xu12、已知 13、已知 lim 2x a 1,则常数a x 3x 2x 3 4 ax 1 lim xB.0 ,且分式极限存在,分子必T 014、2x4,则常数a ( D. ★由已知nA.lim xs in 丄 x1 B. lim xsin 1xxC. xlim 2 (2 sin x) 0 x1 xD. lim x sin x x sin k(x 15、 limx 2 x 2 2)A.sin k(x ★ v lim x 22)x 2216、若 lim (1 ax)x e 3,则 a (x 0B.2★ v lim (1 ax)xex 02a17、f(x) ,则x叫f (x)(B.1 )18、f(x)1 .sinx x19、20、21、B. limx 0时,C.极限值为.1xsi nx(C.e x)是无穷小量In x,(B. xs in〔)不是无穷小★x)正确★ Um*1 . sinxxD. lim xsin1x1 22 lim (xsinx23、函数y(x 填空题:1、函数f(x)f(0)3、已知4、已知5、已知1★ v lim e x lim e u 0x 0 u★与f(0)0无关sin x;x1 ;cosx 12x23" x2x arctan x、1 1—sin —无穷小量与有界变量乘积x xlim xx 1lim(x 1)x 1 \ /分母极限为0, 不满足极限商的运算法则条件sinx1; C.limxx 0 x.1sinlim xx 11xx(2sin X)xx2 11^cosx1 x2(3x 1)x0 f(x) ln 2 f (x) x2,B.2)f(x)的间断点为(1 .sin xC.A.lim - lim sinxx x xB. 10: lim sinx不存在,不满足法则条件xC. 2D. 3★使分母为0的点x 0的定义域为0x23x 1,2]X—0f(f (0))1,f(f(0)) f(1) (x 2)x1,则f(x。
函数、极限与连续测试卷带答案第一篇:函数、极限与连续测试卷带答案上海民航学院函数、极限与连续测试卷总分100分命题人:叶茂莹一、填空题(每空2分,共20分)1、函数y=3-2x|-4的定义域是;解:|3-2x|-4≥0,3-2x≥4,或3-2x≤-4 ∴-2x≥1,或-2x≤-717∴x≤-,或x≥ 2217∴x∈(-∞,-]⋃[,+∞)222、把复合函数y=earctan(1+x)分解成简单的函数________________________;解:y=eu,u=arctanv,v=1+x23、函数y=arcsin2x的反函数是_____________________;1⎡ππ⎤解:y=sinx,x∈⎢-,⎥ 2⎣22⎦⎛1+x⎫4、lim ⎪; x→∞⎝x⎭2x2⎛1+x⎫解:lim ⎪x→∞⎝x⎭2x⎡⎛1⎫x⎤=lim⎢1+⎪⎥=e2 x→∞⎝x⎭⎦⎢⎥⎣2(2x-1)15(3x+1)30=;5、limx→∞(3x-2)45(2x-1)15(3x+1)30215⨯330⎛2⎫==⎪解:lim4545x→∞(3x-2)3⎝3⎭x2-3x+26、lim2;x→2x+4x-12(x-1)(x-2)=lim(x-1)=1x2-3x+2lim解:lim2 x→2x+6x→2x+4x-12x→2x+6x-28157、x→1=;2解:lim=x→1x→x-12x→12=x→1 =x→13x-1==34x+2的连续区间为(x+1)(x-4)解:x+2≥0,且(x+1)(x-4)≠08、函数f(x)=∴x≥-2,x≠-1,x≠4,∴x∈[-2,-1)⋃(-1,4)⋃(4,+∞)ax2+bx-19、已知a,b为常数,lim=2,则a=,b=.x→∞2x+1ax2+bx-1解:因为x的最高次为2,lim=2 x→∞2x+1所以a=0,b=2,即b=42x≠0在点x=0处连续,则a=x=0x1-⎤⎡=lim⎢(1-x)x⎥x→0⎣⎦-22⎧x⎪10、已知f(x)=⎨(1-x)⎪a⎩解:limf(x)=lim(1-x)x→0x→0=e-2因为f(x)在点x=0处连续,f(0)=a=limf(x)=e-2,所以a=e-2。
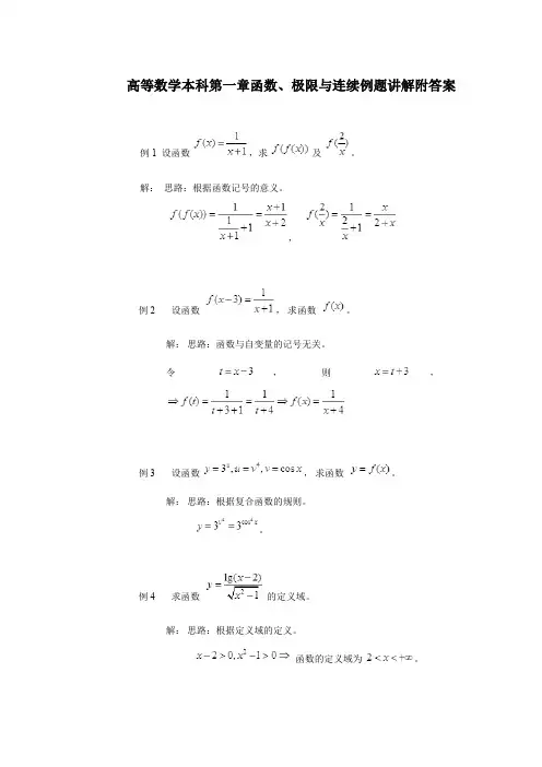
高等数学本科第一章函数、极限与连续例题讲解附答案
例1 设函数,求及。
解:思路:根据函数记号的意义。
,
例2设函数,求函数。
解:思路:函数与自变量的记号无关。
令,则,
例3设函数,求函数。
解:思路:根据复合函数的规则。
例4求函数的定义域。
解:思路:根据定义域的定义。
函数的定义域为。
例5若函数,求。
解:思路:根据函数记号的意义。
,。
例6 设函数,讨论函数在处,极限是否存在。
解:思路:根据“极限存在的充要条件是左右极限存在且相等”
,又
因为,所以。
例7 设函数,讨论函数在处,极限是否存在。
解:思路:根据“极限存在的充要条件是左右极限存在且相等”
,又
因为,所以不存在。
例8求。
解:思路:有理化分母。
例9求。
解:思路:分子应用三角公式,再应用第一个重要极限。
例10求.
解:思路:化为第二种重要极限。
例11设函数在处连续,则为何值?
解:思路:函数在一点连续的充要条件是函数在该点的左右极限及函数值三者相等。
函数在处连续,则,。
极限与连续练习题及解析在数学课上,我们经常会遇到一些有关于极限与连续的练习题。
这些题目不仅能够帮助我们巩固对极限与连续的理解,还能提高我们解决问题的能力。
在本文中,我将为大家分享一些关于极限与连续的练习题及解析。
题目一:计算极限求解以下极限:1. $$\lim_{x\to 2}\frac{x^2-4}{x-2}$$解析:将被除数进行因式分解得:$$\lim_{x\to 2}\frac{(x+2) \cdot (x-2)}{x-2}$$最后得到:$$\lim_{x\to 2}(x+2)$$代入极限的定义,得到结果为:$$4$$题目二:证明函数连续证明下列函数在指定区间上连续:1. 函数$f(x)=\sqrt{x}$在区间$[0, +\infty)$上连续。
首先,我们需要证明$f(x)=\sqrt{x}$在$[0, +\infty)$上存在。
由于$x \geq 0$,所以$\sqrt{x}$是有定义的。
接下来,我们需要证明对于任意给定的$\varepsilon > 0$,存在一个$\delta > 0$,使得当$0 < |x-a| <\delta$时,$|\sqrt{x}-\sqrt{a}|<\varepsilon$。
根据不等式$|\sqrt{x}-\sqrt{a}|<|\sqrt{x}+\sqrt{a}|$,可以得到$$|\sqrt{x}-\sqrt{a}|<|\sqrt{x}-\sqrt{a}|\cdot\frac{|\sqrt{x}+\sqrt{a}|}{|\sqrt{x}-\sqrt{a}|}$$进一步化简得:$$|\sqrt{x}-\sqrt{a}|<\frac{|\sqrt{x}^2-\sqrt{a}^2|}{|\sqrt{x}-\sqrt{a}|}$$继续化简得:$$|\sqrt{x}-\sqrt{a}|<\frac{|x-a|}{|\sqrt{x}+\sqrt{a}|}$$由于$\sqrt{x}+\sqrt{a}$在$x$趋于$a$时不等于0,所以存在一个正数$M$,使得$|\sqrt{x}-\sqrt{a}|<M|x-a|$。
高中数学函数的极限与连续练习题及参考答案2023题目一:函数极限1. 计算以下极限:a) lim(x→2) (x^2 + 3x - 4)b) lim(h→0) [(4+h)^2 - 16]/hc) lim(x→∞) [(x+1)/(x-1)]^2d) lim(x→0) (1/x - 1)/(1 - sqrt(1 + x))解答:a) 将x代入函数,得到:lim(x→2) (2^2 + 3*2 - 4) = 8b) 将h代入函数,得到:lim(h→0) [(4+0)^2 - 16]/0 = 0c) 当x趋向于正无穷大时,[(x+1)/(x-1)]^2 = 1d) 将x代入函数,得到:lim(x→0) (1/0 - 1)/(1 - sqrt(1)) = undefined题目二:连续函数2. 判断以下函数在给定区间是否连续:a) f(x) = x^2 - 5x + 6, 在区间[1, 5]上b) g(x) = √(x + 2), 在区间[-2, 3]上c) h(x) = 1/(x-2), 在区间(-∞, 2)上解答:a) 函数f(x)是一个二次函数,对于任意实数x,f(x)都是连续的。
因此,f(x)在区间[1, 5]上连续。
b) 函数g(x)是一个开根号函数,对于非负实数x,g(x)都是连续的。
在区间[-2, 3]上,g(x)的定义域为[-2, ∞),因此在该区间上连续。
c) 函数h(x)在x=2处的定义域为无穷,因此在该点不连续。
在区间(-∞, 2)上除x=2之外的点,h(x)为一个连续函数。
题目三:函数极限的性质3. 判断以下命题的真假,并简要说明理由:a) 若lim(x→a) f(x) = L,且L≠0,则lim(x→a) [f(x)]^2 = L^2。
b) 若lim(x→a) f(x) = L,且f(x) > 0,那么lim(x→a) 1/f(x) = 1/L。
c) 若lim(x→a) f(x) = L,且lim(x→a) g(x) = M,则lim(x→a) [f(x) +g(x)] = L + M。
高数竞赛练习题答案(函数、极限、连续)第一篇:高数竞赛练习题答案(函数、极限、连续)函数、极限、连续1.f(x),g(x)∈C[a,b],在(a,b)内二阶可导且存在相等的最大值,又f(a)=g(a),f(b)=g(b),证明:(1)∃η∈(a,b),使f(η)=g(η)(2)∃ξ∈(a,b),使f''(ξ)=g''(ξ)证明:设f(x),g(x)分别在x=c,x=d处取得最大值M,不妨设c≤d(此时a<c≤d<b),作辅助函数F(x)=f(x)-g(x),往证∃ξ∈(a,b),使F''(ξ)=0令F(x)=f(x)-g(x),则F(x)在[a,b]上连续,在(a,b)二阶可导,且F(a)=F(b)=0,① 当c<d,由于F(c)=f(c)-g(c)=M-g(c)≥0F(d)=f(d)-g(d)=f(d)-M≤0由“闭.连.”零点定理,∃η∈[c,d]⊂(a,b),使f(η)=g(η)② 当c=d,由于F(c)=f(c)-g(c)=f(c)-g(d)=M-M=0即∃η∈(a,b),使f(η)=g(η) 对F(x)分别在[a,η],[η,b]上用罗尔定理,∃ξ1∈(a,η),ξ2∈(η,b),使在[ξ1,ξ2]上对F(x)在用罗尔定理,F'(ξ1)=F'(ξ2)=0,∃ξ∈(ξ1,ξ2)⊂(a,b),使F''(ξ)=0,∃ξ∈(a,b),使f''(ξ)=g''(ξ).2.设数列{xn}满足0<x1<π,xn+1=sinxn,n=1,2,Λxn存在,并求该极限(1)证明limn→∞xn+1x1n(2)计算lim()n→∞xn分析:(1)确定{xn}为单调减少有下界即可1xn,用洛必达法则.(2)利用(1)确定的limn→∞解:易得0<xn≤1(n=2,3,Λ),所以xn+1=sinxn<xn,n=(2,3,Λ),即{xn}为xn存在,并记为limxn=a,则a∈[0,1],单调减少有下界的数列,所以 lim n→∞n→∞对等式xn+1=sinxn<xn,两边令n→∞取极限,得a=sina,a∈[0,1],所以a=0,即limxn=0.n→∞lim((2)n→∞xn+1sinxn)=lim()n→∞xnxn2xn2xn令t=xn=lim(t→0sint)=et→0ttlimln()tt2由于limt→0tln(sin)ttsintln[1+(sin-1)]-1-1t2sint-t洛cost-11tt2=lim=lim=lim=lim=lim=- t→0t→0t→0t→0t→03t2t2t2t33t26 xn+1xn-1所以lim()=e.n→∞xn3.已知f(x)在[0,1]连续,在(0,1)可导,且f(0)=0,f(1)=1,证明:(1)∃ξ∈(0,1),使f(ξ)=1-ξ,(2)存在两个不同点η,ζ∈(0,1),使f'(η)f'(ζ)=1证:(1)令F(x)=f(x)+x-1,则F(x)在[0,1]上连续,且F(0)=-1<0,F(1)=1>0,由“闭.连.”零点定理,∃ξ∈(0,1),使F(ξ)=0,即f(ξ)=1-ξ(2)f(x)在[0,ξ],[ξ,1]上都满足拉格朗日中值定理,所以∃η∈(0,ξ),ζ∈(ξ,1),使f(ξ)-f(0)=f'(η)(ξ-0),f(1)-f(ξ)=f'(ζ)(1-ξ),即f'(η)=f'(ζ)=f(ξ)ξ=1-ξξ1-f(ξ)1-(1-ξ)ξ==1-ξ1-ξ1-ξ∴f'(η)f'(ζ)=1-ξξ⋅ξ1-ξ=14.设方程xn+nx-1=0,其中n为正整数,证明此方程存在唯一的正α实根xn,并证明当α>1时,级数∑xn收敛.n=1∞证:令f(x)=xn+nx-1,则f(x)在(0,+∞)上连续,且f(0)=-1<0,f()=()n>0nn所以由连续函数的零点定理,所给方程在(0,)内有根,又由f'(x)=n(xn-1+1)>0,即f(x)在(0,)内单调递增,所以所给方程(0,)内只有唯一的根,在(,∞)上无根,即所给方程存在唯一的正实根xn.α<由上述知,对n=1,2,Λ,有0<xn<,有0<xn∞1n1n1n1n1n1,nα此外,由α>1知,级数∑收敛,所以由正项级数比较审敛法,知αn=1n∑xα收敛.nn=1∞5.求lim(cosx)x→01ln(1+x)x→0ln(1+x)解:lim(cosx)x→01ln(1+x)=elimlncosx,其中limln(1+xx→0lncosx)=limx→0ln[1+(cosx-1)]ln(1+x)=limx→0-x22x=-(cosx)所以,limx→0ln(1+x)=e-6.f(x)在x=0的某邻域内具有一阶连续导数,且f(0)≠0,f'(0)≠0,若af(h)+bf(2h)-f(0)在h→0时是比h高阶的无穷小,试确定a,b的值.解1:(利用导数定义)0=limaf(h)+bf(2h)-f(0)af(h)-af(0)+af(0)+bf(2h)-bf(0)+bf(0)-f(0)=limh→0h→0hhaf(h)-af(0)bf(2h)-bf(0)[(a+b)-1]f(0)[(a+b)-1]f(0)=l im+lim+lim=(a+b)f'(0)+limh→0h→0h→0h→0hhhh⎧a+b=1'由f(0)≠0,f(0)≠0,得⎨,即a=2,b=-1a+2b=0⎩解2:按解1,只要假定f(x)在x=0处可导即可,但在题中“f(x)在x=0的某邻域内具有一阶连续导数”的假定下,有以下解法:由lim h→0h→0af(h)+bf(2h)-f(0)=0得 limaf(h)+bf(2h)-f(0)=0h→0h即0=limaf(h)+bf(2h)-f(0)=(a+b-1)f(0),由f(0)≠0,得a+b=1(1)af(h)+bf(2h)-f(0)洛=limaf'(h)+2bf'(2h)=(a+2b)f'(0)且f'(0)≠0,又由0=limh→0h→0h所以 a+2b=0(2)由(1)、(2)得a=2,b=-1.⎛2+esinx⎫⎪.7.求lim 4+x→0x⎪⎝1+e⎭解:⎛2e-+e-sinx⎫⎛2+esinx⎫⎪=1⎪=lim lim+4+4++-x→0x→0 x⎪x⎪⎝1+e⎭⎝e+1⎭⎛2+esinx⎫⎛2+esinx⎫ ⎪⎪=1 lim=lim4+4---⎪x→0x⎭x→0⎝1+ex⎪⎝1+e⎭所以原式 = 18.求limx→0143+x+-x-2.2x解1:(泰勒公式)因+x+-x-2=[1+1111x-x2+o(x2)]+[1-x-x2+o(x2)]-22828(x→0)=-x2+o(x2)~-x2所以1-x2+x+-x-2=-1lim=limx→0x→0x2x24解2:(洛必达法则)-+x+-x-2洛必达lim=limx→0x→0x22x1-x-+x1⋅lim=lim x→0+x-x4x→0x1-2x1=lim.=-4x→0x(-x++x)4第二篇:高数课件-函数极限和连续一、函数极限和连续自测题1,是非题(1)无界变量不一定是无穷大量()(2)若limf(x)=a,则f(x)在x0处必有定义()x→x012x(3)极限lim2sinx=limx=0()x→+∞x→+∞33x2,选择题(1)当x→0时,无穷小量1+x-1-x是x的()A.等价无穷小B.同阶但不等价C.高阶无穷小D.低价无穷小⎧x+1-1x≠0⎪(2)设函数f(x)=⎨,则x=0是f(x)的()x⎪0x=0⎩A.可去间断点 B.无穷间断点C 连续点D 跳跃间断点⎧exx<0(3)设函数f(x)=⎨,要使f(x)在x0处连续,则a=()⎩a+xx≥0A.2B 1C 0D -13n2-5n+1=()(4)lim2n→∞6n+3n-2A 151B -C -D ∞ 2321⎧xsinx<0⎪⎪x(5)设f(x)=⎨,则在x=0处f(x) ()⎪1sinx-1x>0⎪⎩xA 有定义B 有极限C 连续D左连续3(6)x=1是函数y=x-1的()x-1A 可去间断点B 无穷间断点C 连续D跳跃间断点3.求下列极限(1)limx→∞x+sinxsin(-2x)x+2-3(2)lim(3)limx→0x→12xln(1+2x)x-1e-2x-1(4)lim(5)limn[ln(1+n)-lnn](6)lim(sinn+1-sinn)n→∞n→∞x→0x2x+3x+2(sinx3)tanx2lim()(7)lim (8)(9)limx(x+1-x)x→∞2x+1x→01-cosx2x→∞cosx-cosaarctanxex-ex0(10)lim(11)lim(12)limx→ax→∞x→x0x-xx-ax0x2+32x2+1sin(x-1))(13)lim(14)lim(2x→∞x→1x-1x+24,求满足下列条件的a,b的值1x2+x+a=b(2)lim(3x-ax2-x+1)=(1)limx→+∞x→26x-2⎧tanaxx<0ax+b⎪=2(4)已知f(x)=⎨x(3)lim且limf(x)存在x→0x→1x-2⎪x+2x≥0⎩x<-1⎧-2⎪2(5)已知f(x)=⎨x+ax+b-1≤x≤1在(-∞,+∞)内连续⎪2x≥1⎩⎧sin2x+e2ax-1x≠0⎪(6)函数f(x)=⎨在x=0点连续x⎪ax=0⎩5.求下列函数的间断点并判断其类型⎧x-1x≤11-cosxx2-1(1)y=2(2)y=⎨(3)f(x)=sinxx-3x+2⎩3-xx>1⎧1x>0x⎪(4)f(x)=⎨ex-1(5)y=tanx⎪⎩ln(1+x)-1<x≤026.已知x→-1时,x+ax+5x+1是同阶无穷小,求a7.证明方程x-4x+2=0在区间(1,2)内至少有一个根8.当x→0时,e+ln(1-x)-1与x是同阶无穷小,求n 9.设函数f(x)=a,(a>0,a≠1),求limxxn41ln[f(1)f(2)K f(n)]n→∞n2第三篇:高数极限和连续第二章极限和连续【字体:大中小】【打印】2.1 数列极限一、概念的引入(割圆术)“割之弥细,所失弥少,割之又割,以至于不可割,则与圆周合体而无所失矣” ——刘徽正六边形的面积A正十二边形的面积A2n-1正6×2形的面积AnA1,A2,A3,…,An,…→…S二、数列的定义定义:按自然数1,2,3...编号依次排列的一列数x1,x2,...,xn, (1)称为无穷数列,简称数列。
第一章 函数、极限与连续(A)1.区间[)+∞,a 表示不等式( )A .+∞<<x aB .+∞<≤x aC .x a <D .x a ≥ 2.若()13+=t t ϕ,则()=+13t ϕ( )A .13+tB .26+tC .29+tD .233369+++t t t 3.设函数()()x x x x f arcsin 2513ln +-++=的定义域是( )A .⎪⎭⎫ ⎝⎛-25,31B .⎪⎭⎫ ⎝⎛-25,1C .⎪⎭⎫⎝⎛-1,31 D .()1,1-4.下列函数()x f 与()x g 相等的是( )A .()2x x f =,()4x x g =B .()x x f =,()()2x x g =C .()11+-=x x x f ,()11+-=x x x g D . ()112--=x x x f ,()1+=x x g 5.下列函数中为奇函数的是( )A .2sin xx y = B .xxe y 2-= C .x x x sin 222-- D .x x x x y sin cos 2+= 6.若函数()x x f =,22<<-x ,则()1-x f 的值域为( ) A .[)2,0 B .[)3,0 C .[]2,0 D .[]3,0 7.设函数()x e x f =(0≠x ),那么()()21x f x f ⋅为( )A .()()21x f x f +B .()21x x f +C .()21x x fD .⎪⎪⎭⎫⎝⎛21x x f8.已知()x f 在区间()+∞∞-,上单调递减,则()42+x f 的单调递减区间是( ) A .()+∞∞-, B .()0,∞- C .[)+∞,0 D .不存在 9.函数()x f y =与其反函数()x fy 1-=的图形对称于直线( )A .0=yB .0=xC .x y =D .x y -=10.函数2101-=-x y 的反函数是( ) A .2lg-=x x y B .2log x y = C .xy 1log 2= D .()2lg 1++=x y 11.设函数()⎩⎨⎧=是无理数是有理数x x a x f x ,0,10<<a ,则( )A .当+∞→x 时,()x f 是无穷大B .当+∞→x 时,()x f 是无穷小C .当-∞→x 时,()x f 是无穷大D .当-∞→x 时,()x f 是无穷小 12.设()x f 在R 上有定义,函数()x f 在点0x 左、右极限都存在且相等是函数()x f 在点0x 连续的( )A .充分条件B .充分且必要条件C .必要条件D .非充分也非必要条件13.若函数()⎩⎨⎧<≥+=1,cos 1,2x x x a x x f π在R 上连续,则a 的值为( )A .0B .1C .-1D .-2 14.若函数()x f 在某点0x 极限存在,则( ) A . ()x f 在0x 的函数值必存在且等于极限值 B .()x f 在0x 函数值必存在,但不一定等于极限值 C .()x f 在0x 的函数值可以不存在 D .如果()0x f 存在的话,必等于极限值15.数列0,31,42,53,64,…是( )A .以0为极限B .以1为极限C .以n n 2-为极限 D .不存在在极限 16.=∞→xx x 1sin lim ( )A .∞B .不存在C .1D .017.=⎪⎭⎫ ⎝⎛-∞→xx x 211lim ( )A .2-eB .∞C .0D .21 18.无穷小量是( )A .比零稍大一点的一个数B .一个很小很小的数C .以零为极限的一个变量D .数零19.设()⎪⎩⎪⎨⎧≤≤-<≤<≤-=31,110,201,2x x x x x f x 则()x f 的定义域为 ,()0f = ,()1f = 。
第一章函数、极限与连续1 . 若」 t =t31,贝 U 「t 31 =( D )A. t 31 B. t62 C. t92 D. t 9 3t 6 3t322. 设函数 f x = In 3x ? 1 ? i 5 - 2x ? arcsin x 的定义域是 ( C )1 5C.-1,1 D. -1,13 ,233. 下列函数 f x 与 g x 相等的是 (A )— 2A. f x = x 2 , g x - x4B . fx=x ,gx= xC.fX gx「X 1x -14. 下列函数中为奇函数的是 (A )2x x八sin xf- c 2— 22 ?A. y2B .y - xe xCsin xD . y = x cosx xsin xx25 . 若函数 fxl=x , - 2:; x ::: 2,则 f x-1 的值域为 (B )A. 0,2B. 0,3C. 0,21D. 0,316 . 函数y =10x4 -2 的反函数是(D )xC .A . y =igB .log x 2x—2a X X 是有理数7.设函数 %是无理数°<a",则(B )1y =Iog 2_ D . y =1 lg x 2 x1A . 当 Xr J 时, f x 是无穷大B . 当 x- 工: 时, f x 是无穷小C. 当 Xr - ■时, f x 是无穷大 D . 当 x—. - ■时, f x 是无穷小8 . 设 f x 在R上有定义 ,f x 在点X。
连续的(A . 充分条件C.必要条件x2 a,cos x, 函数 f x 在点X。
左、右极限都存在且相等是函数B. 充分且必要条件D. 非充分也非必要条件x—1在 R 上连续,则 a 的值为(D)x::: 1C. -1D.-210.若函数 f x 在某点X。
极限存在,则(C )f x 在X o的函数值必存在且等于极限值B. f x 在X o函数值必存在,但不一定等于极限值C. f X 在X o的函数值可以不存在D. 如果f X o存在的话 ,11 . 数列0,3 ,2,4,是 (B )A.以0为极限B.以1为极限C . 以口为极限D . 不存在在极限n112 . lim xsin( CxB. 不存在C. 1D. 013.li=(A )C.0x2214?无穷小量是(C)A.比零稍大一点的一个数B. —个很小很小的数C. 以零为极限的一个变量 D . 数零[2X,-1 _ x :: 015. 设f(x)= 2, x ::: 1 则f x的定义域为[-1,3] , f 0 =x—1, 1 _x _32 __ , f 1 =0。
1、函数()12++=x x x f 与函数()113--=x x x g 相同.错误 ∵当两个函数的定义域和函数关系相同时,则这两个函数是相同的。
∴()12++=x x x f 与()113--=x x x g 函数关系相同,但定义域不同,所以()x f 与()x g 是不同的函数。
2、如果()M x f >(M 为一个常数),则()x f 为无穷大. 错误 根据无穷大的定义,此题是错误的。
3、如果数列有界,则极限存在.错误 如:数列()nn x 1-=是有界数列,但极限不存在4、a a n n =∞→lim ,a a n n =∞→lim .错误 如:数列()nn a 1-=,1)1(lim =-∞→nn ,但n n )1(lim -∞→不存在。
5、如果()A x f x =∞→lim ,则()α+=A x f (当∞→x 时,α为无穷小). 正确 根据函数、极限值、无穷小量的关系,此题是正确的。
6、如果α~β,则()α=β-αo .正确 ∵1lim=αβ,是 ∴01lim lim =⎪⎭⎫⎝⎛-=-αβαβα,即βα-是α的高阶无穷小量。
7、当0→x 时,x cos 1-与2x 是同阶无穷小.正确 ∵2122sin 412lim 2sin 2lim cos 1lim2022020=⎪⎪⎪⎪⎭⎫ ⎝⎛⋅⋅==-→→→x x x x x x x x x 8、 01sin lim lim 1sin lim 000=⋅=→→→xx x x x x x .错误 ∵xx 1sin lim 0→不存在,∴不可利用两个函数乘积求极限的法则计算。
9、 e x xx =⎪⎭⎫⎝⎛+→11lim 0.错误 ∵e x xx =⎪⎭⎫⎝⎛+∞→11lim10、点0=x 是函数xxy =的无穷间断点.错误 =-→x x x 00lim 1lim 00-=--→x x x ,=+→x x x 00lim 1lim 00=+→xx x ∴点0=x 是函数xxy =的第一类间断点.11、函数()x f x1=必在闭区间[]b a ,取得最大值、最小值.错误 ∵根据连续函数在闭区间上的性质,()x f x1=在0=x 处不连续 ∴函数()x f x1=在闭区间[]b a ,不一定取得最大值、最小值 二、填空题:1、设()x f y =的定义域是()1,0,则 (1)()xef 的定义域是( (,0)-∞ );(2)()x f 2sin 1-的定义域是( ,()2x x k x k k Z πππ⎧⎫≠≠+∈⎨⎬⎩⎭);(3)()x f lg 的定义域是( (1,10) ). 答案:(1)∵10<<xe (2)∵1sin 102<-<x (3)∵1lg 0<<x2、函数()⎪⎩⎪⎨⎧≤<-=<<-+=403000222x x x x x x f 的定义域是( (]4,2- ).3、设()2sin x x f =,()12+=ϕx x ,则()[]=ϕx f ( ()221sin +x ).4、nxn n sinlim ∞→=( x ).∵x x n x n x n n x n x n n n n =⋅==∞→∞→∞→sinlim 1sin limsin lim 5、设()11cos 11211xx x f x x x x π-<-⎧⎪⎪=-≤≤⎨⎪->⎪⎩,则()10lim x f x →--=( 2 ),()=+→x f x 01lim ( 0 ). ∵()1010lim lim (1)2x x f x x →--→--=-=,()()01lim lim 0101=-=+→+→x x f x x6、设()⎪⎩⎪⎨⎧=≠-=00cos 12x ax x x x f ,如果()x f 在0=x 处连续,则=a ( 21 ).∵21cos 1lim 20=-→x x x ,如果()x f 在0=x 处连续,则()a f xx x ===-→021cos 1lim 20 7、设0x 是初等函数()x f 定义区间的点,则()=→x f x x 0lim ( ()0x f ).∵初等函数()x f 在定义区间连续,∴()=→x f x x 0lim ()0x f8、函数()211-=x y 当x →( 1 )时为无穷大,当x →( ∞ )时为无穷小.∵()∞=-→2111limx x ,()011lim2=-∞→x x9、若()01lim2=--+-+∞→b ax x x x ,则=a ( 1 ),=b ( 21-). ∵()b ax x xx --+-+∞→1lim2()()()bax x x bax x x b ax x x x +++-+++---+-=+∞→111lim 222()()b ax x x b ax x x x +++-+-+-=+∞→11lim 222()()()b ax x x b x ab x a x +++--++--=+∞→11211lim 2222欲使上式成立,令012=-a ,∴1a =±,上式化简为()()()2211212112lim lim lim1x x x bab ab x b ab a →+∞→+∞→+∞--++-++--+==+∴1a =,021=+ab ,12b =-10、函数()x x f 111+=的间断点是( 1,0-==x x ). 11、()34222+--+=x x x x x f 的连续区间是( ()()()+∞∞-,3,3,1,1, ).12、若2sin 2lim =+∞→x xax x ,则=a ( 2 ). ()200lim sin 2lim sin 2lim =+=+=⎪⎭⎫ ⎝⎛+=+∞→∞→∞→a a x x a x x ax x x x ∴2=a13、=∞→x x x sin lim( 0 ),=∞→xx x 1sin lim ( 1 ), ()=-→xx x 11lim ( 1-e ),=⎪⎭⎫ ⎝⎛+∞→kxx x 11lim ( ke ). ∵0sin 1lim sin lim=⋅=∞→∞→x x xx x x 111sin lim1sin lim ==∞→∞→xx x x x x()[]1)1(110)(1lim 1lim --⋅-→→=-+=-e x x xx x x k kx x kxx e x x =⎥⎦⎤⎢⎣⎡+=⎪⎭⎫ ⎝⎛+∞→∞→)11(lim 11lim14、limsin(arctan )x x →∞=( 不存在 ),lim sin(arccot )x x →+∞=( 0 )三、选择填空:1、如果a x n n =∞→lim ,则数列n x 是( b )a.单调递增数列 b .有界数列 c .发散数列2、函数()()1log 2++=x x x f a 是( a )a .奇函数b .偶函数c .非奇非偶函数 ∵()()11log 1)(log 22++=+-+-=-x x x x x f aa()()x f x x a -=++-=1log 23、当0→x 时,1-xe 是x 的( c )a .高阶无穷小b .低阶无穷小c .等价无穷小4、如果函数()x f 在0x 点的某个邻域恒有()M x f ≤(M 是正数),则函数()x f 在该邻域( c )a .极限存在b .连续c .有界5、函数()x f x-=11在( c )条件下趋于∞+. a .1→x b .01+→x c .01-→x6、设函数()x f xxsin =,则()=→x f x 0lim ( c )a .1b .-1c .不存在 ∵1sin lim sin limsin lim000000-=-=-=-→-→-→xx x x x xx x x1sin lim sin lim 0000==-→+→xx x x x x 根据极限存在定理知:()x f x 0lim →不存在。
1、函数()12++=x x x f 与函数()113--=x x x g 相同.错误 ∵当两个函数的定义域和函数关系相同时,则这两个函数是相同的。
∴()12++=x x x f 与()113--=x x x g 函数关系相同,但定义域不同,所以()x f 与()x g 是不同的函数。
2、如果()M x f >(M 为一个常数),则()x f 为无穷大. 错误 根据无穷大的定义,此题是错误的。
3、如果数列有界,则极限存在.错误 如:数列()nn x 1-=是有界数列,但极限不存在4、a a n n =∞→lim ,a a n n =∞→lim .错误 如:数列()nn a 1-=,1)1(lim =-∞→nn ,但n n )1(lim -∞→不存在。
5、如果()A x f x =∞→lim ,则()α+=A x f (当∞→x 时,α为无穷小). 正确 根据函数、极限值、无穷小量的关系,此题是正确的。
6、如果α~β,则()α=β-αo .正确 ∵1lim=αβ,是 ∴01lim lim =⎪⎭⎫⎝⎛-=-αβαβα,即βα-是α的高阶无穷小量。
7、当0→x 时,x cos 1-与2x 是同阶无穷小.正确 ∵2122sin 412lim 2sin 2lim cos 1lim2022020=⎪⎪⎪⎪⎭⎫ ⎝⎛⋅⋅==-→→→x x x x x x x x x 8、 01sin lim lim 1sin lim 000=⋅=→→→xx x x x x x .错误 ∵xx 1sin lim 0→不存在,∴不可利用两个函数乘积求极限的法则计算。
9、 e x xx =⎪⎭⎫⎝⎛+→11lim 0.错误 ∵e x xx =⎪⎭⎫⎝⎛+∞→11lim10、点0=x 是函数xxy =的无穷间断点.错误 =-→x x x 00lim 1lim 00-=--→x x x ,=+→x x x 00lim1lim 00=+→xx x ∴点0=x 是函数xxy =的第一类间断点.11、函数()x f x1=必在闭区间[]b a ,内取得最大值、最小值.错误 ∵根据连续函数在闭区间上的性质,()x f x1=在0=x 处不连续 ∴函数()x f x1=在闭区间[]b a ,内不一定取得最大值、最小值 二、填空题:1、设()x f y =的定义域是()1,0,则 (1)()xef 的定义域是( (,0)-∞ );(2)()x f 2sin 1-的定义域是( ,()2x x k x k k Z πππ⎧⎫≠≠+∈⎨⎬⎩⎭);(3)()x f lg 的定义域是( (1,10) ). 答案:(1)∵10<<xe (2)∵1sin 102<-<x (3)∵1lg 0<<x2、函数()⎪⎩⎪⎨⎧≤<-=<<-+=403000222x x x x x x f 的定义域是( (]4,2- ).3、设()2sin x x f =,()12+=ϕx x ,则()[]=ϕx f ( ()221sin +x ).4、nxn n sinlim ∞→=( x ).∵x x n x n x n n x n x n n n n =⋅==∞→∞→∞→sinlim 1sin limsin lim 5、设()11cos 11211xx x f x x x x π-<-⎧⎪⎪=-≤≤⎨⎪->⎪⎩,则()10lim x f x →--=( 2 ),()=+→x f x 01lim ( 0 ). ∵()1010lim lim (1)2x x f x x →--→--=-=,()()01lim lim 0101=-=+→+→x x f x x6、设()⎪⎩⎪⎨⎧=≠-=00cos 12x ax x x x f ,如果()x f 在0=x 处连续,则=a ( 21 ).∵21cos 1lim 20=-→x x x ,如果()x f 在0=x 处连续,则()a f xx x ===-→021cos 1lim 20 7、设0x 是初等函数()x f 定义区间内的点,则()=→x f x x 0lim ( ()0x f ).∵初等函数()x f 在定义区间内连续,∴()=→x f x x 0lim ()0x f8、函数()211-=x y 当x →( 1 )时为无穷大,当x →( ∞ )时为无穷小.∵()∞=-→2111limx x ,()011lim2=-∞→x x9、若()01lim2=--+-+∞→b ax x x x ,则=a ( 1 ),=b ( 21-). ∵()()b ax x x b ax x x x +++-+-+-=+∞→11lim 222()()()b ax x x b x ab x a x +++--++--=+∞→11211lim 2222欲使上式成立,令012=-a ,∴1a =±,上式化简为()()()2211212112lim lim lim1x x x bab ab x b ab a →+∞→+∞→+∞--++-++--+==+∴1a =,021=+ab ,12b =-10、函数()x x f 111+=的间断点是( 1,0-==x x ). 11、()34222+--+=x x x x x f 的连续区间是( ()()()+∞∞-,3,3,1,1, ).12、若2sin 2lim =+∞→xxax x ,则=a ( 2 ). ()200lim sin 2lim sin 2lim =+=+=⎪⎭⎫ ⎝⎛+=+∞→∞→∞→a a x x a x x ax x x x ∴2=a 13、=∞→x x x sin lim( 0 ),=∞→xx x 1sin lim ( 1 ), ()=-→xx x 11lim ( 1-e ),=⎪⎭⎫ ⎝⎛+∞→kxx x 11lim ( ke ). ∵0sin 1lim sin lim=⋅=∞→∞→x x xx x x 111sin lim1sin lim ==∞→∞→xx x x x x()[]1)1(110)(1lim 1lim --⋅-→→=-+=-e x x xx x x k kx x kxx e x x =⎥⎦⎤⎢⎣⎡+=⎪⎭⎫ ⎝⎛+∞→∞→)11(lim 11lim14、limsin(arctan )x x →∞=( 不存在 ),lim sin(arccot )x x →+∞=( 0 )三、选择填空:1、如果a x n n =∞→lim ,则数列n x 是( b )a.单调递增数列 b .有界数列 c .发散数列2、函数()()1log 2++=x x x f a 是( a )a .奇函数b .偶函数c .非奇非偶函数 ∵()()11log 1)(log 22++=+-+-=-x x x x x f aa()()x f x x a -=++-=1log 23、当0→x 时,1-xe 是x 的( c )a .高阶无穷小b .低阶无穷小c .等价无穷小4、如果函数()x f 在0x 点的某个邻域内恒有()M x f ≤(M 是正数),则函数()x f 在该邻域内( c )a .极限存在b .连续c .有界5、函数()x f x-=11在( c )条件下趋于∞+. a .1→x b .01+→x c .01-→x6、设函数()x f xxsin =,则()=→x f x 0lim ( c )a .1b .-1c .不存在 ∵1sin lim sin limsin lim000000-=-=-=-→-→-→xx x x x xx x x1sin lim sin lim 0000==-→+→xx x x x x 根据极限存在定理知:()x f x 0lim →不存在。
基本初等函数是实变量或复变量的指数函数、对数函数、幂函数、三角函数和反三角函数经过有限次四则运算及有限次复合后所构成的函数类。
函数的极限与连续训练题1、 已知四个命题:(1)若)(x f 在0x 点连续,则)(x f 在0x x →点必有极限(2)若)(x f 在0x x →点有极限,则)(x f 在0x 点必连续(3)若)(x f 在0x x →点无极限,则)(x f 在0x x =点一定不连续(4)若)(x f 在0x x =点不连续,则)(x f 在0x x →点一定无极限。
其中正确的命题个数是( B ) A 、1 B 、2 C 、3 D 、42、若a x f x x =→)(lim 0,则下列说法正确的是( C ) A 、)(x f 在0x x =处有意义 B 、a x f =)(0C 、)(x f 在0x x =处可以无意义D 、x 可以只从一侧无限趋近于0x3、下列命题错误的是( D )A 、函数在点0x 处连续的充要条件是在点0x 左、右连续B 、函数)(x f 在点0x 处连续,则)lim ()(lim 00x f x f x x x x →→= C 、初等函数在其定义区间上是连续的 D 、对于函数)(x f 有)()(lim 00x f x f x x =→ 4、已知x x f 1)(=,则xx f x x f x ∆-∆+→∆)()(lim 0的值是( C ) A 、21x B 、x C 、21x - D 、x - 5、下列式子中,正确的是( B )A 、1lim 0=→x xx B 、1)1(21lim 21=--→x x x C 、111lim 1=---→x x x D 、0lim 0=→x x x 6、51lim 21=-++→xb ax x x ,则b a 、的值分别为( A ) A 、67和- B 、67-和 C 、67--和 D 、67和7、已知,2)3(,2)3(-='=f f 则3)(32lim 3--→x x f x x 的值是( C ) A 、4- B 、0 C 、8 D 、不存在8、=--→33lim a x ax a x ( D )A 、0B 、1C 、32aD 、323a9、当定义=-)1(f 2 时,xx x f +-=11)(2在1-=x 处是连续的。
1第一章函数、极限与连续一、选择题1.函数)(x f 的定义域为[]10,,则函数51()51(-++x f x f 的定义域是().A.⎥⎦⎤⎢⎣⎡-54,51B.⎥⎦⎤⎢⎣⎡56,51C.⎦⎤⎢⎣⎡54,51D.[]1,02.已知函数()62+x f 的定义域为[)4,3-,则函数)(x f 的定义域是().A.[)4,3-B.[)14,0C.[]14,0D.⎪⎭⎫⎢⎣⎡--1,293.函数211ln ++-=x xy 的定义域是().A.1≠x B.2-≥x C.2-≥x 且1≠x D.[)1,2-4.下列函数)(x f 与)(x g 是相同函数的是().A.11)(+⋅-=x x x f ,1)(2-=x x g B.2)(π=x f ,x x x g arccos arcsin )(+=C.x x x f 22tan sec )(-=,1)(=x g D.1)(=x f ,x x x g 22cos sin )(+=5.下列函数)(x f 与)(x g 是相同函数的是().A.x x g x x f lg 2)(,lg )(2==B.2)(,)(x x g x x f ==C.33341)(,)(-=-=x x x g x x x f D.xx x g x f 22tan sec )(,1)(-==6.若1)1(2-=-x x f ,则)(x f =().A.2)1(+x x B.2)1(-x x C.)2(+x x D.)1(2-x x 7.设xx f cos 2)(=,xx g sin 21)(⎪⎭⎫⎝⎛=,在区间⎪⎭⎫ ⎝⎛20π,内成立().A.)(x f 是增函数,)(x g 是减函数B.)(x f 是减函数,)(x g 是增函数C.)(x f 和)(x g 都是减函数D.)(x f 和)(x g 都是增函数28.函数)1lg()1lg(22x x x x y -++++=().A.是奇函数B.是偶函数C.是非奇非偶函数D.既是偶函数,也是奇函数9.下列函数中()是奇函数.A.1cos sin +-=x x y B.2xx a a y -+=C.2211x x y +-=D.)1)(1(+-=x x x y 10.函数x x x f sin )(2=的图形().A.关于x 轴对称B.关于y 轴对称C.关于原点对称D.关于直线x y =对称11.下列函数中,()是奇函数.A.2ln(1)x +B.)x C.sin x x D.x xe e-+12.若()f x 是奇函数,且对任意实数x ,有(2)()f x f x +=,则必有(1)f =().A.1-B.0C.1D.213.偶函数的定义域一定是().A.包含原点的区间B.关于原点对称 C.),(+∞-∞D.以上三种说法都不对14.若)(x f 是奇函数,)(x ϕ是偶函数,且)]([x f ϕ有意义,则)]([x f ϕ是().A.偶函数B.奇函数C.非奇非偶函数D.奇函数或偶函数15.函数xx f 1sin )(=是其定义域内的什么函数().A.周期函数B.单调函数C.有界函数D.无界函数16.若()f x 在(,)-∞+∞内单调增加,()x ϕ是单调减少,则[()]f x ϕ在(,)-∞+∞内().A.单调增加B.单调减少C.不是单调函数D.无法判定单调性17.函数xxe e y -+=的图形对称于直线().A.y x=B.y x=-C.0x =D.0y =318.下列函数中周期为π的是().A.xy 2sin =B.xy 4cos = C.xy πsin 1+= D.()2cos -=x y 19.下列函数是周期函数的是().A.)sin()(2x x f =B.xx f 1cos)(=C.xx f πcos )(=D.xx f 1sin)(=20.设1cos )(-=x x f 的定义域和周期分别为().A.πππ2,,22=∈+=T Z k k x B.ππ2,,2=∈=T Z k k x C.ππ=∈=T Z k k x ,,D.πππ=∈+=T Z k k x ,,221.下列结论不正确的是().A.基本初等函数在其定义域内是连续的B.基本初等函数在其定义区间内是连续的C.初等函数在其定义域内是连续的D.初等函数在其定义区间内是连续的22.下列说法正确的是().A.无穷小的和仍为无穷小B.无穷大的和仍为无穷大C.有界函数与无穷大的乘积仍为无穷大D.收敛数列必有界23.下列说法不正确的是().A.两个无穷小的积仍为无穷小B.两个无穷小的商仍为无穷小C.有界函数与无穷小的乘积仍为无穷小D.在同一变化过程中,无穷大的倒数为无穷小24.若无穷小量α与β是等价的无穷小,则αβ-是()无穷小.A.与β同阶不等价的B.与β等价的C.比β低阶的D.比β高阶的25.当0→x 时,4x x +是32x x +的().A.高阶无穷小B.低阶无穷小C.同阶无穷小D.等价无穷小26.当0→x 时,x x sin 2-是x 的().A.高阶无穷小B.低阶无穷小C.同阶无穷小但不等价D.等价无穷小27.设232)(-+=xxx f ,则当0=x 时,有().4A.)(x f 与x 是等价无穷小B.)(x f 是x 同阶但非等价无穷小C.)(x f 是比x 高阶的无穷小D.)(x f 是比x 低阶的无穷小28.设x x f -=1)(,31)(x x g -=,则当1→x 时().A.)(x f 是比)(x g 高阶的无穷小B.)(x f 是比)(x g 低阶的无穷小C.)(x f 与)(x g 是同阶但不等价的无穷小D.)(x f 与)(x g 是等价无穷小29.当0→x 时,与x 不是等价无穷小量的是().A.2sin xx -B.xx 2sin -C.3tan x x -D.xx -sin 30.当0→x 时,下列函数为无穷小量的是().A.x x sin B.xx sin 2+C.)1ln(1x x+D.12-x 31.当0→x 时,是无穷大量的有().A.xx 1sin 1B.xx sin C.2xD.xx 21-32.当0→x 时,下列函数不是无穷小量的是().A.x x x x tan cos 2-B.21sin xx C.x x x sin 3+D.xx )1ln(2+33.下列等式正确的是().A.1sin lim=∞→x xx B.11sinlim =∞→xx C.11sinlim =∞→xx x D.11sin lim=∞→xx x 34.设函数()f x 在闭区间[1,1]-上连续,则下列说法正确的是().A.1lim ()x f x →+必存在B.1lim ()x f x →必存在C.1lim ()x f x →-必存在D.1lim ()x f x →-必存在35.=→xx 102lim ().A.0B.∞+C.∞D.不存在36.下列各式中正确的是().A.0cos lim0=→xxx B.1cos lim0=→xxx C.0cos lim=∞→xxx D.1cos lim=∞→xxx537.若(sin )3cos 2f x x =-,则(cos )f x =().A.3sin 2x+B.32sin 2x-C.3cos 2x+D.3cos 2x -38.设21()arcsin 3lim ()1x x f x f x x x→∞=++,则lim ()x f x →∞等于().A.2B.21C.2-D.21-39.设x xx f )31()2(-=-,则=∞→)(lim x f x ().A.1e-B.2e-C.3e-D.3e40.极限lim sinx x xπ→∞=().A.1B.πC.2eD.不存在41.当0x →时,1xe 的极限是().A.0B.+∞C.-∞D.不存在42.当5x →时,5()5x f x x -=-的极限是().A.0B.∞C.1D.不存在43.设x x x f 21)(-=,则=→)(lim 0x f x ().A.1B.不存在C.2eD.2e-44.若0→x 时,kx x x ~2sin sin 2-,则=k ().A.1B.2C.3D.445.若52lim22=-++→x bax x x ,则().A.1=a ,6=b B.1-=a ,6-=b C.1=a ,6-=b D.1-=a ,6=b 46.=+-∞→x x xx arctan 1lim ().A.2πB.2π-C.1D.不存在647.=+→xx x )1ln(lim0().A.1-B.1C.∞D.不存在但非∞48.已知22lim 222=--++→x x bax x x ,则b a ,的值是().A.8,2-==b a B.b a ,2=为任意值C.2,8=-=b a D.b a ,均为任意值49.=-+-+++∞→11)2(3)2(3lim n n nn n ().A.31B.31-C.∞D.050.xx x x 1011lim ⎪⎭⎫⎝⎛+-→的值等于().A.2eB.2e-C.1D.∞51.设xx g x3e 1)(2-=,当0≠x 时,)()(x g x f =,若)(x f 在0=x 处连续,则)0(f 的值是().A.0B.32-C.1D.3152.设函数⎪⎪⎩⎪⎪⎨⎧<+=>-=0,1sin 0,10,1e )(2x a x x x x x x f x 在点0=x 处连续,则常数=a ().A.1-B.1C.2-D.253.若)(x f 在点0x 点连续,则=+→)2(sin lim 00h x f h ().A.)2(sin 0h x f +B.)(sin 0x f C.)(sin 0x f D.不存在54.函数⎪⎩⎪⎨⎧=≠--=0,210,cos 1)(42x x x x xx f 的间断点有().7A.3个B.1个C.0个D.2个55.设0=x 是⎪⎪⎪⎩⎪⎪⎪⎨⎧>=<+=0,1sin 0,00,11)(1x x x x x ex f x 的().A.跳跃间断点B.可去间断点C.第二类间断点D.连续点56.11)(11+-=xxe e xf ,则0=x 是)(x f 的().A.可去间断点B.跳跃间断点C.第二类间断点D.连续点二、填空题57.函数xxx f -+=11ln21)(的定义域是_________.58.函数2ln arcsin +=x xy 的定义域为_________.59.函数xx y 1arctan3+-=的定义域是_________.60.设)(x f 的定义域[]1,0=D ,则)(sin x f 的定义域_________.61.若函数()f x 的定义域为[1,0]-,则函数(cos )f x 的定义域为_________.62.若函数()f x 的定义域为[0,1],则函数(arctan 2)f x 的定义域为_________.63.设2(1)32f x x x +=-+,则f =_________.64.函数nn x a y 12)(-=的反函数是_________.65.函数)0(≠-++=bc ad dcx bax y 的反函数是_________.66.函数x y 3sin 2=⎪⎭⎫ ⎝⎛≤≤-66ππx 的反函数是_________.867.函数3arccos2xy =的反函数是_________.68.______28153lim 233=+-++∞→n n n n n n .69._______43867lim 22=+-+∞→n n n n .70.⎪⎭⎫⎝⎛++++∞→n n 21...41211lim =_________.71.2)1(...321limnn n -++++∞→=_________.72.35)3)(2)(1(limn n n n n +++∞→=_________.73._______lim 2210=+→x x x e.74._______1lim432=-+++∞→nn n n n n .75._______43...21lim 2=++++∞→nn nn .76._______1!!sin lim=+∞→n n n .77.=⎪⎭⎫⎝⎛++++++∞→πππn n n n n n 222...221lim _________.78.设012lim 2=⎪⎪⎭⎫⎝⎛--++∞→b ax x x x x ,则=a _________,=b _________.79._______4421lim 22=⎪⎭⎫ ⎝⎛---→x x x .80._______2)2sin(lim22=---→x x x x .81._______63sin lim=∞→xxx .982.m n x x x )(sin )sin(lim 0→(m n ,为正整数,且m n >)=.83._______1cos 1lim 20=--→x e x x .84._______4tan 8arcsin lim0=→xxx .85._______81221lim 32=⎪⎭⎫ ⎝⎛---→x x x .86.xxx x 30sin sin tan lim-→=.87.)1(lim 2x x x x -++∞→=.88.)1sin 1)(11(tan sin lim32-+-+-→x x xx x =.89.若2)1sin(1lim 21=--+→x ax x x ,则_________=a .90.若0x →时函数tan sin x x -与nmx 是等价无穷小,则=m ,n =.91.当∞→x 时,函数)(x f 与21x是等价无穷小,则_______)(3lim 2=∞→x f x x .92.当0→x 时,函数112-+ax 与x 2sin 是等价无穷小,则_______=a .93.当∞→x 时,函数)(x f 与x4是等价无穷小,则_______)(2lim =∞→x xf x .94.若1x →时,2(1)1mx x --是比1x -高阶的无穷小,则m 的取值范围是.95.11232lim +∞→⎪⎭⎫⎝⎛++x x x x =_________.96.40)21(lim -→=-e x x kx ,则_________=k .1097.nn n x x f ⎪⎭⎫⎝⎛+=∞→sin 1lim )(,则=')(x f .98.4lim e a x a x xx =⎪⎭⎫ ⎝⎛+-+∞→,则_______=a .99._______1lim 23=⎪⎭⎫ ⎝⎛++∞→x x x x .100.如果201cos ()3lim ()x xf x f x x→-=+,则0lim ()x f x →=.101.设函数⎪⎩⎪⎨⎧≥<<+≤+=1,10,0,2)(2x bx x a x x x x f 在),(+∞-∞内连续,则___________,==b a .102.)(lim 2)sin 21()(031x f x x f x x→++=,求()=x f .103.如果201cos ()3lim ()x xf x f x x→-=+,则0lim ()x f x →=.104.设2211xx x x f +=⎪⎭⎫ ⎝⎛-,则=)(x f .105.函数⎪⎩⎪⎨⎧=≠+=010,1sin 1)(x x xx x f 的连续区间是.106.若函数()⎪⎩⎪⎨⎧>+≤+=0,21ln 0,)(12x x x x a x f x 在0=x 处连续,则=a .107.极限02sin 3lim[sin]x x x x x→+=.108.极限3sin 2lim[sin ]x xx x x→∞+=.109.若⎪⎩⎪⎨⎧=≠-+=-0,0,316sin )(3x a x x e x x f ax 在0=x 连续,则_______=a .110.函数⎪⎩⎪⎨⎧><<-±===2,420,42,0,2)(2x x x x x x f 的间断点有_________个.111.函数653)(2+--=x x x x f 的第二类间断点是_________.112.函数)5)(32(86)(22-----=x x x x x x f 的间断点是.113.设⎪⎩⎪⎨⎧≤+>=,0,,0,1sin )(2x x a x x x x f 要使)(x f 在),(+∞-∞内连续,则=a .114.设⎪⎩⎪⎨⎧<+=>+=0,20,0,)(2x b x x a x e x x f 在点0=x 处连续,则=a ,=b .115.设⎪⎩⎪⎨⎧≤>=0,0,3sin )(x x x x x x f ,则点0=x 是)(x f 的第类间断点.116.设⎪⎩⎪⎨⎧≤<-+>=-,01),1ln(,0,)(11x x x e x f x 则点0=x 是)(x f 的第类间断点;点1=x 是)(x f 的第类间断点.117.若函数=)(x ϕ,则函数)(x f 为奇函数这里⎪⎪⎩⎪⎪⎨⎧<=>++=0, )( 0, 0 0 ),1ln()(2x x x x x x x f ϕ118.⎩⎨⎧<-≥=00 )(22x x x x x f ,则)(x f 是(奇/偶)函数.119.⎩⎨⎧>+≤-=0 10 1)(x x x x x f ,则)(x f 是(奇/偶)函数.三、计算题120.设函数1)1(2++=x x x f 0>x ,求)(x f .121.设函数2211xx x x f +=⎪⎭⎫ ⎝⎛+,求)(x f .122.设xx f -=11)(,求))((x f f .123.设23)1(2+-=+x x x f ,求)(x f .124.已知x x g xx f -==1)(,1)(,求))((x g f .125.设x x x f 2)1(2-=-,求)1(+x f .126.求函数321)(2-+=x x x f 的连续区间.127.设函数)(x f 的定义域为)0,1(-,求函数)1(2-x f 的定义域.128.设x xx f +=12arccos )(,求其定义域.129.设)(x f 的定义域为[]1,0,求)(cos x f 的定义域.130.已知⎩⎨⎧≤<≤≤=+21,210,)1(2x x x x x ϕ,求)(x ϕ.131.设⎩⎨⎧<+≥+=0,40,12)(2x x x x x f ,求)1(-x f .132.判断函数x x x f 32(32()(-++=的奇偶性.133.判断11-+=x x a a x y 的奇偶性.134.设)21121)(()(-+=x x f x F ,已知)(x f 为奇函数,判断)(x F 的奇偶性.135.求函数x x y 44sin cos -=的周期.136.求函数2cos sin x x y +=的周期.137.求函数x y 3sin 2=)66(ππ<<-x 的反函数.138.求函数)1ln(2-+=x x y 的反函数.139.xx x 3113sin lim +-∞→.140.633lim 6--+→x x x .141.2203)1ln(lim x x x +→.142.x xx 4cos 12sin 1lim 4-+→π.143.2321lim 4--+→x x x .144.123lim 221-+-→x x x x .145.25273lim 33+-++∞→x x x x x .146.)cos 3(11lim 32x x x x +++∞→.147.2021cos lim x x x -→.148.2021lim x ex x -→.149.3222......21lim nn n +++∞→.150.)3(lim 2x x x x -++∞→.151.xx x ln 1lim 21-→.152.20cos 1lim x x x -→.153.38231lim x x x +---→.154.⎪⎪⎭⎫ ⎝⎛+-++⨯+⨯∞→)12)(12(1...531311lim n n n .155.n n 11lim +∞→.156.114sin lim 0-+→x xx .157.)(lim 22x x x x x --++∞→.158.156223lim 22+-++∞→n n n n n .159.nx mxx sin sin lim 0→.160.⎪⎭⎫ ⎝⎛-→x x x x ln ln 1lim 1.161.145lim 1---→x xx x .162.⎪⎪⎭⎫ ⎝⎛--→11lim 31x x x .163.xx x --→πππ1cos )(lim .164.20cos 1lim x mx x -→.165.11sinlim -+∞→x x x x x .166.)15(lim 323x x x x -+-∞→.167.)cos 1(cos 1lim 0x x x x --+→.168.28lim 38--→x x x .169.n n n 31...9131121...41211lim ++++++++∞→.170.xx x x x 6sin 4cos lim ++∞→.171.)1(lim 2x x x x -+∞→.172.⎪⎪⎭⎫⎝⎛-+→114sin lim 0x x x .173.174lim 22++→x x x .174.2220)1()41ln(lim x x e x -+→.175.115)2(5)2(lim ++∞→+-+-n n nn n .176.xx e 1011lim +→.177.若123lim 22=-+-→x ax x x ,求a .178.已知01lim 2=⎪⎪⎭⎫ ⎝⎛--+∞→b ax x x x ,其中a ,b 是常数,求a ,b .179.已知),0()1(lim 2017∞≠≠=--∞→A n n n k k n ,求k 的值.180.计算⎪⎭⎫ ⎝⎛+++++++++∞→n n n n n n n n n 2222211lim .181.已知5312)(22+++-=bx x ax x f ,当∞→x 时,求a 和b 的值使)(x f 为无穷小量.182.当0→x ,比较函数22)(-+=x x e x f 与x 是否为同阶无穷小.183.已知82lim 3=⎪⎭⎫ ⎝⎛-+∞→x x a x a x ,求a .184.()xx x sec 32cos 1lim +→π.185.11212lim +∞→⎪⎭⎫⎝⎛-+x x x x .186.26311lim -∞→⎪⎭⎫ ⎝⎛+x x x 187.xx x x 311lim ⎪⎭⎫ ⎝⎛+-∞→.188.21232lim +∞→⎪⎭⎫ ⎝⎛++x x x x .189.xx x tan 2)(sin lim π→.190.已知⎪⎪⎩⎪⎪⎨⎧<=>+=0,sin 10,0,1sin )(x x x x p x q x x x f 在点0=x 处极限存在,求p 和q 的值.191.求函数⎪⎩⎪⎨⎧=≠--=0,210,cos 1)(42x x x x xx f 的间断点的个数.192.判断函数111)(--=x x ex f 的间断点及其类型.193.判断函数xx x f 1cos)(=的间断点及其类型.194.设)(x f 在点0=x 处连续,且⎪⎩⎪⎨⎧=≠-=0,0,cos 1)(2x a x x x x f ,求a .195.求函数xxy sin =的间断点及类型.196.求函数)1()(22--=x x xx x f 的间断点.197.证明方程019323=+--x x x 至少有一个小于1的正根.198.判断函数122+=x y 的单调性.199.已知⎪⎪⎪⎩⎪⎪⎪⎨⎧<⎪⎭⎫ ⎝⎛-=>+--=0,110,0,1)1(2sin )(2x x x b x a e e x f x x x 在点0=x 处连续,求a 和b 的值.200.设函数⎩⎨⎧≥+<=0,0,)(x x a x e x f x 在),(+∞-∞内连续,求a .201.设⎪⎪⎩⎪⎪⎨⎧<≤---+=>+=01,110,00,)1ln()(x x xx x x x x x f ,判断其间断点及类型.202.设xe xf x 1)(-=,判断其间断点及类型.203.设⎪⎩⎪⎨⎧≤<-+>=-01),1ln(0)(,11x x x e x f x ,判断)(x f 的间断点及其类型.204.求曲线65222+-=x x x y 的渐近线.205.求xex f -+=1111)(的间断点并判断其类型.206.设⎪⎪⎪⎩⎪⎪⎪⎨⎧>++=<=0,)21ln(0,0,sin 1sin )(2x a xx x b x x x x x f ,求b a ,的值使其在),(+∞-∞内连续.207.设⎪⎪⎩⎪⎪⎨⎧≤<=<<-=-21,1,210,1ln )(1x e x x x xx f x ,(1)求)(x f 的定义域(2)判断间断点1=x 的类型,如何改变定义使)(x f 在这点连续?208.判断函数x x y ln +=在区间),0(+∞内的单调性.第一章函数、极限与连续1..54,51:15101510⎥⎦⎤⎢⎣⎡⇒⎪⎪⎩⎪⎪⎨⎧≤-≤≤+≤D x x 选C2.43<≤-x ,826<≤-x ,14620<+≤x 。
基本初等函数是实变量或复变量的指数函数、对数函数、幂函数、三角函数和反三角函数经过有限次四则运算及有限次复合后所构成的函数类。
函数的极限与连续训练题1、 已知四个命题:(1)若)(x f 在0x 点连续,则)(x f 在0x x →点必有极限(2)若)(x f 在0x x →点有极限,则)(x f 在0x 点必连续(3)若)(x f 在0x x →点无极限,则)(x f 在0x x =点一定不连续(4)若)(x f 在0x x =点不连续,则)(x f 在0x x →点一定无极限。
其中正确的命题个数是( B ) A 、1 B 、2 C 、3 D 、42、若a x f x x =→)(lim 0,则下列说法正确的是( C ) A 、)(x f 在0x x =处有意义 B 、a x f =)(0C 、)(x f 在0x x =处可以无意义D 、x 可以只从一侧无限趋近于0x3、下列命题错误的是( D )A 、函数在点0x 处连续的充要条件是在点0x 左、右连续B 、函数)(x f 在点0x 处连续,则)lim ()(lim 00x f x f x x x x →→= C 、初等函数在其定义区间上是连续的 D 、对于函数)(x f 有)()(lim 00x f x f x x =→ 4、已知x x f 1)(=,则xx f x x f x ∆-∆+→∆)()(lim 0的值是( C ) A 、21x B 、x C 、21x - D 、x - 5、下列式子中,正确的是( B )A 、1lim 0=→x xx B 、1)1(21lim 21=--→x x x C 、111lim 1=---→x x x D 、0lim 0=→x x x 6、51lim 21=-++→xb ax x x ,则b a 、的值分别为( A ) A 、67和- B 、67-和 C 、67--和 D 、67和7、已知,2)3(,2)3(-='=f f 则3)(32lim 3--→x x f x x 的值是( C ) A 、4- B 、0 C 、8 D 、不存在8、=--→33lim a x ax a x ( D )A 、0B 、1C 、32aD 、323a9、当定义=-)1(f 2 时,xx x f +-=11)(2在1-=x 处是连续的。
1第一章 函数、极限与连续一、判断题 1 若 lim f x = A ,则 f x o 二 A ;xJ x o2、已知f x 0不存在,但lim f x 有可能存在; ^^03、若f x 0 0与f x 0 -0都存在,则lim f x 必存在;6、若f(x),g(x)在点x 0处均不连续,则f(x) g(x)在x 处亦不连续;( )7、 y =| x |在x = 0处不连续;8、 f (x)与X 。
处连续当且仅当f (x)在x 0处既左连续又右连续;( )9、 设y =f(x)在[a,b ]上连续,且无零点,则f (x)在[a,b ]上恒为正或恒为负;( ) 10、 设y=f(x)在(a,b)上连续,则f (x)在(a,b)内必有界;()1 •设f X 在R 上有定义,函数f x 在点X 0左、右极限都存在且相等是函数f x 在点X 。
连续的(C )A .充分条件 C •必要条件B .充分且必要条件 D .非充分也非必要条件lim 沁 X —•”x选择题4、22 •若函数f x 在某点x o 极限存在,则(C ) A • f x 在x o 的函数值必存在且等于极限值 B. f x 在X 。
函数值必存在,但不一定等于极限值 C. f x 在x o 的函数值可以不存在 D. 如果f X 。
存在的话,必等于极限值 3.数列0, 1,2,3,4,3456…是(B )A .以0为极限B . 以1为极限C .以“ 一2为极限n D . 不存在在极限14 . lim xsin ( C )A . ::B .不存在C . 1D . 02x5 . lim i 1=( A )xixA . e ,B .二C . 0D .-26 .无穷小量是(C )A .比零稍大一点的一个数B . 一个很小很小的数C .以零为极限的一个变量D .数零X 二 1■在R 上连续,则a 的值为(D )x 1C . -1D . -2xe8 .设 f (x )=」1a + x 要使f x 在x = 0处连续,则a 二A . 2B . 1C . 0D . -17.若函数f (x )=」x 2+a COS 让X,I . x 037 . lim 3n sin 二=x 。
第一章 函数、极限与连续第一讲:函数一、是非题1.2x y =与x y =相同;( ) 2.)1ln()22(2x x y x x +++=-是奇函数; ( ) 3.凡是分段表示的函数都不是初等函数; ( ) 4. )0(2>=x x y 是偶函数; ( ) 5.两个单调增函数之和仍为单调增函数; ( )6.实数域上的周期函数的周期有无穷多个; ( )7.复合函数)]([x g f 的定义域即)(x g 的定义域; ( )8.)(x f y =在),(b a 内处处有定义,则)(x f 在),(b a 内一定有界。
( ) 二、填空题1.函数)(x f y =与其反函数)(x y ϕ=的图形关于 对称;2.若)(x f 的定义域是]1,0[,则)1(2+x f 的定义域是 ;3.122+=x xy 的反函数是 ;4.1)(+=x x f ,211)(xx +=ϕ,则]1)([+x f ϕ= , ]1)([+x f ϕ= ;5.)2(sin log 2+=x y 是由简单函数 和 复合而成;6.1)(2+=x x f ,x x 2sin )(=ϕ,则)0(f = ,___________)1(=af ,___________)]([=x f ϕ。
三、选择题1.下列函数中既是奇函数又是单调增加的函数是( )A 、x 3sinB 、13+xC 、x x +3D 、x x -32.设54)(2++=bx x x f ,若38)()1(+=-+x x f x f ,则b 应为( )A 、1B 、-1C 、2D 、-2 3.)sin()(2x x x f -=是( )A 、有界函数B 、周期函数C 、奇函数D 、偶函数 四、计算下列各题1.求定义域523arcsin3xx y -+-=2.求下列函数的定义域 (1)342+-=x x y (2)1142++-=x x y(3)1)2lg(++=x y (4)x y sin lg =3.设2)(x x f =,xe x g =)(,求)]([)],([)],([)],([x g g xf f x fg x g f ;4.判断下列函数的奇偶性(1)3)(-=x x f (2)xx f )54()(=(3) xxx f -+=11lg)( (4)x x x f sin )(=5.写出下列函数的复合过程(1))58(sin 3+=x y (2))5tan(32+=x y(3)212x y -= (4))3lg(x y -=6.设⎩⎨⎧≥<=.1,0,1,)(x x x x ϕ求)51(ϕ,)21(-ϕ,)2(-ϕ,并作出函数)(x y ϕ=的图形。
第二讲:极限概念一、是非题1.在数列{}n a 中任意去掉或增加有限项,不影响{}n a 的极限; ( )2.若数列{}n n b a 的极限存在,则{}n a 的极限必存在; ( )3.若数列{}n x 和{}n y 都发散,则数列{}n n y x +也发散; ( )4.若0)(lim =⋅∞→n n n v u ,则必有0lim =∞→n n u 或0lim =∞→n n v 。
( )5.若A x f x x =→)(lim 0,则A x f =)(0; ( )6.已知)(0x f 不存在,但)(lim 0x f x x →有可能存在; ( )7.若0()f x +与0()f x -都存在,则)(lim 0x f x x →必存在; ( )8.2arctan lim π=∞→x x ; ( )9. 0lim =-∞→xx e ; ( )10.非常小的数是无穷小; ( ) 11.零是无穷小; ( ) 12.无限变小的变量称为无穷小; ( ) 13.无限个无穷小的和还是无穷小。
( ) 二、填空题1. ______________)1(lim =-+∞→n n n ;2. ______________2sinlim =∞→nn n π; 3. ______________])1(4[lim 2=-+∞→nnn ; 4. ______________31lim =∞→n n ; 5.______________)12(lim 1=-→x x ; 6. ______________11lim2=+∞→x x ;7. ___________cos lim 0=→x x ,___________cos lim =∞→x x ;8.设⎩⎨⎧+=,,)(b ax e x f x 00>≤x x ,则(0)_________,(0)_________f f +-==,当_____=b 时,1)(lim 0=→x f x 。
9.设11+=x y ,当____→x 时,y 是无穷小量,当____→x 时,y 是无穷大量; 10.设)(x α是无穷小量,)(x E 是有界变量,则)()(x E x α为 ; 11. A x f x x =→)(lim 0的充分必要条件是当0x x →时,A x f -)(为 ;12._____________1sinlim 0=→x x x ;1lim sin _____________x x x→∞=。
三、选择题1.已知下列四数列:①、2=n x ;②、132+=n x n ;③、132)1(1+-=+n x n n ;④、1313)1(1+--=-n n x n n 则其中收敛的数列为( )A 、①B 、①②C 、①④D 、①②③ 2.已知下列四数列:①、 ,)1(,,1,1,1,11+---n ②、 ,21,0,,21,0,21,0,21,032n ③、,12,11,,34,31,23,21+++n n n ④、 ,,,2,1n 则其中发散的数列为( )A 、①B 、①④C 、①③④D 、②④3.⎪⎩⎪⎨⎧=-,10,17n x n 为偶数为奇数n n ,则必有( )A 、0lim =∞→n n x B 、710lim -∞→=n n xC 、⎩⎨⎧=∞→为偶数,为奇数-n n x n n 710,0lim D 、n n x ∞→lim 不存在4.从1)(lim 0=→x f x x 不能推出( )A 、1)(lim 0=→x f x x -B 、0()1f x += C 、1)(0=x f D 、01)(lim=→】-【x f x x5.设 ⎩⎨⎧+=,2,1)(x x f 00=≠x x ,则)(lim 0x f x →的值为( )A 、0B 、1C 、2D 、不存在6. 当1→x 时,下列变量中是无穷小的是( ) A 、13-x B 、x sin C 、xe D 、)1ln(+x 7.下列变量在自变量给定的变化过程中不是无穷大的是( ) A 、)(132+∞→+x x x B 、)(ln +∞→x xC 、ln (0)x x +→D 、)(2cos 1∞→x nx x 8.若∞=→)(lim 0x f x x ,∞=→)(lim 0x g x x ,则下列极限成立的是( ) A 、∞=+→)]()([lim 0x g x f x x B 、0)]()([lim 0=+→x g x f x xC 、∞=+→)()(1limx g x f x x D 、∞=→)()(lim 0x g x f x x9.以下命题正确的是( ) A 、无界变量一定是无穷大 B 、无穷大一定是无界变量C 、趋于正无穷大的变量一定在充分大时单调增D 、不趋于无穷大的变量必有界 10. xx e 10lim →( )A 、等于0B 、等于∞+C 、等于1D 、不存在 11.下列求极限问题中能够使用洛必达法则的是( );A 、xx x x sin 1sinlim20→ B 、x x x sin 11lim 1--→ C 、x x x x x sin sin lim -∞→ D 、)arctan 2(lim x x x -+∞→π四、设xx x f 2)(=,回答下列问题:1.函数)(x f 在0=x 处的左、右极限是否存在?2.函数)(x f 在0=x 处是否有极限?为什么?3.函数)(x f 在1=x 处是否有极限?为什么?五、下列各题中,指出哪些是无穷小?哪些是无穷大?1.)(12∞→+x x x ; 2.)0(13→-x x x ;3.)0(ln →x x ;4.)0(1→x e x六、当+∞→x 时,下列哪个无穷小与无穷小x 1是同阶无穷小?哪个无穷小与无穷小x1是等价无穷小?哪个无穷小是比无穷小x1高阶的无穷小? 1.x 21, 2. 21x , 3. x1第三讲:极限的求法一、是非题1.在某过程中,若)(x f 有极限,)(x g 无极限,则)()(x g x f +无极限; ( )2.在某过程中,若)(x f ,)(x g 均无极限,则)()(x g x f +无极限; ( )3.在某过程中,若)(x f 有极限,)(x g 无极限,则)()(x g x f 无极限; ( )4.在某过程中,若)(x f ,)(x g 均无极限,则)()(x g x f 无极限; ( )5.若A x f x x =→)(lim 0,0)(lim 0=→x g x x ,则)()(li m 0x g x f x x →必不存在; ( ) 6. 0lim 2lim 1lim 321lim2222=+++=++++∞→∞→∞→∞→n nn n n n n n n n ; ( )7. 01sin lim lim 1sin lim 000=⋅=→→→xx x x x x x ; ( )8.0lim 3lim )3(lim 22=∞-∞=-=-∞→∞→∞→x x x x x x x ; ( )9.1sin lim =∞→xxx ; ( )10.e xxx =-∞→)11(lim . ( ) 二、计算下列极限1.113lim 21++-→x x x ;2. 121lim 221---→x x x x ;3.1312lim 22+++∞→x x x x ; 4. 212lim x xx +∞→ ;5.2232)2(2lim -+→x x x x ; 6.)1311(lim 31x x x ---→ ;7.)11(lim 22+--++∞→x x x x x ; 8.2)1(321limn n n -++++∞→ ;9. 500200300)12()23()12(lim +--∞→x x x x ; 10. x xx x x 1arctan 1sin 2lim 2++∞→ ;11. x x xx x 2tan 3sin lim 0++→ ; 12. x x x 2)31(lim -→ ;13.)0(2sin2lim ≠∞→x x n nn ; 14.)sin 11sin (lim 0x x x x x +→ ;15.30sin tan limxx x x -→ ; 16.xx x x )21(lim ++∞→ ;三、求函数的极限(1)52432)76()23()34(lim +--∞→x x x x ; (2)x x x x x sin cos 2lim -+∞→;(3) x x x x 2sin 3tan lim 20→; (4) x x x 3cot 5sin lim π→;(5)x x x x 10)121(lim +-→; (6)x x x x o x 23151lim2+--+→四、求数列的极限:(1)nn n n ⎪⎪⎭⎫ ⎝⎛+∞→21lim ; (2)⎪⎪⎭⎫ ⎝⎛-+-∞→111lim 3n n n n ;(3))(lim nb n an e e n -∞→,其中b a ,为正的常数。